Abstract
Background
High-risk strains of HPV are known to cause cervical cancer. Multiple clinical studies have emphasized that smoking and drinking are critical risk factors for cervical cancer and its high-grade precursors. In this study, we investigated if smoking and/or drinking augment the molecular mechanisms of cervical carcinogenesis and defined a potential therapeutic approach for their attenuation.
Methods
The impact of benzo[a]pyrene (B[a]P) and/or ethanol (EtOH) exposure on cervical cancer cells was assessed by measuring changes in their cell migration and invasion characteristics. Expression of HPV16 E6/E7, NF-κB, cytokines, and inflammation mediators was determined using qRT-PCR, immunoblotting, ELISA, luciferase reporter assay, and confocal microscopy. Herein, we used curcumin (Cur), and PLGA nanoparticle formulation of curcumin (PLGA-Cur) and determined effectiveness of free Cur and PLGA-Cur formulation on smoking and drinking activated NF-κB/IL-6 mediated inflammatory signaling pathways using in vitro cervical cancer models.
Results
Treatments with B[a]P and/or EtOH altered the expression of HPV16 E6/E7 oncogenes and EMT markers in cervical cancer cells; it also enhanced migration and invasion. In addition, B[a]P and/or EtOH exposure promoted inflammation pathways through TNF-α and NF-κB signaling, leading to IL-6 upregulation and activation of VEGF. The molecular effects caused by B[a]P and/or EtOH exposure were effectively attenuated by curcumin (Cur)/PLGA-Cur treatment.
Conclusions
These data suggest a molecular link between smoking, drinking, and HPV infectivity in cervical carcinogenesis. In addition, attenuation of these effects by treatment with Cur/PLGA-Cur treatment, implies the role of curcumin in cervical cancer prevention and treatment.
Supplementary Information
The online version contains supplementary material available at 10.1186/s12935-024-03513-z.
Keywords: Cervical cancer, HPV16 E6/E7, Cigarette smoking and drinking, Benzo[a]pyrene, NF-κB, Cur/PLGA-Cur, Nanoformulation
Introduction
Cervical cancer is the most common cancer in women and is strongly associated with human papillomavirus (HPV) with substantial geographical variation in cervical cancer morbidity and mortality [1, 2]. However, etiological and comorbidity factors such as socioeconomic conditions, lifestyle, diet, smoking, drinking, and human immunodeficiency virus (HIV) co-infection have been identified as other risk factors for cervical cancer [3–5].
Multiple studies have demonstrated the effects of smoking on cervical cancer development, female smokers have a 2-4-fold increased risk of developing cervical cancer compared to non-smokers [6–8]. Benzo[a]pyrene (B[a]P), a representative carcinogen belonging to the family of polyaromatic hydrocarbon (PAHs), is a ubiquitous carcinogen with environmental and dietary sources, and it is also present in tobacco (approximately 8–25 ng per cigarette) [9]. B[a]P metabolites have been detected at elevated levels in the cervical mucus of women smokers [10]. Previous studies have shown that B[a]P can interact with HPV, increasing HPV titers in cervical cells, suggesting that B[a]P can modulate the HPV life cycle and can possibly affect the persistence of viral infections in cervical cancer [11, 12]. Other studies have suggested that B[a]P can cause DNA adducts and genetic damage, as well as inducing a p53 response that modulates different signaling pathways in cervical cancer [8, 12–15]. Furthermore, alcohol is another cancer risk factor; recently, its worldwide consumption has been increased [16]. Alcohol consumption has been shown to promote the proliferation and metastasis of skin, colon, kidney, liver, and breast cancers [17–20]. How alcohol affects cervical carcinogenesis is not well known. Recent clinical studies have indicated that women who consume alcohol have a higher risk of HPV infections progressing to cervical cancer; in addition, alcohol consumption has been linked to more advanced stages of cervical cancer [21, 22]. Oh et al. demonstrated that viral load and alcohol use may intensify HPV infections and increase its persistence in cervical cancer patients [23]. Another study indicated that alcohol consumption was associated with a substantially increased risk for HPV infection in men [24]. In addition, people who consume alcohol are more likely to smoke or vice versa [25]. The cumulative effect of smoking or drinking alone is perceived as harmful, but their combination is less well-defined [25]. Several clinical studies have shown that co-exposure of alcohol and tobacco increases the risk of high-risk HPV associated cancer in addition to other malignancies [26–30]. In head and neck cancer, exposure to ethanol and/or cigarettes has been demonstrated to lead to an increased cancer risk (nearly a 35-fold increased risk with combined exposure) [29]. Epidemiological studies have also suggested an increased risk of cervical cancer with a combination of smoking and alcohol consumption [31, 32].
Recently, there has been great interest in investigating the role of natural products as sources of anticancer agents [33, 34]. Curcumin (Cur) is a natural polyphenol derived from the rhizome Curcuma longa Linn. Curcumin has been found to exhibit anti-inflammatory, antioxidant, anticarcinogenic and antitumor properties, and clinical trials involving its application to various cancers (including cervical, lung, breast, and prostate) are ongoing [35, 36]. Cur exhibits its therapeutic benefit through actions on telomerase, Ras and ERK signaling pathways, cyclin D1, COX-2, iNOS, and the mitochondrial pathway leading to apoptosis [37, 38]. The previous studies suggest that the effectiveness of curcumin on HPV16/18 expression and cervical cancer growth [13, 39, 40]. However, Cur suffers from limited systemic bioavailability, poor absorption, rapid metabolism, and high clearance from the body [37, 41]. To overcome these issues, our laboratory has formulated a poly (lactic-co-glycolic acid) (PLGA) based nanoparticle formulation (PLGA-Cur), which has been shown to be effective against metastatic breast, ovarian, pancreatic, and cervical cancer cells [39].
Therefore, this study aimed at evaluating how smoking and ethanol use, either alone or combination, might enhance the progression of cervical carcinogenesis at molecular level. The results demonstrated for the first time that the exposure of B[a]P and/or EtOH upregulated the expression of HPV E6/E7 oncoproteins and modulated epithelial-mesenchymal transition (EMT) markers. Furthermore, B[a]P and/or EtOH promoted inflammation pathways via tumor necrosis factor alpha (TNF-α) and nuclear factor kappa-light-chain-enhancer of activated B cells (NF-κB) leading to interleukin 6 (IL-6) upregulation and vascular endothelial growth factor (VEGF) activation. However, Cur/PLGA-Cur treatment effectively attenuated these molecular events, suggesting its role in the prevention/treatment of cervical cancer.
Methods
Cell culture
Cervical cancer cell lines (SiHa (2–4 copies HPV16/genome) and CaSki (600 copies HPV16/genome) were purchased from American Type Culture Collection (ATCC, Manassas, VA) and were cultured as per the vendor’s instructions. Media was supplemented with 10% fetal bovine serum (FBS), 100 U/mL penicillin, and 100 mg/mL streptomycin (Invitrogen). All cells were grown at 37 °C in a humidified atmosphere of 5% CO2 in air. The research protocol was reviewed and approved by the University of Tennessee Health Science Center and University of Texas Rio Grande Valley Ethics protocol.
Chemicals and antibodies
Antibodies against N-cadherin (cat. no. # 4061), E-Cadherin (cat. no. #3195), Vimentin (cat. no. # 5741), Zeb1 (cat. no. # 3396), Snail (cat. no. # 3879), MMP-2 (cat. no. # 4022), MMP-9 (cat. no. # 13667), PCNA (cat. no # 13110), NF-κB p65 (cat. no. # 8242), phospho-NF-κB p65, Ser536 (cat. no. # 3033), pstat3Tyr (705) (cat. # 9145), and GAPDH (cat. no. #97166) were obtained from Cell Signaling Technology Inc. HPV E6 (cat # SC-480), HPV E7 (cat. # SC-698) and STAT3 (cat. # SC-8019) antibodies were obtained from Santa Cruz Biotechnology (Dallas, TX, USA). BAY11-7085 (an NF-κB inhibitor) was purchased from Gene Operation, Inc. (Ann Arbor, MI, USA).
