Abstract
As virality has become increasingly central in shaping information sources’ strategies, it raises concerns about its consequences for society, particularly when referring to the impact of viral news on the public discourse. Nonetheless, there has been little consideration of whether these viral events genuinely boost the attention received by the source. To address this gap, we analyze content timelines from over 1000 European news outlets from 2018 to 2023 on Facebook and YouTube, employing a Bayesian structural time series model to evaluate the impact of viral posts. Our results show that most viral events do not significantly increase engagement and rarely lead to sustained growth. We identify two primary types of viral effects corresponding to different mechanisms of collective attention response. A ‘loaded-type’ virality manifests after a sustained growth phase, representing its final burst, followed by a decline in attention. A ‘sudden-type’ virality, with news emerging unexpectedly, reactivates the collective response process. Moreover, quick viral effects fade faster, while slower processes lead to more persistent growth. These findings highlight the transient nature of viral events and underscore the importance of consistent, steady attention-building strategies to establish a solid connection with the user base rather than relying on sudden visibility spikes.
Keywords: Social media, Virality, Attention economy
Subject terms: Computational science, Information technology, Statistics
Introduction
The advent and proliferation of social media have fundamentally altered the information landscape1,2. As these platforms have become integrated into our daily lives, transforming into essential tools for information diffusion3,4 and personal communication5, they have merged entertainment-driven business models with complex social dynamics6, raising significant concerns about their potential impact on social dynamics7–11. Offering unprecedented opportunities for content to achieve rapid and widespread attention12,13, social media have become crucial environments for the spread of information and misinformation worldwide14,15, especially during sensitive periods such as global elections16,17.
This complex interplay has resulted in an ecosystem in which information overload is the foremost feature18, considerably complicating the search for information while giving rise to the phenomenon of infodemics19,20, such as for the COVID-19 pandemic. To this effect, evidence in the literature highlights how online users are prone to consume information aligning with their existing beliefs21–25 and commonly ignore opposing viewpoints26,27. In this competitive environment, which stands out for such an unprecedented amount of available content, a wide range of content creators—from news organizations to individual influencers28,29—compete for the limited resource that is users’ attention30–33.
Understanding the attention economy in the digital domain is paramount for navigating this vying information market, whereby the pursuit of virality34, characterized by content’s exceptional reach and engagement, plays a pivotal role in shaping how information sources design their strategies of production and diffusion of content. Though one of the most complex issues is understanding why certain items achieve sudden and widespread dissemination while other similar or higher-quality items remain overlooked35–37, there is substantial agreement in the literature about sentiment polarity and emotional resonance being a critical trigger of virality38,39, particularly with negative emotions and extreme or sensitive content40–42.
As a core feature of this environment, virality naturally presents both opportunities and concerns. The potential to rapidly reach a wider audience is undoubtedly appealing to sources, influencing how the information supply side operates, notably in exploiting the algorithmic peculiarities of each platform. On the other hand, its unpredictability43 and the hurdle of monitoring such a volume of sources and content raise serious concerns about its consequences for society, particularly when referring to viral news and their potential impact on the public discourse.
Against this background, there has been little consideration of whether viral events genuinely boost attention in the short and long term. In today’s online ecosystem, it becomes crucial to understand how collective attention responds to abrupt news diffusion and how sudden spikes of visibility reverberate on the subsequent attention captured by the source. As users’ behavior could exhibit persistent patterns across different platforms, topics, and contexts44, the comparative analysis of diverse social media can isolate unaltered consistencies of human dynamics in the digital ecosystem.
In this perspective, this study aims to enhance our comprehension of collective attention through a data-driven approach by exploring the dynamics of virality and its effects on users’ engagement on different social media platforms. By analyzing data from Facebook and YouTube, we examine attention patterns after viral posts to assess how these events influence users’ interactions over time. In this study, we use a comparative interrupted time-series (CITS) design implemented using a Bayesian structural time series model (BSTS)45 to evaluate the impact of viral posts on users’ engagement. In our approach, we apply the BSTS by using increasingly broader time windows to observe the effect of the same viral event from a short-term to a long-term perspective. Based on the BSTS’s results, we conduct our analysis first by examining the magnitude of the impact and then its temporal dynamics to address the following two research questions.
