Abstract
Background
The occurrence of complications following radical gastrectomy for gastric cancer significantly impacts patients’ quality of life. Elderly patients are susceptible to postoperative complications. This study seeks to investigate the risk factors associated with Clavien-Dindo ≥IIgrade complications following radical gastrectomy for advanced gastric cancer in elderly patients, develop a nomogram risk prediction model, and validate its accuracy.
Methods
Retrospective collection of clinical and pathological data was conducted on 442 elderly patients with advanced gastric cancer who underwent radical gastrectomy at Shaanxi Provincial People’s Hospital from January 2015 to December 2020. They were randomly divided into a training set (n = 310) and a validation set (n = 132) in a 7:3 ratio. The severity of postoperative complications was graded using the Clavien-Dindo classification system, resulting in two complication groups: Clavien-Dindo <II group (n = 229) and Clavien-Dindo ≥II group (n = 81). Univariate and multivariate logistic regression analyses were performed to identify independent risk factors affecting the occurrence of Clavien-Dindo ≥II grade complications, and a predictive model was established based on the results. The model was then validated using the validation set.
Results
Among the 442 patients included in the study, 121 cases (27.38%) experienced postoperative complications, with 111 cases (25.11%) classified as Clavien-Dindo ≥II grade complications. Multivariable logistic analysis revealed that the Prognostic Nutritional Index (PNI), surgical duration, age, and history of Diabetes mellitus were independent risk factors for the occurrence of Clavien-Dindo ≥IIgrade complications in elderly patients with advanced gastric cancer after surgery (P < 0.05). The nomogram model constructed based on these factors demonstrated good discriminative ability, as indicated by the area under the Receiver Operating Characteristic (ROC) curve. Calibration plots showed that the predicted probability of gastric cancer lymph node metastasis using the nomogram model was well aligned with actual outcomes. Decision curve analysis indicated the clinical utility of the nomogram model across a wide range of thresholds, demonstrating its practicality and potential for clinical benefit.
Conclusion
This study identified Prognostic Nutritional Index (PNI), surgical duration, age, and history of Diabetes mellitus as risk factors for the occurrence of Clavien-Dindo ≥ II grade complications in elderly patients with advanced gastric cancer after surgery. Based on these four risk factors, a nomogram risk prediction model was constructed. This model can be used to personalize the prediction of the risk of Clavien-Dindo ≥ II grade complications occurring after surgery in elderly patients with advanced gastric cancer.
Keywords: Elderly, Advanced gastric cancer, Clavien-Dindo classification of surgical complications, Risk factors, Nomogram
Introduction
As the population ages, the number of elderly patients with gastric cancer is increasing [1–4]. The management of gastric cancer involves a comprehensive systemic approach, encompassing surgical treatment, immunotherapy, targeted therapy, and other modalities [5–7]. With aging, elderly patients often experience a decline in various organ functions, which diminishes their tolerance to surgery compared to younger individuals [8]. This physiological decline, coupled with their decreased ability to cope with the trauma induced by tumors or surgery, significantly increases the risk of perioperative complications [9]. Despite these challenges, D2 radical surgery remains the preferred treatment for advanced gastric cancer. Advancements in medical technology have significantly decreased the mortality rate of gastric cancer [10, 11]. However, radical gastrectomy for gastric cancer involves complex procedures, including complete tumor resection, thorough clearance of lymph nodes, and eradication of any microscopic metastases [12], leading to a higher risk of perioperative complications due to the longer duration of surgery. How to minimize the occurrence of complications while achieving radical resection remains a focal point of clinical attention.
Perioperative complications can vary in type, including infectious complications, anastomotic-related complications, and incision-related complications. Different research focuses on different directions [13–15], and the risk factors affecting the occurrence and development of perioperative complications in gastric cancer patients vary accordingly. Previous studies have explored risk factors for overall postoperative complications or specific types of complications [16, 17], but studies based on the severity grading of complications are limited, making it difficult to compare results across different centers and trials. Pierre-Alain Clavien et al. proposed the Clavien-Dindo classification system for surgical complications in 1992 [18], which grades the severity of complications based on the treatment required. It consists of five grades and was updated in 2004 [19], with validation conducted in 6336 general surgery patients. Research has shown that the Clavien-Dindo classification system demonstrates high consistency in defining and grading perioperative complications, offering advantages such as simplicity, reproducibility, rationality, practicality, and comprehensiveness.
In the era of enhanced recovery after surgery, there is a pressing need in clinical practice to develop an intuitive and precise model for evaluating the risk of perioperative complications in elderly patients with advanced gastric cancer. Timely intervention guided by risk assessment results is imperative to prevent severe outcomes and enhance short-term prognosis for patients. This study delves into the risk factors associated with the occurrence of Clavien-Dindo ≥II grade complications in elderly patients with advanced gastric cancer post-surgery. Furthermore, it constructs a nomogram risk prediction model tailored for individualized risk assessment. Ultimately, this empowers clinicians with a reliable tool for promptly identifying high-risk patients and facilitating targeted interventions.
Methods and materials
Study design and patients
This retrospective observational study collected and reviewed clinical and pathological data from elderly patients with advanced gastric cancer who underwent D2 radical gastrectomy in the Department of General Surgery at Shaanxi Provincial People’s Hospital from January 2015 to December 2020. The severity of postoperative complications was graded using the Clavien-Dindo classification system, categorizing complications into Clavien-Dindo <II group and Clavien-Dindo ≥II group. Our study used the definition of the elderly of World Health Organization (WHO) and defined the individuals aged ≥ 60 years old as the elderly [20]. Inclusion criteria were as follows: (1) Age ≥ 60 years; (2) Postoperative pathological examination confirming advanced gastric cancer, staged according to the 8th edition of the American Joint Committee on Cancer (AJCC) TNM staging system as stage I-III; (3) Underwent radical gastrectomy for gastric cancer with concurrent D2 lymph node dissection; (4) No concomitant organ infections preoperatively; (5) Complete clinical and follow-up data available. Exclusion criteria were: (1) Presence of tumors in other organs; (2) Invasion of adjacent organs or occurrence of distant metastases; (3) Presence of severe internal medical diseases; (ASA) classification of grade IV or higher; (4) Underwent preoperative radiotherapy, chemotherapy, immune checkpoint inhibitors (ICIs), or other treatments. Finally, 442 patients were included in this study. (Fig. 1)
Fig. 1.
