Abstract
Introduction
Central neuropathic pain (CNeP) is difficult to treat and has diverse etiology, including spinal cord injury (CNePSCI), Parkinson’s disease (CNePPD), and central post-stroke pain (CPSP). The safety and efficacy of mirogabalin have been demonstrated in short-term trials, including patients with CNePSCI. The objective of our study was to confirm the safety/efficacy of mirogabalin in patients with CNePPD and CPSP, and obtain long-term data for CNePSCI.
Methods
This 52-week, open-label extension of a previous randomized controlled study was conducted across Japan, Korea, and Taiwan. Patients with CNePSCI, CNePPD, or CPSP received twice daily (BID) 5–10 mg mirogabalin for a 4-week titration period, after which the dosage was maintained for 47 weeks at a maximum of 15 mg BID, followed by a 1-week taper period receiving the same dose but only administered once daily. The primary endpoint was safety, assessed primarily by incidence and severity of treatment-emergent adverse events (TEAEs). Efficacy was assessed in a post hoc analysis of data obtained by the short-form McGill Pain Questionnaire (SF-MPQ).
Results
Of the 210 patients enrolled, 106, 94, and 10 had CNePSCI, CPSP, and CNePPD, respectively. The mean overall age of patients was 62.9 years, and most patients were male and of Japanese ethnicity. TEAEs occurred in 84.8% of patients, the most common being somnolence (16.7%), peripheral edema (12.4%), edema (11.4%), nasopharyngitis (11.0%), and dizziness (7.6%). Most TEAEs were mild. Severe and serious TEAEs occurred in 6.2% and 13.3% of patients, respectively. All patient groups experienced reductions in SF-MPQ visual analog scores for pain: mean ± standard deviation changes from baseline at week 52 were −2.3 ± 21.13 mm (CNePSCI), −17.0 ± 24.99 mm (CPSP), and −17.1 ± 35.32 mm (CNePPD).
Conclusion
Mirogabalin was generally safe, well tolerated, and effective for treatment of CNeP in this long-term study.
Trial registration
ClinicalTrials.gov identifier, NCT03901352.
Supplementary Information
The online version contains supplementary material available at 10.1007/s40122-023-00513-1.
Keywords: Central neuropathic pain, Efficacy, Gabapentinoid, Mirogabalin, Open-label, Parkinson’s disease, Post-stroke pain, Safety, Spinal cord injury
Key Summary Points
| Why carry out this study? |
| Safe and effective pharmacotherapy options for central neuropathic pain (CNeP) are limited. |
| Mirogabalin, a selective α2δ ligand drug, is an orally administered gabapentinoid that has shown promise for treatment of neuropathic pain, but data for long-term treatment of CNeP are lacking. |
| We assessed the safety and efficacy of long-term administration of mirogabalin in adult Asian patients with CNeP caused by spinal cord injury, Parkinson’s disease, or central post-stroke pain. |
| What was learned from this study? |
| Long-term administration of mirogabalin was generally safe, well tolerated up to a 15-mg twice daily dosage, and effective. |
| Mirogabalin may be a useful treatment option for patients with CNeP caused by spinal cord injury, Parkinson’s disease, or central post-stroke pain. |
Introduction
Neuropathic pain can be broadly classified as central neuropathic pain (CNeP) or peripheral neuropathic pain (PNeP), and is defined as pain resulting from a lesion in, or dysfunction of, the somatosensory nervous system [1–3]. CNeP and PNeP differ in their etiology and treatment, with CNeP typically resulting from disease or injury such as stroke, spinal cord injury (SCI), multiple sclerosis, or Parkinson’s disease [4, 5].
Treatment of CNeP resulting from spinal cord injury (CNePSCI), central post-stroke pain (CPSP), and CNeP associated with Parkinson’s disease (CNePPD) has included diverse therapeutics such as anticonvulsants, antidepressants, analgesics, and cannabinoids, but controlled trials have shown limited effectiveness of such drugs for CNeP, with the exception of anticonvulsant drugs such as pregabalin (a gabapentinoid) and lamotrigine [6–8]. However, current treatment options do not always provide adequate pain relief, and adverse drug reactions (ADRs) may limit the usefulness of certain drugs, as poor compliance may lead to discontinuation [9]. A recent metaanalysis suggested that pregabalin and gabapentin had similar safety and efficacy with respect to treatment of CNePSCI [10]. The efficacy and safety of pregabalin as monotherapy [11] and as an adjunct to non-steroidal antiinflammatory medications [12] in the management of CPSP have been investigated in open-label trials; however, the long-term efficacy of pregabalin in reducing pain has not yet been demonstrated in a randomized, placebo-controlled trial [13]. Similarly, studies of the efficacy of gabapentin for CPSP have been limited to observational trials [14], and currently there is insufficient high-quality evidence to support its use as an effective treatment. To our knowledge, no clinical trials have examined the efficacy and safety of pregabalin for CNePPD, and evidence for gabapentin for this indication is limited to a case report [15].
Mirogabalin is an oral gabapentinoid with analgesic effects that was first approved in Japan in 2019 for the treatment of PNeP [16, 17]. Following the approval for PNeP, a randomized double-blind placebo-controlled study of mirogabalin for CNePSCI demonstrated the efficacy of mirogabalin after 14 weeks of treatment [18]. Based on the results of that trial, mirogabalin was subsequently approved in Japan for the treatment of neuropathic pain including both PNeP and CNeP [19].
The present study is a long-term, open-label treatment extension of the previous randomized controlled study [18], and is the first to evaluate the long-term safety and efficacy of mirogabalin for CNeP. The study objectives were to confirm the safety and efficacy of mirogabalin for up to 52 weeks of administration, not only in patients with CNePSCI, but also for the first time in patients with CPSP and CNePPD.
Methods
Study Design and Participants
This was a multinational, open-label, long-term study of mirogabalin for the treatment of CNeP, conducted from March 2019 to December 2020, as a long-term extension of the phase 3 randomized double-blind placebo-controlled trial reported previously [18]. Patients with CNePSCI who completed the previous 14-week double-blind treatment period were eligible for inclusion in the present open-label extension. Patients with CPSP or CNePPD did not participate in the previous double-blind treatment period and were recruited separately by the investigator or sub-investigator, who performed an interview to assess eligibility after obtaining written informed consent. Patients were recruited from approximately 120 sites in Japan, Korea, and Taiwan, and details are reported in the double-blind study [18].
