Abstract
Background:
We sought to systematically review the existing research on pyogenic liver abscesses to determine what data exist on antibiotic treatment durations.
Methods:
We conducted a systematic review and meta-analysis of contemporary medical literature from 2000 to 2020, searching for studies of pyogenic liver abscesses. The primary outcome of interest was mean antibiotic treatment duration, which we pooled by random-effects meta-analysis. Meta-regression was performed to examine characteristics influencing antibiotic durations.
Results:
Sixteen studies (of 3,933 patients) provided sufficient data on antibiotic durations for pooling in meta-analysis. Mean antibiotic durations were highly variable across studies, from 8.4 (SD 5.3) to 68.9 (SD 30.3) days. The pooled mean treatment duration was 32.7 days (95% CI 24.9 to 40.6), but heterogeneity was very high (I2 = 100%). In meta-regression, there was a non-significant trend towards decreased mean antibiotic treatment durations over later study years (−1.14 days/study year [95% CI −2.74 to 0.45], p = 0.16). Mean treatment duration was not associated with mean age of participants, percentage of infections caused by Klebsiella spp, percentage of patients with abscesses over 5 cm in diameter, percentage of patients with multiple abscesses, and percentage of patients receiving medical management. No randomized trials have compared treatment durations for pyogenic liver abscess, and no observational studies have reported outcomes according to treatment duration.
Conclusions:
Among studies reporting on antibiotic durations for pyogenic liver abscess, treatment practices are highly variable. This variability does not seem to be explained by differences in patient, pathogen, abscess, or management characteristics. Future RCTs are needed to guide optimal treatment duration for patients with this complex infection.
Keywords: antibiotic duration, hepatic abscess, liver abscess, treatment duration
Abstract
Historique :
Les chercheurs ont procédé à l’analyse systématique des recherches sur les abcès hépatiques pyogènes afin de découvrir les données sur la durée de l’antibiothérapie.
Méthodologie :
Les chercheurs ont réalisé une analyse systématique et une méta-analyse des publications médicales parues entre 2000 et 2020 pour en extraire les études sur les abcès hépatiques pyogènes. Le résultat primaire était la durée moyenne de l’antibiothérapie, qu’ils ont regroupée par méta-analyse à effets aléatoires. Ils ont procédé à une méta-régression pour examiner les caractéristiques qui influent sur la durée de l’antibiothérapie.
Résultats :
Seize études (auprès de 3 933 patients) contenaient assez de données sur la durée de l’antibiothérapie pour être regroupées dans la méta-analyse. La durée moyenne de l’antibiothérapie était très variable d’une étude à l’autre, de 8,4±5,3 à 68,9±30,3 jours. La durée moyenne du traitement regroupé était de 32,7 jours (IC à 95 %, 24,9 à 40,6 jours), mais l’hétérogénéité était très élevée (I2 = 100 %). La méta-régression a révélé une tendance non significative vers une durée moins longue de l’antibiothérapie moyenne pendant les dernières années de l’étude (−1,14 jour par année d’étude, IC à 95 %, −2,74+0,45, p = 0,16). La durée moyenne du traitement n’était pas associée à l’âge moyen des participants, au pourcentage d’infections causées par les espèces de Klebsiella, au pourcentage de patients ayant un abcès de plus de cinq centimètres de diamètre, au pourcentage de patients ayant de multiples abcès et au pourcentage de patients recevant une prise en charge médicale. Aucune étude randomisée n’avait comparé la durée du traitement de l’abcès hépatique pyogène, et aucune étude observationnelle n’avait rendu compte des résultats cliniques en fonction de la durée du traitement.
Conclusions :
Dans les études sur la durée de l’antibiothérapie des abcès hépatiques pyogènes, les pratiques thérapeutiques sont très variables. Cette variabilité ne semble pas s’expliquer par les différences entre les patients, les agents pathogènes, les abcès ou les caractéristiques de prise en charge. Des études randomisées et contrôlées devront être réalisées pour obtenir des indications quant à la durée optimale du traitement chez les patients atteints de cette infection complexe.
Mots-Clés : abcès du foie, abcès hépatique, durée des antibiotiques, durée du traitement
Introduction
Pyogenic liver abscesses are suppurating infections of the hepatic parenchyma (1), which develop most commonly as complications of adjacent biliary tract infection, but can also be seeded through the portal circulation from intestinal sources, the systemic circulation through remote sources, or via penetrating trauma and surgery. The condition is rare in Canada, occurring in only 2–3/100,000 people per year (2), but is associated with substantial morbidity and a 1.3%–14.9% mortality rate (3–6). Treatment of pyogenic liver abscess usually requires a combination of drainage and antimicrobial therapy, and recurrences are common, especially among those with underlying biliary tract disease (7).
There has been an emerging evidence base to guide optimal antibiotic treatment durations for most serious bacterial infection syndromes (8,9). For example, randomized controlled trials (RCTs) have suggested that shortened treatment durations (<7 days) are as effective as longer treatment durations for pneumonia (10,11), urinary tract infection (12), skin and soft tissue infection (13), and uncomplicated intra-abdominal infections (14). However, no RCTs have examined antibiotic treatment durations for patients with abscesses in general, or pyogenic liver abscesses in particular. Abscess drainage is paramount, and some trials have been conducted to compare different drainage techniques (15), but there are no trials to guide antibiotic treatment duration following drainage, nor are there trials to inform treatment of patients for whom abscess drainage is not performed. Antibiotic duration RCTs in this field could be challenging given heterogeneity in liver abscess etiology, pathogenesis, size, and feasibility of drainage.