Flowchart of exclusion criteria for patient inclusion
Perioperative complications encompass issues arising from surgery within 30 days postoperatively, diagnosed through clinical symptoms, laboratory tests, and imaging examinations documented in the patient’s medical records. These complications span various conditions such as fever, abdominal distension, nausea, vomiting, urinary retention, pulmonary infection, intra-abdominal infection, urinary tract infection, wound infection, anastomotic obstruction, pleural effusion, wound dehiscence, intra-abdominal hemorrhage, intestinal obstruction, anastomotic leakage or fistula, duodenal stump rupture, acute kidney injury, acute heart failure, acute respiratory failure, and multiple organ dysfunction, among others.
Complication severity is delineated by the Clavien-Dindo classification system [21], which comprises five grades. Level one typically entails mild symptoms with no threat to life, while level five complications indicate fatality. Detailed information is provided in Table 1.
Table 1.
The Clavien-Dindo classification of surgical complications
| Grades | Definition |
|---|---|
| Grade I | Non-life-threatening complications necessitating observation and administration of antiemetics, antipyretics, analgesics, electrolyte-balancing medications, and physical therapy |
| Grade II | Potentially life-threatening complications |
| II-a | Requires transfusion, anticoagulation, antimicrobial therapy, and parenteral nutrition in addition to Grade I interventions |
| II-b | Invasive procedures like gastrointestinal decompression tube placement or contrast studies, in addition to II-a treatments |
| Grade III | Complications leading to persistent disability or organ resection |
| III-a | Procedures performed without general anesthesia, including surgical, endoscopic, radiological, or interventional approaches |
| III-b | Procedures performed under general anesthesia |
| Grade IV | Life-threatening complications |
| IV-a | Involves single organ dysfunction necessitating ICU admission and monitoring |
| IV-b | Involves multiple organ dysfunction |
| Grade V | Death |
Clinical variables
Clinical variables included age, gender, recent weight loss (≥ 5 kg within the past 3 months), history of acid suppression therapy, smoking history, alcohol consumption history, hypertension history, diabetes mellitus, coronary heart disease history, chronic obstructive pulmonary disease history, history of previous abdominal surgery, tumor differentiation grade, tumor T stage, tumor N stage, tumor location, tumor diameter, ASA classification, surgical approach, and surgical duration were collected as general clinical data. Additionally, preoperative blood test results were obtained, including preoperative levels of serum albumin, hemoglobin, neutrophil count, lymphocyte count, monocyte count, platelet count, preoperative carcinoembryonic antigen (CEA), preoperative carbohydrate antigen 19 − 9 (CA19-9), and preoperative carbohydrate antigen 125 (CA-125).
The prognostic nutritional index (PNI) was calculated using the following formula: PNI = serum albumin level (g/L) + preoperative lymphocyte count (109/L) × 5 [11]. Peripheral venous blood samples were collected from all patients within one week before surgery for testing. Postoperative pathological results were independently reviewed by two pathologists.
Statistical analysis
The recruited patients were randomly divided in a 7:3 ratio, with 70% of the patients allocated to the training set for developing the prediction model, and the remaining 30% allocated to the validation set for assessing the model’s accuracy.
Data analysis was performed using SPSS Statistics 26.0 software and R software version 4.2.1. Clavien-Dindo <II group and Clavien-Dindo ≥II group were compared using the Mann–Whitney U test, independent sample t-tests, and Pearson’s chi-squared test, as appropriate. Data are expressed as the mean ± standard deviation or median (quartile) for continuous variables, and frequency and percentage for categorical variables, based on the normal distribution of the data. Factors that exhibited statistical significance (P < 0.05) in the univariate analysis or were deemed clinically significant based on professional judgment were included in multivariable logistic regression analysis to identify independent risk factors for the occurrence of Clavien-Dindo ≥II grade complications. Using these independent risk factors, a nomogram risk prediction model for forecasting the occurrence of Clavien-Dindo ≥II grade complications was constructed using R software (version 4.2.1).
The predictive model developed in the training set was applied to the validation set to evaluate and validate its predictive capability. The discrimination ability of the model was assessed within the training set using the area under the receiver operating characteristic (ROC) curve. ROC curve analysis is a method used to assess the performance of diagnostic tests by plotting the relationship between True Positive Rate (TPR) and False Positive Rate (FPR). The AUC (Area Under the Curve) value is a probability metric that represents the likelihood that a classifier will rank a randomly chosen positive sample higher than a randomly chosen negative sample based on the computed score. A higher AUC value indicates that the classifier is more likely to correctly rank positive samples ahead of negative samples, thereby indicating better classification performance. Calibration plots were generated, and the calibration effect of the model was assessed using the Hosmer-Lemeshow test. The calibration curve is the consistency between the frequency of observed results and prediction probability. The Hosmer-Lemeshow test provides a P-value used to evaluate the consistency between model predictions and actual observations. If the P-value is less than a certain significance level (0.05), the model is considered statistically inconsistent with the data, indicating poor calibration. Conversely, if the P-value is greater than the significance level, the model’s calibration is deemed acceptable. The clinical utility of the model was evaluated using DCA (decision curve analysis) curves.
Results
Patients’ characteristics
According to the inclusion and exclusion criteria, a total of 442 patients were included in this study, with ages ranging from 60 to 90 years and a median age of 67 (interquartile range: 63–72) years. The surgical duration ranged from 2.40 to 13.40 h, with a median of 5.20 (interquartile range: 4.14–6.20) hours. The levels of CEA ranged from 0.19 to 1000 ng/ml, with a median of 3.05 (interquartile range: 1.63–8.31) ng/ml. CA19-9 levels ranged from 0.6 to 1000 U/ml, with a median of 11.14 (interquartile range: 6.42–25.41) U/ml. CA-125 levels ranged from 0.55 to 657.02 U/ml, with a median of 9.23 (interquartile range: 5.54–17.63) U/ml. PNI ranged from 26.30 to 56.70, with a mean of (43.08 ± 5.71). Further clinical and pathological characteristics are detailed in Table 2.
Table 2.
