Abstract
Background
Suicide prevention programs delivered in school settings have been shown to reduce suicide attempts and ideation among adolescents. School-based digital interventions targeting at-risk youth are a promising avenue for suicide prevention, and some evidence has shown that blending digital and face-to-face components may improve the effectiveness. However, further evidence is needed, especially in Latin America, where mental health support is limited. We tested the effectiveness of the Reframe-IT+, a blended cognitive behavioral indicated intervention to reduce suicidal ideation, designed to be delivered in school settings. It includes 13 sessions, combining eight internet-based sessions and five face-to-face sessions.
Methods
We conducted a cluster RCT and delivered the Reframe-IT + among secondary students attending Years 9–11. We recruited 21 schools that were randomized into two groups: (1) Intervention Reframe-IT + Group (IG) (n = 863) and (2) Control Group (CG) (n = 683). All consented students completed online screening self-reported questionnaires at baseline. The primary outcome was suicidal ideation . Additionally, we tested the impact of the intervention on depressive and anxiety symptoms, hopelessness, and emotion regulatory strategies, including social solving-problems skills, behavioral activation, cognitive reappraisal, and emotion suppression. A total of 303 students (IG, n = 164; CG, n = 139) were identified as at risk and eligible for inclusion in the study. From those, 224 students (IG, n = 123; CG, n = 101) and their caregivers were interviewed to confirm inclusion and exclusion criteria. Finally, 48 and 47 students were allocated to control and intervention groups, respectively, and answered the online questionnaires at post-intervention. We performed an intention-to-treat analysis using repetitive measures and multilevel regression analyses.
Results
We found a significant reduction in suicidal ideation (b=-6.7, p = 0.015, Cohen´s d = 0.49), depressive (b=-3.1, p = 0.002, Cohen´s d = 0.81) and anxiety (b=-2.60, p < 0.001, Cohen´s d = 0.72) symptoms, and hopelessness (b=-3.7, p < 0.001, Cohen´s d = 0.70) in the intervention group compared to the control group at post-intervention. We also found improvement in solving-problems skills (b=-1.6, p = 0.002, Cohen´s d = 0.58), behavioral activation (b = 2.8, p = 0.019, Cohen´s d = 0.47), and cognitive reappraisal (b = 2.2, p = 0.029, Cohen´s d = 0.53). In the exploration of the intervention mechanisms concerning suicidal ideation, the total indirect effect of the intervention (b = -5.727923; p = 0.008) was significant, whereas the direct effect (b = − 0.03195473, p = 0.903) was not significant (Suppl 2, Table 1). Problem-solving skill (b=-2.84, p = 0.016) was a significant mediator of intervention effects on suicidal ideation (Path a*b).
Conclusions
This is the first clustered RCT evaluation of the effectiveness of a blended indicated intervention to prevent suicidality in school settings in Latin America. This is the first step to informing policymakers to scale up an effective intervention for an important public health problem.
Trial registration
Clinical Trials NCT05229302. Registered on January 27th, 2022.
Supplementary Information
The online version contains supplementary material available at 10.1186/s40359-024-02300-9.
Introduction
Suicide-related behaviors (SRB) are prevalent in young people [1, 2]. A recent meta-analysis showed a worldwide suicidal ideation prevalence of 15.4–18.4% among individuals aged 14 to 21, and it was associated with an increased risk for suicide [3, 4]. On the other hand, studies show that direct interventions could be more effective in reducing suicidal ideation and behaviors than interventions targeting other outcomes such as depression or anxiety [5, 6]. On the other hand, suicide prevention strategies have called for delivering and testing prevention interventions in educational settings [7–11] and using internet-based interventions [6, 12, 13]. These kinds of interventions are mainly based on cognitive behavioral therapy (iCBT), showing promising results in reducing SI and repetition of self-harm in adolescents [12–16]. Nevertheless, conclusions about its effectiveness are not definitive [17], and several issues have arisen from the currently available studies. For instance, small to medium effect sizes, low adherence levels, and the lack of understanding of the effect of moderating and mediating variables require further research [18].
Some experiences show that including interactive exercises and monitoring the advancement in the sessions can improve adolescents´ involvement. For example, these added-on features, such as therapeutic support, either synchronous or asynchronous, delivered by a professional or a paraprofessional included in interventions to prevent depression, have improved the effect size and adherence of participants when compared with self-guided interventions [19]. Additionally, combining digital interventions with human support could also improve the effectiveness of iCBTs, as shown by recent systematic reviews of interventions focused on depression and anxiety symptoms [20, 21]. However, studies testing blended interventions to reduce SI are very scant and conducted with adult populations. For example, using a quasi-experimental design, Büscher et al. (2023) examined the feasibility of a blended treatment combining video therapy with self-help online modules, concluding that the program was feasible and safe [22]. The only RCT available was conducted by King et al. (2023) among construction workers [23]. Using a smartphone suicide prevention intervention combined with face-to-face was shown to be effective in improving help-seeking intentions.
To our knowledge, Reframe-IT [15] is the only iCBT program tailored to be delivered in school environments. It contains eight CBT internet-based modules delivered over ten weeks by school wellbeing staff, supervised and monitored by a mental health professional during the same period [24, 25]. Preliminary evidence suggests that this intervention is acceptable and feasible [24], and although it showed some reduction in suicidal ideation, depression, and hopelessness among adolescents [25], none of them at a significant level [15]. No RCT studies have tested the effectiveness of blended interventions among adolescents in school settings. To fill this relevant gap, in the context of the well-recognized need to personalize interventions targeting SI [26], and the potential benefits of delivering preventive interventions in educational environments [8–10], we have created additional face-to-face modules to be delivered and added to the guided online school-based program Reframe-IT (Reframe-IT+). Throughout this blended intervention, we wanted to reinforce and provide more opportunities for students to understand and practice specific preventive skills such as emotion identification and regulation, relaxation strategies, the awareness of the relationship between thoughts, emotions, and behaviors, problem-solving, and cognitive restructuring. See the protocol [27] for more details on the intervention. Additionally, there is evidence that depression, anxiety, and hopelessness are closely related to suicidal ideation and potential mediators in the causal pathway [28]. Moreover, social problem-solving skills [29], behavioral activation [30], cognitive reappraisal [31] and restructuring [29, 32], and emotional suppression [31] seem to be good candidates to be included in preventive interventions to reduce common mental disorders and suicide-related behaviors. Therefore, due to the poor understanding of the mechanisms behind the effectiveness of these interventions among adolescents [29, 33], it is important to explore potential mediators associated with the strategies delivered by an intervention such as Reframe-IT+.
This study aimed to test the effectiveness of a blended intervention (Reframe-IT+) to reduce suicidal ideation among adolescents attending vulnerable schools in Chile. Additionally, we tested if the intervention reduced depressive and anxiety symptoms and hopelessness and improved social problem-solving skills, behavioral activation, cognitive reappraisal and restructuring, and emotional suppression. Finally, we explored the mediation mechanisms explaining the effectiveness of the intervention.
