Abstract
Due to the dominant presence of studies and reviews exploring the impact of light on physical and mental illness, studies specifically investigating the effect of light on wellbeing are often overshadowed. The aim of this review is to give an overview of specifically these studies conducted on light and wellbeing, and to summarize the reported effects. After a literature search in PubMed, PsycInfo, and Web of Science, 74 studies were found eligible to be included in this systematic review, i.e. they included surveys assessing wellbeing, happiness, life satisfaction, positive affect, or quality of life. Of these 74 studies, 30 were included in the meta-analysis and assessed for their risk of bias. The meta-analysis showed a pooled effect size of 0.46 (CI = 0.29–0.62), indicating that light has a small-to-moderate positive effect on wellbeing. After removing outliers and studies with a high risk of bias, the sensitivity analysis showed the pooled effect size to be robust (0.53, CI = 0.35–0.72). Although the sensitivity analysis indicated a robust effect, the results might still be biased due to the relatively small sample sizes, risk of bias in the designs (due to e.g. difficulties handling confounders and the reporting of the outcomes), and publication bias. We encourage future studies to replicate these positive results in larger samples, and to give extensive details about the light design and statistical outcomes, to increase the number of studies that can be included in these types of systematic reviews.
Supplementary Information
The online version contains supplementary material available at 10.1007/s10902-024-00838-4.
Keywords: Wellbeing, Quality of life, Happiness, Light, Meta-analysis
Introduction
Historically, our circadian rhythm was regulated by the natural cycle of sunrise and sunset. The introduction of artificial lighting has changed this drastically (Hargadon & Douglas, 2001). Artificial lighting has enabled us to work late in a well-lit office, drive down the highway at night aided by car and traffic lights, and we are then further exposed to light from our TV’s or smartphones whenever we want (Christensen et al., 2016). Some of this light serves a clear purpose, but other sources of light are a form of ‘light pollution’, defined as excessive artificial light that does not improve visibility or health (Cinzano et al., 2001). In general, people are underexposed to natural light during the day and overexposed to artificial light at night (Blume et al., 2019). Changes in light exposure have been linked to a number of health problems, such as diabetes (Kim et al., 2023), insomnia (Obayashi et al., 2014), and neurodegenerative diseases (Mitolo et al., 2018). Although a significant body of research supports the link between light and various medical conditions, the association between light and wellbeing is not as firmly established.
Light exposure, and its possible effects, are highly context dependent. There is an obvious distinction between natural light (sunlight) and artificial light, and between indoor and outdoor light. From a geographic point of view, the latitude of a country and the time of year jointly determine when and how much daylight there is: the so-called photoperiod. The photoperiod is shorter in northern countries compared to southern countries, depends on daylight saving time, and is subject to seasonality (Thorne et al., 2009). In addition, the time of the day at which a person is exposed to light matters. Being exposed to bright light in the morning will have different effects than being exposed to bright light in the evening (Burns et al., 2022). Besides the timing, the duration of exposure, light intensity, light type, and light color all contribute to the effect that light can have. Furthermore, there are individual factors that are important for the effects of light on health and wellbeing, such as age. A person at age 75 needs three times more light than a person at age 45 to trigger the same circadian response (Turner & Mainster, 2008). The context-dependent nature of the relation between light and health forms a challenge in finding generalizable results for the effect of light on wellbeing.
Anticipated effects of light on health and wellbeing are based on the fact that light has both visual and non-visual effects. Light influences our circadian rhythm, the 24 h cycle that determines the pace of some of the body’s essential functions (Sollars & Pickards, 2015). While the circadian rhythm was primarily driven by the presence of the sun, artificial lighting has changed our day-to-day light exposure and therefore can shift and change circadian rhythms. This response to change in light exposure is known as ‘circadian disruption’: when the environmental exposures are misaligned with the body’s natural rhythm.
Circadian disruption has been associated with several health conditions. For example, Morris et al., (2016) conducted a randomized controlled trial and found that circadian misalignment contributes to cardiovascular risk factors, such as blood pressure and vagal activity. Moreover, there is a correlation between circadian disruption and infertility, whereby sleep deprivation has been found to increase LH, estradiol, and FSH levels in women (Baumgartner et al., 1993), and it is one of the contributing factors to metabolic disorders (McHill et al., 2014; Shimada et al., 2016). Additionally, there is a link between the circadian rhythm and diabetes. In fact, several studies have shown that circadian disruption can increase the risk of type-2 diabetes (Koopman et al., 2017; Leproult et al., 2014; Pan et al., 2011). Furthermore, circadian disruption has also been linked to neurodegenerative diseases (Hu et al., 2009; Tholfsen et al., 2015; Videnovic et al., 2014). Results from a paper by Tranah et al., (2011) indicated that changes in circadian activity patterns can be a preclinical phenomenon for Alzheimer’s disease. Similarly, a longitudinal study by Leng et al., (2020) suggested that circadian disruption may be a prodromal indicator for Parkinson’s disease. These papers all illustrate how circadian disruption is related to various health outcomes.
While the association with health is well established, the association with wellbeing remains somewhat ambiguous. The first reason for this is that light studies have primarily focused on the effect on psychological disorders and mood disorders, with the aim to try to understand the mechanisms, develop treatments, and help those who suffer. In this traditional approach of trying to solve a problem and to identify risk factors, wellbeing and possible preventive mechanisms are often understudied. For example, the systematic review by Pjrek et al., (2019) evaluated 19 randomized-controlled trials and found a moderate effect of bright light treatment for seasonal affective disorder. Another review on the effect of bright light treatment studied the effect on depressive symptoms in patients with bipolar disorder and found no effect (Takeshima et al., 2020). The second reason has to do with the use of the term ‘wellbeing’. We consider wellbeing a combination of individual evaluations of feeling well and functioning well, which can be captured with widely used and validated surveys assessing happiness, life satisfaction, positive affect, and quality of life (Cantril, 1966; Diener et al., 1985; Ebesutani et al., 2012; Lyubomirsky & Lepper, 1999). Sometimes, ‘wellbeing’ is mentioned as one of the outcome measures in the introduction of a study, but instead of using wellbeing scales, wellbeing derivatives are assessed, such as sleep (Aries et al., 2020; Sander et al., 2015). This is well-illustrated in the paper by Juda et al., (2020) where the authors mention examining the effect of light on wellbeing, while wellbeing was measured with scales for depression, fatigue, and sleep quality. Veleva et al., (2018) drew the same conclusion after conducting a review on the effect of ultraviolet light on mood, depressive disorders, and wellbeing: some papers claim to study wellbeing, but there is no wellbeing scale used. The third reason is that many light intervention studies suffer from small sample sizes. For example, the paper by Van Maanen et al., (2016) included 53 papers on the effects of light therapy on sleep problems in a total of 1154 participants, with sample sizes ranging from n = 7 to n = 67. Pjrek et al., (2019) and Takeshima et al., (2020) also acknowledged the problem of inadequate sample sizes in individual light treatment studies. The problem with studying effects in small sample sizes is that it can either falsely be an insignificant effect because of the large variability (type II error), or a significant effect arises simply because of chance. These three explanations outline why the association between light and wellbeing has remained uncertain.