The study design is illustrated in Fig. 1. The planned duration was approximately 53 weeks, which included a 52-week treatment period and a 1-week follow-up period after the final dose. The treatment period consisted of a 4-week titration period, a 47-week maintenance dose period, and a 1-week taper period. Patients with CNePSCI continuing from the 14-week double-blind treatment period provided informed consent prior to beginning the treatment period. Patients with CPSP and CNePPD provided informed consent, then underwent a 1-week observation period prior to beginning the treatment period (approximately 54 weeks total). Patients with CPSP and CNePPD were required to undergo a 4-week washout period, prior to beginning the observation period, if they had previously been receiving a gabapentinoid. Patients with CNePSCI continuing from the double-blind trial were not required to undergo washout.
Fig. 1.
Study design. aPatients who were receiving prohibited concomitant medications prior to study entry underwent a minimum 28-day washout. bPatients with creatinine clearance 30 mL/min to < 60 mL/min at screening received 50% of the mirogabalin dose. BID twice daily, IC informed consent, CNePSCI central neuropathic pain from spinal cord injury, CNePPD central neuropathic pain from Parkinson’s disease, CPSP central post-stroke pain, DB double-blind, QD once daily
Oral mirogabalin was initiated at 5 mg twice daily (BID) for the first 2 weeks of the treatment period, increased to 10 mg BID for the next 2 weeks, then escalated to the maintenance dose of 15 mg BID for the remainder of the maintenance dose period, if there were no safety concerns. During the maintenance dose period, mirogabalin could be reduced to 10 mg BID if there were any safety issues. For the final week (taper period), the daily dosage was reduced as follows: patients who received a 10-mg BID maintenance dose tapered to 10 mg once daily, and patients who received a 15-mg BID maintenance dose tapered to 15 mg once daily. Patients with reduced renal function [creatinine clearance (CrCL) of 30 mL/min to < 60 mL/min] received 50% of the dose of mirogabalin administered to patients with normal renal function or mild renal impairment (CrCL ≥ 60 mL/min).
Pregabalin, gabapentin, and other investigational products were prohibited for concomitant use from the titration period through the post-treatment follow-up period. Patients self-administered the investigational product, and treatment compliance was assessed by the number of tablets returned at each study visit.
Patients with CNePSCI who completed the 14-week double-blind treatment period were eligible for the present study; the eligibility criteria have been previously reported [18] and are summarized in the Supplementary Methods. Inclusion criteria specific to patients with CPSP were: stroke occurring ≥ 6 months prior to screening, with stable CPSP for ≥ 3 months prior to screening, damage of the somatosensory pathways due to stroke (confirmed by computed tomography or magnetic resonance imaging), pain region neurologically matched with the same pathways, and a pain score of ≥ 40 mm on the short-form McGill Pain Questionnaire (SF-MPQ) visual analog scale (VAS) at screening and enrollment [20]. Key exclusion criteria for patients with CPSP were grade ≥ 5 on the modified Rankin scale and bleeding at screening (further details are provided in the Supplementary Methods).
Inclusion criteria specific to patients with CNePPD were: Parkinson’s disease diagnosis ≥ 6 months prior to screening, CNeP corresponding to the clinical classification of painful or unpleasant sensations in Parkinson’s disease by the Ford classification [21], stable CNePPD for ≥ 3 months prior to screening, and a pain score of ≥ 40 mm on the SF-MPQ VAS. Key exclusion criteria for these patients were Hoehn and Yahr stage V at screening and other severe pain unrelated to Parkinson’s disease (further details are provided in the Supplementary Methods).
Ethics
The study protocol, protocol amendments, informed consent forms, and information sheets were approved by the relevant Independent Ethics Committees or Institutional Review Boards at each study center (see Table S1 in the Supplementary Material for a list of participating institutions). This study was conducted in compliance with the protocol and ethical principles that have their origin in the Declaration of Helsinki, the International Council for Harmonisation Good Clinical Practice guidelines, and the Japanese Ministry of Health, Labour and Welfare. All patients provided written informed consent prior to participating in the study. This trial was registered in ClinicalTrials.gov under the identifier NCT03901352.
Safety (Primary Endpoint)
The primary endpoint was long-term safety, assessed by incidence and severity of treatment-emergent adverse events (TEAEs), clinical laboratory tests, vital signs, 12-lead electrocardiography, body weight, edema, the Columbia-Suicide Severity Rating Scale (C-SSRS), and the Hospital Anxiety and Depression Scale. Adverse events (AEs) of special interest (AESIs) included AEs related to liver enzyme elevation/liver dysfunction and AEs related to suicide based on the C-SSRS. Significant AEs were defined as any AE related to dizziness, somnolence, loss of consciousness, edema, weight gain, the cardiovascular system, cardiac failure, visual disorder, glucose intolerance, drug abuse, or drug withdrawal. AEs were coded using the Medical Dictionary for Regulatory Activities (MedDRA), version 23.0.
Efficacy Outcomes
Patients were required to complete a self-assessment of their pain using the SF-MPQ at each study visit during the treatment period. The SF-MPQ consists of three parts: a set of 15 pain descriptors (11 sensory and 4 affective) scored from 0 (none) to 3 (severe), a VAS, in which patients rate their pain on a scale of 0 (no pain) to 100 (worst possible pain), and a present pain intensity index that provides a score of 0 to 5 based on intensity. The SF-MPQ data and time course of SF-MPQ VAS scores were analyzed by patient group as post hoc analyses.
Statistical Analysis
Approximately 180 patients were planned to be enrolled, with a minimum of 60 each for CNePSCI and CPSP, and 10 for CNePPD, with the goal of achieving a completion rate of at least 100 patients receiving treatment for 1 year, in accordance with the ICH E1 guidelines [22]. The safety and efficacy analysis sets were identical and included all patients who provided informed consent and received at least one dose of study medication.
Continuous variables were summarized by the number of observations, mean, standard deviation (SD), median, and range. Categorical variables were summarized using frequency counts and percentages. No imputation was performed for missing safety data. Missing data for efficacy endpoints were handled according to the standard scoring instructions of the SF-MPQ questionnaire, using a last-observation carried forward (LOCF) approach. All statistical analyses were performed with SAS Version 9.3 or higher (SAS Institute Inc., Cary, NC, USA).
Results
Patients
Of 231 patients assessed for eligibility, 210 were enrolled and included in both the safety and efficacy analysis sets: 106, 94, and 10 for the CNePSCI, CPSP, and CNePPD groups, respectively (Fig. 2). The main reasons for discontinuation were AEs, and the overall study completion rate was 81.0%. The overall treatment compliance rate was 97.9%, and 19, 15, and 6 patients discontinued the study in the CNePSCI, CPSP, and CNePPD groups, respectively.
Fig. 2.
