Abstract
Cyclonucleosides are a group of nucleoside derivatives which, in addition to the classical N-glycosidic bond, have an additional covalent bond (linker, bridge) in their structure, which connects the heterocyclic base and sugar ring. The majority of them have been discovered in the laboratory; however, few such compounds have also been found in natural sources, including metabolites of sponges or radical damage occurring in nucleic acids. Due to their structural properties—rigid, fixed conformation—they have found wide applications in medicinal chemistry and biochemistry as biocides as well as enzyme inhibitors and molecular probes. They have also found use as convenient synthetic tools for the preparation of new nucleoside analogues, enabling structural modifications of both the sugar ring and heterocyclic base. This review summarizes the recent progress in the synthesis of various purine and pyrimidine cyclonucleosides using diverse chemical approaches based on radical, “click”, metal-mediated, and other types of reactions. It also presents recent reports concerning possible applications in medicinal chemistry, as well as their applications as valuable key intermediates in the synthesis of sugar- and base-modified nucleoside analogues and heterocyclic compounds.
Graphical abstract
Keywords: Nucleosides, Cyclonucleosides, Purines, Pyrimidines, Bicyclic, Inhibitors, Biocides, Heterocycles
Introduction
Cyclonucleosides are nucleoside derivatives and analogues, which except for typical N-glycosidic bonds, have additional covalent linkages, that connect the sugar ring and heterocyclic base. Such compounds have a rigid structure and fixed conformation [1, 2], which determines their physicochemical and biochemical properties. Cyclonucleosides have so far been used in medicinal chemistry to obtain the prodrug of the antileukemic drug Cytarabine (Ancitabine) [3], inhibitors of nucleoside-related enzymes such as uridine phosphorylase UrdPase (enhancing the effect of anticancer drugs) [4], antiviral drugs [5] and molecular probes to investigate enzymatic reactions, such as hydrolysis with ribonuclease A (RNase-A) [6]. These compounds could also be used in organic chemistry as valuable intermediates in the synthesis of further nucleoside analogues and other heterocyclic systems [1]. Purine 8,5′-cyclonucleoside lesions are tandem-type lesions observed in the DNA structure, formed under the free radical stress caused by the attack of HO• radicals to 2-deoxyribose units followed by the formation of 8,5′-linkage. Such DNA modifications identified in mammalian cellular DNA in vivo are deeply studied for their potential involvement in human health [7]. It is also believed that pyrimidine cyclonucleosides may have played an important role in the prebiotic environment, being involved in the spontaneous synthesis of nucleic acid components [8–10]. Although most of the cyclonucleosides were designed and synthesized in the laboratory, purine cyclonucleoside such as N3,5′-cycloxanthosine or its uric acid analogue were isolated from natural sources from Eryus [11] and Axinella sponges [12].
The methods of synthesis of cyclonucleosides and their applications in medicinal chemistry were described in two review articles published by the corresponding author 12 years ago [13, 14]. Some aspects of cyclonucleoside chemistry were also included in two consequent reviews published in 2012 [15] and 2013 year [16]. Since then, many new articles about cyclonucleosides have appeared, revealing new approaches to synthesis, as well as their new applications in organic synthesis and for the invention and development of biologically active substances. For this reason, we saw the need and opportunity to collect new results and achievements obtained in research on this group of nucleoside analogues. In the first part of our article, we would like to focus on the synthetic paths and biochemical properties of novel pyrimidine and purine cyclonucleosides, while in the second part, we would like to present various applications of cyclonucleosides in the synthesis of the other nucleoside analogues and heterocyclic compounds.
The synthesis of cyclonucleosides
The synthesis of pyrimidine cyclonucleosides
The free radical stress conditions are mainly responsible for cyclonucleoside-containing lesions observed in the DNA structure within living cells [7]. Similarly, radical reactions are convenient approaches for the formation of cyclonucleosides in the chemical laboratory. Perchyonok reported the black light-induced radical cyclization approach to pyrimidine 6,5′-cyclonucleosides testing various free radical hydrogen donors [17]. The author studied tandem radical 1,6-HAT-cyclization of 5′-bromo-5′-deoxyuridine (1) in the presence of such hydrogen donors as TMS3SiH, H3PO2/Bu4N+Cl−, Bu3SnH, using water or benzene as solvents, in the presence of such radical initiators as black light, Et3B/air in room temperature and AIBN in 80 °C (Scheme 1). It was observed in all cases, that intramolecular radical 6-exo-trig reaction leading to C-bridged 6,5′-cyclo-2′,3′-dideoxyuridine (2) was the main reaction mechanism in the examined process and intermolecular hydrogen transfer reaction resulted in 5′-deoxyuridine (3) is much slower when compared to intramolecular radical 6-exo-trig cascade reaction.
Scheme 1.

The synthesis of C-bridged 6,5′-cyclo-2′,3′-dideoxyuridine (2) under radical conditions
The methylene bridge formed in the intramolecular radical 6-exo-trig cyclisation could be further subjected to chemical modifications (Scheme 2) [18]. Triisopropylsilyl-protected (TIPS-protected) 6,5′-cyclo-2′,5′-dideoxyuridine (4) was treated with SeO2 in boiling dioxane, which resulted in the oxidation of C′5 position and introduction of the carbonyl group to the methylene bridge. Intermediate 5 was transformed into spiro-oxirane derivative 6 using trimethylsilyldiazomethane in a mixture of MeOH and DCM and subsequent hydrogenation on Pd/C led to the partially protected 5′-(hydroxymethyl)-6,5′-cyclo-2′,5′-dideoxyuridine (7) obtained as a mixture of two isomers. TIPS protecting group in cyclonucleoside 7 was removed using TBAF (tetra-n-butylammonium fluoride) in THF, and final product 8 was separated into two isomers using HPLC. The authors also reported, that pure (R)-8 and (S)-8 isomers readily undergo epimerization reaction and interconversion under the aqueous basic conditions.
Scheme 2.
Bridge modifications of C-bridged 6,5′-cyclo-2′,5′-dideoxyuridine 4 through oxidation-epoxide formation-epoxide hydrogenation protocol
Zhu reported that the synthesis of 2,2′-O-cyclouridine analogues could be easily performed using diethylaminosulfur trifluoride (DAST) as cyclisation agent [19]. In the representative example (Scheme 3), pyrimidine L-threonucleoside phosphonate ester 9 was treated with DAST in dichloromethane at - 20 °C which resulted in corresponding 2,2′-O-cyclo-L-threonucleoside phosphonate ester 10. Deprotection of phosphonate ester to free phosphonic acid smoothly underwent by treatment with TMSBr/2,6-lutidine leading to 2,2′-O-anhydro-L-threonucleoside 3′-O-phosphonic acid 11.
Scheme 3.

The synthesis of 2,2′-O-cyclo-L-threonucleoside 3′-O-phosphonic acid 11 using DAST as cyclisation agent
Ingale reported the synthesis of 2,5′-O-cyclouridine nucleoside and its transformation into novel 2,2′-imino cyclonucleoside through intermediate isocytosine riboside [20] (Scheme 4). 3′-O-acetyl-5′-O-tosyl-2′-deoxy-2′-fluorouridine (12), when treated with 1,8-diazabicyclo[5.4.0]undec-7-ene (DBU) in boiling acetonitrile, was transformed into acetyl-protected 2′-deoxy-2′-fluoro-2,5′-O-cyclouridine nucleoside 13. Removal of acetyl-protected group with potassium carbonate, and treatment deprotected 2′-deoxy-2′-fluoro-2,5′-O-cyclouridine (14) with methanolic ammonia led to the isocytosine 2′-deoxy-2′-fluororiboside (15). Nucleoside 15, when treated with aqueous ammonia solution at elevated temperatures, underwent cyclisation leading to another type of cyclonucleoside, 2,2′-imino-1-(2-deoxy-β-D-arabinofuranosyl)uracil (16), possessing an imino group in the linkage connecting ribose and pyrimidine rings.
Scheme 4.