B[a]P and/or EtOH exposure to cervical cancer cells
After overnight attachment, cervical cancer cells (CaSki and SiHa) were exposed to different concentrations of B[a]P and/or EtOH for different time points. Two separate CO2 incubators were used to expose cells to B[a]P alone and in combination with B[a]P and EtOH. For the EtOH treatment incubator, we added 2.5 ml/l of EtOH to the water tray to maintain an EtOH-saturated atmosphere in the incubator and prevent loss due to ethanol evaporation, as previously described [42]. The effect of B[a]P, EtOH alone or co-exposure of both on cell proliferation was examined by using Countess™ Automated Cell Counter. The CaSki and SiHa cells (5.0 × 104/500 µl media/24-well culture plates) were treated with B[a]P (0, 1 and 2, µM) and EtOH (0, 1.25 and 2.5 µl/ml), either alone or in co-exposure, for 24 and 48 h. The treated cells were supplemented with fresh media with additional B[a]P and/or EtOH daily. We have optimized non-toxic dose concentrations through performing concentration and time dependent experiments as shown in supplementary figure S1. B[a]P (1 and 2 µM) and EtOH (1.25 and 2.5µl/mL) caused no reduction in cell proliferation up to 48 h. Therefore, we selected these dose concentrations (B[a]P; 2 µM and EtOH; 2.5 µl/ml) in succeeding experiments alone or in combinations. Furthermore, the concentrations used of smoking and drinking (near physiological concentration in binge drinkers) are relevant to in humans in vitro as mentioned in previous studies [39, 42–44].
Cell proliferation assay
The anti-proliferative effect of Cur/PLGA-Cur on cervical cancer cells was determined by using CellTiter96 Aqueous One Solution (MTS) reagent (Promega, Madison, WI) as described previously [39].
Cell migration
To evaluate the effect of B[a]P and/or EtOH and treatment with Cur/PLGA-Cur on the migratory ability of cervical cancer cells, cell migration assays were performed by using Corning® HTS Transwell® 96 well chamber analysis (BD Biosciences, cat. no. #3374), as per manufacturer’s protocol [45, 46]. In brief, CaSki and SiHa were seeded on the provided membranes and then cultured in serum free media for 24 h before being placed in wells containing FBS and allowed to migrate for 24 h. The upper portion of the chamber was then cleaned of cells with a cotton swab, then cells were fixed in methanol and stained for crystal violet, and the number of migrating cells under various treatment conditions was determined using light microscopy.
Invasion assay
The cell invasion assay was performed by using a Corning®BioCoat™ Matrigel® (Invasion Chambers, BD Biosciences, cat. no. #354480), San Jose, CA, USA) as described in our previous study [45, 46]. Briefly, cells were grown in serum-free medium in the top chamber then exposed to wells containing FBS and allowed to invade for 24 h. Cells were removed from the top chamber with a cotton swab then cells were fixed, stained, and imaged.
Reverse transcription- quantitative real-time polymerase chain reaction (qRT-PCR)
After exposing CaSki and SiHa cells to B[a]P and/or EtOH and treating them with Cur/PLGA-Cur or their vehicle controls (DMSO/PLGA), total RNA was isolated using the TRIzol™ reagent (Invitrogen, Life Technologies, Grand Island, NY). The integrity of the RNA was measured with an RNA 6000 Nano Assay kit and 2100 Bioanalyzer (Agilent Technologies, Santa Clara, CA). The primer sequences used are listed in supplementary Table S1. The quantitative Real Time- Polymerase Chain Reaction (qRT-PCR) was performed as previously described, where each candidate gene was internally normalized against GAPDH [39, 47]. The 2-ΔΔCT method (ΔΔCT = ΔCT treatment- ΔCT control and ΔCT = Ct target – Ct reference.) was used to calculate the relative expression. The data represented was the average relative fold expression of three independent experiments (mean ± SEM).
Western blot analysis
We performed Western blots analysis to determine the effects of B[a]P and/or EtOH on protein levels of various oncogenes linked to cervical cancer. First, cervical cancer cells were exposed to B[a]P and/or EtOH (B[a]P 2 µM and EtOH 2.5 µl/ml) alone or in combination. Control cells were treated with vehicle (0.1% DMSO). The plates were supplemented with fresh media with additional B[a]P and/or EtOH daily. Whole cell lysates were prepared as mentioned in previous work [48]. The Nuclear Extract Kit (Active Motif) was used to isolate protein lysates specifically from the nuclear and cytoplasmic compartments [49]. After spinning down, protein supernatants were collected and maintained at -80 °C until being used for Western Blots. 40 µg protein lysates were loaded on each well of 4–20% SDS-polyacrylamide gels (Bio-Rad, Hercules, CA) for the Western Blots analysis. Proteins were then transferred to a polyvinylidene difluoride (PVDF) membrane (Amersham, Pittsburgh, PA), and then blocked with 10% BSA for 1 h at room temperature. The membrane was then incubated with primary target antibody overnight, followed by a horseradish peroxidase secondary antibody for 2–4 h. Lastly, protein bands were developed with enhanced chemiluminescence reagent (Roche) using a UVP gel documentation system. Equal loading of protein in each well was confirmed by stripping and re-probing of the blots with GAPDH. The Western blots were quantified by densitometry analysis using gelQuant software.
Confocal immunofluorescence and luciferase reporter assays
Confocal immunofluorescence and luciferase reporter analyses were performed as described earlier [50]. NF-κB reporter activity was measured with GloMax 96 Microplate Luminometer (Promega, USA) following the manufacturer’s protocol (Luciferase Assay System, Promega, USA).
IL-6 ELISA assays
ELISA assays were performed to determine the quantity of inflammatory cytokines produced by the cells by using IL-6 kit (eBioscience, San Diego, CA, USA) as previously described [39]. IL-6 was measured using a standard curve prepared by recombinant human IL-6 (sample with kit) and compared to cervical cancer cells in vitro.
Preparation of PLGA-Cur formulation
The PLGA-Cur formulation was synthesized by following nanoprecipitation method and using PLGA as a main polymer nanoparticle component, poly(vinyl alcohol) and poly(L-lysine) as stabilizers, and curcumin as therapeutic agent, as previously described [39, 51].
Statistical analysis
Data is shown as the mean ± SEM, and student t-test was used to assess for statistical significance of the variations. We used one-way ANOVA analyses to test for linear trends.
Results
B[a]P and/or EtOH exposure augment E6/E7 expression in cervical cancer cells
To assess whether smoking and/ or drinking have a functional role in the modulation of E6 and E7 expression, HPV16 integrated CaSki and SiHa cervical cancer cells were utilized. The cells were exposed with B[a]P 2 µM and EtOH 2.5 µl/ml, alone or in combination, for 48 h. The media was changed daily and supplemented with fresh B[a]P and EtOH. The qRT-PCR analysis showed that B[a]P and EtOH significantly increased the expression of E6 and E7 mRNA in both CaSki and SiHa cells. (Fig. 1A). The subsequent Western blot analysis yielded an overexpression of E6 and E7 at the protein level upon B[a]P and EtOH treatments in both CaSki and SiHa cells (Fig. 1B). Some previously published studies have also suggested the influence of smoking on HPV oncogenes. Our findings are in agreement with these previous reports [8, 13, 14].
Fig. 1.