To summarize the existing literature, we performed a systematic review of the association between light and wellbeing. To maintain a genuine emphasis on wellbeing, only papers that used wellbeing scales as outcome measures were included. This review provides an overview of the study characteristics of all the papers and includes a meta-analysis with a thorough assessment of risk of bias and study heterogeneity.
Methods
Search Strategy
First Search (September 2021)
The data bases used for searching published papers were PubMed, PsycInfo, and Web of Science. In addition, the reference lists of papers were scanned for relevant papers. There were no limits on the year of publication. The search terms included light variables (light* or illuminance* or lighting* or light exposure* or luminosity* or ambient light* task light* or artificial light* or light therapy*) and wellbeing variables (well-being* or wellbeing* or well being* or quality of life* or mental health* or happiness* or life satisfaction* or mental well-being* or mental wellbeing* or mental well being* or positive affect). The literature review was conducted according to the Preferred Reporting Items for Meta-analysis checklist (Page et al., 2021).
Second Search (March 2022)
After consultation with the co-authors about the papers found in the initial search, we found that some papers that we thought should be in the selection were missing. Therefore, it was decided to do another round of searching. To do this, the papers retrieved with the terms from the first search were scanned for the wellbeing questionnaires that were used in those studies. Subsequently, a second search was performed where the wellbeing terms were replaced with concrete names of the wellbeing questionnaires (e.g. PANAS). The questionnaire terms in the second search included PANAS*, sf-36*, wemwbs*, who wb5*, quality of life enjoyment and satisfaction questionnaire*, psychological well-being*, quality of life*, happiness*, basler well-being questionnaire*, ghq12*, life satisfaction*, oxford happiness questionnaire*, faqt-g*. The light variables were kept the same and the second search was performed in the same databases as the first search.
Inclusion and Exclusion Criteria
Research studies were included if (1) they studied the association between light and wellbeing, (2) they studied adults (≥ 18 yr), (3) the paper was written in English, (4) the full text was available. Reviews and book chapters were excluded.
Selection of Studies
First Search
The first searched returned 13.286 peer reviewed studies. All duplicates were removed, and the abstracts were screened for the study criteria, resulting in 1336 potentially relevant papers. After reading the full text of the papers the main reasons for exclusion were because wellbeing was not one of the measures, papers were reviews or book chapters, or the full text was not available in English. In the end, 54 papers from the first search were included in the systematic review (see Fig. 1 for PRISMA Flow Diagram).
Fig. 1.
PRISMA 2020 flow diagram of the included studies
Second Search
The second search yielded 11.281 peer reviewed studies. Duplicates were removed (also compared to the first search) and the remaining 7.300 abstracts were screened for the study criteria. This resulted in 351 potentially relevant papers. After reading the full text of the papers, the main reasons for exclusion were because wellbeing was not one of the measures or the papers were reviews. In the end 20 papers from the second search wereuded in the systematic review, for a total of 74 papers from the two searches. The complete selection process for both the first and second search can be found in Fig. 1.
Data Extraction
The following characteristics were extracted from the studies: author names, title, year of publication, sample country, sample size (% females), age (mean and standard deviation), type of study, RCT/Quasi-RCT, setting, time of year, light color, light intensity, melanopic lux, and wellbeing measure (Supplementary Materials I).
Risk of Bias Assessment
The Cochrane Collaboration’s “ROBINS-I” (Sterne et al., 2016) and “RoB 2” (Sterne et al., 2019) tools were used to evaluate the methodological quality of the studies in the meta-analysis (non-randomized and randomized studies, respectively). The ROBINS-I tool contains information covering seven domains: (1) confounding, (2) selection of participants, (3) classification of interventions, (4) deviations from intended interventions, (5) missing data, 6) measurement of outcomes, (7) selection of the reported results. The RoB 2 tool contains information covering five domains: (1) randomization process, (2) deviations from intended interventions, (3) missing outcome data, (4) measurement of the outcome, (5) selective outcome reporting. If studies were found to have a high risk of bias, then a separate meta-analysis would be run omitting the high-risk studies.
Meta-Analysis
Data Preparation
After extracting the data from the selected studies, we evaluated whether we had a substantial number of intervention studies. If this was the case, we would include these studies in a meta-analysis using the metafor package in R (Viechtbauer, 2010). The meta-analysis was based on the effect sizes (Cohen’s d) reported by the individual studies. If this effect size was not reported, the effect size was calculated based on the other reported data in the study. For studies with a between-subjects design, it required the sample size and p-value for the group difference to compute the effect size and the sample variance, calculated using the escalc function in metafor. For studies with a within-subjects design, this required the sample size, group means, standard deviations, and correlation coefficients. If the correlation coefficient was not reported, we estimated it ourselves using the formula in the Supplementary Materials II (Sect. 1.1). The authors of the study were contacted if any of the other required statistics were not reported.
Random Effects Model
From the metafor package, we used the Random Effects Model with Restricted Maximum-Likelihood (REML) as the estimator for the variance of the distribution of true effect sizes (τ2). This model provides us with a pooled effects size, as well as a measure of the heterogeneity between the studies: the extent to which the effect sizes vary (I2, Higgins & Thompson, 2002). The I2 values are interpreted as low (25%), moderate (50%), or high (75%).
Publication Bias
Based on the assumption that studies with bigger effect sizes are more likely to be published than studies with small effect sizes (Rothstein et al., 2005) we performed a publication bias assessment through a contour-enhanced funnel plot. The funnel plot allowed us to inspect the distribution of the effect sizes by displaying each individual effect size in a figure with the effect sizes on the horizontal axis and study precision, represented by standard error on the vertical axis. Publication bias would be shown by the funnel plot displaying an asymmetrical distribution. To formally test whether there was an asymmetrical distribution of effect sizes, we conducted Egger’s test for funnel plot asymmetry (Egger et al., 1997). Another method for detecting publication bias is by studying the distribution of reported p-values (Masicampo & Lalande, 2012). In null hypothesis significance testing, p-values are judged relative to the threshold for significance (often p = 0.05). Given that there is a strong focus on publishing significant findings, it is possible that this threshold biases the p-values that are reported in the literature. To see if this was the case, we plotted the histogram of p-values. If the exact p-value was reported in the study, this was directly plotted in the histogram. If the exact p-value was not provided, but an estimate was given, we included the estimate -0.005 (e.g. reported p-value in the paper = < 0.02, included in the histogram = 0.015). Studies that reported neither were not included in the plot. If the histogram showed an unusual number of p-values just below 0.05, this could be a sign of publication bias.
