Abstract
The talk test (TT) is subjective method to measure exercise intensity in costless and feasible manner, compared to sophisticated laboratory equipment. We attempted to investigate whether the TT was a valid method for evaluation of exercise intensity, by comparing with values derived from various physiologic markers during cardiopulmonary exercise testing on treadmill in healthy population. A total of 17 healthy subjects (12 males and 5 females) participated in this study. The TT was applied, which consisted of 3-stages difficulties demanding respiratory load while they performed the cardiopulmonary exercise testing on treadmill. In each of the TT stages, ergospirometric and psychophysiologic response marker were collected such as heart rate, oxygen consumption, respiratory exchange ratio, minute ventilation, carbon dioxide output, tidal volume, respiratory rate, and rating of perceived exertion of breathing. Statistical analyses revealed a significant difference of all dependent variables in each of three TT stages, comparing with the resting phase before the TT. The TT showed strong correlation coefficient with all variables except for rating of perceived exertion during the resting phase before the TT. According to increase of exercise intensity, all dependent variables showed a linear tendency with the stages of the TT. Our findings indicated that each of the TT stages was strongly correlated with ergospirometric variables as well as psychophysiologic response during cardiopulmonary exercise testing on treadmill. We suggested that the TT can be used to evaluate and prescribe exercise intensity of aerobic activity in cardiovascular and pulmonary rehabilitation settings.
Keywords: Talk test, Cardiopulmonary exercise testing, Exercise intensity, Ergospirometry
INTRODUCTION
Cardiopulmonary rehabilitation is a comprehensive multidisciplinary intervention to manage individuals who need a systematically tailor-based therapeutic strategy with cardiovascular and lung disease (Servey and Stephens, 2016; Spruit, 2014). It is acknowledged as integrated approach aimed at optimizing various aspects such as physical, psychological, vocational, and social condition, which are not limited to exercise training, education and behaviour change (Nici et al., 2012; Spruit, 2014). As the elderly population increases rapidly, it is crucial to evaluate cardiovascular and pulmonary function due to changes of their parenchymal structures in accordance with the aging (Cho and Stout-Delgado, 2020). Recently, assessment of cardiopulmonary function has become an important factor in medical and well-being areas, using easily accessed and cost-effective manner.
Individual exercise prescription is an essential element of cardiopulmonary rehabilitation to evaluate and optimize personal fitness level, using FITT principle that stands for frequency, intensity, time and type of exercise (Reed and Pipe, 2014). Exercise intensity is usually acquired from maximal exercise testing as physiologic threshold values when ergospirometric data is not available (Reed and Pipe, 2014; Saini et al., 2018). However, maximal exercise testing is less common in clinical setting because the expensive purchasing cost and high technical skill are required. Therefore, valid, reliable, practical, and inexpensive methods are needed to assess and prescribe exercise intensity (Gondoni et al., 2010; Grace et al., 2016; Tsai et al., 2015). As alternative methods, the talk test (TT), the rating of perceived exertion (RPE), and heart rate (HR) monitoring are generally used by patients and clinicians (Reed and Pipe, 2014).
The TT has been used as an alternative method to standard exercise intensity testing in healthcare professions, healthy active individuals, competitive athletes, etc. (Foster et al., 2008; Rodriguez-Marroyo et al., 2013). It is performed as an incremental method where the participants’ ability to still allows for comfortable conversation is evaluated (Brawner et al., 2006; Rodriguez-Marroyo et al., 2013; Woltmann et al., 2015). The RPE has been often used as subjective methods to evaluate and prescribe exercise intensity during aerobic activity, whereas the TT has been not popular in cardiovascular and respiratory rehabilitation settings. In addition, many literatures revealed that the TT showed the reliable and equivalent results compared to ventilatory threshold information (Foster et al., 2008; Persinger et al., 2004; Reed and Pipe, 2014).
However, less study has analyzed if the TT outcomes is correlated with gas exchange data during cardiopulmonary exercise testing. Therefore, the purpose of this study was to find whether each of the TT stages could reflect the difference of exercise intensity during treadmill walking, using caridiopulmonary parameters and psycophysiologic response. In addition, we investigated that the stages occurred at the equivocal state compared to ventilatory threshold in young adults.