Effect of B[a]P and/or EtOH on HPV E6/E7 expression in cervical cancer cells and their inhibitory effect of Cur/PLGA-Cur formulation. (A) B[a]P and/or EtOH induces the expression of HPV oncogenes E6 and E7 in cervical cancer cells as analyzed through qRT-PCR. For the qRT-PCR expression analysis, the candidate gene was internally normalized to GAPDH. Bar graphs represent the average relative fold expression of E6/E7 mRNA (mean ± SEM). (B) Effect of B[a]P and/or EtOH on expression of HPV E6 and E7 protein in cervical cancer cells were detected by western blot analysis and GAPDH was used as loading control. For the Western blot analysis, cells were treated with B[a]P and/or EtOH for 48 h and cell lysates were subjected for Western blot analysis. (C) Cur/PLGA-Cur inhibit the cell proliferation in CaSki and SiHa cell lines as determined by MTS method. Briefly, CaSki and SiHa cells were treated with 10, 15, 20, and 25 µM free Cur or PLGA-Cur for 48 h. The results have been compared to control wells treated with appropriate concentrations of vehicle, DMSO for CUR, and PLGA for PLGA-Cur. The percent cell viability is presented as the mean ± SEM and is representative of three independent experiments. (D) Cur and PLGA-Cur downregulate the B[a]P and/or EtOH induced expression of HPV E6/E7 in CaSki and SiHa cells as determined by the qRT- PCR. Briefly, cells were exposed with B[a]P and/or EtOH for 48 h and treated along with Cur/PLGA-Cur at a concentration of 15 µM for 24 h. Asterisk (*) denotes the significant value p < 0.05. Each experiment has been repeated three times
We further investigated the co-exposure effect of B[a]P and EtOH (B[a]P 2 µM + EtOH 2.5 µl/ml) on the expression of HPV E6/E7 in cervical cancer cells using qRT-PCR and Western blot analysis.
The co-exposure of B[a]P and EtOH led to a significantly higher increase of HPV E6/E7 as compared to either agent alone in both CaSki and SiHa cell lines at mRNA (Fig. 1A). and proteins levels (Fig. 1B).
To determine if B[a]P and EtOH induced expression of HPV E6/E7 can be prevented, we used Cur and its nanoparticle formulation; PLGA-Cur that have been shown to exhibit potent tumor growth inhibitory effects in cervical cancer model [39]. Both Cur and PLGA-Cur formulation (15–25 µM) effectively prevented cellular growth (Fig. 1C) and B[a]P and/or EtOH induced expressions of HPVE6/E7 oncogenes at mRNA level (Fig. 1D). Further, PLGA-Cur led to a significantly greater repression of HPV E6/E7 in cells exposed to B[a]P and/or EtOH as compared free Cur treated at 15 µM for 24 h (Fig. 1D).
B[a]P and/or EtOH exposure induced NF-κB signaling in cervical cancer cells
NF-κB is a crucial downstream component for redox signaling, with activation linked to B[a]P and alcohol induced progression and metastasis of human cancer [39, 50, 52, 53]. We found that the NF-κB pathway was activated upon exposure to B[a]P and/or EtOH (Fig. 2A-D). In both CaSki and SiHa cells, the expression of NF-κB phosphorylated p65 (p-NF-κB-p65, active form) was upregulated in the presence of B[a]P and/or EtOH (Fig. 2A). Furthermore, Western blot studies also indicated that B[a]P and/or EtOH exposure increased the phosphorylated form of STAT-3 in cervical cancer cells (Fig. 2A).
Fig. 2.
B[a]P and/or EtOH exposure promoted cervical cancer cell metastasis process through activating the NF-κB signaling pathway. (A) Western blot analysis indicating phosphorylated p-NF-κB-65), NF-κB-p65, pSTAT3, STAT3, and GAPDH (loading control) in B[a]P and/or EtOH exposed CaSki and SiHa cells. (B) Subcellular location of NF-κB-p65 in B[a]P and/or EtOH exposure and Cur/PLGA-Cur treated in CaSki cells was determined by immunofluorescence. The representative images were captured under 40x magnification. (C) Western blots indicating nuclear and cytoplasmic NF-κB-p65; GAPDH and proliferating cell nuclear antigen (PCNA) served as loading controls. (D) NF-κB promoter activity measured by luciferase assays in B[a]P and/or EtOH exposure and Cur/PLGA-Cur treated at 15 µM CaSki cells that were pretreated with BAY11-7085 (5 µM). Bar graphs showing relative luciferase activity in B[a]P and/or EtOH exposure and Cur/PLGA-Cur treated CaSki cells. WL denotes whole cell lysate. Asterisk (*) denotes the significant value p < 0.05. Each experiment has been repeated three times
We observed that intra-cellular NF-κB-p65 was also affected by B[a]P and/or EtOH treatment, which led to a greater translocation to the nucleus (Fig. 2B and Supplementary Fig. S2) and a corresponding increase in nuclear NF-κB-p65 levels (Fig. 2C). This B[a]P and/or EtOH induced cellular and molecular effect (nuclear NF-κB-p65 accumulation and its translocation to the plasma membrane) was effectively repressed by PLGA-Cur and Cur treatment (15 µM) (Fig. 2B and Supplementary Fig. S2). The disappearance of nucleus mark during B[a]P and/or EtOH, exposure signifies the translocation of NF-κB-p65, thus promoting the cell survival and proliferation through its transcriptional activity. Further, the fluorescence accumulations near the nucleus region denotes the repression of NF-κB-p65 during Cur/PLGA-Cur and treatments.
In addition, the NF-κB promoter activity was increased by B[a]P and/or EtOH exposure in CaSki cells (Fig. 2D). To examine how NF-κB signaling was involved in B[a]P and/or EtOH induced metastasis, an IκBα specific inhibitor (BAY11-7085) was utilized to block NF-κB signaling in cervical cancer cells. PLGA-Cur also effectively blocked NF-κB signaling as induced by B[a]P and/or EtOH exposure pre-treatment in comparison to free Cur (Fig. 2D). These results indicate that NF-κB signaling plays a considerable role in cervical cancer metastasis and which can be effectively modulated by PLGA-Cur or Cur treatment.
B[a]P and/or EtOH promotes migration, invasion, and metastatic features of cervical cancer cells
Further, to study the effect of B[a]P and/or EtOH on the migration of CaSki and SiHa cells, a Transwell migration assay was performed. As shown in Fig. 3A and Supplementary Fig. S3A, B[a]P and/or EtOH enhanced the migration ability of cervical cancer cells, compared to untreated. In combination, B[a]P and EtOH led to a greater increase in the migration ability as compared to individual agents. PLGA-Cur more efficiently inhibited B[a]P and/or EtOH induced migration in cervical cancer cells as compared to free Cur at 6 µM (Fig. 3A and Supplementary Fig. S3A).
Fig. 3.
Effect of B[a]P and/or EtOH on migration, and invasion in cervical cancer cells. (A) Effect of B[a]P and/or EtOH and Cur/PLGA-Cur on cell migration of SiHa cells as determined by Corning® HTS Transwell® 96 well permeable supports chamber assays. Representative images (20x original magnification) of SiHa cells migration through the porous membrane in the Boyden chamber assay. Briefly, the cervical cancer cell, SiHa exposed with B[a]P and/or EtOH and treated with Cur/PLGA-Cur at 6 µM for 24 h. Bar graphs represent the quantifications of B[a]P and/or EtOH induced migratory and Cur/PLGA-Cur treated SiHa cells (mean ± SEM; n = 5). (B) Effect of B[a]P and/or EtOH exposure and Cur/PLGA-Cur treatment on invasion of SiHa cells as determined by Corning® BioCoat™ Matrigel® Invasion Chambers assay. Representative microscopic photographs (20x original magnification) of invaded cells of B[a]P and/or EtOH induced and Cur/PLGA-Cur -treated SiHa cells through the Matrigel-coated porous membrane in the Boyden chamber assay. Bar graphs showing quantification of invading SiHa cells induced with B[a]P and/or EtOH and Cur/PLGA-Cur treatment (mean ± SEM; n = 5). Asterisk (*) denotes the significant value p < 0.05. Each experiment has been repeated three times
To investigate the effect B[a]P and/or EtOH on cell invasion, CaSki and SiHa cells were treated for 24 h. B[a]P and EtOH alone led to significantly increased cell invasion in both CaSki and SiHa cells. The combination of B[a]P and EtOH further increased invasion into the lower chamber significantly more than either agent alone (Fig. 3B and Supplementary Fig. S3B). It was found that PLGA-Cur more effectively decreased the B[a]P and/or EtOH induced cell invasion as compared to free Cur at 6 µM (Fig. 3B and Supplementary Fig. S3B).
