Abstract
In an ocean that is rapidly warming and losing oxygen, accurate forecasting of species’ responses must consider how this environmental change affects fundamental aspects of their physiology. Here, we develop an absolute metabolic index (ΦA) that quantifies how ocean temperature, dissolved oxygen and organismal mass interact to constrain the total oxygen budget an organism can use to fuel sustainable levels of aerobic metabolism. We calibrate species-specific parameters of ΦA with physiological measurements for red abalone (Haliotis rufescens) and purple urchin (Strongylocentrotus purpuratus). ΦA models highlight that the temperature where oxygen supply is greatest shifts cooler when water loses oxygen or organisms grow larger, providing a mechanistic explanation for observed thermal preference patterns. Viable habitat forecasts are disproportionally deleterious for red abalone, revealing how species-specific physiologies modulate the intensity of a common climate signal, captured in the newly developed ΦA framework.
Subject terms: Ecophysiology, Climate-change ecology, Marine biology
This study presents an absolute metabolic index that quantifies how ocean temperature, dissolved oxygen and organismal mass interact to constrain the oxygen budget an organism can use to fuel aerobic metabolism. The index is calibrated with physiological measurements from purple sea urchin and red abalone and the authors test if the index can delimit the distribution of these two species.
Introduction
The ocean’s physical and chemical environment is currently in a period of accelerated change. Ocean average temperatures1 and the magnitude and frequency of extreme temperature events2 are increasing while at the same time the ocean is losing oxygen3, threatening the persistence of biodiversity4–6. Ectothermic marine organisms may respond to this environmental change by shifting their distributions7, maximum size and growth rates8, and/or phenology9, which ultimately influence population persistence and productivity and the livelihoods of ocean resource users10. Proactive management and adaptation approaches aimed at mitigating impacts of climate-induced resource declines are therefore critically needed11,12, but are hampered by our inability to forecast the direction and magnitude of species-specific responses13,14. Because organismal responses to ocean warming and deoxygenation are mediated through their physiology, frameworks that quantify effects of this environmental change on vital physiological processes can serve as a gauge for how future environmental conditions will be processed, and thereby improve forecasting accuracy on focal species15–17.
An organism’s aerobic metabolism is a vital physiological process that generates a major component of the energy required to perform fitness related activities like growth, reproduction, and competition via the production of ATP, which consumes oxygen in the process18,19. The amount of energy that can be allocated to these activities is therefore fundamentally constrained by an organism’s capacity to supply (S) oxygen to its aerobic metabolic pathways above that level required to sustain its basal oxygen demand (D)20,21. Two of the most pervasive extrinsic drivers on an ectothermic organism’s oxygen demand (D) and capacity for oxygen supply (S) are ocean temperature and dissolved oxygen bioavailability, respectively22,23. Species have therefore evolved such that their physiological machinery is designed to supply sufficient oxygen to fuel sustainable levels of aerobic metabolism, given the prevailing environmental conditions they are exposed to24. As the ocean continues to warm and lose oxygen, species responses must be partly determined by their capacity to maintain a sustainable balance between oxygen supply (S) and demand (D), which is captured by a metabolic index (Φ)21,25 (Eq. 1).
The metabolic index (Φ) is the ratio between oxygen supply and demand . This index accounts for effects of environmental oxygen availability, temperature, and body mass and represents the greatest possible proportional increase in oxygen supply above basal requirements (Fig. 1A). For an environment to be ecologically sustainable Φ must be greater than a minimum critical level (Φcrit) representing the oxygen level required to fuel sustainable levels of aerobic metabolism25. Because the parameters of Φ are species-specific, calibrated with experimental physiological measurements, it is a general framework that can account for varied species responses to ocean warming and deoxygenation. Indeed, Φ has proved useful for explaining the spatial variability in extinction rates across the Permian Triassic boundary26, contemporary species biogeography patterns25,27 and the interannual productivity variation of marine fish28 to date.
Fig. 1. Shape of thermal relationships for different expressions of an organism’s oxygen balance in saturated water.
A When the balance between oxygen supply (S) and basal demand (D) is expressed as a ratio (Solid black line), no clear temperature peak is identified if supply is a single monotonic function of temperature and only a single thermal limit can be identified (star). Note that the relationship between supply and temperature may not always be monotonic with temperature27, 29, 30. Thermal optima (lowest PO2crit) arise from the multi-step nature of O2 supply, which can be readily reproduced by the factorial form of the metabolic index30, but both the absolute and factorial forms shown here assume a single temperature-dependent supply function. B The same data expressed as the difference between S and D (solid black line) often yields a thermal peak and both warm and cold thermal limits can be estimated (stars). When additional energetic processes are performed the available oxygen balance decreases (red lines) in A and B. If these energetic processes are vital for performance a species’ thermal limits are defined as those temperatures where oxygen supply falls to match elevated oxygen demand (equal to a value of one in A and zero in B).The oxygen requirement of these additional processes can be quantified and removed from the total oxygen budget in B but must be measured in relation to demand in A, which is challenging if thermal sensitivities differ (i.e. additional energetic process does not equal 1.5 x basal demand across whole temperature range).
While Φ is useful for delimiting either warm or cool distribution edges, it can fail to delimit a species’ entire thermal envelope (both warm and cool edges) because of its factorial form, when oxygen supply is governed by a single monotonic exponential function (e.g., Fig. 1A, Fig. 2 in ref. 25). In such cases Φ will always increase towards either warm or cool sides of a species distribution provided oxygen remains saturated, as is the case in surface waters (Fig. 1A). In some cases however, respirometry data indicate that Φ can discern a thermal optima27,29,30 which can arise from the multi-step nature of oxygen supply30, but the generality across species remains unknown. This hinders predictions of how climate-mediated distribution shifts may manifest across a heterogeneous environment, such as upwelling-driven marine ecosystems, which are characterised by localised warming and cooling patterns. Furthermore, not all energetic processes that use oxygen have the same thermal sensitivity as basal oxygen demand, and organisms rather allocate a specific amount of oxygen to additional processes from a total oxygen budget31,32. Expressing an organisms’ oxygen budget in absolute terms rather than factorial permits quantifying the energy budget into consumable units and can produce thermal optima33 (e.g., Fig. 1B) even in cases where a monotonic exponential rise in oxygen supply with temperature exists30. An absolute form of Φ could thus prove a powerful new tool to further enhance our ability to predict future ecological impacts due to climate change signals in the ocean.
Fig. 2. The influence of oxygen availability (PO2, kPa) on oxygen supply (S) at a single temperature.
A When oxygen availability is high, supply (S) is not constrained, and potential to consume excess oxygen is maximized (yellow area). As environmental oxygen decreases below PO2crit max, oxygen supply is limited at a rate equal to the oxygen supply capacity (αS) and potential for excess oxygen consumption is constrained (orange area). When oxygen supply (S) equals demand (D) the critical oxygen partial pressure (PO2crit) is reached, below which there is a deficit of oxygen required to fuel basal demand (red area). B Shape of oxygen limitation relationships when αS is constant (linear thick black line) or variable (non-linear blue line) yet PO2crit and PO2crit max are identical.
Here we build on the foundations of Φ and recent experimental evidence of the environmental oxygen and thermal dependence of aquatic species’ oxygen supply and demand to develop an absolute metabolic index (ΦA). To test the explanatory power of ΦA we calibrate species-specific parameters with physiological measurements following acute thermal exposure for the purple sea urchin (Strongylocentrotus purpuratus) and red abalone (Haliotis rufescens), two sedentary benthic marine invertebrates that experience dynamic environmental temperature and oxygen variability throughout the California Current Large Marine Ecosystem (CCLME). Haliotis rufescens is a culturally important and once economically valuable fishery species whose numbers have recently collapsed, while at the same time numbers of S. purpuratus have exploded and decimated kelp forests in the region34. We compare ΦA predictions for optimal temperatures (Topt ΦA), considering oxygen availability and organismal mass, with experimental and aquaculture evidence of both species’ optimal temperatures (Topt). We further test if ΦA can delimit the core biogeographic distribution of these two species. Finally, we use ΦA to make predictions of how future climate change scenarios in the CCLME may drive distributional changes of both species, which can ultimately inform climate adaptation for fisheries management and marine conservation.
