Abstract
Aerobic hydrogen-oxidizing ‘Knallgas’ bacteria are promising candidates for microbial cell factories due to their ability to use hydrogen and carbon dioxide as the sole energy and carbon sources, respectively. These bacteria can convert atmospheric CO2 to chemicals which could help to mitigate climate change by replacing fossil fuel-based chemicals. A known method to enhance the product yield is to disrupt competing metabolic pathways in the host organism. One such pathway in many ‘Knallgas’ bacteria is polyhydroxybutyrate (PHB) biosynthesis. In this study, the PHB biosynthesis genes of a non-model ‘Knallgas’ bacterium Xanthobacter sp. SoF1 were identified. Consequently, the phaA, phaB and phaC genes were individually deleted and the resulting knockouts were evaluated for their ability to produce PHB in autotrophic shake flask and small-scale bioreactor cultivations. The results demonstrate that PHB production was inactivated in the phaC1 knockout strain, which advances the development of Xanthobacter sp. SoF1 as a production host.
Graphical Abstract

Supplementary Information
The online version contains supplementary material available at 10.1186/s13568-023-01577-0.
Keywords: Knallgas, Hydrogen-oxidizing bacteria, Polyhydroxybutyrate, PHB, Polyhydroxyalkanoate, PHA
Key points
phaA, phaB and phaC knockouts of Xanthobacter sp. SoF1 were constructed.
PHB content of the knockouts grown in continuous gas fermentation was determined.
PHB-deficient phaC1 knockout strain had higher protein content than the wild type.
Supplementary Information
The online version contains supplementary material available at 10.1186/s13568-023-01577-0.
Introduction
Current biotechnological production platforms use mainly plant-derived feedstocks, such as sugars and starches, which compete with food production. As an alternative to traditional heterotrophic production hosts, aerobic hydrogen-oxidizing bacteria (HOB), also known as Knallgas bacteria, do not require plant-derived feedstocks. They are chemolithoautotrophic organisms using CO2 and H2 as sole carbon and energy sources, respectively. H2 can be generated from water with electrolysis, which can be powered by any renewable energy source. Notably, with solar energy, energy-to-biomass efficiency of Knallgas bacteria exceeds that of plants (Liu et al. 2016). At present, various companies, including Air Protein (US), Deep Branch Technology (UK), NovoNutrients (US) and Solar Foods (Finland), develop industrial-scale bioprocesses to cultivate HOB for a high protein content biomass for feed and food purposes (Nyyssölä et al. 2022). When technology for their cultivation and engineering improves, HOB could also become economically feasible production hosts for other biotechnological applications. In fact, prior literature has demonstrated production of organic compounds, such as isobutanol and terpenes, from CO2 in engineered HOB, mainly in Cupriavidus necator (previously known as Ralstonia eutropha) (Brigham 2019). Nevertheless, these studies record low product concentrations that must be increased to reach economically feasible production.
One method to enhance the product yield is to disrupt competing metabolic pathways, such as carbon storage pathways, in the host organism (Funston et al. 2017; Grousseau et al. 2014; van der Woude et al. 2014). In many cases, HOB store carbon and energy in the form of polyhydroxybutyrate (PHB), which accumulates especially under nutrient limitation. For instance, C. necator, the model organism for PHB production, can accumulate PHB up to 80% of its cell dry weight (CDW) under autotrophic nitrogen-deficient conditions (Lambauer and Kratzer 2022). In industrial-scale cultivations, nutrient limitation may be avoided by providing cultures with excess nutrients, but this approach lowers the economic feasibility.
PHB biosynthesis requires expression of three genes; phaA, phaB, and phaC, encoding for β-ketothiolase, acetoacetyl-CoA reductase and PHA synthase, respectively. β-ketothiolase joins two acetyl-CoA molecules into acetoacetyl-CoA, which is reduced by acetoacetyl-CoA reductase into 3-hydroxybutyryl-CoA with NAD(P)H as the cofactor. PHA synthase catalyzes the polymerization of 3-hydroxybutyryl-CoA monomers into PHB with the release of CoA. Hence, PHB synthesis consumes one acetyl-CoA and one NAD(P)H for every monomer of PHB, significantly affecting the central metabolism. Redirecting carbon flux from PHB to products in C. necator has resulted in the highest product concentrations (isopropanol, 1,3-butanediol and mannitol) recorded for C. necator (Garrigues et al. 2020; Gascoyne et al. 2021; Hanko et al. 2022). In these studies, either all three genes related to PHB synthesis or part of them were deleted, depending on the constructed pathway.
Because the vast majority of studies of HOB engineering have been conducted on C. necator, the potential of other strains remains mostly unexplored. One potential alternative for C. necator is Xanthobacter sp. SoF1, which is a non-model, gram-negative, diazotrophic, hydrogen-oxidizing bacterium studied for single cell protein production (Holmström and Pitkänen 2021). Different enzymes (Hirano et al. 2006; Sluis et al. 2002; Zhou et al. 1996) and transcription regulation (van den Bergh et al. 1993; van Keulen et al. 2003) of other Xanthobacter spp. have been under investigation. In addition, some genetic engineering tools have been developed for Xanthobacter spp. (Larsen et al. 2002; Swaving et al. 1996), which could be adapted for SoF1. However, no prior research has targeted Xanthobacter sp. as a host for production of chemicals.
The objective of this study was to inactivate the PHB biosynthesis in SoF1. In the future, this could enable redirection of acetyl-CoA from the PHB synthesis to other products. In addition, genetic engineering methods for targeted integration were established for this novel host. To investigate the effect of PHB pathway genes individually on PHB production, separate phaA, phaB and phaC knockout strains of SoF1 were constructed. The effect of gene knockouts on biomass accumulation, growth rate as well as PHB and protein contents were evaluated in shake flasks and in a continuous gas fermentation under autotrophic nitrogen-limited conditions.