Patient disposition. Numbers in parentheses are percentages with each respective patient group as the denominator. CNePSCI central neuropathic pain from spinal cord injury, CNePPD central neuropathic pain from Parkinson’s disease, CPSP central post-stroke pain
Baseline characteristics are shown in Table 1. The mean overall age was 62.9 years and 51.9% of patients were ≥ 65 years old. The mean ± SD VAS was 61.4 mm ± 20.4 and the mean CrCL was 91.7 mL/min. Forty-eight patients (22.9%) had reduced renal function (CrCL 30 mL/min to < 60 mL/min) and received a 50% reduced dose. Most patients were male and Japanese, although there was a higher proportion of women in the CNePPD group compared with the CNePSCI and CPSP groups. The mean age was higher in the CPSP and CNePPD groups than in the CNePSCI group, especially for CNePPD, where all patients were elderly (≥ 65 years). The CPSP and CNePPD groups had lower mean CrCL than the CNePSCI group. Patients with CNePPD had a shorter duration of CNeP after primary disease onset than the other two groups.
Table 1.
Baseline patient demographics and characteristics
| CNePSCI | CPSP | CNePPD | Total | |
|---|---|---|---|---|
| n = 106 | n = 94 | n = 10 | N = 210 | |
| Age (years) | 59.7 ± 13.81 | 65.3 ± 11.07 | 73.6 ± 4.58 | 62.9 ± 12.82 |
| Age group (years) | ||||
| 18 to < 65 | 61 (57.5) | 40 (42.6) | 0 (0.0) | 101 (48.1) |
| 65 to < 75 | 31 (29.2) | 35 (37.2) | 5 (50.0) | 71 (33.8) |
| ≥ 75 | 14 (13.2) | 19 (20.2) | 5 (50.0) | 38 (18.1) |
| Sex (male) | 94 (88.7) | 66 (70.2) | 3 (30.0) | 163 (77.6) |
| Country | ||||
| Japan | 96 (90.6) | 94 (100.0) | 10 (100.0) | 200 (95.2) |
| Korea | 4 (3.8) | 0 (0.0) | 0 (0.0) | 4 (1.9) |
| Taiwan | 6 (5.7) | 0 (0.0) | 0 (0.0) | 6 (2.9) |
| Body weight (kg) | 66.61 ± 12.302 | 64.11 ± 13.391 | 53.43 ± 9.345 | 64.87 ± 12.948 |
| Creatinine clearance (mL/min) | 110.2 ± 51.10 | 72.7 ± 26.00 | 73.5 ± 17.92 | 91.7 ± 44.47 |
| Visual analog scale (mm)a | 52.3 ± 20.78 | 71.0 ± 15.05 | 67.5 ± 18.19 | 61.4 ± 20.42 |
| Duration of primary disease (months) | 92.8 ± 117.75 | 84.6 ± 70.13 | 91.5 ± 30.53 | – |
| Duration of CNeP after primary disease onset (months) | 79.6 ± 86.77 | 76.0 ± 64.65 | 38.9 ± 31.89 | – |
Data are mean ± standard deviation or n (%)
CNePSCI central neuropathic pain from spinal cord injury, CNePPD central neuropathic pain from Parkinson’s disease, CPSP central post-stroke pain
aPain score according to the short-form McGill Pain Questionnaire
Safety (Primary Endpoint)
A total of 178 patients (84.8%) experienced a TEAE and 110 (52.4%) reported significant TEAEs (Table 2). The incidence of TEAEs was numerically lowest in the CNePSCI group, with 86 (81.1%), 82 (87.2%), and 10 (100.0%) patients reporting any TEAE and 47 (44.3%), 56 (59.6%), and 7 (70.0%) patients reporting significant TEAEs in the CNePSCI, CPSP, and CNePPD groups, respectively. Serious TEAEs were infrequent and reported in 28 (13.3%) patients overall. A total of 24 (11.4%) patients experienced a TEAE that led to treatment discontinuation. ADRs were reported in 84 (40.0%) patients overall, and significant ADRs were reported in 72 (34.3%) patients. The most common ADRs overall were: somnolence 32 patients (15.2%), peripheral edema 19 patients (9.0%), dizziness 15 patients (7.1%), weight gain 11 patients (5.2%), and edema 8 patients (3.8%). The incidence of ADRs was also lowest in the CNePSCI group (26 patients, 24.5%).
Table 2.
Summary of the incidence of TEAEs and ADRs by seriousness, severity, and significance
| CNePSCI | CPSP | CNePPD | Total | |
|---|---|---|---|---|
| n = 106 | n = 94 | n = 10 | N = 210 | |
| Any TEAE | 86 (81.1) | 82 (87.2) | 10 (100.0) | 178 (84.8) |
| Any ADR | 26 (24.5) | 51 (54.3) | 7 (70.0) | 84 (40.0) |
| Serious TEAE | 15 (14.2) | 10 (10.6) | 3 (30.0) | 28 (13.3) |
| Serious ADR | 1 (0.9) | 0 (0.0) | 1 (10.0) | 2 (1.0) |
| Severe TEAE | 7 (6.6) | 6 (6.4) | 0 (0.0) | 13 (6.2) |
| Severe ADR | 1 (0.9) | 0 (0.0) | 0 (0.0) | 1 (0.5) |
| Significant TEAE | 47 (44.3) | 56 (59.6) | 7 (70.0) | 110 (52.4) |
| Significant ADR | 20 (18.9) | 47 (50.0) | 5 (50.0) | 72 (34.3) |
| TEAE leading to treatment discontinuation | 7 (6.6) | 13 (13.8) | 4 (40.0) | 24 (11.4) |
| ADR leading to treatment discontinuation | 2 (1.9) | 9 (9.6) | 3 (30.0) | 14 (6.7) |
Data are n (%), with each respective patient group as the denominator. Events are coded according to the Medical Dictionary for Regulatory Activities (MedDRA), version 23.0. Significant events are defined as any event related to dizziness, somnolence, loss of consciousness, edema, weight gain, cardiovascular system, cardiac failure, visual disorder, glucose intolerance, drug abuse, or drug withdrawal.
ADR adverse drug reaction, CNePSCI central neuropathic pain from spinal cord injury, CNePPD central neuropathic pain from Parkinson’s disease, CPSP central post-stroke pain, TEAE treatment-emergent adverse event
TEAEs occurring in ≥ 5% of patients overall (N = 210) are described in Table 3. The most common TEAEs included somnolence (35 patients, 16.7%), peripheral edema (26 patients, 12.4%), edema (24 patients, 11.4%), nasopharyngitis (23 patients, 11.0%), and dizziness (16 patients, 7.6%). Of TEAEs occurring in ≥ 5% of patients overall, the majority of TEAEs were mild and no severe TEAEs were reported. No notable abnormal findings were reported in clinical laboratory tests, vital signs, 12-lead electrocardiography, the C-SSRS, or the Hospital Anxiety and Depression Scale.
Table 3.
