Abstract
Background
Nearly five billion individuals worldwide are using social media platforms. While the benefits of using social media, such as fostering social connections, are clear, ongoing discussions are focused on whether excessive use of these platforms might have adverse effects on cognitive functioning. Excessive social media use shares similarities with addictive behaviors and is believed to result from a complex interplay of individual characteristics, emotions, thoughts, and actions. Among these contributing factors, one of particular interest is the Fear of Missing Out (FoMO), a state where an individual apprehends that others are experiencing rewarding moments in their absence (but see more information on the FoMO trait/state debate in this article).
Methods
In this study, we aimed to explore the intricate relationships between FoMO, tendencies towards Social Networks Use Disorder (SNUD), and everyday cognitive failures. To achieve this, we gathered a large sample of N = 5314 participants and administered a comprehensive set of questionnaires. These included a Fear of Missing Out (FoMO) scale, which assessed both trait and state aspects of FoMO, the Social Networking Sites-Addiction Test (SNS-AT), designed to gauge tendencies towards SNUD, and the Cognitive Failure Questionnaire (CFQ), which measured everyday cognitive lapses.
Results
Our findings revealed that among non-users of social media, both FoMO and everyday cognitive failures were at their lowest levels. Further, in the group of social media users, we observed a significant relationship between FoMO and cognitive failures, which was mediated by SNUD tendencies. This mediation was particularly pronounced for the state component of FoMO, which encompasses maladaptive thoughts related to online behavior.
Conclusions
While our study is cross-sectional and thus cannot establish causality, one plausible interpretation of our findings is that higher FoMO tendencies may trigger excessive social media use, which in turn could lead to cognitive failures, possibly due to distraction and reduced attention to everyday tasks.
Supplementary Information
The online version contains supplementary material available at 10.1186/s12888-023-05371-x.
Keywords: Social media addiction, Social networks use disorder, Fear of missing out, Cognitive failure
Background
In 2023, it’s estimated that nearly five billion people worldwide will be using social media, underscoring its global significance. Social media platforms hold great appeal for users due to their capacity to facilitate the establishment of social connections and the cultivation of social capital [1]. However, beyond the advantages of social media, there is an ongoing debate surrounding the platforms’ business model that relies on user data as a form of payment and the attention economy. This model has raised concerns about adverse consequences, including the potential for increased time spent online, which may lead to excessive use [2] (sometimes referred to as “social media addiction”), privacy breaches, and the dissemination of misinformation campaigns [3].
The focus of our present study centers on the issue of excessive social media. Within the scientific community, there is an active discourse regarding the precise nature of excessive social media consumption. One aspect under discussion is whether overuse of social media should be classified as an addictive behavior. This debate remains unsettled at this time [4, 5]. In alignment with the nomenclature established in the context of Gaming Disorder, which describes addictive behaviors related to video gaming in the ICD-11 [6], our study employs the term “social networks use disorder” (SNUD) to characterize excessive social media use [7, 8]. Others in the field may currently prefer the term “problematic social media use”, for further discussions around labeling see a work by Elhai, Yang and Levine [9]. It’s important to note that in our study, we prefer the term SNUD tendencies. This said, we conducted our research using a subclinical sample and emphasize that we do not intend to pathologize everyday behavior by employing the term SNUD [10].
In understanding the progression towards SNUD, the I-PACE model proves to be a valuable framework [11]. This model illustrates that Internet Use Disorders, including SNUD, result from the interaction of person, affect, cognition, and execution variables. One crucial variable shedding light on SNUD is the Fear of Missing Out, commonly abbreviated as FoMO [12]. From our view FoMO could be seen as a cognitive, but also affective state wherein an individual fears that others are having rewarding experiences in their absence; but see this work [13]. It is worth noting that FoMO exhibits correlations with traits such as neuroticism and low conscientiousness [14], blurring the line between a trait-like dimension and a state. Hence, depending on the perspective, FoMO could be seen as a trait or state. In this context, Wegmann et al. offer an intriguing perspective: They have developed a modified FoMO scale that provides insights into both trait FoMO and state FoMO [15]. Here, ‘trait’ refers to experiencing FoMO in general, not limited to online environments like social media. Conversely, the items designed to assess state FoMO specifically address the FoMO in online realms, such as constantly being online to avoid missing something. Understanding to what extent trait and state FoMO are differently related to the present variables of interest (SNUD and Cognitive Failure Questionnaire - CFQ; see below) will help other researchers to understand what FoMO variables to best choose in their studies. In our current study, we theoretically position the FoMO trait/state scale within the ‘P-variable’ of the I-PACE model. As mentioned above, the P-variable stands for “person” and comprises among others personality traits.
