Abstract
Background
A major worldwide health issue is the rising frequency of resistance of bacteria.Drug combinations are a winning strategy in fighting resistant bacteria and might help in protecting the existing drugs.Monolaurin is natural compound extracted from coconut oil and has a promising antimicrobial activity against Staphylococcus.aureus. This study aims to examine the efficacy of monolaurin both individually and in combination with β-lactam antibiotics against Staphylococcus aureus isolates.
Methods
Agar dilution method was used for determination of minimum inhibitory concentration (MIC) of monolaurin against S.aureus isolates. Scanning electron microscope (SEM) was used to detect morphological changes in S.aureus after treatment with monolaurin. Conventional and Real-time Polymerase chain reaction (RT-PCR) were performed to detect of beta-lactamase (blaZ) gene and its expressional levels after monolaurin treatment. Combination therapy of monolaurin and antibiotics was assessed through fractional inhibitory concentration and time-kill method.
Results
The antibacterial activity of monolaurin was assessed on 115 S.aureus isolates, the MIC of monolaurin were 250 to 2000 µg/ml. SEM showed cell elongation and swelling in the outer membrane of S.aureus in the prescence of 1xMIC of monolaurin. blaZ gene was found in 73.9% of S.aureus isolates. RT-PCR shows a significant decrease in of blaZ gene expression at 250 and 500 µg/ml of monolaurin. Synergistic effects were detected through FIC method and time killing curve. Combination therapy established a significant reduction on the MIC value. The collective findings from the antibiotic combinations with monolaurin indicated synergism rates ranging from 83.3% to 100%.In time-kill studies, combination of monolaurin and β-lactam antibiotics produced a synergistic effect.
Conclusion
This study showed that monolaurin may be a natural antibacterial agent against S. aureus, and may be an outstanding modulator of β-lactam drugs. The concurrent application of monolaurin and β-lactam antibiotics, exhibiting synergistic effects against S. aureus in vitro, holds promise as potential candidates for the development of combination therapies that target particularly, patients with bacterial infections that are nearly incurable.
Supplementary Information
The online version contains supplementary material available at 10.1186/s12879-024-09261-9.
Keywords: S.aureus, Monolaurin, blaZ gene, Gene expression, Synergism
Introduction
Gram-positive S.aureus develops in clusters that resemble grapes and has a spherical form (cocci). This facultative anaerobe is frequently found on the skin, in the nose, and in the respiratory system. S.aureus can cause food poisoning and toxic shock syndrome in addition to skin infections like abscesses and pyogenic infections (such as endocarditis and septic arthritis), respiratory infections like sinusitis and hospital-acquired pneumonia [1]. Over the preceding decades, Antibiotic resistance has been developed as a result of widespread overprescription, self-medication, and overuse of therapeutically available antibiotics, which has precipitated prolonged exposure of pathogenic microorganisms to these antimicrobial agents [2]. The process underlying antibiotic resistance, consequent to extended exposure,involves the accumulation of several genes, each conferring resistance to a specific antibiotic. Within individual bacterial cells, this mechanism has notably facilitated the proliferation of multidrug-resistant (MDR) bacterialstrains.MDR bacteria employ horizontal gene transfer mechanisms to disseminate antibiotic resistance genes among their population [3]. Several diseases were attributed to multidrug-resistant (MDR) bacterial strains proved to be incurable and fatal owing to their elevated resistance levels against the majority of clinically accessible antibiotics. Presently, it was documented that over 70% of pathogenic bacteria have acquired such resistance [4]. Major human bacterial pathogen S. aureus can develop resistance to the majority of antibiotics [5]. For instance, the clinical usage of methicillin led to the emergence of methicillin-resistant S. aureus (MRSA) [6]. MRSA is a widespread bacterium that can cause a broad variety of infections, from minor skin irritations to serious, even life-threatening conditions including sepsis and endocarditis [7]. It puts a heavy pressure on the world's healthcare system [8]. It has been determined that S.aureus can resist β -lactams in two different ways. The most important step in the production of the β-lactamase enzyme, which breaks down the β -lactam ring of antibiotics, is encoded by the blaZ gene. In addition to its usual location on plasmids, the blaZ gene is also present in the chromosomal DNA of the bacteria. The two nearby genes blaI and blaR1, which serve as blaZ's anti-repressor and transcription repressor, respectively, control the expression of blaZ [9]. The development of new β-lactam type antibiotics or β-lactamase inhibitors is a hotly researched topic since lactamase-mediated antibiotic resistance is a significant public health concern [10]. In addition to using β-lactamase inhibitors, which are the most promising method, alternative tactics, are being considered to inhibit multidrug resistant (MDR) microorganisms. Antimicrobial peptides, nanoparticles, bacteriophages, various peptide nano formulations, and combinations with commercial antibiotics are some of these [11]. Throughout history, traditional medicine has frequently utilized medicinal plants or their derivatives to combat various infectious diseases. Numerous reports have highlighted the antimicrobial properties exhibited by various plants or their extracts [12]. When plant remedies are employed in conjunction with antimicrobial drugs, specific herb-drug interactions potentially yielding synergistic augmentation of antimicrobial efficacy and mitigating adverse synthetic drug effects. These synergistic effects have undoubtedly reduced the probability of diminished drug efficacy when administered alone against microbial infections over prolonged periods [13].
Moreover, the strategy of combining herbs with drugs may facilitate the discovery of novel antibiotics and the reintroduction of those antibiotics to which bacteria have developed resistance, thereby offering a promising opportunity for combating antimicrobial resistance [14]. Herbal products, such as medium-chain fatty acids and essential oils, whether employed as dietary supplements or as additives for food preservation, are recognized for their antimicrobial attributes. Monolaurin is a monoester created from lauric acid and glycerol, commonly known as glycerol monolaurate. Although lauric acid constitutes a significant proportion of virgin coconut oil, the levels of monolaurin in virgin coconut are typically low. Nevertheless, when orally ingested or utilized as a dietary supplement, certain coconut oil fractions undergo hydrolysis catalyzed by pancreatic lipase, resulting in the formation of lauric acid monoglyceride [15]. The Food and Drug Administration (FDA) usually recognizes glycerol monolaurate as safe for human use, and the cosmetic and food sectors frequently employ this substance. This substance has strong antibacterial effects on Bacillus anthracis and Gram-positive cocci [16]. It has been demonstrated that monolaurin works against S.aureus strains that are both sensitive and resistant [17]. In contrast to the majority of antibiotics, which typically target specific bacterial sites for their antibacterial effects, GML (glycerol monolaurate) seems to act on numerous bacterial surface signal transduction systems indiscriminately by interacting with plasma membranes. Furthermore, it may prove valuable as an environmental surface microbicide for controlling bacterial infections and contamination [18].
Materials and methods
Bacterial isolates
The study included 115 S.aureus strains that were obtained from different infection sites in patients admitted to different hospitals in Minia governorate, Egypt, during the period from September 2021 to April 2022 (Additional file 1). The study was approved by the Ethical Review Board of Faculty of Pharmacy, Deraya University, Minia, Egypt. Approval no. (9/2023).By using conventional laboratory techniques, isolates were identified morphologically and biochemically. S.aureus isolates were distinguished using the coagulase and DNase assays. The staphylococcal isolates were kept alive after identification in Trypticase soy broth (TSB), to which 15% glycerol was added, and were kept at -20 °C.
Antibiotic susceptibility testing
Following the recommendations of the Clinical and Laboratory Standards Institute (CLSI, 2020), the antimicrobial susceptibility profile of S.aureus isolates was evaluated using the Kirby-Bauer disc diffusion method [19]. The following antibiotics were tested: ampicillin/sulbactam (20 µg), amoxicillin/clavulunic acid (30 µg), piperacillin/tazobactam (10 µg), gentamicin (10 µg), amikacin (30 µg), ciprofloxacin (5 µg), levofloxacin (5 µg), tetracycline (30 µg) chloramphenicol (30 µg), imipenem (10 µg), rifampin (5 µg), and linezolid (30 µg) (Oxoid, UK). Cefoxitin disc diffusion method was used for Methicillin resistant S.aureus (MRSA). Vancomycin susceptibility of isolates was assessed using the agar dilution method.
Detection of blaZ gene among S.aureus isolates by PCR
On sheep blood agar plates, all isolated S.aureus strains were cultured for a whole night at 37 °C. At 37 °C for 24 h, one colony was kept suspended in 1 ml of LB broth (Sigma Chemical Company, St. Louis, MO). According to [20] the 115 S.aureus isolates had their genomic DNA extracted using a DNA extraction kit (QIAamp DNA Mini Kit) instructions. The oligonucleotide primer sequences for blaZ gene were 5’TACAACTGTAATATCGGAGGG’3 for forward primer and 5’CATTACACTCTT GGCGGTTT’3 for reverse primer. The polymerase chain reaction (PCR) was conducted under the following conditions: initial denaturation took place at 94 °C for 5 min, then 35 cycles of amplification were performed using the following parameters: 94 °C for 30 s, annealing at 49 °C for 40 s, extension at 72 °C for 50 s, and a final extension step at 72 °C for 10 min. Electrophoresis was used to separate the PCR products on a 1.5% agarose gel, and it was done for 30 min at a continuous current of 1–5 V/cm. Ethidium bromide staining and UV transillumination light were used to identify DNA bands. By comparing the fragments' migration to a 100 bp ladder as a reference, the size of the fragments was identified [21].