Materials and methods
Bacterial strains, culture media and heterotrophic cultivations
The host organism Xanthobacter sp. SoF1 (VTT E-193585) was obtained from VTT Culture Collection (Finland). Escherichia coli TOP10 was used for plasmid construction. Constructed bacterial strains and plasmids are listed in Table 1. All SoF1 strains were maintained on tryptic soy agar plates (TSA). Cultivations under heterotrophic conditions were carried out in Super Optimal Broth (Hanahan 1983) supplemented with 100 mM ethanol (SOBE) in 100 mL shake flasks in 10 mL cultivation volume at 220 rpm and 30 ºC. Autotrophic cultivation of strains under H2–CO2–O2 was performed in mineral medium DSMZ81 (Deutsche Sammlung von Mikroorganismen und Zellkulturen, http://www.dsmz.de/, Germany) with the following alterations: vanadium, vitamins and sodium bicarbonate were omitted. For shake flask cultivations, nitrogen was supplied as 9 mM of (NH4)2SO4 and for bioreactor cultivations as 16.8 mM of NH4OH, if not stated otherwise. In addition, iron was supplied as 0.14 mM of FeSO4·7H2O for bioreactor cultivations. Cultivation conditions for autotrophic shake flask cultivations and small-scale bioreactors are explained below. Struktol J673A antifoam (Schill + Seilacher, Germany) was added (60 µl/L) to the media for bioreactor cultivations. The media were supplemented with 100 µg/mL of ampicillin, 50 µg/mL of kanamycin or 10 µg/mL of tetracycline, when required.
Table 1.
Plasmids and bacterial strains used in the study
| Plasmid | Description | Reference/source |
|---|---|---|
| pUC57 | E. coli cloning vector with an ampicillin marker | GenBank: Y14837.1 |
| pSF00A | pUC57 with phaA::kan integration cassette | This study |
| pSF00B | pUC57 with phaB::kan integration cassette | This study |
| pSF00C | pUC57 with phaC1::kan integration cassette | This study |
| pSF00D | pUC57 with phaC2::tet integration cassette | This study |
| Strain | ||
| Xanthobacter sp. SoF1 | Wild type |
VTT E-193585 (Holmström and Pitkänen 2021) |
| SoF1ΔphaA | SoF1 derivative; phaA::kan | This study |
| SoF1ΔphaB | SoF1 derivative; phaB::kan | This study |
| SoF1ΔphaC | SoF1 derivative; phaC1::kan | This study |
| SoF1ΔphaC2 | SoF1 derivative; phaC2::tet | This study |
Construction of phaA, phaB and phaC knockout strains
Annotation of the whole genome sequence of SoF1 was performed by Biosafe–Biological Safety Solutions Ltd (Kuopio, Finland). A BLAST search was conducted against the genome of SoF1 with C. necator phaA, phaB and phaC genes related to PHB synthesis (GenBank accession no. J04987 and no. J05003) to identify genes for deletion. The genomic DNA of SoF1 was isolated with Easy-DNA gDNA Purification Kit (Invitrogen, USA). Flanking homology arms 1000 bps upstream and downstream of the targeted genes were amplified from the genomic DNA (oligonucleotides presented in Additional file 1: Table S1) with KAPA HiFi DNA polymerase (Kapa Biosystems, USA) using GC buffer. Kanamycin resistance (kan) and tetracycline resistance (tet) genes, which were placed between the homology arms for selection, were identical to the sequences utilized in plasmids designed for genetic modification of Xanthobacter flavus (van den Bergh et al. 1993). Plasmids were constructed into a suicide pUC57 backbone with Gibson assembly using NEBuilder Hifi DNA Assembly Master Mix (NEB, US). Plasmids to target chromosomal homologous recombination were transformed by electroporation into SoF1 cells.
For electrocompetent cells, SoF1 was cultivated in SOBE (10 mL) for 2 days to reach an optical density at 600 nm (OD600) of 1–2 as described above. The culture was chilled on ice for 30 min and the cells were harvested by centrifugation at 4 °C and at 3200 g for 20 min and washed with 10 mL of ice-cold water and then with ice-cold 10% glycerol. Cells were resuspended into ice-cold 10% glycerol to reach a concentration of around 2·1010 cells/mL and used immediately for electroporation or stored at − 70 ºC.
Cells (50 μL) were mixed with plasmid (~ 100 ng) in a 0.2 cm electroporation cuvette (BTX, US), incubated for 10 min on ice and subjected to a single electric pulse of 2.5 kV with 25 μF capacitance and 600 Ω resistance. Pre-warmed SOBE (1 mL) was added immediately, and the cells were incubated for 4 h at 30ºC before plating on TSA selection plates supplemented with 50 µg/mL of kanamycin or 10 µg/mL of tetracycline and incubated for a minimum of four days in 30 °C. Gene deletion in transformants was confirmed by colony PCR with oligonucleotides listed in Additonal file 1: Table S1. Individual transformants were selected for autotrophic shake flask cultivations.
Autotrophic shake flask cultivations
Inoculum cultures of SoF1 strains were cultivated heterotrophically as described above. These cultures were used to inoculate modified DSMZ81 media (10 mL) in 100 mL flasks with a plastic cap to attain an initial OD600 of 0.5. Three flasks were prepared per strain and grown autotrophically at 30ºC with 136 rpm shaking in a 25.8 L sealed container. Gas flows of 20 mL/min H2, 6 mL/min CO2 and 3 mL/min O2 were fed to the container throughout the cultivation period. The OD600 was measured using Spectroquant® Prove 100 (Merck, Germany) every 3 to 4 days, and the ammonia concentration of the supernatants was measured with Ammonia (Rapid) Assay Kit (Megazyme, Ireland). Cultures were cultivated for an additional three to four days after reaching zero ammonia concentration, centrifuged (8 mL) at 4 °C and 10,000g for 30 min, and the cell pellets were lyophilized. The CDWs were determined and PHB contents were analyzed with GC–MS as described by Ylinen et al. (2021).
Autotrophic small-scale bioreactor cultivations
The comparison of SoF1ΔphaA, SoF1ΔphaB and SoF1ΔphaC strains to the wild type (WT) was performed in small-scale bioreactors (Medicel® Explorer Cultivation Unit, Medicel, Espoo, Finland) under autotrophic conditions. Medicel® Explorer Cultivation Unit is comprised of 15 parallel bioreactors with 230 mL working volume and 5 cm internal diameter. Inoculum cultivations of SoF1 strains for bioreactors were started from glycerol stocks into 10 mL of the modified DSMZ81 media in 250 mL shake flasks with 0.2 μm ePTFE membrane caps. Flasks were incubated in a 34.5 L sealed container in a shaker at 100 rpm under autotrophic conditions (22 mL/min H2, 6 mL/min CO2 and 3 mL/min O2). After 3 days, 50 mL of the same media were added, and incubation was continued for 3 more days.