MATEREALS AND METHODS
Participants
Seventeen healthy volunteers (12 males, 5 females) were recruited from a college and university in local community in this study. Inclusive criterions that noticed for recruitment were as followings: (1) no previous history of cardiovascular and pulmonary illness; (2) possibility of performing normal daily activities without difficulty; (3) no impairment in posture or gait; (4) no contraindications to a maximal cardiopulmonary exercise testing as per American Thoracic Society recommendations. All subjects understood the purpose of this study and provided written informed consent prior to participation of this study in the study, in accordance with the ethical standards of the Declaration of Helsinki. This protocol was approved by the Institutional Review Board of a College (YNC IRB/201904-04).
Respiratory gas analysis
All tests were performed on automatic treadmill with breath-by-breath expired gas analysis, to conduct respiratory gas analysis. The measurement and analysis, which consisted of HR, oxygen consumption (VO2), respiratory exchange ratio (RER), minute ventilation (VE), carbon dioxide output (VCO2), tidal volume (VT), respiratory rate (RR), and RPE were performed, to confirm the exercise intensity of the participants during the TT. All acquisition of gas analysis data was taken at the resting phase before the TT, the TT phases (I, II, III), and postresting phase. The tests were conducted at the same time between 4 p.m. and 6 p.m., maintaining a temperature of 20°C–25°C and humidity of 50%–55%.
TT procedure
Participants were instructed to refrain from exercise for 24 hr prior to the experiment. They were asked to recite the pledge of allegiance while simultaneously performing the treadmill exercise, and to answer whether they could recite comfortably or not. All participants were familiar with the pledge of allegiance that sent to each of them for complete memorization before the test. The TT using a treadmill utilized a modified Modified Bruce Protocol and general procedure used in many previous studies (Brawner et al., 2006; Foster et al., 2008; Reed and Pipe, 2014). If RER was achieved at over 1.10, we considered that participants were examined at their peak effort. Workloads were consecutively increased as follows, each lasting 4 min. First stage involved walking for 4 min at a self-selected comfortable speed with a 0% incline, followed by an increase in incline of 2% every 2 min. At the end of the exercise, the participants were asked to recite the pledge of allegiance and the intensity of the exercise was increased based on their response to the question, ‘Can you speak comfortably?’ asked by the examiner. The TT was started from stage I when participants spoke comfortably. The test was progressed to stage II when the participant could read but found it difficult, and progressed to stage III when the participant reported difficulty or had an exertion rating of 15 or higher on the RPE. The first and last trials at which the individuals were not completely certain about their ability to talk comfortably were divided to stage I and II. Finally, the first exercise at which the participants could not talk comfortably was defined as stage III. The test was concluded after completing all stages of the protocol.
Statistical analysis
All numerical parameters were expressed as the mean±standard deviation. One-way analysis of variance with repeated measures was used to compare and analyze differences in HR, VO2, RER, VE, VCO2, VT, RR, and RPE. Independent t-tests were used for post hoc analysis to compare the differences in dependent variables at each stage of the TT. Pearson correlation analysis was used to analyze the correlation between variables at each stage of the TT. All statistical analyses were performed using IBM SPSS Statistics ver. 22.0 (IBM Co., Armonk, NY, USA), with a statistical significance level set at α=0.05.