RQ1: Does virality induce engagement growth?
Our first research question aims to assess whether and how a viral event leads to increased users’ attention received by the source. After that, our second research question aims to analyze the temporal dynamics of these effects to evaluate if the rapidity at which they occur influences their longevity.
RQ2: Do the faster-emerging effects persist longer?
While our first research question basically aims to determine the actual impact of virality and its magnitude, the second analysis focuses on the relationship between the speed of manifestation and the longevity of the effects. This approach will help determine whether effects that emerge more quickly tend to persist longer or, conversely, if they vanish more rapidly than slow-emerging ones. This analysis provides concrete insights into how collective attention responds to sudden stress conditions, like viral news, and to determine whether these events genuinely contribute to sustained growth or merely act as transient spotlights.
Methods
Data collection
We begin by selecting a list of news outlets from NewsGuard46, an organization known for monitoring news outlet activities internationally, rating more than 35,000 news and information sources across several countries. We select all the reported news outlets from Germany, France, Italy, and the United Kingdom. NewsGuard provides several categories of descriptive metadata, including the URLs of these news sources’ social media accounts, if available. For Facebook, after identifying all the news outlets with active accounts listed on NewsGuard, we use their Facebook URLs to gather data via CrowdTangle. This Facebook-owned tool monitors interactions on public content from Facebook pages, groups, and verified profiles47. Using the ‘Historical Data’ feature in CrowdTangle, we download the complete content history of each page, starting from January 1, 2018. Similarly, for YouTube, after selecting all available accounts, we use the YouTube Data API48 to collect their list of published content. Given the fewer YouTube channels and videos compared to Facebook, we extend the observation period for YouTube to begin on January 1, 2016.
Table 1 provides an overview of the dataset, detailing the total number of Facebook Pages and YouTube channels used in our analysis for each country, along with their respective number of posts and videos. The longitudinal structure and temporal continuity of these page observations are crucial for evaluating the impact of viral events. Therefore, the resulting dataset is formatted consistently for both platforms, containing chronological information about each posted and accessible item. This naturally excludes any content that may have been removed by users or through platform moderation at the time of download. Note that in what follows, we will refer to both Facebook pages and YouTube channels as (information) sources and to Facebook posts and YouTube videos as either content or posts, specifying the platform in the latter case.
Table 1.
Dataset overview.
| YouTube | ||||
|---|---|---|---|---|
| 2018–2023 | 2016–2023 | |||
| Country | Pages | Posts | Channels | Videos |
| Germany | 263 | 9,633,896 | 242 | 193,153 |
| France | 252 | 8,705,928 | 177 | 204,665 |
| Italy | 384 | 16,259,173 | 234 | 271,183 |
| UK | 227 | 8,751,788 | 105 | 100,794 |
| Total | 1126 | 43,350,785 | 758 | 769,795 |
Defining virality
On social media platforms, virality represents the propensity of content to achieve rapid diffusion and high interactions levels from users34,43. To quantify virality, we use a bivariate approach based on two measures, spreading and interactions. For reasons of occurrence and availability of variables on the different platforms, we first identify the most appropriate metrics to evaluate the above mentioned measures to adapt them to the availability of variables and platform peculiarities, which generally represent the most challenging aspect of working with different social media.
Spreading
For Facebook data, we adopt the metric provided by49, assessing that the suggested measurement works properly with our data. Originally defined on Twitter data, the proposed metric can be applied to any social media platform with equivalent Retweets and Followers metrics. On Facebook, Shares are equivalent to Retweets, representing the number of users sharing certain content. On both platforms, Followers represent the number of users subscribed to a given page at the time of posting. Therefore, on Facebook, we can define the Spreading S of a given post j of a Page i as:
![]() |
1 |
where
indicates the number of Followers of the Page i at time t, i.e. the time of posting.
