Abstract
Stevia rebaudiana Bertoni possesses various medicinal and food industrial applications. This study is the first to explore the effect of the cytokinins meta-Topolin (mT; 6-(3-hydroxybenzylamino) purine), zeatin, kinetin, and BAP (6-benzylaminopurine) at concentrations of 0 (control), 5, 10, and 15 µM on shoot multiplication, as well as stevioside, rebaudioside A, phenolic acid, and flavonoid content in bioreactor cultures. The highest number of shoots (23.4 per explant) was obtained in the medium containing 5 μM of mT. However, 15 μM of mT was superior for fresh biomass production and dry biomass accumulation. Reversed-phase (RP)-HPLC analysis showed a beneficial effect of 5 μM mT on stevioside (11.43 mg/g dry weight [DW]) and rebaudioside A (10.74 mg/g DW) biosynthesis. In all conditions, the ratio of rebaudioside A/stevioside ranged from 0.75 to 1.12. The phenolic acids chlorogenic, neochlorogenic, isochlorogenic A, and rosmarinic were confirmed in the stevia extracts, as were the flavonoids isoquercetin, and quercitrin. The highest accumulations of chlorogenic and neochlorogenic acids and flavonoids were observed in shoot tissues derived from 5 µM mT, whereas 5 µM of BAP stimulated biosynthesis of chlorogenic, isochlorogenic A, and rosmarinic acids. This is the first report on the use of mT-cytokinin showing high potential in stevia cultures.
Subject terms: Plant biotechnology, Plant hormones, Secondary metabolism
Introduction
Stevia (Stevia rebaudiana Bertoni, Asteraceae) is a perennial herbaceous medicinal plant originating from Paraguay containing compounds that are about 300 times sweeter than sucrose1. Its sweetness is due to the presence of ent-kaurene type diterpene steviol glycosides (SG), such as stevioside and rebaudioside A2. As a noncaloric, natural sweetener, SG is used as a sugar substitute in the food industry (approved for consumption by the US Food and Drug Administration in 2008 and by the European Union in 2011)3. Other bioactive compounds isolated from stevia include polyphenols, flavonoids, tannins and alkaloids4. Stevia leaves are also a good source of vitamins, essential amino acids, minerals and fatty acids5. Stevia has become a very important medicinal plant because of its excellent therapeutic effects through anti-hyperglycaemic, anti-inflammatory, anti-tumour, antioxidant, anti-hypertensive, anti-obesity, anti-caries and anti-cancer properties6.
Stevia is commercially cultivated in many countries, including Argentina, Brazil, Columbia, Paraguay, China, Japan, Malaysia, South Korea, Vietnam, Israel, Australia, Kenya and the United States7. The plants are propagated from seeds and vegetatively from stem cuttings. However, the poor viability of stevia seeds and length of time required for seedling development do not allow for the commercialisation of this method. Additionally, propagation using the seeds can also cause great variability in stevioside levels8. Propagation by stem cutting is limited because of the minimal number of plants that can be obtained simultaneously from a single plant9. An alternative to conventional propagation methods may be in vitro micropropagation of stevia. Indeed, leaf fragments, shoot tips, nodal segments, axillary buds, anthers and flowers have all been used as explants for the initiation of in vitro stevia cultures10–13.
Several micropropagation protocols have been established in which organogenesis is a more frequently used morphogenetic pathway for stevia plant propagation than somatic embryogenesis14. To develop an efficient method of micropropagation and the possibility of secondary metabolite production in in vitro conditions, different types of cultures have been conducted, including callus, suspension, shoot and root (adventitious and transformed)15–17. However, there is no fully developed micropropagation protocol that would allow for the production of a large number of high-quality plants in a short time that would be economically viable and could be used for industrial applications.
Similarly, many studies have been conducted on the biosynthesis of stevioside and rebaudioside A in in vitro cultures of stevia, but the industrial production of SG using biotechnology has still not been implemented because of the poor performance of the target compounds. Detailed information on this subject can be found in the research of Miladinova-Georgieva et al.14.
Some studies have also determined the total content of phenolic compounds in the stevia plant material obtained in vitro, usually as stress markers18. However, the research on the biosynthesis of phenolic acids in stevia cultures has been fragmentary, at best. Only Fu et al.19 have demonstrated the possibility of biosynthesis of chlorogenic acids and their derivatives in stevia hairy root culture. It is known that phenolic acids possess excellent hydrophilic antioxidant activity and other therapeutic properties20. Flavonoids are another important group of phenolic compounds isolated from stevia leaves with regard to, for example, antioxidant and anti-proliferative activities21. The available literature lacks information regarding determining the content of individual flavonoids in in vitro cultures of stevia. Only Blinstrubienė et al.22 and Idrees et al.23 have determined the total flavonoid content in the callus and roots of stevia. For this reason, studies of individual phenolic acid and flavonoid production from in vitro stevia cultures needs to be expanded.
In studies on the biosynthesis of secondary metabolites in stevia cultures, elicitors have usually been tested24. Elicitation is a technique involving the addition of abiotic or biotic elicitors to the medium, which triggers a stress response, thus increasing the production of secondary metabolites. In in vitro cultures of stevia, elicitors that have been used include methyl jasmonate, spermidine, salicylic acid, paclobutrazol, gibberellic acids and different combinations of auxins and cytokinins25–27. Among the cytokinins, kinetin and BAP are usually applied27. A natural cytokinin, mT has been recognised as an excellent elicitor of secondary metabolite biosynthesis, e.g. galanthamine, phenolic acids and flavonoids, but it has never been tested in stevia cultures28–30. However, a beneficial effect of mT has been demonstrated for improved multiplication rate and in vitro plant quality28,31.
In addition, mT causes better rooting and plant acclimatisation32. Moreover, mT is considered to be a cytokinin that does not cause hyperhydricity and could therefore be a substitute for BAP, which can cause genetic changes and induce physiological disorders and hyperhydricity32. Apart from the appropriate selection of cytokinins, another method of reducing hyperhydricity is the use of bioreactor cultures carried out in a temporary immersion system28.
The aim of the present work was to, for the first time, optimise the following: (1) mass shoot multiplication, (2) the production of SG (stevioside and rebaudioside A) and (3) the biosynthesis of phenolic compounds (phenolic acids and flavonoids) in the stevia temporary immersion bioreactor Rita® through the use of treatment of different cytokinins. In addition, this is the first report on the use of mT in micropropagation of stevia and secondary metabolite production. To the best of our knowledge, there is no detailed information on individual phenolic acid and flavonoid content in stevia in vitro shoots. The proposed research will improve the multiplication process and phytochemical traits of stevia for industrial applications.