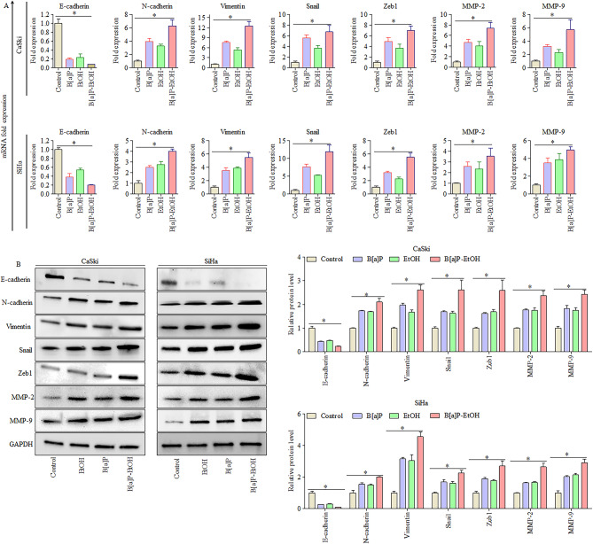
B[a]P and/or EtOH exposure modulated extracellular matrix and epithelial to mesenchymal transition associated genes/proteins in cervical cancer cells
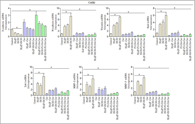
Epithelial to mesenchymal transition (EMT) plays a critical role in enhancing cancer invasiveness and promoting metastasis [54]. Exposure of CaSki and SiHa cells to B[a]P or EtOH alone for 48 h led to a downregulation of E-cadherin and upregulated N-cadherin, snail, Zeb1, and Vimentin. In addition, co-exposure of B[a]P and EtOH led to a significantly greater downregulation of E-cadherin and upregulation in these EMT markers compared to either agent alone (Fig. 4A and B). PLGA-Cur more effectively restored E-cadherin and downregulated N-cadherin, Snail, Zeb1, and Vimentin as compared to free Cur at 15 µM and untreated control induced by B[a]P and/or EtOH in CaSki cells (Fig. 5).
Fig. 4.
Effect of B[a]P and/or EtOH exposure on EMT makers in cervical cancer cells. (A) Effect of B[a]P and/or EtOH exposure on expression on EMT markers in cervical cancer cells as determined by qRT-PCR. Briefly, cervical cancer cells were treated with B[a]P and/or EtOH for 48 h. RNA was isolated and cDNA was prepared and subjected to qRT-PCR for EMT markers analysis. Bar graphs represent relative mRNA fold expression of E-cadherin, N-cadherin, Snail, Zeb1, vimentin, MMP-2 and MMP-9 in CaSki and SiHa (mean ± SEM). (B) B[a]P and/or EtOH exposure in CaSki and SiHa cells modulates the expression of EMT markers on protein level as determined by Western blot analysis. Asterisk (*) denotes the significant value p < 0.05. Each experiment has been repeated three times
Fig. 5.
Effect of Cur/PLGA-Cur on B[a]P and/or EtOH induced expression of EMT makers in CaSki cervical cancer cells. Briefly, CaSki cervical cancer cells were treated with B[a]P and/or EtOH for 48 h along with Cur/PLGA-Cur for 24 h. RNA was isolated, and cDNA was prepared and subjected to qRT-PCR for EMT markers analysis. Bar graphs represent mRNA relative fold expressions of E-cadherin, N-cadherin, vimentin, Snail, Zeb1, MMP-2 and MMP-9. Asterisk (*) denotes the significant value p < 0.05. Each experiment has been repeated three times
Matrix metalloproteinases (MMPs), which are actively involved in the degradation of the extracellular matrix, play a critical role in the invasion and metastasis of malignant tumor cells [55]. As shown in Fig. 4A and B, MMP-2 and MMP-9 were significantly increased at both the mRNA and protein level in both cell lines when exposed to B[a]P and/or EtOH. Furthermore, PLGA-Cur at 15 µM more effectively downregulated MMP-2 and MMP-9 compared to free Cur induced by B[a]P and/or EtOH (Fig. 5). These results suggest that B[a]P and/or EtOH play an important role in invasion and migration via modulating key EMT markers that were effectively attenuated by PLGA-Cur in cervical cancer cells.
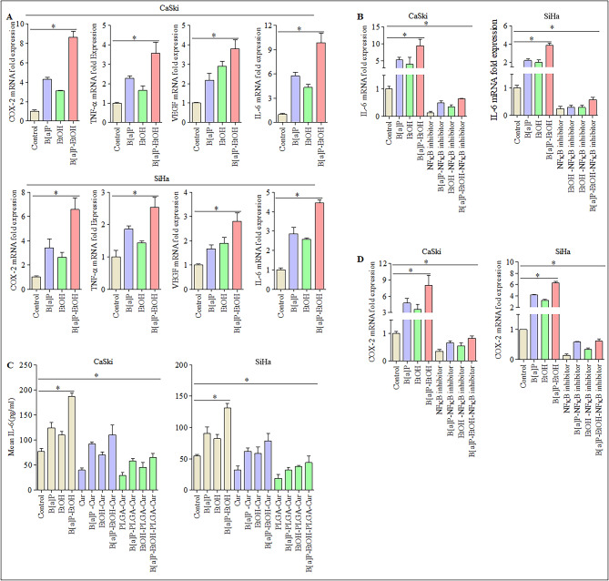
B[a]P and/or EtOH exposure influenced the expression of inflammation mediators in cervical cancer cells
Cytokines play an important role in the induction and control of the immune response [56]. Here, we investigated the effect of B[a]P and/or EtOH on the expression of cytokines at the mRNA levels in cervical cancer cells by using real time PCR. An increased COX-2, TNF-α, IL-6, and VEGF mRNA expression was observed in both cervical cancer cell lines following individual B[a]P and EtOH exposure (Fig. 6A). Interestingly, co-exposure B[a]P and EtOH led to a significantly higher increase of COX-2, TNF-α, IL-6, and VEGF mRNA as compared to either agent alone in both cell lines (Fig. 6A). TNF-α is a known inducer of COX-2 and VEGF is a downstream target of COX-2, suggesting that the activation of TNF-α by B[a]P and EtOH might lead to an upregulation of both COX-2 and VEGF [57].
Fig. 6.
B[a]P and/or EtOH exposure regulates inflammation mediators in cervical cancer cells. (A) Effect of B[a]P and/or EtOH exposure on mRNA expression of inflammation modulators COX-2, TNF-α, VEGF and IL-6 in CaSki and SiHa cells as determined by qRT-qPCR analysis. The cells were exposed with B[a]P and/or EtOH for 48 h. (B, D) Effect of B[a]P and/or EtOH and NF-κB inhibitor on IL-6 and, COX-2 expression. The cervical cancer cells were pretreated with 25 µM NF-κB inhibitor for 24 h followed by 48 h exposure of B[a]P and/or EtOH. Expression of IL-6 and COX-2 mRNA expression was measured by qRT-PCR. (C) B[a]P and/or EtOH exposure increased the expression of oncogenic IL-6, which was decreased effectively by Cur/PLGA-Cur in cervical cancer cells CaSki and SiHa. IL-6 expression was analyzed using a cytokine assay kit. Asterisk (*) denotes the significant value p < 0.05. Each experiment has been repeated three times
The upregulation of COX-2 in tissue and different cell lines has been associated with proinflammatory cytokine (IL-1 and IL-6) production [57, 58]. Our results showed an increased IL-6 production, which in turn suggests that IL-6 is involved in COX-2 upregulation.