In the absence of clinical trial data, we sought to systematically review the existing observational research on pyogenic liver abscess treatment and outcomes, to glean what data exist on antibiotic treatment durations. We hypothesized that there would be extensive practice heterogeneity, with widely varying treatment durations across studies, and that this variability would not be fully explained by differences in patient, abscess, and surgical treatment characteristics.
Methods
General study design
We conducted a systematic review of the medical literature, searching for prior reports of antibiotic treatment durations provided for patients with pyogenic liver abscesses. Using meta-analysis techniques we examined the pooled average antibiotic treatment durations for this condition, as well as the extent and drivers of heterogeneity in treatment durations across studies. The systematic review was registered with PROSPERO (CRD42020199970).
Search strategy
We searched Ovid Medline, Scopus, and PubMed databases on July 22, 2020 to retrieve randomized controlled trials (RCTs) in any language from 2000 to 2020, in order to ensure contemporary results. Search terms included liver abscess OR pyogenic liver abscess, AND antibiotics OR antimicrobials. A full list of MeSH terms is available in supplementary material. Citation titles and abstracts were independently screened by four reviewers (ND, MB, CM, JC), and full text was retrieved for potentially eligible RCTs.
Eligibility criteria
We included observational, randomized, or non-randomized studies that reported information on antibiotic treatment duration for bacterial/pyogenic liver abscess in humans, and were published within years 2000–2020. Studies were excluded if they contained less than 20 participants, lacked treatment duration data, reported animal data, or included amoebic or other non-bacterial abscesses.
Study selection and data collection
Study selection was completed through an online systematic review Software (Covidence, Melbourne, Australia) where search results and selection criteria were inputted manually. Four review authors (ND, CM, JC, MB) independently screened study abstracts, with repeat screening completed for a subset of citations. The same review authors then completed full text review of included abstracts based on the eligibility criteria. Two review authors (JC, CM) independently extracted treatment outcomes as well as patient and infection characteristics. Data were collected within an Excel spreadsheet, and all data collection was rechecked independently by the second reviewer. All data collection interpretation discrepancies were discussed between two reviewers, with a third reviewer available for resolution when required (ND).
Study characteristics
Study design, sample size, author, publication year, country, health care setting, and single or multi-site methodology were extracted.
Primary outcome
The primary outcome of interest was the mean antibiotic treatment duration provided for patients with pyogenic liver abscesses.
Secondary outcomes
As a secondary outcome we examined the mean antibiotic treatment duration for subgroups of patients with pyogenic liver abscess, with a plan to extract these data for any subgroup stratified based on any patient, pathogen, abscess or management characteristics. We also sought information on patient clinical outcomes (cure, mortality) according to prescribed treatment duration.
Patient, infection, and treatment characteristics
Patient mean or median age and sex were extracted in addition to comorbid conditions including diabetes mellitus, malignancy, cardiac disease, renal impairment, hepato-biliary disease, transplant, surgical, and alcohol use or smoking history.
A broad array of liver abscess infection characteristics were also extracted, including the number of patients with concurrent bacteremia, single or multiple abscesses, mean abscess size in centimeters, and organisms isolated from both abscess fluid and blood cultures.
Treatment characteristics including surgical and antibiotic management were collected in detail. The number of patients treated with antibiotics alone was extracted, and if reported, the number of patients who received intervention were categorized as image guided aspiration, percutaneous image guided drainage, surgical drainage or drainage without specification. In addition to primary antibiotic duration outcomes, mean durations of intravenous and oral therapy were extracted if reported.
Quality assessment
We appraised the quality of all non-randomized studies using the Newcastle-Ottawa Scale (17), which assigns a possible four points for patient selection, two points for comparability, and three points for outcome assessment.
Statistical analysis
Mean antibiotic treatment duration was presented as a weighted mean average and expressed with 95% confidence intervals. When the mean duration was not available, we used established techniques for estimating the mean and standard deviation from available statistics including the sample size, median, range, or interquartile range (16). A random-effects inverse variance model with restricted maximum likelihood estimator for between-study variance, τ2, was used for each analysis. Statistical heterogeneity was measured using the I2 statistic. Potential covariates influencing antibiotic treatment duration were explored by meta-regression. Covariates included publication year, participants receiving antibiotics as sole treatment strategy, percentage of abscesses with Klebsiella species as the causative pathogen, abscess size <5 cm, mean age of study participants and presence of multiple abscesses. Statistical analyses were performed with R software version 4.0.3 (using package meta and metaphor).
Results
Study characteristics
Our search yielded 1,230 individual studies for screening after duplicates were removed. After screening titles and abstracts, 49 studies were considered relevant for full text assessment. Of these, 24 non-randomized studies with 5,705 patients evaluating treatment duration for pyogenic liver abscess were included in the systematic review (1,18–20,4,21–29,6,30–32,3,33,5,34–36). Eight studies lacked sufficient overall antibiotic treatment duration data for pooling, and therefore 16 studies with 3933 patients were included for meta-analysis (Figure 1) (1,3–5,18–26,32,33,35).
Figure 1:
Prisma flow diagram of included observational, randomized or non-randomized studies that reported information on antibiotic treatment duration for bacterial/pyogenic liver abscess in humans
Characteristics of the 24 studies are presented in Table 1. The majority of studies were retrospective in design (23, 95.8%) and conducted in acute care settings (18, 75%). Of the studies that reported mean age, the average age of participants was 54.8, and the majority of patients (3,445, 60.4%) were male. Four studies evaluated impact of age on treatment outcome, and another four studies compared the effect of surgical drainage on treatment outcome.