For YouTube data, we do not have access to the number of Subscribers at the date of posting as well as the number of Shares. Nonetheless, we can define it using the video Views metric, which specifically measures content spreading, being even more suitable for estimating content diffusion on a video-based platform such as YouTube. Therefore, on YouTube, we define the Spreading S of a given video j published by a Channel i at time t as:
![]() |
2 |
Interactions
On Facebook, interactions are measured by the Total Interactions, encompassing the total number of users’ interactions with the post (the sum of Likes, Comments, and Shares). Therefore, on Facebook, we define the Total Interactions TI of a given post j of a Page i as:
![]() |
3 |
where t is the date in which post j appears. Since YouTube does not provide a share count (and consequently its Shares metric), we define the Total Interactions TI of a given video j of a Channel i published at day t as:
![]() |
4 |
Detecting virality
Since we measure virality on social media as an (exceptional) over-performance of content regarding spreading and users’ interactions, to detect it, we first apply a z-score standardization to both
and
for each piece of content j from a source i. The mean
and the standard deviation
employed in the standardization formula are calculated by country and year so that the virality measurement takes into account potential variations of the temporal activity level of the respective country.
On Facebook, a post is considered viral if both its z-scores exceed 3. We set the threshold for YouTube at 2.5 to ensure a comparable number of videos and channels as in Facebook. The distributions of the two z-scores for both platforms are shown in Fig. 1a–h). Dotted lines in panels (a, c, e, g) represent the virality threshold for the displayed metric. The plots (b, d, f, h) zoom-in the distribution’s upper tail of the chart to their left, representing the subset of values that exceed the threshold for the displayed metric (reported on the x-axis), distinguishing between viral content (which surpasses both thresholds) and non-viral content (which exceeds the threshold only in the displayed one). These insets reveal that the subset resulting from the combination of overperformances constitutes a small fraction of the distribution tails, especially on Facebook. Essentially, content may induce high interactions levels without widespread diffusion, or conversely, it may fail to engage users despite extensive reach. We also note that both the Spreading z-scores (panels a, e) display very similar distributions, further indicating that, although with different formulations, both metrics work appropriately as spreading estimators for the relative platform.
Fig. 1.
Distributions of z-scores and viral posts per platform. (a–h) Distributions of Spreading and Interactions z-scores for Facebook (a–d) and YouTube (e–h). Each z-score is calculated with respect to the mean
and the standard deviation
of the respective year and country. Dotted lines represent the virality threshold for the displayed metric. The plots (b,d,f,h) zoom-in the distribution’s upper tail of the chart to their left, displaying the subset of values exceeding the threshold for the given metric (reported on the x-axis), showing its breakdown between viral contents (which exceed the threshold in both metrics) and non-viral ones (hence exceeding the threshold only in the displayed metric). (i) Distributions of viral posts per source, resulting from the virality detection measures, on Facebook and YouTube. Facebook sample sizes: Pages = 663, Posts = 9790; YouTube sample sizes: Channels = 236, Videos = 5879.
Figure 1i presents the distributions of viral posts per source, resulting from the virality detection measures, for Facebook and YouTube. As the Figure shows, despite the differences in sample sizes, both platforms exhibit similar heavy-tailed distributions over different scales reflecting the peculiar dynamics of content virality. If, on the one hand, a limited number of sources succeeded in achieving virality multiple times, it represented a unique or rare event for most of them. These observations further emphasize the exceptional rarity of virality, which reflects the most extreme manifestations of such skewed-distributed phenomena, highlighting the challenges in characterizing it.
Evaluating virality impact
After defining the procedure for detecting viral posts, we delve into our approach for evaluating the impact of viral events on the performance of Facebook pages and YouTube channels. In terms of attention received, we quantify the performance of a given source by calculating its daily engagement. We define the Engagement
of a source i at day t as the sum of the Total Interactions TI [as in Eqs. (3), and (4)] of all its j posts published that day, i.e.:
![]() |
In assessing the total attention a news outlet receives, we interpret higher engagement as indicative of greater user attention, regardless of the number of posts published. This approach is based on the premise that increasing the content volume only results in heightened engagement if the content effectively captures users’ attention. Conversely, high engagement across several posts implies high users’ attention, and calculating its average value would potentially underestimate this effect43.