A previous study demonstrated that one important NF-κB downstream target is IL-6 [52]. Therefore, cervical cancer cells were treated with NF-κB inhibitor (25 µM) for 24 h then exposed to B[a]P and /or EtOH to assess IL-6 expression. As shown in (Fig. 6B), in the presence of an NF-κB inhibitor, there is a significant downregulation of B[a]P and/or EtOH induced IL-6 mRNA in both cervical cancer cells.
We further examined the production of IL-6 as induced by B[a]P and/or EtOH in cervical cancer cells by ELISA and investigated the therapeutic effect of Cur and PLGA-Cur. B[a]P and/or EtOH was found to significantly increase the expression of IL-6 (Fig. 6C), while this effect was suppressed by Cur and PLGA-Cur. PLGA-Cur was more effective than free Cur at a similar dose (15 µM) in decreasing the IL-6 production (Fig. 6C).
The previous study reported that COX-2 expression was mediated by NF-κB [52], and our data showed that an NF-κB inhibitor markedly blocked the induction of COX-2 mRNA expression in cervical cancer cells (Fig. 6D). Taken together, our results suggest that exposure to B[a]P and/or EtOH leads to activation of a TNF-α → COX-2 → VEGF signaling pathway in cervical cancer cells.
Discussion
In this study, we investigated the effects of smoking and/or drinking at a molecular level and their attenuation by natural compound Cur and its nanoformulation (PLGA-Cur). B[a]P has been previously shown to upregulate E6/E7 viral oncoproteins and enhance virion synthesis in HPV infected cell lines. B[a]P increased HPV E6/E7 in cervical cancer cells, in agreement with our previous and other published studies [11, 13, 39].
The risk of progression from HPV infection to cervical cancer may be greater among women with lifestyle-related behaviors such as drinking and/or smoking, and sexual habits [21]. For the first time, we have shown that the expression of HPV E6/E7 was increased after exposing cervical cancer cells to EtOH.
Further, evidence in epidemiology shows that people who consume alcohol and tobacco together are far more likely than those who use either alcohol or tobacco alone to develop cancers in the oral cavity, pharynx, and larynx (throat), esophagus, as well as several viral infections [59, 60]. Therefore, we investigated the effect of EtOH alone and in combination with B[a]P in cervical cancer cells. The combination showed a remarkably higher expression of HPV16 E6/E7 as compared to either agent alone.
To overcome the carcinogenic effects of B[a]P and/or EtOH, we investigated the role of Cur/PLGA-Cur. Curcumin has been found to have a significant therapeutic effect in treating cervical cancer, as demonstrated in both in vitro and in vivo studies. It promotes apoptosis, inhibits tumor cell proliferation, metastasis, invasion, HPV inhibition, and induces autophagy in tumor cells [40]. Furthermore, curcumin is currently undergoing numerous clinical trials to explore its potential in treating cervical cancer (https://clinicaltrials.gov/search?cond=Cervical%20Cancer&intr=Curcumin). In our previous study, we have reported that PLGA-Cur inhibited B[a]P induced expression of HPV E6/E7. In addition, this nanoformulation allowed for a more effective accumulation of Cur in cervical cancer cells, leading to a greater inhibition of cell growth, more apoptosis, higher cell cycle arrest, and reduced tumor growth in an orthotopic mouse model when compared to free Cur [13, 39]. We selected the suboptimal concentration 15 µM as it seems to be a biologically effective concentration, however we used for the 24-hour exposure so that cell count is not drastically affected while we are collecting samples for molecular and cellar effect analyses. In this investigation, our data demonstrated that PLGA-Cur effectively inhibited cell growth and downregulated the expression of B[a]P and/or EtOH induced HPV E6/E7 more than free Cur. Treating HPV-infected cervical cancer cells with B[a]P prompted an enhanced viral genome replication and oncogene expression, which is known to be essential for HPV mediated cellular transformations [11].
Several studies have shown that B[a]P and EtOH are associated with invasion and metastasis in different cancers [61, 62]. However, the influence of B[a]P and/or EtOH on migration and invasion for cervical cancer metastasis is still under active investigation [11].
Interestingly, B[a]P and EtOH combination treatment further increased the number of invasive and migratory cells compared to either agent alone. PLGA-Cur significantly inhibited the number of migratory and invasive cells induced by B[a]P and/or EtOH as compared to control.
Several studies reported that EMT markers are modulated when cancer cells were exposed to B[a]P or EtOH [16–18, 61]. Our results indicated that the expression of EMT markers was modulated by was by B[a]P/EtOH co-exposure. These findings suggest that smoking and drinking might promote EMT in cervical cancer cells, while PLGA-Cur significantly overcame this effect via restoring E-cadherin and downregulating EMT markers. Our results illustrated that NF-κB played a role in metastasis after B[a]P and/or EtOH treatment in cervical cancer cells, possibly by triggering EMT. The EMT inducer Snail was transcriptionally activated by NF-κB which then altered E-cadherin expression.
Previous study reported that NF-κB induced MMP2 and MMP-9 expression to promote cervical cancer metastasis [52]. However, it is unclear how B[a]P and/or EtOH are involved in the induction of this molecular pathway leading to cervical cancer metastasis. Our study reported that exposure of B[a]P and/or EtOH induced the upregulation of MMP-2 and MMP-9, and these effects were successfully attenuated by PLGA-Cur.
NF-κB regulates a wide range of genes implicated in inflammation such as VEGF, COX-2, chemokines (e.g., IL-8, MIP-1α, and MCP-1), pro-inflammatory cytokines (IL-1, IL-2, IL-6, and TNF-α), growth factors, immuno-receptors and adhesion molecules involved in proliferation, migration, invasion, and drug resistances in cervical cancer [52, 63]. Our study proved that B[a]P and/or EtOH can potentially activate TNF-α, COX-2, IL-6 and VEGF inflammation pathways in cervical cancer cells. TNF-α activates NF-κB, which is a COX-2 promoter, by increasing the activity of protein kinase C (PKC-alpha) and protein tyrosine kinase [64]. The overexpression of COX-2 is an indicator of aggressiveness, resistance to radiotherapy, dysregulated apoptosis, increasing lymph node metastasis, and poor prognosis in cervical cancer [52]. We further demonstrated that an NF-κB inhibitor suppressed COX-2 mRNA expression in cervical cancer cells. IL-6 is known to increase metastatic potential in different cancers, and its overexpression is associated with a poorer prognosis in cervical cancer [52]. Our study also showed that B[a]P and/or EtOH led to activation of NF-κB, which in turn led to upregulated IL-6. In addition, PLGA-Cur was demonstrated to downregulate the induced oncogenic effects of B[a]P and/or EtOH by downregulating IL-6 in cervical cancer cells. Further, previous studies have reported that IL-6 also promotes tumor growth in cervical cancer by activating angiogenesis via increased VEGF through the STAT3 pathway, generating new tumor blood vessels [65]. In addition, our results demonstrated that B[a]P and/or EtOH increased the expression VEGF in cervical cancer cells.
Conclusions
In conclusion, we have demonstrated several plausible mechanisms through which B[a]P and/or EtOH can influence cervical carcinogenesis and its progression (Fig. 7). Predominately these included an overexpression of HPV E6/E7, enhanced migration and invasion, as well as the creation of a pro-inflammatory state. This progression seems to be promoted by inflammatory pathways via TNF-α and NF-κB, leading to IL-6 upregulation and activation of VEGF. Our findings suggest that smoking and drinking can contribute to cervical carcinogenesis, HPV infectivity, and cervical cancer-associated health disparities. However, these effects can be attenuated by Cur and its nanoparticle formulations. These results also implying the role of curcumin/or its derived nanoformulation cervical cancer prevention and treatment (Fig. 7).
Fig. 7.
Schematic presentation of plausible mechanism of tobacco smoking and alcohol consumption on cervical cancer cell carcinogenesis
Electronic supplementary material
Below is the link to the electronic supplementary material.
Acknowledgements
NA.