The synthesis of 2′-deoxy-2′-fluoro-2,5′-O-cyclouridine (14) and its conversion to 2,2′-imino-1-(2-deoxy-β-D-arabinofuranosyl)uracil (16)
Copper(I)-promoted “click” 1,3-dipolar intramolecular cycloaddition of azide and alkyne could be a convenient method for cyclonucleoside synthesis. Liu and co-workers reported the synthesis of a modified 2′-deoxycytidine 17 bearing azide group at the C'5 position and octa-1,7-diyne group at the C5 position (Scheme 5) [21]. Compound 17 was subjected to azide ‘click’cycloaddition reaction in the presence of sodium ascorbate, copper sulphate and TBAF, which resulted in the formation of cyclonucleoside 18 with high yield. In a similar way, the modified 2′-deoxyuridine 19 bearing azide group at the C'5 position and octa-1,7-diyne group at the C5 position was also subjected to azide “click” cycloaddition reaction using the above conditions which led to the cyclonucleoside 20 (Scheme 5).
Scheme 5.

The synthesis of 5,5′-triazole-linked pyrimidine cyclonucleosides 18,20 obtained through Cu(I)-promoted 1,3-dipolar intramolecular cycloaddition of azide and alkyne
During the investigation on the prebiotic synthesis of nucleoside derivatives, Tsanakopoulou reported the condensation between ribose aminooxazoline 21 with dicyanoacetylene (22), in a phosphate buffer at room temperature, which surprisingly led to the formation of α-cytidine cyclonucleoside 23 with 32% yield [22]. Compound 23 was also synthesized in 6 steps from α-cytidine, and the total yield of the whole process was also 32% (Scheme 6). The key step of second approach was based on basic hydrolysis and concomitant removal of benzyloxy groups of protected 6-cyano-α-cytidine 24 to the final product which was obtained with almost quantitative yield.
Scheme 6.

Two approaches to α-cytidine cyclonucleoside 23 from ribose aminooxazoline 21 or protected 6-cyano-α-cytidine 24
The synthesis of purine cyclonucleosides
The radical cyclisation of 5′-deoxy-5′-halogen-substituted pyrimidine nucleosides, presented in Scheme 1, leading to the formation of a 6,5′-methylene bridge, could also be applied to purine nucleosides. Yueh reported [23] that protected 2′,5′-dideoxy-5′-iodoadenosine 25 heated with zinc powder in pyridine and treated with tetrachloro-1,4-benzoquinone (TCBQ) is transformed into protected 8,5′-cyclo-2′,5′-dideoxyadenosine 26 (Scheme 7). The methylene bridge in cyclonucleoside 26 could be further oxidized with SeO4 in boiling dioxane to give ketone 27. The reduction of ketone to the hydroxy group resulted in alcohol 28 was performed with sodium borohydride in a methanol–water mixture. The authors also presented that protected 8,5′-(S)-cyclo-2′,5′-dideoxyadenosine (28) could be transformed into mesylate 29, which underwent nucleophilic substitution after treatment with NaOH, leading to diastereomeric 8,5′-(R)-cyclo-2′,5′-dideoxyadenosine (30). Similar transformations were also applied to pyrimidine nucleosides. Obtained purine and pyrimidine cyclonucleosides were incorporated into DNA to study how the cyclo linkage affects the stability of duplex formation.
Scheme 7.

The synthesis and modifications of C-bridged 8,5′-cyclo-2′,5′-dideoxyadenosine nucleosides 26–30
Yu reported copper-catalysed, radical intramolecular alkoxylation leading to purine 8,5′‑O-cyclonucleosides [24] (Scheme 8). Isopropylidene- or cyclohexylidene-protected purine nucleosides, such as 2′,3′-O-isopropylidene-N6-(2-methoxyethyl)adenosine (31), were heating in DMF in the presence of 0.5 equiv. CuCl and 3 equiv. of di-tert-butyl peroxide (DTBP, oxidant), which resulted in the formation of appropriate acetal protected 8,5′‑O-linked products such as 8,5′‑O-cycloadeosine derivative 32, deprotected with trifluoroacetic acid–water-MeOH mixture (reflux, 5 h). The authors also observed that anchimeric assistance of the acetal protecting group was necessary for the efficient cyclisation process as deprotected nucleosides did not give the expected products.
Scheme 8.

Cu-mediated synthesis of purine 8,5′‑O-cyclonucleoside 32 using DTBP as an oxidant
Amiable reported the unprecedented formation of 8(R),5′-O-cycloribonucleosides through a triflation reaction of purine ribonucleosides [25]. Isopropylidene-protected 6-chloropurine riboside 33 was subjected to a sulfonylation reaction with triflate anhydride in the presence of 2,6-di-tert-butyl-4-methylpyridine (DTBMP) (Scheme 9). Instead of the formation of the expected O-triflyl derivative, the authors observed the exclusive formation of cyclonucleoside 34 with a high yield, bearing the triflate group at N7 position of the purine ring. The triflation reaction of the purine ring instead of the 5′–OH group of the sugar ring, with concomitant formation of cyclonucleoside product, was also observed for 2′,3′-di(tert-butyldimethylsilyl)-6-chloropurine riboside (35). Nucleoside 35 treated with triflate anhydride in the presence of DTBMP was also transformed to appropriate cyclonucleoside 36 with a similar 82% yield.
Scheme 9.

The synthesis of N7-triflate-substituted purine 8(R),5′-O-cycloribonucleosides 34,36 using Tf2O/DTBMP system
5′-Methyl-thioadenosine/S-adenosylhomocysteine (MTA/AdoHcy) nucleosidase is an enzyme which cleaves the glycosidic bond in S-adenosylhomocysteine (AdoHcy, SAH) and 5′-methylthiodenosine (MTA, 37) giving adenine and the corresponding thioribose (S-ribosylhomocysteine or 5′-methylthioribose respectively). Nucleoside analogues of MTA, acting as inhibitors of MTA/AdoHcy nucleosidase, could be used as antibacterial agents. De Carvalho reported the synthesis of cyclic MTA analogue as a potential antimicrobial nucleoside starting from protected 5′-methylthio sugar 38, obtained in eight steps from D-glucose [26]. Acetyl-protected sugar 38 was coupled with N-benzoyladenine (39) in the presence of hexamethyldisilazane (HMDS) and trimethylsilyl triflate (TMSOTf) in acetonitrile, giving 3′-O-toluenesulphonyl adenosine derivative 40 (Scheme 10). The treatment of nucleoside 40 with ammonia in methanol led to the removal of protecting acetyl and benzoyl groups with concomitant formation of 2′,N3-cyclonucleoside 41, which exhibits antibacterial activity but the low solubility of the compound in water made it impossible to determine the exact values of minimal inhibitory concentrations.
Scheme 10.