The precultures were used to inoculate three bioreactors per strain containing 200 mL of media to reach an initial OD600 of 0.2. Initially cultivations were fed H2–CO2–O2 gas mixture with 32.5 mL/min H2, 6.5 mL/min CO2 and 4.5 mL/min O2. Based on dissolved oxygen (DO) measurements, the compositions of H2–CO2–O2 gas mixtures were adjusted during the batch phase (Additional file 1: Figures S1-4), after which the following flows per reactor were used in the continuous culture: 32.5 mL/min H2, 6.5 mL/min CO2 and 1.5–3.5 mL/min O2. The gas mixture was fed to the reactors through a sintered sparger and the off-gas flow was diluted with 100 mL/min of N2. pH, temperature, and agitation were kept constant at 6.8, 30 °C and 700 rpm, respectively. pH was adjusted with 1 M KOH. The bioreactors were agitated with a magnetic stirrer with an attached flat blade turbine. Sampling (5 mL per reactor) was done using an automatic sampling system once a day and OD600 was measured. Before the measurements, samples were kept at 4 °C. Sampling was stopped for 2 days in the batch phase (88–160 h) to conserve cultivation volume. The batch phase of the cultivation was conducted in high ammonia concentration (16.8 mM). In the continuous phase, with a media feed of 2.3 mL/h (dilution rate 0.01 h−1), high ammonia concentration (16.8 mM) was used until the steady state was reached, after which the ammonia concentration was decreased to 5.9 mM. Continuous culture was initiated when OD600 in a reactor increased above 2.
After cultivation, three 50 mL samples per reactor were taken and centrifuged at 4 °C and 10,000g for 30 min. The cell pellets were lyophilized and their CDWs and PHB contents were determined. In addition, elemental nitrogen content was determined as described previously (Nordlund et al. 2018). Elemental nitrogen values were multiplied by the common conversion factor of 6.25 to estimate the protein content of the cells. Pyruvate concentration of supernatants was measured with high-pressure ion chromatography (HPIC) Dionex ICS-6000 (ThermoFisher Scientific, US).
Results
Identification and deletion of genes associated with PHB production in SoF1
The PHB content of the WT SoF1 can reach to 50% or more of its CDW (unpublished data). However, prior to this study, the genes related to PHB synthesis in SoF1 had not been identified. Homologs for C. necator phaA, phaB and phaC genes were searched from the genome of SoF1 using a BLAST search. The search results identified putative phaA and phaB genes, which possessed 72.3% and 65.7% sequence similarity with the corresponding genes from C. necator (GenBank accession no. J04987). These two genes were located in the same operon within the genome of SoF1 together with a plausible phaR gene, which is involved in the regulation of PHA synthesis (Maehara et al. 2002). C. necator phaC gene (GenBank accession no. J05003) showed 47.6% and 56.2% sequence similarity with two phaC genes in SoF1, named here phaC1 and phaC2. Neither of these genes were located in the same operon with phaA and phaB. Figure 1 illustrates the organization of PHB synthesis-related genes in the genome. The gene sequences can be found from GenBank, using the following accession numbers: OP433461 (phaA), OP433462 (phaB), OP433463 (phaC1), OP433464 (phaC2), OP433465 (phaR).
Fig. 1.
Organization of PHB synthesis genes in the genome of Xanthobacter sp. SoF1
In order to inactivate PHB production, SoF1 was transformed with pSF00A-D containing the deletion cassettes for phaA, phaB, phaC1 and phaC2 genes of the PHB biosynthetic pathway. After transformation, 11 out of 20 colonies tested had correct gene deletions, which indicated 55% efficiency of targeted integration.
Comparison of phaA, phaB and phaC knockout strains in shake flasks
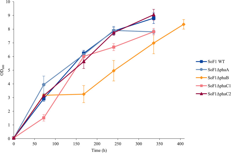
The phaA, B and C knockout strains were grown autotrophically in shake flasks to compare their growth rate and PHB accumulation to the WT. The OD600 of all strains, except SoF1ΔphaB strain, were nearly identical when ammonium was depleted within 240 h (Fig. 2). The ammonium consumption and growth rate of the SoF1ΔphaB strain was slower, resulting in a cultivation period being extended by 72 h. However, it eventually reached a similar OD600 as the other strains (Fig. 2).
Fig. 2.
Autotrophic growth of WT SoF1, SoF1ΔphaA, SoF1ΔphaB, SoF1Δpha and SoF1ΔphaC2 strains in shake flasks. Results are shown as averages from three parallel shake flask cultivations with error bars representing the standard deviation
CDW and PHB were quantified from the samples collected at the end of the shake flask cultivations, and the results are presented in Table 2. The deletion of phaA gene resulted in a 56% reduction in PHB accumulation. Similarly, PHB production decreased by 90% upon deletion of phaB gene. Complete inactivation of PHB synthesis was achieved by knocking-out the phaC1 gene from the genome. The deletion of phaC2 did not result in complete inactivation of PHB synthesis but appeared to have a similar effect as phaA deletion. Reduced PHB contents in all knockout strains confirmed the involvement of these genes in the PHB biosynthesis in SoF1.
Table 2.