Demographic and clinical characteristics of 442 elderly patients with advanced gastric cancer
| Demographic characteristics | quantity | percentage(%) | Demographic characteristics | quantity | percentage(%) |
|---|---|---|---|---|---|
| Gender | Operative method | ||||
| Male | 340 | 76.9 | laparoscopy | 311 | 70.4 |
| Female | 102 | 23.1 | Laparotomy | 131 | 29.6 |
| Weight loss | Differentiation | ||||
| Yes | 253 | 57.2 | well | 102 | 23.1 |
| No | 189 | 42.8 | moderately | 73 | 16.5 |
| Acid suppression | poorly | 267 | 60.4 | ||
| Yes | 176 | 39.8 | T stage | ||
| No | 266 | 60.2 | T1 | 0 | 0.0 |
| Smoking | T2 | 47 | 10.6 | ||
| Yes | 244 | 55.2 | T3 | 93 | 21.1 |
| No | 198 | 44.8 | T4 | 302 | 68.3 |
| Alcohol | N stage | ||||
| Yes | 161 | 36.4 | N0 | 120 | 27.1 |
| No | 281 | 63.6 | N1 | 96 | 21.7 |
| hypertension | N2 | 105 | 23.8 | ||
| Yes | 133 | 30.1 | N3 | 121 | 27.4 |
| No | 309 | 69.9 | Tumor localization | ||
| diabetes | cardia | 142 | 32.1 | ||
| Yes | 120 | 27.1 | body | 140 | 31.7 |
| No | 322 | 72.9 | antrum | 160 | 36.2 |
| CHD | ASA | ||||
| Yes | 72 | 16.3 | I | 191 | 43.2 |
| No | 370 | 83.7 | II | 132 | 29.9 |
| COPD | III | 119 | 26.9 | ||
| Yes | 43 | 9.7 | IV | 0 | 0.0 |
| No | 399 | 90.3 | TNM | ||
| Abdomen surgery | I | 29 | 6.5 | ||
| Yes | 101 | 22.9 | II | 121 | 27.4 |
| No | 341 | 77.1 | III | 292 | 66.1 |
Categorical data are expressed as percentages; weight loss (≥ 5 kg within the past 3 months); Acid suppression: history of acid suppression therapy; CHD: coronary heart disease; COPD: chronic obstructive pulmonary disease
121 patients (27.38%) experienced postoperative complications, manifesting in a range of types, including fever, abdominal distension, nausea and vomiting, urinary retention, pulmonary infection, intra-abdominal infection, urinary tract infection, wound infection, delayed gastric emptying, bowel obstruction, pleural effusion, wound dehiscence, intra-abdominal hemorrhage, anastomotic leakage or fistula, duodenal stump rupture, acute kidney injury, acute heart failure, acute respiratory failure, multiple organ dysfunction, and death. It is notable that a patient might present with one or more complications, and the final tally of complications is determined by the most severe type observed. Among the cases, there were 111 instances (25.11%) of Clavien-Dindo grade ≥ II complications. Notably, two patients succumbed: one due to respiratory failure stemming from pulmonary infection, and the other due to multiple organ dysfunction syndrome ensuing from systemic inflammatory response syndrome triggered by intra-abdominal infection. The remaining patients were discharged post-recovery, receiving subsequent symptomatic treatment. (Fig. 2)
Fig. 2.
Complications after surgery
According to the inclusion and exclusion criteria, a total of 442 patients were enrolled. They were then randomly divided into a training set (n = 310) and a validation set (n = 132) in a 7:3 ratio. In the training set, 81 cases (26.13%) experienced Clavien-Dindo ≥II grade complications after surgery, while in the validation set, the number was 30 cases (22.73%). Statistical analysis revealed no significant difference in the clinical pathological characteristics between the training and validation sets (P > 0.05), suggesting that the two groups had similar baseline data. (Table 3).
Table 3.
Demographic and clinical characteristics of the training and validation sets
| Demographic characteristics | Training (n = 310) | Validation (n = 132) | P |
|---|---|---|---|
| age(years) | 67.5(64.0, 72.0) | 67.0(63.0, 72.0) | 0.144 |
| gender | 0.263 | ||
| Male | 243(78.4%) | 97(73.5%) | |
| Female | 67(21.6%) | 35(26.5%) | |
| weight loss | 0.907 | ||
| Yes | 178(57.4%) | 75(56.8%) | |
| No | 132(42.6%) | 57(43.2%) | |
| acid suppression | 0.926 | ||
| Yes | 123(39.7%) | 53(40.2%) | |
| No | 187(60.3%) | 79(59.8%) | |
| smoking | 0.856 | ||
| Yes | 172(55.5%) | 72(54.5%) | |
| No | 138(44.5%) | 60(45.5%) | |
| alcohol | 0.653 | ||
| Yes | 115(37.1%) | 46(34.8%) | |
| No | 195(62.9%) | 86(65.2%) | |
| hypertension | 0.949 | ||
| Yes | 93(30.0%) | 40(30.3%) | |
| No | 217(70.0%) | 92(69.7%) | |
| diabetes | 0.786 | ||
| Yes | 83(26.8%) | 37(28.0%) | |
| No | 227(73.2%) | 95(72.0%) | |
| CHD | 0.889 | ||
| Yes | 50(16.1%) | 22(16.7%) | |
| No | 260(83.9%) | 110(83.3%) | |
| OPD | 0.685 | ||
| Yes | 29(9.4%) | 14(10.6%) | |
| No | 281(90.6%) | 118(89.4%) | |
| abdomen operation | 0.592 | ||
| Yes | 73(23.5%) | 28(21.2%) | |
| No | 237(76.5%) | 104(78.8%) | |
| differentiation | 0.875 | ||
| well + moderately | 122(39.4%) | 53(40.2%) | |
| poorly | 188(60.6%) | 79(59.8%) | |
| depth of infiltration | 0.745 | ||
| T3 + T4 | 278(89.7%) | 117(88.6%) | |
| T2 | 32(10.3%) | 15(11.4%) | |
| lymph node metastasis | 0.613 | ||
| Yes | 228(73.5%) | 94(71.2%) | |
| No | 82(26.5%) | 38(28.8%) | |
| TNM | 0.356 | ||
| III | 209(67.4%) | 83(62.9%) | |
| I+II | 101(32.6%) | 49(37.1%) | |
| Tumor localization | 0.211 | ||
| cardia + body | 192(61.9%) | 90(68.2%) | |
| antrum | 118(38.1%) | 42(31.8%) | |
| ASA | 0.564 | ||
| III | 81(26.1%) | 38(28.8%) | |
| I+II | 229(73.9%) | 94(71.2%) | |
| operative method | 0.073 | ||
| laparoscopy | 226(72.9%) | 85(64.4%) | |
| laparotomy | 84(27.1%) | 47(35.6%) | |
| operation time(hour) | 5.20(4.14, 6.20) | 5.10(4.11, 6.23) | 0.996 |
| intraoperative blood loss(ml) | 100.0(100.0, 100.0) | 100.0(100.0, 100.0) | 0.316 |
| tumor diameter(cm) | 5.00(3.00, 6.00) | 4.00(4.00, 5.00) | 0.295 |
| CEA(ng/ml) | 2.87(1.56, 8.16) | 3.18(1.81, 9.41) | 0.169 |
| CA19-9(U/ml) | 11.56(6.66, 25.93) | 9.13(4.88, 22.65) | 0.083 |
| CA125(U/ml) | 9.35(5.67, 18.41) | 9.06(4.91, 16.70) | 0.451 |
| neutrophil count(×109/L) | 3.77(2.89, 4.92) | 3.66(2.85, 4.97) | 0.837 |
| lymphocyte count(×109/L) | 1.27(0.99, 1.58) | 1.30(1.09, 1.69) | 0.148 |
| monocyte count(×109/L) | 0.45(0.36, 0.58) | 0.44(0.36, 0.59) | 0.613 |
| platelet count(×109/L) | 219.0(179.75, 273.25) | 210.5(170.25, 266.75) | 0.323 |
| hemoglobin(g/L) | 119.0(98.0, 134.0) | 123.5(94.25, 140.0) | 0.570 |
| albumin(g/L) | 36.20 ± 4.81 | 36.39 ± 4.82 | 0.706 |
| PNI | 42.96 ± 5.77 | 43.38 ± 5.59 | 0.472 |
Categorical data were described using frequencies. Normally distributed continuous data were described as mean ± standard deviation (x ± s). Skewed distributed continuous data were described using median (upper and lower quartiles)
Univariate and multivariate analyses in training set
The potential factors associated with Clavien-Dindo ≥II grade complications were analyzed using univariate analysis. The results indicated that patient age, Diabetes mellitus, TNM stage, ASA classification, Operation time, preoperative lymphocyte count, preoperative serum albumin level, and PNI were all associated with the occurrence of postoperative Clavien-Dindo ≥II grade complications (P < 0.05). (Table 4).