In addition to assessing FoMO, we also examined individual differences in everyday cognitive failure in the present study [16]. Cognitive failures refer to minor lapses in thought and action, such as forgetting appointments, overlooking information, or accidentally knocking things over [17]. These lapses are a natural consequence of fluctuations in various cognitive domains, including attention, memory, and action control [18]. The susceptibility to cognitive failure derives from a blend of both stable personality factors and situational elements [19]. The latter may encompass conditions such as sleep deprivation, stress, boredom, and information overload [20–23]. Recent research has also indicated that excessive use of social media could potentially instigate cognitive failure [24]. This observation concurs with the hypothesis that the incessant distractions emanating from smartphones and social media platforms might contribute to decreased productivity [25, 26]. Consistent with this, a recent study utilizing a within-study design found that smartphone-checking behavior was correlated with a higher degree of cognitive failure [27]. It’s worth noting that even inverse associations were observed in this study when examining the screen-time measure for social media and other tool applications. This underscores the complexity of the relationships between objective smartphone usage measures and cognitive failure.
Returning to the topic of interruptions resulting from technology use within the context of investigating cognitive failure: Frequent interruptions triggered by incoming push notifications, which can also incite FoMO [28], could likewise contribute to cognitive lapses and reduced productivity. Our anticipation was that higher levels of FoMO, particularly online FoMO (referred to as state FoMO), would correlate with an increased occurrence of cognitive failures. We hypothesized that this relationship would be mediated by tendencies towards SNUD. Put differently, we expected that heightened levels of (state) FoMO might lead to elevated SNUD tendencies, which could, in turn, result in more frequent cognitive failures. This hypothesis is in line with prior research examining the connection between SNUD tendencies and cognitive failure [29]. It’s important to mention that another study also supports the exploration of the link between SNUD and cognitive failure. Hadlington [30] already observed that excessive mobile phone use, which is correlated with SNUD tendencies [31], was positively associated with self-reported cognitive failure. See also another study linking mobile phone addiction to cognitive failures [32].
Methods
We recruited a total of 5,530 participants through an online website, with the primary aim of investigating the relationships between cognitive failures, FoMO, and SNUD tendencies (other research questions from this data set will be investigated in the future; such as on TikTok Use Disorder and personality)1. The study was promoted through a series of media appearances, including print and radio, with a specific emphasis on its investigation of everyday cognitive failures. In the context of this study, participants completed questionnaires designed to assess their levels of FoMO, SNUD tendencies, and everyday cognitive failure. Detailed descriptions of these questionnaires will be provided in the following sections. As a token of appreciation for their participation, participants received insights into their own cognitive failure scores compared to those of other participants. The study was approved by the local ethics committee at Humboldt University in Berlin, Germany.
Data cleaning
From the initial N = 5,530 participants, we excluded a total of n = 25 individuals who identified as a third gender, as their numbers were insufficient for meaningful statistical analysis. Additionally, n = 3 participants were excluded because their questionnaire responses showed no variance. Moreover, n = 11 participants who were under 18 years old (the study only foresaw to include persons of 18 years and older), and n = 4 participants whose reported age fell outside of the defined upper age cutoff (set at 1.5 times the interquartile range over the third quartile of the age distribution) were also excluded from the study. Furthermore, due to the later introduction of the Fear of Missing Out (FoMO) scale, n = 173 participants were excluded because they did not provide FoMO scores. The final sample comprised n = 5314 participants (1801 males, 3513 females; mean-age: 53.43, SD = 14.84, range 18–94 years). The wider age range is attributable to media outlets where interviews were conducted. Please note that the entire study was conducted in the German language. Regrettably, we did not inquire about participants’ proficiency in the German language, and as a result, we were unable to screen out individuals who may have had difficulty comprehending the items in the online survey. However, we would not assume that participants navigated through the study with the sole intent of receiving feedback on their scores without understanding the content.
Questionnaires
Cognitive failure questionnaire
Participants completed the Cognitive Failure Questionnaire (CFQ) first [16]. The CFQ, in its German version, consists of 32 items [33]. Participants rated the frequency with which various cognitive failures occurred to them in the past six months on a scale ranging from 0 (never) to 4 (very often). The questionnaire demonstrated excellent internal consistencies (α = 0.924, ω = 0.926), with higher scores indicating greater cognitive failure tendencies.
FoMO scale
Next, participants filled in Wegmann’s FoMO scale [15], which includes both trait and state facets of Fear of Missing Out (FoMO). This German version of the scale is an adaptation of the original FoMO scale [13]. Wegmann’s FoMO scale comprises twelve items, with five items assessing trait FoMO and seven items examining state FoMO. Participants provided their responses on a five-point Likert scale, ranging from 1 (strongly disagree) to 5 (strongly agree). The internal consistencies for this scale were good (α = 0.788 and ω = 0.810 for trait FoMO; and α = 0.779 and ω = 0.792 for state FoMO), and higher scores indicated greater trait or state FoMO.
Social networking sites-addiction test
Finally, participants completed a modified version of the Bergen Facebook Addiction Scale (BFAS)/Bergen Social Media Addiction Scale (BSMAS) [34, 35] as presented in Montag et al. [36] called Social Networking Sites-Addiction Test (SNS-AT): Unlike the BFAS, this version focuses on general social media overuse (not limited to Facebook, as with the BSMAS further developed from the BFAS [35]) and formulates items in the first person perspective (which is different than the BSMAS). The scale consists of six items, and participants rated them on a five-point Likert scale, ranging from 1 (strongly disagree) to 5 (strongly agree). The internal consistencies for this scale were also excellent (α = 0.864, ω = 0.868), with higher scores indicating greater tendencies toward SNUD.