Treatment-emergent adverse events occurring in ≥ 5% of patients overall, by patient group and severity
| Preferred term | CNePSCI (n = 106) |
CPSP (n = 94) |
CNePPD (n = 10) |
Total (N = 210) |
||||||||
|---|---|---|---|---|---|---|---|---|---|---|---|---|
| Mild | Moderate | Severe | Mild | Moderate | Severe | Mild | Moderate | Severe | Mild | Moderate | Severe | |
| Somnolence | 6 (5.7) | 1 (0.9) | 0 (0.0) | 20 (21.3) | 5 (5.3) | 0 (0.0) | 3 (30.0) | 0 (0.0) | 0 (0.0) | 29 (13.8) | 6 (2.9) | 0 (0.0) |
| Edema peripheral | 7 (6.6) | 2 (1.9) | 0 (0.0) | 16 (17.0) | 1 (1.1) | 0 (0.0) | 0 (0.0) | 0 (0.0) | 0 (0.0) | 23 (11.0) | 3 (1.4) | 0 (0.0) |
| Edema | 15 (14.2) | 0 (0.0) | 0 (0.0) | 6 (6.4) | 0 (0.0) | 0 (0.0) | 3 (30.0) | 0 (0.0) | 0 (0.0) | 24 (11.4) | 0 (0.0) | 0 (0.0) |
| Nasopharyngitis | 11 (10.4) | 0 (0.0) | 0 (0.0) | 12 (12.8) | 0 (0.0) | 0 (0.0) | 0 (0.0) | 0 (0.0) | 0 (0.0) | 23 (11.0) | 0 (0.0) | 0 (0.0) |
| Dizziness | 5 (4.7) | 0 (0.0) | 0 (0.0) | 9 (9.6) | 2 (2.1) | 0 (0.0) | 0 (0.0) | 0 (0.0) | 0 (0.0) | 14 (6.7) | 2 (1.0) | 0 (0.0) |
| Weight increased | 6 (5.7) | 1 (0.9) | 0 (0.0) | 7 (7.4) | 0 (0.0) | 0 (0.0) | 1 (10.0) | 0 (0.0) | 0 (0.0) | 14 (6.7) | 1 (0.5) | 0 (0.0) |
| Constipation | 7 (6.6) | 0 (0.0) | 0 (0.0) | 6 (6.4) | 0 (0.0) | 0 (0.0) | 0 (0.0) | 0 (0.0) | 0 (0.0) | 13 (6.2) | 0 (0.0) | 0 (0.0) |
| Urinary tract infection | 9 (8.5) | 1 (0.9) | 0 (0.0) | 2 (2.1) | 0 (0.0) | 0 (0.0) | 0 (0.0) | 0 (0.0) | 0 (0.0) | 11 (5.2) | 1 (0.5) | 0 (0.0) |
| Diabetes mellitus | 4 (3.8) | 0 (0.0) | 0 (0.0) | 7 (7.4) | 0 (0.0) | 0 (0.0) | 0 (0.0) | 0 (0.0) | 0 (0.0) | 11 (5.2) | 0 (0.0) | 0 (0.0) |
| Back pain | 4 (3.8) | 0 (0.0) | 0 (0.0) | 6 (6.4) | 1 (1.1) | 0 (0.0) | 0 (0.0) | 0 (0.0) | 0 (0.0) | 10 (4.8) | 1 (0.5) | 0 (0.0) |
Events are coded according to the Medical Dictionary for Regulatory Activities (MedDRA), version 23.0.
CNePSCI central neuropathic pain from spinal cord injury, CNePPD central neuropathic pain from Parkinson’s disease, CPSP central post-stroke pain
Efficacy
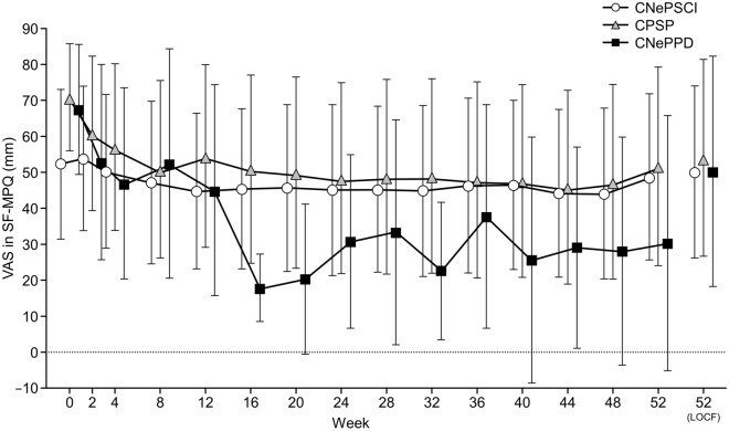
The time-course of the SF-MPQ VAS scores throughout the study according to patient group is shown in Fig. 3. The mean ± SD baseline and week 52 (LOCF) VAS scores for patients with CNePSCI were 52.3 ± 20.78 mm and 50.0 ± 23.92 mm, respectively (mean change from baseline, −2.3 ± 21.13 mm). In the CPSP group, the VAS decreased at 2 weeks of treatment and gradually continued to decrease throughout the treatment period. The mean ± SD baseline and week 52 (LOCF) VAS scores for patients with CPSP were 71.0 ± 15.05 mm and 54.0 ± 27.50 mm, respectively (mean change from baseline, −17.0 ± 24.99 mm). The mean ± SD baseline and week 52 (LOCF) VAS scores for patients with CNePPD were 67.5 ± 18.19 mm and 50.4 ± 32.14 mm, respectively. The VAS also decreased from week 2 in this group, followed by a rapid decrease between weeks 12 and 16, and subsequent increase thereafter; however, the mean change from baseline at the end of the study was −17.1 ± 35.32 mm (LOCF).
Fig. 3.
Time course of SF-MPQ VAS scores by patient group (post hoc analysis). Data are mean ± standard deviation. CNePSCI central neuropathic pain from spinal cord injury, CNePPD central neuropathic pain from Parkinson’s disease, CPSP central post-stroke pain, LOCF last observation carried forward, SF-MPQ short-form McGill Pain Questionnaire, VAS visual analog scale
The results of the other SF-MPQ subscales (sensory score, affective score, total score, and present pain intensity) according to patient group are shown in Table 4.
Table 4.