Table 1:
Characteristics of included studies
| Author | Year | Study country | Study design | Sites | Size | Setting | Subgroup α | Subgroup β | Age | Abscess size, cm | Sex (no. female) | Comorbidities, no. (%) | |||
|---|---|---|---|---|---|---|---|---|---|---|---|---|---|---|---|
| Chan*(18) | 2013 | Singapore | Prospective | Multi | 109 | Community | No abscess drainage | Abscess drainage | 57 | 71 (65) | 37 | 49 (45.0) | 13 (11.9) | ||
| Chen* (19) | 2009 | Taiwan | Retrospective | Single | 298 | Acute care | Survivors | Non-survivors | 57.4 | 180 (100) | 0 | 125 (41.9) | 27 (9.06) | 150 (50.3) | |
| Chen* (20) | 2011 | Taiwan | Retrospective | Multi | 85 | Acute care | Survivors | Non-survivors | 65.5 | 63 (74) | 41 | 34 (40.0) | 85 (100) | 45 (52.9) | |
| Chen* (4) | 2009 | Taiwan | Retrospective | Single | 339 | Community | >65 years age (elderly) | <65 years age (non-elderly) | 128 | 0 | 41 (12.1) | 101 (29.8) | |||
| Chen* (21) | 2005 | Taiwan | Retrospective | Multi | 72 | Acute care | 66 | 37 (51) | 31 | 22 (30.6) | 22 (30.6) | 9 (12.5) | |||
| Chen* (22) | 2005 | Taiwan | Retrospective | Single | 86 | Acute care | Biliary tract etiology | Cryptogenic etiology | 53 (62) | 33 | 38 (44.2) | 7 (8.14) | 31 (36.0) | ||
| Gao* (23) | 2010 | China | Retrospective | Single | 46 | Acute care | Endpoint of normalized CRP levels | Endpoint of normalized temperature | 7.2/8.0 | 14 | 10 (21.8) | 9 (19.6) | |||
| Giangiuli* (24) | 2019 | United States | Retrospective | Single | 99 | Mixed | Oral therapy post-discharge | IV therapy post-discharge | 33 | 31 (31.3) | 7 (7.07) | ||||
| Jia* (25) | 2018 | India | Retrospective | Multi | 23 | Community | No abscess drainage | Percutaneous abscess drainage | 52.1 | 2 | 0 | 23 (100) | |||
| Kim* (26) | 2015 | Korea | Retrospective | Multi | 731 | Acute care | Anti-anaerobic agent discontinued | Anti-anaerobic agent continued | 262 | 211 (28.9) | 28 (3.83) | 13 (1.78) | |||
| Law (27) | 2013 | China | Retrospective | Single | 161 | Mixed | Streptoccocus milleri | Klebsiella spp | 7.4/6.5 | 72 | 52 (32.3) | 7 (4.35) | |||
| Law (28) | 2011 | China | Retrospective | Single | 319 | Acute care | Recurrent cholangitis | Non-recurrent cholangitis | 64.9 | 6.3 | 138 | 90 (28.2) | 40 (12.5) | 200 (62.7) | |
| Law (29) | 2013 | China | Retrospective | Single | 319 | Mixed | Elderly | Non-elderly | 138 | 90 (28.2) | 40 (12.5) | ||||
| Lo (6) | 2015 | Singapore | Retrospective | Single | 741 | Acute care | Antibiotics alone | Percutaneous drainage | 62† | 449 | 265 (35.8) | ||||
| Ng (30) | 2002 | China | Retrospective | Multi | 112 | Acute care | Intravenous only | Intravenous then oral | 6.1/6.2 | 46 | 46 (41.1) | 3 (2.68) | 35 (31.3) | ||
| Pastagia (31) | 2008 | United States | Retrospective | Single | 20 | Acute care | 56.4 | 6 | 5 (25.0) | 5 (25.0) | |||||
| Ren* (32) | 2020 | China | Retrospective | Single | 100 | Acute care | ESBL Klebsiella spp | Non-ESBL Klebsiella spp | 8.2/7.9 | 43 | 55 (55.0) | 13 (13.0) | 34 (34.0) | ||
| Serraino* (1) | 2018 | Italy | Retrospective | Single | 109 | Acute care | 65.4 | 47 | 25 (23.0) | ||||||
| Shi* (3) | 2017 | China | Retrospective | Single | 817 | Acute care | ESBL Enterobacteriacae | Non-ESBL Enterobacteriacae | 280 | 112 (13.7) | 32 (3.92) | ||||
| Tan* (33) | 2013 | Singapore | Retrospective | Single | 85 | Acute care | Percutaneous drainage | Laparoscopic drainage | 7.6/7.6 | 34 | 47 (55.3) | ||||
| Wi* (5) | 2015 | Korea | Retrospective | Single | 602 | Acute care | >65 years age (elderly) | <65 years age (non-elderly) | 5.7/5.9 | 244 | 146 (24.3) | 68 (11.3) | 235 (39.0) | ||
| Wong (34) | 2002 | China | Retrospective | Single | 80 | Acute care | 63.4 | 6.2 | 30 | 33 (41.3) | 5 (6.25) | ||||
| Zhang* (35) | 2019 | China | Retrospective | Single | 332 | Acute care | <65 years of age (elderly) | >65 years of age (non-elderly) | 57 | 6.6 | 145 | 106 (31.9) | 40 (12.0) | 160 (48.2) | |
| Zibari (36) | 2000 | United States | Retrospective | Single | 20 | Acute care | 52 | 7 | 0 | ||||||
Included in meta-analysis
Median
CRP = C-reactive protein; ESBL = Extended-spectrum beta-lactamases
Study quality
All 24 studies were observational, of which 13 (54.2%) were assigned an overall Newcastle-Ottawa rating of fair quality. Nine studies (37.4%) were assigned a rating of poor quality, and only two studies were deemed good quality. The mean quality rating of the studies was 4.17 (SD 1.46). (Supplementary Table 1)
Infection characteristics
The most commonly reported pathophysiology of liver abscess was cryptogenic origin (1427/3190, 44.7%), and 780 patients (12.3%) had multiple abscesses (Table 2). Abscess size was evaluated heterogeneously, with the greatest reported mean size of 8.01 (SD 2.63) cm (23); four studies reported abscess size dichotomized as greater than or less than 5 cm. Thirteen studies reported a total of 1,393 patients with concurrent bacteremia, although only 9 studies (1,183 patients) provided blood culture results. In contrast, 23 studies (with 5,083 patients) documented abscess fluid culture results (Table 3). The most commonly isolated organism in both blood (666, 58.5%) and fluid (2,758, 54.2%) cultures was Klebsiella spp.