Methods
Study design, setting, participants, and eligibility criteria
This was a cluster randomized controlled trial. Municipal and subsidized schools provide education for most low-income students in the Region of Maule. Our sampling frame comprised all municipal and subsidized secondary, mixed-sex schools, with two or more 1°-3º Medio grades (equivalent to 9th -11th grade in the United States) in the Region of Maule. All invited schools were informed about the study’s aims and methodology. Twenty-one out of 41 eligible schools accepted the invitation to participate. After being granted authorization from the school´s principals, the research team participated in parent meetings at the beginning of the academic year to inform them about the study and to ask for written and informed consent for their children’s participation. After receiving the signed consent, the schools were randomly allocated to groups: (1) Reframe-IT + group and (2) Control group. The randomization was carried out by an independent statistician using the Microsoft Excel function RAND in a 1:1 proportion. Due to an uneven number of schools consented, more schools were allocated to the control group for practical reasons, reducing the costs associated with implementing the whole intervention. After allocation, research assistants blinded to the school condition supported the baseline assessment using an online survey through the schools’ computer labs. Students also provided written assent to participate and answered the questionnaires. The primary inclusion criterion was scoring ≥ 3 points on the Columbia-Suicide Severity Rating Scale (C-SSRS) [34], validated as a self-report in Chile [35]. Exclusion criteria were: (1) PHQ-8 score > 19; (2) One or more suicidal attempts in the last 30 days; (3) Presence of perceptual anomalies (auditory and visual hallucinations); and (4) Intellectual disability or communication difficulties due to language. For the PHQ-8, it was used the cut-off score of 19 for Severe depression as the scoring threshold used for the PHQ-9, based on the evidence that both scales (PHQ-8 and PHQ-9) had a similar likelihood of any depressive disorder at each level of depression severity level [36]. The exclusion of subjects with PHQ-8 score > 19 was based on the indicated preventive nature of the intervention, reducing the risk of including students with clearly severe depressive symptoms who required more complex and evidence-based treatments. All eligible students were invited to participate with their parents in clinical interviews to confirm the exclusion criteria and determine their motivation to participate in the study. Additionally, all adolescents who scored ≥ 3 points on the C-SSRS and > 19 points on the PHQ-9 were invited to an interview with their caregivers to inform these results and support referral to health centers.
All participants in both groups were referred to primary care centers, where a protocol for managing suicidal ideation defined by the Chilean Ministry of Health was applied [37] when possible. The procedure includes CBT-based psychological and pharmacological interventions when needed. This was considered treatment as usual (TAU). Further procedure details can be found in the RCT protocol [27].
The recruitment of schools was extended from September 26th, 2022, to March 8th, 2023. The recruitment of students was from July 25th, 2023, to September 21st, 2023. The baseline assessment was from July 25th, 2023, to October 2nd, 2023, and the post-intervention assessment was from October 24th, 2023, to December 27th, 2023.
Ethical issues
Data were collected following the Declaration of Helsinki. This study was approved by the ethics committee of Universidad de Talca, Folio 02-2021 (May 12th, 2021). To assess the safety of participants, we put in place close monitoring and supervision of suicidal ideation and attempts weekly, during sessions, and daily in between sessions. None of the participants reported suicidal attempts during the trial.
Sample size
This sample size considers a loss at follow-up of 55% of the students from eligible ones (C-SSRS score ≥ 3), a harmonic mean of 8 students recruited by the school, and the following mean (SD) scores of SIQ after intervention obtained in a pilot study under review: Control group (mean = 51.9; SD = 21.4); Intervention group (mean = 41; SD = 18.6). We expected to recruit at least 18 schools. We used the “clustersampsi” command in Stata Software to estimate the number of clusters in two arms, using the following command: clustersampsi, samplesize mu1(X1) mu2(X2) sd1(Y1) sd2(Y2) m(Z) rho(R). Where X1 = mean in arm 1; X2 = mean in arm 2; Y1 = standard deviation (SD) in arm 1; Y2 = SD in arm 2; Z = number of children per school on average (harmonic mean) (n = 10); and R = intracluster correlation (R = 0.023). The two arms were balanced for the school’s size.
Intervention and control groups
Intervention group. Reframe-IT + is a blended intervention described elsewhere [27]. The online component comprises eight ~ 20-minute video-based modules of CBT and is administered at schools by trained psychologists (one psychologist per school). Each participant has access to their personalized web page accessed via secure login. Each module is completed in the psychologist’s presence, and participants can also access it at home 24 h a day. Additionally, the student finds a series of fact sheets covering various related topics, including managing SI, plus downloadable relaxation MP3s [15, 24]. The face-to-face component comprises five CBT sessions to (1) build a safety plan, (2) reinforce emotion recognition and practice relaxation exercises, (3) understand the relationships among emotions, thoughts, and behavior, (4) develop problem-solving skills, and (5) promote thinking restructuring. The first face-to-face session consists of building an individualized safety plan to provide students with a toolkit of strategies to help them cope with psychological distress and suicidal ideation [38, 39]. The other face-to-face sessions followed two online sessions to ensure the content was complementary. These face-to-face sessions used brief videos (1–2 min), activities, and mood checking. Each session lasted about 30 min.
Control group. Students in this group were referred to primary care clinics and received the TAU defined by the Chilean Ministry of Health for this population. TAU consists of identification and assisted referral to a primary care clinic, where trained psychologists will assess the symptomatology and propose a course of actions, from psychotherapy to a general practitioner to initiate medication if needed. Based on the Cognitive-Behavioral Model, psychotherapy in primary care clinics consists of 4–8 sessions twice a month. General practitioners may also suggest using medications, which generally are SSRI antidepressants (e.g., Fluoxetine, Sertraline). A medical check-up is conducted every month or every two months.
Outcome measures
The primary outcome measure was the Suicidal Ideation Questionnaire (SIQ) [40], which provided a continuous score measured after the intervention. The SIQ is a 15-item self-report measure designed to assess SI in adolescents. It has high levels of internal consistency (α = 0.93) and test-retest reliability over four weeks (kappa = 0.72) [41]. We used a Spanish version previously validated in adolescents in Chile [42]. In our sample at baseline, Cronbach’s α was 0.95, and McDonald’s ω was 0.96.
The secondary outcome measure was the PHQ-8, which consists of eight of the nine criteria on which the DSM-5 diagnosis of depressive disorders is based [43], with responses ranging from 0 (not at all) to 3 (nearly every day). The ninth question in the DSM-5 assesses suicidal or self-injurious thoughts. It was omitted because suicidal ideation was assessed with the C-SSRS for the inclusion criteria and with SIQ as the primary outcome. We wanted to have a measure of depression severity and avoid collinearity in the analyses. Total scores can range from 0 to 24 [44]. In Chilean adolescents, Borghero et al. [45] observed the following psychometric properties for the PHQ-9: internal consistency = 0.78; sensitivity = 86.2%, specificity = 82.9%. In our sample, the PHQ-8 had a Cronbach’s alpha (α) of 0.86, and McDonald’s Omega Coefficient (ω) was 0.86 at baseline.