Our analysis aims to evaluate the after-effects of a viral event on the source’s performance in terms of attention caught. To inspect the attention dynamics following the event, we first assess whether the engagement received significantly changes after it. To detect a significant variation (either positive or negative) on the Engagement
after a viral event, we use a comparative interrupted time-series (CITS) design implemented using a Bayesian structural time series model (BSTS, hereafter)45, which has also been used in previous research50. In our approach, we apply BSTS to each viral event, using time windows associated with n weeks ahead and before, with n
, constructed as follows: for any given n, we exclude the day of the viral post and compare the engagement trend during the n weeks following the event to the expected trend based on the n weeks preceding it—hence, having a windows of
days—and controlling for the presence of other viral posts. Based on the BSTS’s results, we then conduct our analysis to address our two research questions, first examining the magnitude of the impact and then its temporal dynamics.
Results
We first inspect the BSTS’s results, which provide us with a useful initial overview to help delve into the analysis. We start from the premise that each viral post can have a positive, null, or negative effect on the subsequent engagement in the considered time window. To evaluate the effect, we use two variables provided by the BSTS:
the Average Absolute Effect, which indicates whether the impact was positive or negative, along with its magnitude
the statistical significance of the effect, which is captured by the p value
of BSTS at a confidence level
. For the analysis, we set
.
If the effect has no statistical significance at a confidence level
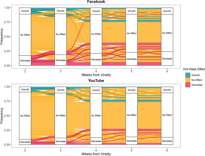
, we consider that virality did not have a discernible impact on users’ engagement—which we refer to as No Effect. Otherwise, if the effect is statistically significant and the observed engagement significantly deviates from the expected trend based on the examined n weeks, we consider that virality had a Growth or Decrease effect on users’ attention as quantified by the Average Absolute Effect. For our analyses, we use the BSTS implementation from the CausalImpact R package51. We begin by examining the proportion of cases that exhibit positive, null, or negative impacts and assess their consistency across various time windows. The results are reported in Fig. 2, which shows the percentage of Growth, No Effect, and Decrease cases on the y-axis for each time scale on the x-axis. The diagram includes links representing the effects flow between consecutive weeks, color-coded according to the first observed effect to maintain a clear visual trajectory through the data stream. A significant observation from this analysis regards the high percentage of cases showing no statistically significant impact on engagement performance. This first finding suggests that virality does not necessarily enhance engagement, as it often results in an indiscernible impact. Secondly, the percentages of Growth and Decrease cases are comparable, with slightly higher occurrences of negative impacts. This suggests that, apart from being infrequent, the impact of a viral event on users’ attention can even be detrimental. Contrary to common expectations34,52,53, virality rarely induces engagement growth. Furthermore, we observe that effects typically emerge or shift between the second and fourth weeks, with the most significant transitions happening from the third to the fourth week. Beyond this period, the consistency of effects is broadly stable. Given the inherently short-term nature of virality, effects observed in larger time scales, such as 5- and 6-week windows, are less likely to be directly attributable to the viral event. In our study, these longer time windows are primarily aimed at assessing the persistence of earlier effects. This allows us to analyze the dynamics from short-term to long-term perspectives in the following sections and distinguish the boundary between these periods.
Fig. 2.
Effects after virality with increasing time windows. The y-axis represents the percentage of Growth, No Effect, and Decrease cases, for each time scale on the x-axis. Links represent the effects flow between consecutive weeks, color-coded according to the first observed effect (i.e., in the 2-week window).