Analysis for Heterogeneity
In order to assess possible causes for study heterogeneity we conducted two additional analyses. First, the leave-one-out method was applied to calculate different influence diagnostics. For this analysis, the meta-results are recalculated with each time leaving one study out, allowing us to estimate which study affects the meta-analysis most (Viechtbauer & Cheung, 2010). Second, Graphic Display of Heterogeneity plots (GOSH, Olkin et al., 2012) were generated to identify patterns of heterogeneity. Here, instead of recalculating results with the leave-one-out method, the results are recalculated for every possible study combination (2 k−1). This is done by three different algorithms: k-means (Hartigan & Wong, 1979), DBSCAN (Schubert et al., 2017), and the Gaussian mixture model (Fraley & Raftery, 2002). If the GOSH plot shows several different clusters this indicates that there are subsets of studies that differ substantially in their effect sizes. If the GOSH plot shows a symmetric distribution, this indicates that the effect sizes are homogeneous. If these analyses would highlight a study as a major contributor to the heterogeneity, we would inspect this paper for a reason why it would be an outlier. Then we would perform a sensitivity analysis by rerunning the meta-analysis while omitting this paper.
Exploratory Analyses
With the study effect sizes calculated for the meta-analysis we ran exploratory analyses to identify patterns in the data. To this end, we first looked at the mean effect size reported for each wellbeing measure. Next, we plotted the effect size against (1) the melanopic lux in the intervention conditions, (2) the difference (delta) between melanopic lux in the intervention condition versus the control condition, (3) the sample size, and (4) the number of study days. Next, we examined the difference in effect size between studies that reported their sample to be healthy versus studies that reported their sample to have a mental or physical disease.
Results
Samples and Study Designs
The characteristics of the included studies are presented in Supplementary Materials I (Study characteristics I & II). Of the 63 studies that reported the sample sex, 70% reported a predominantly female sample (> 50%). The total of the 74 study samples was 217.340. Seventy-five percent of the studies had a sample size of n < 100. The included papers were all published between 1986 and 2022, with 59% of the papers published since 2015 (Fig. 2). The sample countries are graphically represented in Fig. 3A with a list of the sample countries of the 74 studies shown in percentages in the Supplementary Materials II (Table ST1). The top 3 represented sample countries were the United States of America (16%), China (10%), and the Netherlands (10%). We divided the papers by age group (some had different age groups in their sample, in which case we used the youngest age group) and this showed that most papers included participants in the age groups 20–30 or 40–50 (Fig. 3B). Of the 74 included studies, 47 studies were intervention studies and 27 studies were observational studies. Of the 47 intervention studies, 31 were categorized as randomized controlled trials (RCT’s) and 16 as quasi-RCT’s.
Fig. 2.
Number of included papers published per year
Fig. 3.
A World map of the sample countries of the included papers. B Distribution of the age ranges of the samples of the included papers
Timing and Setting
Most, but not all, studies reported the season in which the study was conducted and the setting of the study. Of those studies that reported this information, half of the studies were conducted during winter (Fig. 4A). Most studies were based on light exposure at home (29.0%) or at a laboratory (19.0%, Fig. 4B).
Fig. 4.
A Time of year during which the studies were conducted. B Setting of the included studies
Melanopic Lux
To quantify the biological effects of the light interventions, we reported the melanopic lux (Supplementary Materials I: study characteristics II). To this end we used the International Standard CIE S 026/E: 2018 toolbox (Schlangen., 2018) to convert the lux reported in the paper to melanopic lux. This international CIE standard is a system for metrology for optical radiation for intrinsically photosensitive retinal ganglion cells (ipRGC)-influenced responses to light. The ipRGCs in the eye are photoreceptors that play an important role in the non-visual effects of light. As one of its many functions, the CIE system allows us to have a standardized measure of the extent to which light stimulates each of the five photoreceptor classes, e.g. melanopsin.
Wellbeing Measures
Figure 5 shows the different wellbeing scales used in the included studies. Most of the studies used either the SF-36 (28.0%) or the PANAS (24.0%). A full list of wellbeing measures and their corresponding references can be found in Table ST2 (Supplementary Materials II).
Fig. 5.
Frequency of use of the various wellbeing scales in the included papers
Risk of Bias
The data preparation showed that 30 studies met the criteria to be included in the meta-analysis: 15 non-randomized and 15 randomized studies. These studies underwent the risk of bias assessment, of which two completed assessments can be found in Supplementary Materials III and IIII. Of the 15 non-randomized studies, 12 were assigned the status of having a serious risk of bias and 4 were assigned the status of having a moderate risk of bias. Of the 15 randomized studies, 4 were assigned the status of having a high risk of bias and 11 were assigned the status of having a moderate risk of bias. The most common sources of bias were confounding, measurement of the outcome, and selective outcome reporting (Supplementary Materials II, Tables ST3 and ST4). Section 6.4 describes the random effects model where the high-risk studies were omitted from the analysis.
Meta-Analysis
Random Effects Model
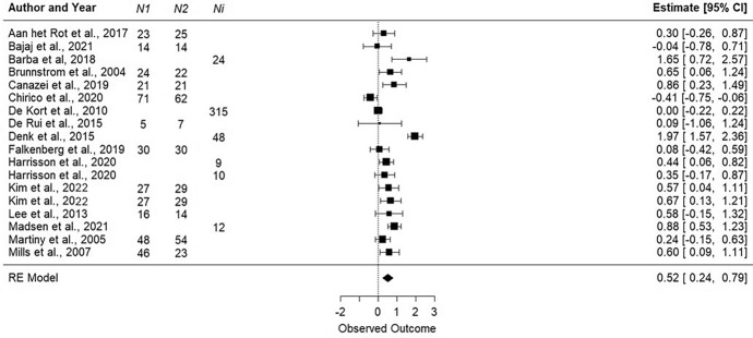
After the data preparation, 30 studies were eligible for the meta-analysis (19 between-person designs, 11 within-person designs, see study details in Supplementary Materials I: Meta-analyzed studies). The meta-analysis estimated a pooled effect size of light on wellbeing of 0.46 (SE = 0.09, 95% CI = 0.29, 0.62, p = < 0.0001 (Figs. 6, 7). This indicates a small-to-moderate positive effect of light on wellbeing. The heterogeneity between the studies was high (I2 = 96.48%).
Fig. 6.
Forest plot meta-analysis of the effect of light on wellbeing—Part I. Note. N1, N2 = sample sizes in a between-group comparison study. Ni = sample size in a within-group comparison study. Harrisson et al., (2020), Kim et al., (2022), Rastad et al., (2011), and Turco et al., (2018) either tested multiple subsamples, or tested the effect of light on multiple outcome measures of wellbeing
Fig. 7.
Forest plot meta-analysis of the effect of light on wellbeing—Part II. N1, N2 = sample sizes in a between-group comparison study. Ni = sample size in a within-group comparison study. Harrisson et al., (2020), Kim et al., (2022), Rastad et al., (2011), and Turco et al., (2018) either tested multiple subsamples, or tested the effect of light on multiple outcome measures of wellbeing.