Abbreviations
- HPV
Human papillomavirus
- B[a]P
Benzo[a]pyrene
- MTT
3-(4,5-dimethylthiazole-2-yl)-2, 5-biphenyl tetrazolium bromide
- qRT-PCR
Real Time- Polymerase Chain Reaction
- CIN
Cervical intraepithelial neoplasia
- EMT
Epithelial-mesenchymal transition
- TNF-α
Tumor necrosis factor alpha
- NF-κB
Nuclear factor kappa-light-chain-enhancer of activated B cells
- IL-6
Interleukin 6
- VEGF
Vascular endothelial growth factor
- MMPs
Matrix metalloproteinases
- CSC
Cigarette smoke condensate
- G-CSF
Granulocyte colony-stimulating factor
- MCP
Monocyte chemotactic protein
Author contributions
VKK, MJ and SSC conceived the idea and written the major portion of manuscript. VKK, PKBS, AKS, SK, AM, GPD, SK, NS, AG BBH, MMY, and SCC participated in experimental design and data evaluation. VKK, PKBS, AKS, AM and GPD performed experiments. The manuscript was also written and edited by VKK, PKBS, SK, NS, NZ, SK, AG, AKS, AM, MJ and MMY. The final manuscript has been read and approved by all authors.
Funding
The authors gratefully acknowledge support from the NIH/NCI grants (NIH R01 CA206069, U01CA162106, R01 CA210192, R01 CA204552, U54 MD019970 and SC1GM139727) to SCC MJ, and MMY, UT star fellow award to SCC, and UTRGV startup funds to SCC, MJ, and MMY.
Data availability
Data is provided within the manuscript or supplementary information files.
Declarations
Ethics approval and consent to participate
Not applicable.
Consent for publication
All authors have agreed to publish this manuscript.
Competing interests
The authors declare no competing interests.
Footnotes
Publisher’s note
Springer Nature remains neutral with regard to jurisdictional claims in published maps and institutional affiliations.
References
- 1.Siegel RL, Giaquinto AN, Jemal A. Cancer statistics, 2024. Cancer J Clin. 2024;74(1):12–49. [DOI] [PubMed] [Google Scholar]
- 2.Parashar D, Singh A, Gupta S, Sharma A, Sharma MK, Roy KK, Chauhan SC, Kashyap VK. Emerging roles and potential applications of non-coding RNAs in Cervical Cancer. Genes 2022, 13(7). [DOI] [PMC free article] [PubMed]
- 3.Shrestha AD, Neupane D, Vedsted P, Kallestrup P. Cervical Cancer prevalence, incidence and mortality in Low and Middle Income countries: a systematic review. Asian Pac J Cancer Prev. 2018;19(2):319–24. [DOI] [PMC free article] [PubMed] [Google Scholar]
- 4.Menach P, Oburra HO, Patel A. Cigarette smoking and alcohol ingestion as risk factors for laryngeal squamous cell carcinoma at kenyatta national hospital, Kenya. Clin Med Insights Ear nose Throat. 2012;5:17–24. [DOI] [PMC free article] [PubMed] [Google Scholar]
- 5.Karuri AR, Kashyap VK, Yallapu MM, Zafar N, Kedia SK, Jaggi M, Chauhan SC. Disparity in rates of HPV infection and cervical cancer in underserved US populations. Front Biosci (Schol Ed). 2017;9(2):254–69. [DOI] [PMC free article] [PubMed] [Google Scholar]
- 6.Sugawara Y, Tsuji I, Mizoue T, Inoue M, Sawada N, Matsuo K, Ito H, Naito M, Nagata C, Kitamura Y, et al. Cigarette smoking and cervical cancer risk: an evaluation based on a systematic review and meta-analysis among Japanese women. Jpn J Clin Oncol. 2019;49(1):77–86. [DOI] [PubMed] [Google Scholar]
- 7.Roura E, Castellsagué X, Pawlita M, Travier N, Waterboer T, Margall N, Bosch FX, de Sanjosé S, Dillner J, Gram IT, et al. Smoking as a major risk factor for cervical cancer and pre-cancer: results from the EPIC cohort. Int J Cancer. 2014;135(2):453–66. [DOI] [PubMed] [Google Scholar]
- 8.Muñoz JP, Carrillo-Beltrán D, Aedo-Aguilera V, Calaf GM, León O, Maldonado E, Tapia JC, Boccardo E, Ozbun MA, Aguayo F. Tobacco exposure enhances human papillomavirus 16 Oncogene expression via EGFR/PI3K/Akt/c-Jun Signaling Pathway in Cervical Cancer cells. Front Microbiol. 2018;9:3022. [DOI] [PMC free article] [PubMed] [Google Scholar]
- 9.Hecht SS. Tobacco smoke carcinogens and lung cancer. J Natl Cancer Inst. 1999;91(14):1194–210. [DOI] [PubMed] [Google Scholar]
- 10.Melikian AA, Sun P, Prokopczyk B, El-Bayoumy K, Hoffmann D, Wang X, Waggoner S. Identification of benzo[a]pyrene metabolites in cervical mucus and DNA adducts in cervical tissues in humans by gas chromatography-mass spectrometry. Cancer Lett. 1999;146(2):127–34. [DOI] [PubMed] [Google Scholar]
- 11.Zhang C, Luo Y, Zhong R, Law PTY, Boon SS, Chen Z, Wong CH, Chan PKS. Role of polycyclic aromatic hydrocarbons as a co-factor in human papillomavirus-mediated carcinogenesis. BMC Cancer. 2019;19(1):138. [DOI] [PMC free article] [PubMed] [Google Scholar]
- 12.Trushin N, Alam S, El-Bayoumy K, Krzeminski J, Amin SG, Gullett J, Meyers C, Prokopczyk B. Comparative metabolism of benzo[a]pyrene by human keratinocytes infected with high-risk human papillomavirus types 16 and 18 as episomal or integrated genomes. J Carcinog. 2012;11:1–1. [DOI] [PMC free article] [PubMed] [Google Scholar]
- 13.Maher DM, Bell MC, O’Donnell EA, Gupta BK, Jaggi M, Chauhan SC. Curcumin suppresses human papillomavirus oncoproteins, restores p53, rb, and PTPN13 proteins and inhibits benzo[a]pyrene-induced upregulation of HPV E7. Mol Carcinog. 2011;50(1):47–57. [DOI] [PubMed] [Google Scholar]
- 14.Wei L, Griego AM, Chu M, Ozbun MA. Tobacco exposure results in increased E6 and E7 oncogene expression, DNA damage and mutation rates in cells maintaining episomal human papillomavirus 16 genomes. Carcinogenesis. 2014;35(10):2373–81. [DOI] [PMC free article] [PubMed] [Google Scholar]
- 15.Bowser BS, Alam S, Meyers C. Treatment of a human papillomavirus type 31b-positive cell line with benzo[a]pyrene increases viral titer through activation of the Erk1/2 signaling pathway. J Virol. 2011;85(10):4982–92. [DOI] [PMC free article] [PubMed] [Google Scholar]
- 16.LoConte NK, Brewster AM, Kaur JS, Merrill JK, Alberg AJ. Alcohol and Cancer: A Statement of the American Society of Clinical Oncology. J Clin Oncol. 2018;36(1):83–93. [DOI] [PubMed] [Google Scholar]
- 17.Ramadori P, Cubero FJ, Liedtke C, Trautwein C, Nevzorova YA. Alcohol and Hepatocellular Carcinoma: adding fuel to the Flame. Cancers (Basel) 2017, 9(10). [DOI] [PMC free article] [PubMed]
- 18.Rossi M, Jahanzaib Anwar M, Usman A, Keshavarzian A, Bishehsari F. Colorectal Cancer and alcohol consumption-populations to molecules. Cancers (Basel) 2018, 10(2). [DOI] [PMC free article] [PubMed]