Monolaurin preparation
For preparation of a stock solution, 4 mg of monolaurin was firstly solubilized in pure dimethyl sulfoxide (DMSO) (100 µL). Next, this stock solution was combined with 1900 µL Tryptic Soy Broth (TSB) media, to yield a final volume of 2000 µL, thereby achieving a concentration of 2 mg/ml with 5% DMSO content. Subsequent concentrations of monolaurin were derived from this initial stock solution. A concentration of 5% DMSO was used as a negative control [22].
Determination of Minimum Inhibitory Concentrations (MICs) of monolaurin and certain β lactam antibiotics
MIC was the lowest antibacterial agent concentrations that completely stop bacterial growth for 24 h. The agar dilution method was used to assess the MICs of ampicillin, amoxicillin, piperacillin, and monolaurin for 115 S.aureus isolates. The Mueller–Hinton Broth (MHB) was prepared to have 107 colony forming unit per milliliter (CFU/ml) of cells for overnight cultures of the tested isolates. Using routine serial two-fold dilutions, the tested antibiotics and monolaurin were added to Muller-Hinton Agar (MHA). Microbial inoculum is then administered to the surface of the agar plate using a multi-inoculator [23, 24].
Scanning electron microscope
The approach described by [25] with a few minor adjustments was used to conduct the scanning electron microscopy operation. The bacteria were taken after their overnight incubation, resuspended in fresh MHB, and treated with 1 × MIC monolaurin at 37 °C for 2 h. After incubation, cells were removed using a centrifuge (4,000 × g, 10 min) and twice-washed in 0.1 M PBS (pH 7.2). After that, bacteria were fixed for an overnight period at 48 °C using 2.5% (v/v) glutaraldehyde in 0.1 M PBS. The samples were initially dehydrated in a gradient of ethanol (30%, 50%, 80%, 90%, 95%, 100% (v/v)).Vacuum freeze-drying equipment was used to dry the samples for 8 h. Every bacterial culture was examined by SEM with accelerating voltage 0.3 to 30 kV and magnification power up from 5000 × to 300,000x (Hitachi, Japan). As a negative control, bacterial cell suspension in MHB without any medication was used.
Gene expression of blaZ gene using Real-Time Polymerase Chain Reaction (RT-PCR)
To evaluate the relative expression of the blaZ gene, reverse transcription polymerase chain reaction (RT-PCR) was employed under varying concentrations of monolaurin (0.25XMIC and 0.5XMIC). Additional file 2 contains the primer sequences that were employed in this study. Fresh tryptic soy broth (TSB) was inoculated with overnight cultures of S. aureus, followed by incubation at 37 °C. Subsequently, S. aureus cultures and TSB containing sub-minimal inhibitory concentrations (sub-MIC) of monolaurin were aliquoted into test tubes. Incubation overnight at 37 °C was conducted for both experimental and control tubes. Prior to and post treatment with monolaurin, gene expression analysis for blaZ, normalized to the 16S rRNA housekeeping gene, was performed on the selected isolates. Total RNA extraction followed the guidelines outlined in the RNeasy Mini Kit. Cycling conditions were as previously outlined in Sect. 2.3. Gene expression levels were standardized to 16S rRNA, and amplification curves and Ct values were determined using the Stratagene MX3005P program. Measuring the variance in gene expression on the RNA of various samples by using the "Ct" approach described by Yuan et al. [26], the CT of each sample was compared to that of the control group, To rule out false positive results, dissociation curves from several samples were compared.
Testing the effect of monolaurin and certain β-lactam antibiotics combinations using Fractional inhibitory concentration (FIC assay)
The agar dilution method was employed to test the synergy. By using the FIC assay, the effects of monolaurin combinations with the tested antibiotics at sub-MIC concentrations were evaluated against MDR S.aureus isolates. Ampicillin (0.25–32 mg/L in 8 two-fold dilutions), Amoxicillin(0.25–128 mg/L in 10 two-fold dilutions), Piperacillin (0.25–256 mg/L in 11two-fold dilutions) and the appropriate concentration of monolaurin (250 µg/ml) or(500 µg/ml) were added to medium separetly. The bacterial strains were diluted from an overnight broth, to give an inoculum of 104 cfu per spot when applied with a Multipoint Inoculator. Inhibition was read after incubation for 24 h at 37 °C,
To evaluate the effect of combination, The FIC index values were then calculated using the following formula: ƩFICI = FIC (A) + FIC (B)
The ∑ FICI values were interpreted as follows: total synergistic ∑FIC ≤ 0.5, partial synergism (0.5 < ∑FIC < 1), additive, ∑FIC = 1, indifference 1 < ∑FIC < 4 and antagonistic (∑FIC ≥ 4) [27, 28].
Time-kill assay
Both monolaurin alone and in combination with piperacillin, amoxicillin, and ampicillin were studied. Their concentrations were in the 0.25 to 0.5 MIC range. Control tests lacking antibacterial substances. The vials were incubated at 37 °C with cation-adjusted Mueller–Hinton broth, antimicrobials, and the tested organisms at an initial density of 106 CFU/ml (10 ml volume). A viable-colony count was performed by serially diluting aliquots at 0, 4, 6, 8, 12 and 24 h before plating them on Mueller–Hinton agar plates. After 24 h of incubation, the synergy effect was defined as a ≥ 2 log10 CFU/ml decrease in colony counts as compared to the single agent with the highest activity. The antagonism was defined by an increase of ≥ 2 log10 CFU/ml in the combination compared to the most active single agent. Colony counting with an antibiotic combination against separate antimicrobials results in an increase or decrease of 2 log10, which was defined as the no difference (ND) impact [29].
Statistical analysis
The SPSS 25.0 programme was used to analyse the data. The Kolmogorov–Smirnov test was used to determine whether the distribution was normal or not. Microbiological analysis outcomes showed a non-parametric distribution. Non-parametric data was measured using the Mann–Whitney U-test. The results were evaluated using a statistical test for paired non-parametric (Wilcoxon and Friedman) samples.
Results
Resistance pattern of S.aureus isolates
Figure 1 determines the resistance pattern of S.aureus strains. Regarding S.aureus isolates, they revealed complete resistance to ampicillin/sulbactam, amoxicillin/clavulunic acid and piperacillin/tazobactam (100%), high resistance against tetracycline (57.4%), moderate resistance against rifampicin (36.52%), ciprofloxacin (34.8%), levofloxacin (34.8%) and gentamicin (33.9%) and low resistance against chloramphenicol (13.9%), vancomycin (4.35%), imipenem (3%), and linezolid (2%). Cefoxitin was used to determine MRSA. Out of S.aureus isolates, 103 (89.6%) were MRSA and 12 (10.4%) were MSSA.
Fig. 1.
The resistance pattern of the isolated S.aureus strains
Molecular detection of blaZ gene by conventional PCR
Out of 115 S.aureus isolates 85 (73.9%) S.aureus isolates harboured blaZ gene. blaZ showed PCR product at 833 bp as illustrated in Fig. 2 (Additional file 3).
Fig. 2.
Effect of monolaurin on S.aureus by SEM under 10000X and 15,000 X magnifications; A Control culture of S.aureus and (B) S.aureus treated with 1000 µg/ml of monolaurin
Determination of minimum inhibitory concentration
The MIC of monolaurin was determined against 12 MSSA and 103 MRSA as shown in Table 1, the MIC range of monolaurin ranged from 500 to1000 µg/mL for MSSA and from 250 to 2000 µg/mL for MRSA. A concentration of 5% DMSO, did not exhibit any noticeable effect on bacterial growth.
Table 1.
MICs of Monolaurin against clinical isolates of MSSA and MRSA strains
| Monolaurin | MIC against MSSA | No.of isolates | %* | MIC against MRSA | No.of isolates | %* |
|---|---|---|---|---|---|---|
| 500 | 2 | 1.7 | 250 | 3 | 2.6 | |
| 500 | 9 | 7.8 | ||||
| 1000 | 10 | 8.7 | 1000 | 83 | 72.2 | |
| 2000 | 8 | 7 | ||||
| Total No.of isolates | 115 | 12 | 10.4 | 103 | 89.6 |
%* was correlated to total number of S.aureus isolates (no=115)
Scanning electron microscope
SEM analysis supported the impact of monolaurin on S.aureus's cell structure. Treated cells with the tested monolaurin at a concentration of 1xMIC (1000 µg/ml) showed a change in morphology in the form of cell elongation and swelling when compared to the control while untreated bacteria were intact (regular cocci-shaped).The examined bacteria had severe structural changes in the outer membrane of S.aureus, leading to cell death. Monolaurin changed the cellular structure and outer membrane as illustrated in Fig. 2.