Results
Deriving an absolute metabolic index (ΦA)
The effect of environmental oxygen availability in constraining an organism’s maximum rate of oxygen consumption is depicted by a line of oxygen limitation (thick solid lines in Fig. 2A, B). At a given temperature, this maximum capacity to supply (S) oxygen to an organism’s tissue is the product of the oxygen available in the environment (PO2) and its oxygen supply capacity (αS – a rate constant for gas exchange between water and organism), up towards a ceiling (PO2crit max) where additional oxygen provides no increases and the maximum metabolic rate (MMR) is reached (Fig. 2A, B)24,35. The minimum level of oxygen demand (D) required to sustain basic functioning is quantified as an organism’s basal or standard metabolic rate (SMR) (thin solid line in Fig. 2A, B) and remains constant between normoxia and the line of oxygen limitation. When oxygen demand (D) equals maximum oxygen supply (S) the critical oxygen partial pressure (PO2crit) is reached, below which there is insufficient oxygen obtainable to fuel SMR and conditions become unsuitable for long-term survival (Fig. 2A, red area). The slope of the line of oxygen limitation (αS) is sensitive to temperature because the biophysical mechanisms governing it (ventilation, circulation, diffusion) are themselves dependent on temperature as well as organismal body mass (because of its pervasive effect on organismal demand for oxygen)19,25,35.
The effect of temperature, environmental oxygen and body mass on the ratio of oxygen supply (S) to oxygen demand (D) is quantified by a metabolic index (Φ) following Eq. 125, where demand is an organism’s standard metabolic rate (αD) per unit body mass (B) and its scaling exponent (δ) at a given the temperature (T), while supply is the product between the amount of oxygen available in the environment (PO2) and oxygen supply capacity (αS) given the temperature (T) per unit body mass (B) and its scaling exponent (σ).
| 1 |
An absolute version of the metabolic index (ΦA) is therefore oxygen supply minus oxygen demand following Eq. 2. ΦA will equal zero when the amount of oxygen in the environment (PO2) is equivalent to an organism’s PO2crit and a functional relationship for oxygen supply capacity (αS) at any temperature is derived as . Both demand (αD) and PO2crit are experimentally measured permitting supply capacity (αS) to be quantified. The mass scaling exponent for supply (σ) is therefore captured as the difference between the mass scaling coefficients for demand (δ) and for PO2crit (ε).
| 2 |
The major assumptions of ΦA are that PO2crit max is close to normoxia (21 kPa for coastal species) and is not temperature sensitive, which is supported by recent experimental evidence35, and that oxygen supply (S) declines linearly (constant αS) with decreasing oxygen availability between PO2crit and PO2crit max (e.g., Fig. 2B, thick solid black line). Evidence for the second assumption is more limited, with recent studies indicating some fish species exhibit curvilinear decreases in oxygen supply with progressive hypoxia36 and that this shape can change with hypoxia acclimation37 (e.g., Fig. 2B, solid blue line) as organisms make morphological and physiological adjustments to maintain oxygen supply38. In such cases direct comparisons of ΦA values for a species at different temperatures and PO2 levels are inaccurate. Because the thermal dependance of αS still holds36, we facilitate comparison across the oxygen – temperature space by normalizing ΦA per oxygen level (ΦA’) to between [0,1] following Eq. 3 in methods. Thus, final values of ΦA’ range from zero (ΦA <= zero) to one - the temperature where ΦA is greatest for each level of oxygen availability organisms are exposed to in the ocean.
Respirometry experiments
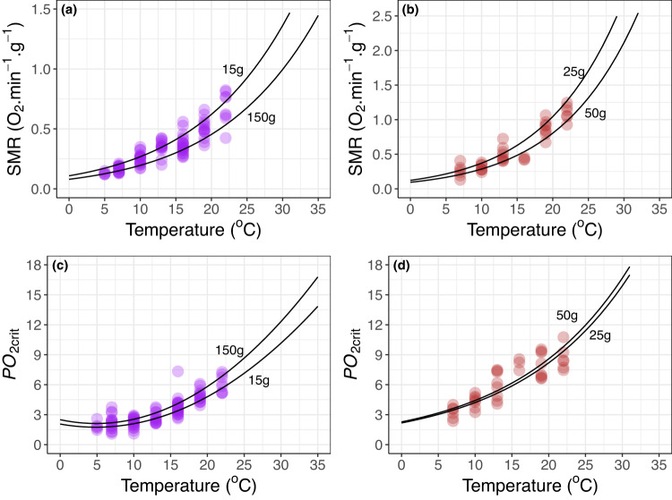
Oxygen demand (standard metabolic rate, SMR) and critical oxygen partial pressure (PO2crit) increased with temperature for both S. purpuratus and H. rufescens (Fig. 3a–d). Temperature effects on SMR were well approximated by Arrhenius models with mass-specific allometric exponents of −0.14 and −0.38 estimated for S. purpuratus and H. rufescens, respectively (SI Appendix, Fig. S1 and S2). PO2crit was slightly higher than what would be predicted at colder temperatures (< = 7 °C) by Arrhenius models for both species, especially for S. purpuratus where temperature had little influence on PO2crit between 5 and 10 °C. The temperature effect on PO2crit was well approximated by a quadratic polynomial for S. purpuratus and a general exponential model for H. rufescens. Wet mass had little effect on PO2crit for both species, with weak allometric mass exponents estimated as 0.08 and 0.07 for S. purpuratus and H. rufescens, respectively (SI Appendix, Fig. S1 and S2). These modeled relationships were used to predict ΦA for each species and test its utility.
Fig. 3. Physiological measurements.
Oxygen demand taken as standard metabolic rate (SMR; a, b) and critical oxygen partial pressure (PO2crit; c, d) data for the purple sea urchin, S. purpuratus (purple points) and red abalone, H. rufescens (red points) across experimental temperatures. Solid lines represent best fit Arrhenius models for SMR (a, b) and PO2crit fit with a quadratic (c) or exponential (d) model for S. purpuratus and H. rufescens, respectively. Models are illustrated for two different size classes corresponding to the smallest and largest wet weight (g) of experimental specimens. Source data are provided as a Source Data file.
ΦA predictive utility
ΦA predicts clearly defined thermal optima (Topt ΦA) for both S. purpuratus and H. rufescens (Fig. 4a, b). ΦA decreases with progressive deoxygenation via its constraint on maximum rate of oxygen supply until basal levels of oxygen demand cannot be maintained and PO2crit is reached (ΦA = zero). Predicted temperature dependent PO2crit corresponds to experimentally quantified PO2crit (red points in Fig. 4).
Fig. 4. ΦA predictions across temperature-oxygen space.
ΦA model predictions (viridis color scale) for S. purpuratus (a) and H. rufescens (b) across a temperature and oxygen state-space. ΦA values correspond to the median size (wet mass) of experimental organisms (S. purpuratus = 67.5 g, H. rufescens = 37.5 g), white lines are ΦA contours, and red points correspond to experimental PO2crit measurements where ΦA = zero. Source data are provided as a Source Data file.
Optimal Temperature
Optimal temperature predictions for ΦA (Topt ΦA) are consistent with optimal temperature estimates from published experimental studies for both species. ΦA models predict that in oxygen-saturated seawater (21 kPa) and for a median sized specimen used in this study (S. purpuratus = 67.5 g wet mass, H. rufescens = 37.5 g wet mass), the optimum temperature (Topt ΦA) is 11.5 °C for S. purpuratus and 18 °C for H. rufescens (Fig. 5a, b). These Topt ΦA predictions are remarkably consistent with Topt results from aquaculture and experimental biology studies for both species. For S. purpuratus weighing around 80 g, the recommended rearing temperature to optimize gonadal production in aquaculture systems is 12 °C39 and although working on larvae, the same authors also recommend rearing temperatures of between 11 and 14 °C for optimal growth and survival40. A Topt ΦA for H. rufescens of 18 °C corresponds well with studies on smaller sized specimens in fully aerated experimental systems. Optimal growth rates for juvenile H. rufescens are reported at 18 °C for specimens from southern California41 and around 17.3 °C for specimens from Morro Bay42 while the preferred temperature of warm acclimated juveniles from Baja, Mexico is estimated at 18.8 °C43. Working with gametes of H. rufescens, Boch et al.44 found that warmer sea water (18 °C) was beneficial as it mitigated the negative effects of low pH on fertilization success. Some studies have however found deleterious effects of warmer temperatures on H. rufescens, manifested via increased susceptibility to abalone withering syndrome45–47. However, studies comparing growth and survival both with and without exposure to the agent of the withering syndrome suggests this is not a result of direct thermal stress or physiological impairment but rather increased disease infection efficacy in warmer water48.
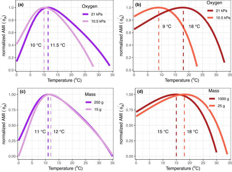
Fig. 5. Variable optimum temperatures.
Effect of oxygen availability (a, b) and mass (c, d) on the optimal temperature predictions from normalized absolute metabolic index (ΦA’) models for S. purpuratus (purple) and H. rufescens (red). Source data are provided as a Source Data file.