- 19.Im HJ, Kim HG, Lee JS, Kim HS, Cho JH, Jo IJ, Park SJ, Son CG. A preclinical model of chronic alcohol consumption reveals increased metastatic seeding of Colon cancer cells in the liver. Cancer Res. 2016;76(7):1698–704. [DOI] [PubMed] [Google Scholar]
- 20.Boffetta P, Hashibe M. Alcohol and cancer. Lancet Oncol. 2006;7(2):149–56. [DOI] [PubMed] [Google Scholar]
- 21.Ylitalo N, Sorensen P, Josefsson AM, Magnusson PK, Andersen PK, Ponten J, Adami HO, Gyllensten UB, Melbye M. Consistent high viral load of human papillomavirus 16 and risk of cervical carcinoma in situ: a nested case-control study. Lancet. 2000;355(9222):2194–8. [DOI] [PubMed] [Google Scholar]
- 22.Weiderpass E, Ye W, Tamimi R, Trichopolous D, Nyren O, Vainio H, Adami HO. Alcoholism and risk for cancer of the cervix uteri, vagina, and vulva. Cancer Epidemiol Biomarkers Prev. 2001;10(8):899–901. [PubMed] [Google Scholar]
- 23.Oh HY, Seo SS, Kim MK, Lee DO, Chung YK, Lim MC, Kim JY, Lee CW, Park SY. Synergistic effect of viral load and alcohol consumption on the risk of persistent high-risk human papillomavirus infection. PLoS ONE. 2014;9(8):e104374. [DOI] [PMC free article] [PubMed] [Google Scholar]
- 24.Schabath MB, Thompson ZJ, Egan KM, Torres BN, Nguyen A, Papenfuss MR, Abrahamsen ME, Giuliano AR. Alcohol consumption and prevalence of human papillomavirus (HPV) infection among US men in the HPV in men (HIM) study. Sex Transm Infect. 2015;91(1):61–7. [DOI] [PMC free article] [PubMed] [Google Scholar]
- 25.Rodriguez-Cano R, Garey L, Bakhshaie J, Shepherd JM, Zvolensky MJ. The synergetic effect of alcohol consumption and cigarettes per day on smoking outcomes expectancies among Latinx adult smokers. J Ethn Subst Abuse 2020:1–22. [DOI] [PMC free article] [PubMed]
- 26.Kumar R, Rai AK, Das D, Das R, Kumar RS, Sarma A, Sharma S, Kataki AC, Ramteke A. Alcohol and Tobacco increases risk of high risk HPV infection in Head and Neck Cancer patients: study from North-East Region of India. PLoS ONE. 2015;10(10):e0140700–0140700. [DOI] [PMC free article] [PubMed] [Google Scholar]
- 27.Bucher S, Tête A, Podechard N, Liamin M, Le Guillou D, Chevanne M, Coulouarn C, Imran M, Gallais I, Fernier M, et al. Co-exposure to benzo[a]pyrene and ethanol induces a pathological progression of liver steatosis in vitro and in vivo. Sci Rep. 2018;8(1):5963. [DOI] [PMC free article] [PubMed] [Google Scholar]
- 28.Seo SS, Oh HY, Lee JK, Kong JS, Lee DO, Kim MK. Combined effect of diet and cervical microbiome on the risk of cervical intraepithelial neoplasia. Clin Nutr. 2016;35(6):1434–41. [DOI] [PubMed] [Google Scholar]
- 29.Dal Maso L, Torelli N, Biancotto E, Di Maso M, Gini A, Franchin G, Levi F, La Vecchia C, Serraino D, Polesel J. Combined effect of tobacco smoking and alcohol drinking in the risk of head and neck cancers: a re-analysis of case-control studies using bi-dimensional spline models. Eur J Epidemiol. 2016;31(4):385–93. [DOI] [PubMed] [Google Scholar]
- 30.Korc M, Jeon CY, Edderkaoui M, Pandol SJ, Petrov MS. Tobacco and alcohol as risk factors for pancreatic cancer. Best Pract Res Clin Gastroenterol. 2017;31(5):529–36. [DOI] [PMC free article] [PubMed] [Google Scholar]
- 31.Seo SS, Oh HY, Kim MK, Lee DO, Chung YK, Kim JY, Lee CW. Combined Effect of Secondhand Smoking and Alcohol Drinking on Risk of Persistent Human Papillomavirus Infection. Biomed Res Int 2019;2019:5829676. [DOI] [PMC free article] [PubMed]
- 32.Licciardone JC, Wilkins JR 3rd, Brownson RC, Chang JC. Cigarette smoking and alcohol consumption in the aetiology of uterine cervical cancer. Int J Epidemiol. 1989;18(3):533–7. [DOI] [PubMed]
- 33.Gonzalez CA, Travier N, Lujan-Barroso L, Castellsague X, Bosch FX, Roura E, Bueno-de-Mesquita HB, Palli D, Boeing H, Pala V, et al. Dietary factors and in situ and invasive cervical cancer risk in the European prospective investigation into cancer and nutrition study. Int J Cancer. 2011;129(2):449–59. [DOI] [PubMed] [Google Scholar]
- 34.Kashyap VK, Peasah-Darkwah G, Dhasmana A, Jaggi M, Yallapu MM, Chauhan SC. Withania somnifera: Progress towards a Pharmaceutical Agent for Immunomodulation and Cancer therapeutics. Pharmaceutics 2022, 14(3). [DOI] [PMC free article] [PubMed]
- 35.Tirkey N, Kaur G, Vij G, Chopra K. Curcumin, a diferuloylmethane, attenuates cyclosporine-induced renal dysfunction and oxidative stress in rat kidneys. BMC Pharmacol. 2005;5:15. [DOI] [PMC free article] [PubMed] [Google Scholar]
- 36.Banik U, Parasuraman S, Adhikary AK, Othman NH. Curcumin: the spicy modulator of breast carcinogenesis. J Exp Clin Cancer Res. 2017;36(1):98. [DOI] [PMC free article] [PubMed] [Google Scholar]
- 37.Mansouri K, Rasoulpoor S, Daneshkhah A, Abolfathi S, Salari N, Mohammadi M, Rasoulpoor S, Shabani S. Clinical effects of curcumin in enhancing cancer therapy: a systematic review. BMC Cancer. 2020;20(1):791. [DOI] [PMC free article] [PubMed] [Google Scholar]
- 38.Dhasmana A, Uniyal S, Anukriti, Kashyap VK, Somvanshi P, Gupta M, Bhardwaj U, Jaggi M, Yallapu MM, Haque S, et al. Topological and system-level protein interaction network (PIN) analyses to deduce molecular mechanism of curcumin. Sci Rep. 2020;10(1):12045. [DOI] [PMC free article] [PubMed] [Google Scholar]
- 39.Zaman MS, Chauhan N, Yallapu MM, Gara RK, Maher DM, Kumari S, Sikander M, Khan S, Zafar N, Jaggi M, et al. Curcumin Nanoformulation for Cervical Cancer Treatment. Sci Rep. 2016;6:20051. [DOI] [PMC free article] [PubMed] [Google Scholar]
- 40.Zhang X, Zhu L, Wang X, Zhang H, Wang L, Xia L. Basic research on curcumin in cervical cancer: progress and perspectives. Biomed Pharmacother. 2023;162:114590. [DOI] [PubMed] [Google Scholar]
- 41.Anand P, Kunnumakkara AB, Newman RA, Aggarwal BB. Bioavailability of curcumin: problems and promises. Mol Pharm. 2007;4(6):807–18. [DOI] [PubMed] [Google Scholar]
- 42.Jin M, Ande A, Kumar A, Kumar S. Regulation of cytochrome P450 2e1 expression by ethanol: role of oxidative stress-mediated pkc/jnk/sp1 pathway. Cell Death Dis. 2013;4(3):e554. [DOI] [PMC free article] [PubMed] [Google Scholar]