Table 4.
Univariate analysis of postoperative Clavien-Dindo ≥ grade II complications in the training set
| characteristics | Clavien-Dindo | χ2/t/z | P | |
|---|---|---|---|---|
| <II(n = 229) | ≥II(n = 81) | |||
| age(years) | 66.0(63.0, 71.0) | 70.0(66.5, 76.0) | -4.545 | <0.001 |
| gender | 0.613 | 0.434 | ||
| Male | 182(79.5%) | 61(75.3%) | ||
| Female | 47(20.5%) | 20(24.7%) | ||
| weight loss | 0.156 | 0.693 | ||
| Yes | 133(58.1%) | 45(55.6%) | ||
| No | 96(41.9%) | 36(44.4%) | ||
| acid suppression | 0.688 | 0.407 | ||
| Yes | 94(41.0%) | 29(35.8%) | ||
| No | 135(59.0%) | 52(64.2%) | ||
| smoking | 0.001 | 0.988 | ||
| Yes | 127(55.5%) | 45(55.6%) | ||
| No | 102(44.5%) | 36(44.4%) | ||
| alcohol | 1.756 | 0.185 | ||
| Yes | 80(34.9%) | 35(43.2%) | ||
| No | 149(65.1%) | 46(56.8%) | ||
| hypertension | 1.758 | 0.185 | ||
| Yes | 64(27.9%) | 29(35.8%) | ||
| No | 165(72.1%) | 52(64.2%) | ||
| diabetes | 42.440 | <0.001 | ||
| Yes | 39(17.0%) | 44(54.3%) | ||
| No | 190(83.0%) | 37(45.7%) | ||
| CHD | 3.009 | 0.083 | ||
| Yes | 32(14.0%) | 18(22.2%) | ||
| No | 197(86.0%) | 63(77.8%) | ||
| OPD | 0.035 | 0.851 | ||
| Yes | 21(9.2%) | 8(9.9%) | ||
| No | 208(90.8%) | 73(90.1%) | ||
| abdomen operation | 1.541 | 0.214 | ||
| Yes | 58(25.3%) | 15(18.5%) | ||
| No | 171(74.7%) | 66(81.5%) | ||
| differentiation | 0.054 | 0.816 | ||
| well + moderately | 91(39.7%) | 31(38.3%) | ||
| poorly | 138(60.3%) | 50(61.7%) | ||
| depth of infiltration | 1.007 | 0.316 | ||
| T3 + T4 | 203(88.6%) | 75(92.6%) | ||
| T2 | 26(11.4%) | 6(7.4%) | ||
| lymph node metastasis | 3.547 | 0.060 | ||
| Yes | 162(70.7%) | 66(81.5%) | ||
| No | 67(29.3%) | 15(18.5%) | ||
| TNM | 4.156 | 0.041 | ||
| III | 147(64.2%) | 62(76.5%) | ||
| I+II | 82(35.8%) | 19(23.5%) | ||
| Tumor localization | 1.655 | 0.198 | ||
| cardia + body | 137(59.8%) | 55(67.9%) | ||
| antrum | 92(40.2%) | 26(32.1%) | ||
| ASA | 8.376 | 0.004 | ||
| III | 50(21.8%) | 31(38.3%) | ||
| I+II | 179(78.2%) | 50(61.7%) | ||
| operative method | 1.319 | 0.251 | ||
| laparoscopy | 163(71.2%) | 63(77.8%) | ||
| laparotomy | 66(28.8%) | 18(22.2%) | ||
| operation time(hour) | 5.00(4.05, 6.03) | 5.45(4.48, 6.48) | -3.331 | 0.001 |
| blood loss(ml) | 100.0(100.0, 100.0) | 100.0(100.0, 100.0) | -0.058 | 0.954 |
| tumor diameter(cm) | 4.50(3.00, 6.00) | 5.00(3.00, 6.00) | -0.467 | 0.641 |
| CEA(ng/ml) | 3.13(1.59, 8.25) | 2.52(1.51, 7.03) | -1.198 | 0.231 |
| CA19-9(U/ml) | 11.37(6.65, 22.87) | 12.40(6.87, 33.48) | -0.935 | 0.350 |
| CA125(U/ml) | 9.00(5.66, 16.40) | 11.53(5.81, 22.50) | -1.442 | 0.149 |
| neutrophil(×109/L) | 3.74(2.86, 4.79) | 4.10(3.03, 5.60) | -1.400 | 0.162 |
| lymphocyte(×109/L) | 1.38(1.02, 1.70) | 1.11(0.90, 1.35) | -4.135 | <0.001 |
| monocyte(×109/L) | 0.44(0.36, 0.58) | 0.47(0.39, 0.60) | -0.907 | 0.364 |
| platelet(×109/L) | 219.0(185.5, 270.0) | 230.0(165.0, 283.5) | -0.090 | 0.928 |
| hemoglobin(g/L) | 121.0(103.0, 134.0) | 117.0(89.0, 132.0) | -1.346 | 0.178 |
| albumin(g/L) | 36.77 ± 4.88 | 34.60 ± 4.25 | 3.547 | <0.001 |
| PNI | 43.92 ± 5.79 | 40.24 ± 4.81 | 5.120 | <0.001 |
P<0.05 is considered statistically significant
Since PNI is calculated based on preoperative serum albumin level and lymphocyte count, preoperative serum albumin level and lymphocyte count were not included in the multivariable analysis to avoid multicollinearity issues. Multivariate logistic regression analysis suggested that independent risk factors for Clavien-Dindo ≥II grade complications were age [OR (95%CI) = 1.068 (1.015–1.124), P = 0.011], history of Diabetes mellitus [OR (95%CI) = 4.599 (2.445–8.652), P < 0.001], surgical duration [OR (95%CI) = 1.285 (1.085–1.522), P = 0.004], and PNI [OR (95%CI) = 0.900 (0.848–0.956), P = 0.001]. (Table 5).