Effect of deletion of phaABC genes from the SoF1 genome on CDW and PHB content of the cells. Cells were grown autotrophically in shake flasks in modified DSMZ81 media. Sampling was performed at the end of the cultivation when ammonia had been depleted for 3 to 4 days. Average from three shake flasks is shown with standard deviation
| Strain | OD600 | CDW (g/L) | PHB (%CDW) |
|---|---|---|---|
| SoF1 | 8.8 ± 0.4 | 4.7 ± 0.1 | 6.3 ± 0.9 |
| SoF1ΔphaA | 7.8 ± 0.2 | 3.9 ± 0.1 | 2.8 ± 0.3 |
| SoF1ΔphaB | 8.3 ± 0.3 | 4.6 ± 0.2 | 0.6 ± 0.1 |
| SoF1ΔphaC | 7.8 ± 0.2 | 3.4 ± 0.1 | 0.0 ± 0.0 |
| SoF1ΔphaC2 | 9.1 ± 0.4 | 2.6 ± 1.3 | 2.9 ± 0.7 |
Continuous cultivation of phaA, phaB and phaC knockout strains
WT SoF1, SoF1ΔphaA, SoF1ΔphaB and SoF1ΔphaC strains were cultivated in three parallel bioreactors under autotrophic conditions. SoF1ΔphaC2 was excluded from these cultivations because its PHB synthesis was not as strongly inhibited as in SoF1ΔphaC strain. The bioreactor cultivations were initiated in high ammonium concentration (16.8 mM) as batch cultivations in order to accumulate biomass. Continuous cultivation was started when OD600 reached 2. Continuous cultivation at a constant dilution rate allowed the comparison of the knockout strains at a steady state with a constant growth rate of 0.01 h−1. At the end of the continuous cultivation (304 h) the ammonium concentration was lowered to 5.9 mM to induce PHB production further. To confirm the nitrogen-limitation, ammonium was measured from the culture supernatants at time points 232 h, 256 h and 400 h. The initial gas flows were the same for all strains but later on the inlet CO2:O2:H2 gas ratio was adjusted for each reactor depending on the dissolved oxygen (DO). Steady increase in DO, meaning that all oxygen was not consumed, indicated slow growth and possibly oxygen-intolerance. The DO data and used gas compositions for all the bioreactors are presented in Additional file 1: Figures S1–4.
Figure 3 presents the growth curves for WT SoF1, SoF1ΔphaA, B and C in three parallel bioreactors. SoF1ΔphaC had the shortest lag phase in the batch phase; OD600 in all three SoF1ΔphaC reactors was above 2 at 64 h whereas at the same time point other strains had OD600 below 1. In the batch phase, the growth of individual strains in separate bioreactors was comparable, except for one outlier bioreactor for each strain. However, more variation was observed in the continuous cultivation. This might be caused by the long duration of the cultivation highlighting the possible differences between the individual reactor vessels such as agitation efficiency and gas diffusion.
Fig. 3.
Autotrophic growth of WT SoF1, SoF1ΔphaA, B and C strains in 12 small-scale bioreactors. The batch phase was conducted in modified DSMZ81 media with high nitrogen concentration (16.8 mM of NH4OH). Continuous phase was started in reactors when OD600 was above 2. Same media as in batch phase was applied for continuous culture at a dilution rate of 0.01 h−1 until low nitrogen concentration (5.9 mM of NH4OH) feed was started at 304 h (dashed line)
To illustrate the differences in the continuous cultivation between the constructed strains and WT SoF1, Fig. 4 represents the average growth curves of the strains when steady state was reached in continuous cultures and after low nitrogen concentration was applied. All strains had higher OD600 during the high nitrogen concentration (16.8 mM of NH4OH) and OD600 decreased when lower concentration was applied (5.9 mM of NH4OH). In both cases, the measured ammonia from the supernatant was close to zero (time points 232 h, 256 h and 400 h). At a high nitrogen concentration, OD600 of WT SoF1 settled to around 5 while the biomass accumulation rate decreased with gene deletions in subsequent steps along the PHB pathway. SoF1ΔphaA had slightly lower OD600 compared to WT SoF1 during the high nitrogen phase of the continuous cultivation but its OD600 decreased more during the low nitrogen phase. OD600 of SoF1ΔphaB settled around 4 during the high nitrogen phase and decreased to 3 during the low nitrogen phase. SoF1ΔphaC reached only OD600 of 2 with a slight decrease when low nitrogen was applied. The differences in parallel cultivations for each strain resulted in high standard deviations from average growth. However, the results indicate that SoF1ΔphaC accumulated less biomass in the continuous phase than the other strains.
Fig. 4.
Growth of SoF1, SoF1ΔphaA, B and C strains in autotrophic continuous cultivation at high nitrogen (16.8 mM of NH4OH) and low nitrogen (5.9 mM of NH4OH) concentrations. Results are shown as averages of three parallel bioreactor cultivations with error bars representing the standard deviation
Samples were taken at the end of the continuous cultivations to analyze PHB and protein contents of the strains (Fig. 5). The results for each separate cultivation are presented in Additional file 1: Table S2. Because bioreactor cultivations can be sensitive to the slightest differences in culture conditions, such as above-mentioned agitation efficiency and gas diffusion, the differences in produced PHB of separate bioreactors of each studied strain were substantial. However, a similar trend can be seen as in shake flask cultivations: deletion of phaB inhibited PHB production more than phaA deletion. In alignment with shake flask cultivations, the strain with phaC deletion did not produce PHB. The analysis of elemental nitrogen content of the cells revealed that the PHB-deficient strain accumulated approximately twice the amount of protein compared to the other strains. The hypothesis was that the reduced PHB synthesis could also result in excretion of pyruvate, but no pyruvate was detected from the supernatants.
Fig. 5.
Effect of deletion of phaABC genes from the SoF1 genome on PHB and protein contents of cells grown in an autotrophic continuous cultivation. Cells were cultivated in modified DSMZ81 media for 400 h and sampling was performed at the end of the cultivation. Average from three parallel cultivations is shown with standard deviation
Discussion
Using HOB production hosts in biotechnology applications could enable carbon–neutral or even carbon-negative production of chemicals, feed, and food by using CO2 from the atmosphere and green H2 as a feedstock. This study took the first steps in developing one potential production host, Xanthobacter sp. SoF1, towards this goal by identifying and individually deleting its PHB biosynthesis genes phaA, phaB and phaC. The objective of inactivating PHB synthesis was achieved in the SoF1ΔphaC knockout strain. To the best of our knowledge, this is the first time that PHB-related genes have been experimentally verified in Xanthobacter sp.
The deletion of phaA and phaB genes in SoF1 did not fully disrupt PHB synthesis. The same was observed in C. necator phaA and phaB knockouts, which retain their ability to produce PHB because of the presence of other isoenzymes (Budde et al. 2010; Lindenkamp et al. 2010). C. necator has at least 20 other β-ketothiolases that can assist in PHB production when phaA is deleted (Arikawa and Sato 2022). A BLAST search conducted on the SoF1 genome with the C. necator phaA gene as the query identified multiple closely related genes in addition to the highly related phaA, which was knocked out in this study. Regarding phaB homologs in C. necator, Budde et al. (2010) identified three, which they targeted for deletion. Out of these genes, one (phaB2) was not expressed as an active acetoacetyl-CoA reductase, but the deletion of the other two inactivated PHB synthesis. Although the BLAST query coverages in SoF1 for other than the deleted phaB gene were low (< 33%), it is likely that SoF1 also possesses other enzymes with acetoacetyl-CoA reductase activity.