Publication Bias
Figure 8 shows a contour-enhanced funnel plot with colored contours of significance. Visual inspection of the funnel plot suggests plot asymmetry. This is confirmed by Egger’s test: t = 4.290, p = < 0.0001. The histogram of p-values does not show an unusually large number of studies that fall just below 0.05, so publication bias seems unlikely based on this criterion (Fig. 9).
Fig. 8.
Contour-enhanced funnel plot. The black dots represent each individual study. The shaded regions represent various levels of statistical significance
Fig. 9.
Histogram of the distribution of p-values split by study type (combined (k = 68), interventional studies (k = 44), and observational studies (k = 24)). The red dotted-line indicates a p-value of 0.05. In this figure, only the p-values up to 0.2 are shown, in order to get a good view of the area around p = 0.05. A figure including all the p-values in included in the Supplementary Materials II (Figure SF1)
Analysis for Heterogeneity
The heterogeneity in the meta-analyses was high (I2 = 96.48%). The leave-one-out method demonstrated that Denk et al., (2015) displays extreme values when it comes to the influence diagnostics (e.g. DFFITS, Cook’s D), and may therefore negatively affect the robustness of the pooled effect size (Fig. 10).
Fig. 10.
Overview of several influence diagnostics after applying the leave-one-out method. The red dot marks a study that is determined to be influential
The GOSH plot was skewed and showed multimodality (Fig. 11A), suggesting the presence of heterogeneity. All three algorithms detected Denk et al., (2015) and Turco et al., (2018) as the two main contributors to the heterogeneity. Figure 11 B, C show similar GOSH plots but these plots each highlight one study, and the blue dots show in which clusters this study was present (e.g. in clusters with high or low heterogeneity). Denk et al., (2015) is only present in clusters with high heterogeneity (Fig. 11B). Turco et al., (2018) is slightly more dispersed over the plot, but it is most densely present in the highly heterogeneous clusters (Fig. 11C). Figure 11D shows the clusters detected by the Gaussian Mixed Model. Eight clusters were detected, which again indicated high heterogeneity between the studies. Figure 11 D, E show for each individual study to what extent it might have a large impact on those clusters. Denk et al., (2015) and Turco et al., (2018) showed the most cluster imbalance (Fig. 11E) and are therefore the biggest contributors to the overall heterogeneity.
Fig. 11.
GOSH plot results to detect sources of between-study heterogeneity. The plot of the overall heterogeneity was skewed (A). Denk et al., (2015) and Turco et al., (2018) were mostly present in clusters with high heterogeneity (B & C), and both contributed the most to cluster imbalance within the 8 clusters (D & E)
Sensitivity Analysis
Based on the risk of bias assessment and heterogeneity analysis, we performed a sensitivity analysis in which 15 studies were omitted from the meta-analysis. Denk et al., (2015) and Turco et al., (2018) were omitted due to their contribution to the heterogeneity, while the other 13 studies were omitted because they had a high risk of bias. Fourteen studies were left for the sensitivity analysis with an aggregate sample size of N = 864. The forest plot and funnel plot for the adapted random effects model can be found in the Supplementary Materials II (Figures SF2 and SF3). The new meta-analysis estimated a pooled effect size of light on wellbeing of 0.53 (SE = 0.09, 95% CI = 0.35, 0.72, p = < 0.0001. This indicates a moderate positive effect of light on wellbeing. The heterogeneity between the studies was moderate-to-high (I2 = 66.73%). Egger’s test did not confirm plot asymmetry: t = -1.69, p = 0.115.
Exploratory Analyses
Exploratory analyses were conducted with the aim of identifying patterns in the data. We first looked at the mean effect size reported for each wellbeing measure (Fig. 12). This figure should be interpreted with great care, because the number of papers using certain measures is very unequal, ranging from N = 1 to N = 12, making the effect sizes hard to compare. However, one could carefully say that measures with the same N are more eligible to be compared. In that case, the data suggests that the light interventions have a stronger effect on positive affect (PANAS, N = 6), than on Quality of Life (WHO-Qol, N = 6). While saying this, one should be aware of the fact that the light interventions used in these papers were very heterogeneous in their designs.
Fig. 12.
Overview of the wellbeing measures used in the meta-analyzed studies, how many papers used them as the outcome measure (N), and the mean effect size reported for this measure
Next, we plotted the effect size against four different variables: melanopix lux, delta-melanopic lux, sample size, and study days (Supplementary Materials II, Figure SF4). Unfortunately, not every study reported data on all these variables, so the number of studies (k) is different for each analysis. None of the four plots showed a particularly clear trend. Contrary to our expectations, Figure SF4B did not show a positive dose–response curve, where a larger delta was expected to be associated with a larger effect size. There was also no relationship shown between effect size and the other three variables melanopic lux (SF4A), sample size (SF4C), and study days (SF4D). Figure SF5 (Supplementary Materials II) did not show a visual difference in effect size in health samples compared to diseased samples.
Discussion
After an extensive literature search and screening 20.367 studies on title and abstract, 74 studies were found to be eligible for our systematic review on light and wellbeing. Of these 74 studies, 30 studies met the criteria to be included in the meta-analysis, which showed a positive effect of light on wellbeing with a small-to-moderate effect size. While the meta-analysis suggested a positive effect of light on wellbeing, we also found that the heterogeneity between the study effect sizes was extremely high (I2 = 96.48%). As explained by Van Maanen et al., (2016), one of the reasons for this could be related to differences in the light designs e.g. differences in light intensity or exposure duration. Although we did not include these aspects as moderators in the random effects model, we did look at possible associations between these aspects and the effect sizes in the studies. Unfortunately, not all studies could be included here because of unreported study parameters, but for the studies that were included we did not find any associations. Another reason for the high heterogeneity might be the diversity in instruments used to assess wellbeing. In contrast to our study, the systematic review by Pjrek et al., (2019) only included studies with participants that were clinically diagnosed with seasonal affective disorder. They reported a moderate degree of heterogeneity between the studies: I2 = 44,3%, compared to I2 = 96.48% in the present study. The wide range of wellbeing instruments used in our included studies might account for part of the heterogeneity.
In one aspect, the meta-analyzed studies were very homogenous. Except for one paper (Chirico et al., 2020, removed after the Risk of Bias check), all interventions were organized indoors, comparing effects of artificial lighting settings. Therefore, the effect size generated from this meta-analysis informs us about the effect of artificial lighting on wellbeing, disregarding the effect of natural lighting. There are papers on natural light and wellbeing, but so far, these are observational studies. For example, Korman et al. (2021) found a positive association between a decrease in outdoor light exposure and quality of life (Spearman’s p = 0.21). A large study (N = 502,000) in the UK found that every additional hour spent outdoors during the day was associated with greater happiness (OR: 1.41–1.48, Burns et al., 2021). The interpretation of these associations would be ‘weak’ or ‘small’ (Akoglu, 2018; Tenny & Hoffman, 2024) and therefore not too different from the meta-effect size estimated in this paper. However, we recommend that more studies should be performed on the effect of natural lighting before we can draw any conclusions from them.