Additional measures and their reliability coefficients at baseline are described below. The Generalized Anxiety Disorder Scale [46] is a 7-item questionnaire to assess the severity of anxiety symptoms (α = 0.87; ω = 0.87). The Beck Hopelessness Scale [47] is a 20-item scale aiming to assess feelings of hopelessness (α = 0.88; ω = 0.88). The Short Form of the Social Problem-Solving Inventory-Revised (SPSI-R Short Form) [48] is a 25-item scale evaluating several social problem-solving skills (α = 0.88; ω = 0.87). The Emotion Regulation Questionnaire for Children and Adolescents (ERQ-CA) [49] is a 10-item self-report scale assessing two emotional regulation styles: Cognitive Reappraisal (CR), which consists of redefining a potential emotion-eliciting situation in such a way that its emotional impact is changed (α = 0.83; ω = 0.83); Expressive Suppression (ES), which consists of the inhibition of ongoing emotion-expressive behavior. It has been validated in adolescents from Chile [50] (α = 0.67; ω = 0.68). The Cognitive-behavioral Therapy Skills Questionnaire (CBT-SQ) [51] is a 16-item scale assessing two skills: cognitive restructuring (CR) (α = 0.84; ω = 0.84) and behavioral activation (BA) (α = 0.83; ω = 0.83) (i.e., changes in avoidance/behavioral control and changes in cognitive style).
Statistical analyses
Firstly, we used descriptive statistics to assess balance across arms at baseline. The primary between-group analysis was carried out on an intention-to-treat basis for post-intervention SIQ scores. We used linear mixed-effects model analysis to compare the intervention and control groups regarding the change in outcome measures from baseline to post-intervention. Schools were included as a random factor for each outcome measure to account for possible school effects. We repeated the analyses with secondary and additional outcomes.
Finally, we explored mediation effects using seemingly unrelated regression modeling to explain the effectiveness of the intervention with the command “sureg” in Stata 17. We calculated the intervention effect for each mediator, the effect of each mediator on the primary outcome (suicidal ideation), and the intervention effect that was mediated by each mediator. For each model, we computed the total indirect effects of the intervention (i.e., the total effect of intervention mediated by the sum of the mediating factors) and the single indirect effect for each mediator as suggested by Preacher and Hayes [52], adjusting by sex, age, and baseline scores for each variable. Moreover, we calculated the program’s direct effect (i.e., the effect not explained by the hypothesized mediators). The randomization occurred at the school level; therefore, we entered the school as the second level and individuals as the first level. To control for variability across schools, we used multilevel modeling.
Results
Demographic features
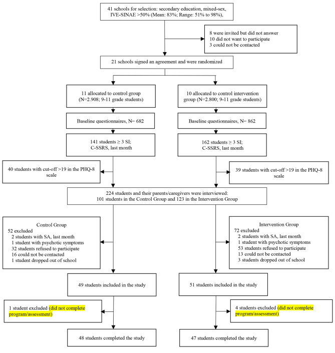
There were 41 schools in the sampling frame, 21 of which participated in the trial. A total of 95 secondary school students participated. Figure 1 shows the flow of schools and students in the study. The number of students enrolled in both groups was comparable. However, participation in the baseline survey was lower in the control group. After the interview, a higher proportion of students/caregivers rejected participation in the study, which resulted in both groups having a similar number of students (IG = 51; CG = 49). Primary outcome data after intervention were available for 98% (n = 48) of participants in the control group and 92% (n = 47) in the intervention group.
Fig. 1.
Recruitment and follow-up of schools and students. Notes: IVE-SINAE = for initials in Spanish of “Índice de Vulnerabilidad Escolar - Sistema Nacional de Asignación con Equidad” (School vulnerability index - National Allocation System with Equity); SI = Suicidal Ideation; C-SSRS = Columbia–Suicide Severity Rating Scale; PHQ-9 = Patient Health Questionnaire-9; SA = Suicide Attempt
The trial arms were well balanced at baseline (Suppl 1, Table 1) regarding age, symptomatology, and psychological skills.
Table 1.
Demographics with all students at risk included in the trial
| Variables | Control (n = 49) | Intervention (n = 51) | p-value | ||
|---|---|---|---|---|---|
| Sex | n | % | n | % | |
| Male | 12 | 24.5 | 22 | 43.1 | |
| Female | 37 | 75.5 | 29 | 56.9 | 0.049 |
| Psychological/psychiatric treatment | |||||
| Never | 14 | 28.6 | 20 | 39.2 | |
| In the past | 18 | 36.7 | 17 | 33.3 | |
| Currently | 17 | 34.7 | 14 | 27.5 | 0.512 |
| Psychological/psychiatric treatment in family | |||||
| Never | 4 | 8.2 | 8 | 15.7 | |
| In the past | 17 | 34.7 | 13 | 25.5 | |
| Currently | 13 | 26.5 | 12 | 23.5 | |
| I do not know | 15 | 30.6 | 18 | 35.3 | 0.544 |
| History of suicide attempts in family | |||||
| No | 7 | 14.3 | 12 | 23.5 | |
| Yes | 15 | 30.6 | 15 | 29.4 | |
| I do not know | 27 | 55.1 | 24 | 47.1 | 0.484 |
| History of suicide in family | |||||
| No | 19 | 38.8 | 30 | 58.8 | |
| Yes | 11 | 22.5 | 8 | 15.7 | |
| I do not know | 19 | 38.8 | 13 | 25.5 | 0.133 |
| n | Mean (SD | n | Mean (SD | ||
| Age | 49 | 15.4 (1.0) | 51 | 15.3 (1.1) | 0.627 |
| SIQ | 49 | 51.4 (16.9) | 51 | 47.4 (17.5) | 0.245 |
| CSSRS | 49 | 5 (1.5) | 51 | 4.5 (1.3) | 0.071 |
| PHQ-8 | 49 | 13.9 (2.9) | 51 | 13.0 (2.8) | 0.108 |
| GAD-7 | 49 | 13.2 (4.5) | 51 | 12.0 (3.6) | 0.145 |
| SPSI-R: S | 49 | 47.2 (7.8) | 51 | 45 (11.8) | 0.284 |
| BHS | 49 | 7.4 (4.4) | 51 | 8.2 (4.6) | 0.433 |
| CBT Questionnaire | |||||
| Behavioral activation | 49 | 18.5 (5.8) | 51 | 18.4 (5.9) | 0.907 |
| Cognitive restructuring | 49 | 21.8 (5.7) | 51 | 20.5 (5.5) | 0.219 |
| ERQ-CA | |||||
| Cognitive reappraisal | 49 | 18.9 (3.7) | 51 | 18.6 (4.6) | 0.767 |
| Expressive suppression | 49 | 14.2 (2.9) | 51 | 13.9 (3.4) | 0.658 |
Regarding students who entered the trial, there were more girls than boys in the control group (p = 0.049), and the mean age was similar (15.4 years in the CG, and 15.3 years in the IG). (See Table 1). More CG students received psychological or psychiatric treatment at baseline than IC students. The history of suicide attempts in the family was similar in both groups (30.6% in CG and 29.4% in the IG); however, the history of suicide in the family was slightly higher in the control group. Symptomatology and psychological skills seem to be similar in both groups.