Effect of monolaurin on expression of blaZ gene among S.aureus strains
The results showed that the expression level of blaZ gene was down regulated as shown in Fig. 3. The blaZ gene exhibited no fold change in control samples. Four isolates were chosen for testing the activity of monolaurin in reduction of gene expression of blaZ gene (Additional files 4 and 5). Upon using 250 µg/ml monolaurin on the tested strains, a fold decrease in the expression of blaZ gene ranging from 37.15–47.15 while using 500 µg/ml monolaurin there was a 71.48–88.09 fold reduction (Additional file 6).
Fig. 3.
Effect of monolaurin on expression of blaZ gene among S.aureus strains. ST*, Staphylococcus aureus
Synergistic effect of tested antibiotics and monolaurin
MICs of the tested Antibiotics as Monotherapy and in Combination with monolaurin.
The effectiveness of monolaurin when combined with β-lactam antibiotics (ampicillin, amoxicillin, and piperacillin) was tested using the agar dilution technique against MRSA and MSSA isolates. For MRSA isolates, the MIC of Ampicillin was 8-32 µg/ml when tested alone; the MIC decreased to 1–4 µg/ml (4–32 fold reduction, p < 0.001),The MIC of Amoxicillin was 32-128 µg/ml when tested alone; the MIC decreased to 0.5–8 µg/ml (4–128 fold reduction, p < 0.001).The MIC of piperacillin was 16-256 µg/ml when tested alone; the MIC decreased to 4–32 µg/ml (2–32 fold reduction, p < 0.001) when combined with 250 µg/ml monolaurin (Table 2). The MIC of Ampicillin was 8-32 µg/ml when tested alone; the MIC decreased to 0.5–2 µg/ml (8–64 fold reduction, p < 0.001),The MIC of Amoxicillin was 32-128 µg/ml when tested alone; the MIC decreased to 0.5–4 µg/ml (8–256 fold reduction, p < 0.001)The MIC of piperacillin was 16-256 µg/ml when tested alone; the MIC decreased to 0.5–16 µg/ml (8–256 fold reduction, p < 0.001) when combined with 500 µg/ml monolaurin (Table 3).
Table 2.
Reduction of MICs of β-lactam antibiotics combined with Monolaurin (250 µg/ml) against MRSA (n = 103)
| MIC (µg/mL) | FICA/FICB | FIC index | Interpretation | No. of isolates | P value | |
| Alone | In combination | |||||
| Ampicillin /Monolaurin | Ampicillin /Monolaurin | |||||
| 8/1000 | 1/250 | 0.125/0.25 | 0.375 | Synergistic | 15 | < 0.001 |
| 8/250 | 1/250 | 0.125/1 | 1.125 | Indifference | 3 | |
| 8/1000 | 2/250 | 0.25/0.25 | 0.5 | Synergistic | 20 | |
| 16/500 | 1/250 | 0.0625/0.5 | 0.5625 | Partial synergy | 9 | |
| 16/1000 | 4/250 | 0.25/0.25 | 0.5 | Synergistic | 7 | |
| 32/1000 | 1/250 | 0.03125/0.25 | 0.281 | Synergistic | 16 | |
| 32/1000 | 4/250 | 0.125/0.25 | 0.375 | Synergistic | 22 | |
| 32/2000 | 1/250 | 0.03125/0.125 | 0.1562 | Synergistic | 3 | |
| 32/2000 | 4/250 | 0.125/0.125 | 0.25 | Synergistic | 8 | |
| Amoxicillin (A) /Monolaurin (B) | Amoxicillin (A) /Monolaurin (B) | FIC (A) / FIC (B) | FIC index | Interpretation | No. of isolates | P value |
| 32/250 | 0.5/250 | 0.015625/1 | 1.015 | Indifference | 3 | < 0.001 |
| 32/1000 | 0.5/250 | 0.015625/0.25 | 0.265 | Synergistic | 3 | |
| 32/1000 | 4/250 | 0.125/0.25 | 0.375 | Synergistic | 2 | |
| 32/500 | 4/250 | 0.125/0.5 | 0.625 | Partial synergy | 9 | |
| 32/1000 | 8/250 | 0.25/0.25 | 0.5 | Synergistic | 12 | |
| 64/1000 | 0.5/250 | 0.0078/0.25 | 0.2578 | Synergistic | 32 | |
| 64/1000 | 2/250 | 0.03125/0.25 | 0.281 | Synergistic | 5 | |
| 64/1000 | 4/250 | 0.0625/0.25 | 0.3125 | Synergistic | 16 | |
| 64/1000 | 8/250 | 0.125/0.25 | 0.375 | Synergistic | 11 | |
| 128/1000 | 1/250 | 0.0078/0.25 | 0.2578 | Synergistic | 2 | |
| 128/2000 | 1/250 | 0.0078/0.125 | 0.1328 | Synergistic | 4 | |
| 128/2000 | 8/250 | 0.0625/0.125 | 0.1875 | Synergistic | 4 | |
| Piperacillin /Monolaurin | Piperacillin /Monolaurin | FIC (A) / FIC (B) | FIC index | Interpretation | No. of isolates | P value |
| 16/250 | 4 | 0.25/1 | 1.25 | Indifference | 2 | < 0.001 |
| 16/250 | 8 | 0.5/1 | 1.5 | Indifference | 1 | |
| 16/1000 | 8 | 0.5/0.25 | 0.75 | Partial synergy | 17 | |
| 64/1000 | 16 | 0.25/0.25 | 0.5 | Synergistic | 12 | |
| 64/500 | 8/250 | 0.0625/0.5 | 0.5625 | Partial synergy | 9 | |
| 128/1000 | 16 | 0.125/0.25 | 0.375 | Synergistic | 20 | |
| 128/1000 | 32 | 0.25/0.25 | 0.5 | Synergistic | 16 | |
| 256/1000 | 32/250 | 0.125/0.25 | 0.375 | Synergistic | 14 | |
| 256/1000 | 8/250 | 0.03125/0.25 | 0.28125 | Synergistic | 4 | |
| 256/2000 | 8/250 | 0.03125/0.125 | 0.15625 | Synergistic | 8 | |
*total synergistic (FICI≤0.5), partial synergistic (0.5 < FICI < 1), additive FICI=1 or indifferent (1 < FICI < 4 and antagonistic (FICI≥4)
**significant difference at P value < 0.05
Table 3.
Reduction of MICs of β-lactam antibiotics combined with Monolaurin (500 µg/ml) against MRSA (n = 103)
| MIC (µg/mL) | FIC (A) / FIC (B) | FIC index | Interpretation | No. of isolates | P value | |
| Alone | In combination | |||||
| Ampicillin (A) /Monolaurin(B) | Ampicillin (A) /Monolaurin (B) | |||||
| 8/1000 | 0.5/500 | 0.0625/0.5 | 0.56 | Partial synergy | 24 | < 0.001 |
| 8/250 | 0.5/500 | 0.062/2 | 2.062 | Indifference | 3 | |
| 8/500 | 2/500 | 0.25/1 | 1.25 | Indifference | 9 | |
| 8/1000 | 2/500 | 0.25/0.5 | 0.75 | Partial synergy | 2 | |
| 16/1000 | 0.5/500 | 0.03125/0.5 | 0.53 | Partial synergy | 28 | |
| 16/1000 | 2/500 | 0.125/0.5 | 0.625 | Partial synergy | 4 | |
| 32/1000 | 0.5/500 | 0.015625/0.5 | 0.515 | Partial synergy | 22 | |
| 32/1000 | 2/500 | 0.0625/0.5 | 0.5625 | Partial synergy | 3 | |
| 32/2000 | 2/500 | 0.0625/0.125 | 0.1875 | Synergistic | 8 | |
| Amoxicillin /Monolaurin | Amoxicillin /Monolaurin | FICA/FICB | FIC index | Interpretation | No.of isolates | P value |
| 32/250 | 0.5/500 | 0.015625/2 | 2.015 | Indifference | 3 | < 0.001 |
| 32/1000 | 0.5/500 | 0.015625/0.5 | 0.515 | Partial synergy | 20 | |
| 32/1000 | 4/500 | 0.125/0.5 | 0.625 | Partial synergy | 6 | |
| 64/500 | 0.5/500 | 0.0078/1 | 1.0078 | Indifference | 9 | |
| 64/1000 | 0.5/500 | 0.0078/0.5 | 0.5078 | Partial synergy | 44 | |
| 64/1000 | 1/500 | 0.015625/0.5 | 0.515 | Partial synergy | 5 | |
| 64/1000 | 4/500 | 0.0625/0.5 | 0.5625 | Partial synergy | 6 | |
| 128/1000 | 0.5/500 | 0.0039/0.5 | 0.5039 | Partial synergy | 2 | |
| 128/2000 | 0.5/500 | 0.0039/0.25 | 0.2539 | Synergistic | 8 | |
| Piperacillin /Monolaurin | Piperacillin /Monolaurin | FICA/FICB | FIC index | Interpretation | No. of isolates | P value |
| 16/250 | 1/500 | 0.0625/2 | 2.0625 | Indifference | 2 | < 0.001 |
| 16/250 | 0.5/500 | 0.03125/2 | 2.03125 | Indifference | 1 | |
| 16/1000 | 0.5/500 | 0.03125/0.5 | 0.53125 | Partial synergy | 25 | |
| 64/500 | 0.5/500 | 0.0078/1 | 1.0078 | Indifference | 5 | |
| 64/500 | 1/500 | 0.0156/1 | 1.0156 | Indifference | 4 | |
| 128/1000 | 1/500 | 0.0078/0.5 | 0.5078 | Partial synergy | 16 | |
| 128/1000 | 8/500 | 0.0625/0.5 | 0.5625 | Partial synergy | 12 | |
| 128/1000 | 0.5/500 | 0.0039/0.5 | 0.5039 | Partial synergy | 12 | |
| 128/1000 | 1/500 | 0.0078/0.5 | 0.5078 | Partial synergy | 6 | |
| 128/1000 | 16/500 | 0.125/0.5 | 0.625 | Partial synergy | 12 | |
| 256/2000 | 8/500 | 0.03125/0.25 | 0.28 | Synergistic | 8 | |
*total synergistic (FICI≤0.5), partial synergistic (0.5 < FICI < 1), additive FICI=1 or indifferent (1 < FICI < 4 and antagonistic (FICI≥4)
**significant difference atPvalue < 0.05
For MSSA isolates, the MIC of Ampicillin was8-16 µg/ml when tested alone; the MIC decreased to 1-4 µg/ml (4–16 fold reduction, p < 0.001),The MIC of Amoxicillin was 32-64 µg/ml when tested alone; the MIC decreased to 0.5–2 µg/ml (16–128 fold reduction, p < 0.001).The MIC of piperacillin was 16-256 µg/ml when tested alone; the MIC decreased to2-32 µg/ml (2–eightfold reduction, p < 0.001) when combined with 250 µg/ml monolaurin (Table 4). The MIC of Ampicillin was 8-16 µg/ml when tested alone; the MIC decreased to0.5–1 µg/ml (16–32 fold reduction, p < 0.001), the MIC of Amoxicillin was 32–64 µg/ml when tested alone; the MIC decreased to0.5 µg/ml (64–128 fold reduction, p < 0.001)The MIC of piperacillin was 16-256 µg/ml when tested alone; the MIC decreased to 0.5–8 µg/ml (32–256 fold reduction, p < 0.001) when combined with 500 µg/ml monolaurin (Table 5).