Dynamics of the virality effect on engagement
As our first research question aims to assess whether—and how—a viral event impacts users’ attention received by the source after its occurrence, we now deepen the dynamics of the virality effect on Engagement by focusing exclusively on the Growth and Decrease cases. In Fig. 3, we present the joint density of the slopes of the attention trends preceding the viral posts and the absolute effects on engagement after the event. The ‘Trend Pre Virality’ on the y-axis represents the
coefficient of the regression estimated by the BSTS for the n weeks preceding the viral event. On the x-axis, we show the Average Absolute Effect on Engagement in the examined n-week window after virality, accounting for its previous trend. Figure 3 reports the values for the 2-week window as an example, while SI Fig. 1 shows the results for other timescales on both platforms which display consistent results. As Fig. 3 shows, the density is split into two opposing quadrants: from growth to decrease and from decrease to growth, highlighting a significant negative correlation between the preceding trend and the consequent absolute effect. This dynamic shows consistency on both platforms and across their timescales, as shown in SI Table 1, which reports the Spearman’s correlation coefficients between the
coefficient of the trend preceding virality and the Average Absolute Effect on Engagement.
Fig. 3.
Density of the trend preceding the viral post and the average absolute effect on engagement for the 2-week time window. Trend Pre Virality is the
coefficient of the regression estimated by the BSTS on the weeks preceding virality. Given its previous trend, the average Absolute Effect is the average effect on the Engagement after the viral event. Only events with a statistically significant effect on Engagement are shown.
Therefore, virality positively impacts users’ engagement when occurring as a sudden event on a declining collective attention. Conversely, when virality manifests following a sustained growth phase, it represents the final burst of that growth process, with users’ attention successively standing on lower levels than its previous phase. These results shed light on the bounded yet elastic nature of collective attention. While additional growth following a sustained growth phase is extremely rare, viral events act as a booster when users’ attention is likely to nearing its lower bound, reactivating the collective response process. By focusing on viral news, these results potentially indicate the presence of two different types of viral events. The first is a ‘loaded-type’ virality, where attention progressively increases, culminating in the viral event. This type could occur in scenarios where information is gradually revealed, such as sequences of rumors, confirmations, and official announcements. The second type represents a ‘sudden-type’ virality, with the news emerging unexpectedly as an exogenous event. Based on the release patterns of information, this interpretation could explain the differences between the two types, along with the inverse relationship between the preceding attention pattern and the after-effect of the viral news.
In SI Figs. 2 and 3 we report the results of the BSTS model by using the daily average Engagement instead of its daily sum, assessing the consistency of our results, while SI Table 2 reports the summary of events analyzed by the BSTS model by using the daily sum Engagement and daily average Engagement.
To further characterize such dynamics, we now aim to investigate whether the timing characteristics of the event influence its dynamics of growth and decrease, both in the previous trend and in its after-effect. To do so, we first perform a classification of the viral posts based on two features:
The ‘Viral Time’, indicating the N-th times that the viral post represents achieving virality for its source. For example, if the viral post is the first viral post for the source, its Viral Time will be 1; if it is the tenth, it will be 10, etc.
The Inter-Event Time (IET) between the viral post and the previous one of the same source.
We partition each feature into 3 classes, defined as follows:
Less than 10, from 10 to 50, and more than 50 for the Viral Time.
Less than 48 h, within 2 weeks, and more than 2 weeks for the IET.
In this way, we account for both the proximity of two viral posts and the propensity of the source to reach for virality, at the time of the viral event. Then, in Fig. 4 we reproduce the relationship previously shown in Fig. 3, this time by representing the point color coded according to the initial level of engagement, which is the
coefficient of the regression estimated by the BSTS for the n weeks preceding the viral event. As in Fig. 3, we use the results of the 2-week time window and represent only the events with a statistically significant effect.
Fig. 4.
Classification of viral events based on: Viral Time of the viral post (on rows, indicated by the upper label) and Inter-Event Time (IET) from the previous viral post (on columns, indicated by the lower label). Points are color coded according to the Starting Engagement Level, which is the
coefficient of the regression estimated by the BSTS for the n weeks preceding the viral event. Points represent the model results using the 2-week time window, only events with a statistically significant effect on Engagement are shown.