Additionally, all participants were further asked if they used social media or not.
Statistical analyses
Data cleaning and visualization was performed in MATLAB (v2022b). Statistical analyses were computed with the Jamovi package 2.3.18.0. Participants were categorized into one of three groups based on their social media usage patterns. The first group comprised all participants who indicated that they were active social media users (this means they stated to use social media). The second group consisted of participants who declared that they did not use social media and also exhibited no SNUD tendencies, as evidenced by obtaining the minimum score on the SNS-AT. The third group comprised all participants who stated that they did not use social media but reported SNUD tendencies on the SNS-AT (scores > 6). This peculiar combination of not using social media while still displaying tendencies toward problematic use could imply temporary abstinence or an intentional avoidance of social media due to perceived negative consequences. However, it’s also plausible that individuals in this group provided inconsistent responses for other reasons. Regrettably, we did not include items about past social media usage, making it impossible to verify the status of “ex-users.“ Despite this limitation, we chose to compare this group with the other two for exploratory purposes, but we advise interpreting the results with appropriate caution.
Descriptive statistics for FoMO, SNUD tendencies, and cognitive failure in the three groups are presented in the main text, detailed descriptive statistics for male and female subsamples are given in the supplementary material. The three groups were contrasted by MANOVA with the FoMO, SNS-AT and CFQ as dependent variables and gender and ages as covariates. This was done due to varying age and gender ratios in the three groups (see also supplementary material).
To test our hypothesis regarding the potential mediation of the relationship between FoMO and cognitive failure via SNUD tendencies, we followed a structured approach. Initially, we examined the pairwise relationships between the variables using linear correlation analyses. Subsequently, we employed Jamovi’s advanced mediation model module to construct mediation models. In these models, we designated FoMO as the predictor, SNUD tendencies as the mediating variable, and cognitive failure as the outcome variable. This terminology aligns with mediation model conventions and should not be interpreted as implying causality. We conducted separate mediation models for state and trait FoMO.
Open science and transparency statement
We collected additional measures from the participants for other research questions. The data linked to the present report are available on the Open Science Framework, together with the analysis code for data cleaning (https://osf.io/bd9y4/).
Results
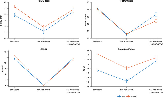
Descriptive statistics are presented in Table 1. The three groups differed in all dependent measures (see Fig. 1; Table 2). Social media users (n = 3618; 1147 males, 2471 females, mean-age: 50,89, SD = 14,81) reported higher state and trait FoMO, more SNUD tendencies on the SNS-AT, and more frequent cognitive failure than non-users of social media who did not report SNUD tendencies (n = 1148; 439 males, 709 females; mean-age: 59,47, SD = 12,75). Non-users of social media who still reported higher SNUD tendencies had also higher scores on all measures compared to the non-user group without SNUD tendencies (n = 548; 215 males, 333 females; mean-age: 57,51, SD = 14,53). The scores in this group resembled the scores of active social media users (see Fig. 1). More detailed descriptive statistics regarding males and females are presented in the Supplementary Table 1.
Table 1.
Descriptive statistics of the investigated groups (1 = social media users; 2 = social media non-users, 3 = social media non-users, but SNS-AT > 6)
| Group | N | Missing | Mean | Median | SD | Minimum | Maximum | |
|---|---|---|---|---|---|---|---|---|
| Age | 1 | 3618 | 0 | 50.89 | 53.00 | 14.808 | 18 | 89 |
| 2 | 1148 | 0 | 59.47 | 61.00 | 12.748 | 20 | 91 | |
| 3 | 548 | 0 | 57.51 | 60.00 | 14.534 | 18 | 94 | |
| Trait FoMO | 1 | 3618 | 0 | 12.92 | 12.00 | 4.132 | 5 | 25 |
| 2 | 1148 | 0 | 11.29 | 11.00 | 3.714 | 5 | 23 | |
| 3 | 548 | 0 | 12.82 | 12.00 | 3.902 | 5 | 25 | |
| State FoMO | 1 | 3618 | 0 | 14.09 | 14.00 | 4.687 | 7 | 33 |
| 2 | 1148 | 0 | 10.57 | 10.00 | 3.368 | 7 | 25 | |
| 3 | 548 | 0 | 12.76 | 12.00 | 4.143 | 7 | 28 | |
| SNS-AT (SNUD) | 1 | 3618 | 0 | 11.12 | 10.00 | 4.535 | 6 | 30 |
| 2 | 1148 | 0 | 6.00 | 6.00 | 0.000 | 6 | 6 | |
| 3 | 548 | 0 | 10.67 | 9.00 | 3.821 | 7 | 30 | |
| CFQ (Cognitive Failure Questionnaire)* | 1 | 3618 | 0 | 1.46 | 1.41 | 0.512 | 0.156 | 3.97 |
| 2 | 1148 | 0 | 1.30 | 1.23 | 0.481 | 0.188 | 3.50 | |
| 3 | 548 | 0 | 1.46 | 1.41 | 0.515 | 0.313 | 3.19 |
FoMO: Fear of Missing Out, SNS-AT: Social Networking Sites-Addiction Test, SNUD: Social Networks Use Disorder; * please note that no sum scores across items were created here
Fig. 1.