Table 4.
Reduction of MICs of β-lactam antibiotics combined with Monolaurin (2500 µg/ml) against MSSA (n = 12)
| MIC (µg/mL) | FIC (A) / FIC (B) | FIC index | Interpretation | No. of isolates | P value | |
| Alone | In combination | |||||
| Ampicillin (A) /Monolaurin(B) | Ampicillin (A) /Monolaurin (B) | |||||
| 8/1000 | 1/250 | 0.125/0.25 | 0.375 | Synergistic | 3 | < 0.001 |
| 8/500 | 2/250 | 0.25/0.5 | 0.75 | Partial synergy | 2 | |
| 16/1000 | 1/250 | 0.0625/0.25 | 0.3125 | Synergistic | 4 | |
| 16/1000 | 4/250 | 0.25/0.25 | 0.5 | Synergistic | 3 | |
| Amoxicillin /Monolaurin | Amoxicillin /Monolaurin | FICA/FICB | FIC index | Interpretation | No.of isolates | P value |
| 32/1000 | 0.5/250 | 0.015625/0.25 | 0.2656 | Synergistic | 3 | < 0.001 |
| 32/1000 | 2/250 | 0.0625/0.25 | 0.3125 | Synergistic | 4 | |
| 64/500 | 0.5/250 | 0.0078/0.5 | 0.5078 | Partial synergy | 2 | |
| 64/1000 | 2/250 | 0.03125/0.25 | 0.28125 | Synergistic | 3 | |
| Piperacillin /Monolaurin | Piperacillin /Monolaurin | FICA/FICB | FIC index | Interpretation | No. of isolates | P value |
| 16/1000 | 2/250 | 0.125/0.25 | 0.375 | Synergistic | 1 | < 0.001 |
| 16/1000 | 4/250 | 0.25/0.25 | 0.5 | Synergistic | 6 | |
| 16/500 | 8/250 | 0.5/0.5 | 1 | Additive | 2 | |
| 128/1000 | 16/250 | 0.125/0.25 | 0.375 | Synergistic | 1 | |
| 256/1000 | 32/250 | 0.125/0.25 | 0.375 | Synergistic | 2 | |
*total synergistic (FICI≤0.5), partial synergistic (0.5 < FICI < 1), additive FICI=1 or indifferent (1 < FICI < 4) and antagonistic (FICI≥4) **significant difference at P value < 0.05
Table 5.
Reduction of MICs of β-lactam antibiotics combined with Monolaurin (500 µg/ml) against MSSA (n = 12)
| MIC (µg/mL) | FIC (A) / FIC (B) | FIC index | Interpretation | No. of isolates | P value | |
| Alone | In combination | |||||
| Ampicillin (A) /Monolaurin(B) | Ampicillin (A) /Monolaurin (B) | |||||
| 8/500 | 0.5/500 | 0.0625/1 | 1.0625 | Indifference | 2 | < 0.001 |
| 8/1000 | 0.5/500 | 0.0625/0.5 | 0.5625 | Partial synergy | 3 | |
| 16/1000 | 0.5/500 | 0.031/0.5 | 0.531 | Partial synergy | 4 | |
| 16/1000 | 1/500 | 0.0625/0.5 | 0.5625 | Partial synergy | 3 | |
| Amoxicillin /Monolaurin | Amoxicillin /Monolaurin | FICA/FICB | FIC index | Interpretation | No. of isolates | P value |
| 32/500 | 0.5/500 | 0.015625/1 | 1.0156 | Indifference | 2 | < 0.001 |
| 32/1000 | 0.5/500 | 0.015625/0.5 | 0.515625 | Partial synergy | 5 | |
| 64/1000 | 0.5/500 | 0.0078/0.5 | 0.5078 | Partial synergy | 5 | |
| Piperacillin /Monolaurin | Piperacillin /Monolaurin | FICA/FICB | FIC index | Interpretation | No. of isolates | P value |
| 16/500 | 0.5/500 | 0.031/1 | 1.031 | Indifference | 2 | < 0.001 |
| 16/1000 | 0.5/0.5 | 0.031/0.5 | 0.531 | Partial synergy | 7 | |
| 128/1000 | 1/500 | 0.0078/0.5 | 0.5078 | Partial synergy | 1 | |
| 256/1000 | 1/500 | 0.0039/0.5 | 0.5039 | Partial synergy | 1 | |
| 256/1000 | 8/500 | 0.031/0.5 | 0.531 | Partial synergy | 1 | |
*total synergistic (FICI≤0.5), partial synergistic (0.5 < FICI < 1), additive FICI=1 or indifferent (1 < FICI < 4) and antagonistic (FICI≥4) **significant difference atPvaluse < 0.05
Synergy testing results for three combinations against MRSA and MSSA isolates.
For MRSA isolates, the combination of 250 µg/ml monolaurin with ampicillin, amoxicillin and piperacillin exhibited synergism in 88.4%, 88.4% and 71.8%, partial synergy in 8.7%, 8.7% and 25.3%and indifference in 2.9% in the three combinations, respectively. Using 500 µg/ml monolaurin with ampicillin, amoxicillin and piperacillin showed synergism in 7.8%, partial synergy 80.6% and indifference in 11.6% of the total isolates in the three combinations, respectively (Table 6).
Table 6.
Synergy testing results for three combinations (Monolaurin plus ampicillin, Monolaurin plus amoxicillin, and Monolaurin plus piperacillin) against MRSA isolates
| Combination | Effects | ||||
|---|---|---|---|---|---|
| Synergism | In-difference N (%*) | Antagonistic N (%*) | |||
| Synergistic N (%*) | Partial synergy N (%*) | ||||
|
Monolaurin (250µg/ml) |
Ampicillin | 91(88.4%) | 9(8.7%) | 3(2.9%) | - |
| Amoxicillin | 91(88.4%) | 9(8.7%) | 3(2.9%) | - | |
| Piperacillin | 74(71.8%) | 26(25.3%) | 3(2.9%) | - | |
|
Monolaurin (500µg/ml) |
Ampicillin | 8(7.8%) | 83(80.6%) | 12(11.6%) | - |
| Amoxicillin | 8(7.8%) | 83(80.6%) | 12(11.6%) | - | |
| Piperacillin | 8(7.8%) | 83(80.6%) | 12(11.6%) | - | |
%* was correlated to total no. of MRSA isolates (n = 103)
For MSSA isolates, the combination of 250 µg/ml monolaurin with ampicillin,and amoxicillin exhibited synergism in 83.3%and partial synergy in 16.7% while, synergism in 83.3% and additive in 16.7% for monolaurin with piperacillin, respectively. Using 500 µg/ml monolaurin with ampicillin, amoxicillin and piperacillin showed partial synergy 83.3% and indifference in 16.7% of the total isolates in the all combinations, respectively (Table 7).
Table 7.