Based on previous literature, it was expected that a phaC knockout of SoF1 would not produce PHB. Although some organisms have more than one functional phaC gene (Rehm and Steinbüchel 1999), deletion of only one gene, phaC1, from C. necator has been shown to prevent PHB synthesis (Park et al. 2010). Cupriavidus necator possesses a second PHA synthase PhaC2 which is unexpressed, at least under the tested conditions (Peplinski et al. 2010). The present study shows that also SoF1 possesses one PHA synthase, which deletion is enough to disrupt the PHB biosynthesis. However, the role of phaC2 gene is unclear because its deletion lowered PHB production but did not contribute to PHB production in SoF1ΔphaC strain. PHB biosynthesis in other HOB than C. necator has remained quite unexplored. However, similar results have also been obtained from Rhodobacter capsulatus, a phototrophic non-sulfur purple bacteria that can grow chemolithoautotrophically under aerobic conditions (Paoli and Tabita 1998). Deletion of phaAB genes from R. capsulatus did not reduce PHB production, while deletion of phaC led to complete disruption of it (Kranz et al. 1997). As in SoF1, phaC gene of R. capsulatus is separate from the phaAB operon.
Initially, the knockout strains were investigated in shake flasks, which provided evidence of PHB deficiency. Continuous cultivation was then applied to further analyze the strains at a constant growth rate. Biomass was first accumulated after which PHB accumulation was induced, which is a common strategy in biotechnology. Garcia-Gonzalez et al. (2015) investigated PHB production in C. necator with a two-phase cultivation system in which they first accumulated biomass under heterotrophic conditions, after which nitrogen- and oxygen-limiting conditions were applied in the autotrophic phase to induce PHB production. In the PHB accumulation phase, CDW doubled in some reactors solely due to PHB. In this study, indications on the opposite trend were observed when OD600 values decreased under low nitrogen concentration in the continuous cultivation. However, ammonium was completely consumed by the cells also in the high nitrogen concentration medium and it might be that the used low nitrogen condition was excessive for the cells. It has been shown that stress response, for example caused by too high salt concentration, in C. necator can lead to PHB degradation (Obruca et al. 2010). If this is the case and PHB was produced already in the cultivation phase with high nitrogen concentration, higher PHB concentrations would have been recorded, if cultivations had been stopped earlier. Unfortunately, determination of PHB contents during the cultivation was not possible because of limited sample volumes.
The results from bioreactor cultivations suggest oxygen-sensitivity of the SoF1 strains. In the beginning of the cultivation, all strains except SoF1ΔphaC had increasing DO. When oxygen was lowered from 10% of total gas flow to 6%, the growth was retrieved. Oxygen might have affected the activity of hydrogenase and ribulose-1,5-bisphosphate carboxylase/oxygenase (rubisco), which are both crucial for autotrophic growth. In particular, hydrogenases provide cells energy to perform CO2 fixation by rubisco. Although HOB are recognized by the oxygen-tolerant hydrogenases, they can be inhibited by high oxygen concentration. Wilde and Schlegel (1982) evaluated the growth of C. necator and Xanthobacter autotrophicus in autotrophic conditions under different oxygen concentrations (10–100%). The growth rates and hydrogenase activities declined by increasing oxygen concentration but retrieved after returning to a lower oxygen concentration. On the other hand, high O2 concentration can induce the oxygenation side reaction of rubisco (Tcherkez 2016). This is less likely to affect the growth of SoF1 because the concentration of CO2 was high, which favors carboxylation over oxygenation, especially when considering the lower solubility of O2 to media compared to CO2. In the future, cultivations could be initiated with a lower oxygen concentration and increased when more biomass is accumulated.
Growth rate and biomass accumulation are frequently affected by genetic modifications. The hypothesis was that knocking-out phaA and phaB genes earlier from the PHB pathway would prevent accumulation of intermediate compounds, acetoacetyl-CoA and 3-hydroxybutyryl-CoA, possibly impairing growth. Although the growth rate of the knockout strains was not notably impaired in shake flasks in this study, lower biomass accumulation was detected for all knockout strains in the continuous cultivation, especially for SoF1ΔphaC strain. Similarly, Burkholderia thailandesis phaC knockout strain accumulated 70% less biomass than the WT after 264 h fermentation (Funston et al. 2017), which is comparable to the 80% reduction in biomass of SoF1ΔphaC observed in this study. At least two factors might contribute to this outcome. Firstly, it might be that phaC knockouts accumulate PHB synthesis intermediate compound 3-HB-CoA inside the cells whereas, for example, acetoacetyl-CoA possibly accumulating when phaB is deleted can be more easily redirected to other pathways. This could be avoided by deleting all PHB genes simultaneously in SoF1. Deletion of phaC in C. necator decreases growth rate, even in shake flasks (Park et al. 2010), but phaCAB knockout strain has been shown to accumulate biomass similarly to the WT (Lu et al. 2012). Secondly, the lack of PHB granules results in losing their beneficial functions in protecting against various stress factors (Obruca et al. 2020) and helping with redox imbalance (Batista et al. 2018). This could be possibly avoided by better process control in bioreactors.