Table 5.
Multifactorial analysis of postoperative Clavien-Dindo ≥ grade II complications in the training set
| characteristics | β | Wald χ2 | OR | 95%CI | P |
|---|---|---|---|---|---|
| age | 0.066 | 6.419 | 1.068 | 1.015–1.124 | 0.011 |
| weight loss | 0.094 | 0.094 | 1.099 | 0.601–2.010 | 0.760 |
| diabetes | 1.526 | 22.399 | 4.599 | 2.445–8.652 | <0.001 |
| TNM | 0.370 | 1.197 | 1.447 | 0.746–2.807 | 0.274 |
| ASA | 0.118 | 0.117 | 1.125 | 0.573–2.206 | 0.732 |
| operative method | -0.250 | 0.489 | 0.779 | 0.387–1.568 | 0.484 |
| operation time | 0.251 | 8.439 | 1.285 | 1.085–1.522 | 0.004 |
| PNI | -0.105 | 11.785 | 0.900 | 0.848–0.956 | 0.001 |
The regression coefficient was denoted as β. OR, odds ratio; CI, confidence interval
Development of the prediction model
This study developed a nomogram model to predict the occurrence of Clavien-Dindo ≥II grade complications after surgery in elderly patients with advanced gastric cancer by incorporating four independent risk factors: PNI, surgical duration, age, and history of Diabetes mellitus. In the first row (Points), points were assigned to each individual variable by plotting the value of each variable on the vertical line corresponding to “Points.” By summing up the points assigned to each individual variable, the total score was calculated. Based on the total score, the approximate probability of postoperative Clavien-Dindo ≥II grade complications was predicted. A higher total score corresponds to a higher probability of postoperative Clavien-Dindo ≥II grade complications. When the total score is ≥ 196, the probability reaches the critical value of 90%. (Fig. 3)
Fig. 3.
Nomogram for predicting complications of elderly with Clavien-Dindo Classification ≥ II Grade in advanced gastric cancer. Each variable was assigned a score ranging from 0 to 100. The scores for each variable were added together, yielding a sum that can be located on the total points axis, predicting the probability of complications
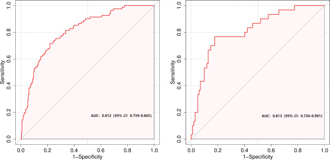
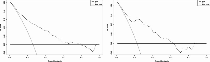
The discriminative ability of the nomogram prediction model was assessed using ROC analysis. The AUCs were found to be 0.812 (95% CI: 0.759–0.865) for the training set and 0.813 (95% CI: 0.726–0.901) for the validation set. Sensitivity values were 71.6% and 76.7%, while specificity values were 78.2% and 82.4% for the training and validation sets, respectively, indicating strong discriminative ability. (Fig. 4). Calibration curves revealed that the predicted probabilities from the nomogram model closely matched the ideal 45°line, demonstrating good consistency. Additionally, the Hosmer-Lemeshow tests produced χ2 = 6.860, P = 0.652, and χ2 = 4.358, P = 0.886 for the training and validation sets, respectively, suggesting a good fit of the model. (Fig. 5). The DCA curves of the training and validation sets indicate that using this model to predict complications of elderly with Clavien-Dindo Classification ≥ II Grade in advanced gastric cancer will result in increased clinical net benefit when the risk threshold of the column line chart model ranges between 5 and 78% and 5–62%. (Fig. 6)
Fig. 4.
ROC curves of the risk prediction column line chart models in the training and validation sets. (The training set is shown on the left, and the validation set is on the right.)
Fig. 5.
Calibration curves for training and validation sets. (The training set is shown on the left, and the validation set is on the right.)
Fig. 6.
DCA curves of the risk prediction column line chart models in the training and validation sets. (The training set is shown on the left, and the validation set is on the right.)
The results demonstrate that the model exhibits good applicability in predicting postoperative Clavien-Dindo complications of grade ≥ II during radical surgery for gastric cancer.
Discussion
In this study, we identified four easily assessable variables: PNI, age, surgical duration, and diabetes mellitus. Utilizing these findings, we developed and internally validated a personalized prediction nomogram for postoperative Clavien-Dindo ≥II grade complications in elderly advanced gastric cancer patients. Our results underscore the effectiveness of the nomogram in accurately predicting the risk of such complications in this demographic. Internal validation confirms the model’s robust discriminative ability and calibration. Additionally, Decision Curve Analysis (DCA) illustrates the clinical relevance of decisions showing great benefit in the probability threshold range of this model.