RESULTS
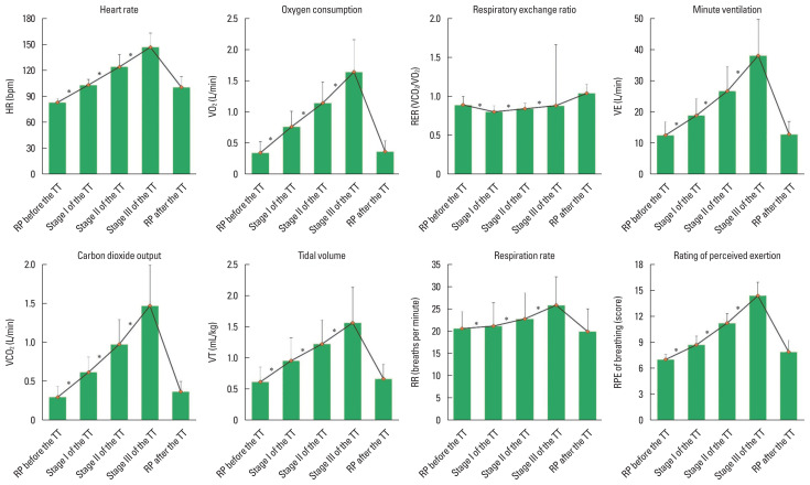
Table 1 shows demographic information of the participants, in terms of gender, age, height, weight, and body mass index. The average age of the participants was 26.53±2.70 years, with an average height of 171.29±8.24 cm, weight of 71.12±14.2 kg, and body mass index of 23.99±3.10 kg/m2 (Table 1). Main variables were HR, VO2, RER, VE, VCO2, VT, RR, and RPE. Repeated measures analysis of variance was used to compare the differences in all of dependent variables to the stages of the TT. The group interaction effect was significant for all variables with P=0.000 (Table 2, Fig. 1). The correlation analysis between variables showed a statistically significant high correlation among all variables except for RER during the resting phase before the TT. During three stages of the TT and the postresting phase, statistically significant high correlation was observed only between VO2 and VCO2.
Table 1.
The general characteristics of the participants
| Characteristic | Value |
|---|---|
| Gender, male:female | 12:5 |
| Age (yr) | 26.53±2.70 |
| Height (cm) | 171.29±8.24 |
| Weight (kg) | 71.12±14.2 |
| Body mass index (kg/m2) | 23.99±3.10 |
Values are presented as number or mean±standard deviation.
Table 2.
Statistic results of comparison between the resting phase before the talk test (TT) and the stages of the TT
| Variable | Mean±SD | 95% CI | F-value | df | P-value | ES |
|---|---|---|---|---|---|---|
| HR | ||||||
| RPb vs. Stage I | 20.18±2.21 | 15.50–24.86 | 70.78 | 13.00 | 0.000 | 0.96 |
| RPb vs. Stage II | 41.35±3.90 | 33.10–49.61 | 70.78 | 13.00 | 0.000 | 0.96 |
| RPb vs. Stage III | 64.18±4.52 | 54.60–73.76 | 70.78 | 13.00 | 0.000 | 0.96 |
| RPb vs. Stage RPa | 17.71±3.12 | 11.10–24.32 | 70.78 | 13.00 | 0.000 | 0.96 |
|
| ||||||
| VO2 | ||||||
| RPb vs. Stage I | 0.42±0.04 | 0.33–0.51 | 28.13 | 13.00 | 0.000 | 0.90 |
| RPb vs. Stage II | 0.81±0.07 | 0.66–0.96 | 28.13 | 13.00 | 0.000 | 0.90 |
| RPb vs. Stage III | 1.30±0.12 | 1.05–1.56 | 228.13 | 13.00 | 0.000 | 0.90 |
| RPb vs. Stage RPa | 0.02±0.03 | 0.04–0.08 | 28.13 | 13.00 | 0.000 | 0.90 |
|
| ||||||
| RER | ||||||
| RPb vs. Stage I | 0.09±0.03 | 0.15–0.03 | 11.59 | 13.00 | 0.000 | 0.78 |
| RPb vs. Stage II | 0.06±0.03 | 0.11–0.01 | 11.59 | 13.00 | 0.000 | 0.78 |
| RPb vs. Stage III | 0.01±0.03 | 0.06–0.05 | 11.59 | 13.00 | 0.000 | 0.78 |
| RPb vs. Stage RPa | 0.15±0.04 | 0.06–0.23 | 11.59 | 13.00 | 0.000 | 0.78 |
|
| ||||||
| VE | ||||||