Descriptive statistics (means and standard errors) for trait and state FoMO, SNUD tendencies, and cognitive failure in the three study groups. Results are plotted for male and female participants separately, as indicated by different colors of the lines
Table 2.
Univariate Tests following MANCOVA on group differences between active social media users, non-users of social media without SNUD tendencies, and non-users of social media with SNUD-tendencies, controlling for gender and age differences
| Dependent Variable | Sum of Squares | df | Mean Square | F | p | |
|---|---|---|---|---|---|---|
| Group | CFQ | 22.21 | 2 | 11.106 | 46.892 | < 0.001 |
| SNS-AT (SNUD) | 23122.66 | 2 | 11561.332 | 805.725 | < 0.001 | |
| State FoMO | 10908.00 | 2 | 5453.998 | 286.842 | < 0.001 | |
| Trait FoMO | 2366.91 | 2 | 1183.454 | 79.193 | < 0.001 | |
| Gender | CFQ | 28.98 | 1 | 28.984 | 122.382 | < 0.001 |
| SNS-AT (SNUD) | 181.61 | 1 | 181.614 | 12.657 | < 0.001 | |
| State FoMO | 39.45 | 1 | 39.448 | 2.075 | 0.150 | |
| Trait FoMO | 373.40 | 1 | 373.400 | 24.987 | < 0.001 | |
| Group ✻ Gender | CFQ | 1.64 | 2 | 0.818 | 3.455 | 0.032 |
| SNS-AT (SNUD) | 77.79 | 2 | 38.894 | 2.711 | 0.067 | |
| State FoMO | 88.82 | 2 | 44.409 | 2.336 | 0.097 | |
| Trait FoMO | 17.32 | 2 | 8.660 | 0.579 | 0.560 | |
| Age | CFQ | 71.75 | 1 | 71.747 | 302.940 | < 0.001 |
| SNS-AT (SNUD) | 5963.55 | 1 | 5963.554 | 415.608 | < 0.001 | |
| State FoMO | 839.13 | 1 | 839.133 | 44.133 | < 0.001 | |
| Trait FoMO | 6214.92 | 1 | 6214.922 | 415.883 | < 0.001 | |
| Residuals | CFQ | 1256.88 | 5307 | 0.237 | ||
| SNS-AT (SNUD) | 76150.01 | 5307 | 14.349 | |||
| State FoMO | 100906.89 | 5307 | 19.014 | |||
| Trait FoMO | 79307.46 | 5307 | 14.944 |
CFQ: Cognitive Failure Questionnaire; SNS-AT: Social Networking Sites-Addiction Test; SNUD: Social Networks Use Disorder, FoMO: Fear of Missing Out
Focusing only on the group of active social media users (n = 3618), we observed significant intercorrelations between all study variables (see Table 3). Correlation coefficients between the questionnaire measures indicated moderate effect sizes (exception: CFQ and state FoMO was in a small effect size area). Age was inversely related to all questionnaire variables with small to moderate effect sizes.
Table 3.
Linear correlations between FoMO Variables, SNUD tendencies (SNS-AT), cognitive failure (CFQ), and age in the active social media user sample (correlations controlling for age can be found in the supplement; see ST4)
| Trait FoMO | State FoMO | CFQ | SNS-AT | Age | ||
|---|---|---|---|---|---|---|
| Trait FoMO | Pearson’s r | — | ||||
| p-value | — | |||||
| State FoMO | Pearson’s r | 0.375 | — | |||
| p-value | < 0.001 | — | ||||
| CFQ (Cognitive Failure Questionnaire) | Pearson’s r | 0.368 | 0.192 | — | ||
| p-value | < 0.001 | < 0.001 | — | |||
| SNS-AT (SNUD) | Pearson’s r | 0.418 | 0.516 | 0.354 | — | |
| p-value | < 0.001 | < 0.001 | < 0.001 | — | ||
| Age | Pearson’s r | -0.309 | -0.148 | -0.254 | -0.335 | — |
| p-value | < 0.001 | < 0.001 | < 0.001 | < 0.001 | — |
FoMO: Fear of Missing Out; SNS-AT: Social Networking Sites-Addiction Test; SNUD: Social Networks Use Disorder
The subsequent mediation analysis revealed a complete mediation of the relationship between state FoMO and cognitive failure through SNUD tendencies and a partial mediation of the relationship between trait FoMO and cognitive failure through SNUD tendencies (see Fig. 2). Adding age and gender as additional factors to the model did not change these mediations in a meaningful way (see supplementary materials).
Fig. 2.
Mediation models for trait FoMO (left side: A) and state FoMO (right side: B). Effect estimates with standard errors are given for the indirect effect, its two components, the direct effect, and the total effect
Discussion
The primary objective of this study was to explore the intricate relationships between FoMO, SNUD tendencies, and cognitive failures. Our findings bring these associations to the forefront, providing insight into the complex interconnections between these factors. Significantly, this study offers a comprehensive examination, encompassing both trait and state FoMO, SNUD tendencies, and cognitive failures as assessed by the Cognitive Failure Questionnaire (CFQ) within a single investigation.