The overall incidence of postoperative complications in gastric cancer ranges from 18.1 to 34.6% [22–24]. In fact, surgical-related adverse events often increase with age, and this issue becomes more pronounced for elderly individuals who are already somewhat frail. For this subset of patients, the risk of perioperative complications is higher, significantly impacting their survival. How to minimize complications while achieving radical resection and improving patients’ quality of life has emerged as a new clinical concern. Previous studies have pursued different research directions, with some emphasizing specific outcomes, making it difficult to horizontally compare results across different centers and trials. In our study of 442 patients, 121 (27.38%) experienced postoperative complications, with 111 patients presenting Clavien-Dindo ≥ II grade complications, resulting in a rate of 25.11%. Various factors influence the occurrence of postoperative complications in gastric cancer, with inconsistent findings across different research teams. Wang et al. [25] demonstrated that the number of comorbidities, age, BMI, intraoperative blood loss, and surgical duration are independent risk factors for postoperative complications following gastric cancer radical surgery. Dong et al. [26] revealed that age over 65 years, preoperative anemia, serum albumin levels less than 30 g/L, and digestive tract obstruction are risk factors for infectious complications after gastric cancer surgery. Zhang et al. [27] reported that transfusion, a history of hypertension, a history of diabetes mellitus, and a history of abdominal surgery are predictive factors for postoperative complications. In our study, independent risk factors influencing the occurrence of Clavien-Dindo ≥ II grade complications after surgery in elderly advanced gastric cancer patients include PNI, surgical duration, age, and diabetes mellitus.
For cancer patients undergoing chemotherapy, surgery, targeted therapy, or radiotherapy for cancer, albumin levels are a critical parameter [28, 29]. They can aid in making treatment decisions and predicting overall survival outcomes for these patients. The Prognostic Nutritional Index (PNI) is a composite clinical scoring tool that combines albumin and lymphocyte levels, reflecting the nutritional and immune status of cancer patients [30]. In this study, PNI was calculated using preoperative levels of albumin and lymphocyte count to assess the body’s immune and nutritional status. The results indicate that a low PNI level is an independent risk factor for Clavien-Dindo ≥ II grade complications (OR = 0.900, P = 0.001). The nonspecific inflammatory response induced by malignant tumors can lead to a decrease in lymphocyte count [31], exacerbating inflammation and deteriorating nutritional status. This results in reduced immune cell function, thereby increasing the likelihood of postoperative complications. Additionally, cancer itself and the inflammatory response can cause a decrease in albumin levels [32], making individuals with low albumin levels more susceptible to infections and other postoperative complications.
Research has shown that the incidence of postoperative complications increases with advancing age. In this study, age (OR = 1.068, P = 0.011) emerged as a significant risk factor for Clavien-Dindo ≥II grade complications following radical gastric cancer surgery, with older patients facing a significantly higher risk of experiencing such complications compared to younger counterparts. This heightened risk in elderly patients may be attributed to immune dysfunction [33], poor nutritional status [34], and multi-organ functional decline. Shibata et al. [35] reported that aging leads to diminished immune function, resulting in decreased host resistance to infections and increased susceptibility to bacteria. Furthermore, gastric cancer, as a debilitating disease, exacerbates the risk of malnutrition, further weakening the body’s immune response to external threats. Consequently, these patients are more susceptible to developing infections.
The results of this study reveal that diabetes mellitus is an independent risk factor for the occurrence of Clavien-Dindo ≥II grade complications following surgery in elderly advanced gastric cancer patients (OR = 4.599, P<0.001). Diabetes mellitus is a metabolic disorder characterized by chronic hyperglycemia resulting from defects in insulin secretion and/or utilization, stemming from various etiologies. Patients with diabetes mellitus experience impaired leukocyte phagocytic and bactericidal capabilities due to compromised immune function, leading to reduced resistance to infections [36]. Moreover, the hyperglycemic environment resulting from abnormal glucose metabolism promotes bacterial proliferation, further heightening the risk of pathogen infections. Additionally, the heightened catabolic metabolism in diabetic patients leads to increased protein breakdown, contributing to delayed wound healing and compromised immune function, thereby exacerbating poor healing at anastomotic sites and surgical incisions [37]. Furthermore, studies suggest [38] that high blood sugar levels delay gastric emptying by inhibiting gastric antral contractions and stimulating pyloric contractions, potentially increasing the risk of more severe complications.
Gastric cancer radical resection surgery is a complex and time-consuming procedure. Typically, the duration of surgery is closely related to the complexity of the operation and the extent of resection. However, as surgical duration increases, the risk of postoperative complications in gastric cancer patients rises. Research by Cheng et al. [39] has shown a close association between surgical duration and complications such as surgical site infections, pulmonary infections, urinary tract infections, and intestinal obstruction. The risk of postoperative complications increases with prolonged surgical duration. The results of this study indicate that surgical duration is a risk factor for Clavien-Dindo ≥II grade complications (OR = 1.285, P = 0.004). This may be due to the reduced effectiveness of prophylactic antibiotics with longer surgical durations [40]. Additionally, prolonged exposure of the surgical area to the air increases the chance of contact with potentially pathogenic microorganisms present in the environment [41], thereby increasing the risk of postoperative infectious complications.
In summary, in clinical practice, elderly patients with advanced gastric cancer face an elevated risk of postoperative complications, highlighting the need for comprehensive analysis. Preparation for these patients should involve thorough and extensive measures, encompassing comprehensive physical examinations, routine tests, as well as evaluations of major organ functions including heart, lungs, liver, and kidneys. Appropriate treatment should be provided for any comorbidities that may influence the clinical outcome. Preoperative patients with low PNI levels should undergo intensified monitoring of various indicators during the perioperative period, and appropriate nutritional support should be provided. For patients with concomitant diabetes mellitus, proactive assessment of diabetic complications and blood glucose control should be carried out preoperatively, with efforts made to stabilize blood sugar levels. In cases of complicated and difficult surgery, surgeons should strive to optimize surgical procedures while accurately assessing the patient’s condition. Based on individualized treatment differences, targeted therapies should be implemented to reduce the occurrence of postoperative complications in elderly advanced gastric cancer patients.
Limitations
The present study has several limitations that warrant consideration. Firstly, the data for this study are sourced from a single center, potentially introducing retrospective bias. The collection of biological information involved continuous biomarker reporting, enabling precise risk assessment in stages, but it sacrificed the advantages of facilitating predictive model assignments as cut-offs, which could compromise result accuracy to some extent. Secondly, it must be acknowledged that the data collection was incomplete, as the risk factor analysis did not encompass all potential predictors of postoperative Clavien-Dindo ≥ II grade complications in elderly advanced gastric cancer patients, and existing data may not have been fully evaluated. Therefore, it is essential to conduct multicenter studies in future research endeavors to refine the model and validate the findings.
Conclusion
The present study identified Prognostic Nutritional Index (PNI), surgical duration, age, and history of Diabetes mellitus as risk factors for postoperative Clavien-Dindo ≥ II grade complications in elderly advanced gastric cancer patients. Based on these four risk factors, a well-performing nomogram risk prediction model was constructed. This provides clinicians with a reliable tool to promptly identify high-risk patients and promote targeted intervention measures. However, high-quality prospective studies are needed to further validate this model.