| RPb vs. Stage I | 6.38±1.01 | 4.23–8.53 | 24.61 | 13.00 | 0.000 | 0.88 |
| RPb vs. Stage II | 14.26±1.79 | 10.45–18.06 | 24.61 | 13.00 | 0.000 | 0.88 |
| RPb vs. Stage III | 25.74±2.60 | 20.22–31.25 | 24.61 | 13.00 | 0.000 | 0.88 |
| RPb vs. Stage RPa | 0.32±0.87 | −1.52–2.16 | 24.61 | 13.00 | 0.000 | 0.88 |
|
| ||||||
| VCO2 | ||||||
| RPb vs. Stage I | 0.32±0.03 | 0.25–0.38 | 23.92 | 13.00 | 0.000 | 0.88 |
| RPb vs. Stage II | 0.68±0.07 | 0.53–0.82 | 23.92 | 13.00 | 0.000 | 0.88 |
| RPb vs. Stage III | 1.18±0.13 | 0.91–1.44 | 23.92 | 13.00 | 0.000 | 0.88 |
| RPb vs. Stage RPa | 0.07±0.02 | 0.03–0.12 | 23.92 | 13.00 | 0.000 | 0.88 |
|
| ||||||
| VT | ||||||
| RPb vs. Stage I | 0.34±0.06 | 0.21–0.46 | 23.22 | 13.00 | 0.000 | 0.88 |
| RPb vs. Stage II | 0.61±0.06 | 0.49–0.73 | 23.22 | 13.00 | 0.000 | 0.88 |
| RPb vs. Stage III | 0.95±0.11 | 0.73–1.17 | 23.22 | 13.00 | 0.000 | 0.88 |
| RPb vs. Stage RPa | 0.05±0.04 | 0.04–0.14 | 23.22 | 13.00 | 0.000 | 0.88 |
|
| ||||||
| RR | ||||||
| RPb vs. Stage I | 0.56±1.05 | 1.66–2.78 | 6.16 | 13.00 | 0.000 | 0.66 |
| RPb vs. Stage II | 2.17±1.47 | 0.93–5.28 | 6.16 | 13.00 | 0.000 | 0.66 |
| RPb vs. Stage III | 5.25±1.42 | 2.25–8.25 | 6.16 | 13.00 | 0.000 | 0.66 |
| RPb vs. Stage RPa | 0.67±1.08 | 2.97–1.63 | 6.16 | 13.00 | 0.000 | 0.66 |
|
| ||||||
| RPE | ||||||
| RPb vs. Stage I | 1.71±0.31 | 1.06–2.36 | 92.47 | 13.00 | 0.000 | 0.97 |
| RPb vs. Stage II | 4.24±0.33 | 3.54–4.93 | 92.47 | 13.00 | 0.000 | 0.97 |
| RPb vs. Stage III | 7.41±0.43 | 6.50–8.32 | 92.47 | 13.00 | 0.000 | 0.97 |
| RPb vs. Stage RPa | 0.88±0.33 | 0.18–1.58 | 92.47 | 13.00 | 0.000 | 0.97 |
SD, standard deviation; CI, confidence interval; ES, effect size; HR, heart rate; VO2, oxygen consumption; RER, respiratory exchange ratio; VE, minute ventilation; VCO2, carbon dioxide output; VT, tidal volume; RR, respiration rate; RPE, rating of perceived exertion; df, degree of freedom; RPb, the resting phase before the TT; RPa, the resting phase after the TT.
Fig. 1.
Ergospirometric and psychophysiologic data during the resting phase (RP) before the talk test (TT), three stages of the TT phase, and resting phase after 3 minutes of the TT. HR, heart rate; VO2, oxygen consumption; RER, respiratory exchange ratio; VE, minute ventilation; VCO2, carbon dioxide output; VT, tidal volume; RR, respiration rate; RPE, rating of perceived exertion. Data are mean±standard deviation. *Significant with P<0.05 compared to the resting phase before the TT.