In the group of active social media users, we identified a network of positive associations among all three variables. As depicted in Table 3 the overall correlations between FoMO, SNUD and CFQ are in the moderate effect size area (with the exception for the FoMO state-CFQ association, which falls in the small effect size area). Therefore, one can assume robust associations between the variables, at least in the active social media user group. These findings align with prior research, which consistently shows robust connections between FoMO and elevated SNUD tendencies [12]. This further underscores the notion that the FoMO on online experiences is closely linked to the inclination toward problematic social media use (or SNUD tendencies). The present study also highlights the importance of differentiating between the trait and state facets of FoMO variables. To elaborate, we found that the trait FoMO variable exhibited a stronger association with CFQ than the state FoMO variable did. Conversely, when examining FoMO and SNUD tendencies, we observed the opposite pattern. Notably, state FoMO (specifically, online FoMO) showed a stronger association with SNUD tendencies than the trait FoMO did. This distinction arises because the trait FoMO items capture a more general sense of FoMO without explicitly referencing the online context in their respective items.
The examination of connections between SNUD tendencies and cognitive failures remains a relatively uncharted area. However, our findings are consistent with emerging evidence. For instance, a study observed associations between performance indices on cognitive tasks, such as the Wisconsin Card Sorting Test, and scores on the Bergen Social Media Addiction Scale (BSMAS) in problematic social media users [37]. Similarly, other studies have linked “dependence on SNS” (p. 121) and more cognitive failures [29] with consistent findings reported in a bit older work dealing with problematic mobile phone use and cognitive failure [30], see also a more recent study [38]. Niu et al. also noted that smartphone presence can adversely affect cognitive functions, with FoMO serving as a moderating variable [39].
To the best of our knowledge, our study stands as one of the first to comprehensively investigate FoMO (including both trait and state scales), SNUD tendencies, and cognitive failure (as assessed by the CFQ) within a single study. Our results corroborate the hypothesized positive associations between FoMO and cognitive failure, with SNUD tendencies emerging as a mediator in this relationship. Specifically, we found that SNUD tendencies fully mediated the relationship between state FoMO and cognitive failure, while the relationship between trait FoMO and cognitive failure exhibited a partial mediation through SNUD tendencies. The slight differences in the mediation models likely can be explained by the different strength of associations as mentioned earlier in the discussion.
While our findings provide valuable insights, several limitations warrant consideration. Firstly, our study’s cross-sectional nature precludes any inference of causality. In principle, it is also imaginable that persons scoring higher on cognitive failure are more prone to experience FoMO and SNUD. Perhaps persons with more cognitive failure also have more problems in self-regulation and develop more easily SNUD tendencies. To establish causal relationships, future experimental research is needed, exploring diverse variables within our mediation model. Secondly, self-report measures inherently carry the potential for biases, including social desirability and a lack of introspection among some participants. Additionally, our non-representative sample limits the generalizability of our findings, although they are broadly consistent with existing literature. Finally, other variables are of interest to be studied in this context of the present research question including personality traits or other sociodemographic variables. This would make an interesting research endeavor.
Conclusions
Despite these limitations, our study underscores the robust associations among FoMO, SNUD tendencies, and cognitive failure. The possibility that excessive social media use may lead to cognitive failures highlights the importance of designing healthier social media platforms. Platforms that focus on user well-being rather than exploiting addictive design elements can contribute to a more sustainable and responsible digital landscape [40, 41]. Such efforts may ultimately require a shift away from data-driven business models, encouraging exploration of alternative payment structures in the world of social media [42].
In conclusions, our study contributes to the growing body of knowledge about the intricate relationships between FoMO, SNUD tendencies, and cognitive failures. It underscores the need for further research and proactive measures to promote healthier and more mindful engagement with social media platforms in our digitally connected world.
Electronic supplementary material
Below is the link to the electronic supplementary material.
Acknowledgements
None.
Authors’ contributions
CM and SM designed the present study, collected the data and analyzed the data. Christian Montag wrote the first complete draft of the paper, which was revised by SM. Both authors read and approved the final manuscript.
Funding
Open Access funding enabled and organized by Projekt DEAL. Sebastian Markett is supported by Open Humboldt Freiräume with funds from the Berlin University Alliance within the Excellence Strategy of the German Federal and State Governments.
Data availability
The data is available via this link at the Open Science Framework: https://osf.io/bd9y4/.
Declarations
Ethics approval and consent to participate
The study was approved by the local ethics committee at Humboldt University in Berlin, Germany and all participants provided informed e-consent.
Consent for publication
Does not apply.
Competing interests
Dr. Montag reports no conflict of interest. However, for reasons of transparency Dr. Montag mentions that he has received (to Ulm University and earlier University of Bonn) grants from agencies such as the German Research Foundation (DFG). Dr. Montag has performed grant reviews for several agencies; has edited journal sections and articles; has given academic lectures in clinical or scientific venues or companies; and has generated books or book chapters for publishers of mental health texts. For some of these activities he received royalties, but never from gaming or social media companies. Dr. Montag mentions that he was part of a discussion circle (Digitalität und Verantwortung: https://about.fb.com/de/news/h/gespraechskreis-digitalitaet-und-verantwortung/) debating ethical questions linked to social media, digitalization and society/democracy at Facebook. In this context, he received no salary for his activities. Finally, he mentions that he currently functions as independent scientist on the scientific advisory board of the Nymphenburg group (Munich, Germany). This activity is financially compensated. Moreover, he is on the scientific advisory board of Applied Cognition (Redwood City, CA, USA), an activity which is also compensated. Dr. Markett reports no conflict of interest.