After the Risk of Bias assessment and the analysis for heterogeneity, we ran a sensitivity analysis with the remaining 15 studies. The overall effect increased slightly, suggesting that the overall effect size was robust and that the low-quality studies did not account for the highest effect sizes. The fact that relatively many studies were of low quality was no surprise. This has also been observed in other review papers on the effect of light. Veleva et al., (2018) and Pjrek et al., (2019) both found the majority of their included papers to be either at high or moderate risk of bias. Similar to their reported sources of bias, our ROB assessment also pointed out the reporting of the outcomes as a main source. In this case, this often had to do with the fact that the p-values were not corrected for multiple testing. Unique to the other two papers, our assessment also highlighted confounders (e.g. the use of a credible placebo, drug treatment) as one of the main sources of bias in the non-randomized controlled trials.
This paper used three methods to thoroughly assess publication bias: funnel plots, Egger’s test (Egger et al., 1997), and a distribution of p-values. In the meta-analysis, the funnel plot and Egger’s test both showed publication bias, suggesting that studies with significant results get published more often compared to studies with non-significant results. In the sensitivity analysis, the funnel plot was asymmetrical again, but Egger’s test concluded that there was no publication bias. The observed absence of publication bias in the meta-analyses with fewer studies (and the lowest quality studies removed) could reflect a real reduction in publication bias. However, in the sensitivity analyses, the number of studies was reduced by half and Egger’s test is known to have very low power to detect bias in a small number of studies (Egger et al., 1997).
Regarding the aspect of publishing significant results, it should be noted that a number of studies in this review fail to correct for multiple testing. The majority of the studies look at the effect of light on multiple outcome measures (e.g. cognitive performance, sleep, and wellbeing). Simultaneously conducting multiple statistical tests increases the probability of finding a significant result purely by chance. There are multiple ways to correct for this and one common method is by applying the Bonferonni correction, where one divides the alpha by the number of tests that is conducted (Napierala., 2012). While this is a conservative method, is does reduce the probability of making a Type 1 error. The study by Najjar et al., (2014) is a good example of this. They found a positive effect of blue-enriched white light on subjective wellbeing, and reported this effect to be significant because the p-value was smaller than 0.05 (p = 0.47). However, since they also tested the effect of blue-enriched white light on motivation and alertness at the same time, they should have compared their exact p-values to the alpha of 0.05/3 = 0.017, changing the same result from being significant into being nonsignificant.
Despite the uncertainty around the true effect size and questionable quality of the studies, the aggregated effect size does encourage us to think about the possible mechanisms through which light might have an effect on wellbeing. In theory, light can have both a direct and indirect effect on wellbeing (LeGates et al., 2014). In the direct pathway, light hits the ipRGCs in the eye that project to brain regions that, among other things, regulate mood (Allada Ravi & Joseph, 2021). In the indirect pathway, light hits the ipRGCs, which causes a change in sleep and circadian phase, resulting in a change in mood. However, this theory is based on studies in rodents (Ashkenazy-Frolinger et al., 2010; T. LeGates et al., 2012) and has not been validated in humans. In addition to this, studies in rodents only allow to study the effects on mood, and not on wellbeing or quality of life like wze measure it in human participants. However, all these models assume the direction of effect to go from light exposure to wellbeing. For the observational studies, it could also be the case that this direction is reversed. For instance, people who experience low wellbeing prefer to stay indoors and are therefore exposed to less light. Future studies should invest in studying the direction of causality between light and wellbeing.
Limitations
It is important to recognize several limitations in this systematic review. First, in the process of preparing the meta-analysis, every study was checked on having enough statistics reported to be included (means, effect sizes, p-values, etc.). Of the 47 intervention studies, only 30 met these criteria, even after contacting the authors for more information. This was unfortunate because this prevented a third of these studies from being included in our meta-analysis and might therefore have affected the overall outcome. Second, most of the studies included reported on the short-term effect of light on wellbeing, not on the long-term effects. Therefore, the results cannot be used to derive any conclusions on the long-term effects of light on wellbeing. Third, this review only includes published studies, and not non-published studies such as papers posted on preprint servers. Van Maanen et al., (2016) did try to include non-published studies as well by checking conference proceedings, thesis databases, and contacting authors about non-published work. Including non-published work as well as published work can help reduce the publication bias, but lacks the peer-review correction process. Fourth, our meta-analysis was limited to studies that reported on the effect in adults, neglecting studies in children and adolescents. Hence our results cannot be generalized to other age groups.
Conclusions and Recommendations for Future Studies
This systematic review is the first comprehensive evaluation of the effect of light on wellbeing. The meta-analysis and sensitivity analysis both showed a small-to-moderate positive effect of light on wellbeing. However, the overall effect might be biased due to small samples, publication bias, or the inability to incorporate all studies due to inadequate reporting. To further the field, we have the following recommendations. First, studies on the effect of light should include complete details on the lighting design (incl. light intensity, melanopic lux, color temperature, light system), and light exposure (duration, season, time of day). Second, studies should report baseline light levels. Third, in a non-randomized trial, studies should to try to control for important confounders such as the use of medication and vision impairments. Fourth, when the analyses include multiple statistical tests, a method to correct for multiple testing should be applied. Fifth, to support replication, statistical results should be reported in a complete and comprehensive manner. Sixth, authors and journals should be more inclined to publish non-significant results, in order to give the audience a more complete perspective on the matter. Many of these issues could be solved by implementing the standard of uploading a preregistration (including a thorough light protocol) to one of the pre-registrations servers.
Supplementary Information
Below is the link to the electronic supplementary material.
Acknowledgements
We would like to thank the following people for their assistance in the production of this study. Dr. Daan van der Veen, University of Surrey, and dr. Marijke Gordijn, Chrono@Work and Groningen Institute for Evolutionary Life Sciences, University of Groningen, The Netherlands for their advice on the relevant analyses. All the authors who were so kind to send us extra details on their statistical output
Author contributors
A.L, M.B, and M.N designed the study. A.L performed the literature search and the analyses. A.L. drafted the manuscript with support from M.B. and M.N. M.B and M.N. supervised the study.
Funding
This study was funded by the European Union's Horizon 2020 research and innovation programme under grant agreement no. 945238, and by an European Research Council (ERC) consolidator grant (WELL-BEING 771057 PI Bartels).
Declarations
Conflict of interest
The authors have no relevant financial or non-financial interests to disclose.
Footnotes
Publisher's Note
Springer Nature remains neutral with regard to jurisdictional claims in published maps and institutional affiliations.