- 43.Ranjit S, Sinha N, Kodidela S, Kumar S. Benzo(a)pyrene in cigarette smoke enhances HIV-1 replication through NF-κB activation via CYP-Mediated oxidative stress pathway. Sci Rep. 2018;8(1):10394. [DOI] [PMC free article] [PubMed] [Google Scholar]
- 44.Cromie MM, Liu Z, Gao W. Epigallocatechin-3-gallate augments the therapeutic effects of benzo[a]pyrene-mediated lung carcinogenesis. BioFactors. 2017;43(4):529–39. [DOI] [PMC free article] [PubMed] [Google Scholar]
- 45.Kashyap VK, Wang Q, Setua S, Nagesh PKB, Chauhan N, Kumari S, Chowdhury P, Miller DD, Yallapu MM, Li W, et al. Therapeutic efficacy of a novel βIII/βIV-tubulin inhibitor (VERU-111) in pancreatic cancer. J Experimental Clin cancer Research: CR. 2019;38(1):29. [DOI] [PMC free article] [PubMed] [Google Scholar]
- 46.Hafeez BB, Ganju A, Sikander M, Kashyap VK, Hafeez ZB, Chauhan N, Malik S, Massey AE, Tripathi MK, Halaweish FT, et al. Ormeloxifene suppresses prostate tumor growth and metastatic phenotypes via inhibition of oncogenic β-catenin signaling and EMT progression. Mol Cancer Ther. 2017;16(10):2267–80. [DOI] [PMC free article] [PubMed] [Google Scholar]
- 47.Kashyap VK, Dan N, Chauhan N, Wang Q, Setua S, Nagesh PKB, Malik S, Batra V, Yallapu MM, Miller DD, et al. VERU-111 suppresses tumor growth and metastatic phenotypes of cervical cancer cells through the activation of p53 signaling pathway. Cancer Lett. 2020;470:64–74. [DOI] [PMC free article] [PubMed] [Google Scholar]
- 48.Sikander M, Hafeez BB, Malik S, Alsayari A, Halaweish FT, Yallapu MM, Chauhan SC, Jaggi M. Cucurbitacin D exhibits potent anti-cancer activity in cervical cancer. Sci Rep. 2016;6:36594. [DOI] [PMC free article] [PubMed] [Google Scholar]
- 49.Amin R, Shukla A, Zhu JJ, Kim S, Wang P, Tian SZ, Tran AD, Paul D, Cappell SD, Burkett S, et al. Nuclear pore protein NUP210 depletion suppresses metastasis through heterochromatin-mediated disruption of tumor cell mechanical response. Nat Commun. 2021;12(1):7216. [DOI] [PMC free article] [PubMed] [Google Scholar]
- 50.Ba Q, Li J, Huang C, Qiu H, Li J, Chu R, Zhang W, Xie D, Wu Y, Wang H. Effects of benzo[a]pyrene exposure on human hepatocellular carcinoma cell angiogenesis, metastasis, and NF-kappaB signaling. Environ Health Perspect. 2015;123(3):246–54. [DOI] [PMC free article] [PubMed] [Google Scholar]
- 51.Yallapu MM, Gupta BK, Jaggi M, Chauhan SC. Fabrication of curcumin encapsulated PLGA nanoparticles for improved therapeutic effects in metastatic cancer cells. J Colloid Interface Sci. 2010;351(1):19–29. [DOI] [PubMed] [Google Scholar]
- 52.Tilborghs S, Corthouts J, Verhoeven Y, Arias D, Rolfo C, Trinh XB, van Dam PA. The role of Nuclear factor-kappa B signaling in human cervical cancer. Crit Rev Oncol Hematol. 2017;120:141–50. [DOI] [PubMed] [Google Scholar]
- 53.Wang F, Yang JL, Yu KK, Xu M, Xu YZ, Chen L, Lu YM, Fang HS, Wang XY, Hu ZQ, et al. Activation of the NF-kappaB pathway as a mechanism of alcohol enhanced progression and metastasis of human hepatocellular carcinoma. Mol Cancer. 2015;14:10. [DOI] [PMC free article] [PubMed] [Google Scholar]
- 54.Roche J. The epithelial-to-mesenchymal transition in Cancer. Cancers. 2018;10(2):52. [DOI] [PMC free article] [PubMed] [Google Scholar]
- 55.Solovsmall u CNI, Timoshenko OS, Gureeva TA, Kugaevskaya EV. [Matrix metalloproteinases and their endogenous regulators in squamous cervical carcinoma (review of the own data)]. Biomed Khim. 2015;61(6):694–704. [DOI] [PubMed] [Google Scholar]
- 56.Ramani T, Auletta CS, Weinstock D, Mounho-Zamora B, Ryan PC, Salcedo TW, Bannish G. Cytokines: the Good, the bad, and the Deadly. Int J Toxicol. 2015;34(4):355–65. [DOI] [PubMed] [Google Scholar]
- 57.Fitzgerald DW, Bezak K, Ocheretina O, Riviere C, Wright TC, Milne GL, Zhou XK, Du B, Subbaramaiah K, Byrt E, et al. The effect of HIV and HPV coinfection on cervical COX-2 expression and systemic prostaglandin E2 levels. Cancer Prev Res (Phila). 2012;5(1):34–40. [DOI] [PMC free article] [PubMed] [Google Scholar]
- 58.Song Z, Lin Y, Ye X, Feng C, Lu Y, Yang G, Dong C. Expression of IL-1α and IL-6 is Associated with Progression and Prognosis of Human Cervical Cancer. Med Sci Monit. 2016;22:4475–81. [DOI] [PMC free article] [PubMed] [Google Scholar]
- 59.Turati F, Garavello W, Tramacere I, Pelucchi C, Galeone C, Bagnardi V, Corrao G, Islami F, Fedirko V, Boffetta P, et al. A meta-analysis of alcohol drinking and oral and pharyngeal cancers: results from subgroup analyses. Alcohol Alcohol. 2013;48(1):107–18. [DOI] [PubMed] [Google Scholar]
- 60.Kashyap VK, Dhasmana A, Massey A, Kotnala S, Zafar N, Jaggi M, Yallapu MM, Chauhan SC. Smoking and COVID-19: adding fuel to the Flame. Int J Mol Sci 2020, 21(18). [DOI] [PMC free article] [PubMed]
- 61.Wang Y, Pan T, Li L, Wang H, Zhang D, Yang H. Benzo(a)pyrene promotes Hep-G2 cell migration and invasion by upregulating phosphorylated extracellular signal-regulated kinase expression. Oncol Lett. 2018;15(6):8325–32. [DOI] [PMC free article] [PubMed] [Google Scholar]
- 62.Zhao M, Howard EW, Parris AB, Guo Z, Zhao Q, Yang X. Alcohol promotes migration and invasion of triple-negative breast cancer cells through activation of p38 MAPK and JNK. Mol Carcinog. 2017;56(3):849–62. [DOI] [PubMed] [Google Scholar]
- 63.Chen D, Zhang F, Ren H, Luo J, Wang S. Role of cytokines and chemokines in alcohol-induced tumor promotion. Onco Targets Ther. 2017;10:1665–71. [DOI] [PMC free article] [PubMed] [Google Scholar]
- 64.Chen CC, Sun YT, Chen JJ, Chiu KT. TNF-alpha-induced cyclooxygenase-2 expression in human lung epithelial cells: involvement of the phospholipase C-gamma 2, protein kinase C-alpha, tyrosine kinase, NF-kappa B-inducing kinase, and I-kappa B kinase 1/2 pathway. J Immunol. 2000;165(5):2719–28. [DOI] [PubMed] [Google Scholar]
- 65.Wei LH, Kuo ML, Chen CA, Chou CH, Lai KB, Lee CN, Hsieh CY. Interleukin-6 promotes cervical tumor growth by VEGF-dependent angiogenesis via a STAT3 pathway. Oncogene. 2003;22(10):1517–27. [DOI] [PubMed] [Google Scholar]
Associated Data
This section collects any data citations, data availability statements, or supplementary materials included in this article.
Supplementary Materials
Data Availability Statement
Data is provided within the manuscript or supplementary information files.