The synthesis of MTA cyclic analogue 41 in reaction of 3′-O-toluenesulphonyl adenosine derivative 40 with NH3 in methanol
Protein arginine methyltransferase 5 (PRMT5) functions as an epigenetic regulator responsible for the symmetrical dimethylation of histones H2AR3, H4R3, H3R2 and H3R8 in vivo, a common post-translational modification important in regulating chromatin function. Kawamura and co-workers reported the synthesis of 10- 42 and 9-membered 43 cyclonucleosides with PRMT5 inhibitory activity (Fig. 1) [27]. The co-crystal structure of PRMT5:MEP50 in complex with the cyclonucleoside 43 was obtained, and its binding mode in the SAM (S-adenosyl-L-methionine) binding pocket of PRMT5 was revealed.
Fig. 1.

Cyclonucleosides 42,43 with PRMT5 inhibitory activity
The synthesis of cyclonucleoside 42 started from isopropylidene-protected N-benzoyladenosine 44, transformed in the six steps into intermediate 45, where the C′5 position of the sugar ring was modified with the 5-chlorophenyl group and OH5′ was modified with hydroxyethyl group (Scheme 11). The cyclization step leading to the protected cyclonucleoside 46 was performed with lead tetraacetate (LTA) in warm benzene followed by the removal of the benzyloxy group with ammonia solution resulting in isopropylidene-protected cyclonucleoside 47. Alternatively, intermediate 45 was deprotected with ammonia solution to 48, and subjected to cyclisation with LTA. In the final step, the isopropylidene group was removed in acidic conditions with formic acid in water which led to the final cyclonucleoside 42.
Scheme 11.
The synthesis of PRMT5 inhibitor 42 using Pb(OAc)4 as oxidative cyclisation agent
The synthesis of cyclonucleoside 43 started from isopropylidene-protected N-benzoyladenosine 44, transformed in the ten steps into intermediate 49 possessing tosyl group in the side chain (Scheme 12). The treatment of 49 with methanolic ammonia led to the two products: the open-chain derivative 50 resulted from nucleophilic substitution of tosylate with ammonia and cyclonucleoside 51 resulted from a subsequent nucleophilic attack of an amine group on bromine-substituted purine ring. All attempts for the removal of the isopropylidene group in 51 were accompanied by the destruction of the aminoethylene bridge, which proved to be sensitive to acidic conditions. Consequently, open-chain intermediate 50 was first deprotected in acidic conditions to free nucleoside 52, then transformed into cyclonucleoside 43 by heating with diisopropylethylamine (DIPEA) in ethanol under microwave conditions.
Scheme 12.
The synthesis of PRMT5 inhibitor 43 through intramolecular nucleophilic attack of primary aliphatic amine group on 8-bromoadenine ring
The cyclisation approaches of acyclic purine nucleosides
The acyclic purine nucleosides were also applied to cyclisation reactions resulting in bridged acyclonucleosides. Alvarenga, in her Ph.D. thesis published online, reported two methods of cyclisation of Ganciclovir and Penciclovir, the antiviral drugs [28]. In the first radical approach (Scheme 13), tert-butyldimethylsilyl (TBS) protected 8-bromo-Ganciclovir (53) and 9-bromo-Penciclovir (54) were heated with AIBN and tri(n-butyl)tin hydride in acetonitrile, which led to the C-bridged derivatives 55 and 56, isolated from the reaction mixture with low yields (13% and 21%, respectively). Nucleosides 55 and 56 were then subjected to deprotection reaction in the presence of TFA, but only Ganciclovir cyclonucleoside 57 was isolated in the pure form with 54% yield.
Scheme 13.

The radical cyclisation of TBS-protected Ganciclovir and Penciclovir 53,54 using AIBN/Bu3SnH system leading to C-bridged cyclonucleosides 55,56
In the second approach [28], deprotected 8-bromo-Ganciclovir (58) and 8-bromo-Penciclovir (59) were heated in the presence of NaH in DMSO under the microwave conditions, which resulted in the formation of O-bridged derivatives 60 and 61, isolated from the reaction mixture with high yields (93% and 74%, respectively) (Scheme 14).
Scheme 14.

The synthesis of O-bridged analogues of Ganciclovir and Penciclovir 60,61 through nucleophilic attack of OH group on 8-bromoguanine ring
A similar approach was used by Janeba to synthesize bridged acyclic nucleoside phosphonate from iso-HPMPA [29] (Scheme 15). 8-Bromo-iso-HPMPA diisopropyl phosphonate 62 was treated with sodium hydride in DMF at room temperature, which led to the formation of bridged, acyclic, protected phosphonate ester 63. Subsequent treatment with trimethylsilyl bromide led to the deprotection of the phosphonate group and the formation of O-bridged iso-HPMPA 64.
Scheme 15.

The synthesis of bridged acyclic nucleoside phosphonate ester 63 through nucleophilic attack of OH group on 8-bromoadenine ring
Muzychka, during research on acyclic 7-deazapurine nucleoside analogues, observed the formation of cyclic salts resulting from the intramolecular attack of the halogen in the side chain on N3 atom of the 7-deazapurine ring [30, 31] (Scheme 16). 7-Deazapurine 65, possessing an oxirane ring in the side chain, was heating in acetonitrile in the presence of triethylamine salts, which resulted in the opening of the oxirane ring and formation of intermediate 66 with subsequent intramolecular alkylation to inner salt 67. 9-Deazapurine perchlorate salt 67, when heated with hydrochloric acid, underwent ester hydrolysis followed by decarboxylation to product 68.
Scheme 16.

The synthesis of 7-deazapurine inner salts 67 through intramolecular attack of the halogen on N3 atom of the 7-deazapurine ring
The synthesis of cyclonucleosides with non-canonical bases
Mei and co-workers synthesized 3-phenyl-5,8-dihydropyrimido[4,5-c]pyridazin-7(6H)-one 2′-deoxyriboside 69 to perform oxidative dehydrogenation leading to 3-phenylpyrimido[4,5-c]pyridazin-7(6H)-one 2′-deoxyriboside 70 [32]. The authors applied tert-butyl hydroperoxide (TBHP) as oxidant, catalytic amounts of CuCl2 and potassium carbonate (Scheme 17), but instead of 2′-deoxyriboside 70, they identified 5,8-dihydropyrimido[4,5-c]pyridazin-7(6H)-one 6,5′-cyclonucleoside 71, obtained in 55% yield, as the main product and nucleoside 70 was not detected in the reaction mixture.
Scheme 17.
The radical approach to synthesis of 5,8-dihydropyrimido[4,5-c]pyridazin-7(6H)-one 6,5′-cyclonucleoside 71 using TBHP/CuCl2/K2CO3 system
An example of tandem alkylation-azide “click” intramolecular cycloaddition in the synthesis of cyclonucleoside derivatives was described by Dell′Isola and co-workers, who developed the spirocyclic [1,2,3]-triazolooxazine nucleosides as potential antiviral agents [33]. The sugar derivative 72 was subjected to the alkylation reaction with a range of propargyl bromides in the presence of BEMP (2-tert-butylimino-2-diethylamino-1,3-dimethylperhydro-1,3,2-diazaphosphorine) as a base to give the crude propargylic ether intermediates 73 (Scheme 18). Intermediate ethers 73 underwent efficient copper-free, thermal intramolecular 1,3-dipolar cycloaddition upon heating in toluene for 24 h, which resulted in the novel, protected spironucleosides 74, which could be treated as cyclonucleosides bearing substituted triazole nucleosidic base. Nucleosides 74 was then subjected to a double deprotection reaction and treated with methanolic ammonia for the removal of the Bz group followed by treatment with Dowex-H + for the removal of the isopropylidene group. The final products 75 were tested for antiviral activity against coronaviruses using animal model coronavirus MHV (Mouse Hepatitis Coronavirus) grown in 17Cl-1 cells. One derivative substituted with a 4-chlorophenyl group (R = 4-ClC6H4) exhibited moderate antiviral activity against the MHV virus (EC50 = 36 μM) without noticeable cytotoxicity (CC50 > 2000 μM, SI > 56).
Scheme 18.