As Fig. 4 shows, such dynamics display consistency and invariance anew, also according to current timing characteristics. Firstly, we note how it is less likely for pages with less than ten viral posts to experience a viral post within 48 h from the previous one. Similarly, it is less likely to experience it more than 2 weeks apart for pages with more than 50 viral times. Apart from these two reasonably expected and inherent differences, the dynamics are reproduced consistently and with similar numbers in all the feature combinations. Moreover, a noteworthy insight is represented by the lower starting Engagement displayed by viral posts with increasing trends and negative after-effects, compared to their counterparts, which instead show higher starting levels. This upshot further agrees with the previously evidenced bounded and elastic behaviors of collective attention. When the viral event follows a sustained growth phase starting from a low-attention level, such growth is unlikely to persist after the event, which will represent its final burst of attention. Conversely, viral events are confirmed to act as a booster when users’ attention is previously decreasing, even more so whether it starts from high initial levels, reactivating the collective response process. Ultimately, our results highlight how virality exhibits invariant dynamics of collective attention mechanisms, which reproduce consistently also regarding timing traits of the event.
For a further perspective, we also assess such consistency regarding content type characteristics. In this case, we only perform this analysis on Facebook since all YouTube content is exclusively videos. These results are reported in SI Fig. 4, representing the distributions of content types for the whole dataset and the subsample of viral posts (panel a), the distributions of the Average Absolute Effects per content type (panel b), and its previously mentioned relationship with the Trend Pre Virality per content type (panel c). In this case, we find consistency and invariance of such attention patterns also regarding content characteristics rather than explanatory factors of growth or decline, ultimately indicating how virality is a phenomenon primarily tied to the attention mechanisms of users rather than content features.
Emergence and persistency of the virality effect
To conclude our investigation of virality dynamics, we aim to examine the relationship between the speed at which effects manifest and their persistency over time. By using increasingly wider time windows, we can observe the effect of the same viral event from a short-term to a long-term perspective. For each detected effect, its emergence and its subsequent persistency can be determined through a classification based on the output from the BSTS model.
For each viral post j of a page i, we define the time of emergence
of its effect:
![]() |
5 |
as the smallest time window during which a Growth or Decrease effect manifests, where
is the p value of BSTS applied to the associated n-week time window. Similarly, the fade-out time,
, is identified as the earliest time window in which the previously detected effect no longer manifests, i.e.,
![]() |
6 |
We notice that the sets associated to the definitions of
and
are not empty in the cases treated in this paper. Notice also that the
’s lead to a partition of the collection of the posts with the related pages. Specifically, fixed
, we define
![]() |
7 |
![]() |
8 |
We define the persistency
as the fraction of posts still having persistent effects at a given week h after their emergence time k, i.e.,
![]() |
9 |
where
is the cardinality of set
, for each k
and h
.
Hence, we evaluate the effect’s decay by calculating the fraction of still persistent effects after each week, grouped by their time of emergence. For instance, over the total number of cases where the impact appears 2 weeks after virality, we calculate the proportion of persistent effects in the 3rd, 4th, 5th, and 6th week. This method allows us to derive the effect’s decay curve for each time of emergence k
.
At this stage, we are able to observe the persistency rate up to a minimum of 2 weeks after the viral event. By fitting a negative exponential function of k and power law in h, we can estimate the variation of the exponent of the decay curves based on their time of emergence k as:
![]() |
10 |
This procedure allows us to describe the decay behavior of the effects based on their emergence time and to extend it to their unobservable earlier phases as if we approach them asymptotically.
The results of the fitting procedure are reported in Table 2, while Fig. 5 shows the graphical representation of the decay curves for each emergence time. Solid lines represent the estimated decay for the observed curves—from the 2nd week to the 5th week of emergence time—along with their observed persistency. The dotted lines represent the corresponding extrapolated decay curves for 0 and 1 week after virality as emergence time. The curves representing extrapolations inherently involve higher uncertainty and should be considered useful asymptotic approximations for understanding the dynamics during their unobservable phases.
Table 2.
Paramaters estimation.
| Platform | Parameter | Estimate | Std. error | p value |
|---|---|---|---|---|
![]() |
1.03 | 0.04 | < 0.001 | |
![]() |
9.40 | 1.12 | < 0.001 | |
| YouTube | ![]() |
1.21 | 0.05 | < 0.001 |
| YouTube | ![]() |
11.43 | 1.89 | < 0.001 |
Fig. 5.