References
- Akoglu, H. (2018). User’s guide to correlation coefficients. Turkish Journal of Emergency Medicine,18(3), 91–93. 10.1016/j.tjem.2018.08.001 [DOI] [PMC free article] [PubMed] [Google Scholar]
- Allada, R., & Bass, J. (2021). Circadian mechanisms in medicine. New England Journal of Medicine,384(6), 550–561. 10.1056/NEJMra1802337 [DOI] [PMC free article] [PubMed] [Google Scholar]
- Aries, M. B. C., Beute, F., & Fischl, G. (2020). Assessment protocol and effects of two dynamic light patterns on human well-being and performance in a simulated and operational office environment. Journal of Environmental Psychology,69, 101409. 10.1016/j.jenvp.2020.101409 [Google Scholar]
- Ashkenazy-Frolinger, T., Kronfeld-Schor, N., Juetten, J., & Einat, H. (2010). It is darkness and not light: depression-like behaviors of diurnal unstriped nile grass rats maintained under a short photoperiod schedule. Journal of Neuroscience Methods,186(2), 165–170. 10.1016/j.jneumeth.2009.11.013 [DOI] [PubMed] [Google Scholar]
- Baumgartner, A., Dietzel, M., Saletu, B., Wolf, R., Campos-Barros, A., Gräf, K. J., Kürten, I., & Mannsmann, U. (1993). Influence of partial sleep deprivation on the secretion of thyrotropin, thyroid hormones, growth hormone, prolactin, luteinizing hormone, follicle stimulating hormone, and estradiol in healthy young women. Psychiatry Research,48(2), 153–178. 10.1016/0165-1781(93)90039-j [DOI] [PubMed] [Google Scholar]
- Blume, C., Garbazza, C., & Spitschan, M. (2019). Effects of light on human circadian rhythms, sleep and mood. Somnologie. 10.1007/s11818-019-00215-x [DOI] [PMC free article] [PubMed] [Google Scholar]
- Burns, A. C., Saxena, R., Vetter, C., Phillips, A. J. K., Lane, J. M., & Cain, S. W. (2021). Time spent in outdoor light is associated with mood, sleep, and circadian rhythm-related outcomes: a cross-sectional and longitudinal study in over 400,000 UK Biobank Participants. Journal of Affective Disorders,295, 347–352. 10.1016/j.jad.2021.08.056 [DOI] [PMC free article] [PubMed] [Google Scholar]
- Burns, A. C., Windred, D. P., Rutter, M. K., Olivier, P., Vetter, C., Saxena, R., Lane, J. M., Phillips, A. J. K., & Cain, S. W. (2022). Low daytime light and bright night-time light are associated with psychiatric disorders: An objective light study in >85,000 UK Biobank participants (p. 2022.10.16.22280934). medRxiv. 10.1101/2022.10.16.22280934
- Cantril, H. (1966). The pattern of human concerns. Rutgers University Press. [Google Scholar]
- Chirico, A., Carrara, S., Bastoni, S., Gianotti, E., & Gaggioli, A. (2020). The effects of an ecological diversifying experience on creativity: An experimental Study. Frontiers in Psychology. 10.3389/fpsyg.2020.01396 [DOI] [PMC free article] [PubMed] [Google Scholar]
- Christensen, M. A., Bettencourt, L., Kaye, L., Moturu, S. T., Nguyen, K. T., Olgin, J. E., Pletcher, M. J., & Marcus, G. M. (2016). Direct measurements of smartphone screen-time: Relationships with demographics and sleep. PLoS ONE,11(11), e0165331. 10.1371/journal.pone.0165331 [DOI] [PMC free article] [PubMed] [Google Scholar]
- Cinzano, P., Falchi, F., & Elvidge, C. D. (2001). The first world Atlas of the artificial night sky brightness. Monthly Notices of the Royal Astronomical Society,328(3), 689–707. 10.1046/j.1365-8711.2001.04882.x [Google Scholar]
- Denk, E., Jimenez, P., & Schulz, B. (2015). The impact of light source technology and colour temperature on the well-being, mental state and concentration of shop assistants. Lighting Research & Technology,47(4), 419–433. 10.1177/1477153514532280 [Google Scholar]
- Diener, E., Emmons, R. A., Larsem, R. J., & Griffin, S. (1985). The satisfaction with life scale. Journal of Personality Assessment. 10.1207/s15327752jpa4901_13 [DOI] [PubMed] [Google Scholar]
- Ebesutani, C., Regan, J., Smith, A., Reise, S., Higa-McMillan, C., & Chorpita, B. F. (2012). The 10-Item positive and negative affect schedule for children, child and parent shortened versions: Application of item response theory for more efficient assessment. Journal of Psychopathology and Behavioral Assessment,34(2), 191–203. 10.1007/s10862-011-9273-2 [Google Scholar]
- Egger, M., Smith, G. D., Schneider, M., & Minder, C. (1997). Bias in meta-analysis detected by a simple, graphical test. BMJ,315(7109), 629–634. 10.1136/bmj.315.7109.629 [DOI] [PMC free article] [PubMed] [Google Scholar]
- Fraley, C., & Raftery, A. E. (2002). Model-based clustering, discriminant analysis, and density estimation. Journal of the American Statistical Association,97(458), 611–631. 10.1198/016214502760047131 [Google Scholar]
- Hargadon, A. B., & Douglas, Y. (2001). When innovations meet institutions: Edison and the design of the electric light. Administrative Science Quarterly,46(3), 476–501. 10.2307/3094872 [Google Scholar]
- Harrison, E. M., Schmied, E. A., Easterling, A. P., Yablonsky, A. M., & Glickman, G. L. (2020). A hybrid effectiveness-implementation study of a multi-component lighting intervention for hospital shift workers. International Journal of Environmental Research and Public Health. 10.3390/ijerph17239141 [DOI] [PMC free article] [PubMed] [Google Scholar]
- Hartigan, J. A., & Wong, M. A. (1979). A K-means clustering algorithm. Journal of the Royal Statistical Society: Series C (Applied Statistics),28(1), 100–108. 10.2307/2346830 [Google Scholar]
- Higgins, J. P. T., & Thompson, S. G. (2002). Quantifying heterogeneity in a meta-analysis. Statistics in Medicine,21(11), 1539–1558. 10.1002/sim.1186 [DOI] [PubMed] [Google Scholar]
- Hu, K., Van Someren, E. J. W., Shea, S. A., & Scheer, F. A. J. L. (2009). Reduction of scale invariance of activity fluctuations with aging and Alzheimer’s disease: Involvement of the circadian pacemaker. Proceedings of the National Academy of Sciences,106(8), 2490–2494. 10.1073/pnas.0806087106 [DOI] [PMC free article] [PubMed] [Google Scholar]
- Juda, M., Liu-Ambrose, T., Feldman, F., Suvagau, C., & Mistlberger, R. E. (2020). Light in the senior home: Effects of dynamic and individual light exposure on sleep, cognition, and well-being. Clocks & Sleep. 10.3390/clockssleep2040040 [DOI] [PMC free article] [PubMed] [Google Scholar]
- Kim, W. H., Joa, K. L., Kim, C. B., Lee, H. S., Kang, S. G., Jung, H. Y., & Bae, J. N. (2022). The Effect of Bright Light Therapy on Sleep and Quality of Life in Patients With Poststroke Insomnia. Psychosomatic Medicine,84(1), 123–30. 10.1097/PSY.0000000000001014. [DOI] [PubMed]