Materials and methods
Plant materials
Seeds of Stevia rebaudiana Bertoni obtained from W. Legutko Breeding and Seed Company, Poland, were surface sterilised in 70% ethanol for 30 s and then in 20% Domestos (containing 5% chloride, Unilever, Poland) for 15 min. After sterilisation, the seeds were rinsed three times with sterile water and plated on a Murashige and Skoog (MS)33 medium supplemented with 6 g/L agar, at pH 5.8. The germination was conducted in a growth chamber at 25 ± 1 °C under white fluorescent light with a 16 h photoperiod (Tungsram lamp, 40 WF, 90 μmol m−2 s−1). The obtained seedlings were transferred for four weeks of growth to the same medium as for germination. Next, nodal segments (1.5 ± 0.5 cm in length) were isolated from stevia plantlets and used as the initial materials for the experiment. The authors confirm that all methods used were performed in accordance with the relevant guidelines and legislation.
Cytokinin treatment and in vitro culture conditions
The nodal explants with axillary buds and leaves were cultured in a temporary immersion bioreactor Rita® (Vitropic, France). The immersion frequency was 5 min every 2 h, as described by Ptak et al.28. The cultures were kept at 25 ± 2 °C under white fluorescent light with a 16 h photoperiod (Tungsram lamp, 40 WF, 90 µmol m−2 s−1). For inoculation, 15 nodal explants (total fresh weight [FW] of shoots: about 3 g) were transferred to bioreactor vessels containing 200 mL MS liquid medium without growth regulators (control) and enriched with the cytokinins: mT, zeatin, kinetin and BAP all at the same concentrations: 5, 10 or 15 µM. The experiment was repeated three times. For each combination, 45 explants were cultured; for the total experiment, 585 explants were used.
After four weeks of culture, the number of shoots developed from one nodal explant that was counted, and FW biomass increments per one bioreactor vessel were calculated.
To determine the accumulation of DW, the shoots were freeze-dried for 72 h and then weighed. The DW content in the plant tissue was calculated according to the following formula: DW [%] = DWL × 100/FWF, where DWL is the dry weight after lyophilisation and FWF is the final fresh weight. Lyophilised and powdered samples were stored at − 80 °C for further analysis.
Analyses of steviol glycoside
Lyophilised and powdered samples (about 250 mg) were extracted with 2 mL of methanol for 1 h at 30 °C. The supernatant was filtered through 0.22 μm filter (Millex®GP, Millipore, Merck, Darmstadt, Germany). RP-HPLC analysis was carried out on a Merck–Hitachi liquid chromatograph (LaChrom Elite) equipped with a DAD detector L-2455 and a Purospher RP-18e column as previously described by Simlat et al.8. Detection was performed at λ = 210 nm, and the UV spectra of all samples were scanned between 190 and 360 nm. Quantification was defined by measuring the peak area with reference to the standard curve derived from five concentrations (from 0.0625 to 1 mg ml−1) of authentic reference SG: stevioside and rebaudioside A (acquired from Sigma-Aldrich Co., Germany). The analysis was repeated three times.
Analyses of phenolic acids and flavonoids
Lyophilised and powdered samples (about 250 mg) were extracted with 2 mL of methanol using sonication (10 min at 25 ± 2 °C) and centrifuged for 10 min at 15,000 rpm. The supernatant was filtered through 0.22 μm filter (Millex®GP, Millipore, Merck, Darmstadt, Germany). RP-HPLC analyses was carried out according to Simlat et al.34 using a Merck–Hitachi liquid chromatograph (LaChrom Elite, Hitachi, Tokyo, Japan) equipped with a DAD detector L-2455 and Purospher®RP-18e (250 × 4 mm/5 mm) column (Merck, Darmstadt, Germany). Quantification was carried out at λ = 254 nm for phenolic acids and λ = 370 nm for flavonoids. Identification was performed through a comparison of the retention times of the peaks with authentic reference compounds and co-chromatography with standards. Quantification consisted of measurement of the peak area with reference to the standard curve derived from five concentrations (0.03125–0.5 mg ml−1). Commercially available standards of the phenolic acids: chlorogenic, neochlorogenic (Sigma–Aldrich, St Louis, MO, USA), isochlorogenic A (ChromaDex, Irvine, CA, USA), and rosmarinic (Sigma–Aldrich, St Louis, MO, USA), as well as the flavonoids isoquercetin, and quercitrin (Sigma–Aldrich, St Louis, MO, USA), were used to generate the calibration curves. The analysis was repeated three times.
Data analysis
Statistical analysis of the data was performed using analysis of variance (ANOVA). Differences between the means were determined using Duncan’s multiple range test at P < 0.05. The values are expressed as the means ± standard deviation (SD).
Results
Influence of cytokinins on shoot appearance, multiplications and biomass increments
The exogenous cytokinin had a positive effect on Stevia rebaudiana in vitro shoot appearance and growth in bioreactor Rita®. In general, the stevia cultivated for four weeks on the media with the addition of cytokinin (irrespective of type and concentration) were characterised by a green colour of leaves, while the leaves and shoots derivate from the control medium (without cytokinin) were necrotic and tended to turn brown and dying (Fig. 1). No stevia shoots showed signs of vitrification, including those obtained on media with the addition of cytokinins at the highest concentration (Fig. 1d). Meanwhile, we observed callus formation based on stevia shoots growing on the medium containing 15 µM of tested cytokinin (Fig. 1d).
Figure 1.
Morphological appearance of Stevia rebaudiana microshoots grown on media supplemented with different concentrations of meta-Topolin (a) control (0), (b) 5 µM, (c) 10 µM, (d) 15 µM.
Table 1 shows that the cytokinin type and its concentration significantly affected the number of shoots/explant after four weeks of cultivation. The highest number of shoots (23.43 shoots per explant, 351.50 shoots per bioreactor) was observed under the influence of 5 µM of mT. Slightly smaller amounts of shoots were formed when 10 µM and 15 µM mT were used (20.57 and 21.20 shoots per explant, 308.50 and 318 shoots per bioreactor, respectively), though the fewest shoots were noted on the medium without cytokinin (10.10 shoots per explant, 151.50 shoots per bioreactor) and when the medium was enriched with kinetin (on average: 11.48 shoots per explant, 172.17 shoots per bioreactor).
Table 1.
Effect of different cytokinins on in vitro Stevia rebaudiana shoot multiplication.