Intervention effectiveness
There was clear evidence of a reduction in suicide ideation in the intervention group over the control group after controlling by sex, age, and baseline scores (Adjusted Mean Difference [AMD] = -5.6, 95%CI: -10.7 to -0.4; P = 0.037). See Table 2.
Table 2.
Analysis of SIQ scores at post-intervention
| Variable | Control mean (SD) |
Intervention mean (SD) |
Adjusted Mean Difference (95% CI)* |
p-value | Cohen d (95% CI) |
|---|---|---|---|---|---|
| Post intervention | 39.7 (18.1) | 32.0 (13.0) | -5.6 (-10.7 to -0.4) | 0.037 | 0.49 (0.08 to 0.90) |
| No. 48 | No.47 |
Note: *This was adjusted, including baseline measures, sex and age, and clustering by school
SIQ = The Suicidal Ideation Questionnaire assesses the frequency of suicidal ideation
Among the secondary outcomes considered, the intervention had a beneficial effect on depression (AMD= -2.8, 95%CI: -4.9 to -0.8; P = 0.009), anxiety (AMD= -2.6, 95% CI: -4.1 to -1.1; P = 0.002), and hopelessness (AMD=-3.3, 95%CI: -4.8 to -1.8; P = < 0.0001) after the intervention. See Table 3.
Table 3.
Secondary outcomes at post-intervention
| Variable | Control mean (SD) |
Intervention mean (SD) |
Adjusted Mean Difference (95% CI)* |
p-value | Cohen d (95% CI) |
|---|---|---|---|---|---|
| PHQ-8 scores | 10.8 (4.6) | 7.3 (4.2) | -2.8 (-4.9 to -0.8) | 0.009 | 0.80 (0.39 to 1.22) |
| GAD-7 scores | 10.6 (5.3) | 7.2 (4.2) | -2.6 (-4.1 to -1.1) | 0.002 | 0.71 (0.30 to 1.13) |
| BHS score | 6.9 (4.6) | 3.8 (4.2) | -3.3 (-4.8 to -1.8) | < 0.001 | 0.69 (0.27 to 1.10) |
| SPSI-R: S scores | 43.4 (13.7) | 41.0 (11.7) | -0.9 (-6.3 to 4.5) | 0.721 | 0.18 (-0.22 to 0.59) |
| CBT Questionnaire | |||||
| Behavioral activation | 18.6 (6.2) | 21.4 (5.3) | 2.3 (-0.05 to 4.7) | 0.054 | -0.49 (-0.90 to -0.08) |
| Cognitive restructuring | 21.0 (4.9) | 21.2 (5.9) | 0.6 (-1.8 to 3.0) | 0.620 | -0.04 (-0.44 to 0.37) |
| ERQ-CA | |||||
| Cognitive reappraisal | 19.9 (4.5) | 22.1 (4.0) | 1.9 (-0.2 to 3.9) | 0.078 | -0.52 (-0.92 to -0.11) |
| Expressive suppression | 13.7 (3.2) | 13.0 (3.3) | -0.6 (-1.8 to 0.5) | 0.266 | 0.21 (-0.20 to 0.61) |
Note: *This was adjusted, including baseline measures, sex and age, and clustering by school
PHQ-8 = The Patient Health Questionnaire-9 measures depressive symptoms
GAD-7 = Generalized Anxiety Disorder Scale-7
BHS = Beck Hopelessness Scale measures several aspects of hopelessness
SPSI-R: S = Social Problem-solving Inventory - Revised Short Form assesses problem-solving skills
CBT-Q = Cognitive Behavioral Therapy Questionnaire measures CBT skills
ERQ-CA = The Emotion Regulation Questionnaire for Children and Adolescents measures different aspects of emotion regulation
No harm or unintended effects were reported in each group.
Mediating analyses results (suppl. 2)
Concerning suicidal ideation, the total indirect effect of the intervention (b = -5.727923; p = 0.008) was significant, whereas the direct effect (b = − 0.03195473, p = 0.903) was not significant (Suppl 2, Table 1). Social problem-solving skills (b=-2.84, p = 0.016) were a significant mediator of intervention effects on suicidal ideation (Path a*b). Regarding depression, the total indirect effect of the intervention (b = -1.704665; p = 0.005) was significant, whereas the direct effect (b = -1.088063, p = 0.089) was marginally significant (Suppl 2, Table 2). Social problem-solving skills (b=-0.99, p = 0.035) were a significant mediator of intervention effects on depression (Path a*b), whereas the mediating effect of behavioral activation was only marginally significant (b=-0.60; p = 0.055). Concerning anxiety, the total indirect effect of the intervention (b = -1.635282; p = 0.008) was significant, whereas the direct effect (b = -1.024881, p = 0.079) was marginally significant (Suppl 2, Table 3). Social problem-solving skills (b=-1.06, p = 0.018) were a significant mediator of intervention effects on anxiety (Path a*b), whereas the mediating effect of cognitive reappraisal was only marginally significant (b=-0.44; p = 0.083). And finally, concerning hopelessness, the total indirect effect of the intervention (b = -1.721213; p = 0.009) was significant, whereas the direct effect (b = -1.566542, p = 0.016) was significant (Suppl 2, Table 3). Behavioral activation (b=-0.44, p = 0.067) and cognitive reappraisal (b=-0.90; p = 0.087) were significant mediators of intervention effects on hopelessness. (Path a*b).
Discussion
This is the first study examining the effects of a blended CBT-based indicated intervention to reduce suicidal ideation among adolescents in school settings. We found a significant reduction in suicidal ideation at post-intervention, which fits with prior evidence [6, 18]. We additionally observed reductions in depressive and anxiety symptoms and hopelessness, as reported in previous studies [15, 53–55]. Finally, in the exploratory analyses, we found that social solving-problem skills were the main mediator of the reduction in SI, depressive, and anxiety symptoms.