Oxygen and mass effects on optimum temperature
Optimal temperatures predicted by ΦA models vary with both oxygen and organismal mass, consistent with results of empirical studies. Specifically, Topt ΦA decreases as oxygen availability decreases (Fig. 5a, b) or organismal mass increases (Fig. 5c, d), and this effect is more pronounced for H. rufescens than S. purpuratus. This is in close agreement with the results of Steinarsson et al.42 who found that the optimal growth temperature for H. rufescens decreases with size from 17.3 °C for specimens with 33 mm shell lengths to 14.5 °C for those with a 98 mm shell length. This size and oxygen dependance of Topt ΦA may explain why studies on larger H. rufescens report decreased performance metrics in warmer waters around 18 °C. Larger H. rufescens specimens (~90 mm shell length, compared to the average of 55 mm in this study) held in a flow-through sea-water system with natural oxygen variability showed better growth, survival and performance at ~13.5 °C (2.5 °C below the average temperature at La Jolla, California) compared to temperatures ~18.5 °C (2.5 °C above)45, while substantially larger specimens (~180 mm shell length) showed compromised fecundity and the onset of withering syndrome when exposed to 18 °C water46. H. rufescens is predicted to be particularly sensitive to low oxygen availability, with a 50% drop in oxygen corresponding to a 9 °C cooler shift in Topt ΦA and complete collapse in ΦA at temperatures just above 20 °C (Fig. 5b). In contrast, Topt ΦA for S. purpuratus only decreases 1.5 °C for the same 50% drop in oxygen (Fig. 5a), and Topt ΦA only decreases 1 °C between our large and small size classes (Fig. 5c, note this is not directly comparable to the difference in size classes for H. rufescens).
Metabolic niche
Normalized ΦA (ΦA’) predictions across a temperature and oxygen space approximate the conditions where S. purpuratus and H. rufescens naturally occur (Fig. 6a, b). For both species, most wild occurrence locations are in areas where the associated monthly temperature and oxygen availability result in a ΦA’ close to 1.0 (Fig. 6, yellow area) indicating that these organisms track temperatures that optimize capacity for excess oxygen supply given the prevailing environmental oxygen levels. This coupling suggests that ΦA’ has predictive utility at demarcating viable habitat considering the prevailing temperature and oxygen conditions. In our analyses, the agreement between species occurrences and ΦA’ is tighter for S. purpuratus compared to H. rufescens, which may result in projecting suitable habitat for H. rufescens’ in areas where they do not naturally occur. As discussed below, such misfit can result from the accuracy of the primary model inputs, namely 1) experimental respirometry data, 2) modeled or measured seafloor oxygen and temperature conditions, and 3) biogeographic occurrence data.
Fig. 6. ΦA’ explains metabolic niche.
OBIS geo-referenced occurrences (black points) for S. purpuratus (a) and H. rufescens (b) matched with corresponding temperature and oxygen conditions from the ROMS ocean model and layered over ΦA’ predictions across the temperature-oxygen state-space (viridis colors). Source data are provided as a Source Data file.
Current biogeography
Normalized ΦA (ΦA’) delimits the core contemporary spatial distribution of both species. We estimate an occurrence threshold (ΦA’ value above which 99% of geo-referenced occurrence points fall) of 0.849 for S. purpuratus and 0.928 for H. rufescens (Fig. 7, inserts and SI Appendix, Fig. S3). That is, both species naturally occur only in regions where the prevailing temperature is close to the temperature where ΦA is maximized given environmental oxygen levels. Projecting these thresholds across the minimum monthly ΦA’ value for each grid cell of the ocean model spatially delimits a core continuous stretch of habitat that coincides with the documented biogeographic range of both species accurately (Fig. 7a, b). Overall, these spatial projections provide further evidence that ΦA’ has predictive power for demarcating viable habitat and therefore might be used to forecast climate change effects. However, the certainty of predictions needs to be considered within the context of tightness of fit between ΦA’ habitat suitability and occurrences. The index overestimates viable habitat for H. rufescens (Fig. 6 and Fig. 7 insert) and hence may overestimate the species’ contemporary distribution and future climate mediated distribution contractions.
Fig. 7. Spatial modelling.
Spatial predictions of contemporary (1995–2010, a, b) and future (2071–2100 under the RCP 8.5 emissions scenario, c, d) viable habitat for S. purpuratus (purple) and H. rufescens (red) derived by classifying the minimum normalized ΦA value for each cell as suitable above a 0.849 threshold for S. purpuratus and 0.928 threshold for H. rufescens (inserts). Dashed lines delimit core continuous distribution predictions. Note that the future distribution of H. rufescens is hard to visualize at this large spatial scale because it loses habitat at depth and hugs the coastline closely.
Spatial models predict a continuous contemporary range for S. purpuratus from central/southern Baja, Mexico in the south to the Alaska, USA and British Columbia, Canada border in the north and large patches further north, in accordance with its documented core distribution49. S. purpuratus has been reported slightly further north than the model domain50 and its reported southernmost occurrence point near Bahia Tortugas, Mexico51 is slightly further north than the modelled southern limit. The core continuous distribution prediction for H. rufescens between the Oregon/California border in the USA to southern Baja is also in accordance with its documented distribution52. While the species is less abundant in central Baja, it has been reported in literature at the southern tip of the peninsula52. Spatial models for H. rufescens also predict small, isolated patches of viable habitat (which can be an artefact of such modelling approaches) around Vancouver Island, which remarkably match seven documented occurrences of the species, believed to have been transported via drift kelp53. Isolated patches of predicted viable habitat for H. rufescens further north are likely unviable and a result of spatial over-projection due to poorer fit with occurrences.
Future biogeography changes
Ocean warming and deoxygenation is predicted to disproportionally reduce the viable habitat for H. rufescens compared to S. purpuratus in their core distribution range. Forecasts up to 2100 predict that the viable habitat distribution of S. purpuratus will shift north but will remain relatively unaffected throughout its core range (Fig. 7c). In contrast, the distribution of H. rufescens is predicted to become more constrained and fractured, particularly along California (Fig. 7d). Deoxygenation in deeper water and warming temperatures in shallower waters are predicted to contract H. rufescens’ depth distribution by 2100. Although the viable habitat is predicted to contract and fracture, the model also predicts the growth of additional habitat in northern Washington, Vancouver Island, Haida Gwaii, and further north but the potential for persistence in these areas is unknown.
Discussion
ΦA discerns the entire metabolic niche of species
We find that the absolute metabolic index (ΦA) accurately depicts how environmental temperature, oxygen availability, and organismal mass interact to constrain the viable habitat for two common marine invertebrates, S. purpuratus and H. rufescens, across the California Current Large Marine Ecosystem (CCLME). A key advantage of ΦA demonstrated here is its ability to discern a thermal optimum, and how this changes with body mass and deoxygenation, permitting the delimitation of a species’ entire biogeographic envelope – which is not typically achieved with the metabolic index (Φ) in its factorial form21,54. Congruency between ΦA predictions of thermal optima and experimental studies further corroborates this framework and supports the theory that the balance between oxygen supply and demand has an important role in regulating thermal responses, even if oxygen limitation may not be the proximate cause or set critical thermal limits55–57. Rather, the ΦA framework highlights that the temperature where excess oxygen supply is maximized varies depending on organismal mass and environmental oxygen level. Thus, aquatic organisms can exhibit ecological thermal responses even in the absence of environmental temperature change (i.e., if oxygen levels change) or in a direction not explained by temperature alone as they seek conditions that maximize oxygen provision.
ΦA predicts that, for the species investigated here, the optimal temperature for excess oxygen supply is cooler for larger sized individuals. Within-species negative correlations between body size and temperature is a common ecological observation termed James’s rule but the mechanism driving this pattern is not certain58. Physiological mechanisms are posited to underly this pattern because growth rates account for a significant component of total energy budgets59 and the temperature where growth rate is greatest decreases with body size60,61. This pattern is driven in ΦA predictions by the smaller mass-scaling exponent for oxygen supply (σ = δ − ε) than demand (δ) causing ΦA to decrease per unit body mass as organisms get bigger. The effect of this decrease is amplified at warmer temperatures because the thermal sensitivity of demand is greater than supply, such that even if PO2crit scales close to zero with mass62 the peak ΦA will exhibit a cool temperature shift. While we cannot pinpoint the specific mechanism it is notable that this pattern is consistent with observations of temperature preference with size in aquatic ectotherms63.