The synthesis of antiviral triazole spironucleosides 75 through tandem alkylation-azide ′click′intramolecular cycloaddition
The application of cyclonucleosides in the modification of nucleosides
The cyclonucleosides are widely used as a convenient synthetic tool for the modification of nucleosides and already found many applications in the synthesis of unique nucleoside analogues modified in sugar ring or heterocyclic base.
Modification of heterocyclic base
Mei reported the diazotization reaction of 5-amino-2′-deoxycytidine (76), treated with sodium nitrite under acidic conditions of 2 N HCl (Scheme 19) [32]. The only reaction product 77 had the 6,5′-O-cyclonucleoside structure, similar to structure 71, and the open-chain product 78 was not initially detected in the reaction mixture. The author observed, that in contrast to cyclonucleoside 71, relatively stable in aqueous conditions at neutral pH, 6,5′-O-cyclonucleoside 77 undergoes fast hydrolysis and conversion to triazolopyrimidine 2′-deoxyriboside 78.
Scheme 19.
The synthesis of triazolopyrimidine 2′-deoxyriboside 78 through intermediate 6,5′-O-cyclonucleoside 77
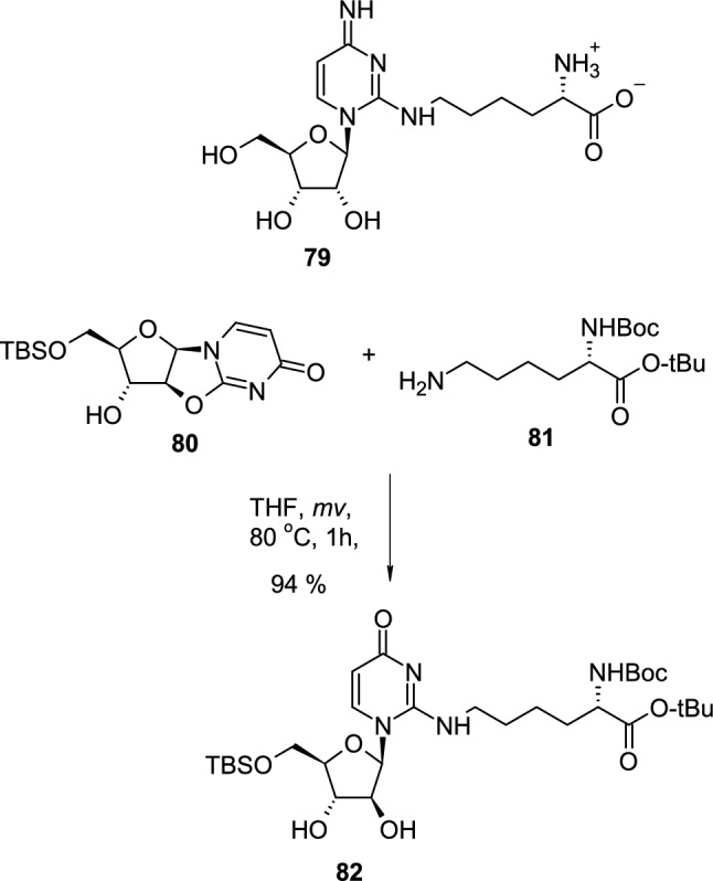
The recent examples of modifications of the heterocyclic base include improved microwave-assisted synthesis of isocytosine arabinosides [34]. The new approach allowed the reduction of reaction time to improve yield, and to perform the synthesis in the gram scale and was used for the synthesis of analogue of tRNA base—Lysidine (79). Thus 5′-O-TBS-2,2′-O-anhydrouridine (80) was heated with N1-Boc-lysine t-butyl ester (81), under the microwave conditions, which led to the opening of the 2,2′-O-linkage and formation of isocytosine arabinoside 82 (Scheme 20).
Scheme 20.

The synthesis of Lysidine analogue 82 through nucleophilic, intermolecular attack of aliphatic primary amine 81 on 2,2′-O-cyclo linkage of 80
The synthesis of pyrimidine nucleosides with bi- and tricyclic sugar scaffolds
Cyclonucleosides are widely used for structural modifications of sugar rings in nucleoside synthesis, including the preparation of bi- and tricyclic sugar scaffolds. In the synthesis of bridged nucleic acids [35], TBS- and Bn-protected pyrimidine nucleoside 83 was treated with trifluoromethanesulfonyl chloride (TfCl) in the presence of 4-(dimethylamino)pyridine (DMAP) in room temperature, which led to quantitative transformation to 2,2′-O-cyclonucleoside 84 (Scheme 21). Basic hydrolysis of 2,2′-O-cyclo linkage with sodium hydroxide led to intermediate nucleoside 85, which was subjected to further structural transformations to obtain bicyclic nucleoside 86, possessing a perhydro-1,2-oxazine-3-one ring.
Scheme 21.

The synthesis of pyrimidine nucleoside 86 with bicyclic, perhydro-1,2-oxazin-3-one containing scaffold, through 2,2′-O-cyclonucleoside intermediate 84
Protected cyclonucleoside 84 is a convenient intermediate for the synthesis of various nucleosides with bicyclic or tricyclic sugars, suitable building blocks for the development of novel locked nucleic acids (LNAs) [36] (Scheme 22). TBS-protected cyclonucleoside 84, deprotected with TBAF in THF to intermediate 87, is treated with diphenylphosphoryl azide (DPPA), in the presence of triphenylphosphine and diisopropyl azodicarboxylate (DIAD) which led to 5′-azidomethyl cyclonucleoside 88. The reduction of the azide group to the amine group with triphenylphosphine, followed by the subsequent nucleophilic attack of the primary, aliphatic amine on 2,2′-O-cyclo linkage resulted in Bn-protected bicyclic nucleoside 89.
Scheme 22.

The synthesis of pyrimidine nucleoside 89 with bicyclic sugar scaffold through intramolecular attack of amine group on 2,2′-O-cyclo linkage
In the another example of application of pyrimidine 2,2′-O-cyclonucleoside in the synthesis of building blocks for LNAs, Yamaguchi reported the synthesis and properties of 2′-O,4′-C-spirocyclopropylene bridged nucleic acids (scpBNA), an analogue of 2′,4′-BNA/LNA bearing a cyclopropane ring [37]. For this purpose, sugar-modified, 2′-OMs pyrimidine nucleoside 90 was transformed to 2,2′-O-cyclonucleoside 91 using TBAF (Scheme 23). In the presence of potassium carbonate, at elevated temperature, 2,2′-O-cyclonucleoside 91 was rearranged to benzyl-protected intermediate 92, bearing tricyclic sugar scaffold. Finally, deprotection to final nucleoside 93 was performed by hydrogenation reaction, giving the requested product 93 with a high yield.
Scheme 23.