Our results support literature revealing that indicated iCBT-based programs can effectively reduce SI [6, 18] and that blended interventions could improve its effectiveness [22]. However, only two iCBT interventions to reduce SI have been targeted at adolescents. The self-guided community-based program by Hill and Pettit (2019) showed significant effects on perceived burdensomeness, thwarted belongingness, and depressive symptoms but not on SI [56]. On the other hand, the guided school-based program by Hetrick et al. (2017) yielded positive but not significant effects on SI, depressive symptoms, hopelessness, and problem-solving skills [15]. Additionally, other differences may arise when comparing or studying with other interventions. For instance, we observed a slightly larger effect size and adherence to the intervention than reported by recent meta-analyses [12, 18] on iCBT interventions. Despite some similarities between our program and those by Hill & Petit (2019) [56] and Hetrick et al. (2017) [15] (e.g., sample size, iCBT-based interventions), direct comparisons must be cautiously done. Reframe-IT + is a blended intervention with a face-to-face component to reinforce specific themes (emotion recognition, understanding relationships between emotions, thoughts and behaviors, social problem-solving skills, and cognitive restructuring), highlighted as relevant aspects of traditional CBT interventions [57]. Aligned with prior findings on depression and anxiety [20, 21], we hypothesized that reinforcing iCBT contents using a guided approach with adding the face-to-face component might explain our better results. However, this interpretation needs further research with a larger sample size.
A significant impact of Reframe-IT + in our study was also found on depressive and anxiety symptoms and hopelessness. By contrast, a recent meta-analysis by Sander et al. (2023) [58] of iCBT suicide preventive interventions only found significant effects on depression outcomes but inconsistent effects on anxiety and no effects on hopelessness, and the authors suggested that the revised interventions needed additional components for managing anxiety symptoms and hopelessness. Reframe-IT + has several components to help students develop social problem-solving skills, behavioral activation, and cognitive reappraisal; each could have a different role in improving outcomes beyond suicide ideation. Very few studies have explored the potential mediators of preventive interventions to understand better the mechanisms of change [59] on suicidal ideation.
To our knowledge, this is the first study providing evidence about the role of potential mediators in explaining the effectiveness of an iCBT blended intervention to reduce SI among adolescents at schools, which is highly relevant to developing evidence-based treatment decision models [12, 13]. Our exploratory mediation analyses yielded that social-problem skills fully mediated the effect of the intervention on SI. Other studies have highlighted that enhancing problem-solving skills may act as a protective factor over SI [33, 60, 61]. Our findings are similar to those reported by Xavier et al. (2019) [62] among adolescents and young people in Brazil, studying the effectiveness of a group and face-to-face intervention to reduce suicide ideation. Moreover, as we previously mentioned, Reframe-IT + was also effective in reducing depressive and anxiety symptoms by improving social problem-solving skills. A recent systematic review concluded that problem-solving skills seem to be the active ingredient in indicated prevention interventions for young people [63], especially in reducing depressive symptoms. The authors proposed that problem-solving skills help adolescents improve mechanisms such as cognitive appraisal, self-efficacy, and optimism [63]. Specifically, social problem-solving skills may help adolescents create meaningful social relationships, find support from others, improve other cognitive skills such as inhibitory control [64], and manage depressive and anxiety symptoms using a proactive strategy to regulate these symptoms [65]. More research is needed to explain the underlying pathways of how social problem-solving reduces SI and depressive and anxiety symptoms and also to understand the specific effect on these and other outcomes.
Other studies have found that behavioral activation [30], cognitive reappraisal [66], and restructuring [32] are potential mediators of CBT interventions. The evidence is somehow mixed regarding the role of emotional suppression [31] in depression and suicidality. Considering this, we were careful that all content promoting these and problem-solving skills were promoted among subjects. However, given that the cognitive, behavioral, and affective emotional regulation strategies are complex, especially in their possible interaction and person- and context-dependent [29, 67, 68], different doses are likely required to develop these skills. This is especially relevant for suicidal-related behaviors [29]. A study with a larger sample and testing the effectiveness of differentiated components could help elucidate this question.
Limitations
This study has some limitations. First, although we met the sample size requirements regarding the number of schools, the recruitment rate of students was low, as found in other studies [15, 69]. One explanation for the lower recruitment rate in the control arm might be related to the reduced interest of parents or main caregivers in participating due to the little incentive, knowing that the control schools will not receive the intervention but the usual care [70, 71]. Second, during the interview, to confirm inclusion and exclusion criteria, more students and parents in the Intervention Group refused to participate in the study than in the Control Group. Sometimes, there could be less interest in participating in the intervention group in a clinical trial setting due to various concerns and barriers. Participants might perceive higher risks or discomfort associated with the intervention, such as potential side effects or inconvenience [70]. Even though the interviewer was trained to communicate the objectives of the study clearly, a lack of understanding of the benefits and purpose of the intervention can also reduce interest [70]. Trust issues with researchers, the intervention itself, and previous negative experiences can further discourage participation [72]. Additionally, participants may be less inclined to engage if they do not see immediate benefits or have other competing health or personal priorities [72]. Social influence and skepticism from family can also significantly diminish interest in the intervention group. Third, we used self-report questionnaires. This may overestimate the prevalence of symptoms and influence the responses due to memory biases. However, we used valid and reliable measures, and the scores of the outcomes and mediating factors were similar between groups at baseline, reducing the measuring bias effect. Fourth, we only recruited participants from public schools. Therefore, the results might not apply to adolescents from higher socioeconomic backgrounds who usually attend private schools. Fifth, we excluded subjects with severe depressive symptoms (PHQ-8 score > 19), which also would negatively impact the generalizability of our results. Sixth, our pre-post-test analyses without a follow-up have limitations on knowing the duration of the effect of this kind of intervention. The impact of psychological interventions in the school setting can diminish and disappear over time due to several factors, including the lack of continuous reinforcement, changes in the school environment, loss of student interest or motivation, and transitions to new educational levels. Additionally, external influences such as family or social issues and the need to integrate the intervention into the school curriculum can further reduce its effectiveness. We need to explore the results with the follow-up undertaken during this year. Finally, regarding the sustainability and potential scaling up of this intervention, the fact that we used an external health professional to implement the intervention with the students in the school may have limitations. While young people see school welfare staff as an acceptable source of help, there are some reasons why these professionals might not feel confident working with at-risk students. On the one hand, there is a lack of training on mental health issues among school staff, which reduces the possibility of working effectively with the students. On the other hand, school welfare staff already have a heavy workload, which reduces the chances of having the time to work with these students.
Conclusions
This is the first clustered RCT evaluation of the effectiveness of a blended indicated intervention to prevent suicidality in school settings in Latin America. This is the first step to informing policymakers to scale up an effective intervention for an important public health problem. Reframe-IT + reduced suicidal ideation, depressive and anxiety symptoms, and helplessness. The intervention seems to be effective through the improvement of problem-solving skills.
Electronic supplementary material
Below is the link to the electronic supplementary material.
Acknowledgements
We thanks all students, their parents or main care givers and school staff for all the collaboration.
Author contributions
DN, JR and JG conceived the study. DN and JG supervised the whole project. DM, JA were in charge of data collection. DN and JG wrote the manuscript draft, analyzed the data, and edited the final version. JR edited the final version of the manuscript.
Funding
This work was funded by ANID – Fondecyt Regular Nº 1210093, and ANID -Millennium Science Initiative Program – NCS2021_081.
Data availability
The data that support the findings of this study are not openly available due to reasons of sensitivity and are available from the corresponding author upon reasonable request. Codes for sample size and statistical analyses are provided in the corresponding section.