A PHB deficient strain of C. necator is typically chosen as a production host because it accumulates pyruvate (Lu et al. 2012; Steinbüchel and Schlegel 1989), which can be redirected to other compounds when PHB biosynthesis is blocked. In addition to phaC deletion, deletion or overexpression of phaA and phaB may be needed if precursors are derived from acetoacetyl-CoA or 3-hydroxybutyryl-CoA intermediates of the PHB pathway (Gascoyne et al. 2021). However, studies in which the product was not directly derived from PHB pathway intermediates, show contradicting results on the benefits of this approach. Chen et al. (2015) demonstrated that production of laureate (medium-chain fatty acid) in C. necator was not enhanced by phaCAB deletion compared to the WT. Similar outcome was found when producing methyl ketones (Muller et al. 2013). On the contrary, production of mannitol was increased by 25% in C. necator phaCAB knockout compared to the PHB producing strain (Hanko et al. 2022). Therefore, it seems to differ from case to case if a constructed pathway benefits from PHB-deficiency. In the current study, pyruvate could not be detected from the cultivation supernatants of the PHB-deficient strain. However, the results suggest that the available carbon was possibly directed towards the production of protein rather than pyruvate, and therefore PHB-deficiency is a viable approach to advance SoF1 as a production host for single cell protein. To conclude, the current study took an essential step towards redirecting the carbon flux of SoF1 from PHB biosynthesis to desired products. By enabling further engineering of SoF1, this study unlocks new possibilities for sustainable bioproduction.
Supplementary Information
Additional file 1: Fig. S1. Optical density at 600 nm (OD600) and normalized dissolved oxygen (DO) of three parallel autotrophic bioreactor cultivations of wild-type Xanthobacter sp. SoF1 with used gas flows (mL/min). Continuous culture was started at 160 h. Fig. S2. OD600 and normalized DO of three parallel autotrophic bioreactor cultivations of Xanthobacter sp. SoF1ΔphaA with used gas flows (mL/min). Continuous culture was started at 160 h for reactors 1 and 3 and at 184 h for reactor 2. Fig. S3. OD600 and normalized DO of three parallel autotrophic bioreactor cultivations of Xanthobacter sp. SoF1ΔphaB with used gas flows (mL/min). Continuous culture was started at 160 h for reactors 2 and 3 and at 184 h for reactor 1. Fig. S4. OD600 and normalized DO of three parallel autotrophic bioreactor cultivations of Xanthobacter sp. SoF1ΔphaC with used gas flows (mL/min). Continuous culture was started at 64 h. Table S1. Oligonucleotides used in the study. Table S2. Effect of deletion of phaABC genes from the SoF1 genome on CDW, PHB and protein contents of cells grown in an autotrophic continuous cultivation. Cells were cultivated in modified DSMZ81 media for 400 h and sampling was performed at the end of the cultivation. Average from three parallel cultivations is shown with standard deviation (std).
Acknowledgements
The authors thank Anna-Liisa Ruskeepää, Matti Hölttä, Heli Nygren for analyses and Antti Nyyssölä and Susanna Mäkinen for critically reading the manuscript. TJ wishes to thank Sami Holmström for the help with gas fermentations.
Abbreviations
- CDW
Cell dry weight
- DO
Dissolved oxygen
- HOB
Hydrogen-oxidizing bacteria
- PHB
Polyhydroxybutyrate
- SOBE
Super optimal broth supplemented with 100 mM of ethanol
- TSA
Tryptic soy agar
- WT
Wild type
Author contributions
JPP, LS and TJ conceived and designed research, TJ conducted experiments, TJ, and PT analyzed data. TJ wrote the manuscript. All authors read and approved the manuscript.
Funding
This work was supported by the Academy of Finland (KNALLRED—Hydrogen powered reductive biosyntheses and biotransformations by an engineered Knallgas bacterium, grant number 342124) and Solar Foods.
Availability of data and materials
All relevant data are included in this article and its Additional file 1.
Declarations
Ethics approval and consent to participate
Not applicable.
Consent for publication
Not applicable.
Competing interests
The authors declare that they have no competing interests.
Footnotes
Publisher's Note
Springer Nature remains neutral with regard to jurisdictional claims in published maps and institutional affiliations.
References
- Arikawa H, Sato S. Impact of various beta-ketothiolase genes on PHBHHx production in Cupriavidus necator H16 derivatives. Appl Microbiol Biot. 2022;106:3021–3032. doi: 10.1007/s00253-022-11928-9. [DOI] [PubMed] [Google Scholar]
- Batista MB, Teixeira CS, Sfeir MZT, Alves LPS, Valdameri G, Pedrosa FO, Sassaki GL, Steffens MBR, de Souza EM, Dixon R, Muller-Santos M. PHB biosynthesis counteracts redox stress in Herbaspirillum seropedicae. Front Microbiol. 2018;9:472. doi: 10.3389/fmicb.2018.00472. [DOI] [PMC free article] [PubMed] [Google Scholar]
- Brigham C. Perspectives for the biotechnological production of biofuels from CO2 and H2 using Ralstonia eutropha and other 'Knallgas' bacteria. Appl Microbiol Biot. 2019;103:2113–2120. doi: 10.1007/s00253-019-09636-y. [DOI] [PubMed] [Google Scholar]
- Budde CF, Mahan AE, Lu J, Rha C, Sinskey AJ. Roles of multiple acetoacetyl coenzyme A reductases in polyhydroxybutyrate biosynthesis in Ralstonia eutropha H16. J Bacteriol. 2010;192:5319–5328. doi: 10.1128/JB.00207-10. [DOI] [PMC free article] [PubMed] [Google Scholar]
- Chen JS, Colon B, Dusel B, Ziesack M, Way JC, Torella JP. Production of fatty acids in Ralstonia eutropha H16 by engineering beta-oxidation and carbon storage. PeerJ. 2015;3:e1468. doi: 10.7717/peerj.1468. [DOI] [PMC free article] [PubMed] [Google Scholar]
- Funston SJ, Tsaousi K, Smyth TJ, Twigg MS, Marchant R, Banat IM. Enhanced rhamnolipid production in Burkholderia thailandensis transposon knockout strains deficient in polyhydroxyalkanoate (PHA) synthesis. Appl Microbiol Biot. 2017;101:8443–8454. doi: 10.1007/s00253-017-8540-x. [DOI] [PMC free article] [PubMed] [Google Scholar]
- Garcia-Gonzalez L, Mozumder MSI, Dubreuil M, Volcke EIP, De Wever H. Sustainable autotrophic production of polyhydroxybutyrate (PHB) from CO2 using a two-stage cultivation system. Catal Today. 2015;257:237–245. doi: 10.1016/j.cattod.2014.05.025. [DOI] [Google Scholar]
- Garrigues L, Maignien L, Lombard E, Singh J, Guillouet SE. Isopropanol production from carbon dioxide in Cupriavidus necator in a pressurized bioreactor. New Biotechnol. 2020;56:16–20. doi: 10.1016/j.nbt.2019.11.005. [DOI] [PubMed] [Google Scholar]
- Gascoyne JL, Bommareddy RR, Heeb S, Malys N. Engineering Cupriavidus necator H16 for the autotrophic production of (R)-1,3-butanediol. Metab Eng. 2021;67:262–276. doi: 10.1016/j.ymben.2021.06.010. [DOI] [PMC free article] [PubMed] [Google Scholar]
- Grousseau E, Lu J, Gorret N, Guillouet SE, Sinskey AJ. Isopropanol production with engineered Cupriavidus necator as bioproduction platform. Appl Microbiol Biot. 2014;98:4277–4290. doi: 10.1007/s00253-014-5591-0. [DOI] [PubMed] [Google Scholar]
- Hanahan D. Studies on Transformation of Escherichia coli with Plasmids. J Mol Biol. 1983;166:557–580. doi: 10.1016/S0022-2836(83)80284-8. [DOI] [PubMed] [Google Scholar]
- Hanko EKR, Sherlock G, Minton NP, Malys N. Biosensor-informed engineering of Cupriavidus necator H16 for autotrophic d-mannitol production. Metab Eng. 2022;72:24–34. doi: 10.1016/j.ymben.2022.02.003. [DOI] [PubMed] [Google Scholar]
- Hirano S, Haruki M, Takano K, Imanaka T, Morikawa M, Kanaya S. Gene cloning and in vivo characterization of a dibenzothiophene dioxygenase from Xanthobacter polyaromaticivorans. Appl Microbiol Biot. 2006;69:672–681. doi: 10.1007/s00253-005-0007-9. [DOI] [PubMed] [Google Scholar]
- Holmström S, Pitkänen J-P (2021) Strains and processes for single cell protein or biomass production WO2021084159.