| Cytokinin [µM] | Mean number of shoots/explant | Total number of shoots/bioreactor | FW biomass increments/bioreactor [g] | DW accumulation in shoots/bioreactor [%] |
|---|---|---|---|---|
| Control (0) | 10.10 ± 6.25h | 151.50 ± 9.38h | 22.47 ± 0.36f | 1.80 ± 0.03f |
| mT 5 | 23.43 ± 6.99a | 351.50 ± 10.49a | 57.38 ± 0.20b | 4.59 ± 0.01b |
| mT 10 | 20.57 ± 1.33b | 308.50 ± 2.00b | 59.42 ± 0.90b | 4.75 ± 0.07b |
| mT 15 | 21.20 ± 3.47b | 318.00 ± 5.20b | 72.27 ± 0.10a | 5.78 ± 0.01a |
| Zeatin 5 | 12.47 ± 4.85fg | 187.00 ± 7.27fg | 44.60 ± 1.83d | 3.57 ± 0.15d |
| Zeatin 10 | 13.73 ± 1.33ef | 206.00 ± 2.00ef | 45.47 ± 0.32d | 3.64 ± 0.02d |
| Zeatin 15 | 14.77 ± 6.97de | 221.00 ± 10.45de | 49.01 ± 2.12c | 3.92 ± 0.17c |
| Kinetin 5 | 13.13 ± 6.37ef | 197.00 ± 9.55ef | 39.40 ± 0.10e | 3.15 ± 0.08e |
| Kinetin 10 | 10.33 ± 7.27h | 155.00 ± 10.91h | 43.70 ± 0.50d | 3.50 ± 0.04d |
| Kinetin 15 | 10.97 ± 11.15gh | 164.50 ± 16.72gh | 46.32 ± 1.17cd | 3.71 ± 0.09cd |
| BAP 5 | 16.33 ± 3.53cd | 245.00 ± 5.30cd | 40.20 ± 0.72e | 3.22 ± 0.06e |
| BAP 10 | 16.54 ± 1.20c | 248.00 ± 1.80c | 44.55 ± 0.46d | 3.56 ± 0.04d |
| BAP 15 | 17.20 ± 2.61c | 258.00 ± 3.91c | 46.28 ± 1.33cd | 3.70 ± 0.11cd |
Different letters indicate a significance difference at P < 0.05 according to ANOVA and Duncan’s test; the values are expressed as the means of three replicates (n = 3) ± standard deviation (SD).
mT meta-Topolin, BAP 6-benzylaminopurine, FW fresh weight, DW dry weight.
The results from the present study show that the highest increase in FW of stevia shoot biomass was recorded when the medium containing 15 µM of mT was used (72.27 g/bioreactor). These increments were 3.22 times greater compared with the control, where the lowest value was noted (22.47 g/bioreactor). Among the tested cytokinins, regardless of the concentration used, the strongest effect was observed in the case of mT (FW increments: 63.03 g), followed by zeatin (FW increments: 43.36 g), BAP (FW increments: 43.68 g) and kinetin (FW increments: 43.14 g) (Table 1). The same trends were observed in the accumulation of DW of shoots; that is, the highest accumulation of DW was observed for shoots propagated on a medium with the addition of mT (5.04%); the concentration of 15 µM mT was the most effective (5.78); for comparison, in the control group, it was 1.80% (Table 1).
Influence of cytokinins on the accumulation of steviol glycosides
RP-HPLC analyses of methanol extracts from the shoot biomass of stevia bioreactor cultures confirmed the presence of SG: stevioside and rebaudioside A under all tested conditions (Table 2, Supplementary Fig. S1 online). However, Table 2 shows that the amounts of the measured compounds depended on the type and concentration of cytokinin treatment applied to the in vitro shoots. MT at a concentration of 5 µM, was the most favourable for stevioside production in the stevia culture (11.43 mg/g DW). Slightly lower amounts of stevioside were determined in the shoots growing in the medium with the addition of 10 µM of mT and in the control medium (8.78 and 8.64 mg/g DW, respectively). The lowest content of stevioside was recorded in shoots cultivated in the medium enriched with 15 µM of kinetin (3.71 mg/g DW). It is also worth emphasising that the accumulation of stevioside in bioreactor biomass, achieved with a medium containing 5 µM of mT (DW content in biomass from bioreactor: 4.59%, 351.50 shoots), was 3.37 times greater than that obtained with a medium without cytokinin (DW content in biomass from bioreactor: 1.80%, 151.50 shoots) (Tables 1, 2).
Table 2.
Effect of different cytokinins on stevioside and rebaudioside A biosynthesis in in vitro culture of Stevia rebaudiana.
| Cytokinins [µM] | Stevioside [mg/g DW] | Rebaudioside A [mg/g DW] | Stevioside/bioreactor [mg DW] | Rebaudioside A/bioreactor [mg DW] | Rebaudioside A/stevioside ratio |
|---|---|---|---|---|---|
| Control 0 | 8.64 ± 0.43b | 6.56 ± 0.14c | 15.55 ± 1.01ef | 11.80 ± 0.44f | 0.76 ± 0.02e |
| mT 5 | 11.43 ± 0.14a | 10.74 ± 0.11a | 52.46 ± 0.59a | 49.31 ± 0.34a | 0.94 ± 0.01bcd |
| mT 10 | 8.78 ± 0.20b | 7.73 ± 0.11 b | 41.75 ± 1.56b | 36.75 ± 0.79b | 0.88 ± 0.02b-e |
| mT 15 | 4.42 ± 0.05de | 4.59 ± 0.08efg | 25.58 ± 0.27c | 26.54 ± 0.47c | 1.04 ± 0.02ab |
| Zeatin 5 | 4.42 ± 0.13de | 4.36 ± 0.18efg | 15.82 ± 1.09ef | 15.61 ± 1.23efg | 0.99 ± 0.03abc |
| Zeatin 10 | 3.64 ± 0.04e | 3.58 ± 0.21g | 13.22 ± 0.19f | 13.02 ± 0.86fg | 0.98 ± 0.05abc |
| Zeatin 15 | 4.77 ± 0.05de | 5.36 ± 0.08de | 18.68 ± 0.63def | 20.98 ± 0.67d | 1.12 ± 0,01a |
| Kinetin 5 | 6.89 ± 0.49c | 6.05 ± 0.4cd | 21.71 ± 1.36cde | 19.06 ± 0.83de | 0.88 ± 0.03cde |
| Kinetin 10 | 5.78 ± 0.58cd | 4.61 ± 0.35efg | 20.16 ± 1.89cde | 16.08 ± 1.23efg | 0.80 ± 0.07de |
| Kinetin 15 | 3.71 ± 1.30e | 4.06 ± 0.96fg | 13.79 ± 4.38f | 15.06 ± 3.22efg | 1.09 ± 0.04a |
| BAP 5 | 6.93 ± 0.06c | 5.20 ± 0.07def | 22.25 ± 0.36cd | 16.70 ± 0.55ef | 0.75 ± 0.02e |
| BAP 10 | 5.09 ± 0.90de | 4.19 ± 0.66efg | 18.12 ± 2.98def | 14.94 ± 2.16efg | 0.82 ± 0.11cde |
| BAP 15 | 4.29 ± 0.62de | 3.61 ± 0.42g | 15.67 ± 2.51ef | 13.22 ± 1.76fg | 0.84 ± 0.07cde |
Different letters indicate a significance difference at P < 0.05 according to ANOVA and Duncan’s test; the values are expressed as the means of three replicates (n = 3) ± standard deviation (SD).
mT meta-Topolin, BAP 6-benzylaminopurine, DW dry weight.
The treatment of shoots with 5 µM mT allowed to obtain the highest content of rebaudioside A (10.74 mg/g DW). The lowest content of reabudioside A was observed in shoots cultured in the medium with the addition of BAP (on average 4.33 mg/g DW) (Table 2). Much like the case of stevioside, the accumulation of rebaudioside A per biomass of one bioreactor was the most effective in the case of 5 µM mT and the least effective on the control medium (49.31 mg/g DW, 11.80 mg/g DW, respectively). Similarly, among the tested cytokinins, BAP also inhibited rebaudioside A biosynthesis (on average, 14.95 mg/g DW). In this case, an average of 250.3 shoots was obtained per bioreactor (Tables 1, 2).