ΦA predicts deoxygenation will drive organisms to cooler temperatures, providing a mechanistic explanation for observed thermal responses to hypoxia. Indeed, experimental evidence for cooler temperature preference in less oxygenated water is reported for the Atlantic cod (Gadus morhua)64, and the Carmine shiner (Notropis percobromus)65. This pattern is driven, in ΦA models, because oxygen supply (S) is the product of oxygen supply capacity (αS), which increases with temperature, and environmental oxygen availability (PO2), resulting in a smaller relative increase in oxygen supply with temperature when environmental oxygen is low. Furthermore, deoxygenation itself is directly detrimental to organismal functioning with small decreases making habitat inhospitable and triggering distribution shifts66,67. Organisms in ocean regions that are warming and losing oxygen – the climate change signal in the CCLME and other upwelling ecosystems – are thus particularly vulnerable as not only will deoxygenation shift the Topt ΦA cooler, but ocean warming will concurrently move temperatures further away from Topt ΦA. If temperature and oxygen change are heterogenous across space (e.g., with depth and latitude), such as in the CCLME, viable habitat can become fractured, limiting potential latitudinal range shifts27,28. The synergistic negative effects of concurrent deoxygenation and warming highlighted by the ΦA framework provides further evidence that temperature and oxygen availability must be considered in tandem when assessing climate resilience of marine organisms.
We find close matches between Topt ΦA in oxygen-saturated water and temperatures where physiological processes such as growth are maximized for both species. While we do not explicitly measure maximum metabolic rate (MMR) the ΦA in oxygen saturated sea water should theoretically provide a similar value to absolute aerobic scope (MMR - SMR) if modelled oxygen supply (S) is similar to MMR, for which some evidence exists34. Numerous studies have however found mismatches between the temperatures where absolute aerobic scope is maximized and preferred temperatures68 or temperatures where growth efficiency is maximized69 for fishes. The ΦA framework shows that the temperature where excess oxygen supply is greatest decreases with deoxygenation (Fig. 5a, b), and this concept is important to consider when evaluating why absolute aerobic scope in temperature-only models may have limited explanatory power. This is particularly relevant when respirometry experiments are performed in oxygen-saturated water, but the study organism naturally occurs in low oxygen environments, such as mangroves for Barramundi Lates calcarifer68,70 or deep water for Atlantic halibut Hippoglossus hippoglossus69,71. Although more research is required on the generalizability of ΦA, the potential for environmental oxygen availability to alter the thermal optima for maximum oxygen provision highlights that experiments where maximal rates of respiration are measured should consider the comparability between experimental oxygen levels and those the study organism is naturally exposed to.
While the ΦA framework presented here for S. purpuratus and H. rufescens elucidates thermal optima, provides a mechanism behind the oxygen and mass dependence of thermal optima, and delimits both species’ contemporary biogeography, it is not without important caveats. Only two invertebrate species were tested and whether the ΦA framework generalizes to other taxa is unknown. Even among just these two taxa, metabolic niche predictions appear more accurate for S. purpuratus compared to H. rufescens. There are multiple possible reasons for this difference. This poorer fit for H. rufescens may be because we did not measure physiological traits at the coldest temperature (5 °C) for H. rufescens and hence modelled a more monotonic thermal relationship for PO2crit data, resulting in broader ΦA’ curves per oxygen level and potentially erroneous suitable ΦA’ predictions at cold temperatures (<7 °C). We also found geographic bias for this species in the OBIS occurrence data we used, with few documented occurrences of H. rufescens recorded in the warmer Mexican ocean despite the species occurring there52. In fact, H. rufescens had less than half the geo-referenced occurrence points in OBIS as S. purpuratus, and both species showed geographic areas where the species currently exists but is simply not recorded in OBIS. Like all modeling approaches, ΦA’ is sensitive to data inputs, and the predictive power for a given species will continue to improve as the three main data inputs—biogeographic occurrences, species-specific physiological parameters, and measured or modeled oceanographic conditions—continue to be better documented. A final plausible explanation is that the contemporary distribution of H. rufescens is more constrained by additional factors other than temperature and oxygen availability, such as resource competition, fishing pressure, predation, or life history and habitat specialization72,73. Forecasted future distribution changes based solely on environmental variables therefore need to be considered in the context of over predicting contemporary biogeographic distribution and predicted future range contractions.
Moving from models to management
Climate-driven warming and deoxygenation in the CCLME is predicted to reduce and fracture H. rufescens’ distribution through constraints on ΦA. This is in addition to a multitude of other interacting stressors – e.g., overfishing, kelp deforestation and associated loss of food and habitat, and disease - that have already contributed to collapsing the once productive H. rufescens fishery38,74. In contrast, climate-driven reduction in ΦA is predicted to have relatively little effect on S. purpuratus, whose numbers have recently exploded along the California margin, shifting kelp forests to barren states38. Caution must be exercised when considering such forecasts as they do not include higher spatial or temporal levels of environmental variability or mechanisms that confer resilience such as generational adaptation or acclimation following chronic exposure, where rates return to baseline levels after the initial increase during acute exposure (which are only captured in this study)75. Nonetheless, despite the nature of future predictions being inherently imprecise they can serve as a comparative tool to identify what species and areas are relatively vulnerable to warming and deoxygenation and focus improving management regulations. Currently implemented management approaches to maintain or rebuild wild abalone stocks and kelp forest ecosystems include the implementation of marine reserves to re-establish top-down, predatory control of urchin populations, urchin culling76, fishing moratoria, and kelp restoration74, but the efficacy and scalability of these approaches is debated77. Ensuring the persistence of abalone populations, as well as other ecologically, economically, and culturally important species and whole kelp forest ecosystems, will require prioritizing these management approaches in areas predicted to provide relative refugia under future climate scenarios, such as, for abalone, northern Baja (Fig. 7d). In parts of the CCLME around central California, however, population and ecosystem restoration attempts may be compromised by ocean deoxygenation and warming over which local management has no direct control.
Our key findings here are in accordance with a recent first-principles integration of environmental oxygen availability into a framework showing mass-and temperature-effects on levels of metabolism78. That is, lower environmental oxygen reduces the temperature sensitivity of higher metabolic rates relative to lower ones, shifting the temperature with the greatest oxygen balance cooler, and that higher metabolic rates in larger bodied organisms will be disproportionally constrained at higher temperatures. Although rates of aerobic metabolism above basal levels are not specifically incorporated, the ΦA framework does quantify the total oxygen budget available to fuel such rates. Importantly ΦA is calibrated with species-specific experimental physiological measurements and can make species-specific predictions of how oxygen budgets will be constrained across the entire range of temperature and environmental oxygen values organisms are exposed to in the wild. Moving forward, the generalizable ΦA framework will be key tool to forecast climate responses of focal species as the ocean continues to warm and lose oxygen.
Methods
Absolute metabolic index - ΦA
Parameters from PO2crit and SMR (αD) models are used to predict species specific values of ΦA given the prevailing temperature (T), environmental oxygen (PO2) and organismal mass (B) following Eq. 2 where δ is the allometric mass scaler for SMR and ε is the allometric mass scaler for PO2crit (equation presented in the introduction).
To compare ΦA values at various temperature (T) and oxygen levels (O) accounting for plasticity in the shape of the limiting oxygen level line, we normalize ΦA by rescaling between zero and one for each oxygen level (whole kPa unit) following Eq. 3. The resulting ΦA’ thus ranges from zero (lowest ΦA) to one (highest ΦA) for each kPa level (22–0 kPa) where ΦA has a positive value, permitting an easier comparison of Topt ΦA across the oxygen scape and accounting for potential non-linear limiting oxygen level curves, assuming the thermal dependance of α still holds35.
| 3 |
Species-specific experimental physiological measurements for PO2crit and SMR across a range of temperatures and body masses are therefore first required.
Experimental Protocol
Ethical approval for experiments was not required as the study organisms are classified as invertebrates and were not obtained from the wild. All other research procedures comply with relevant ethical regulations. Purple sea urchin Strongylocentrotus purpuratus (n = 97, wet mass range 14.8–151.3 g) and red abalone Haliotis rufescens (n = 38, wet mass range 26.9 – 51.3 g) were obtained from Monterey Abalone Company prior to each experimental trial, where they had been held in underwater cages exposed to natural ocean temperatures and fed a natural kelp diet. Respirometry techniques were used to quantify standard metabolic rate (SMR) and critical oxygen partial pressure (PO2crit) for each specimen at a specific test temperature. A single trial involved placing freshly obtained specimens directly into respirometry chambers (see SI Appendix, table S1 for detailed methods following in ref. 79) at 12.7 °C (close to the average seawater temperature in Monterey Bay, at the depths where these organisms are commonly found in ref. 80) and subsequently adjusting the water temperature at a rate of ~1 °C per hour until a test temperature of 5, 7, 10, 13, 16, 19 or 22 °C was reached and held constant (+/−0.4 °C). Specimens were given ~24 h to adjust to novel respirometry chamber and temperature conditions and purge any digesting food, after which intermittent flow respirometry (510 min measure – 10 min flush) was run for a further ~24 h to quantify SMR. Oxygen levels in chambers were continuously recorded with a FireStingO2 fiber optic oxygen meter (FSO2-4, Pyro Science GmbH) connected to oxygen sensor spots (Pyroscience OXSP5) positioned in a circulation loop with bare optical fibers (SPFIB-BARE, Pyro Science GmbH) and logged with Pyro oxygen logger software. After ~24 h of intermittent flow respirometry the PO2crit phase of the trial began by switching off the flush pump so that oxygen could be depleted within respirometer chambers via the specimen’s aerobic metabolism until no oxygen remained. Each specimen was used once to obtain SMR and PO2crit measurements at a single temperature. The trial was then terminated, test specimens frozen and later thawed to weigh to the nearest hundredth of gram (wet mass). We also dried test specimens at 50 °C for ~24 h, measured their dry mass, subsequently ashed them at 450 °C for three hours in a muffle furnace, and measured their ashed mass to calculate a metabolic mass (dry minus ashed mass) which is recorded in the metadata for completeness. A blank was run in an empty respirometry chamber in parallel for each trial.