DISCUSSION
In the current study, we measured ventilatory variables during cardiopulmonary exercise testing with treadmill in young adults using cardiovascular parameter (HR, VO2), ventilatory and pulmonary gas exchange parameters (RER, VE, VCO2, VT, RR), and psycophysiologic response. The main results suggested that each stage of the TT is strongly correlated with response markers related to exercise intensity, which corresponds to cardiovascular and pulmonary load. In addition, all of dependent variables showed significant difference at each of the TT stages, when compared with the resting phase before the TT. On the basis of these results, the TT can be recommended as visible alternative method to evaluate and prescribe exercise intensity of aerobic activity in various populations, including healthy adults, sports athletes, and patients with cardiopulmonary disease.
The TT is a broad measurement associated with the ability to talk comfortably in response to speech provoking stimulus, such as answering questions, reciting aloud a paragraph, and counting number (Reed and Pipe, 2014; Woltmann et al., 2015). The concept of the TT derived from advice given to British mountaineers to ‘climb no faster than you can speak’ by Professor John Grayson in 1937 (Reed and Pipe, 2014). The TT was classified into three different stages, according to the exercise intensity that the participants felt by themselves by progressively increasing the intensity from a level where the subject can speak comfortably, a level where it is clear to speak with somewhat difficulty, and a level where it is very difficult to speak. Since the late 1990’s, it has been considered as a validate marker of the ventilatory threshold and as a prescriptive method in normal adults and patients with cardiopulmonary disorder (Foster et al., 2008; Woltmann et al., 2015).
In this study, we adapted ergospirometric and psychophysiologic variables describing cardiac and respiratory conditions of the participants. Numerous prior studies using cardiopulmonary exercise testing have used objective tools successfully to monitor participant’s condition and to prescribe exercise intensity, in terms of HR, gas analysis, metabolic equivalents, the RPE, and so forth (Abell et al., 2017; Hansen et al., 2012; Reed and Pipe, 2016; Saini et al., 2018). HR has linear relationship with VO2 due to autonomic regulation. VO2 and VCO2 are defined as its volume extracted from inspired and exhaled air in a given period time. VO2max is the gold standard to estimate participant’s aerobic capacity. The RER that described the energy expenditure for metabolism, is calculated with the ratio VCO2 and VO2, whereas VE is defined as the volume of air exhaled from the lungs in 1 minute. The increased VE and RR is basically associated with a rise in ventilatory threshold during exercise of low-level intensity. In addition, RPE is self-reported and feasible tool for exercise prescription in home-based and low-budget environments (Saini et al., 2018). It is a scale of 6–20, where 6 indicates no exertion and 20 means maximal exertion (Ritchie, 2012).
Main findings of this study are consistent with those of many previous investigations related to physiologic marker of exercise intensity, suggesting that three phases of the TT have largely been correlative with a variety of physiologic responses during incremental exercise test (Brawner et al., 2006; Reed and Pipe, 2014; Saini et al., 2018; Woltmann et al., 2015). Similarity to our results showing the significant difference among the three phases of the TT in cardiovascular parameter and gas exchange parameters, prior studies demonstrated that the TT had a close relationship with various quantified values in terms of HR reserve, maximal VO2, ventilatory and lactate threshold, etc. Ventilation surges in direct ratio with exercise intensity up to 50%–75% VO2max, at which point is known as the ventilatory threshold, whereas the lactate threshold appears in the blood as outcome of production and/or low clearance of lactate at a similar point. Significant difference in the both parameters was attributable to the increased carbon dioxide concentration, which resulted from stimulation from signal of the inspiratory center to increase ventilation in an effort to eliminate surplus carbon dioxide. In additional, Zanettini et al. (2013) reported that the TT showed a high intraclass correlation coefficient value in HR and RPE. Several investigators have systemically examined the validity and reliability of the TT for prescribing and monitoring exercise intensity (Anderson et al., 2016; Casillas et al., 2017; Grace et al., 2016; Pednekar et al., 2011; Persinger et al., 2004; Reed and Pipe, 2014).