- Kranz RG, Gabbert KK, Locke TA, Madigan MT. Polyhydroxyalkanoate production in Rhodobacter capsulatus: genes, mutants, expression, and physiology. Appl Environ Microb. 1997;63:3033–3009. doi: 10.1128/aem.63.8.3003-3009.1997. [DOI] [PMC free article] [PubMed] [Google Scholar]
- Lambauer V, Kratzer R. Lab-scale cultivation of Cupriavidus necator on explosive gas mixtures: carbon dioxide fixation into polyhydroxybutyrate. Bioengineering-Basel. 2022 doi: 10.3390/bioengineering9050204. [DOI] [PMC free article] [PubMed] [Google Scholar]
- Larsen RA, Wilson MM, Guss AM, Metcalf WW. Genetic analysis of pigment biosynthesis in Xanthobacter autotrophicus Py2 using a new, highly efficient transposon mutagenesis system that is functional in a wide variety of bacteria. Arch Microbiol. 2002;178:193–201. doi: 10.1007/s00203-002-0442-2. [DOI] [PubMed] [Google Scholar]
- Lindenkamp N, Peplinski K, Volodina E, Ehrenreich A, Steinbuchel A. Impact of multiple beta-ketothiolase deletion mutations in Ralstonia eutropha H16 on the composition of 3-mercaptopropionic acid-containing copolymers. Appl Environ Microb. 2010;76:5373–5382. doi: 10.1128/AEM.01058-10. [DOI] [PMC free article] [PubMed] [Google Scholar]
- Liu C, Colon BC, Ziesack M, Silver PA, Nocera DG. Water splitting-biosynthetic system with CO2 reduction efficiencies exceeding photosynthesis. Science. 2016;352:1210–1213. doi: 10.1126/science.aaf5039. [DOI] [PubMed] [Google Scholar]
- Lu J, Brigham CJ, Gai CS, Sinskey AJ. Studies on the production of branched-chain alcohols in engineered Ralstonia eutropha. Appl Microbiol Biot. 2012;96:283–297. doi: 10.1007/s00253-012-4320-9. [DOI] [PubMed] [Google Scholar]
- Maehara A, Taguchi S, Nishiyama T, Yamane T, Doi Y. A repressor protein, PhaR, regulates polyhydroxyalkanoate (PHA) synthesis via its direct interaction with PHA. J Bacteriol. 2002;184:3992–4002. doi: 10.1128/JB.184.14.3992-4002.2002. [DOI] [PMC free article] [PubMed] [Google Scholar]
- Muller J, MacEachran D, Burd H, Sathitsuksanoh N, Bi C, Yeh YC, Lee TS, Hillson NJ, Chhabra SR, Singer SW, Beller HR. Engineering of Ralstonia eutropha H16 for autotrophic and heterotrophic production of methyl ketones. Appl Environ Microb. 2013;79:4433–4439. doi: 10.1128/AEM.00973-13. [DOI] [PMC free article] [PubMed] [Google Scholar]
- Nordlund E, Lille M, Silventoinen P, Nygren H, Seppänen-Laakso T, Mikkelson A, Aura A-M, Heiniö R-L, Nohynek L, Puupponen-Pimiä R, Rischer H. Plant cells as food—a concept taking shape. Food Res Int. 2018;107:297–305. doi: 10.1016/j.foodres.2018.02.045. [DOI] [PubMed] [Google Scholar]
- Nyyssölä A, Suhonen A, Ritala A, Oksman-Caldentey KM. The role of single cell protein in cellular agriculture. Curr Opin Biotechnol. 2022;75:102686. doi: 10.1016/j.copbio.2022.102686. [DOI] [PubMed] [Google Scholar]
- Obruca S, Marova I, Svoboda Z, Mikulikova R. Use of controlled exogenous stress for improvement of poly(3-hydroxybutyrate) production in Cupriavidus necator. Folia Microbiol. 2010;55:17–22. doi: 10.1007/s12223-010-0003-z. [DOI] [PubMed] [Google Scholar]
- Obruca S, Sedlacek P, Slaninova E, Fritz I, Daffert C, Meixner K, Sedrlova Z, Koller M. Novel unexpected functions of PHA granules. Appl Microbiol Biot. 2020;104:4795–4810. doi: 10.1007/s00253-020-10568-1. [DOI] [PubMed] [Google Scholar]
- Paoli GC, Tabita FR. Aerobic chemolithoautotrophic growth and Rubisco function in Rhodobacter capsulatus and a spontaneous gain of function mutant of Rhodobacter sphaeroides. Arch Microbiol. 1998;170:8–17. doi: 10.1007/s002030050609. [DOI] [PubMed] [Google Scholar]
- Park JM, Jang YS, Kim TY, Lee SY. Development of a gene knockout system for Ralstonia eutropha H16 based on the broad-host-range vector expressing a mobile group II intron. FEMS Microbiol Lett. 2010;309:193–200. doi: 10.1111/j.1574-6968.2010.02041.x. [DOI] [PubMed] [Google Scholar]
- Peplinski K, Ehrenreich A, Doring C, Bomeke M, Reinecke F, Hutmacher C, Steinbuchel A. Genome-wide transcriptome analyses of the 'Knallgas' bacterium Ralstonia eutropha H16 with regard to polyhydroxyalkanoate metabolism. Microbiol-SGM. 2010;156:2136–2152. doi: 10.1099/mic.0.038380-0. [DOI] [PubMed] [Google Scholar]
- Rehm BHA, Steinbüchel A. Biochemical and genetic analysis of PHA synthases and other proteins required for PHA synthesis. Int J Biol Macromol. 1999;25:3–19. doi: 10.1016/s0141-8130(99)00010-0. [DOI] [PubMed] [Google Scholar]