Quantifying SMR
The mass specific oxygen consumption rate (MO2, mg O2. min−1. g−1) of each measurement period was calculated using Eq. 481 where Vre is the total volume of the respirometer in ml; M is the mass of the specimen in g expressed as ml; W is mass of the specimen in g, is the oxygen consumption rate during the measurement period and is the corresponding oxygen consumption rate of the of an empty chamber (background respiration).
| 4 |
Oxygen consumption rates of each measurement period were calculated using the calc_rate function in the respR package82. Erroneous oxygen consumption rate measurements were filtered out using an R2 > 0.95 quality threshold (0.9 for three small urchins at 7 °C) and removing measurements associated with background respiration rates outside the 95th and 5th quantiles of all measurements, which may have occurred during temperature adjustments in the respirometry system. SMR was estimated as the 0.1 quantile of all remaining oxygen consumption measurements22.
Quantifying PO2crit
The oxygen drawdown curve from the PO2crit phase of the experiment was split into five-minute segments with mass-specific oxygen consumption rates calculated for each segment as per SMR protocol. All MO2 measurements (SMR and PO2crit phases of the trial) were paired with corresponding average oxygen concentration values converted to percent saturation using the conv_o2 function from the respirometry package83. We define PO2crit as the the lowest level of oxygen (percent saturation) at which an animal can maintain SMR84 and estimated it with the calcO2crit function22. The maximum number of points (max.nb.MO2.for.reg) to fit the regression below PO2crit was taken as the number of points that had the best fit (R2) and ensured the intercept was negative. We corroborated the robustness of our PO2crit approach by comparing results with a method where PO2crit is taken as the oxygen partial pressure where oxygen supply capacity (αS) is maximized, following Seibel et al.24 (SI Appendix, Fig. S4).
Calibrating ΦA
SMR
The effect of mass and temperature on a species’ oxygen demand (αD) quantified as standard metabolic rate (SMR) is described by Eq. 519 where is the rate coefficient, B is mass in grams and δ is its allometric scaling exponent, E is activation energy, k is Boltzmann’s constant (eV/K) and T is absolute temperature in Kelvin85.
| 5 |
We first divided SMR data with its Arrhenius function to remove the effect of temperature and fit a power function through the relationship with organismal mass to estimate δ21. The Arrhenius function was estimated from the slope of the linear relationship between the natural logarithm of SMR data and inverse temperature (k.T). We took the constants of the SMR model; and E as the back transformed intercept and slope respectively from the linear relationship between the natural logarithm of mass-corrected SMR and the inverse of k.T (product of Boltzmann constant and temperature in Kelvin).
PO2crit
We followed the same approach as SMR for modeling PO2crit data for each species but did not fit Arrhenius models across the whole temperature range as the relationship can break down at colder temperatures where PO2crit may be higher than predicted27,29, possibly due to reduced oxygen diffusivity in colder water86. We first converted PO2crit data from percent saturation to oxygen partial pressure (kPa) using the conv_o2 function from the respirometry package83 including the experiment temperature, salinity = 35 PSU, and standard atmospheric pressure (1013.2) as arguments. For both species, PO2crit data fit Arrhenius relationships at temperatures above 7 °C. We therefore estimate the allometric mass scaling exponent ε from the power relationship between temperature standardized PO2crit (PO2crit divided by the Arrhenius function for temperatures above 7 °C) and organismal mass (B). We then fit more flexible models through the relationship between mass corrected PO2crit and temperature (°C). PO2crit data for S. purpuratus was well approximated by a quadratic polynomial and H. rufescens by a general exponential model.
Spatial modelling
Ocean models
To map the spatial and temporal distribution of species-specific ΦA values in the CCLME we used high-resolution (12 km) oceanic simulations made with the Regional Oceanic Modeling System (ROMS)87. The ocean model domain extends from 15° N to 60° N, 4000 km offshore from the coast of America and has 21 depth bins spaced ten meters apart88. Model simulations are conducted for a hindcast period from 1995 to 2010 as well as a future climate projection for the end of this century (2071–2100) under the RCP 8.5 emissions scenario. The future climate projection applies surface and open boundary condition anomalies averaged across multiple models in the CMIP5 archive, following procedures outlined by Howard et al.88. Mean monthly temperature (°C), oxygen (uM) and salinity (PSU) are interpolated from the native s-coordinate to regular 10-meter intervals for analysis. Gridded bathymetry data were obtained from the General Bathymetric Chart of the Oceans (GEBCO) website at a 15 arc second (450 m) resolution. For each month we extracted the layer of environmental variables closest to the ocean floor by overlapping grid cells of the ocean model with bathymetry cells greater than −150 metres (~maximum depth of occurrence for both species) and extracting values from the depth bin of the ocean model that most closely matched the depth of bathymetry layer. We calculated the water pressure at depth in mbar using the swPressure function in the oce package89 and added atmospheric pressure (1013.25 mbar). We then calculated the oxygen bioavailability in partial pressure units (kPa) using the conv_o2 function including corresponding temperature, salinity, and pressure as arguments.
Occurrence data
We obtained geo-referenced occurrence data for S. purpuratus and H. rufescens from the Ocean Biodiversity Information System (OBIS) using the robis robis,90. Overall, we retrieved 4595 S. purpuratus and 1582 H. rufescens occurrences. We matched these occurrences to the same grid structure as the ocean model and removed duplicates resulting in 230 unique geo-referenced occurrence points for S. purpuratus and 91 for H. rufescens.
Spatial modelling
We paired each geo-referenced occurrence point with corresponding monthly temperature and oxygen availability from the ocean models and estimated the corresponding ΦA value. We identified habitat suitability thresholds for ΦA’ as the value where 99% of all occurrence points fell above. To map each species distribution, we produced a gridded layer of the minimum monthly ΦA’ value for each species and applied their corresponding habitat suitability thresholds (i.e. ΦA’ values above thresholds that were considered suitable). We followed the same process for the future ocean model forecasts to predict how each species’ distribution may change.
All analyses were carried out in R version 4.0.391 with the following packages; ggspatial92, raster93, marmap94, rnaturalearth95, sf96, viridis97 and tidyverse98 in addition to those cited in text.
Reporting summary
Further information on research design is available in the Nature Portfolio Reporting Summary linked to this article.
Supplementary information
Acknowledgements
We thank the Monterey Abalone Company for providing experimental organisms and the staff at Hopkins Marine Station, Monterey for providing experimental space. This research was funded through an Environmental Venture Projects grant from the Stanford Woods Institute for the Environment at Stanford University awarded to E.A.S. and F.M., grants from the National Science Foundation (EAR-1922966) and the Paleontological Association (PA-RG201903) awarded to E.A.S. and NSF-DISES grant (2108566) awarded to F.M.
Source data
Author contributions
M.I.D., E.A.S., T.H.B., and F.M., conceptualized the study, T.H.B. and H.D. initiated experiments, M.I.D., and J.A.M., collected the physiology data, C.D. generated the ocean model, M.I.D. did the analysis and wrote the first draft. All authors reviewed and edited the final submission.
Peer review
Peer review information
Nature Communications thanks the anonymous reviewer(s) for their contribution to the peer review of this work. A peer review file is available.
Data availability
The raw respirometry data generated during experiments and the processed data used for the analyses in this study have been deposited in the Zenodo database here: 10.5281/zenodo.789978699. Source data are provided with this paper.
Code availability
The R script used to analyze the data in this study has been deposited in the Zenodo database here: 10.5281/zenodo.789978699.
Competing interests
The authors declare no competing interests.
Footnotes
Publisher’s note Springer Nature remains neutral with regard to jurisdictional claims in published maps and institutional affiliations.