Our study showed that the significantly highest ratio of the rebaudioside A/stevioside was obtained for the stevia shoots cultivated in the medium enriched with 15 µM of zeatin (1.12), 15 µM kinetin (1.09) and 15 µM of mT (1.04). Slightly lower amounts were recorded when the shoots were treated with 5 µM of mT (0.94), 10 µM zeatin (0.98) and 5 µM zeatin (0.99) (Table 2). Generally, the SG ratio was the highest for shoots growing in the medium with the addition of zeatin, followed by mT, kinetin and BAP (Table 2).
Influence of cytokinins on the accumulation of phenolic compounds
The presence of phenolic acids—neochlorogenic, chlorogenic, isochlorogenic A and rosmarinic—and flavonoids—isoquercetin and quercitrin—was confirmed in all extracts from the in vitro stevia shoots treated with cytokinins and in the control shoots (Fig. 2, see Supplementary Fig. S2 online).
Figure 2.
Effect of different cytokinins on phenolic acids biosynthesis in in vitro culture of Stevia rebaudiana: (a) neochlorogenic, (b) chlorogenic, (c) isochlorogenic A, (d) rosmarinic. Different letters indicate a significance difference at P < 0.05 according to ANOVA and Duncan’s test; the values are expressed as the means of three replicates (n = 3) ± standard deviation (SD); mT meta-Topolin, BAP 6-benzylaminopurine, DW dry weight.
We observed that isochlorogenic acid A dominated (on average content: 9.50 mg/g DW), and neochlorogenic acid accumulated in the lowest amounts (on average content: 0.88 mg/g DW) in in vitro stevia shoots (Fig. 2).
As for the influence of cytokinins on the accumulation of phenolic acids, the highest content of chlorogenic acid was recorded in the case of shoots growing on the medium with the addition of 5 µM of BAP, 5 µM of mT and 10 µM of BAP (from 3.35 to 3.52 mg/g DW). A slightly lower value was noted in the case of shoots propagated on a medium enriched with kinetin (5 µM) and zeatin (5 and 15 µM) (on average, 3.06 mg/g DW). The lowest content was observed in the shoots treated with 15 µM of mT and in the control (1.76 and 1.78 mg/g DW, respectively). At a concentration of 5 µM, mT stimulated biosynthesis of neochlorogenic acid, while, at the highest concentration, it inhibited this process (content: 0.48 and 0.12 mg/g DW, respectively). For isochlorogenic acid A, the highest content was noted in shoots deriving from the medium with additions of 5 µM BAP (15.44 mg/g DW). Slightly less of this acid was obtained with 15 µM BAP (13.27 mg/g DW), and the lowest amounts were in the shoots treated with 5 µM zeatin (5.81 mg/g DW). A similar trend was observed in the case of rosmarinic acid, where 5 µM BAP stimulated (4.41 mg/g DW) and 5 µM zeatin inhibited (1.28 mg/g DW) biosynthesis. The addition of 15 µM of mT also had a negative impact (1.25 mg/g DW rosmarinic acid) (Fig. 2).
In the stevia culture, the accumulation of chlorogenic acid in the bioreactor DW biomass (4.59% DW, 351.50 shoots), as achieved with 5 µM of mT, was 4.8 times greater than that obtained in the control bioreactor biomass (1.80% DW, 151.50 shoots), neochlorogenic 3.52 times higher than control and rosmarinic acid 2.56 times higher than control. Here, 3.5 times more isochlorogenic acid A and 2.84 times more rosmarinic acid were reached from the total shoot biomass treated during four weeks with 5 µM BAP (3.22% DW, 245 shoots) compared with the control (Fig. 3, Table 1).
Figure 3.
Effect of different cytokinins on phenolic acids accumulation in the bioreactor biomass of Stevia rebaudiana: (a) neochlorogenic, (b) chlorogenic, (c) isochlorogenic A, (d) rosmarinic. Different letters indicate a significance difference at P < 0.05 according to ANOVA and Duncan’s test; the values are expressed as the means of three replicates (n = 3) ± standard deviation (SD); mT meta-Topolin, BAP 6-benzylaminopurine, DW dry weight.
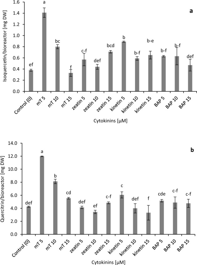
The concentration and type of cytokinins significantly influenced the production of individual flavonoids in the bioreactor culture of stevia (Fig. 4). The maximum contents of isoquercetin and quercitrin were obtained in medium supplemented with 5 µM of mT (0.31, 2.61 mg/g DW, respectively). A high level of isoquercetin was also observed under the influence of 5 μM kinetin and in the case of quercitrin in the control medium (0.28, 2.36 mg/g DW, respectively) (Fig. 4). The highest accumulation of flavonoids from one bioreactor biomass was identified in shoots after four weeks of culture in a medium enriched with 5 µM of mT.
Figure 4.

Effect of different cytokinins on flavonoids biosynthesis in in vitro culture of Stevia rebaudiana: (a) isoquercetin and (b) quercitrin. Different letters indicate a significance difference at P < 0.05 according to ANOVA and Duncan’s test; the values are expressed as the means of three replicates (n = 3) ± standard deviation (SD); mT meta-Topolin, BAP 6-benzylaminopurine, DW dry weight.
The largest amounts of flavonoids from one bioreactor biomass were accumulated in shoots after four weeks of culture on a medium enriched with 5 µM mT. It is worth adding that, in this case, the production of isoquercetin was 3.71 times and quercitrin 2.82 times higher than in the control shoots (Fig. 5).
Figure 5.

Effect of different cytokinins on flavonoids accumulation in the bioreactor biomass of Stevia rebaudiana: (a) isoquercetin and (b) quercitrin. Different letters indicate a significance difference at P < 0.05 according to ANOVA and Duncan’s test; the values are expressed as the means of three replicates (n = 3) ± standard deviation (SD); mT meta-Topolin, BAP 6-benzylaminopurine; DW dry weight.
Discussion
In the current study, the effect of the cytokinins: mT, zeatin, kinetin, BAP at concentrations of 0 (control), 5, 10 or 15 µM on Stevia rebaudiana Bertoni shoot appearance and multiplication, biosynthesis of SG and phenolic compounds in the temporary immersion bioreactor Rita® were evaluated for the first time. The choices of cytokinin type and their concentrations were based on our preliminary studies with stevia and Leucojum aestivum cultures28.