Recently, as patients with heart and respiratory diseases increases according to life extension, the need for evaluation and treatment in cardiorespiratory rehabilitation is getting significant (Rabe et al., 2018). In cardiovascular and pulmonary rehabilitation, it is important to measure and analyze patients’ psycho-physiological response indicators according to exercise intensity. In addition, is necessary to acquire knowledge and skills for various objective or subjective measurement methods. Many previous studies have already proven the validity and reliability of the TT, and it is used in clinical applications and studies in various fields (Reed and Pipe, 2014; Saini et al., 2018). This study suggests that the TT is cost-effective method to measure exercise intensity, which can replace sophisticated and expensive equipment in variety of clinical and healthcare settings. In particular, usage of the TT permits exercise guidance to be provided easily and effectively for healthcare professions counseling their clients. In this study, a high correlation was found with the psycho-physiological response in aerobic exercise, and it was confirmed that the biological response according to the exercise intensity was consistent. However, we acknowledge that our limitation is the small sample size and no application of patients with cardiopulmonary disease. Thus, further studies will be required to measure additional biological response indicators related to cardiovascular and respiration with a large number of samples for more generalized conclusions.
ACKNOWLEDGMENTS
This study was supported by the Yeungnam University College Research Grants in 2020.
Footnotes
CONFLICT OF INTEREST
No potential conflict of interest relevant to this study was reported.
REFERENCES
- Abell B, Glasziou P, Hoffmann T. The contribution of individual exercise training components to clinical outcomes in randomised controlled trials of cardiac rehabilitation: a systematic review and meta-regression. Sports Med Open. 2017;3:19. doi: 10.1186/s40798-017-0086-z. [DOI] [PMC free article] [PubMed] [Google Scholar]
- Anderson L, Oldridge N, Thompson DR, Zwisler AD, Rees K, Martin N, Taylor RS. Exercise-based cardiac rehabilitation for coronary heart disease: cochrane systematic review and meta-analysis. J Am Coll Cardiol. 2016;67:1–12. doi: 10.1016/j.jacc.2015.10.044. [DOI] [PubMed] [Google Scholar]
- Brawner CA, Vanzant MA, Ehrman JK, Foster C, Porcari JP, Kelso AJ, Keteyian SJ. Guiding exercise using the talk test among patients with coronary artery disease. J Cardiopulm Rehabil. 2006;26:72–75. doi: 10.1097/00008483-200603000-00002. quiz 76–77. [DOI] [PubMed] [Google Scholar]
- Casillas JM, Gudjoncik A, Gremeaux V, Aulagne J, Besson D, Laroche D. Assessment tools for personalizing training intensity during cardiac rehabilitation: literature review and practical proposals. Ann Phys Rehabil Med. 2017;60:43–49. doi: 10.1016/j.rehab.2016.01.011. [DOI] [PubMed] [Google Scholar]
- Cho SJ, Stout-Delgado HW. Aging and lung disease. Annu Rev Physiol. 2020;82:433–459. doi: 10.1146/annurev-physiol-021119-034610. [DOI] [PMC free article] [PubMed] [Google Scholar]
- Foster C, Porcari JP, Anderson J, Paulson M, Smaczny D, Webber H, Doberstein ST, Udermann B. The talk test as a marker of exercise training intensity. J Cardiopulm Rehabil Prev. 2008;28:24–30. doi: 10.1097/01.HCR.0000311504.41775.78. quiz 31–22. [DOI] [PubMed] [Google Scholar]
- Gondoni LA, Nibbio F, Caetani G, Augello G, Titon AM. What are we measuring? considerations on subjective ratings of perceived exertion in obese patients for exercise prescription in cardiac rehabilitation programs. Int J Cardiol. 2010;140:236–238. doi: 10.1016/j.ijcard.2008.11.068. [DOI] [PubMed] [Google Scholar]