Supplementary information
The online version contains supplementary material available at 10.1038/s41467-023-39438-w.
References
- 1.Wijffels, S., Roemmich, D., Monselesan, D., Church, J. & Gilson, J. Ocean temperatures chronicle the ongoing warming of Earth. Nat. Clim. Chang.6, 116–118 (2016).
- 2.Oliver ECJ, et al. Longer and more frequent marine heatwaves over the past century. Nat. Commun. 2018;9:1324. doi: 10.1038/s41467-018-03732-9. [DOI] [PMC free article] [PubMed] [Google Scholar]
- 3.Breitburg D, et al. Declining oxygen in the global ocean and coastal waters. Science. 2018;359:eaam7240. doi: 10.1126/science.aam7240. [DOI] [PubMed] [Google Scholar]
- 4.Hoegh-guldberg O, Bruno JF. The impact of climate change on the world’s marine ecosystems. Science. 2010;328:1523–1529. doi: 10.1126/science.1189930. [DOI] [PubMed] [Google Scholar]
- 5.Poloczanska ES, et al. Global imprint of climate change on marine life. Nat. Clim. Chang. 2013;3:919–925. doi: 10.1038/nclimate1958. [DOI] [Google Scholar]
- 6.Penn JL, Deutsch C. Avoiding ocean mass extinction from climate warming. Science. 2022;376:524–526. doi: 10.1126/science.abe9039. [DOI] [PubMed] [Google Scholar]
- 7.Pecl GT, et al. Biodiversity redistribution under climate change: Impacts on ecosystems and human well-being. Science. 2017;355:eaai9214. doi: 10.1126/science.aai9214. [DOI] [PubMed] [Google Scholar]
- 8.Audzijonyte A, et al. Fish body sizes change with temperature but not all species shrink with warming. Nat. Ecol. Evol. 2020;4:809–814. doi: 10.1038/s41559-020-1171-0. [DOI] [PubMed] [Google Scholar]
- 9.Poloczanska, E. S. et al. Responses of marine organisms to climate change across oceans. Front. Mar. Sci.3, 1–21 (2016).
- 10.Tigchelaar M, et al. Compound climate risks threaten aquatic food system benefits. Nat. Food. 2021;2:673–682. doi: 10.1038/s43016-021-00368-9. [DOI] [PubMed] [Google Scholar]
- 11.Ruckelshaus M, et al. Securing ocean benefits for society in the face of climate change. Mar. Policy. 2013;40:154–159. doi: 10.1016/j.marpol.2013.01.009. [DOI] [Google Scholar]
- 12.Santos CF, et al. Integrating climate change in ocean planning. Nat. Sustain. 2020;3:505–516. doi: 10.1038/s41893-020-0513-x. [DOI] [Google Scholar]
- 13.Pinsky ML, Selden RL, Kitchel ZJ. Climate-driven shifts in marine species ranges: Scaling from organisms to communities. Ann. Rev. Mar. Sci. 2020;12:1–27. doi: 10.1146/annurev-marine-010419-010916. [DOI] [PubMed] [Google Scholar]
- 14.Fulton EA. Interesting times: Winners, losers, and system shifts under climate change around Australia. ICES J. Mar. Sci. 2011;68:1329–1342. doi: 10.1093/icesjms/fsr032. [DOI] [Google Scholar]
- 15.Seebacher F, Franklin CE. Determining environmental causes of biological effects: the need for a mechanistic physiological dimension in conservation biology. Philos. Trans. R. Soc. B. 2012;367:1607–1614. doi: 10.1098/rstb.2012.0036. [DOI] [PMC free article] [PubMed] [Google Scholar]
- 16.McKenzie DJ, et al. Conservation physiology of marine fishes: state of the art and prospects for policy. Conserv Physiol. 2016;4:cow046. doi: 10.1093/conphys/cow046. [DOI] [PMC free article] [PubMed] [Google Scholar]
- 17.Verberk WCEP, et al. Can respiratory physiology predict thermal niches? Ann. N.Y Acad. Sci. 2016;1365:73–88. doi: 10.1111/nyas.12876. [DOI] [PubMed] [Google Scholar]
- 18.Nelson JA. Oxygen consumption rate v. rate of energy utilization of fishes: A comparison and brief history of the two measurements. J. Fish. Biol. 2016;88:10–25. doi: 10.1111/jfb.12824. [DOI] [PubMed] [Google Scholar]
- 19.Gillooly JF, Brown JH, West GB, Savage VM, Charnov EL. Effects of size and temperature on metabolic rate. Science. 2001;293:2248–2251. doi: 10.1126/science.1061967. [DOI] [PubMed] [Google Scholar]
- 20.Schulte PM. The effects of temperature on aerobic metabolism: Towards a mechanistic understanding of the responses of ectotherms to a changing environment. J. Exp. Biol. 2015;218:1856–1866. doi: 10.1242/jeb.118851. [DOI] [PubMed] [Google Scholar]
- 21.Deutsch C, Ferrel A, Seibel B, Portner HO, Huey RB. Climate change tightens a metabolic constraint on marine habitats. Science. 2015;348:1132–1136. doi: 10.1126/science.aaa1605. [DOI] [PubMed] [Google Scholar]
- 22.Claireaux G, Chabot D. Responses by fishes to environmental hypoxia: Integration through Fry’s concept of aerobic metabolic scope. J. Fish. Biol. 2016;88:232–251. doi: 10.1111/jfb.12833. [DOI] [PubMed] [Google Scholar]
- 23.Ern R. A mechanistic oxygen- and temperature- limited metabolic niche framework. Philos. Trans. R. Soc. B. 2019;374:20180540. doi: 10.1098/rstb.2018.0540. [DOI] [PMC free article] [PubMed] [Google Scholar]
- 24.Seibel BA, et al. Oxygen supply capacity breathes new life into critical oxygen partial pressure (Pcrit) J. Exp. Biol. 2021;224:1–12. doi: 10.1242/jeb.242210. [DOI] [PubMed] [Google Scholar]
- 25.Deutsch C, Penn JL, Seibel B. Metabolic trait diversity shapes marine biogeography. Nature. 2020;585:557–562. doi: 10.1038/s41586-020-2721-y. [DOI] [PubMed] [Google Scholar]
- 26.Penn JL, Deutsch C, Payne JL, Sperling EA. Temperature-dependent hypoxia explains biogeography and severity of end-Permian marine mass extinction. Science. 2018;362:eaat1327. doi: 10.1126/science.aat1327. [DOI] [PubMed] [Google Scholar]
- 27.Duncan MI, James NC, Potts WM, Bates AE. Different drivers, common mechanism; the distribution of a reef fish is restricted by local-scale oxygen and temperature constraints on aerobic metabolism. Conserv Physiol. 2020;8:1–16. doi: 10.1093/conphys/coaa090. [DOI] [PMC free article] [PubMed] [Google Scholar]
- 28.Howard EM, et al. Climate-driven aerobic habitat loss in the California Current System. Sci. Adv. 2020;6:eaay3188. doi: 10.1126/sciadv.aay3188. [DOI] [PMC free article] [PubMed] [Google Scholar]
- 29.Boag TH, Stockey RG, Elder LE, Hull PM, Sperling EA. Oxygen, temperature and the deep-marine stenothermal cradle of Ediacaran evolution. Proc. R. Soc. B: Biol. Sci. 2018;285:20181724. doi: 10.1098/rspb.2018.1724. [DOI] [PMC free article] [PubMed] [Google Scholar]
- 30.Martin-Georg, A. E. et al. Physiological causes and biogeographic consequences of thermal optima in the hypoxia tolerance of marine ectotherms. bioRxiv10.1101/2022.02.03.478967 (2022). [DOI] [PMC free article] [PubMed]
- 31.Schulte PM, Healy TM, Fangue NA. Thermal performance curves, phenotypic plasticity, and the time scales of temperature exposure. Integr. Comp. Biol. 2011;51:691–702. doi: 10.1093/icb/icr097. [DOI] [PubMed] [Google Scholar]
- 32.Clark TD, Sandblom E, Jutfelt F. Aerobic scope measurements of fishes in an era of climate change: respirometry, relevance and recommendations. J. Exp. Biol. 2013;216:2771–2782. doi: 10.1242/jeb.084251. [DOI] [PubMed] [Google Scholar]
- 33.Halsey LG, Killen SS, Clark TD, Norin T. Exploring key issues of aerobic scope interpretation in ectotherms: absolute versus factorial. Rev. Fish. Biol. Fish. 2018;28:405–415. doi: 10.1007/s11160-018-9516-3. [DOI] [Google Scholar]
- 34.Rogers-Bennett L, Catton CA. Marine heat wave and multiple stressors tip bull kelp forest to sea urchin barrens. Sci. Rep. 2019;9:1–9. doi: 10.1038/s41598-019-51114-y. [DOI] [PMC free article] [PubMed] [Google Scholar]