The synthesis of pyrimidine nucleoside 93 with tricyclic, spiro-cyclopropane containing sugar scaffold through intramolecular attack of OH group on 2,2′-O-cyclo linkage
A constrained tricyclic thymidine analogue was also reported by Hanessian (Scheme 24) [38]. Bicyclic, Nap/Bn-protected pyrimidine nucleoside analogue 94 was transformed in the three steps into 2,2′-O-cyclonucleoside 95. The hydrolysis of ether linkage in 95 with NaOH led to intermediate 96, which immediately underwent cyclisation through nucleophilic attack of 2′-OH group on 5′-OMs group, giving protected pyrimidine nucleoside 97 bearing tricyclic sugar scaffold. The deprotection step, removal of benzyl groups was performed by hydrogenation reaction, resulted in final product 98.
Scheme 24.

The synthesis of thymidine analogue 98 from 2,2′-O-cyclonucleoside intermediate 95, through intramolecular attack of 2′-OH group on 5′-OTs group
Reactions of O-bridged pyrimidine cyclonucleosides with nucleophilic reagents
The successful synthesis of pyrimidine nucleosides with bi- and tricyclic sugar scaffolds, presented in the previous paragraph, was mainly based on intramolecular attacks of nucleophilic groups such as OH or NH2 on 2,2′-O-cyclo linkage of appropriate pyrimidine cyclonucleoside. Similarly, the intermolecular attack of various nucleophilic reagents on 2,2′-O-cyclo or 2,3′-O-cyclo linkages could lead to valuable, sugar-modified pyrimidine nucleoside derivatives.
The pyrimidine 2,2′-O-cyclonucleoside intermediates were used to introduce diamine or aminoacid functional groups to C'2 position of ribonucleosides [39] (Scheme 25). In the representative example, 5′-O-trityl-2,2′-O-cyclouridine (99) was treated with methyl 2-isothiocyanatoacetate (100) in the presence of DBU, which resulted in the formation of bicyclic nucleoside 101 with a new tetrahydrofuro[3,4-d]-oxazole-2(3H)-thione heterocyclic ring. Treatment of 101 with sodium hydroxide led to concomitant cleavage of the oxazole ring and hydrolysis of the ester group giving trityl-protected nucleoside 102. The removal of the trityl group with hydrochloric acid resulted in deprotected 2′-amino-2′-deoxyriboside 103.
Scheme 25.

The synthesis of C′2 aminoacid-substituted pyrimidine nucleoside 103 through nucleophilic attack of isothiocyanate group on pyrimidine 2,2′-O-cyclonucleoside 99
Pyrimidine cyclonucleosides are convenient intermediates for the introduction of azide N3 group to the sugar ring. Lewandowska reported the synthesis of the series of 3′-azido-2′,3′-dideoxy-5-fluorouridine phosphoramidates and evaluated their anticancer activity [40] (Scheme 26). The cyclonucleoside, 5′-O-benzoyl-2′-deoxy-5-fluoro-2,3′-O-cyclouridine (104), was heated with lithium azide in DMF for 4 h, which resulted in the formation of 3′-azido-5′-O-benzoyl-2′,3′-dideoxy-5-fluorouridine (105) with low yield. All attempts to increase the yield of this reaction failed, and the obtained derivative 105 was then converted into the corresponding 3′-azido-2′,3′-dideoxy-5-fluorouridine phosphoramidates 106. Phosphoramidates 106 were tested for their anticancer activity on three human cancer cell lines: cervical (HeLa), oral (KB) and breast (MCF-7), showing, in some cases, a higher cytotoxic effect than reference 5-fluoro-2′-deoxyuridine (FdU), 3′-azido-2′,3′-dideoxy-5-fluorouridine (AddFU) and Cytarabine.
Scheme 26.

Synthesis of anticancer 3′-azido-2′,3′-dideoxy-5-fluorouridine phosphoramidates 106 through nucleophilic attack of N3.− on 2′-deoxy- 2,3′-O-cyclonucleoside 104
De reported the synthesis of protected 4′-aminohexitol nucleoside building blocks suitable for oligonucleotide synthesis, where 4′-OH mesylated nucleoside 107 underwent basic cyclisation to 2,4′-O-cyclonucleoside 108 in the presence of triethylamine in refluxing ethanol [41] (Scheme 27). The nucleophilic attack of azide anion on 2,4′-O-cyclo linkage leading to 4′-azido substituted nucleoside 109 was partially accompanied by the removal of the TBDPS protecting group resulting in nucleoside 110. Protected 4′-azido substituted nucleoside 109 was also subjected to a deprotection reaction leading to 110 by treatment with Et3N*3HF reagent in dry THF.
Scheme 27.

Introduction of N3 group to 4′position of hexitol nucleoside 109 through nucleophilic attack of N3.− on pyrimidine 2,4′-O-cyclonucleoside 108
Except for the introduction of azide and amine groups, cyclonucleosides could be convenient intermediates to introduce thiol groups to the sugar ring [42] (Scheme 28). 2,3′-O-cyclo-5′-O-benzoylthymidine (111) was treated with 2,4,6-trimethoxybenzyl mercaptan (112), in the presence of sodium hydride, which led to the nucleophilic attack of thiolate on 2,3′-O-cyclo linkage. As partial deprotection of the 5′OH group occurred during the substitution step, the reaction mixture was directly subjected to full deprotection, the remaining benzoyl group was removed with a sodium hydroxide solution resulting in 3′-thiobenzyl intermediate 113 obtained after two steps with 61% yield. Nucleoside 113 was then transformed in 3 subsequent steps into the key intermediate 114, which after two next steps gave bicyclic thiolactone nucleoside 115. The corresponding 2′-deoxycytidine analogue of 115 was also obtained using a slightly modified procedure.
Scheme 28.

Synthesis of 3′-deoxy-3′-thiothymidine 113 through nucleophilic attack of thiolate on 2,3′-O-cyclothymidine 111
The use of pyrimidine 2,2′-O-cyclonucleosides also enables the introduction of 2′-alkoxy groups to the nucleoside structure (Scheme 29). In the first example, unprotected 2,2′-O-cyclouridine (116) is treated with 2-pyrenemethanol (117) in the presence of borane-THF complex at elevated temperatures, which leads to the O′2-(2-pyrenemethyl) derivative 118 [43]. In the another example, 2,2′-O-cyclouridine (116) underwent reaction with 3-azidopropanol (119) under similar conditions, which results in the formation of O′2-(3-azidopropyl) derivative 120 [44].
Scheme 29.

The synthesis of 2′-alkoxy derivatives 118,120 of uridine from 2,2′-O-cyclouridine 113 and alcohols 117,119 in the presence of BH3*THF
Various applications
The interesting application of 2,6′-O-cyclo linkage in the synthesis of pyrimidine β-L-erythro-hexopyranosyl nucleosides, suitable for the development of L-Homo-DNA, was presented by D′Alonzo [45] (Scheme 30). Acetyl-protected sugar 121 was subjected to a sequence of reactions including deprotection of the hydroxyl group, coupling with the sodium salt of heterocyclic base 122 (intermolecular O-glycosylation) followed by protection of hydroxyl groups with acetic anhydride in pyridine. These transformations led to the formation of O-glycosidic product 123, where sugar and heterocyclic base are linked by an ether linkage. O-Glycosidic intermediate 120 was then subjected to intramolecular N-glycosidation in the presence of bis(trimethylsilyl)acetamide (BSA) and SnCl4, which resulted in the formation of 2,6′-O-cyclonucleoside 124. The authors observed that hydrolysis of the O-glycosidic bond in 124 occurred under treatment with hydroxide ions after prolonged reaction times (24 h at reflux). The last step was also accompanied by deprotection of the hydroxy group giving the final product 125 in low yield.
Scheme 30.