Table 2:
Infection characteristics among included studies and patients
| No. (%) of studies; n = 24 | No. (%) of patients; n = 5705 | Study citations | |
|---|---|---|---|
| Patients with multiple abscesses | 13 (54) | 780 (13.7) | (3,5,6,18–22,30–35) |
| Abscess etiology | 16 (66.7) | 3,190/5,705 (55.9) | (1,3,4,6,19–22,25–30,34–36) |
| Hematogenous | 6 (37.5) | 48/3190 (1.5) | (1,27–29,34,35) |
| Biliary tract | 15 (62.5) | 1,328/3190 (41.6) | (1,3,4,6,19–22,27–30,34,35) |
| Portal vein | 5 (31.3) | 63/3190 (2.0) | (27–29,35,36) |
| Contiguous/Trauma | 3 (18.8) | 117/3190 (3.7) | (6,21,35) |
| Cryptogenic | 13 (54.2) | 1,427/3190 (44.7) | (1,3,4,6,19–22,27–29,35,36) |
| Diabetes | 1 (6.3) | 8/3190 (0.25) | (1) |
| Post surgical | 4 (25) | 49/3190 (1.5) | (21,25,34,36) |
| Unknown | 4 (25) | 150/3190 (4.7) | (20,21,27,29) |
| Concurrent bacteremia | 13 (54.2) | 1393/3649 (38.2) | (3–6,18,21,22,27,30,31,34–36) |
| Treated with antibiotics alone | 20 (83.3) | 827/5705 (14.5) | (1,3–6,18–29,34,35) |
| Surgical intervention | 22 (91.7) | 4366/5705 (76.5) | (1,3–6,18–30,33–36) |
| Image guided aspiration | 13 (54.2) | 1484/4366 (34.0) | (6,19–22,25–30) |
| Percutaneous image guided drainage | 15 (62.5) | 2055/4366 (47.1) | (1,4,5,20–27,29,33–35) |
| Surgical drainage | 17 (70.8) | 187/4366 (4.3) | (1,3–5,18–22,25–29,33,35,36) |
| Unspecified drainage | 4 (16.7) | 569/4366 (13.0) | (3,18,30,36) |
| Endoscopic retrograde cholangiopancreatography | 2 (8.3) | 71/4366 (1.6) | (1,34) |
Table 3:
Organisms isolated from abscess fluid and blood cultures
| Organism isolated | Fluid culture, no. of studies; n = 23 | Fluid culture, no. of patients; n = 5,083 | Blood culture, no. of studies; n = 9 | Blood culture, no. of patients; n = 1,138 |
|---|---|---|---|---|
| Klebsiella spp | 15 | 2,758 (54.2) | 9 | 666 (58.52) |
| Escherichia coli | 22 | 594 (11.7) | 8 | 143 (12.57) |
| Proteus spp | 4 | 20 (0.39) | 3 | 5 (0.44) |
| Enterobacter spp | 5 | 12 (0.24) | 2 | 3 (0.26) |
| Citrobacter spp | 4 | 15 (0.3) | 1 | 1 (0.09) |
| Pseudomonas spp | 5 | 20 (0.39) | 3 | 10 (0.88) |
| Other gram-negative aerobic organisms | 5 | 45 (0.89) | 4 | 22 (1.93) |
| Staphylococcus spp (not classified) | 3 | 8 (0.16) | 3 | 16 (1.41) |
| Staphylococcus aureus | 2 | 6 (0.12) | 2 | 15 (1.32) |
| Streptococcus spp (not classified) | 8 | 99 (1.95) | 5 | 20 (1.76) |
| Streptococcus milleri | 4 | 57 (1.12) | 2 | 11 (0.97) |
| Streptococcus anginosus | 1 | 21 (0.41) | 0 | 0 |
| Enterococcus spp | 10 | 63 (1.24) | 6 | 22 (1.93) |
| Other gram-positive aerobic organisms | 3 | 8 (0.16) | 2 | 2 (0.18) |
| Anaerobic organisms | 11 | 177 (3.48) | 7 | 72 (6.33) |
| Polymicrobial | 13 | 552 (10.86) | 2 | 12 (1.0) |
| Other (not specified) | 6 | 83 (1.63) | 2 | 7 (0.62) |
| Culture negative or unknown | 6 | 545 (10.72) | 1 | 111 (9.75) |
Eight hundred twenty seven patients (14.5%) were treated with antibiotics alone, and 4,366 (76.5%) patients underwent intervention to obtain source control. Percutaneous image guided drainage was the most frequently reported intervention (2,055 patients in 15 studies) (Table 2).