Declarations
Ethics approval and consent to participate
This study was approved by the ethical committee of Universidad de Talca (Folio 02-2012, May 12th, 2021). Informed consents were obtained from all subjects and their legal guardians. The authors confirm that all methods were performed in accordance with the declaration of Helsinki.
Consent for publication
Not applicable.
Competing interests
The authors declare no competing interests.
Footnotes
Publisher’s note
Springer Nature remains neutral with regard to jurisdictional claims in published maps and institutional affiliations.
References
- 1.Campisi SC, Carducci B, Akseer N, Zasowski C, Szatmari P, Bhutta ZA. Suicidal behaviours among adolescents from 90 countries: a pooled analysis of the global school-based student health survey. BMC Public Health. 2020;20(1):1102. [DOI] [PMC free article] [PubMed] [Google Scholar]
- 2.McMahon EM, Hemming L, Robinson J, Griffin E, Editorial. Suicide and self harm in young people. Front Psychiatry. 2023;13. [DOI] [PMC free article] [PubMed]
- 3.Berman AL. Risk factors proximate to suicide and suicide risk Assessment in the context of denied suicide ideation. Suicide Life-Threatening Behav. 2018;48(3):340–52. [DOI] [PubMed] [Google Scholar]
- 4.Large M, Corderoy A, McHugh C. Is suicidal behaviour a stronger predictor of later suicide than suicidal ideation? A systematic review and meta-analysis. Aust N Z J Psychiatry. 2021;55(3):254–67. [DOI] [PubMed] [Google Scholar]
- 5.Meerwijk EL, Parekh A, Oquendo MA, Allen IE, Franck LS, Lee KA. Direct versus indirect psychosocial and behavioural interventions to prevent suicide and suicide attempts: a systematic review and meta-analysis. Lancet Psychiatry. 2016;3(6):544–54. [DOI] [PubMed] [Google Scholar]
- 6.Torok M, Han J, Baker S, Werner-Seidler A, Wong I, Larsen ME, et al. Suicide prevention using self-guided digital interventions: a systematic review and meta-analysis of randomised controlled trials. Lancet Digit Health. 2020;2(1):e25–36. [DOI] [PubMed] [Google Scholar]
- 7.Ayer L, Colpe LJ. The key role of schools in youth suicide Prevention. J Am Acad Child Adolesc Psychiatry. 2023;62(1):19–21. [DOI] [PMC free article] [PubMed] [Google Scholar]
- 8.Brann KL, Baker D, Smith-Millman MK, Watt SJ, DiOrio C. A meta-analysis of suicide prevention programs for school-aged youth. Child Youth Serv Rev. 2021;121:105826. [Google Scholar]
- 9.Breet E, Matooane M, Tomlinson M, Bantjes J. Systematic review and narrative synthesis of suicide prevention in high-schools and universities: a research agenda for evidence-based practice. BMC Public Health. 2021;21(1):1116. [DOI] [PMC free article] [PubMed] [Google Scholar]
- 10.Gaynor K, O’Reilly MD, Redmond D, Nealon C, Twomey C, Hennessy E. A meta-analysis of targeted interventions for reducing suicide-related behaviour and ideation in adolescents: implications for trial design. Compr Psychiatry. 2023;122:152374. [DOI] [PubMed] [Google Scholar]
- 11.Walsh EH, McMahon J, Herring MP, Research, Review. The effect of school-based suicide prevention on suicidal ideation and suicide attempts and the role of intervention and contextual factors among adolescents: a meta-analysis and meta-regression. J Child Psychol Psychiatry. 2022;63(8):836–45. [DOI] [PMC free article] [PubMed] [Google Scholar]
- 12.Büscher R, Beisemann M, Doebler P, Micklitz HM, Kerkhof A, Cuijpers P, et al. Digital cognitive-behavioural therapy to reduce suicidal ideation and behaviours: a systematic review and meta-analysis of individual participant data. Evid Based Ment Health. 2022;25(e1):e8–17. [DOI] [PMC free article] [PubMed] [Google Scholar]
- 13.Witt K, Spittal MJ, Carter G, Pirkis J, Hetrick S, Currier D, et al. Effectiveness of online and mobile telephone applications (‘apps’) for the self-management of suicidal ideation and self-harm: a systematic review and meta-analysis. BMC Psychiatry. 2017;17(1):297. [DOI] [PMC free article] [PubMed] [Google Scholar]
- 14.Alavi A, Sharifi B, Ghanizadeh A, Dehbozorgi G. Effectiveness of cognitive-behavioral therapy in decreasing suicidal ideation and hopelessness of the adolescents with previous suicidal attempts. Iran J Pediatr. 2013;23(4):467–72. [PMC free article] [PubMed] [Google Scholar]
- 15.Hetrick SE, Yuen HP, Bailey E, Cox GR, Templer K, Rice SM, et al. Internet-based cognitive behavioural therapy for young people with suicide-related behaviour (Reframe-IT): a randomised controlled trial. Evid Based Mental Health. 2017;20(3):76–82. [DOI] [PMC free article] [PubMed] [Google Scholar]
- 16.Leavey K, Hawkins R. Is cognitive behavioural therapy effective in reducing suicidal ideation and behaviour when delivered face-to-face or via e-health? A systematic review and meta-analysis. Cogn Behav Ther. 2017;46(5):353–74. [DOI] [PubMed] [Google Scholar]
- 17.Yu T, Hu D, Teng F, Mao J, Xu K, Han Y, et al. Effectiveness of internet-based cognitive behavioral therapy for suicide: a systematic review and meta-analysis of RCTs. Psychol Health Med. 2022;27(10):2186–203. [DOI] [PubMed] [Google Scholar]
- 18.Büscher R, Torok M, Terhorst Y, Sander L. Internet-based cognitive behavioral therapy to reduce suicidal ideation: a systematic review and Meta-analysis. JAMA Netw Open. 2020;3(4):e203933–e. [DOI] [PMC free article] [PubMed] [Google Scholar]
- 19.Karyotaki E, Efthimiou O, Miguel C, Maas genannt Bermpohl F, Furukawa TA, Cuijpers P, et al. Internet-based cognitive behavioral therapy for Depression: a systematic review and Individual Patient Data Network Meta-Analysis. JAMA Psychiatry. 2021;78(4):361–71. [DOI] [PMC free article] [PubMed] [Google Scholar]
- 20.Moshe I, Terhorst Y, Philippi P, Domhardt M, Cuijpers P, Cristea I, et al. Digital interventions for the treatment of Depression: a Meta-Analytic Review. Psychol Bull. 2021;147:749–86. [DOI] [PubMed] [Google Scholar]
- 21.Musiat P, Johnson C, Atkinson M, Wilksch S, Wade T. Impact of guidance on intervention adherence in computerised interventions for mental health problems: a meta-analysis. Psychol Med. 2022;52(2):229–40. [DOI] [PubMed] [Google Scholar]
- 22.Büscher R, Teismann T, Hartleitner P, Klein JP, Baumeister H, Sander LB. Remote blended treatment for individuals with suicidal ideation: a single-arm proof-of-concept trial. Clin Psychol Psychother. 2023. [DOI] [PubMed]
- 23.King TL, Fleitas Alfonzo L, Batterham P, Mackinnon A, Lockwood C, Harvey S, et al. A blended face-to-face and smartphone intervention to improve suicide prevention literacy and help-seeking intentions among construction workers: a randomised controlled trial. Soc Psychiatry Psychiatr Epidemiol. 2023;58(6):871–81. [DOI] [PMC free article] [PubMed] [Google Scholar]
- 24.Robinson J, Hetrick S, Cox G, Bendall S, Yung A, Pirkis J. The safety and acceptability of delivering an online intervention to secondary students at risk of suicide: findings from a pilot study. Early Interv Psychiat. 2015;9(6):498–506. [DOI] [PubMed] [Google Scholar]
- 25.Robinson J, Hetrick S, Cox G, Bendall S, Yuen HP, Yung A, et al. Can an internet-based intervention reduce suicidal ideation, depression and hopelessness among secondary school students: results from a pilot study. Early Interv Psychiat. 2016;10(1):28–35. [DOI] [PubMed] [Google Scholar]
- 26.Bryan CJ, Rudd MD. Brief cognitive-behavioral therapy for suicide Prevention. Guilford; 2018.