Acknowledgements
This study was completed in the Emergency surgery department, Oncology Surgery department, and the first and second General surgery department, thanks again to all staff for their help in the experiment.
Author contributions
Zhe-kui Liu and Ze-zheng Wang proposed the main research objectives, led the conceptualization and design of the study and drafted the manuscript. Ze-zheng Wang and Wen-xing Ma conducted data collection and organization, statistical analysis, and prepared figures and tables for presentation. Jun-jie Zhang and Si-da Liu contributed to the revision of the manuscript. Xiaong-long Duan was responsible for quality control and review of the article and supervising management.
Funding
This study was supported by the Key Research and Development Program of Shaanxi (Program No. 2020GXLH-Y-019, 2022KXJ-141); Innovation Capability Support Program of Shaanxi (Program No. 2019GHJD-14, 2021TD-40); Science and Technology Talent Support Program of Shaanxi Provincial People’s Hospital (Program No. 2021LJ-05); Technology Innovation Leading Program of Shaanxi (Program No.2022KXJ-141); Science and Technology Program of Xi’an (Program No. 23ZDCYJSGG0037-2022).
Data availability
Data is provided within the manuscript or supplementary information files.
Declarations
Ethics approval and consent to participate
The study was approved by Ethics Committee of Shaanxi Provincial People’s Hospital and Informed consent was obtained from all patients. The ethics approval reference number is: SPPH-LLGB-17-3.2(2024-R086).
Consent for publication
Not applicable.
Competing interests
The authors declare no competing interests.
Footnotes
Publisher’s note
Springer Nature remains neutral with regard to jurisdictional claims in published maps and institutional affiliations.
Contributor Information
Xiang-long Duan, Email: duanxianglong@nwpu.edu.cn.
Ze-zheng Wang, Email: doczzw316@163.com.
References
- 1.Gorgani F, Esfahani Z, Ghamari SH, et al. Global, regional, and national burden and quality of care index of liver cirrhosis by cause from global burden of disease 1990–2019. J Gastroenterol Hepatol. 2023;38(1):119–28. [DOI] [PubMed] [Google Scholar]
- 2.Jung KW, Kang MJ, Park EH, et al. Prediction of cancer incidence and mortality in Korea, 2023. Cancer Res Treat. 2023;55(2):400–7. [DOI] [PMC free article] [PubMed] [Google Scholar]
- 3.Mabe K, Inoue K, Kamada T, et al. Endoscopic screening for gastric cancer in Japan: current status and future perspectives. Dig Endosc. 2022;34(3):412–9. [DOI] [PubMed] [Google Scholar]
- 4.Camargo MC, Figueiredo C, Machado JC. Review: gastric malignancies: basic aspects. Helicobacter. 2019;24(Suppl 1):e12642. [DOI] [PubMed] [Google Scholar]
- 5.Sexton RE, Al Hallak MN, Diab M, et al. Gastric cancer: a comprehensive review of current and future treatment strategies. Cancer Metastasis Rev. 2020;39(4):1179–203. [DOI] [PMC free article] [PubMed] [Google Scholar]
- 6.Wang Y, Zhang L, Yang Y, Lu S, et al. Progress of gastric cancer surgery in the era of precision medicine. Int J Biol Sci. 2021;17(4):1041–9. [DOI] [PMC free article] [PubMed] [Google Scholar]
- 7.Ricci AD, Rizzo A, Brandi G. DNA damage response alterations in gastric cancer: knocking down a new wall. Future Oncol. 2021;17(8):865–8. [DOI] [PubMed] [Google Scholar]
- 8.Li ZY, Zhao YL, Qian F, et al. Incidence and risk factors of postoperative complications after robotic gastrectomy for gastric cancer: an analysis of 817 cases based on 10-year experience in a large-scale center. Surg Endosc. 2021;35(12):7034–41. [DOI] [PubMed] [Google Scholar]
- 9.Hamilton TD, Mahar AL, Haas B, et al. The impact of advanced age on short-term outcomes following gastric cancer resection: an ACS-NSQIP analysis. Gastric Cancer. 2018;21(4):710–9. [DOI] [PubMed] [Google Scholar]
- 10.Etoh T, Ohyama T, Sakuramoto S, et al. Five-year survival outcomes of laparoscopy-assisted vs open distal gastrectomy for advanced gastric cancer: the JLSSG0901 randomized clinical trial. JAMA Surg. 2023;158(5):445–54. [DOI] [PMC free article] [PubMed] [Google Scholar]
- 11.Biondi A, D’Ugo D, Cananzi FC, et al. Does a minimum number of 16 retrieved nodes affect survival in curatively resected gastric cancer? Eur J Surg Oncol. 2015;41(6):779–86. [DOI] [PubMed] [Google Scholar]
- 12.Japanese Gastric Cancer Association. Japanese gastric cancer treatment guidelines 2021 (6th edition). Gastric Cancer. 2023;26(1):1–25. [DOI] [PMC free article] [PubMed] [Google Scholar]
- 13.Xiao Y, Wei G, Ma M, et al. Association among prognostic nutritional index, post-operative infection and prognosis of stage II/III gastric cancer patients following radical gastrectomy. Eur J Clin Nutr. 2022;76(10):1449–56. [DOI] [PMC free article] [PubMed] [Google Scholar]
- 14.Trapani R, Rausei S, Reddavid R, Degiuli M, ITALIAN RESEARCH GROUP FOR GASTRIC CANCER (GIRCG). Clinical investigators. Risk factors for esophago-jejunal anastomosis leakage after total gastrectomy for cancer. A multicenter retrospective study of the Italian research group for gastric cancer. Eur J Surg Oncol. 2020;46(12):2243–7. [DOI] [PubMed] [Google Scholar]
- 15.Zhang FM, Zhang XZ, Zhu GL, et al. Impact of sarcopenia on clinical outcomes of patients with stage I gastric cancer after radical gastrectomy: a prospective cohort study. Eur J Surg Oncol. 2022;48(3):541–7. [DOI] [PubMed] [Google Scholar]
- 16.Gertsen EC, Goense L, Brenkman HJF, et al. Identification of the clinically most relevant postoperative complications after gastrectomy: a population-based cohort study. Gastric Cancer. 2020;23(2):339–48. [DOI] [PMC free article] [PubMed] [Google Scholar]