Short-form McGill Pain Questionnaire subscale scores and change from baseline (post hoc analysis)
| Parameter | Statistic | CNePSCI | CPSP | CNePPD |
|---|---|---|---|---|
| Sensory score | ||||
| Baseline | n | 106 | 94 | 10 |
| Mean ± SD | 7.4 ± 5.50 | 10.5 ± 6.68 | 11.5 ± 6.57 | |
| Week 52 | n | 87 | 79 | 4 |
| Mean ± SD | 8.1 ± 7.06 | 6.2 ± 6.75 | 4.0 ± 4.24 | |
| Change from baseline at week 52 | n | 87 | 79 | 4 |
| Mean ± SD | 0.6 ± 4.85 | −4.0 ± 5.96 | −9.3 ± 10.24 | |
| Week 52 (LOCF)a | n | 106 | 94 | 10 |
| Mean ± SD | 8.0 ± 6.64 | 6.9 ± 7.17 | 6.5 ± 5.17 | |
| Change from baseline at week 52a | n | 106 | 94 | 10 |
| Mean ± SD | 0.7 ± 4.59 | −3.6 ± 6.18 | −5.0 ± 7.44 | |
| Affective score | ||||
| Baseline | n | 106 | 94 | 10 |
| Mean ± SD | 1.5 ± 1.83 | 3.4 ± 2.95 | 4.7 ± 4.19 | |
| Week 52 | n | 87 | 79 | 4 |
| Mean ± SD | 1.5 ± 2.07 | 1.7 ± 2.63 | 1.3 ± 2.50 | |
| Change from baseline at week 52 | n | 87 | 79 | 4 |
| Mean ± SD | 0.0 ± 1.27 | −1.3 ± 2.87 | −4.5 ± 4.12 | |
| Week 52 (LOCF)a | n | 106 | 94 | 10 |
| Mean ± SD | 1.5 ± 2.04 | 2.0 ± 2.69 | 2.5 ± 2.99 | |
| Change from baseline at week 52a | n | 106 | 94 | 10 |
| Mean ± SD | 0.0 ± 1.51 | −1.5 ± 2.73 | −2.2 ± 3.26 | |
| Total score | ||||
| Baseline | n | 106 | 94 | 10 |
| Mean ± SD | 8.9 ± 6.88 | 13.9 ± 9.15 | 16.2 ± 10.03 | |
| Week 52 | n | 87 | 79 | 4 |
| Mean ± SD | 9.6 ± 8.77 | 7.9 ± 9.06 | 5.3 ± 6.65 | |
| Change from baseline at week 52 | n | 87 | 79 | 4 |
| Mean ± SD | 0.6 ± 5.69 | −5.2 ± 8.33 | −13.8 ± 14.06 | |
| Week 52 (LOCF)a | n | 106 | 94 | 10 |
| Mean ± SD | 9.6 ± 8.27 | 8.9 ± 9.52 | 9.0 ± 7.42 | |
| Change from baseline at week 52a | n | 106 | 94 | 10 |
| Mean ± SD | 0.7 ± 5.56 | −5.1 ± 8.39 | −7.2 ± 10.45 | |
| Present pain intensity | ||||
| Baseline | n | 106 | 94 | 10 |
| Mean ± SD | 2.1 ± 1.09 | 2.8 ± 1.07 | 2.8 ± 1.40 | |
| Week 52 | n | 87 | 79 | 4 |
| Mean ± SD | 1.9 ± 0.92 | 1.9 ± 1.25 | 1.8 ± 1.50 | |
| Change from baseline at week 52 | n | 87 | 79 | 4 |
| Mean ± SD | −0.1 ± 0.73 | −0.9 ± 1.06 | −1.3 ± 1.89 | |
| Week 52 (LOCF)a | n | 106 | 94 | 10 |
| Mean ± SD | 2.0 ± 1.00 | 2.0 ± 1.26 | 2.1 ± 1.10 | |
| Change from baseline at week 52a | n | 106 | 94 | 10 |
| Mean ± SD | −0.1 ± 0.78 | −0.8 ± 1.16 | −0.7 ± 1.42 | |
CNePSCI central neuropathic pain from spinal cord injury, CNePPD central neuropathic pain from Parkinson’s disease, CPSP central post-stroke pain, LOCF last observation carried forward, SD standard deviation
aMissing values were imputed using the LOCF approach, and the data were analyzed on the basis of an analysis of covariance model with treatment as a fixed effect and baseline value as a covariate
Discussion
This long-term study was conducted as an open-label extension of the previous 14-week randomized double-blind placebo-controlled trial of mirogabalin [18]. In the present study, patients with CNePSCI from the 14-week study could continue to the long-term treatment period, whereas patients with CPSP and CNePPD were newly recruited. Our objectives were to confirm the safety and efficacy of mirogabalin for up to 52 weeks of administration in patients with CNePSCI, CPSP, or CNePPD.
Treatment of CNeP is challenging, and the therapies currently available do not always provide adequate analgesia or allow for long-term use because of ADRs. Our results indicated that flexible dosing (10 or 15 mg BID) of mirogabalin in patients with CNeP has acceptable tolerability for at least 52 weeks of administration, demonstrating the clinical significance for clinicians, patients, and researchers alike. Frequently occurring TEAEs included somnolence, peripheral edema, edema, and dizziness, which are expected side effects of mirogabalin. Nasopharyngitis was an expected TEAE based on the previous 14-week randomized double-blind placebo-controlled treatment period of mirogabalin [18], and the severity of most TEAEs was mild. The discontinuation rates due to TEAEs related to somnolence or dizziness were very low.
The results of the SF-MPQ indicated that flexible dosing of mirogabalin (10 or 15 mg BID) maintained effective pain relief throughout 52 weeks of treatment. It should be noted that patients in the CNePSCI group were recruited directly from the 14-week trial [18], and thus the baseline VAS score in this group was already low at the beginning of the open-label extension; therefore, this explains the relatively low decrease from baseline in this group. Importantly, the decreases in VAS scores observed in this group from the double-blind treatment period were maintained throughout the present study, and reductions in VAS scores were observed in all patient groups by the end of the treatment period.
The safety profile in the present study was comparable with that of the 14-week double-blind treatment period, as well as other long-term trials of mirogabalin for other indications [e.g., diabetic peripheral neuropathic pain (DPNP), fibromyalgia, and post-herpetic neuralgia (PHN)] [18, 23–25]. The incidence of somnolence in the present study was 6.6% in patients with CNePSCI and 26.6% in patients with CPSP, versus 29.8% in the 14-week double-blind treatment period [18], 9.3% for DPNP [23], 15.2% for PHN [25], and 11.1% for fibromyalgia [24]. The relatively low incidence of somnolence for patients with CNePSCI in the present study may be explained by the fact that this AE tends to occur relatively soon after administration of mirogabalin, and because approximately half of the patients with CNePSCI in this study had previously received mirogabalin during the 14-week double-blind treatment period, they may have been less likely to experience somnolence during the long-term extension.