- 27.Núñez D, Gaete J, Meza D, Andaur J, Robinson J. Testing the effectiveness of a blended intervention to reduce suicidal ideation among School adolescents in Chile: a protocol for a Cluster Randomized Controlled Trial. Int J Environ Res Public Health. 2022;19(7):3947. [DOI] [PMC free article] [PubMed] [Google Scholar]
- 28.Thompson EA, Mazza JJ, Herting JR, Randell BP, Eggert LL. The mediating roles of anxiety depression, and hopelessness on adolescent suicidal behaviors. Suicide Life-Threatening Behav. 2005;35(1):14–34. [DOI] [PubMed] [Google Scholar]
- 29.Rogier G, Chiorri C, Beomonte Zobel S, Muzi S, Pace CS, Cheung MW, et al. The multifaceted role of emotion regulation in suicidality: systematic reviews and meta-analytic evidence. Psychol Bull. 2024;150(1):45–81. [DOI] [PubMed] [Google Scholar]
- 30.Cuijpers P, Karyotaki E, Harrer M, Stikkelbroek Y. Individual behavioral activation in the treatment of depression: a meta analysis. Psychother Res. 2023;33(7):886–97. [DOI] [PubMed] [Google Scholar]
- 31.Dryman MT, Heimberg RG. Emotion regulation in social anxiety and depression: a systematic review of expressive suppression and cognitive reappraisal. Clin Psychol Rev. 2018;65:17–42. [DOI] [PubMed] [Google Scholar]
- 32.Ezawa ID, Hollon SD. Cognitive restructuring and psychotherapy outcome: a meta-analytic review. Psychother (Chic). 2023;60(3):396–406. [DOI] [PMC free article] [PubMed] [Google Scholar]
- 33.Darvishi N, Farhadi M, Azmi-Naei B, Poorolajal J. The role of problem-solving skills in the prevention of suicidal behaviors: a systematic review and meta-analysis. PLoS ONE. 2023;18(10):e0293620. [DOI] [PMC free article] [PubMed] [Google Scholar]
- 34.Posner K, Brown GK, Stanley B, Brent DA, Yershova KV, Oquendo MA, et al. The Columbia-suicide severity rating scale: initial validity and internal consistency findings from three multisite studies with adolescents and adults. Am J Psychiatry. 2011;168(12):1266–77. [DOI] [PMC free article] [PubMed] [Google Scholar]
- 35.Núñez D, Arias V, Méndez-Bustos P, Fresno A. Is a brief self-report version of the Columbia severity scale useful for screening suicidal ideation in Chilean adolescents? Compr Psychiatry. 2019;88:39–48. [DOI] [PubMed] [Google Scholar]
- 36.Kroenke K, Spitzer RL. The PHQ-9: a new depression diagnostic and severity measure. Slack Incorporated Thorofare, NJ; 2002. pp. 509–15.
- 37.MINSAL. Recomendaciones para la Prevención De La Conducta Suicida En Establecimientos Educacionales; Programa Nacional De Prevención Del Suicidio. Santiago, Chile: Ministerio de Salud, Gobierno de Chile; 2019. [Google Scholar]
- 38.Stanley B, Brown GK, Brenner LA, Galfalvy HC, Currier GW, Knox KL, et al. Comparison of the Safety planning intervention with follow-up vs Usual Care of suicidal patients treated in the Emergency Department. JAMA Psychiatry. 2018;75(9):894–900. [DOI] [PMC free article] [PubMed] [Google Scholar]
- 39.Stanley B, Brown GK. Safety Planning intervention: a brief intervention to mitigate suicide risk. Cogn Behav Pract. 2012;19(2):256–64. [Google Scholar]
- 40.Reynolds WM. Suicidal ideation questionnaire (SIQ). Odessa, FL: Psychological Assessment Resources; 1987. [Google Scholar]
- 41.Davis JM. Suicidal ideation questionnaire. J Psychoeducational Assess. 1992;10(3):298–301. [Google Scholar]
- 42.Nuñez D, Villacura-Herrera C, Gaete J, Meza D, Andaur J, Robinson J. Psychometric assessment of the suicidal ideation Questionnaire Junior: a two-study validation in spanish-speaking adolescents. Curr Psychol. 2023.
- 43.American Psychiatric Association D, American Psychiatric Association D. Diagnostic and statistical manual of mental disorders: DSM-5. American psychiatric association Washington, DC; 2013.
- 44.Kroenke K, Spitzer RL, Williams JBW. The PHQ-9. J Gen Intern Med. 2001;16(9):606–13. [DOI] [PMC free article] [PubMed] [Google Scholar]
- 45.Borghero F, Martínez V, Zitko P, Vöhringer PA, Cavada G, Rojas G. Tamizaje De episodio depresivo en adolescentes. Validación Del instrumento PHQ-9. Revista médica De Chile. 2018;146:479–86. [DOI] [PubMed] [Google Scholar]
- 46.Spielberger CD. State-trait anxiety inventory for adults. 1983.
- 47.Beck AT, Steer RA. Manual for the Beck hopelessness scale. San Antonio, TX: Psychological Corporation; 1988. [Google Scholar]
- 48.D’Zurilla TJ, Maydeu-Olivares A, Kant GL. Age and gender differences in social problem-solving ability. Pers Indiv Differ. 1998;25(2):241–52. [Google Scholar]
- 49.Gullone E, Taffe J. The emotion regulation questionnaire for children and adolescents (ERQ–CA): a psychometric evaluation. Psychol Assess. 2012;24(2):409. [DOI] [PubMed] [Google Scholar]
- 50.Villacura-Herrera C, Gaete J, Andaur J, Meza D, Robinson J, Núñez D. Evidence for validity, reliability and measurement invariance of the emotion regulation questionnaire for children and adolescents (ERQ-CA) in secondary students from Chile. Curr Psychol. 2022.