Antibiotic treatment duration for liver abscesses
Sixteen studies included sufficient data on antibiotic treatment durations for pooling in meta-analysis (Figure 2). Antibiotic durations ranged from as low as 8.4 (SD 5.3) days to as high as 68.9 (SD 30.3) days across studies (18,35). Across included studies the pooled mean treatment duration was 32.7 days (95% CI 24.9 to 40.6). However, heterogeneity was very high (I2 = 100%).
Figure 2:
Meta-analysis of average antibiotic treatment durations for pyogenic liver abscess
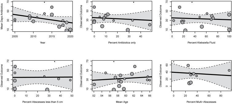
Study-level predictors of mean antibiotic treatment durations
We used meta-regression to assess for study-level factors associated with differences in mean antibiotic treatment durations (Figure 3). There was a trend towards decreased mean antibiotic treatment durations over later study years but this was not statistically significant (−1.14 days/study year [95% CI −2.74 to 0.45], p = 0.160). The proportion of study patients treated solely with medical management was not associated with mean antibiotic treatment duration (−0.12 days [95% CI −0.71 to 0.47], p = 0.689). For example, in three studies which included only patients with drained abscesses, mean durations were still prolonged at 27.9, 25.7, and 58.4 days (5,23,24). Similarly, mean antibiotic treatment duration was not associated with mean age of study participants, percentage of infections caused by Klebsiella spp, percentage of patients with large abscesses over 5 cm in diameter, and percentage of patients with multiple abscesses (Figure 3).
Figure 3:
Meta-regression examining study characteristics potentially associated with differences in mean antibiotic treatment durations for liver abscess
The meta-regression did not detect a statistically significant association between mean antibiotic treatment durations and any of the study characteristics including year of publication, percentage of patients treated with antibiotic alone, percentage with Klebsiella infections, percentage with large abscesses, mean patient age, or percentage with multiple abscesses
Studies focusing on particular subgroups
Three studies compared the impact of antibiotics alone to abscess drainage, and only two of those studies reported overall treatment duration data to be included in meta-analysis (6,18,25). In both of these studies, the mean treatment duration was longer in the subgroup that underwent abscess drainage (10.8 [SD 4.5] d versus 28.1 [SD 9.5] d and 63 [SD 29] d versus 72 [SD 31] d) (18,25). Abscess size was documented in one of these studies (18), in which the majority of patients treated with antibiotics alone had an abscess less than 5 cm (26/37, 70.3%).
Three studies compared total treatment durations between patients over and under 65 years, none of which found a statistically significant difference in duration between age groups (4,5,35). Two studies compared treatment durations in liver abscesses caused by extended spectrum beta lactamase (ESBL) producing Enterobactereciae versus non-ESBL Enterobactereciae abscesses (3,32). Both studies reported longer treatment durations in the ESBL organism group (mean 16.4 and 21.9 d, respectively) as compared to the non-ESBL organism group (9.25 and 15.8 d, respectively).
Antibiotic treatment duration and clinical outcomes
Among the 24 included studies which reported information on antibiotic treatment duration for pyogenic liver abscesses, none reported patient outcomes separated by prescribed treatment durations.
Discussion
We conducted a systematic review with meta-analysis to evaluate current practices in antibiotic treatment durations for pyogenic liver abscesses and determined a pooled mean duration of 32.7 days of therapy (95% CI 24.9 to 40.6) with high heterogeneity (I2 = 100%). When study-factors were assessed with meta-regression analysis, there were no statistically significant predictors to explain treatment duration variation across studies. However, a trend towards decreased mean antibiotic treatment durations was noted over later study years (−1.14 days/study year [95% CI −2.74 to 0.45], p = 0.160). These findings illustrate the variability in antibiotic durations in the treatment of liver abscess specifically who are managed without abscess drainage, and support the need for high quality randomized controlled trial data to guide standard of practice.
To our knowledge, this study is the first review of literature focused on treatment duration for pyogenic liver abscess. Drainage (preferably ultrasound guided percutaneous needle aspiration and catheter drainage) is advocated as the mainstay of treatment, with antibiotics as important adjunctive therapy (37–39). The optimal treatment duration with antibiotics remains unclear, although retrospective evaluations of liver abscesses have suggested durations up to 6 weeks, and in some instances longer (24,40). Our pooled mean finding of 32.7 days is in keeping with treatment durations in two randomized trials evaluating the non-inferiority of oral antibiotic therapy to intravenous therapy (39,41). Most recently, Molton et al randomized 152 non-critically ill patients to oral or intravenous antibiotic therapy for Klebsiella pneumonia hepatic abscess with a primary outcome of clinical cure at 12 weeks. If patients met clinical cure outcomes (defined by a combination of reduction of abscess size on radiographic imaging and resolution of systemic clinical signs of infection) at 28 days, antibiotics were discontinued. Treatment was extended in 30 patients in the oral group and 33 patients in the intravenous group, yet both treatment groups received a median duration of 29 days of antibiotics. All-cause mortality for both groups was zero (39).
As evidence emerges over time, treatment durations for many infections have safely shortened to minimize unnecessary antimicrobial harms and antimicrobial resistance (9). This evolving prioritization of antimicrobial stewardship combined with increasingly innovative surgical and interventional technology may explain the slight decreasing trend in antimicrobial duration over time. However, this finding cannot be attributed to abscess drainage alone, as the three studies that compared patients who received drainage with those who did not, demonstrated longer durations in the drainage subgroups. This could be explained by many possible factors, including etiology, virulence factors of particular organisms, uncontrolled source, abscess size, or generally sicker patients. Additionally, receiving antibiotics alone as a study level factor was not found to have any association with treatment duration. This may reflect limitations in the heterogeneity of the data, as current practice guidance suggests longer durations in the absence of drainage (7). The available literature is insufficient to guide treatment durations according to abscess size or determine size thresholds below which medical management is expected to be sufficient.