In the above-mentioned previous studies, the incidence of dizziness, weight gain, constipation, and peripheral edema ranged from 4.7% to 13.5%, 6.6% to 13.9%, 4.6% to 6.6%, and 4.6% to 18.1%, respectively [18, 23–25]. When assessing the causality of the nasopharyngitis, urinary tract infection, diabetes mellitus, and back pain events, only two cases of diabetes mellitus (1.0%) were judged to be ADRs. These were not reported in previous studies as TEAEs and ADRs specific to gabapentinoids, including mirogabalin [12, 13, 18, 23, 25]. Therefore, these events are not considered common ADRs for gabapentinoids, and no new safety concerns have been raised in this study. Regarding the subgroup of patients with CNePPD, it is difficult to make meaningful comparisons of TEAE rates because of the small number of patients in this group; however, no unexpected TEAEs occurred in patients with CNePPD.
A long-term study of pregabalin (another gabapentinoid) included 103 patients with CNeP (CPSP n = 60, CNePSCI n = 38, and multiple sclerosis n = 5) [12]. The incidences of somnolence, weight gain, dizziness, and peripheral edema were all numerically lower in the present study than those of the pregabalin study (16.7%, 7.1%, 7.6%, and 12.4% in the present study, and 48.5%, 28.2%, 22.3%, and 17.5% in the pregabalin study, respectively). Furthermore, the rates of treatment discontinuation due to TEAEs and ADRs were also numerically lower in the present study than the pregabalin study (due to TEAEs, 11.4% and 15.5%, due to ADRs, 6.7% and 12.6%) [12]. This might be explained by differences in the dissociation rates of each drug from different subtypes of the α2δ subunit of voltage-gated calcium channels. Preclinical research indicated that pregabalin had similar profiles of dissociation from the α2δ-1 and α2δ-2 subtypes, whereas mirogabalin had a slower dissociation rate for the α2δ-1 subtype compared with α2δ-2 [26]. Binding of the α2δ-1 subtype is thought to elicit the analgesic effects associated with gabapentinoids, whereas binding of the α2δ-2 subtype is suspected to cause central nervous system-related side effects [17, 26, 27].
Regarding efficacy, results similar to the previous 14-week treatment period [18] were observed in the present long-term treatment period with respect to improvements from baseline in SF-MPQ VAS scores: CPSP (−17.0 ± 24.99 mm) and CNePPD (−17.1 ± 35.32 mm) groups in the present study, versus −14.2 ± 19.09 mm in the 14-week treatment period. Importantly, improvements in SF-MPQ VAS scores in the CNePSCI group were maintained to the end of the long-term open-label treatment period. Furthermore, the improvements in SF-MPQ VAS scores in the present study were numerically greater than those reported for mirogabalin in trials including patients with DPNP (−9.8 ± 14.06 mm) [23] and PHN (−12.4 ± 16.13 mm) [25]. Finally, a long-term study of pregabalin reported similar efficacy, with a mean ± SD change from baseline of −20.1 ± 25.2 mm in the SF-MPQ VAS [12].
To our knowledge, the efficacy and safety of gabapentinoids for pain in patients with PD have not been sufficiently evaluated; we are aware of only a single case report to date [15]. Our results therefore provide much needed preliminary data on the potential of mirogabalin for the safe and effective treatment of CNePPD, for which other drugs (e.g., dopamine agonists, antidepressants, non-steroidal anti-inflammatory drugs, and opioids) have known issues of unwanted side effects, or insufficient efficacy in treating this type of pain [28]. Although we were only able to recruit a small number of patients with CNePPD, our results show that mirogabalin may be a promising treatment option in such patients, and its use for treating CNePPD should be investigated further.
Regarding other subscale items of the SF-MPQ, patients with SCI who received mirogabalin in the double-blind treatment period of the present trial [18] exhibited significant improvements in all non-VAS items of the SF-MPQ versus those who received placebo. These improvements were generally consistent with those of a similar long-term study of pregabalin [12]; moreover, the lack of significant change in each item of the SF-MPQ for CNePSCI patients during the present long-term treatment period indicates that the improvements elicited by mirogabalin were sustained after long-term administration.
Similarly, CPSP patients in the present study had improvements from baseline in the SF-MPQ total score, consistent with the previous similar long-term study of pregabalin: mean ± SD change from baseline at 52 weeks for mirogabalin −5.2 ± 8.33, and for pregabalin −5.7 ± 8.6 [12]. Furthermore, patients with CNePPD had numerical improvements in all items of the SF-MPQ, similar to the previous pregabalin study.
Interestingly, patients with CPSP and CNePPD in the present study appeared to show numerically better improvements in SF-MPQ subscale items than previous studies of mirogabalin for other indications (but with the same study duration). We speculate that this may be partly because of the higher baseline values for patients in the present study vs those of the DPNP [23] and PHN [25] studies, although further research is necessary to confirm the reason for such a discrepancy.
Our study was limited by the relatively small sample size, especially for patients with CNePPD, and the open-label design, which did not include a control group. Furthermore, we did not include patients with CNeP of etiologies other than CNePSCI, CPSP, or CNePPD, and only patients of Asian ethnicity were included. Patients with CrCL < 30 mL/min were excluded, so the safety and efficacy of mirogabalin remain to be confirmed in patients with severe renal impairment. Finally, we did not collect follow-up data after the trial was completed, and to our knowledge, there are no follow-up data reported in the literature regarding patient prognoses after discontinuation of mirogabalin. These limitations could be suitably explored in future studies.
Conclusion
The present study demonstrated that long-term administration of mirogabalin in Asian patients with CNeP was generally safe and effective, suggesting that mirogabalin may be a promising treatment alternative for CNeP.
Supplementary Information
Below is the link to the electronic supplementary material.
Acknowledgements
The authors thank the staff of all participating institutions for their support of this research, and the patients themselves.
Funding
This research was supported by Daiichi Sankyo Co., Ltd., Tokyo, Japan, which also funded the rapid service fees for publication of this manuscript.
Medical Writing and Editorial Assistance
The authors thank Mary Richardson, MSc, of Edanz (www.edanz.com), for providing medical writing support, which was funded by Daiichi Sankyo Co., Ltd., in accordance with Good Publication Practice (GPP3) guidelines (http://www.ismpp.org/gpp3).
Authorship
All named authors meet the International Committee of Medical Journal Editors (ICMJE) criteria for authorship for this article, take responsibility for the integrity of the work as a whole, and have given their approval for this version to be published.