Footnotes
Of note, only few participants from the present sample stated to use TikTok. Therefore, this data cannot be presented here and the data collection in this regard is ongoing. Please note that the study was not framed to investigate TikTok use and so no bias in data gathering in this regard could have happened.
Publisher’s Note
Springer Nature remains neutral with regard to jurisdictional claims in published maps and institutional affiliations.
References
- 1.Ellison N, Steinfield C, Lampe C. The benefits of Facebook friends: Social Capital and College Students’ Use of Online Social Network sites. J Computer-Mediated Communication. 2007;12:1143–68. doi: 10.1111/j.1083-6101.2007.00367.x. [DOI] [Google Scholar]
- 2.Montag C, Elhai JD. On Social Media Design, (Online-)Time Well-spent and Addictive Behaviors in the Age of Surveillance Capitalism. Curr Addict Rep [Internet]. 2023 [cited 2023 Jun 28]; 10.1007/s40429-023-00494-3.
- 3.Montag C, Hegelich S. Understanding Detrimental Aspects of Social Media Use: Will the Real Culprits Please Stand Up? Frontiers in Sociology [Internet]. 2020 [cited 2023 Jul 10];5. Available from: https://www.frontiersin.org/articles/10.3389/fsoc.2020.599270. [DOI] [PMC free article] [PubMed]
- 4.Brand M, Rumpf H-J, Demetrovics Z, MÜller A, Stark R, King DL et al. Which conditions should be considered as disorders in the International Classification of Diseases (ICD-11) designation of “other specified disorders due to addictive behaviors”? Journal of Behavioral Addictions [Internet]. 2020 [cited 2021 Sep 6];1. Available from: 10.1556/2006.2020.00035. [DOI] [PMC free article] [PubMed]
- 5.Carbonell X, Panova T. A critical consideration of social networking sites’ addiction potential. Addiction Research & Theory [Internet]. 2017 [cited 2020 Aug 24];25:48–57. 10.1080/16066359.2016.1197915.
- 6.Montag C, Schivinski B, Pontes H. Is the proposed distinction of Gaming Disorder into a predominantly online vs. offline form meaningful? Empirical evidence from a large German speaking gamer sample. Addict Behav Rep. 2021;14:100391. doi: 10.1016/j.abrep.2021.100391. [DOI] [PMC free article] [PubMed] [Google Scholar]
- 7.Montag C, Wegmann E, Sariyska R, Demetrovics Z, Brand M. How to overcome taxonomical problems in the study of Internet use disorders and what to do with “smartphone addiction”? Journal of Behavioral Addictions [Internet]. 2021 [cited 2021 Mar 6];9:908–14. Available from: https://akjournals.com/view/journals/2006/9/4/article-p908.xml. [DOI] [PMC free article] [PubMed]
- 8.Rumpf H-J, Batra A, Bischof A, Hoch E, Lindenberg K, Mann K et al. Vereinheitlichung der Bezeichnungen für Verhaltenssüchte. SUCHT [Internet]. 2021 [cited 2021 Nov 22];67:181–5. Available from: https://econtent.hogrefe.com/doi/full/10.1024/0939-5911/a000720.
- 9.Elhai JD, Yang H, Levine JC. Applying fairness in labeling various types of internet use disorders. •: Commentary on How to overcome taxonomical problems in the study of internet use disorders and what to do with “smartphone addiction”? Journal of Behavioral Addictions [Internet]. 2020 [cited 2022 Dec 8];9:924–7. Available from: https://akjournals.com/view/journals/2006/9/4/article-p924.xml. [DOI] [PMC free article] [PubMed]
- 10.Billieux J, Schimmenti A, Khazaal Y, Maurage P, Heeren A. Are we overpathologizing everyday life? A tenable blueprint for behavioral addiction research. Journal of Behavioral Addictions [Internet]. 2015 [cited 2020 Oct 13];4:119–23. Available from: https://akjournals.com/view/journals/2006/4/3/article-p119.xml. [DOI] [PMC free article] [PubMed]
- 11.Brand M, Wegmann E, Stark R, Müller A, Wölfling K, Robbins TW et al. The Interaction of Person-Affect-Cognition-Execution (I-PACE) model for addictive behaviors: Update, generalization to addictive behaviors beyond internet-use disorders, and specification of the process character of addictive behaviors. Neuroscience & Biobehavioral Reviews [Internet]. 2019 [cited 2020 Mar 31];104:1–10. Available from: http://www.sciencedirect.com/science/article/pii/S0149763419303707. [DOI] [PubMed]
- 12.Elhai JD, Yang H, Montag C. Fear of missing out (FOMO): overview, theoretical underpinnings, and literature review on relations with severity of negative affectivity and problematic technology use. Braz J Psychiatry. 2021;43:203–9. doi: 10.1590/1516-4446-2020-0870. [DOI] [PMC free article] [PubMed] [Google Scholar]
- 13.Przybylski AK, Murayama K, DeHaan CR, Gladwell V. Motivational, emotional, and behavioral correlates of fear of missing out. Computers in Human Behavior [Internet]. 2013 [cited 2021 Dec 21];29:1841–8. Available from: https://www.sciencedirect.com/science/article/pii/S0747563213000800.