This study has many notable limitations. Most importantly, the available studies were mostly retrospective and observational cohorts that reported antibiotic duration data heterogeneously. None of the studies were focused on antibiotic treatment as a primary objective, and so generally contained limited details on the antibiotic treatment, usually lacking information on antibiotic class and route of administration. Most importantly, no studies assessed the impact of antibiotic treatment duration on clinical outcomes such as cure or mortality.
Finally, the majority of data reported is published from regions within the Asian Pacific rim, where rates of hypermucoviscous isolates of Klebsiella species are more prevalent than in North America (2). Additionally, our study found cryptogenic origin to be the most prevalent etiology. Conversely, a Canadian population-based study reported Streptococcus anginosus as the most prevalent organism and a shift in etiology over time from cryptogenic to predominantly biliary origin (2). These differences may contribute to limitations in generalizability to North America.
Conclusion
The existing literature on antibiotic treatment durations for pyogenic liver abscesses is scant. Among the studies that do report on antibiotic durations, treatment practices appear to be highly variable. This variability does not seem to be explained by differences in patient age, infecting pathogen, abscess size, number of abscesses, or receipt of surgical drainage. Most likely the variation in practice stems from a lack of high quality evidence, and so future RCTs are needed to guide optimal treatment duration for patients with this complex infection. Our systematic review suggests that evidence for treatment duration is needed across all patients with liver abscess, and so potentially a platform or umbrella trial design could be utilized to randomize patients to different antibiotic treatment arms contingent on baseline abscess characteristics including size and drainage approach.
Funding Statement
Grant provided (4500 USD) for an undergraduate summer research project, given through Fordham University as part of the ASPIRES academic program through the National Science Foundation.
Contributors:
Conceptualization, NDaneman; Data curation, JCurran, CMulhall; Formal analysis, JCurran, CMulhall, RPinto, NDaneman; Investigation, JCurran, NDaneman; Methodology, JCurran, NDaneman; Software, RPinto; Validation, RPinto, NDaneman; Data Curation, MBucheeri, NDaneman; Writing – Original Draft, JCurran, CMulhall, NDaneman; Writing – Review & Editing, JCurran, CMulhall, RPinto, MBucheeri, NDaneman; Supervision, NDaneman.
Ethics Approval:
N/A
Informed Consent:
N/A
Registry and the Registration No. of the Study/Trial:
N/A
Accessibility:
The datasets used and analysed during the current study available from the corresponding author on reasonable request.
Funding:
Grant provided (US $ 4500) for an undergraduate summer research project, given through Fordham University as part of the ASPIRES academic program through the National Science Foundation.
Disclosures:
The authors have no conflicts of interest to report.
Peer Review:
This manuscript has been peer reviewed.
Animal Studies:
N/A
Supplemental Material
References
- 1.Serraino C, Elia C, Bracco C, et al. Characteristics and management of pyogenic liver abscess: a European experience. Medicine (Baltimore). 2018;97(19):e0628. 10.1097/MD.0000000000010628. PMID: [DOI] [PMC free article] [PubMed] [Google Scholar]
- 2.Losie JA, Lam JC, Gregson DB, Parkins MD. Epidemiology and risk factors for pyogenic liver abscess in the Calgary Health Zone revisited: a population-based study. BMC Infect Dis. 2021;21(1):939. 10.1186/s12879-021-06649-9. PMID: [DOI] [PMC free article] [PubMed] [Google Scholar]
- 3.Shi SH, Feng XN, Lai MC, Kong HS, Zheng SS. Biliary diseases as main causes of pyogenic liver abscess caused by extended-spectrum beta-lactamase-producing Enterobacteriaceae. Liver Int. 2017;37(5):727–34. 10.1111/liv.13267. PMID: [DOI] [PubMed] [Google Scholar]
- 4.Chen SC, Lee YT, Yen CH, et al. Pyogenic liver abscess in the elderly: clinical features, outcomes and prognostic factors. Age Ageing. 2009;38(3):271–6. discussion. 10.1093/ageing/afp002. PMID: [DOI] [PubMed] [Google Scholar]
- 5.Wi JW, Cho EA, Jun CH, et al. Clinical characteristics and outcomes of pyogenic liver abscess in elderly Korean Patients. Korean J Gastroenterol. 2015;66(1):27–32. 10.4166/kjg.2015.66.1.27. PMID: [DOI] [PubMed] [Google Scholar]