- 17.Han WH, Oh YJ, Eom BW, et al. Prognostic impact of infectious complications after curative gastric cancer surgery. Eur J Surg Oncol. 2020;46(7):1233–8. [DOI] [PubMed] [Google Scholar]
- 18.Clavien PA, Sanabria JR, Strasberg SM. Proposed classification of complications of surgery with examples of utility in cholecystectomy. Surgery. 1992;111(5):518–26. [PubMed] [Google Scholar]
- 19.Dindo D, Demartines N, Clavien PA. Classification of surgical complications: a new proposal with evaluation in a cohort of 6336 patients and results of a survey. Ann Surg. 2004;240(2):205–13. [DOI] [PMC free article] [PubMed] [Google Scholar]
- 20.Ageing. [(accessed on 3 January 2023)]. Available online: https://www.who.int/health-topics/ageing#tab=tab_1
- 21.Onodera T, Goseki N, Kosaki G. Nihon Geka Gakkai Zasshi. 1984;85(9):1001–5. [PubMed] [Google Scholar]
- 22.Paredes-Torres OR, García-Ruiz L, Luna-Abanto J, et al. Risk factors associated with postoperative morbidity and mortality in D2 radical gastrectomy for gastric cancer. Rev Gastroenterol Mex (Engl Ed). 2022;87(2):149–58. [DOI] [PubMed] [Google Scholar]
- 23.Jung MR, Park YK, Seon JW, et al. Definition and classification of complications of gastrectomy for gastric cancer based on the accordion severity grading system. World J Surg. 2012;36(10):2400–11. [DOI] [PubMed] [Google Scholar]
- 24.Kurita N, Miyata H, Gotoh M, et al. Risk model for distal gastrectomy when treating gastric cancer on the basis of data from 33,917 Japanese patients collected using a nationwide web-based data entry system. Ann Surg. 2015;262(2):295–303. [DOI] [PubMed] [Google Scholar]
- 25.Wang JB, Zheng CH, Li P, et al. Effect of comorbidities on postoperative complications in patients with gastric cancer after laparoscopy-assisted total gastrectomy: results from an 8-year experience at a large-scale single center. Surg Endosc. 2017;31(6):2651–60. [DOI] [PubMed] [Google Scholar]
- 26.Dong Z, Liu G, Tu L, et al. Establishment of a prediction model of postoperative infection complications in patients with gastric cancer and its impact on prognosis. J Gastrointest Oncol. 2023;14(3):1250–8. [DOI] [PMC free article] [PubMed] [Google Scholar]
- 27.Zhang B, Zhu Q, Ji ZP. Nomogram for predicting early complications after distal gastrectomy. World J Gastrointest Surg. 2023;15(11):2500–12. [DOI] [PMC free article] [PubMed] [Google Scholar]
- 28.Ikeda S, Yoshioka H, Ikeo S, et al. Serum albumin level as a potential marker for deciding chemotherapy or best supportive care in elderly, advanced non-small cell lung cancer patients with poor performance status. BMC Cancer. 2017;17(1):797. [DOI] [PMC free article] [PubMed] [Google Scholar]
- 29.Guven DC, Sahin TK, Erul E, et al. The association between albumin levels and survival in patients treated with immune checkpoint inhibitors: a systematic review and meta-analysis. Front Mol Biosci. 2022;9:1039121. [DOI] [PMC free article] [PubMed] [Google Scholar]
- 30.Yang Y, Gao P, Song Y, et al. The prognostic nutritional index is a predictive indicator of prognosis and postoperative complications in gastric cancer: a meta-analysis. Eur J Surg Oncol. 2016;42(8):1176–82. [DOI] [PubMed] [Google Scholar]
- 31.Tsujiura M, Yamamoto A, Imaoka H, et al. Clinical utility of lymphocyte to C-reactive protein ratio in predicting survival and postoperative complication for esophago-gastric junction cancer. Surg Oncol. 2022;44:101842. [DOI] [PubMed] [Google Scholar]
- 32.Ai S, Sun F, Liu Z, et al. Change in serum albumin level predicts short-term complications in patients with normal preoperative serum albumin after gastrectomy of gastric cancer. ANZ J Surg. 2019;89(7–8):E297–301. [DOI] [PubMed] [Google Scholar]
- 33.Ebihara S, Ebihara T, Kohzuki M. Effect of aging on cough and swallowing reflexes: implications for preventing aspiration pneumonia. Lung. 2012;190(1):29–33. [DOI] [PubMed] [Google Scholar]
- 34.Shimada S, Sawada N, Oae S, et al. Safety and curability of laparoscopic gastrectomy in elderly patients with gastric cancer. Surg Endosc. 2018;32(10):4277–83. [DOI] [PubMed] [Google Scholar]
- 35.Shibata C, Ogawa H, Nakano T, et al. Influence of age on postoperative complications especially pneumonia after gastrectomy for gastric cancer. BMC Surg. 2019;19(1):106. [DOI] [PMC free article] [PubMed] [Google Scholar]
- 36.Wang RT, Wu HG, Wu ZQ, et al. Analysis of surgical site infections of gastric cancer patients. Chin J Nosocomiol. 2015;25(03):632–4. [Google Scholar]
- 37.Chen M, Liang H, Chen M, et al. Risk factors for surgical site infection in patients with gastric cancer: a meta-analysis. Int Wound J. 2023;20(9):3884–97. [DOI] [PMC free article] [PubMed] [Google Scholar]
- 38.Ejskjaer N, Vestergaard ET, Hellström PM, et al. Ghrelin receptor agonist (TZP-101) accelerates gastric emptying in adults with diabetes and symptomatic gastroparesis. Aliment Pharmacol Ther. 2009;29(11):1179–87. [DOI] [PubMed] [Google Scholar]
- 39.Cheng H, Clymer JW, Po-Han Chen B, et al. Prolonged operative duration is associated with complications: a systematic review and meta-analysis. J Surg Res. 2018;229:134–44. [DOI] [PubMed] [Google Scholar]
- 40.Reames BN, Bacal D, Krell RW, et al. Influence of median surgeon operative duration on adverse outcomes in bariatric surgery. Surg Obes Relat Dis. 2015;11(1):207–13. [DOI] [PMC free article] [PubMed] [Google Scholar]
- 41.Harrop JS, Styliaras JC, Ooi YC, et al. Contributing factors to surgical site infections. J Am Acad Orthop Surg. 2012;20(2):94–101. [DOI] [PubMed] [Google Scholar]
Associated Data
This section collects any data citations, data availability statements, or supplementary materials included in this article.
Data Availability Statement
Data is provided within the manuscript or supplementary information files.