- Grace SL, Turk-Adawi KI, Contractor A, Atrey A, Campbell N, Derman W, Melo Ghisi GL, Oldridge N, Sarkar BK, Yeo TJ, Lopez-Jimenez F, Mendis S, Oh P, Hu D, Sarrafzadegan N. Cardiac rehabilitation delivery model for low-resource settings. Heart. 2016;102:1449–1455. doi: 10.1136/heartjnl-2015-309209. [DOI] [PMC free article] [PubMed] [Google Scholar]
- Hansen D, Stevens A, Eijnde BO, Dendale P. Endurance exercise intensity determination in the rehabilitation of coronary artery disease patients: a critical re-appraisal of current evidence. Sports Med. 2012;42:11–30. doi: 10.2165/11595460-000000000-00000. [DOI] [PubMed] [Google Scholar]
- Nici L, ZuWallack R, American Thoracic Society Subcommittee on integrated care of the CP An official American Thoracic Society workshop report: the integrated care of the COPD patient. Proc Am Thorac Soc. 2012;9:9–18. doi: 10.1513/pats.201201-014ST. [DOI] [PubMed] [Google Scholar]
- Pednekar MS, Gupta R, Gupta PC. Illiteracy, low educational status, and cardiovascular mortality in India. BMC Public Health. 2011;11:567. doi: 10.1186/1471-2458-11-567. [DOI] [PMC free article] [PubMed] [Google Scholar]
- Persinger R, Foster C, Gibson M, Fater DC, Porcari JP. Consistency of the talk test for exercise prescription. Med Sci Sports Exerc. 2004;36:1632–1636. [PubMed] [Google Scholar]
- Rabe KF, Hurst JR, Suissa S. Cardiovascular disease and COPD: dangerous liaisons? Eur Respir Rev. 2018;27:180057. doi: 10.1183/16000617.0057-2018. [DOI] [PMC free article] [PubMed] [Google Scholar]
- Reed JL, Pipe AL. Practical approaches to prescribing physical activity and monitoring exercise intensity. Can J Cardiol. 2016;32:514–522. doi: 10.1016/j.cjca.2015.12.024. [DOI] [PubMed] [Google Scholar]
- Reed JL, Pipe AL. The talk test: a useful tool for prescribing and monitoring exercise intensity. Curr Opin Cardiol. 2014;29:475–480. doi: 10.1097/HCO.0000000000000097. [DOI] [PubMed] [Google Scholar]
- Ritchie C. Rating of perceived exertion (RPE) J Physiother. 2012;58:62. doi: 10.1016/S1836-9553(12)70078-4. [DOI] [PubMed] [Google Scholar]
- Rodriguez-Marroyo JA, Villa JG, Garcia-Lopez J, Foster C. Relationship between the talk test and ventilatory thresholds in well-trained cyclists. J Strength Cond Res. 2013;27:1942–1949. doi: 10.1519/JSC.0b013e3182736af3. [DOI] [PubMed] [Google Scholar]
- Saini M, Kulandaivelan S, Devi P, Saini V. The talk test-A costless tool for exercise prescription in Indian cardiac rehabilitation. Indian Heart J. 2018;70(Suppl 3):S466–S470. doi: 10.1016/j.ihj.2018.09.009. [DOI] [PMC free article] [PubMed] [Google Scholar]
- Servey JT, Stephens M. Cardiac rehabilitation: improving function and reducing risk. Am Fam Physician. 2016;94:37–43. [PubMed] [Google Scholar]
- Spruit MA. Pulmonary rehabilitation. Eur Respir Rev. 2014;23:55–63. doi: 10.1183/09059180.00008013. [DOI] [PMC free article] [PubMed] [Google Scholar]
- Tsai SW, Huang YH, Chen YW, Ting CT. Influence of β-blockers on heart rate recovery and rating of perceived exertion when determining training intensity for cardiac rehabilitation. J Chin Med Assoc. 2015;78:520–525. doi: 10.1016/j.jcma.2015.05.009. [DOI] [PubMed] [Google Scholar]
- Woltmann ML, Foster C, Porcari JP, Camic CL, Dodge C, Haible S, Mikat RP. Evidence that the talk test can be used to regulate exercise intensity. J Strength Cond Res. 2015;29:1248–1254. doi: 10.1519/JSC.0000000000000811. [DOI] [PubMed] [Google Scholar]
- Zanettini R, Centeleghe P, Franzelli C, Mori I, Benna S, Penati C, Sorlini N. Validity of the talk test for exercise prescription after myocardial revascularization. Eur J Prev Cardiol. 2013;20:376–382. doi: 10.1177/2047487312438982. [DOI] [PubMed] [Google Scholar]