- 51.Jacob KL, Christopher MS, Neuhaus EC. Development and validation of the cognitive-behavioral therapy skills questionnaire. Behav Modif. 2011;35(6):595–618. [DOI] [PubMed] [Google Scholar]
- 52.Preacher KJ, Hayes AF. Asymptotic and resampling strategies for assessing and comparing indirect effects in multiple mediator models. Behav Res Methods. 2008;40(3):879–91. [DOI] [PubMed] [Google Scholar]
- 53.De Jaegere E, van Landschoot R, van Heeringen K, van Spijker BAJ, Kerkhof A, Mokkenstorm JK, et al. The online treatment of suicidal ideation: a randomised controlled trial of an unguided web-based intervention. Behav Res Ther. 2019;119:103406. [DOI] [PubMed] [Google Scholar]
- 54.van Spijker BAJ, van Straten A, Kerkhof AJFM. Effectiveness of online self-help for suicidal thoughts: results of a randomised controlled trial. PLoS ONE. 2014;9(2). [DOI] [PMC free article] [PubMed]
- 55.van Spijker BA, Werner-Seidler A, Batterham PJ, Mackinnon A, Calear AL, Gosling JA, et al. Effectiveness of a web-based self-help program for suicidal thinking in an Australian Community Sample: Randomized Controlled Trial. J Med Internet Res. 2018;20(2):e15. [DOI] [PMC free article] [PubMed] [Google Scholar]
- 56.Hill RM, Pettit JW. Pilot randomized controlled trial of LEAP: a selective preventive intervention to reduce adolescents’ perceived burdensomeness. J Clin Child Adolesc Psychol. 2019;48(sup1):S45–56. [DOI] [PubMed] [Google Scholar]
- 57.Waller G, Mountford V, Lawson R, Gray E, Cordery H, Hinrichsen H. The key elements of cognitive behavioral therapy and the self-help approach. Beating your eating disorder: a cognitive-behavioral self-help guide for adult sufferers and their carers. Cambridge: Cambridge University Press; 2010. pp. 10–4. [Google Scholar]
- 58.Sander LB, Beisemann M, Doebler P, Micklitz HM, Kerkhof A, Cuijpers P, et al. The effects of Internet-based cognitive behavioral therapy for suicidal ideation or behaviors on Depression, anxiety, and hopelessness in individuals with suicidal ideation: systematic review and Meta-analysis of individual participant data. J Med Internet Res. 2023;25:e46771. [DOI] [PMC free article] [PubMed] [Google Scholar]
- 59.Metz K, Lewis J, Mitchell J, Chakraborty S, McLeod BD, Bjørndal L, et al. Problem-solving interventions and depression among adolescents and young adults: a systematic review of the effectiveness of problem-solving interventions in preventing or treating depression. PLoS ONE. 2023;18(8):e0285949. [DOI] [PMC free article] [PubMed] [Google Scholar]
- 60.Pollak OH, Cheek SM, Rudolph KD, Hastings PD, Nock MK, Prinstein MJ. Social problem-solving and suicidal behavior in adolescent girls: a prospective examination of proximal and distal social stress-related risk factors. J Psychopathol Clin Sci. 2023;132(5):610–20. [DOI] [PubMed] [Google Scholar]
- 61.Xu E, Wang W, Wang Q. The effectiveness of collaborative problem solving in promoting students’ critical thinking: a meta-analysis based on empirical literature. Humanit Social Sci Commun. 2023;10(1):16. [Google Scholar]
- 62.Xavier A, Otero P, Blanco V, Vázquez FL. Efficacy of a problem-solving intervention for the indicated prevention of suicidal risk in young brazilians: Randomized controlled trial. Suicide Life-Threatening Behav. 2019;49(6):1746–61. [DOI] [PubMed] [Google Scholar]
- 63.Michelson D, Hodgson E, Bernstein A, Chorpita BF, Patel V. Problem solving as an active ingredient in indicated Prevention and Treatment of Youth Depression and anxiety: an integrative review. J Adolesc Health. 2022;71(4):390–405. [DOI] [PubMed] [Google Scholar]
- 64.Noreen S, Dritschel B. The here and now: future thinking and social problem-solving in depression. PLoS ONE. 2022;17(6):e0270661. [DOI] [PMC free article] [PubMed] [Google Scholar]
- 65.Dietz LJ, Marshal MP, Burton CM, Bridge JA, Birmaher B, Kolko D, et al. Social problem solving among depressed adolescents is enhanced by structured psychotherapies. J Consult Clin Psychol. 2014;82(2):202–11. [DOI] [PMC free article] [PubMed] [Google Scholar]
- 66.Shore T, Cohen Kadosh K, Lommen M, Cooper M, Lau JY. Investigating the effectiveness of brief cognitive reappraisal training to reduce fear in adolescents. Cogn Emot. 2017;31(4):806–15. [DOI] [PubMed] [Google Scholar]
- 67.Aldao A. The future of emotion Regulation Research:capturing context. Perspect Psychol Sci. 2013;8(2):155–72. [DOI] [PubMed] [Google Scholar]
- 68.Aldao A, Jazaieri H, Goldin PR, Gross JJ. Adaptive and maladaptive emotion regulation strategies: interactive effects during CBT for social anxiety disorder. J Anxiety Disord. 2014;28(4):382–9. [DOI] [PMC free article] [PubMed] [Google Scholar]
- 69.Robinson J, Bailey E, Witt K, Stefanac N, Milner A, Currier D, et al. What works in youth suicide Prevention? A systematic review and Meta-analysis. eClinicalMedicine. 2018;4:52–91. [DOI] [PMC free article] [PubMed] [Google Scholar]
- 70.Zweben A, Fucito LM, O’Malley SS. Effective strategies for maintaining Research participation in clinical trials. Drug Inf J. 2009;43(4). [DOI] [PMC free article] [PubMed]
- 71.Atwood JR, Haase J, Rees-McGee S, Blackwell G, Giordano L, Earnest D, et al. Reasons related to adherence in community-based field studies. Patient Educ Couns. 1992;19(3):251–9. [DOI] [PubMed] [Google Scholar]
- 72.Zweben A, Barrett D, Berger L, Murray KT. Recruiting and retaining participants in a combined behavioral and pharmacological clinical trial. J Stud Alcohol Supplement. 2005(s15):72–81. [DOI] [PubMed]
Associated Data
This section collects any data citations, data availability statements, or supplementary materials included in this article.
Supplementary Materials
Data Availability Statement
The data that support the findings of this study are not openly available due to reasons of sensitivity and are available from the corresponding author upon reasonable request. Codes for sample size and statistical analyses are provided in the corresponding section.