- Kim, M., Thanh-Huyen, V., Maas, M. B., Braun, R. I., Wolf, M. S., Roenneberg, T., Daviglus, M. L., Reid, K. J., & Zee, P. C. (2023). Light at night in older age is associated with obesity, diabetes, and hypertension. Sleep. 10.1093/sleep/zsac130 [DOI] [PMC free article] [PubMed] [Google Scholar]
- Koopman, A. D. M., Rauh, S. P., van’t Riet, E., Groeneveld, L., van der Heijden, A. A., Elders, P. J., Dekker, J. M., Nijpels, G., Beulens, J. W., & Rutters, F. (2017). The association between social jetlag, the metabolic syndrome, and Type 2 diabetes mellitus in the general population: The new hoorn study. Journal of Biological Rhythms,32(4), 359–368. 10.1177/0748730417713572 [DOI] [PMC free article] [PubMed] [Google Scholar]
- Korman, M., Tkachev, V., Reis, C., Komada, Y., Kitamura, S., Gubin, D., Kumar, V., & Roenneberg, T. (2021). Outdoor daylight exposure and longer sleep promote wellbeing under COVID‐19 mandated restrictions. Journal of Sleep Research. 10.1111/jsr.13471 [DOI] [PMC free article] [PubMed] [Google Scholar]
- LeGates, T. A., Altimus, C. M., Wang, H., Lee, H. K., Yang, S., Zhao, H., Alfredo Kirkwood, E., Weber, T., & Hattar, S. (2012). Aberrant light directly impairs mood and learning through melanopsin-expressing neurons. Nature,491(7425), 594–598. 10.1038/nature11673 [DOI] [PMC free article] [PubMed] [Google Scholar]
- LeGates, T. A., Fernandez, D. C., & Hattar, S. (2014). Light as a central modulator of circadian rhythms, sleep and affect. Nature Reviews Neuroscience,15(7), 443–454. 10.1038/nrn3743 [DOI] [PMC free article] [PubMed] [Google Scholar]
- Leng, Y., Blackwell, T., Cawthon, P. M., Ancoli-Israel, S., Stone, K. L., & Yaffe, K. (2020). Association of circadian abnormalities in older adults with an increased risk of developing Parkinson disease. JAMA Neurology,77(10), 1270–1278. 10.1001/jamaneurol.2020.1623 [DOI] [PMC free article] [PubMed] [Google Scholar]
- Leproult, R., Holmbäck, U., & Van Cauter, E. (2014). Circadian misalignment augments markers of insulin resistance and inflammation, independently of sleep loss. Diabetes,63(6), 1860–1869. 10.2337/db13-1546 [DOI] [PMC free article] [PubMed] [Google Scholar]
- Lyubomirsky, S., & Lepper, H. S. (1999). A measure of subjective happiness: Preliminary reliability and construct validation. Social Indicators Research,46(2), 137–155. 10.1023/A:1006824100041 [Google Scholar]
- Masicampo, E. J., & Lalande, D. R. (2012). A peculiar prevalence of p values just below .05. The Quarterly Journal of Experimental Psychology,65(11), 2271–2279. 10.1080/17470218.2012.711335 [DOI] [PubMed] [Google Scholar]
- McHill, A. W., Melanson, E. L., Higgins, J., Connick, E., Moehlman, T. M., Stothard, E. R., & Wright, K. P. (2014). Impact of circadian misalignment on energy metabolism during simulated nightshift work. Proceedings of the National Academy of Sciences,111(48), 17302–17307. 10.1073/pnas.1412021111 [DOI] [PMC free article] [PubMed] [Google Scholar]
- Mitolo, M., Tonon, C., La Morgia, C., Testa, C., Carelli, V., & Lodi, R. (2018). Effects of light treatment on sleep, cognition, mood, and behavior in Alzheimer’s disease: A systematic review. Dementia and Geriatric Cognitive Disorders. 10.1159/000494921 [DOI] [PubMed] [Google Scholar]
- Morris, C. J., Purvis, T. E., Hu, K., & Scheer, F. A. J. L. (2016). Circadian misalignment increases cardiovascular disease risk factors in humans. Proceedings of the National Academy of Sciences of the United States of America,113(10), E1402-1411. 10.1073/pnas.1516953113 [DOI] [PMC free article] [PubMed] [Google Scholar]
- Najjar, R. P., Wolf, L., Taillard, J., Schlangen, L. J. M., Salam, A., Cajochen, C., & Gronfier, C. (2014). Chronic artificial blue-enriched white light is an effective countermeasure to delayed circadian phase and neurobehavioral decrements. PLoS ONE,9(7), e102827. 10.1371/journal.pone.0102827 [DOI] [PMC free article] [PubMed] [Google Scholar]
- Napierala, Matthew A. ‘What Is the Bonferroni Correction?’ AAOS Now, 1 April 2012, 40–41.
- Obayashi, K., Saeki, K., & Kurumatani, N. (2014). Association between light exposure at night and insomnia in the general elderly population: The HEIJO-KYO cohort. Chronobiology International,31(9), 976–982. 10.3109/07420528.2014.937491 [DOI] [PubMed] [Google Scholar]
- Olkin, I., Dahabreh, I. J., & Trikalinos, T. A. (2012). GOSH—a graphical display of study heterogeneity. Research Synthesis Methods,3(3), 214–223. 10.1002/jrsm.1053 [DOI] [PubMed] [Google Scholar]
- Page, M. J., McKenzie, J. E., Bossuyt, P. M., Boutron, I., Hoffmann, T. C., Mulrow, C. D., Shamseer, L., et al. (2021). The PRISMA 2020 statement: An updated guideline for reporting systematic reviews. BMJ. 10.1136/bmj.n71 [DOI] [PMC free article] [PubMed] [Google Scholar]
- Pan, A., Schernhammer, E. S., Sun, Q., & Hu, F. B. (2011). Rotating night shift work and risk of type 2 diabetes: Two prospective cohort studies in women. PLoS Medicine,8(12), e1001141. 10.1371/journal.pmed.1001141 [DOI] [PMC free article] [PubMed] [Google Scholar]
- Pjrek, E., Friedrich, M.-E., Cambioli, L., Dold, M., Jäger, F., Komorowski, A., Lanzenberger, R., Kasper, S., & Winkler, D. (2019). The efficacy of light therapy in the treatment of seasonal affective disorder: A meta-analysis of randomized controlled trials. Psychotherapy and Psychosomatics,89(1), 17–24. 10.1159/000502891 [DOI] [PubMed] [Google Scholar]
- Rastad, C., Ulfberg, J., & Lindberg, P. (2011). Improvement in fatigue, sleepiness, and health-related quality of life with bright light treatment in persons with seasonal affective disorder and subsyndromal SAD. Depression Research and Treatment,2011, 543906. 10.1155/2011/543906 [DOI] [PMC free article] [PubMed] [Google Scholar]
- Rothstein, H., Sutton, A., & Borenstein, M. (2005). Publication bias in meta-analysis: Prevention. Publication Bias in Meta-Analysis. Prevention, Assessment, and Adjustments. 10.1002/0470870168 [Google Scholar]
- Sander, B., Markvart, J., Kessel, L., Argyraki, A., & Johnsen, K. (2015). Can sleep quality and wellbeing be improved by changing the indoor lighting in the homes of healthy, elderly citizens? Chronobiology International,32(8), 1049–1060. 10.3109/07420528.2015.1056304 [DOI] [PMC free article] [PubMed] [Google Scholar]
- Schlangen, Luc. ‘CIE Draft International Standard (DIS 026/E:2018): CIE System for Metrology of Optical Radiation for IpRGC-Influenced Responses to Light’, 1 July 2018.