- 6.Lo JZW, Leow JJJ, Ng PLF, et al. Predictors of therapy failure in a series of 741 adult pyogenic liver abscesses. J Hepatobiliary Pancreat Sci. 2015;22(2):156–65. 10.1002/jhbp.174. PMID: [DOI] [PubMed] [Google Scholar]
- 7.Cheng HC, Chang WL, Chen WY, Kao AW, Chuang CH, Sheu BS. Long-term outcome of pyogenic liver abscess: factors related with abscess recurrence. J Clin Gastroenterol. 2008;42(10):1110–5. 10.1097/MCG.0b013e318157e4c1. PMID: [DOI] [PubMed] [Google Scholar]
- 8.Havey TC, Fowler RA, Daneman N. Duration of antibiotic therapy for bacteremia: a systematic review and meta-analysis. Crit Care. 2011;15(6):R267. 10.1186/cc10545. PMID: [DOI] [PMC free article] [PubMed] [Google Scholar]
- 9.Spellberg B. The new antibiotic mantra—“Shorter Is Better.”. JAMA Intern Med. 2016;176(9):1254–5. 10.1001/jamainternmed.2016.3646. PMID: [DOI] [PMC free article] [PubMed] [Google Scholar]
- 10.Chastre J, Wolff M, Fagon JY, et al. Comparison of 8 vs 15 days of antibiotic therapy for ventilator-associated pneumonia in adults: a randomized trial. JAMA. 2003;290(19):2588–98. 10.1001/jama.290.19.2588. PMID: [DOI] [PubMed] [Google Scholar]
- 11.Group BMJP. Three day versus five day treatment with amoxicillin for non-severe pneumonia in young children: a multicentre randomised controlled trial. BMJ. 2004;328(7443):791. 10.1136/bmj.38049.490255.DE. PMID: [DOI] [PMC free article] [PubMed] [Google Scholar]
- 12.Sandberg T, Skoog G, Hermansson AB, et al. Ciprofloxacin for 7 days versus 14 days in women with acute pyelonephritis: a randomised, open-label and double-blind, placebo-controlled, non-inferiority trial. Lancet. 2012;380(9840):484–90. 10.1016/S0140-6736(12)60608-4. PMID: [DOI] [PubMed] [Google Scholar]
- 13.Hepburn MJ, Dooley DP, Skidmore PJ, Ellis MW, Starnes WF, Hasewinkle WC. Comparison of short-course (5 days) and standard (10 days) treatment for uncomplicated cellulitis. Arch Intern Med. 2004;164(15):1669–74. 10.1001/archinte.164.15.1669. PMID: [DOI] [PubMed] [Google Scholar]
- 14.Sawyer RG, Claridge JA, Nathens AB, et al. Trial of short-course antimicrobial therapy for intraabdominal infection. N Engl J Med. 2015;372(21):1996–2005. 10.1056/NEJMoa1411162. PMID: [DOI] [PMC free article] [PubMed] [Google Scholar]
- 15.Yu SCH, Ho SSM, Lau WY, et al. Treatment of pyogenic liver abscess: prospective randomized comparison of catheter drainage and needle aspiration. Hepatology. 2004;39(4):932–8. 10.1002/hep.20133 PMID: [DOI] [PubMed] [Google Scholar]
- 16.Wan X, Wang W, Liu J, Tong T. Estimating the sample mean and standard deviation from the sample size, median, range and/or interquartile range. BMC Med Res Methodol. 2014;14(1):135. 10.1186/1471-2288-14-135. PMID: [DOI] [PMC free article] [PubMed] [Google Scholar]
- 17.Ottawa Hospital Research Institute. The Newcastle-Ottawa Scale (NOS) for assessing the quality of nonrandomized studies in meta-analyses. http://www.ohri.ca/programs/clinical_epidemiology/oxford.asp (Accessed April 29, 2022).
- 18.Chan DSG, Archuleta S, Llorin RM, Lye DC, Fisher D. Standardized outpatient management of Klebsiella pneumoniae liver abscesses. Int J Infect Dis. 2013;17(3):e185–188. 10.1016/j.ijid.2012.10.002. PMID: [DOI] [PubMed] [Google Scholar]
- 19.Chen SC, Huang CC, Tsai SJ, et al. Severity of disease as main predictor for mortality in patients with pyogenic liver abscess. Am J Surg. 2009;198(2):164–72. 10.1016/j.amjsurg.2008.08.022. PMID: [DOI] [PubMed] [Google Scholar]
- 20.Chen SC, Lee YT, Tsai SJ, et al. Clinical outcomes and prognostic factors of cancer patients with pyogenic liver abscess. J Gastrointest Surg. 2011;15(11):2036–43. 10.1007/s11605-011-1650-3. PMID: [DOI] [PubMed] [Google Scholar]
- 21.Chen SC, Yen CH, Lai KC, et al. Pyogenic liver abscesses with Escherichia coli: etiology, clinical course, outcome, and prognostic factors. Wien Klin Wochenschr. 2005;117(23–24):809–15. 10.1007/s00508-005-0481-1. PMID: [DOI] [PubMed] [Google Scholar]
- 22.Chen SC, Yen CH, Tsao SM, et al. Comparison of pyogenic liver abscesses of biliary and cryptogenic origin. An eight-year analysis in a University Hospital. Swiss Med Wkly. 2005;135(23–24):344–51. http://dx.doi.org/2005/23/smw-10977. PMID: [DOI] [PubMed] [Google Scholar]
- 23.Gao HN, Yuan WX, Yang MF, et al. Clinical significance of C-reactive protein values in antibiotic treatment for pyogenic liver abscess. World J Gastroenterol. 2010;16(38):4871–75. 10.3748/wjg.v16.i38.4871. PMID: [DOI] [PMC free article] [PubMed] [Google Scholar]
- 24.Giangiuli SE, Mueller SW, Jeffres MN. Transition to oral versus continued intravenous antibiotics for patients with pyogenic liver abscesses: a retrospective analysis. Pharmacotherapy. 2019;39(7):734–40. 10.1002/phar.2296. PMID: [DOI] [PubMed] [Google Scholar]