- 35.Seibel BA, Deutsch C. Oxygen supply capacity in animals evolves to meet maximum demand at the current oxygen partial pressure regardless of size or temperature. J. Exp. Biol. 2020;223:jeb210492. doi: 10.1242/jeb.210492. [DOI] [PubMed] [Google Scholar]
- 36.Esbaugh AJ, Ackerly KL, Dichiera AM, Negrete B. Is hypoxia vulnerability in fishes a by-product of maximum metabolic rate? J. Exp. Biol. 2021;224:jeb232520. doi: 10.1242/jeb.232520. [DOI] [PubMed] [Google Scholar]
- 37.Zhang Y, So BE, Farrell AP. Hypoxia performance curve: Assess a whole-organism metabolic shift from a maximum aerobic capacity towards a glycolytic capacity in fish. Metabolites. 2021;11:447. doi: 10.3390/metabo11070447. [DOI] [PMC free article] [PubMed] [Google Scholar]
- 38.Wood CM. The fallacy of the Pcrit - Are there more useful alternatives? J. Exp. Biol. 2018;221:jeb163717. doi: 10.1242/jeb.163717. [DOI] [PubMed] [Google Scholar]
- 39.Azad AK, Pearce CM, Mckinley RS. Effects of diet and temperature on ingestion, absorption, assimilation, gonad yield, and gonad quality of the purple sea urchin (Strongylocentrotus purpuratus) Aquaculture. 2011;317:187–196. doi: 10.1016/j.aquaculture.2011.03.019. [DOI] [Google Scholar]
- 40.Azad AK, Pearce CM, Mckinley RS. Influence of stocking density and temperature on early development and survival of the purple sea urchin, Strongylocentrotus purpuratus. Aquac. Res. 2012;43:1577–1591. doi: 10.1111/j.1365-2109.2011.02960.x. [DOI] [Google Scholar]
- 41.Leighton DL. The influence of temperature on larval and juvenile growth in three species of southern California abalones. Fish. Bull. 1974;72:1137–1145. [Google Scholar]
- 42.Steinarsson A, Imsland AK. Size dependent variation in optimum growth temperature of red abalone (Haliotis rufescens) Aquaculture. 2003;224:353–362. doi: 10.1016/S0044-8486(03)00241-2. [DOI] [Google Scholar]
- 43.Diaz F, del Rio-Portilla MA, Sierra E, Aguilar M, Re-araujo AD. Preferred temperature and critical thermal maxima of red abalone Haliotis rufescens. J. Therm. Biol. 2000;25:257–261. doi: 10.1016/S0306-4565(99)00032-7. [DOI] [Google Scholar]
- 44.Boch CA, et al. Effects of current and future coastal upwelling conditions on the fertilization success of the red abalone (Haliotis rufescens) ICES J. Mar. Sci. 2017;74:1125–1134. doi: 10.1093/icesjms/fsx017. [DOI] [Google Scholar]
- 45.Vilchis IL, et al. Ocean warming effects on growth, reproduction, and survivorship of the southern California abalone. Ecol. Appl. 2005;15:469–480. doi: 10.1890/03-5326. [DOI] [Google Scholar]
- 46.Rogers-bennett L, Dondanville RF, Moore JD, Vilchis LI. response of red abalone reproduction to warm water, starvation, and disease stressors: implications for ocean warming. J. Shellfish Res. 2010;29:599–611. doi: 10.2983/035.029.0308. [DOI] [Google Scholar]
- 47.Moore JD, Marshman BC, Chun CSY. Health and Survival of Red Abalone Haliotis rufescens from San Miguel Island, California, USA, in a Laboratory Simulation of La Niña and El Niño Conditions Health and Survival of Red Abalone Haliotis rufescens from San Miguel Island, California, USA. J. Aquat. Anim. Health. 2011;23:78–84. doi: 10.1080/08997659.2011.568860. [DOI] [PubMed] [Google Scholar]
- 48.Braid BA, et al. Health and survival of red abalone, Haliotis rufescens, under varying temperature, food supply, and exposure to the agent of withering syndrome. J. Invertebr. Pathol. 2005;89:219–231. doi: 10.1016/j.jip.2005.06.004. [DOI] [PubMed] [Google Scholar]
- 49.Ebert TA. Demographic patterns of the purple sea urchin Strongylocentrotus purpuratus along a latitudinal gradient, 1985–1987. Mar. Ecol. Prog. Ser. 2010;406:105–120. doi: 10.3354/meps08547. [DOI] [Google Scholar]
- 50.Tegner, M. J. The ecology of Strongylocentrotus franciscanus and Strongylocentrotus purpuratus. in Edible Sea Urchins: Biology and Ecology (ed. Lawrence, J. M.) 307–331 10.1016/S0167-9309(01)80019-3 (Elsevier Science B.V., 2001).
- 51.Olivares-bañuelos NC, Enríquez-paredes LM, Ladah LB. Population structure of purple sea urchin Strongylocentrotus purpuratus along the Baja California peninsula. Fish. Sci. 2008;74:804–812. doi: 10.1111/j.1444-2906.2008.01592.x. [DOI] [Google Scholar]
- 52.Geiger, D. L. Distribution and Biogeography of the Recent Haliotidae (Gastropoda: Vetigastropoda) World-wide. (Malacologico, 2000).
- 53.Sloan NA, Mcdevit DC, Saunders GW. Further to the Occurrence of Red Abalone, Haliotis rufescens, in British Columbia. Can. Field-Naturalist. 2010;124:238–241. doi: 10.22621/cfn.v124i3.1079. [DOI] [Google Scholar]
- 54.Jutfelt F, et al. Oxygen- and capacity-limited thermal tolerance: blurring ecology and physiology. J. Exp. Biol. 2018;221:jeb169615. doi: 10.1242/jeb.169615. [DOI] [PubMed] [Google Scholar]
- 55.Pörtner HO, Knust R. Climate change affects marine fishes through the oxygen limitation of thermal tolerance. Science. 2007;315:95–97. doi: 10.1126/science.1135471. [DOI] [PubMed] [Google Scholar]
- 56.Brijs J, et al. Experimental manipulations of tissue oxygen supply do not affect warming tolerance of European perch. J. Exp. Biol. 2015;218:2448–2454. doi: 10.1242/jeb.121889. [DOI] [PubMed] [Google Scholar]
- 57.Verberk WCEP, et al. Does oxygen limit thermal tolerance in arthropods? A critical review of current evidence. Comp. Biochem. Physiol. - Part A. 2016;192:64–78. doi: 10.1016/j.cbpa.2015.10.020. [DOI] [PMC free article] [PubMed] [Google Scholar]
- 58.Verberk WCEP, et al. Shrinking body sizes in response to warming: explanations for the temperature – size rule with special emphasis on the role of oxygen. Biol. Rev. 2021;96:247–268. doi: 10.1111/brv.12653. [DOI] [PMC free article] [PubMed] [Google Scholar]
- 59.Clarke A. Energy flow in growth and production. Trends Ecol. Evol. 2019;34:502–509. doi: 10.1016/j.tree.2019.02.003. [DOI] [PubMed] [Google Scholar]
- 60.Morita K, Fukuwaka M, Tanimata N, Yamamura O. Size-dependent thermal preferences in a pelagic fish. Oikos. 2010;119:1265–1272. doi: 10.1111/j.1600-0706.2009.18125.x. [DOI] [Google Scholar]
- 61.Lindmark M, Ohlberger J, Gardmark A. Optimum growth temperature declines with body size within fish species. Glob. Chang Biol. 2022;28:2259–2271. doi: 10.1111/gcb.16067. [DOI] [PubMed] [Google Scholar]
- 62.Nilsson GE, Ostlund-Nilsson S. Does size matter for hypoxia tolerance in fish? Biol. Rev. 2008;83:173–189. doi: 10.1111/j.1469-185X.2008.00038.x. [DOI] [PubMed] [Google Scholar]
- 63.Christensen EAF, Svendsen MBS, Steffensen JF. The combined effect of body size and temperature on oxygen consumption rates and the size-dependency of preferred temperature in European perch Perca fluviatilis. J. Fish. Biol. 2020;97:794–803. doi: 10.1111/jfb.14435. [DOI] [PubMed] [Google Scholar]
- 64.Schurmann H, Steffensen JF. Lethal oxygen levels at different temperatures and the preferred temperature during hypoxia of the Atlantic cod, Gadus morhua L. J. Fish. Biol. 1992;41:927–934. doi: 10.1111/j.1095-8649.1992.tb02720.x. [DOI] [Google Scholar]