Synergy testing results for three combinations (Monolaurin plus ampicillin, Monolaurin plus amoxicillin, and Monolaurin plus piperacillin) against MSSA isolates
| Combination | Effects | |||||
|---|---|---|---|---|---|---|
| Synergism | Additive | In-difference N (%*) | Antagonisti N (%*) | |||
| Synergistic N (%*) | Partial synergy N (%*) | |||||
| Monolaurin (250µg/ml) | Ampicillin | 10(83.3%) | 2(16.7%) | - | - | - |
| Amoxicillin | 10(83.3%) | 2 (16.7%) | - | - | - | |
| Piperacillin | 10(83.3%) | - | 2(16.7%) | - | - | |
| Monolaurin (500µg/ml) | Ampicillin | - | 10(83.3%) | 2(16.7%) | - | |
| Amoxicillin | - | 10(83.3%) | 2(16.7%) | - | ||
| Piperacillin | - | 10(83.3%) | 2(16.7%) | - | ||
%* was correlated to total no. of MRSA isolates (n = 12)
Time killing assay
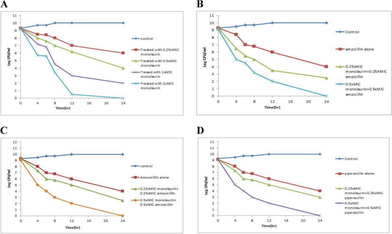
To confirm the synergistic effects of monolaurin and the selected antibiotics on S.aureus, a time-kill assay was performed. Since most S.aureus isolates had MIC values of 1000 µg/mL, 10 S.aureus strains with that MIC were chosen, and the mean value of their results was determined. Monolaurin showed dose-dependent bactericidal activity against S.aureus in time-kill experiments (Fig. 4a). 10 S.aureus strains with that MIC were chosen, and the mean value of their results was determined. Monolaurin showed dose-dependent bactericidal activity against S.aureus in time-kill experiments (Fig. 4a). Bactericidal synergism was observed at 0.25 XMIC (3.3 log10, 4.3 log10 and 6.3 log10reduction at 8, 12 and 24 h) and 0.5XMIC (5.9 log10, 7.1 log10 and 9.1 log10 reduction at 8, 12 and 24 h) for monolaurin combined with ampicillin (Fig. 4b). Synergism was also observed at 0.25 × MIC (3.5 log10, 4.3 log10 and 6.8 log10 reduction at 8, 12 and 24 h, respectively) and at 0.5XMIC (6 log10, 7 log10 and 9 log10 reduction at 8, 12 and 24 h, respectively) for monolaurin combined with amoxicillin (Fig. 4c). The combination of monolaurin and piperacillin showed synergism at 0.25 × MIC (3.5 log10, 4.3 log10 and 6.3 reduction at 8, 12 and 24 h) and at 0.5 × MIC (6.1 log10, 6.6 log10 and 9.1 log10 reduction at 8, 12 and 24 h) (Fig. 4d). These combinations displayed the highest antibacterial performance against S.aureus compared to control. In general, the results of the time-kill assay were compatible with the FIC method.
Fig. 4.
Time killing curve of S.aureus; A The antibacterial effect of monolaurin alone; B The antibacterial effect of ampicillin alone and in combination with monolaurin against S.aureus (log CFU/ml); C The antibacterial effects of amoxicillin alone and in combination with monolaurin against S.aureus (log CFU/ml); D The antibacterial effects of piperacillin alone and in combination with monolaurin against S.aureus (log CFU/ml) during 24 h incubation at 37 °C
Discussion
It is now a worldwide issue that human pathogenic microorganisms have evolved drug resistance. The spread of S.aureus in hospital and community settings has had a significant effect on worldwide public health [30]. Since the current medicines used to treat these resistant bacteria are no longer effective, it is vital to find new alternatives. Natural products derived from medicinal plants have shown a variety of biological activities in the biomedical field during the past few decades, including their antibacterial activity against different drug resistant microorganisms. More encouragingly, certain natural compounds may be able to make the target bacteria receptive to antibiotics once more by reversing the bacterial resistance to them [31]. This research was done to find and define the antibacterial effect as well as the possible synergistic combination between certain beta lactam antibiotics and potential antibacterial compound, monolaurin previously found in Coconut oil that was effective against S.aureus [16].
This study focused on the beta lactam family of antibiotics since they are still among the most frequently prescribed medication classes, but their effectiveness is constrained by the rise of bacteria with a variety of resistance mechanisms [32].
In recent years, S.aureus has become resistant to both new and traditional antibiotics. Thus, treatment of antibiotic resistant bacteria represents a therapeutic problem. The antibiogram of the studied S.aureus strains revealed that linezolid and imipenem were the most effective antibiotic against S.aureus (2% and 3% resistance rate) followed by vancomycin (4.35% Resistance rate) and chloramphenicol (13.9% Resistance rate). S.aureus showed complete resistance to ampicillin/sulbactam amoxicillin/clavulunic acid, and piperacillin/tazobactam, moderate resistance against tetracycline (57.4%), rifampicin (36.52%), ciprofloxacin (34.8%) and levofloxacin (34.8%) and gentamicin (33.9%). According to Vu et al. [33], 89% of S.aureus isolates were penicillin resistant, 37% were fluoroquinolone resistant, 41% were aminoglycoside resistant, and only 2% of the isolates were vancomycin resistant. These findings were in line with our findings. Similar findings were made by Ahmed et al. [34], who reported that only 3% of S.aureus strains were imipenem resistant, 100% were resistant to penicillin except for chloramphenicol and tetracycline, 72% of the isolates were resistant.
Our results were at conflicts with a research by Sonbol et al. [35], which revealed that ciprofloxacin had the lowest resistance rates (3.7% resistance) against the tested isolates. Additionally, substantial resistance rates to rifampin (57.4%) were found, which was higher than our findings for rifampin, respectively.
Infections due to methicillin-resistant S.aureus (MRSA) are globally getting worth inside and outside of hospitals. Cefoxitin becomes more recommended for detection of methicillin resistance in MRSA when using disk diffusion testing [36]. Out of 115 S.aureus samples used in this investigation, 103 (89.6%) were MRSA and 12 (10.4%) were MSSA. Our results were consistent with a study by Garoy et al. [37] whom found that 15 (19.5%) of the 82 S.aureus isolates were methicillin-sensitive S.aureus (MSSA), with 59 (72% of them) being MRSA. Also, high prevalence of MRSA isolates 81.2% was identified [38]. However, Chukwueze et al. [39] revealed that 102 of the 188 S.aureus isolates were methicillin-susceptible S.aureus and 86 were methicillin-resistant S.aureus (MSSA) respectively.
Based on information from other researchers and our own, blaZ gene identification by conventional PCR was considered as the gold standard for determining the presence of penicillinase in the tested Staphylococci isolates. Clinical and Laboratory Confirmation was another element in this choice. Standards Institute (CLSI), who claims that severe infections with S.aureus etiology requiring penicillin therapy should take the identification of this gene into consideration [40]. Detection of blaZ gene was found in 73.9% of S.aureus isolates. In Chicago, Similar results obtained by Wang et al. [41] A total of 196 isolates (73%) were blaZ positive. Also, our results were in accordance with the recent literature, with values of 87% and 92% [42, 43]. In Bulgaria, all tested S.aureus were harboured blaZ gene (100%).This result seems higher than our results [44].
Monolaurin's MIC for S.aureus was ranged from 250 to 2000 µg/ml. Similar studies reported that 1-monolaurin can prevent the growth of S.aureus at different concentrations, even at the lowest concentration of 100 µg/ml [45] and 500 µg/ml [46]. Monolaurin had MICs of 100 and 250 µg/ml against S.aureus ATCC 25923 and ATCC 1885, respectively [47, 48]. Furthermore, a comparable study on the antibacterial activity of monolaurin and lauric acid was reported by Batovska et al. [49] who demonstrated that monolaurin had relatively greater inhibitory capabilities than lauric acid against Staphylococcus.epidermidis, Streptococcus.pyogenes, Listeria.monocytogenes, Corynebacterium.diphtheria and Bacillus.cereus with the MIC values of 31.25, 31.25, 62.5, 62.5, and 125 µg/ml, respectively.
There have also been several reports of monolaurin's inhibitory mechanism against Gram-positive bacteria. The typical antibacterial target locations have been extensively investigated. Gram-positive bacteria's cell wall is their outermost layer. It is a crucial organelle that helps to keep the cell's structure intact and hinders the entry of external substances. Damage to the cell wall might potentially result in decreased cellular activity and metabolic disturbance brought on by invading foreign substances, which would result in cell death [50]. This was confirmed through scanning electron microscopy. SEM analysis revealed that the cells treated with monolaurin showed a morphological alteration in the form of cell elongation and swelling when compared to the control. Similar study demonstrated changes in cell activity and morphology of S.aureus upon using monolaurin [51].