As plant growth regulators, cytokinins have the ability to stimulate cell division and cause the development of shoots from the axillary buds. They also increase photosynthetically active pigments and are effective in delaying chlorophyll degradation35. Although it is known that shoot multiplication can also be regulated by endogenous cytokinins36, in the case of stevia, the presence of exogenous cytokinin in the medium seems to be necessary. Stevia shoots grown in a medium without the addition of cytokinins were necrotic and tended to turn brown and die. It is also worth emphasising that the stevia shoots growing in the medium containing the tested cytokinins did not show the symptoms of vitrification. So far, studies on the effect of BAP, kinetin and thidiazuron in stevia cultures have been carried out only on solid media27,37. To solve the problem of vitrification, which often occurs in cultures grown in a liquid medium, especially those enriched in cytokinins, temporary immersion systems like bioreactor Rita® have been proposed in many studies38. Vilariño et al.39 found that a temporary immersion system can be applied for micropropagation of stevia. However, it was necessary to check the effect of various cytokinins used for the propagation of stevia in this type of bioreactor.
In the present study, a significant impact of the cytokinin on shoot multiplication was observed. The highest number of shoots was obtained when 5 µM of mT was added to the medium. Slightly fewer shoots were recorded using the medium containing 10 and 15 µM mT. MT has not yet been tested in in vitro cultures of stevia. However, in recent studies, mT has been applied very frequently as an alternative to conventional cytokinins for the multiplications of shoots: Salvia sclarea40, Allamanda cathartica29, Oxystelma esculentum31, Rheum sp. ‘Malinowy’41, Crinum malabaricum30, Crinum brachynema42 and Caralluma umbellate44. Moreover, research on Crinum brachynema42 and Aloe polyphylla45, similar to the presented results, showed that the 5 µM of mT is more favourable for the multiplication of shoots than higher concentrations. In our experiment, the addition of kinetin to the liquid medium was the least effective for stevia axillary shoot induction. Singh and Dwivedi37 confirmed the weaker effect of kinetin compared with thidiazuron on the multiplication of stevia shoots on a solid medium.
Among the tested cytokinins, the highest increases in fresh biomass (on average, 63.03 g) and the highest accumulation of DW (on average 5.04%) of shoots were observed when adding mT. In Pterocarpus marsupium plantlets, FW and DW biomass increments were higher in mT-derived plants than in BAP-derived plants, which is consistent with our findings46. In turn, in in vitro cultures of Aloe arborescens and Huernia hystrix, the highest shoot FW was recorded in the treatment with BAP than with mT47,48. The probable difference in mT action was because of the genotype difference. However, BAP can cause abnormal growth and hyperhydricity in shoots49. Of the tested concentrations of mT, 15 µM affects the highest increments of their FW and accumulation dry biomass. This may be because, under the influence of 15 μM mT, we also observed callus formation on the base of shoots, which could have affected the total biomass increments, especially because the number of shoots obtained in this case was fewer than when 5 μM of mT was used (21.20 and 23.43 shoots per explant, respectively). It is also worth emphasising that the accumulation of dry biomass results maintained the same pattern as those for the FW for all combinations used, proving that, by using the Rita® bioreactor, we completely avoided the problem of hyperhydricity.
Stevioside and rebaudioside A are the best known and the most abundant SG in stevia50. It has been reported that, in natural conditions, the biosynthesis of SG primarily occurs in leaves and that they are transported to other plant organs51. The stevioside content varies from 5 to 22% while rebaudioside A from 22 to 61.6%, depending on the genotype and cultivation conditions50. Sharma et al.52 presented detailed information on the possibility of the biosynthesis of SG also by in vitro culture of stevia. Many factors, especially abiotic and biotic elicitors, affect the content of these metabolites in in vitro condition24. However, there is little information about the effect of plant growth regulators, including cytokinins, on SG biosynthesis in stevia shoots grown in liquid media. Röck-Okuyucu et al.26 showed that a solid medium without growth regulators led to considerably higher stevioside content compared with the plant growth regulators (BAP, kinetin, thidiazuron, IAA (Indole-3-acetic acid) and NAA (α -naphthalene acetic acid)) containing media. While rebaudioside A was only present in plant material derived from medium without growth regulators. Pazuki et al.27 noted no differences in the content of stevioside and rebaudioside A in shoots derived from a solid medium enriched with kinetin and BAP compared with a medium without cytokinins. On the other hand, cytokinins may stimulate the biosynthesis of secondary metabolites. The effect of cytokinins may also be different in the case of cultures grown on solid and liquid media28.
To increase the biosynthesis of SG, mT—as an alternative to conventional cytokinins—was used for the first time. The data obtained in our study showed that 5 µM of mT stimulates the biosynthesis of both stevioside and rebaudioside A. MT is not yet widely used for the production of metabolites. For example, mT increased the levels of chlorophyll, soluble proteins and free amino acids in shoots of Daphne mezereum53. Additionally, mT stimulates galanthamine biosynthesis in Leucojum aestivum plants cultivated on solid medium28.
Although the production of secondary metabolites in in vitro cultures usually takes place in two stages, the first stage is biomass accumulation, and the second stage concerns the production of secondary metabolites. In the presented studies, 5 µM mT stimulated both shoots multiplication, DW biomass content, and SG biosynthesis. On the other hand, in the medium without the addition of cytokinins, we obtained shoots characterised by a high content of SG and the fewest shoots and biomass increments. This also confirms the observation that unfavourable conditions for plant growth and development cause stress reactions, thus stimulating the biosynthesis of secondary metabolites54. In the presented studies, we observed that the addition of BAP to the medium had a negative effect on the content of rebaudioside A obtained in biomass from one bioreactor, though it is worth emphasising, however, that while a large number of shoots was obtained (only less than in the case of mT treatment), their combined weight was low.
The presence of 15 µM of zeatin, kinetin and mT led to the highest ratio of rebaudioside A/stevioside (on average 1.08). The effect of cytokinins on the stevioside ratio in shoot cultures has not yet been determined. Blinstrubienė et al.22 showed that in stevia callus cultures the rebaudioside A-to-stevioside ratio ranges from 0.03 to 1.0. According to the literature, for stevia growing in natural conditions, the rebaudioside A-to-stevioside ratio is 0.37–0.8655. Because rebaudioside A has better sweetening properties and quality of taste than stevioside, the rebaudioside A-to-stevioside ratio should be as high as possible56.