Synthesis of β-L-erythro-hexopyranosyl nucleoside 125 via 2,6′-O-cyclonucleoside intermediate 124
Belostotskii reported the synthesis of carbocyclic ketonucleoside 126, which loses the benzyloxy group in acidic conditions and undergoes fast transformation to unsaturated nucleoside 127 [46] (Scheme 31). The authors proposed the mechanism of elimination through intermediate forms 128–130, which include the protonation of the keto group and rearrangement of oxocarbenium 128 to cyclonucleoside isouronium kation 129 followed by elimination of benzyl alcohol from 130 leading to product 127.
Scheme 31.

Formation of unsaturated carbocyclic ketonucleoside 127 from 126 through cyclonucleoside isouronium intermediate 129
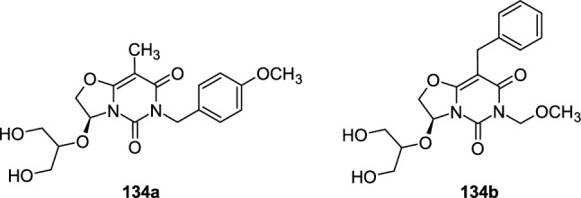
Cyclonucleoside are not only suitable for modifications of sugar rings or heterocyclic bases of nucleoside analogues, but also could be transformed into other, fused heterocyclic systems. Mieczkowski et al. reported an interesting transformation of 6,5′-O-cyclouridines to 6H-oxazolo[3,2-f]pyrimidine-5,7-diones [47] (Scheme 32). The developed method started from deprotected 6,5′-O-cyclouridine 131, treated in the first step with sodium periodate in water which resulted in the oxidation of the ribose cis-diol group and the formation of dialdehyde 132. The treatment of dialdehyde 132 with sodium borohydride caused the reduction of aldehyde groups to hydroxyl groups leading to a rather unstable 7-membered intermediate 133. The reduction process is accompanied by fast subsequent ring contraction and rearrangement of the dioxazepine ring in 133 to five-membered oxazole ring observed in the final product 134. The molecular structure of the final compounds was confirmed by two crystal structures.
Scheme 32.

Transformation of 6,5′-O-cyclouridines 131 to 6H-oxazolo[3,2-f]pyrimidine-5,7-diones 134 via oxidation–reduction-rearrangement cascade process
Products 134 could also be treated as O-bridged, acyclic pyrimidine nucleoside analogues or acyclic purine nucleoside analogues. The representative structures 134a,b are shown in Fig. 2. The 11 final products were tested for their cytotoxic activity on six cancer and one non-cancer cell line but exhibited relatively weak cytotoxicity.
Fig. 2.