- 25.Jia Z, Tu J, Cao C, et al. Liver abscess following transarterial chemoembolization for the treatment of hepatocellular carcinoma: A retrospective analysis of 23 cases. J Cancer Res Ther. 2018;14(Supplement):S628–33. 10.4103/0973-1482.199385. 10.4103/0973-1482.199385. PMID: [DOI] [PubMed] [Google Scholar]
- 26.Kim HA, Chung DR, Yeom JS, et al. Anti-anaerobic coverage is not necessary for Klebsiella pneumoniae liver abscess: a propensity score-matched cohort study. Diagn Microbiol Infect Dis. 2015;81(1):60–5. 10.1016/j.diagmicrobio.2014.10.002. PMID: [DOI] [PubMed] [Google Scholar]
- 27.Law ST, Kong Li MK. Is there any difference in pyogenic liver abscess caused by Streptococcus milleri and Klebsiella spp?: retrospective analysis over a 10-year period in a regional hospital. J Microbiol Immunol Infect. 2013;46(1):11–8. 10.1016/j.jmii.2011.12.028. PMID: [DOI] [PubMed] [Google Scholar]
- 28.Law S tong, Li KK. Is pyogenic liver abscess associated with recurrent pyogenic cholangitis a distinct clinical entity? A retrospective analysis over a 10-year period in a regional hospital. Eur J Gastroenterol Hepatol. 2011;23(9):770–7. 10.1097/MEG.0b013e328348cb9c. PMID: [DOI] [PubMed] [Google Scholar]
- 29.Law ST, Li KK. Older age as a poor prognostic sign in patients with pyogenic liver abscess. Int J Infect Dis. 2013;17(3):e177–e184. 10.1016/j.ijid.2012.09.016. PMID: [DOI] [PubMed] [Google Scholar]
- 30.Ng FH, Wong WM, Wong BCY, et al. Sequential intravenous/oral antibiotic vs. continuous intravenous antibiotic in the treatment of pyogenic liver abscess. Aliment Pharmacol Ther. 2002;16(6):1083–90. 10.1046/j.1365-2036.2002.01266.x. PMID: [DOI] [PubMed] [Google Scholar]
- 31.Pastagia M, Arumugam V. Klebsiella pneumoniae liver abscesses in a public hospital in Queens, New York. Travel Med Infect Dis. 2008;6(4):228–33. 10.1016/j.tmaid.2008.02.005. PMID: [DOI] [PubMed] [Google Scholar]
- 32.Ren Y, Wang H, Chang Z, Liu Z. Clinical and computed tomography features of extended-spectrum βlactamase-producing Klebsiella pneumoniae liver abscess. BMC Infect Dis. 2020;20(1):416. 10.1186/s12879-020-05142-z. PMID: [DOI] [PMC free article] [PubMed] [Google Scholar]
- 33.Tan L, Zhou HJ, Hartman M, Ganpathi IS, Madhavan K, Chang S. Laparoscopic drainage of cryptogenic liver abscess. Surg Endosc. 2013;27(9):3308–14. 10.1007/s00464-013-2910-y. PMID: [DOI] [PubMed] [Google Scholar]
- 34.Wong WM, Wong BCY, Hui CK, et al. Pyogenic liver abscess: retrospective analysis of 80 cases over a 10-year period. J Gastroenterol Hepatol. 2002;17(9):1001–7. 10.1046/j.1440-1746.2002.02787.x. PMID: [DOI] [PubMed] [Google Scholar]
- 35.Zhang J, Du Z, Bi J, et al. Comparison of clinical characteristics and outcomes of pyogenic liver abscess patients < 65 years of age versus ≥ 65 years of age. BMC Infect Dis. 2019;19(1):233. 10.1186/s12879-019-3837-2. PMID: [DOI] [PMC free article] [PubMed] [Google Scholar]
- 36.Zibari GB, Maguire S, Aultman DF, McMillan RW, McDonald JC. Pyogenic liver abscess. Surg Infect (Larchmt). 2000;1(1):15–21. 10.1089/109629600321254. PMID: [DOI] [PubMed] [Google Scholar]
- 37.Sayek I, Onat D. Pyogenic and amebic liver abscess. Zuckschwerdt; 2001. https://www.ncbi.nlm.nih.gov/books/NBK6955/ (Accessed March 24, 2022).
- 38.Cai YL, Xiong XZ, Lu J, et al. Percutaneous needle aspiration versus catheter drainage in the management of liver abscess: a systematic review and meta-analysis. HPB (Oxford). 2015;17(3):195–201. 10.1111/hpb.12332. PMID: [DOI] [PMC free article] [PubMed] [Google Scholar]
- 39.Molton JS, Chan M, Kalimuddin S, et al. Oral vs intravenous antibiotics for patients with Klebsiella pneumoniae liver abscess: a randomized, controlled noninferiority study. Clin Infect Dis. 2020;71(4):952–9. 10.1093/cid/ciz881. PMID: [DOI] [PubMed] [Google Scholar]
- 40.Lee CH, Jo HG, Cho EY, et al. Maximal diameter of liver abscess independently predicts prolonged hospitalization and poor prognosis in patients with pyogenic liver abscess. BMC Infect Dis. 2021;21(1):171. 10.1186/s12879-021-05873-7. PMID: [DOI] [PMC free article] [PubMed] [Google Scholar]
- 41.Chen YW, Chen YS, Lee SS, et al. A pilot study of oral fleroxacin once daily compared with conventional therapy in patients with pyogenic liver abscess. J Microbiol Immunol Infect. 2002;35(3):179–83. PMID: [PubMed] [Google Scholar]
Associated Data
This section collects any data citations, data availability statements, or supplementary materials included in this article.
Data Citations
- Sayek I, Onat D. Pyogenic and amebic liver abscess. Zuckschwerdt; 2001. https://www.ncbi.nlm.nih.gov/books/NBK6955/ (Accessed March 24, 2022).