Upon studying gene expression using real-time polymerase chain reaction (PCR), we can often investigate changes (increases or decreases) in the expression of a particular gene via measuring the amount of the gene-specific transcript. We performed gene analysis to confirm how monolaurin can affects the β-lactam resistance gene (blaZ). The expression of blaZ was significantly inhibited in tested isolates in a dose-dependent manner when they were treated with sub-MIC 250 and 500 µg/ml of monolaurin. Our results were convenient with Brown-Skrobot et al. [52] who revealed that the inhibition of beta-lactamase production can be attributed to the reduction in expression of the gene which encodes this protein (blaZ), i.e., the prevention of transcription of the gene through inhibition of signal transduction by glycerol monolaurate ("GML").
There were relatively few treatment choices available because of the decreased effectiveness of recently developed antibiotics and the unfavorable modifications that arise from using "old" medications. Combinatorial therapy between antibiotics and other compounds (e.g., natural product-derived) is suggested as an effective approach to help in resolving the issue of antibiotic resistance, cellular toxicity and the need for long-term therapies with the current antibiotics [53, 54]. In this present study, the combination of antibiotics with monolaurin was undertaken with the objective of enhancing their antibacterial efficacy, overcoming resistance, and diminishing both the cost and duration of antimicrobial therapy. As seen in Tables 2, 3, 4 and 5, there was a considerable reduction in the previous MICs when comparing the MIC values of antibiotic monotherapy and combination antibiotics with monolaurin.
The combinations were also investigated to assess their synergistic, indifferent, additive, or antagonistic effects through FICI determination. Employing 250 and 500 µg/ml of monolaurin in various combinations with antibiotics (ampicillin, amoxicillin, and piperacillin) against MRSA isolates demonstrated synergism rates of 97.1%, 97.1% and 88.4%, and in difference rates of 2.9% as well as 11.6%, respectively. For MSSA, combinations of 250 µg/ml monolaurin with antibiotics (ampicillin, amoxicillin, and piperacillin) demonstrated synergism rates of 100%, 100%, and 83.3%, respectively. Furthermore, combinations of 500 µg/ml monolaurin with antibiotics (ampicillin, amoxicillin, and piperacillin) exhibited synergism rates of 83.3% and in-differences of 16.7%, respectively. The time killing assay for monolaurin's antibacterial activity alone and in combination with antibiotics against S.aureus was illustrated in Fig. 5. The results showed that monolaurin had synergistic activity and significantly reduced the bacterial count when compared with control. Our results were agreed with Preuss et al. [55] who stated that monolaurin, alone or combined with antibiotics, might be useful in the prevention and treatment of severe bacterial infections, especially those that are antibiotic resistant. Previous reports have documented the synergistic benefits of natural products in combination with antibiotics against microbial pathogens [56–58]. Moreover, it has been demonstrated that using multiple antimicrobials together can boost their antibacterial effects while also lowering the dosages of each antimicrobial that are needed [59].
We have identified a new potential therapy against S.aureus consisting of a combination of clinically approved antibacterial drugs such as monolaurin and subclasses of β-lactam compounds, all targeting cell-wall synthesis: This treatment incorporates components from two different approaches: (i) combining drugs to increase antibiotic potency through synergy and (ii) use of combination to suppress resistance evolution.
Conclusion
The goal of the current investigation was to determine if monolaurin alone or in combination with β-lactam antibiotics had any antibacterial effects on S.aureus. We tested the antibacterial efficacy and synergy of monolaurin in combination with β-lactam antibiotics against S.aureus isolates for the first time. The findings suggested that monolaurin has an efficient antibacterial action and can reduce blaZ expression. Consequently, the mixture of might be regarded as a unique and promising antibacterial mixture. The combination use can lessen the dosage of each antibacterial substance needed and slow the emergence of antibiotic resistance.
Supplementary Information
Acknowledgements
The authors would like to thank doctor staff and patients of Minia University hospital for their generous help and kindness.
Institutional review board statement
was approved by the Ethical Review Board of Faculty of Pharmacy, Deraya University, Minia, Egypt. Approval no. (9/2023). All applicable international, national, and institutional guidelines for the care and the use of humans are considered in the submitted protocol. The approval is according to Declaration of the Council of International Organizations for Medical Sciences (CIOMS), the World Health Organization guidelines (WHO), and the Egyptian Clinical Trial Law (April 2018).
Abbreviation
- MRSA
Methicillin resistant Staphylococcus aureus
- MSSA
Methicillin-resistant Staphylococcus aureus
- MDR
Multi-drug resistant
- FDA
Food and Drug Administration
- GML
Glycerol monolaurate
- TSB
Trypticase soy broth
- CLSI
Clinical laboratory standard institute
- β-lactam antibiotics
Beta-lactam antibiotics
- MIC
Minimum inhibitory concentration
- MHB
Mueller-Hinton Broth
- µg/ml
Microgram per milliliter
- CFU/ml
Colony forming unit per milliliter
- FIC
Fractional inhibitory concentration
- PCR
Polymerase chain reaction
- Bp
Base pair
- RT-PCR
Real time -polymerase chain reaction
- CT
Cycle threshold
- SEM
Scanning electron microscope
- blaZ
Beta-lactamase Z gene
- ST
Staphylococcus aureus
Authors’ contributions
Formal analysis, S. A., A. A. and R. I; Methodology, R. A., S. A., A. E., A. M., A. A. and R. I.; Resources, A. M.; Supervision, A. E; Validation, A. A.; Writing – original draft, S. A., Ahmed Azmy, R. I, A. E. and R. A.; Writing – review and editing, S. A., R. I. and A. A.
Funding
Open access funding provided by The Science, Technology & Innovation Funding Authority (STDF) in cooperation with The Egyptian Knowledge Bank (EKB). The authors did not receive support from any organization for the submitted work.
Availability of data and materials
All data generated or analyzed during this study are included in this article and its Supplementary information file.
Declarations
Ethics approval and consent to participate
Institutional Review Board Statement: was approved by the Ethical Review Board of Faculty of Pharmacy, Deraya University, Minia, Egypt. Approval no. (9/2023). All applicable international, national, and institutional guidelines for the care and the use of humans are considered in the submitted protocol. The approval is according to Declaration of the Council of International Organizations for Medical Sciences (CIOMS), the World Health Organization guidelines (WHO), and the Egyptian Clinical Trial Law (April 2018).
Informed Consent Statement: Informed consent was obtained from all subjects involved in the study. Written informed consent has been obtained from the patient(s) to publish this paper
Consent for publication
Not applicable
Competing interests
The authors declare no competing interests.
Footnotes
Publisher’s Note
Springer Nature remains neutral with regard to jurisdictional claims in published maps and institutional affiliations.
References
- 1.W. E. Levinson, Review of medical microbiology and immunology, McGraw-Hill Education, 2018.
- 2.Harbottle H, Thakur S, Zhao S, White DG. Genetics of Antimicrobial Resistance. Anim Biotechnol. 2006;17(2):111–124. doi: 10.1080/10495390600957092. [DOI] [PubMed] [Google Scholar]
- 3.S. Odonkor, K. Addo, Bacteria Resistance to Antibiotics: Recent Trends and Challenges. Int J Biol Med Res pp. 1204–1210, 2011.
- 4.Nikaido H. Multidrug Resistance in Bacteria. Annu Rev Biochem. 2009;78(1):119–146. doi: 10.1146/annurev.biochem.78.082907.145923. [DOI] [PMC free article] [PubMed] [Google Scholar]
- 5.Quadri SA, Al-Sultan AA, Al-Ramdan AM, Badger-Emeka LI, Ali SI. Frequency of panton–valentine leukocidin gene among clinical isolates of methicillin-resistant staphylococcus aureus in Eastern Province of Saudi Arabia. J Glob Infect Dis. 2020;12:37–38. doi: 10.4103/jgid.jgid_27_19. [DOI] [PMC free article] [PubMed] [Google Scholar]
- 6.Lakhundi S, Zhang K. Methicillin-resistant Staphylococcus aureus: molecular characterization, evolution, and epidemiology. Clin Microbiol Rev. 2018;31(4):1–103. doi: 10.1128/CMR.00020-18. [DOI] [PMC free article] [PubMed] [Google Scholar]
- 7.Thapaliya D, Kadariya J, Capuano M, Rush H, Yee C, Oet M, Lohani S, Smith TC. Prevalence and molecular characterization of Staphylococcus aureus and methicillin-resistant S. aureus on children’s playgrounds. Pediatr Infect Dis J. 2019;38(3):1–18. doi: 10.1097/INF.0000000000002095. [DOI] [PubMed] [Google Scholar]
- 8.Song M, Zeng Q, Xiang Y, Gao L, Huang J, Huang J, Wu K, Lu J. The antibacterial effect of topical ozone on the treatment of MRSA skin infection. Mol Med Rep. 2018;17(2):2449–2455. doi: 10.3892/mmr.2017.8148. [DOI] [PMC free article] [PubMed] [Google Scholar]
- 9.GD Rocha, JF Nogueira, MVG Dos Santos, JA. Boaventura, RAN Soares, JJ. de Simoni Gouveia, MM. da Costa, GV Gouveia, Impact of polymorphisms in blaZ, blaR1 and blaI genes and their relationship with β-lactam resistance in S. aureus strains isolated from bovine mastitis. Microbial Pathogenesis. 165, pp. 105453, 2022. [DOI] [PubMed]
- 10.Öztürk H, Ozkirimli E, Özgür A. Classification of beta-lactamases and penicillin binding proteins using ligand-centric network models. PLoS ONE. 2015;10(2):1–23. doi: 10.1371/journal.pone.0117874. [DOI] [PMC free article] [PubMed] [Google Scholar]
- 11.Tooke CL, Hinchliffe P, Bragginton EC, Colenso CK, Hirvonen VH, Takebayashi Y, Spencer J. β-Lactamases and β-Lactamase Inhibitors in the 21st Century. J Mol Biol. 2019;431(18):3472–3500. doi: 10.1016/j.jmb.2019.04.002. [DOI] [PMC free article] [PubMed] [Google Scholar]
- 12.R. Singh, T. Agarwal, A. Gujrati, M. Rastogi, R. Rastogi, Comparative Analysis of Antibacterial Activity of Jatropha curcas Fruit Parts. J Pharm Biomed Sci, vol. 15, 2012.