Author Contributions
All authors contributed to the conceptualization of the study, review and editing of the manuscript, and visualization of the published work. All authors accessed the data, and Masanori Kuroha, Yoshihiro Kakehi, and Kunika Kikumori verified the data. Takahiro Ushida, Yoichi Katayama, Yoichi Hiasa, Makoto Nishihara, Masanori Kuroha, Yoshihiro Kakehi, and Kunika Kikumori contributed to the methodology. Kunika Kikumori performed the formal analysis. Fumihiro Tajima, Shinsuke Katoh, Hirotaka Tanaka, Takeshi Maeda, and Kazunari Furusawa conducted the clinical investigation. Fumihiro Tajima, Shinsuke Katoh, Hirotaka Tanaka, Takeshi Maeda, and Kazunari Furusawa contributed to provision of study materials/resources and data curation. Takahiro Ushida, Masanori Kuroha, Yoshihiro Kakehi, and Kunika Kikumori helped write the original draft. Takahiro Ushida, Yoichi Katayama, Yoichi Hiasa, Makoto Nishihara, Masanori Kuroha, and Yoshihiro Kakehi supervised the study. Masanori Kuroha, Yoshihiro Kakehi, and Kunika Kikumori contributed to project administration and funding acquisition. All authors had full access to all the data in the study and had final responsibility for the decision to submit for publication.
Prior Presentation
Data from the double-blind placebo-controlled phase of this study were previously published in Neurology, 2023;100(11):e1193–206.
Disclosures
Takahiro Ushida received lecture fees and scholarship fees from Daiichi Sankyo Co., Ltd., and lecture fees outside the submitted work from Asahi Kasei Pharma Corp., AbbVie G.K., Viatris Inc., Eisai Co., Ltd., Suzuken Co., Ltd., Shionogi and Co., Ltd., Taisho Pharmaceutical Co., Ltd., Chugai Pharmaceutical Co., Ltd., Teijin Pharma Ltd., Nipro Corp., Eli Lilly Japan K.K., Nippon Zoki Pharmaceutical Co., Ltd., Hisamitsu Pharmaceutical Co., Inc., Pfizer Japan Inc., Boston Scientific Japan K.K., Mundipharma K.K., Medical QOL Co., Ltd., Janssen Pharmaceutical K.K., Tsumura and Co., Taisho Toyama Pharmaceutical Co., Ltd., and Mitsubishi Tanabe Pharma Corp. Makoto Nishihara received lecture fees from Daiichi Sankyo Co., Ltd., and lecture fees outside the submitted work from Shionogi and Co., Ltd., Eli Lilly Japan K.K., Hisamitsu Pharmaceutical Co., Inc., Pfizer Japan Inc., Mochida Pharmaceutical Co., Ltd., and Mitsubishi Tanabe Pharma Corp. The institution to which Takahiro Ushida and Makoto Nishihara are affiliated (Aichi Medical University) received research funding outside the submitted work from Nippon Zoki Pharmaceutical Co., Ltd., Kyoto University, Pascal Universe Co., Ltd., and BonBon Inc., and scholarship fees outside the submitted work from Astellas Pharma Inc., AbbVie G.K., Osuga Clinic, Zenki Clinic, Clinics of Youteikai, Kowa Medical Society, Otsuka Pharmaceutical Co., Ltd., Tsumura and Co., Shionogi and Co., Ltd., Daiichi Sankyo Co., Ltd., Taisho Pharmaceutical Co., Ltd., Taisho Toyama Pharmaceutical Co., Ltd., Chugai Pharmaceutical Co., Ltd., Nipro Corp., Eli Lilly Japan K.K., Pfizer Japan Inc., Boston Scientific Japan K.K., and Mochida Pharmaceutical Co., Ltd. Yoichi Hiasa received consulting fees from Daiichi Sankyo Co., Ltd., and research funding outside the submitted work from Ono Pharmaceutical Co., Ltd., AbbVie G.K., Takeda Pharmaceutical Co., Ltd., Otsuka Pharmaceutical Co., Ltd., and Novartis Pharma K.K., and lecture fees outside the submitted work from MSD K.K., AbbVie G.K., and Gilead Sciences, Inc. Yoichi Katayama, Fumihiro Tajima, Shinsuke Katoh, Hirotaka Tanaka, Takeshi Maeda, and Kazunari Furusawa have no conflicts of interest to declare. Masanori Kuroha, Yoshihiro Kakehi, and Kunika Kikumori are employees of Daiichi Sankyo Co., Ltd., which funded this study.
Compliance with Ethics Guidelines
The study protocol, protocol amendments, informed consent forms, and information sheets were approved by the relevant Independent Ethics Committees or Institutional Review Boards at each study center (see Table S1 in the Supplementary Material for a list of participating institutions). This study was conducted in compliance with the protocol and ethical principles that have their origin in the Declaration of Helsinki, the International Council for Harmonisation Good Clinical Practice guidelines, and the Japanese Ministry of Health, Labour and Welfare. All patients provided written informed consent prior to participating in the study. This trial was registered in ClinicalTrials.gov under the identifier NCT03901352.
Data Availability
The datasets generated during and/or analyzed during the current study are not publicly available, but are available from the corresponding author on reasonable request at https://vivli.org/ourmember/daiichi-sankyo/.
References
- 1.Treede RD, Jensen TS, Campbell JN, et al. Neuropathic pain: redefinition and a grading system for clinical and research purposes. Neurology. 2008;70(18):1630–1635. doi: 10.1212/01.wnl.0000282763.29778.59. [DOI] [PubMed] [Google Scholar]
- 2.Loeser JD, Treede RD. The Kyoto protocol of IASP basic pain terminology. Pain. 2008;137(3):473–477. doi: 10.1016/j.pain.2008.04.025. [DOI] [PubMed] [Google Scholar]
- 3.Nicholson B. Differential diagnosis: nociceptive and neuropathic pain. Am J Manag Care. 2006;12(9 Suppl):S256–S262. [PubMed] [Google Scholar]
- 4.Watson JC, Sandroni P. Central neuropathic pain syndromes. Mayo Clin Proc. 2016;91(3):372–385. doi: 10.1016/j.mayocp.2016.01.017. [DOI] [PubMed] [Google Scholar]
- 5.Moreno CB, Hernández-Beltrán N, Munévar D, Gutiérrez-Alvarez AM. Central neuropathic pain in Parkinson’s disease. Neurologia. 2012;27(8):500–503. doi: 10.1016/j.nrl.2011.08.001. [DOI] [PubMed] [Google Scholar]
- 6.Canavan C, Inoue T, McMahon S, Doody C, Blake C, Fullen BM. The efficacy, adverse events, and withdrawal rates of the pharmacological management of chronic spinal cord injury pain: a systematic review and meta-analysis. Pain Med. 2022;23(2):375–395. doi: 10.1093/pm/pnab140. [DOI] [PubMed] [Google Scholar]