- Sluis MK, Larsen RA, Krum JG, Anderson R, Metcalf WW, Ensign SA. Biochemical, molecular, and genetic analyses of the acetone carboxylases from Xanthobacter autotrophicus strain Py2 and Rhodobacter capsulatus strain B10. J Bacteriol. 2002;184:2969–2677. doi: 10.1128/JB.184.11.2969-2977.2002. [DOI] [PMC free article] [PubMed] [Google Scholar]
- Steinbüchel A, Schlegel HG. Excretion of pyruvate by mutants of Alcaligenes eutrophus, which are impaired in the accumulation of poly(β-hydroxybutyric acid) (PHB), under conditions permitting synthesis of PHB. Appl Microbiol Biot. 1989;31:168–175. doi: 10.1007/BF00262457. [DOI] [Google Scholar]
- Swaving J, Van Leest W, Van Ooyen AJJ, De Bont JAM. Electrotransformation of Xanthobacter autotrophicus GJ10 and other Xanthobacter strains. J Microbiol Meth. 1996;25:343–348. doi: 10.1016/0167-7012(96)00007-3. [DOI] [Google Scholar]
- Tcherkez G. The mechanism of Rubisco-catalysed oxygenation. Plant Cell Environ. 2016;39:983–997. doi: 10.1111/pce.12629. [DOI] [PubMed] [Google Scholar]
- van den Bergh ERE, Dijkhuizen L, Meijer WG. CbbR, a LysR-type transcriptional activator, is required for expression of the autotrophic CO2 fixation enzymes of Xanthobacter flavus. J Bacteriol. 1993;175:6097–6104. doi: 10.1128/jb.175.19.6097-6104.1993. [DOI] [PMC free article] [PubMed] [Google Scholar]
- van der Woude AD, Angermayr SA, Puthan Veetil V, Osnato A, Hellingwerf KJ. Carbon sink removal: increased photosynthetic production of lactic acid by Synechocystis sp. PCC6803 in a glycogen storage mutant. J Biotechnol. 2014;184:100–102. doi: 10.1016/j.jbiotec.2014.04.029. [DOI] [PubMed] [Google Scholar]
- van Keulen G, Ridder AN, Dijkhuizen L, Meijer WG. Analysis of DNA binding and transcriptional activation by the LysR-type transcriptional regulator CbbR of Xanthobacter flavus. J Bacteriol. 2003;185:1245–1252. doi: 10.1128/JB.185.4.1245-1252.2003. [DOI] [PMC free article] [PubMed] [Google Scholar]
- Wilde E, Schlegel HG. Oxygen tolerance of strictly aerobic hydrogen-oxidizing bacteria. Antonie Van Leeuwenhoek. 1982;48:131–143. doi: 10.1007/BF00405198. [DOI] [PubMed] [Google Scholar]
- Ylinen A, Maaheimo H, Anghelescu-Hakala A, Penttila M, Salusjarvi L, Toivari M. Production of d-lactic acid containing polyhydroxyalkanoate polymers in yeast Saccharomyces cerevisiae. J Ind Microbiol Biot. 2021 doi: 10.1093/jimb/kuab028. [DOI] [PMC free article] [PubMed] [Google Scholar]
- Zhou NY, Chan Kwo Chion CK, Leak DJ. Cloning and expression of the genes encoding the propene monooxygenase from Xanthobacter, Py2. Appl Microbiol Biot. 1996;44:582–588. doi: 10.1007/bf00172489. [DOI] [Google Scholar]
Associated Data
This section collects any data citations, data availability statements, or supplementary materials included in this article.
Supplementary Materials
Additional file 1: Fig. S1. Optical density at 600 nm (OD600) and normalized dissolved oxygen (DO) of three parallel autotrophic bioreactor cultivations of wild-type Xanthobacter sp. SoF1 with used gas flows (mL/min). Continuous culture was started at 160 h. Fig. S2. OD600 and normalized DO of three parallel autotrophic bioreactor cultivations of Xanthobacter sp. SoF1ΔphaA with used gas flows (mL/min). Continuous culture was started at 160 h for reactors 1 and 3 and at 184 h for reactor 2. Fig. S3. OD600 and normalized DO of three parallel autotrophic bioreactor cultivations of Xanthobacter sp. SoF1ΔphaB with used gas flows (mL/min). Continuous culture was started at 160 h for reactors 2 and 3 and at 184 h for reactor 1. Fig. S4. OD600 and normalized DO of three parallel autotrophic bioreactor cultivations of Xanthobacter sp. SoF1ΔphaC with used gas flows (mL/min). Continuous culture was started at 64 h. Table S1. Oligonucleotides used in the study. Table S2. Effect of deletion of phaABC genes from the SoF1 genome on CDW, PHB and protein contents of cells grown in an autotrophic continuous cultivation. Cells were cultivated in modified DSMZ81 media for 400 h and sampling was performed at the end of the cultivation. Average from three parallel cultivations is shown with standard deviation (std).
Data Availability Statement
All relevant data are included in this article and its Additional file 1.