- 14.Rozgonjuk D, Sindermann C, Elhai JD, Montag C. Individual differences in Fear of Missing Out (FoMO): Age, gender, and the Big Five personality trait domains, facets, and items. Personality and Individual Differences [Internet]. 2021 [cited 2021 Nov 22];171:110546. Available from: https://www.sciencedirect.com/science/article/pii/S0191886920307376.
- 15.Wegmann E, Oberst U, Stodt B, Brand M. Online-specific fear of missing out and Internet-use expectancies contribute to symptoms of Internet-communication disorder. Addictive Behaviors Reports [Internet]. 2017 [cited 2021 Aug 19];5:33–42. Available from: https://www.sciencedirect.com/science/article/pii/S235285321730007X. [DOI] [PMC free article] [PubMed]
- 16.Broadbent DE, Cooper PF, FitzGerald P, Parkes KR. The cognitive failures questionnaire (CFQ) and its correlates. Br J Clin Psychol. 1982;21:1–16. doi: 10.1111/j.2044-8260.1982.tb01421.x. [DOI] [PubMed] [Google Scholar]
- 17.Wagle AC, Berrios GE, Ho L. The cognitive failures questionnaire in psychiatry. Comprehensive Psychiatry [Internet]. 1999 [cited 2023 Oct 11];40:478–84. Available from: https://www.sciencedirect.com/science/article/pii/S0010440X99900937. [DOI] [PubMed]
- 18.Carrigan N, Barkus E. A systematic review of cognitive failures in daily life: healthy populations. Neurosci Biobehavioral Reviews. 2016;63:29–42. doi: 10.1016/j.neubiorev.2016.01.010. [DOI] [PubMed] [Google Scholar]
- 19.Markett S, Reuter M, Sindermann C, Montag C. Cognitive failure susceptibility and personality: Self-directedness predicts everyday cognitive failure. Personality and Individual Differences [Internet]. 2020 [cited 2023 Aug 10];159:109916. Available from: https://www.sciencedirect.com/science/article/pii/S0191886920301057.
- 20.Willert MV, Thulstrup AM, Hertz J, Bonde JP. Sleep and cognitive failures improved by a three-month stress management intervention. Int J Stress Manage. 2010;17:193–213. doi: 10.1037/a0019612. [DOI] [Google Scholar]
- 21.Wallace C, Kass S, Stanny C. The cognitive failures Questionnaire Revisited: dimensions and correlates. J Gen Psychol. 2002;129:238–56. doi: 10.1080/00221300209602098. [DOI] [PubMed] [Google Scholar]
- 22.Wallace JC, Vodanovich SJ, Restino BM. Predicting cognitive failures from boredom proneness and daytime sleepiness scores: an investigation within military and undergraduate samples. Pers Indiv Differ. 2003;34:635–44. doi: 10.1016/S0191-8869(02)00050-8. [DOI] [Google Scholar]
- 23.Whelan E, Islam N, Brooks S. Cognitive control and social media overload. Proc Am Conf Info Syst. 2017;12. https://aisel.aisnet.org/amcis2017/SocialComputing/Presentations/12.
- 24.Sharifian N, Zahodne LB. Daily associations between social media use and memory failures: the mediating role of negative affect. J Gen Psychol. 2021;148:67–83. doi: 10.1080/00221309.2020.1743228. [DOI] [PMC free article] [PubMed] [Google Scholar]
- 25.Duke É, Montag C. Smartphone addiction, daily interruptions and self-reported productivity. Addictive Behaviors Reports [Internet]. 2017 [cited 2020 Mar 31];6:90–5. Available from: http://www.sciencedirect.com/science/article/pii/S2352853217300159. [DOI] [PMC free article] [PubMed]
- 26.Rozgonjuk D, Sindermann C, Elhai JD, Montag C. Fear of Missing Out (FoMO) and social media’s impact on daily-life and productivity at work: Do WhatsApp, Facebook, Instagram, and Snapchat Use Disorders mediate that association. Addict Behav [Internet]. 2020 [cited 2021 Nov 22];110:106487. 10.1016/j.addbeh.2020.106487. [DOI] [PubMed]
- 27.Hartanto A, Lee KYX, Chua YJ, Quek FYX, Majeed NM. Smartphone use and daily cognitive failures: A critical examination using a daily diary approach with objective smartphone measures. British Journal of Psychology [Internet]. 2023 [cited 2023 Oct 11];114:70–85. Available from: https://onlinelibrary.wiley.com/doi/abs/10.1111/bjop.12597. [DOI] [PubMed]
- 28.Alutaybi A, Arden-Close E, McAlaney J, Stefanidis A, Phalp K, Ali R. How Can Social Networks Design Trigger Fear of Missing Out? 2019 IEEE International Conference on Systems, Man and Cybernetics (SMC). 2019;3758–65. 10.1109/SMC.2019.8914672.