- 13.Borchers AT, Hackman RM, Keen CL, Stern JS, Gershwin ME. Complementary medicine: a review of immunomodulatory effects of Chinese herbal medicines. Am J Clin Nutr. 1997;66(6):1303–1312. doi: 10.1093/ajcn/66.6.1303. [DOI] [PubMed] [Google Scholar]
- 14.Saklani A, Kutty SK. Plant-derived compounds in clinical trials. Drug Discovery Today. 2008;13(3):161–171. doi: 10.1016/j.drudis.2007.10.010. [DOI] [PubMed] [Google Scholar]
- 15.Manohar V, Echard B, Perricone N, Ingram C, Enig M, Bagchi D, Preuss HG. In vitro and in vivo effects of two coconut oils in comparison to monolaurin on Staphylococcus aureus: rodent studies. J Med Food. 2013;16(6):499–503. doi: 10.1089/jmf.2012.0066. [DOI] [PubMed] [Google Scholar]
- 16.Schlievert PM, Peterson ML. Glycerol monolaurate antibacterial activity in broth and biofilm cultures. PLoS ONE. 2012;7(7):1–12. doi: 10.1371/journal.pone.0040350. [DOI] [PMC free article] [PubMed] [Google Scholar]
- 17.Preuss HG, Echard B, Dadgar A, Talpur N, Manohar V, Enig M, Bagchi D, Ingram C. Effects of essential oils and monolaurin on Staphylococcus aureus: in vitro and in vivo studies. Toxicol Mech Methods. 2005;15(4):279–285. doi: 10.1080/15376520590968833. [DOI] [PubMed] [Google Scholar]
- 18.Schlievert PM, Peterson ML. Glycerol monolaurate antibacterial activity in broth and biofilm cultures. PLoS ONE. 2012;7(7):e40350. doi: 10.1371/journal.pone.0040350. [DOI] [PMC free article] [PubMed] [Google Scholar]
- 19.Weinstein MP, Lewis JS. The clinical and laboratory standards institute subcommittee on antimicrobial susceptibility testing: background, organization, functions, and processes. J Clin Microbiol. 2020;58(3):1–7. doi: 10.1128/JCM.01864-19. [DOI] [PMC free article] [PubMed] [Google Scholar]
- 20.Manandhar S, Singh A, Varma A, Pandey S, Shrivastava N. Biofilm producing clinical Staphylococcus aureus isolates augmented prevalence of antibiotic resistant cases in tertiary care hospitals of Nepal. Front Microbiol. 2018;9:2749. doi: 10.3389/fmicb.2018.02749. [DOI] [PMC free article] [PubMed] [Google Scholar]
- 21.Bagcigil AF, Taponen S, Koort J, Bengtsson B, Myllyniemi A-L, Pyörälä S. Genetic basis of penicillin resistance of S. aureus isolated in bovine mastitis. Acta Vet Scand. 2012;54(1):1–7. doi: 10.1186/1751-0147-54-69. [DOI] [PMC free article] [PubMed] [Google Scholar]
- 22.CF MOCHTAR, E. N. SHOLIKHAH, D. A. A. NUGRAHANINGSIH, T. NURYASTUTI, F. O. NITBANI, “Inhibitory and eradication activities of 1-monolaurin as anti-biofilm on monospecies and polymicrobial of Staphylococcus epidermidis and Candida tropicalis. Int J Pharm Res (09752366), vol. 13, no. 1, 2021.
- 23.Fu X, Huang B, Feng F. Shelf life of fresh noodles as affected by the food grade monolaurin microemulsion system. J Food Process Eng. 2008;31(5):619–627. doi: 10.1111/j.1745-4530.2007.00178.x. [DOI] [Google Scholar]
- 24.Albano M, Karau MJ, Schuetz AN, Patel R. Comparison of agar dilution to broth microdilution for testing in vitro activity of cefiderocol against Gram-negative bacilli. J Clin Microbiol. 2020;59:1–9. doi: 10.1128/JCM.00966-20. [DOI] [PMC free article] [PubMed] [Google Scholar]
- 25.Xu C, Li J, Yang L, Shi F, Yang L, Ye M. Antibacterial activity and a membrane damage mechanism of Lachnum YM30 melanin against Vibrio parahaemolyticus and Staphylococcus aureus. Food Control. 2017;73:1445–1451. doi: 10.1016/j.foodcont.2016.10.048. [DOI] [Google Scholar]
- 26.Yuan JS, Reed A, Chen F, Stewart CN. Statistical analysis of real-time PCR data. BMC Bioinformatics. 2006;7:1–12. doi: 10.1186/1471-2105-7-85. [DOI] [PMC free article] [PubMed] [Google Scholar]
- 27.Xu W, Zhou Q, Liu J, Zhang Y, Zhu X, Zhu B, Yin Y. In vitro study of the interaction of gentamicin with ceftriaxone and azithromycin against neisseria gonorrhoeae using agar dilution method. Antibiotics. 2022;11(8):1–9. doi: 10.3390/antibiotics11081083. [DOI] [PMC free article] [PubMed] [Google Scholar]
- 28.Dawis MA, Isenberg HD, France KA, Jenkins SG. In vitro activity of gatifloxacin alone and in combination with cefepime, meropenem, piperacillin and gentamicin against multidrug-resistant organisms. J Antimicrob Chemother. 2003;51(5):1203–1211. doi: 10.1093/jac/dkg238. [DOI] [PubMed] [Google Scholar]
- 29.JJ Gaudereto, LVP Neto, GC Leite, EPS. Espinoza, RCR Martins, G Villas Boa Prado, F. Rossi, T. Guimarães, A. S. Levin, S. F. Costa, “Comparison of methods for the detection of in vitro synergy in multidrug-resistant gram-negative bacteria,” BMC microbiology, vol. 20, pp. 1–7, 2020. [DOI] [PMC free article] [PubMed]
- 30.Guo Y, Song G, Sun M, Wang J, Wang Y. Prevalence and therapies of antibiotic-resistance in Staphylococcus aureus. Front Cell Infect Microbiol. 2020;10:1–11. doi: 10.3389/fcimb.2020.00107. [DOI] [PMC free article] [PubMed] [Google Scholar]
- 31.Vaou N, Stavropoulou E, Voidarou C, Tsigalou C, Bezirtzoglou E. Towards advances in medicinal plant antimicrobial activity: A review study on challenges and future perspectives. Microorganisms. 2021;9(10):1–28. doi: 10.3390/microorganisms9102041. [DOI] [PMC free article] [PubMed] [Google Scholar]
- 32.Turner J, Muraoka A, Bedenbaugh M, Childress B, Pernot L, Wiencek M, Peterson YK. The chemical relationship among beta-lactam antibiotics and potential impacts on reactivity and decomposition. Front Microbiol. 2022;13:1–18. doi: 10.3389/fmicb.2022.807955. [DOI] [PMC free article] [PubMed] [Google Scholar]
- 33.Vu TVD, Choisy M, Do TTN, Nguyen VMH, Campbell JI, Le TH, Nguyen VT, Wertheim HF, Pham NT, Nguyen VK. Antimicrobial susceptibility testing results from 13 hospitals in Viet Nam: VINARES 2016–2017. Antimicrob Resist Infect Control. 2021;10(1):1–11. doi: 10.1186/s13756-021-00937-4. [DOI] [PMC free article] [PubMed] [Google Scholar]
- 34.Ahmed ZF, Al-Daraghi WAH. Molecular Detection of medA Virulence Gene in Staphylococcus aureus Isolated from Iraqi Patients. Iraqi journal of biotechnology. 2022;21:8–18. [Google Scholar]
- 35.Sonbol FI, Abdelaziz AA, El-banna TE-S, Farag O. Detection and Characterization of Staphylococcus aureus and Methicillin-resistant S. aureus (MRSA) in Ear Infections in Tanta, Egypt. Journal of Advanced Medical and Pharmaceutical Research. 2022;3(2):36–44. [Google Scholar]
- 36.Skov R, Smyth R, Larsen A, Bolmstrom A, Karlsson A, Mills K, Frimodt-Moller N, Kahlmeter G. Phenotypic detection of methicillin resistance in Staphylococcus aureus by disk diffusion testing and Etest on Mueller-Hinton agar. J Clin Microbiol. 2006;44(12):4395–4399. doi: 10.1128/JCM.01411-06. [DOI] [PMC free article] [PubMed] [Google Scholar]
- 37.Garoy EY, Gebreab YB, Achila OO, Tekeste DG, Kesete R, Ghirmay R, Kiflay R, Tesfu T. Methicillin-resistant Staphylococcus aureus (MRSA): prevalence and antimicrobial sensitivity pattern among patients—a multicenter study in Asmara, Eritrea. Canadian Journal of Infectious Diseases and Medical Microbiology. 2019;2019:1–9. doi: 10.1155/2019/8321834. [DOI] [PMC free article] [PubMed] [Google Scholar]
- 38.Alfeky A-AE, Tawfick MM, Ashour MS, El-Moghazy A-NA. High prevalence of multi-drug resistant methicillin-resistant staphylococcus aureus in tertiary Egyptian Hospitals. The Journal of Infection in Developing Countries. 2022;16(05):795–806. doi: 10.3855/jidc.15833. [DOI] [PubMed] [Google Scholar]
- 39.C. M. Chukwueze, T. K. Udeani, E. I. Obeagu, N. Asogwa, Antibiotic susceptibility pattern of methicillin resistant staphylococcus aureus in hospitalized wound patients in selected tertiary hospitals in Enugu Metropolis. vol. 11, pp. 1690–1705, 2022.