In our study, in stevia shoot biomass extracts, four phenolic acids—neochlorogenic, chlorogenic, isochlorogenic A (3,5-dicaffeoylquinic acid) and rosmarinic—and two flavonoids—isoquercetin and quercitrin—were determined. It is worth noting that the research on the biosynthesis of individual phenolic compounds in in vitro cultures of stevia is incomplete. Fu et al.19 showed that chlorogenic acid, 3,5-dicaffeoylquinic acid (isochlorogenic acid A) and 4,5-dicaffeoylquinic acid were produced by the hairy roots of stevia. As for the content of phenolic acids in stevia leaves, which are derived from plants growing in natural conditions, more than 30 of them have been isolated20; among them, chlorogenic, caffeic and trans-ferulic acids are the main phenolic acids present in fresh and dried stevia leaves57. Isochlorogenic acid A was found to be dominant in the investigated shoot cultures, whereas neochlorogenic acid was found to accumulate in the lowest amounts. As in the present research, Simlat et al.34 also noted that, in stevia plants obtained from seeds, among all analysed phenolic acids, isochlorogenic A were present in the largest amounts. Isochlorogenic acid A has been identified in various species and currently shows great interest because of its medical properties: antiviral, neuroprotective, antioxidant, hepatoprotective and antihepatitis B. The protective effect of isochlorogenic acid A on liver fibrosis has also been observed58,59. The results of the RP-HPLC analyses indicate that 5 µM of BAP was a good biosynthetic elicitor for chlorogenic, isochlorogenic A and rosmarinic acids, whereas 5 µM of mT was effective for chlorogenic and neochlorogenic acids. BAP is a cytokinin used to stimulate the biosynthesis of rosmarinic acid and salvianolic acid in in vitro culture of Dracocephalum forrestii60. While mT, applied at lower concentrations (2.5 and 5 µM) similar to the present study, has been shown to contribute to an increase in the content of phenolic acids (chlorogenic acid, ferulic acid, p-coumaric acid and sinapic acid) in in vitro cultures of Crinum malabaricum30.
Among the flavonoids found in stevia leaves, for example, are hispidulin, 6-methoxyluteolin, quercetin, avicularin, rutin, hyperoside, luteolin, quercetin-3-D-glycoside, kaempferol, apigenin and quercitrin34. However, in in vitro cultures of stevia, only the total content of flavonoids was determined22,23.
Our results demonstrate that 5 µM mT stimulated the production of isoquercetin and quercitrin in bioreactor shoot cultures of stevia. The present paper is, to the best of our knowledge, the first report describing the effect of cytokinin, including mT, on individual flavonoid biosynthesis in stevia cultured in bioreactor Rita. There is also little data on the influence of mT on the content of individual flavonoids in other species. The positive effect of mT on the total flavonoid production was noted for example in shoot cultures of Allamanda cathartica29.
Conclusion
Our research, which was carried out in bioreactor Rita®, shows the positive effect of 5 µM mT on Stevia rebaudiana shoot multiplication and production of stevioside, rebaudioside A, chlorogenic and neochlorogenic acids and flavonoids. Here, 5 µM BAP stimulated biosynthesis chlorogenic, isochlorogenic A and rosmarinic acids. However, the amount of these phenolic acids accumulated in biomass from one bioreactor obtained after four weeks of culture was the same or lower under the presence of 5 µM BAP as when 5 µM mT were used in the medium. The results clearly indicate for the first time that mT is the best cytokinin of all those tested in the in vitro culture of stevia. To optimise the mass production of stevia plants and secondary metabolites, different mT application times in bioreactor culture will have to be investigated in detail in future studies.
Supplementary Information
Acknowledgements
The authors thankfully acknowledge MSc Sonia Kozaczka from University of Agriculture in Krakow, Poland. The research was financed from the subsidy of the Ministry of Science and Higher Education of the Republic of Poland awarded to the University of Agriculture in Krakow, Poland in 2023 year.
Author contributions
A.P. designed the experiment; A.P. carried out the experiment; A.P., A.Sz. performed the analyses; A.P., A.Sz., M.S., M.W. analysed the data; A.P. writing—original draft preparation; A.P., A.Sz., M.S., A.B., M.W. writing—revision; A.P., A.Sz., M.S., A.B., M.W. visualization; A.P. supervision. All authors read the manuscript and accepted it.
Data availability
The datasets generated during the current study are available from the corresponding author on reasonable request.
Competing interests
The authors declare no competing interests.
Footnotes
Publisher's note
Springer Nature remains neutral with regard to jurisdictional claims in published maps and institutional affiliations.
Supplementary Information
The online version contains supplementary material available at 10.1038/s41598-023-42619-8.
References
- 1.Yadav AK, Singh S, Dhyani D, Ahuja PS. A review on the improvement of stevia [Stevia rebaudiana (Bertoni)] Can. J. Plant Sci. 2011;91:1–27. [Google Scholar]
- 2.Arumugam B, Subramaniam A, Alagaraj P. Stevia as a natural sweetener: A review. Cardiovasc. Hematol. Agents Med. Chem. 2020;18:94–103. doi: 10.2174/1871525718666200207105436. [DOI] [PubMed] [Google Scholar]
- 3.Yang Y, Xu M, Wan Z, Yang X. Novel functional properties and applications of steviol glycosides in foods. Curr. Opin. Food Sci. 2022;43:91–98. [Google Scholar]
- 4.Khilar S, Singh AP, Biagi M, Sharma A. An insight into attributes of Stevia rebaudiana Bertoni: Recent advances in extraction techniques, phytochemistry, food applications and health benefits. J. Agric. Food Res. 2022;10:100458. [Google Scholar]
- 5.Wölwer-Rieck U. The leaves of Stevia rebaudiana (Bertoni), their constituents and the analyses thereof: A review. J. Agric. Food. Chem. 2012;60:886–895. doi: 10.1021/jf2044907. [DOI] [PubMed] [Google Scholar]
- 6.Wang Y, et al. Natural and low-caloric rebaudioside A as a substitute for dietary sugars: a comprehensive review. Compr. Rev. Food. Sci. Food. Saf. 2023;22:615–642. doi: 10.1111/1541-4337.13084. [DOI] [PubMed] [Google Scholar]
- 7.Ghose AK, Abdullah SNA, Md Hatta MA, Megat Wahab PE. In vitro regeneration of stevia (Stevia rebaudiana Bertoni) and evaluation of the impacts of growth media nutrients on the biosynthesis of steviol glycosides (SGs) Agronomy. 2022;12:1957. [Google Scholar]
- 8.Simlat M, Szewczyk A, Ptak A. Melatonin promotes seed germination under salinity and enhances the biosynthesis of steviol glycosides in Stevia rebaudiana Bertoni leaves. PLoS ONE. 2020;15:e0230755. doi: 10.1371/journal.pone.0230755. [DOI] [PMC free article] [PubMed] [Google Scholar]
- 9.Khalil SA, Zamir R, Ahmad N. Selection of suitable propagation method for consistent plantlets production in Stevia rebaudiana (Bertoni) Saudi J. Biol. Sci. 2014;21:566–573. doi: 10.1016/j.sjbs.2014.02.005. [DOI] [PMC free article] [PubMed] [Google Scholar]
- 10.Singh M, et al. In vitro propagation of Stevia rebaudiana (Bertoni): An overview. Int. J. Curr. Microbiol. App. Sci. 2017;6:1010–1022. [Google Scholar]
- 11.Tamura Y, Nakamura S, Fukui H, Tabata M. Clonal propagation of Stevia rebaudiana Bertoni by stem-tip culture. Plant Cell Rep. 1984;3:183–185. doi: 10.1007/BF00270195. [DOI] [PubMed] [Google Scholar]
- 12.Flachsland E, Mroginski L, Davina J. Regeneration of plants from anthers of Stevia rebaudiana Bertoni (Compositae) cultivated in vitro. Biocell. 1996;20:87–90. [Google Scholar]
- 13.Ahmad, N., Fazal, H., Zamir, R., Khalil, S. A. & Abbasi, B. H. Callogenesis and shoot organogenesis from flowers of Stevia rebaudiana (Bert.). Sugar. Tech. 13, 174–177 (2011).