- Schubert, E., Sander, J., Ester, M., Kriegel, H. P., & Xu, X. (2017). DBSCAN revisited, revisited: Why and how you should (Still) use DBSCAN. ACM Transactions on Database Systems. 10.1145/3068335 [Google Scholar]
- Shimada, M., Seki, H., Samejima, M., Hayase, M., & Shirai, F. (2016). Salivary melatonin levels and sleep-wake rhythms in pregnant women with hypertensive and glucose metabolic disorders: A prospective analysis. BioScience Trends,10(1), 34–41. 10.5582/bst.2015.01123 [DOI] [PubMed] [Google Scholar]
- Sollars, P. J., & Pickard, G. E. (2015). THE neurobiology of circadian rhythms. The Psychiatric Clinics of North America,38(4), 645. 10.1016/J.PSC.2015.07.003 [DOI] [PMC free article] [PubMed] [Google Scholar]
- Sterne, J. A. C., Savović, J., Page, M. J., Elbers, R. G., Blencowe, N. S., Boutron, I., Cates, C. J., et al. (2019). RoB 2: A revised tool for assessing risk of bias in randomised trials. BMJ. 10.1136/bmj.l4898 [DOI] [PubMed] [Google Scholar]
- Sterne, J. A., Hernán, M. A., Reeves, B. C., Savović, J., Berkman, N. D., Viswanathan, M., Henry, D., Altman, D. G., Ansari, M. T., Boutron, I., Carpenter, J. R., Chan, A.-W., Churchill, R., Deeks, J. J., Hróbjartsson, A., Kirkham, J., Jüni, P., Loke, Y. K., Pigott, T. D., … Higgins, J. P. (2016). ROBINS-I: A tool for assessing risk of bias in non-randomised studies of interventions. BMJ (Clinical Research Ed.), 355, i4919. 10.1136/bmj.i4919 [DOI] [PMC free article] [PubMed]
- Takeshima, M., Utsumi, T., Aoki, Y., Wang, Z., Suzuki, M., Okajima, I., Watanabe, N., Watanabe, K., & Takaesu, Y. (2020). Efficacy and safety of bright light therapy for manic and depressive symptoms in patients with bipolar disorder: A systematic review and meta-analysis. Psychiatry and Clinical Neurosciences,74(4), 247–256. 10.1111/pcn.12976 [DOI] [PMC free article] [PubMed] [Google Scholar]
- Tenny, Steven, and Mary R. Hoffman. ‘Odds Ratio’. In StatPearls. Treasure Island (FL): StatPearls Publishing, 2024. http://www.ncbi.nlm.nih.gov/books/NBK431098/. [PubMed]
- Tholfsen, L. K., Larsen, J. P., Schulz, J., Tysnes, O.-B., & Gjerstad, M. D. (2015). Development of excessive daytime sleepiness in early Parkinson disease. Neurology,85(2), 162–168. 10.1212/WNL.0000000000001737 [DOI] [PubMed] [Google Scholar]
- Thorne, H. C., Jones, K. H., Peters, S. P., Archer, S. N., & Dijk, D.-J. (2009). Daily and seasonal variation in the spectral composition of light exposure in humans. Chronobiology International,26(5), 854–866. 10.1080/07420520903044315 [DOI] [PubMed] [Google Scholar]
- Tranah, G. J., Blackwell, T., Stone, K. L., Ancoli-Israel, S., Paudel, M. L., Ensrud, K. E., Cauley, J. A., Redline, S., Hillier, T. A., Cummings, S. R., Yaffe, K., SOF Research Group. (2011). Circadian activity rhythms and risk of incident dementia and mild cognitive impairment in older women. Annals of Neurology,70(5), 722–732. 10.1002/ana.22468 [DOI] [PMC free article] [PubMed] [Google Scholar]
- Turco, M., Cazzagon, N., Franceschet, I., Formentin, C., Frighetto, G., Giordani, F., Cellini, N., Mazzotta, G., Costa, R., Middleton, B., Skene, D. J., Floreani, A., & Montagnese, S. (2018). Morning bright light treatment for sleep-wake disturbances in primary biliary cholangitis: A pilot study. Frontiers in Physiology. 10.3389/fphys.2018.01530 [DOI] [PMC free article] [PubMed] [Google Scholar]
- Turner, P. L., & Mainster, M. A. (2008). Circadian photoreception: Ageing and the eye’s important role in systemic health. British Journal of Ophthalmology,92(11), 1439–1444. 10.1136/bjo.2008.141747 [DOI] [PMC free article] [PubMed] [Google Scholar]
- van Maanen, A., Meijer, A. M., van der Heijden, K. B., & Oort, F. J. (2016). The effects of light therapy on sleep problems: A systematic review and meta-analysis. Sleep Medicine Reviews,29, 52–62. 10.1016/j.smrv.2015.08.009 [DOI] [PubMed] [Google Scholar]
- Veleva, B. I., van Bezooijen, R. L., Chel, V. G. M., Numans, M. E., & Caljouw, M. A. A. (2018). Effect of ultraviolet light on mood, depressive disorders and well-being. Photodermatology, Photoimmunology & Photomedicine,34(5), 288–297. 10.1111/phpp.12396 [DOI] [PubMed] [Google Scholar]
- Videnovic, A., Noble, C., Reid, K. J., Peng, J., Turek, F. W., Marconi, A., Rademaker, A. W., Simuni, T., Zadikoff, C., & Zee, P. C. (2014). Circadian melatonin rhythm and excessive daytime sleepiness in Parkinson disease. JAMA Neurology,71(4), 463–469. 10.1001/jamaneurol.2013.6239 [DOI] [PMC free article] [PubMed] [Google Scholar]
- Viechtbauer, W. (2010). Conducting meta-analyses in R with the metafor Package. Journal of Statistical Software. 10.18637/jss.v036.i03 [Google Scholar]
- Viechtbauer, W., & Cheung, M.W.-L. (2010). Outlier and influence diagnostics for meta-analysis. Research Synthesis Methods,1(2), 112–125. 10.1002/jrsm.11 [DOI] [PubMed] [Google Scholar]
Associated Data
This section collects any data citations, data availability statements, or supplementary materials included in this article.