- 40.Humphries R, Bobenchik AM, Hindler JA, Schuetz AN. Overview of changes to the clinical and laboratory standards institute performance standards for antimicrobial susceptibility testing, M100. J Clin Microbiol. 2021;59(12):1–13. doi: 10.1128/JCM.00213-21. [DOI] [PMC free article] [PubMed] [Google Scholar]
- 41.Wang SK, Gilchrist A, Loukitcheva A, Plotkin BJ, Sigar IM, Gross AE, O'Donnell JN, Pettit N, Buros A, O'Driscoll T. Prevalence of a cefazolin inoculum effect associated with blaZ gene types among methicillin-susceptible Staphylococcus aureus isolates from four major medical centers in Chicago. Antimicrob Agents Chemother. 2018;62(8):1–28. doi: 10.1128/AAC.00382-18. [DOI] [PMC free article] [PubMed] [Google Scholar]
- 42.Nannini EC, Stryjewski ME, Singh KV, Bourgogne A, Rude TH, Corey GR, Fowler VG, Jr, Murray BE. Inoculum effect with cefazolin among clinical isolates of methicillin-susceptible Staphylococcus aureus: frequency and possible cause of cefazolin treatment failure. Antimicrob Agents Chemother. 2009;53(8):3437–3441. doi: 10.1128/AAC.00317-09. [DOI] [PMC free article] [PubMed] [Google Scholar]
- 43.Bourreau A, Le Mabecque V, Broquet A, Caillon J. Prevalence of a cefazolin inoculum effect associated with blaZ gene types, and clinical outcomes among methicillin-susceptible Staphylococcus aureus blood isolates of patients with infective endocarditis. Infectious Diseases Now. 2023;53(1):1–8. doi: 10.1016/j.idnow.2022.09.021. [DOI] [PubMed] [Google Scholar]
- 44.Gergova R, Tsitou V-M, Dimov SG, Boyanova L, Mihova K, Strateva T, Gergova I, Markovska R. Molecular epidemiology, virulence and antimicrobial resistance of Bulgarian methicillin resistant Staphylococcus aureus isolates. Acta Microbiol Immunol Hung. 2022;69(3):193–200. doi: 10.1556/030.2022.01766. [DOI] [PubMed] [Google Scholar]
- 45.Kelsey J, Bayles KW, Shafii B, McGuire M. Fatty acids and monoacylglycerols inhibit growth ofStaphylococcus aureus. Lipids. 2006;41(10):951–961. doi: 10.1007/s11745-006-5048-z. [DOI] [PubMed] [Google Scholar]
- 46.Nitbani FO, Siswanta D, Sholikhah EN, Fitriastuti D. Synthesis and antibacterial activity 1-monolaurin. Orient J Chem. 2018;34(2):863. doi: 10.13005/ojc/340233. [DOI] [Google Scholar]
- 47.Sadiq S, Imran M, Habib H, Shabbir S, Ihsan A, Zafar Y, Hafeez FY. Potential of monolaurin based food-grade nano-micelles loaded with nisin Z for synergistic antimicrobial action against Staphylococcus aureus. LWT-Food Science and Technology. 2016;71:227–233. doi: 10.1016/j.lwt.2016.03.045. [DOI] [Google Scholar]
- 48.Tajik H, Raeisi M, Razavi Rohani SM, Hashemi M, Aminzare M, Naghili H, Rozbani D, Ben Ammar D. Effect of monolaurin alone and in combination with EDTA on viability of Escherichia coli and Staphylococcus aureus in culture media and iranian white cheese. J Food Qual Hazards Control. 2014;1:108–112. [Google Scholar]
- 49.Batovska DI, Todorova T, Tsvetkova V, Najdenski HM. Antibacterial study of the medium chain fatty acids and their 1-monoglycerides: individual effects and synergistic relationships. Pol J Microbiol. 2009;58(1):43–47. [PubMed] [Google Scholar]
- 50.Nitbani FO, Tjitda PJP, Nitti F, Jumina J, Detha AIR. Antimicrobial properties of lauric acid and monolaurin in virgin coconut oil: A review. ChemBioEng Reviews. 2022;9(5):442–461. doi: 10.1002/cben.202100050. [DOI] [Google Scholar]
- 51.Tangwatcharin P, Khopaibool P. Activity of virgin coconut oil, lauric acid or monolaurin in combination with lactic acid against Staphylococcus aureus. Southeast Asian J Trop Med Public Health. 2012;43(4):969–985. [PubMed] [Google Scholar]
- 52.Brown-Skrobot S, Novick RP, Projan SJ. Inhibition of expression of beta-lactamase using esters of fatty acid alcohols. Biotechnol Adv. 1997;15(1):225–225. doi: 10.1016/S0734-9750(97)88396-6. [DOI] [Google Scholar]
- 53.Kwiatkowski P, Łopusiewicz Ł, Pruss A, Kostek M, Sienkiewicz M, Bonikowski R, Wojciechowska-Koszko I, Dołęgowska B. Antibacterial Activity of Selected Essential Oil Compounds Alone and in Combination with β-Lactam Antibiotics Against MRSA Strains. Int J Mol Sci. 2020;21(19):7106. doi: 10.3390/ijms21197106. [DOI] [PMC free article] [PubMed] [Google Scholar]
- 54.Haq A, Siddiqi M, Batool SZ, Islam A, Khan A, Khan D, Khan S, Khan H, Shah AA, Hasan F, Ahmed S, Badshah M. Comprehensive investigation on the synergistic antibacterial activities of Jatropha curcas pressed cake and seed oil in combination with antibiotics. AMB Express. 2019;9(1):67. doi: 10.1186/s13568-019-0793-6. [DOI] [PMC free article] [PubMed] [Google Scholar]
- 55.Preuss HG, Echard B, Enig M, Brook I, Elliott TB. Minimum inhibitory concentrations of herbal essential oils and monolaurin for gram-positive and gram-negative bacteria. Mol Cell Biochem. 2005;272:29–34. doi: 10.1007/s11010-005-6604-1. [DOI] [PubMed] [Google Scholar]
- 56.Hemaiswarya S, Kruthiventi AK, Doble M. Synergism between natural products and antibiotics against infectious diseases. Phytomedicine. 2008;15(8):639–652. doi: 10.1016/j.phymed.2008.06.008. [DOI] [PubMed] [Google Scholar]
- 57.Tokam Kuaté CR, Bisso Ndezo B, Dzoyem JP. Synergistic antibiofilm effect of thymol and piperine in combination with aminoglycosides antibiotics against four Salmonella enterica serovars. Evid Based Complement Alternat Med. 2021;2021:1–9. doi: 10.1155/2021/1567017. [DOI] [PMC free article] [PubMed] [Google Scholar]
- 58.Bisso Ndezo B , Tokam Kuaté CR, Dzoyem JP. Synergistic antibiofilm efficacy of thymol and piperine in combination with three aminoglycoside antibiotics against Klebsiella pneumoniae biofilms. Can J Infect Dis Med Microbiol . 2021;2021:1–8. doi: 10.1155/2021/7029944. [DOI] [PMC free article] [PubMed] [Google Scholar]
- 59.Wang H, Niu Y, Pan J, Li Q, Lu R. Antibacterial effects of Lactobacillus acidophilus surface-layer protein in combination with nisin against Staphylococcus aureus. LWT. 2020;124:1–10. doi: 10.1016/j.lwt.2020.109208. [DOI] [Google Scholar]
Associated Data
This section collects any data citations, data availability statements, or supplementary materials included in this article.
Supplementary Materials
Data Availability Statement
All data generated or analyzed during this study are included in this article and its Supplementary information file.