- 14.Miladinova-Georgieva K, et al. Effects of different elicitors on micropropagation, biomass and secondary metabolite production of Stevia rebaudiana Bertoni—A review. Plants. 2023;12:153. doi: 10.3390/plants12010153. [DOI] [PMC free article] [PubMed] [Google Scholar]
- 15.Ahmad N, et al. Elicitation of submerged adventitious root cultures of Stevia rebaudiana with Cuscuta reflexa for production of biomass and secondary metabolites. Molecules. 2022;27:14. doi: 10.3390/molecules27010014. [DOI] [PMC free article] [PubMed] [Google Scholar]
- 16.Libik-Konieczny M, et al. Steviol glycosides profile in Stevia rebaudiana Bertoni hairy roots cultured under oxidative stress-inducing conditions. Appl. Microbiol. Biotechnol. 2020;104:5929–5941. doi: 10.1007/s00253-020-10661-5. [DOI] [PubMed] [Google Scholar]
- 17.Rezvankhah M, Askari H, Tohidfar M, Rezadoost H. Economic micropropagation of Stevia rebaudiana Bertoni and evaluation of in vitro cultures in order to improve steviol glycosides. Sci. Hortic. 2022;305:111372. [Google Scholar]
- 18.Sichanova M, et al. Improvement of Stevia rebaudiana Bertoni in vitro propagation and steviol glycoside content using aminoacid silver nanofibers. Plants. 2022;11:2468. doi: 10.3390/plants11192468. [DOI] [PMC free article] [PubMed] [Google Scholar]
- 19.Fu X, et al. Production of chlorogenic acid and its derivatives in hairy root cultures of Stevia rebaudiana. J. Agric. Food Chem. 2015;63:262–2688. doi: 10.1021/jf504176r. [DOI] [PubMed] [Google Scholar]
- 20.Myint KZ, et al. Polyphenols from Stevia rebaudiana (Bertoni) leaves and their functional properties. J. Food Sci. 2020;85:240–248. doi: 10.1111/1750-3841.15017. [DOI] [PubMed] [Google Scholar]
- 21.Machado KN, et al. Flavonoids, antioxidant, and antiproliferative activities of Stevia urticifolia. Chem. Nat. Compd. 2017;53:1167–1169. [Google Scholar]
- 22.Blinstrubienė A, Burbulis N, Juškevičiūtė N, Vaitkevičienė N, Žūkienė R. Effect of growth regulators on Stevia rebaudiana Bertoni callus genesis and influence of auxin and proline to steviol glycosides, phenols, flavonoids accumulation, and antioxidant activity in vitro. Molecules. 2020;25:2759. doi: 10.3390/molecules25122759. [DOI] [PMC free article] [PubMed] [Google Scholar]
- 23.Idrees, M. et al. Spectral lights trigger biomass accumulation and production of antioxidant secondary metabolites in adventitious root cultures of Stevia rebaudiana (Bert.). C. R. Biol. 341, 334–342 (2018). [DOI] [PubMed]
- 24.Bayraktar M, et al. Elicitor induced stevioside production, in vitro shoot growth, and biomass accumulation in micropropagated Stevia rebaudiana. Plant Cell Tiss. Organ Cult. 2016;127:289–300. [Google Scholar]
- 25.Lucho SR, et al. Plant growth regulators as potential elicitors to increase the contents of phenolic compounds and antioxidant capacity in stevia plants. Sugar Tech. 2019;21:696–702. [Google Scholar]
- 26.Röck-Okuyucu B, Bayraktar M, Akgun IH, Gurel A. Plant growth regulator effects on in vitro propagation and stevioside production in Stevia rebaudiana Bertoni. Hortic. Sci. 2016;51:1573–1580. [Google Scholar]
- 27.Pazuki A, Aflaki F, Yücesan B, Gürel S. Effects of cytokinins, gibberellic acid 3, and gibberellic acid 4/7 on in vitro growth, morphological traits, and content of steviol glycosides in Stevia rebaudiana. Plant Physiol. Biochem. 2019;137:154–161. doi: 10.1016/j.plaphy.2019.02.009. [DOI] [PubMed] [Google Scholar]
- 28.Ptak A, Simlat M, Kwiecień M, Laurain-Mattar D. Leucojum aestivum propagated in in vitro bioreactor culture and on solid media containing cytokinins. Eng. Life Sci. 2013;13:261–270. [Google Scholar]
- 29.Khanam MN, Javed SB, Anis M, Alatar AA. Meta-Topolin induced in vitro regeneration and metabolic profiling in Allamanda cathartica L. Ind. Crops Prod. 2020;145:111944. [Google Scholar]
- 30.Chahal S. Meta-topolin-mediated regeneration and accumulation of phenolic acids in the critically endangered medicinal plant Crinum malabaricum (Amaryllidaceae): A potent source of galanthamine. S. Afr. J. Bot. 2022;149:85–859. [Google Scholar]
- 31.Jayaprakash K, et al. Influence of meta-topolin on in vitro propagation and foliar micro-morpho-anatomical developments of Oxystelma esculentum (Lf) Sm. Plant Cell Tiss. Organ Cult. 2021;147:325–337. [Google Scholar]
- 32.Aremu AO, et al. Assessment of the role of meta-topolins on in vitro produced phenolics and acclimatization competence of micropropagated ‘Williams’ banana. Acta Physiol. Plant. 2012;34:2265–2273. [Google Scholar]
- 33.Murashige T, Skoog F. A revised medium for rapid growth and bio assays with tobacco tissue cultures. Physiol. Plant. 1962;15:473–497. [Google Scholar]
- 34.Simlat M, Ptak A, Wójtowicz T, Szewczyk A. The content of phenolic compounds in Stevia rebaudiana (Bertoni) plants derived from melatonin and NaCl treated seeds. Plants. 2023;12:780. doi: 10.3390/plants12040780. [DOI] [PMC free article] [PubMed] [Google Scholar]
- 35.Hönig M, Plíhalová L, Husičková A, Nisler J, Doležal K. Role of cytokinins in senescence, antioxidant defence and photosynthesis. Int. J. Mol. Sci. 2018;19:4045. doi: 10.3390/ijms19124045. [DOI] [PMC free article] [PubMed] [Google Scholar]
- 36.Kumari A. Plant growth regulator interactions in physiological processes for controlling plant regeneration and in vitro development of Tulbaghia simmleri. J. Plant Physiol. 2018;223:65–71. doi: 10.1016/j.jplph.2018.01.005. [DOI] [PubMed] [Google Scholar]
- 37.Singh, P. & Dwivedi, P. Two-stage culture procedure using thidiazuron for efficient micropropagation of Stevia rebaudiana, an anti-diabetic medicinal herb. 3 Biotech.4, 431–437 (2014). [DOI] [PMC free article] [PubMed]
- 38.Etienne H, Berthouly M. Temporary immersion systems in plant micropropagation. Plant Cell Tiss. Organ Cult. 2002;69:215–231. [Google Scholar]
- 39.Vilariño S, Florido MDC, García JL, Cantos M. Effects of culture system and substrate composition on micropropagated plantlets of two varieties of Stevia rebaudiana Bert. Physiologia. 2023;3:74–85. [Google Scholar]
- 40.Erişen, S., Kurt-Güra, G. & Servi, H. In vitro propagation of Salvia sclarea L. by meta-Topolin, and assessment of genetic stability and secondary metabolite profiling of micropropagated plants. Ind. Crops Prod.157, 1122892 (2020).