The examples of 6H-oxazolo[3,2-f]pyrimidine-5,7-diones 134a,b
Conclusion
Cyclonucleosides are valuable nucleoside analogues which could be synthesized by various methods leading to a diverse range of heterogeneous groups of compounds varied from each other by a heterocyclic base, sugar ring and type of linkage (length, structure and attachment to the rings). Their rigid, fixed structure could determine their biological properties and could be a starting point for the development of enzyme inhibitors (PRMT5) and molecular tools for biochemistry. Cyclonucleosides could exhibit anticancer, antiviral or antibacterial activity and could be introduced to oligonucleotide chains. Cyclonucleosides with labile linkages, susceptible to attack of nucleophilic reagents, could be valuable intermediates for the synthesis of nucleoside analogues, enabling modifications of heterocyclic base (i.e. synthesis of isocytidine nucleosides), or sugar ring (introduction of azide, amine, thiol or alkoxy groups). They found applications in the synthesis of nucleosides with bicyclic sugars, suitable for the development of locked nucleic acids. Cyclonucleoside intermediates were used to perform the intramolecular N-glycosylation and were transformed into other heterocyclic systems (oxazolopyrimidines). Consequently, cyclonucleosides are an important, and valuable group of nucleosides which could be applied in both basic (new synthetic tools) and applied (inhibitors, biocides, biochemical tools) chemical sciences.
Abbreviations
- 1,6-HAT cyclisation
1,6-Hydrogen atom transfer cyclization
- AddFU
3′-Azido-2′,3′-dideoxy-5-fluorouridine
- AdoHcy
S-Adenosylhomocysteine, SAH
- AIBN
Azobisisobutyronitrile
- BEMP
2-tert-Butylimino-2-diethylamino-1,3-dimethylperhydro-1,3,2-diazaphosphorine
- BSA
Bis(trimethylsilyl)acetamide
- DAST
Diethylaminosulfur trifluoride
- DCM
Dichloromethane
- DBU
1,8-Diazabicyclo[5.4.0]undec-7-ene
- DIAD
Diisopropyl azodicarboxylate
- DIPEA
Diisopropylethylamine
- DMAP
4-(Dimethylamino)pyridine
- DPPA
Diphenylphosphoryl azide
- DTBP
Di-tert-butyl peroxide
- DTBMP
2,6-Di-tert-butyl-4-methylpyridine
- FdU
5-Fluoro-2′-deoxyuridine
- HMDS
Hexamethyldisilazane
- HPMPA
[(2S)-1-(6-Aminopurin-9-yl)-3-hydroxypropan-2-yl]oxymethylphosphonic acid
- LNAs
Locked nucleic acids
- LTA
Lead tetraacetate
- MEP50
Methylosome protein 50
- MHV
Mouse hepatitis coronavirus
- MTA
5′-Methylthiodenosine
- MTA/AdoHcy nucleosidase
5′-Methyl-thioadenosine/S-adenosyl-homocysteine nucleosidase
- PRMT5
Protein arginine methyltransferase
- SAH
S-Adenosylhomocysteine
- SAM
S-Adenosyl-L-methionine
- TBAF
Tetra-n-butylammonium fluoride
- TBHP
tert-Butylhydroperoxide
- TBDPS
tert-Butyldiphenylsilyl
- TBS
tert-Butyldimethylsilyl
- TCBQ
Tetrachloro-1,4-benzoquinone
- TfCl
Trifluoromethanesulfonyl chloride
- TIPS
Triisopropylsilyl
- TMSOTf
Trimethylsilyl triflate
- TMS3SiH
Tris(trimethylsilyl)silane
Author contributions
The idea for the article: AM. The literature search and data analysis: AM and KB. Draft preparation: AM and KB. Manuscript revision: AM.
Declarations
Conflict of interest
The authors declare no competing interests.
Footnotes
Publisher's Note
Springer Nature remains neutral with regard to jurisdictional claims in published maps and institutional affiliations.
References
- 1.Gajda R, Bagiński M, Tomczyk E, Mieczkowski A, Woźniak K (2015) Constrained nucleoside analogues – Crystal and molecular structure of 6,5′-O-anhydrouridines fixed in the anti conformation. J Mol Struct 1097:199–206. 10.1016/j.molstruc.2015.05.018 [Google Scholar]
- 2.Sun J, Yang K, Duan R, Wu J (2010) N6,3′-cyclo-5′-O-Cyanomethylthymidine. Acta Crystallogr Sect E Struct Rep Online 66:o1512. 10.1107/S1600536810019379 [DOI] [PMC free article] [PubMed] [Google Scholar]
- 3.Hamada A, Kawaguchi T, Nakano M (2002) Clinical pharmacokinetics of cytarabine formulations. Clin Pharmacokinet 41:705–718. 10.2165/00003088-200241100-00002 [DOI] [PubMed] [Google Scholar]
- 4.Drabikowska AK, Lissowska L, Veres Z, Shugar D (1978) Inhibitor properties of some 5-substituted uracil acyclonucleosides, and 2,2′-anhydrouridines versus uridine phosphorylase from E. coli and mammalian sources. Biochem Pharmacol 36:4125–4128. 10.1016/0006-2952(87)90570-3 [DOI] [PubMed] [Google Scholar]
- 5.Chun BK, Wang P, Hassan A, Du J, Tharnish PW, Stuyver LJ, Otto MJ, Schinazi RF, Watanabe A (2006) Synthesis of 5′,9-anhydro-3-(b-D-ribofuranosyl)xanthine, and 3,5′-anhydro-xanthosine as potential anti-hepatitis C virus agents. Tetrahedron Lett 46:2825–2827. 10.1016/j.tetlet.2005.02.120 [Google Scholar]
- 6.Ueda T, Usui H, Shuto S, Inoue H (1984) Synthesis of 6,5′-cyclo-5′-deoxyuridines by radical cyclization: nucleosides and nucleotides. L. Chem Pharm Bull 32:3410–3416. 10.1248/cpb.32.3410 [Google Scholar]
- 7.Chatgilialoglu C, Ferreri C, Terzidis M (2011) A. Purine 5′,8-cyclonucleoside lesions: chemistry and biology. Chem Soc Rev 40:1368–1382. 10.1039/C0CS00061B [DOI] [PubMed] [Google Scholar]
- 8.Choudhary A, Kamer KJ, Powner MW, Sutherland JD, Raines RT (2010) A stereoelectronic effect in prebiotic nucleotide synthesis. ACS Chem Biol 5:655–657. 10.1021/cb100093g [DOI] [PMC free article] [PubMed] [Google Scholar]
- 9.Biscans A (2018) Exploring the emergence of RNA nucleosides and nucleotides on the early earth. Life 8:57. 10.3390/life8040057 [DOI] [PMC free article] [PubMed] [Google Scholar]
- 10.Xu J, Green NJ, Gibard C, Krishnamurthy R, Sutherland JD (2019) Prebiotic phosphorylation of 2-thiouridine provides either nucleotides or DNA building blocks via photoreduction. Nat Chem 11:457–462. 10.1038/s41557-019-0225-x [DOI] [PMC free article] [PubMed] [Google Scholar]
- 11.Capon RJ, Trotter NS (2005) N3,5′-Cycloxanthosine, the first natural occurrence of a cyclonucleoside. J Nat Prod 68:1689–1691. 10.1021/np0502692 [DOI] [PubMed] [Google Scholar]
- 12.Menna M, Aiello A, D'Aniello F, Fattorusso E, Imperatore C, Luciano P, Vitalone R (2012) Further investigation of the mediterranean sponge Axinella polypoides: isolation of a new cyclonucleoside and a new betaine. Mar Drugs 10:2509–2518. 10.3390/md10112509 [DOI] [PMC free article] [PubMed] [Google Scholar]
- 13.Mieczkowski A, Roy V, Agrofoglio LA (2010) Preparation of cyclonucleosides. Chem Rev 110:1828–1856. 10.1021/cr900329y [DOI] [PubMed] [Google Scholar]
- 14.Mieczkowski A, Agrofoglio LA (2010) Potential and perspectives of cyclonucleosides. Curr Med Chem 17:1527–1549. 10.2174/092986710790979962 [DOI] [PubMed] [Google Scholar]
- 15.Maougal E, Escudier JM, Len C, Dubreuil D, Lebreton J (2013) Synthesis of conformationally constrained nucleoside analogues. In: Merino P (ed) Chemical synthesis of nucleoside analogues, 1st edn. Wiley, New Jersey, pp 345–425. 10.1002/9781118498088.ch9 [Google Scholar]
- 16.Yoshimura Y, Takahata H (2012) Recent advances in cyclonucleosides: C-cyclonucleosides and spore photoproducts in damaged DNA. Molecules 17:11630–11654. 10.3390/molecules171011630 [DOI] [PMC free article] [PubMed] [Google Scholar]
- 17.Perchyonok VT (2011) Black light induced radical cyclization approach to cyclonucleosides: an independent approach. Lett Org Chem 8:337–340. 10.2174/157017811795685108 [Google Scholar]
- 18.Yu H, Schlegel MK, McLauhlin LW (2014) The synthesis and structural characterization of both diastereomers of 5′-(hydroxymethyl)-6,5′-cyclo-2′,5′-dideoxyuridine cyclonucleosides. RCS Adv 4:32588–32593. 10.1039/C4RA04784B [Google Scholar]
- 19.Zhu C, Wang S, Zhao Y, Herdewijn P, Liu F (2023) Synthesis of novel 2,2′-anhydro-L-threosyl pyrimidine phosphonates. Chin J Org Chem. 10.6023/cjoc202303015 [Google Scholar]