- 65.Enders EC, Wall AJ, Svendsen JC. Hypoxia but not shy-bold phenotype mediates thermal preferences in a threatened freshwater fish, Notropis percobromus. J. Therm. Biol. 2019;84:479–487. doi: 10.1016/j.jtherbio.2019.08.001. [DOI] [PubMed] [Google Scholar]
- 66.Gutbrod, E.-M. et al. Moving on up: Vertical distribution shifts in rocky reef fish species during climate- driven decline in dissolved oxygen from 1995 to 2009. Glob. Chang. Biol. 1–14 10.1111/gcb.15821 (2021). [DOI] [PMC free article] [PubMed]
- 67.Wishner KF, et al. Ocean deoxygenation and zooplankton: Very small oxygen differences matter. Sci. Adv. 2018;4:eaau5180. doi: 10.1126/sciadv.aau5180. [DOI] [PMC free article] [PubMed] [Google Scholar]
- 68.Norin T, Malte H, Clark TD. Aerobic scope does not predict the performance of a tropical eurythermal fish at elevated temperatures. J. Exp. Biol. 2014;217:244–251. doi: 10.1242/jeb.089755. [DOI] [PubMed] [Google Scholar]
- 69.Gräns A, et al. Aerobic scope fails to explain the detrimental effects on growth resulting from warming and elevated CO2 in Atlantic halibut. J. Experimental Biol. 2014;217:711–717. doi: 10.1242/jeb.096743. [DOI] [PubMed] [Google Scholar]
- 70.Flint N, et al. Sublethal effects of fluctuating hypoxia on juvenile tropical Australian freshwater fish. Mar. Freshw. Res. 2014;66:293–304. doi: 10.1071/MF14120. [DOI] [Google Scholar]
- 71.Seitz AC, Michalsen K, Nielsen JL, Evans MD. Evidence of fjord spawning by southern Norwegian Atlantic halibut (Hippoglossus hippoglossus) ICES J. Mar. Sci. 2014;71:1142–1147. doi: 10.1093/icesjms/fst227. [DOI] [Google Scholar]
- 72.Monaco CJ, et al. Dietary generalism accelerates arrival and persistence of coral-reef fishes in their novel ranges under climate change. Glob. Chang Biol. 2020;26:5564–5573. doi: 10.1111/gcb.15221. [DOI] [PubMed] [Google Scholar]
- 73.Wisz MS, et al. The role of biotic interactions in shaping distributions and realised assemblages of species: implications for species distribution modelling. Biol. Rev. 2013;88:15–30. doi: 10.1111/j.1469-185X.2012.00235.x. [DOI] [PMC free article] [PubMed] [Google Scholar]
- 74.Kawana SK, et al. Warm Water Shifts Abalone Recruitment and Sea Urchin Diversity in Southern California: Implications for Climate-Ready Abalone Restoration Planning. J. Shellfish Res. 2019;38:475–484. doi: 10.2983/035.038.0231. [DOI] [Google Scholar]
- 75.Pan YK, Ern R, Morrison PR, Brauner CJ, Esbaugh AJ. Acclimation to prolonged hypoxia alters hemoglobin isoform expression and increases hemoglobin oxygen affinity and aerobic performance in a marine fish. Sci. Rep. 2017;7:7834. doi: 10.1038/s41598-017-07696-6. [DOI] [PMC free article] [PubMed] [Google Scholar]
- 76.Williams J, et al. Sea urchin mass mortality rapidly restores kelp forest communities. Mar. Ecol. Prog. Ser. 2021;664:117–131. doi: 10.3354/meps13680. [DOI] [Google Scholar]
- 77.Gleason, R. et al. A Structured Approach for Kelp Restoration and Management Decisions in California. (The Nature Conservancy, 2021).
- 78.Rubalcaba JG, Verberk WCEP, Hendriks AJ, Saris B, Woods HA. Oxygen limitation may affect the temperature and size dependence of metabolism in aquatic ectotherms. Proc. Natl Acad. Sci. 2020;117:31963–31968. doi: 10.1073/pnas.2003292117. [DOI] [PMC free article] [PubMed] [Google Scholar]
- 79.Killen SS, et al. Guidelines for reporting methods to estimate metabolic rates by aquatic intermittent-flow respirometry. J. Exp. Biol. 2021;224:jeb242522. doi: 10.1242/jeb.242522. [DOI] [PMC free article] [PubMed] [Google Scholar]
- 80.Booth JAT, et al. Natural intrusions of hypoxic, low pH water into nearshore marine environments on the California coast. Cont. Shelf Res. 2012;45:108–115. doi: 10.1016/j.csr.2012.06.009. [DOI] [Google Scholar]
- 81.Svendsen MBS, Bushnell PG, Steffensen JF. Design and setup of intermittent-flow respirometry system for aquatic organisms. J. Fish. Biol. 2016;88:26–50. doi: 10.1111/jfb.12797. [DOI] [PubMed] [Google Scholar]
- 82.Harianto J, Carey N, Byrne M. respR—An R package for the manipulation and analysis of respirometry data. Methods Ecol. Evol. 2019;10:912–920. doi: 10.1111/2041-210X.13162. [DOI] [Google Scholar]
- 83.Birk, M. A. respirometry: Tools for Conducting and Analyzing Respirometry Experiments. R package version 1.2.1 (2020).
- 84.Ultsch GR, Regan MD. The utility and determination of Pcrit in fishes. J. Exp. Biol. 2019;222:jeb203646. doi: 10.1242/jeb.203646. [DOI] [PubMed] [Google Scholar]
- 85.Brown JH, Gillooly JF, Allen AP, Savage VM, West GB. Toward a metabolic theory of ecology. Ecology. 2004;85:1771–1789. doi: 10.1890/03-9000. [DOI] [Google Scholar]
- 86.Verberk WCEP, Bilton DT, Calosi P, Spicer JI. Oxygen supply in aquatic ectotherms: Partial pressure and solubility together explain biodiversity and size patterns. Ecology. 2011;92:1565–1572. doi: 10.1890/10-2369.1. [DOI] [PubMed] [Google Scholar]
- 87.Deutsch C, et al. Progress in oceanography biogeochemical variability in the California current system. Prog. Oceanogr. 2021;196:102565. doi: 10.1016/j.pocean.2021.102565. [DOI] [Google Scholar]
- 88.Howard, E. M. et al. Attributing Causes of Future Climate Change in the California Current System With Multimodel Downscaling. Global Biogeochem. Cycles34, e2020GB006646 (2020).
- 89.Kelley, D. & Richards, C. oce: Analysis of Oceanographic Data. R package version 1.3-0 (2021).
- 90.Provoost, P. & Bosch, S. robis: Ocean Biodiversity Information System (OBIS) Client. R package version 2.4.1 (2021).
- 91.R coreTeam. R: A language and environment for statistical computing. R Foundation for Statistical Computing (2020).
- 92.Dunnington, D. ggspatial: Spatial Data Framework for ggplot2. R package version 1.1.5 (2021).
- 93.Hijmans, R. J. raster: Geographic Data Analysis and Modeling. R package version 3.4-5 (2020).
- 94.Pante E, Simon-Bouhet B. marmap: A Package for Importing, Plotting and Analyzing Bathymetric and Topographic Data in R. PLoS One. 2013;8:73051. doi: 10.1371/journal.pone.0073051. [DOI] [PMC free article] [PubMed] [Google Scholar]
- 95.South, A. rnaturalearth: World Map Data from Natural Earth. R package version 0.1.0 (2017).
- 96.Pebesma E. Simple Features for R: Standardized Support for Spatial Vector Data. R. J. 2018;10:439–446. doi: 10.32614/RJ-2018-009. [DOI] [Google Scholar]
- 97.Garnier, S. et al. Rvision - Colorblind-Friendly Color Maps for R. R package version 0.6.1, (2021).
- 98.Wickham H, et al. Welcome to the tidyverse. J. Open Source Softw. 2019;4:1686. doi: 10.21105/joss.01686. [DOI] [Google Scholar]
- 99.Duncan, M.I. Oxygen availability and body mass modulate ectotherm responses to ocean warming [Data set]. Zenodo. 10.5281/zenodo.7899786 (2023). [DOI] [PMC free article] [PubMed]
Associated Data
This section collects any data citations, data availability statements, or supplementary materials included in this article.
Supplementary Materials
Data Availability Statement
The raw respirometry data generated during experiments and the processed data used for the analyses in this study have been deposited in the Zenodo database here: 10.5281/zenodo.789978699. Source data are provided with this paper.
The R script used to analyze the data in this study has been deposited in the Zenodo database here: 10.5281/zenodo.789978699.