- 29.Xanidis N, Brignell CM. The association between the use of social network sites, sleep quality and cognitive function during the day. Computers in Human Behavior [Internet]. 2016 [cited 2023 Aug 10];55:121–6. Available from: https://www.sciencedirect.com/science/article/pii/S0747563215301357.
- 30.Hadlington LJ. Cognitive failures in daily life: Exploring the link with Internet addiction and problematic mobile phone use. Computers in Human Behavior [Internet]. 2015 [cited 2023 Aug 10];51:75–81. Available from: https://www.sciencedirect.com/science/article/pii/S0747563215003313.
- 31.Rozgonjuk D, Sindermann C, Elhai JD, Christensen AP, Montag C. Associations between symptoms of problematic smartphone, Facebook, WhatsApp, and Instagram use: An item-level exploratory graph analysis perspective. Journal of Behavioral Addictions [Internet]. 2020 [cited 2021 Jan 24];9:686–97. Available from: https://akjournals.com/view/journals/2006/9/3/article-p686.xml. [DOI] [PMC free article] [PubMed]
- 32.Hong W, Liu R-D, Ding Y, Sheng X, Zhen R. Mobile phone addiction and cognitive failures in daily life: The mediating roles of sleep duration and quality and the moderating role of trait self-regulation. Addictive Behaviors [Internet]. 2020 [cited 2023 Aug 10];107:106383. Available from: https://www.sciencedirect.com/science/article/pii/S0306460319311839. [DOI] [PubMed]
- 33.Klumb PL. Cognitive failures and performance differences: validation studies of a German version of the cognitive failures questionnaire. Ergonomics. 1995;38:1456–67. doi: 10.1080/00140139508925202. [DOI] [PubMed] [Google Scholar]
- 34.Andreassen CS, Torsheim T, Brunborg GS, Pallesen S. Development of a Facebook Addiction Scale. Psychol Rep [Internet]. 2012 [cited 2023 May 13];110:501–17. Available from: http://journals.sagepub.com/doi/10.2466/02.09.18.PR0.110.2.501-517. [DOI] [PubMed]
- 35.Andreassen CS, Billieux J, Griffiths MD, Kuss DJ, Demetrovics Z, Mazzoni E, et al. The relationship between addictive use of social media and video games and symptoms of psychiatric disorders: a large-scale cross-sectional study. Psychol Addict Behav. 2016;30:252–62. doi: 10.1037/adb0000160. [DOI] [PubMed] [Google Scholar]
- 36.Montag C, Müller M, Pontes HM, Elhai JD. On fear of missing out, social networks use disorder tendencies and meaning in life. BMC Psychology [Internet]. 2023 [cited 2023 Oct 27];11:358. 10.1186/s40359-023-01342-9. [DOI] [PMC free article] [PubMed]
- 37.Aydın O, Obuća F, Boz C, Ünal-Aydın P. Associations between executive functions and problematic social networking sites use. Journal of Clinical and Experimental Neuropsychology [Internet]. 2020 [cited 2023 Aug 10];42:634–45. 10.1080/13803395.2020.1798358. [DOI] [PubMed]
- 38.Zhang B, Peng Y, Luo X, Mao H, Luo Y, Hu R et al. Mobile phone addiction and cognitive failures in Chinese adolescents: The role of rumination and mindfulness. Journal of Psychology in Africa [Internet]. 2021 [cited 2023 Aug 10];31:49–55. 10.1080/14330237.2020.1871239.
- 39.Niu G, Shi X, Zhang Z, Yang W, Jin S, Sun X. Can smartphone presence affect cognitive function? The moderating role of fear of missing out. Computers in Human Behavior [Internet]. 2022 [cited 2023 Aug 10];136:107399. Available from: https://www.sciencedirect.com/science/article/pii/S0747563222002217.
- 40.Flayelle M, Brevers D, King DL, Maurage P, Perales JC, Billieux J. A taxonomy of technology design features that promote potentially addictive online behaviours. Nat Rev Psychol [Internet]. 2023 [cited 2023 Mar 7];2:136–50. Available from: https://www.nature.com/articles/s44159-023-00153-4.
- 41.Montag C, Lachmann B, Herrlich M, Zweig K. Addictive Features of Social Media/Messenger Platforms and Freemium Games against the Background of Psychological and Economic Theories. International Journal of Environmental Research and Public Health [Internet]. 2019 [cited 2020 Mar 31];16:2612. Available from: 10.3390/ijerph16142612. [DOI] [PMC free article] [PubMed]
- 42.Dhawan S, Hegelich S, Sindermann C, Montag C. Re-start social media, but how? Telematics and Informatics Reports [Internet]. 2022 [cited 2023 Jul 10];8:100017. Available from: https://www.sciencedirect.com/science/article/pii/S2772503022000159.
Associated Data
This section collects any data citations, data availability statements, or supplementary materials included in this article.
Supplementary Materials
Data Availability Statement
The data is available via this link at the Open Science Framework: https://osf.io/bd9y4/.