- 20.Ingale SA, Leonard P, Tran QN, Seela F (2015) Duplex DNA and DNA−RNA hybrids with parallel strand orientation: 2′-deoxy-2′-fluoroisocytidine, 2′-deoxy-2′-fluoroisoguanosine, and canonical nucleosides with 2′-fluoro substituents cause unexpected changes on the double helix stability. J Org Chem 80:3124–3138. 10.1021/acs.joc.5b00040 [DOI] [PubMed] [Google Scholar]
- 21.Liu J, Leonard P, Müller SL, Daniliuc C, Seela F (2018) Nucleoside macrocycles formed by intramolecular click reaction: efficient cyclization of pyrimidine nucleosides decorated with 5′-azido residues and 5-octadiynyl side chains. Beilstein J Org Chem 14:2404–2410. 10.3762/bjoc.14.217 [DOI] [PMC free article] [PubMed] [Google Scholar]
- 22.Tsanakopoulou M, Xu J, Bond AD, Sutherland JD (2017) A new and potentially prebiotic α-cytidine derivative. ChemComm 53:3327–3329. 10.1039/C7CC00693D [DOI] [PMC free article] [PubMed] [Google Scholar]
- 23.Yueh H, Yu H, Theile CS, Pal A, Horhota A, Greco N, Christianson CV, McLaughlin LW (2021) Synthesis and properties of DNA containing cyclonucleosides. Nucleosides Nucleotides Nucleic Acids 31:661–679. 10.1080/15257770.2012.716189 [DOI] [PubMed] [Google Scholar]
- 24.Yu M, Wang Z, Hu J, Li S, Du H (2015) Copper-catalyzed intramolecular alkoxylation of purine nucleosides: one-step synthesis of 5′-O,8-cyclopurine nucleosides. J Org Chem 80:9446–9453. 10.1021/acs.joc.5b01360 [DOI] [PubMed] [Google Scholar]
- 25.Amiable C, Pochet S (2015) Unprecedented formation of 8(R),5′-O-cycloribonucleosides through a triflation reaction of purine ribonucleosides. Tetrahedron 71:2525–2529. 10.1016/j.tet.2015.03.020 [Google Scholar]
- 26.de Carvalho GSG, de P. Dias RM, Fourrey JL, Silva VL, Diniz CG, da Silva AD, (2012) Synthesis and biological evaluation of a highly constrained analogue of methylthioadenosine (MTA). Int J Org Chem 2:398–403. 10.4236/ijoc.2012.24055 [Google Scholar]
- 27.Kawamura S, Palte RL, Kim HY, Sauri J, Sondey C, Mansueto MS, Altman MD, Machacek MR (2022) Design and synthesis of unprecedented 9- and 10-membered cyclonucleosides with PRMT5 inhibitory activity. Bioorg Med Chem 66:116820. 10.1016/j.bmc.2022.116820 [DOI] [PubMed] [Google Scholar]
- 28.Alvarenga FCR (2016) Synthèse de nouveaux analogues de nucleosides potentiellement antiviraux. Dissertation, Université Grenoble Alpes. https://tel.archives-ouvertes.fr/tel-02003332
- 29.Janeba Z, Masojidkova M, Holy A (2010) Alternative synthesis of 9-{3-[(diisopropoxyphosphoryl)-methoxy]-2-hydroxypropyl}adenine and its free phosphonates substituted at the C-8 position of purine base. Collect Czech Chem Commun 75:371–381. 10.1135/cccc200956 [Google Scholar]
- 30.Muzychka LV, Yaremchuk IO, Muzychka OV, Smolii OB (2017) 7-Substituted pyrrolo[2,3-d]pyrimidines for the synthesis of new 1-deazapyrimido[1,2,3-cd]purines. Fr-Ukr J Chem 5:15–23. 10.17721/fujcV5I2P15-23 [Google Scholar]
- 31.Muzychka LV, Yaremchuk IO, Verves YV, Smolii OB (2018) The synthesis of a tricyclic system with the 7-deazaadenine nucleus. Ž Org Farm Hìm (J Org Pharm Chem) 16:28–33. 10.24959/ophcj.18.936 [Google Scholar]
- 32.Mei H, Ingale SA, Seela F (2015) 3-Phenyl-5,6,7,8-tetrahydropyrimido[4,5-c]pyridazin-7-one as nucleobase substitute in DNA: synthesis of the 2′-deoxyribonucleoside, cyclonucleoside formation, and base pairing in oligonucleotides. Tetrahedron 71:6170–6175. 10.1016/j.tet.2015.06.092 [Google Scholar]
- 33.Dell′Isola A, McLachlan MMW, Neuman BW, Al-Mullah HMN, Binks AWD, Elvidge W, Shankland K, Cobb AJA (2014) Synthesis and antiviral properties of spirocyclic [1,2,3]-triazolooxazine nucleosides. Chem Eur J 20:11685–11689. 10.1002/chem.201403560 [DOI] [PMC free article] [PubMed] [Google Scholar]
- 34.Sweeney JB, Bethel PA, Gill DM, Ochocińska AM, Walsh AEJ, Walton SM (2019) Synthesis of a protected keto-Lysidine analogue via improved preparation of arabino-isocytosine nucleosides. Org Lett 21:2004–2007. 10.1021/acs.orglett.9b00086 [DOI] [PubMed] [Google Scholar]
- 35.Shrestha AR, Hari Y, Yahara A, Osawa T, Obika S (2011) Synthesis and properties of a bridged nucleic acid with a perhydro-1,2-oxazin-3-one ring. J Org Chem 76:9891–9899. 10.1021/jo201597e [DOI] [PubMed] [Google Scholar]
- 36.Sawamoto H, Arai Y, Yamakoshi S, Obika S, Kawanishi E (2018) Synthetic method for 2-amino-LNA bearing any of the four nucleobases via a transglycosylation reaction. Org Lett 20:1928–1931. 10.1021/acs.orglett.8b00476 [DOI] [PubMed] [Google Scholar]
- 37.Yamaguchi T, Horiba M, Obika S (2015) Synthesis and properties of 2′-4′, O-C-spirocyclopropylene bridged nucleic acids (scpBNA) an analogue of 2′,4′-BNA/LNA bearing a cyclopropane ring. ChemComm 51:9737–9740. 10.1039/C5CC02024G [DOI] [PubMed] [Google Scholar]
- 38.Hanessian S, Wagger J, Merner BL, Diacometti RD, Østergaard ME, Swayze EE, Seth PP (2013) A constrained tricyclic nucleic acid analogue of α-L-LNA: investigating the effects of dual conformational restriction on duplex thermal stability. J Org Chem 78:9064–9075. 10.1021/jo401170y [DOI] [PubMed] [Google Scholar]
- 39.Gondela A, Tomczyk MD, Przypis Ł, Walczak KZ (2016) Versatile synthesis of 2′-amino-2′-deoxyuridine derivatives with a 2′-amino group carrying linkers possessing a reactive terminal functionality. Tetrahedron 72:5626–5632. 10.1016/j.tet.2016.07.061 [Google Scholar]
- 40.Lewandowska M, Ruszkowski P, Baraniak D, Czarnecka A, Kleczewska N, Celewicz L (2013) Synthesis of 3′-azido-2′,3′-dideoxy-5-fluorouridine phosphoramidates and evaluation of their anticancer activity. Eur J Med Chem 67:188–195. 10.1016/j.ejmech.2013.06.047 [DOI] [PubMed] [Google Scholar]
- 41.De S, Jabgunde AM, Patil RS, De Jonghe S, Beigelman L, Herdewijn P (2018) Synthesis of protected amino hexitol nucleosides as building blocks for oligonucleotide synthesis. J Org Chem 83:6402–6410. 10.1021/acs.joc.8b02444 [DOI] [PubMed] [Google Scholar]
- 42.Mavila S, Worrell BT, Culver HR, Goldman TM, Wang C, Lim CH, Domaille DW, Pattanayak S, McBride MK, Musgrave CB, Bowma CN (2018) Dynamic and responsive DNA-like polymers. J Am Chem Soc 140:13594–13598. 10.1021/jacs.8b09105 [DOI] [PubMed] [Google Scholar]
- 43.Karmakar S, Madsen AS, Guenther DC, Gibbons BC, Hrdlicka PJ (2014) Recognition of double-stranded DNA using energetically activated duplexes with interstrand zippers of 1-, 2- or 4-pyrenyl-functionalized O2′-alkylated RNA monomers. Org Biomol Chem 12:7758–7773. 10.1039/C4OB01183J [DOI] [PMC free article] [PubMed] [Google Scholar]
- 44.Egger M, Bereiter R, Mair S, Micura R (2022) Scaling catalytic contributions of small self-cleaving ribozymes. Angew Chem Int Ed 61:e202207590. 10.1002/anie.202207590 [DOI] [PMC free article] [PubMed] [Google Scholar]
- 45.D’Alonzo D, Guaragna A, Van Aerschot A, Herdewijn P, Palumbo G (2010) Toward L-homo-DNA: stereoselective de novo synthesis of β-L-erythro-hexopyranosyl nucleosides. J Org Chem 75:6402–6410. 10.1021/jo100691y [DOI] [PubMed] [Google Scholar]
- 46.Belostotskii AM, Genizi E, Hassner A (2012) Essential reactive intermediates in nucleoside chemistry: cyclonucleoside cations. Org Biomol Chem 10:6624–6628. 10.1039/C2OB25868D [DOI] [PubMed] [Google Scholar]
- 47.Mieczkowski A, Bazlekova M, Bagiński M, Wójcik J, Winczura A, Miazga A, Ghahe SS, Gajda R, Woźniak K, Tudek B (2016) A mild and efficient approach to the 6H-oxazolo[3,2-f]pyrimidine-5,7-dione scaffold via unexpected rearrangement of 2,3-dihydropyrimido[6,1-b][1,5,3]dioxazepine-7,9(5H,8H)-diones: synthesis, crystallographic studies, and cytotoxic activity screening. Tetrahedron Lett 57:743–746. 10.1016/j.tetlet.2016.01.006 [Google Scholar]