- 7.Liampas A, Velidakis N, Georgiou T, et al. Prevalence and management challenges in central post-stroke neuropathic pain: a systematic review and meta-analysis. Adv Ther. 2020;37(7):3278–3291. doi: 10.1007/s12325-020-01388-w. [DOI] [PMC free article] [PubMed] [Google Scholar]
- 8.Edinoff A, Sathivadivel N, McBride T, et al. Chronic pain treatment strategies in Parkinson’s disease. Neurol Int. 2020;12(3):61–76. doi: 10.3390/neurolint12030014. [DOI] [PMC free article] [PubMed] [Google Scholar]
- 9.Dworkin RH, Connor AB, Backonja M, et al. Pharmacologic management of neuropathic pain: evidence-based recommendations. Pain. 2007;132(3):237–251. doi: 10.1016/j.pain.2007.08.033. [DOI] [PubMed] [Google Scholar]
- 10.Davari M, Amani B, Amani B, Khanijahani A, Akbarzadeh A, Shabestan R. Pregabalin and gabapentin in neuropathic pain management after spinal cord injury: a systematic review and meta-analysis. Korean J Pain. 2020;33(1):3–12. doi: 10.3344/kjp.2020.33.1.3. [DOI] [PMC free article] [PubMed] [Google Scholar]
- 11.Kalita J, Chandra S, Misra UK. Pregabalin and lamotrigine in central poststroke pain: a pilot study. Neurol India. 2017;65(3):506–511. doi: 10.4103/neuroindia.NI_45_16. [DOI] [PubMed] [Google Scholar]
- 12.Onouchi K, Koga H, Yokoyama K, Yoshiyama T. An open-label, long-term study examining the safety and tolerability of pregabalin in Japanese patients with central neuropathic pain. J Pain Res. 2014;7:439–447. doi: 10.2147/JPR.S63028. [DOI] [PMC free article] [PubMed] [Google Scholar]
- 13.Kim JS, Bashford G, Murphy TK, Martin A, Dror V, Cheung R. Safety and efficacy of pregabalin in patients with central post-stroke pain. Pain. 2011;152(5):1018–1023. doi: 10.1016/j.pain.2010.12.023. [DOI] [PubMed] [Google Scholar]
- 14.Hesami O, Gharagozli K, Beladimoghadam N, Assarzadegan F, Mansouri B, Sistanizad M. The efficacy of gabapentin in patients with central poststroke pain. Iran J Pharm Res. 2015;14(Suppl):95–101. [PMC free article] [PubMed] [Google Scholar]
- 15.Abe K, Chiba Y, Katsuse O, Hirayasu Y. A case of Parkinson disease with both visual hallucination and pain improved by gabapentin. Clin Neuropharmacol. 2016;39(1):55–56. doi: 10.1097/WNF.0000000000000122. [DOI] [PubMed] [Google Scholar]
- 16.Deeks ED. Mirogabalin: first global approval. Drugs. 2019;79(4):463–468. doi: 10.1007/s40265-019-01070-8. [DOI] [PubMed] [Google Scholar]
- 17.Zajączkowska R, Mika J, Leppert W, Kocot-Kępska M, Malec-Milewska M, Wordliczek J. Mirogabalin: a novel selective ligand for the α2δ calcium channel subunit. Pharmaceuticals (Basel) 2021;14(2):112. doi: 10.3390/ph14020112. [DOI] [PMC free article] [PubMed] [Google Scholar]
- 18.Ushida T, Katayama Y, Hiasa Y, et al. Mirogabalin for central neuropathic pain after spinal cord injury: a randomized, double-blind, placebo-controlled, phase 3 study in Asia. Neurology. 2023;100(11):e1193–e1206. doi: 10.1212/WNL.0000000000201709. [DOI] [PMC free article] [PubMed] [Google Scholar]
- 19.Japanese package insert of mirogabalin. 2022. https://pins.japic.or.jp/pdf/newPINS/00070625.pdf. (In Japanese). Accessed 21 Dec 2022.
- 20.Melzack R. The short-form McGill Pain Questionnaire. Pain. 1987;30(2):191–197. doi: 10.1016/0304-3959(87)91074-8. [DOI] [PubMed] [Google Scholar]
- 21.Ford B. Pain in Parkinson’s disease. Mov Disord. 2010;25(Suppl 1):S98–103. doi: 10.1002/mds.22716. [DOI] [PubMed] [Google Scholar]
- 22.European Medicines Agency. ICH Topic E1. Population exposure: the extent of population exposure to assess clinical safety. 1995. https://www.ema.europa.eu/en/documents/scientific-guideline/ich-e-1-population-exposure-extent-population-exposure-assess-clinical-safety-step-5_en.pdf. Accessed 07 June 2022.
- 23.Baba M, Natsui N, Kuroha M. Long-term safety and efficacy of mirogabalin in Asian patients with diabetic peripheral neuropathic pain. J Diabetes Investig. 2020;11(3):693–698. doi: 10.1111/jdi.13178. [DOI] [PMC free article] [PubMed] [Google Scholar]
- 24.Arnold LM, Whitaker S, Hsu C, Jacobs D, Merante D. Efficacy and safety of mirogabalin for the treatment of fibromyalgia: results from three 13-week randomized, double-blind, placebo- and active-controlled, parallel-group studies and a 52-week open-label extension study. Curr Med Res Opin. 2019;35(10):1825–1835. doi: 10.1080/03007995.2019.1629757. [DOI] [PubMed] [Google Scholar]
- 25.Kato J, Matsui N, Kakehi Y, Murayama E, Ohwada S. Long-term safety and efficacy of mirogabalin in Asian patients with postherpetic neuralgia: results from an open-label extension of a multicenter randomized, double-blind, placebo-controlled trial. Medicine (Baltimore) 2020;99(36):e21976. doi: 10.1097/MD.0000000000021976. [DOI] [PMC free article] [PubMed] [Google Scholar]
- 26.Domon Y, Arakawa N, Inoue T, et al. Binding characteristics and analgesic effects of mirogabalin, a novel ligand for the α2δ subunit of voltage-gated calcium channels. J Pharmacol Exp Ther. 2018;365(3):573–582. doi: 10.1124/jpet.117.247551. [DOI] [PubMed] [Google Scholar]
- 27.Kato J, Inoue T, Yokoyama M, Kuroha M. A review of a new voltage-gated Ca2+ channel α2δ ligand, mirogabalin, for the treatment of peripheral neuropathic pain. Expert Opin Pharmacother. 2021;22(17):2311–2322. doi: 10.1080/14656566.2021.1958780. [DOI] [PubMed] [Google Scholar]
- 28.Skogar O, Lokk J. Pain management in patients with Parkinson’s disease: challenges and solutions. J Multidiscip Healthc. 2016;9:469–479. doi: 10.2147/JMDH.S105857. [DOI] [PMC free article] [PubMed] [Google Scholar]
Associated Data
This section collects any data citations, data availability statements, or supplementary materials included in this article.
Supplementary Materials
Data Availability Statement
The datasets generated during and/or analyzed during the current study are not publicly available, but are available from the corresponding author on reasonable request at https://vivli.org/ourmember/daiichi-sankyo/.