- 41.Wojtania A, Mieszczakowska-Frąc M. In vitro propagation method for production of phenolic-rich planting material of culinary rhubarb ‘Malinowy’. Plants. 2021;10:1768. doi: 10.3390/plants10091768. [DOI] [PMC free article] [PubMed] [Google Scholar]
- 42.Manokari M, Priyadharshini S, Cokulraj M, Dey A, Shekhawat MS. Meta-topolin induced morphometric and structurally stable bulblets in malabar river lily (Amaryllidaceae) Plant Cell Tiss. Organ Cult. 2022;148:377–385. [Google Scholar]
- 43.Kaur H, et al. Meta-topolin induced in vitro regeneration in Crinum brachynema (Amaryllidaceae): A critically endangered and endemic medicinal plant of India. Plant Cell Tiss. Organ Cult. 2022;151:663–672. [Google Scholar]
- 44.Jayaprakash, K. et al. Improved organogenesis and micro-structural traits in micropropagated plantlets of Caralluma umbellate Haw. In response to Meta-Topolin. Plant Cell Tiss. Organ Cult.153, 105–118 (2023).
- 45.Bairu MW, Stirk WA, Dolezal K, van Staden J. Optimizing the micropropagation protocol for the endangered Aloe polyphylla: can meta-topolin and its derivatives serve as replacement for benzyladenine and zeatin? Plant Cell Tiss. Organ Cult. 2007;90:15–23. [Google Scholar]
- 46.Ahmad, A., Anis, M. Meta-topolin improves in vitro morphogenesis, rhizogenesis and biochemical analysis in Pterocarpus marsupium Roxb.: A potential drug-yielding tree. J. Plant Growth Regul.38, 1007–1016 (2019).
- 47.Amoo SO, Aremu AO, van Staden J. In vitro plant regeneration, secondary metabolite production and antioxidant activity of micropropagated Aloe arborescens Mill. Plant Cell Tiss. Organ Cult. 2012;111:345–358. [Google Scholar]
- 48.Amoo SO, van Staden J. Influence of plant growth regulators on shoot proliferation and secondary metabolite production in micropropagated Huernia hystrix. Plant Cell Tiss. Organ Cult. 2013;112:249–256. [Google Scholar]
- 49.Manokari M, et al. High-throughput in vitro propagation and evaluation of foliar micro-morpho-anatomical stability in Musa acuminata cv. ‘Grand Nain’ using 6-benzoyladenine (BOA) in the nutrient medium. Sci. Hort. 2022;304:111334. [Google Scholar]
- 50.Libik-Konieczny M, Capecka E, Tuleja M, Konieczny R. Synthesis and production of steviol glycosides: Recent research trends and perspectives. Appl. Microbiol. Biotechnol. 2021;105:3883–3900. doi: 10.1007/s00253-021-11306-x. [DOI] [PMC free article] [PubMed] [Google Scholar]
- 51.Bondarev N, Sukhanova M, Reshetnyak O, Nosov A. Steviol glycoside content in different organs of Stevia rebaudiana and its dynamics during ontogeny. Biol. Plant. 2023;47:261–264. [Google Scholar]
- 52.Sharma, S. et al. Exploring plant tissue culture and steviol glycosides production in Stevia rebaudiana (Bert.) Bertoni: A review. Agriculture13, 475 (2023).
- 53.Nowakowska, K. & Pacholczak, A. Comparison of the effect of meta-Topolin and benzyladenine during Daphne mezereum L. micropropagation Agronomy10, 1994 (2020).
- 54.Isah T. Stress and defense responses in plant secondary metabolites production. Biol. Res. 2019;52:39. doi: 10.1186/s40659-019-0246-3. [DOI] [PMC free article] [PubMed] [Google Scholar]
- 55.Ribeiro MM. Stevia rebaudiana germplasm characterization using microsatellite markers and steviol glycosides quantification by HPLC. Mol. Biol. Rep. 2021;48:2573–2582. doi: 10.1007/s11033-021-06308-x. [DOI] [PMC free article] [PubMed] [Google Scholar]
- 56.Chranioti C, Chanioti S, Tzia C. Comparison of spray, freeze and oven drying as a means of reducing bitter aftertaste of steviol glycosides (derived from Stevia rebaudiana Bertoni plant)–Evaluation of the final products. Food Chem. 2016;190:1151–1158. doi: 10.1016/j.foodchem.2015.06.083. [DOI] [PubMed] [Google Scholar]
- 57.Lemus-Mondaca R, et al. Antioxidant, antimicrobial and anti-inflammatory potential of Stevia rebaudiana leaves: Effect of different drying methods. J. Appl. Res. Med. Aromat. Plants. 2018;11:37–46. [Google Scholar]
- 58.Liu X, Huang K, Zhang RJ, Mei D, Zhang B. Isochlorogenic acid a attenuates the progression of liver fibrosis through regulating HMGB1/TLR4/NF-κB signaling pathway. Front. Pharmacol. 2020;11:582. doi: 10.3389/fphar.2020.00582. [DOI] [PMC free article] [PubMed] [Google Scholar]
- 59.Carrera-Lanestosa A, Coral-Martínez T, Ruíz-Ciau D, Moguel-Ordoñez Y, Rubí Segura-Campos M. Phenolic compounds and major steviol glucosides by HPLC-DAD-RP and in vitro evaluation of the biological activity of aqueous and ethanolic extracts of leaves and stems: S. rebaudiana Bertoni (creole variety INIFAP C01) Int. J. Food Prop. 2020;23:199–212. [Google Scholar]
- 60.Weremczuk-Jeżyna I, Skała E, Kuźma Ł, Kiss AK, Grzegorczyk-Karolak I. The effect of purine-type cytokinin on the proliferation and production of phenolic compounds in transformed shoots of Dracocephalum forrestii. J. Biotechnol. 2019;306:125–133. doi: 10.1016/j.jbiotec.2019.09.014. [DOI] [PubMed] [Google Scholar]
Associated Data
This section collects any data citations, data availability statements, or supplementary materials included in this article.
Supplementary Materials
Data Availability Statement
The datasets generated during the current study are available from the corresponding author on reasonable request.