Persistency of the virality effect based on its time of emergence. Solid lines represent the estimated decay for the observed curves—from the 2nd week to the 5th week of emergence time—along with their observed values. The dotted lines represent the corresponding extrapolated decay curves for 0 and 1 week after virality as emergence time.
According to the estimations, in about 50% of cases, the impact either fades out within the first week following the viral event or does not occur. Moreover, the data consistently show that earlier emergences of viral impacts are associated with faster decay across both platforms. This indicates that faster processes tend to fade quicker, while slower ones exhibit more persistence. This finding highlights the elastic nature of collective attention when stretched to its limits. The volatile and fluctuating nature of attention prevents it from being steadily focused, resulting in a trade-off between the rapidity of the effect and its durability. These observations have critical implications for content producers in the digital realm, underscoring a clear distinction between short-term and long-term dynamics of collective attention. From a probabilistic perspective, sudden and disproportionate growth is rare and seldom leads to a noticeable positive impact on engagement. Even when it occurs, its effects tend to fade away swiftly. Conversely, organic and sustained growth, though slower to manifest, tends to have more enduring effects. This contrast emphasizes the transient nature of viral events compared to the lasting effectiveness of consistent engagement, highlighting the importance of gradual and continuous attention-building strategies rather than relying on abrupt surges of visibility.
Discussion
This study examines how viral events affect users’ engagement on social media platforms and the relationship between their emergence and subsequent persistency. Our findings highlight collective attention’s bounded and elastic nature under sudden stress conditions, such as viral events, and have significant implications for the information sources ecosystem in the digital domain, challenging the common assumption that virality regularly enhances user engagement.
Our analysis reveals that viral events rarely lead to engagement growth, suggesting that the frantic pursuit of sudden visibility is often unproductive. As the virality effect usually depends on the engagement trend preceding the viral post, typically reversing it, we identify two primary types of virality, each corresponding to a different mechanism of collective attention response. The first type, ‘loaded-type virality,’ is characterized by a gradual increase of engagement that culminates in a final burst of attention in the viral event. The second type, ‘sudden-type virality,’ occurs when news emerges unexpectedly, similar to an exogenous event, and is the only scenario in which virality enhances users’ engagement, reactivating the collective response process. Regardless of whether the impact is positive or negative, our findings indicate that effects emerging more quickly tend to fade faster, while slower-emerging processes are more persistent over time. As well as being extremely rare, virality does not turn out to be an effective long-term growth strategy.
The rapid dissipation of viral impacts illustrates the volatility and fluctuation of collective attention. The resulting trade-off between the rapidity of an impact’s emergence and its lasting presence further emphasizes the critical role of content producers and their challenges in capturing and maintaining users’ engagement. These insights underscore the advantages of establishing a solid and enduring connection with the user base through organic and continued growth strategies rather than mainly aiming for transient—and episodic—viral spikes. In conclusion, although virality can temporarily surge users’ attention, its effects are usually short-lived, making the frantic pursuit of sudden visibility an often fruitless strategy.
Consequently, this evidence brings significant implications for stakeholders and policymakers in understanding collective online behavior, which could help shape the guidelines for monitoring the evolution of potentially sensitive or harmful content. As viral events exhibit such erratic and transient connotations, focusing solely on them and their forecasting could be costly and inefficient, while monitoring topics showing long-term trends should be less problematic and more effective.
This work also presents some limitations. Without having a temporal granularity that allows us, we can not evaluate the Interactions or Spreading evolution over time for each post, only relying on their final value. Nonetheless, our approach relies on the fact that posts on social media generally exhibit a lifetime of 24–48 h27,54–57. Moreover, since our analysis focuses on news items, which inherently have a limited time reference, a total value should represent an equivalent measurement for each post without representing a distortion towards older ones, considering that it is unlikely that users would interact with old news after long periods.
The findings of this study are specifically tied to the platforms analyzed, the type of pages examined, and the period considered. Although the results are consistent with general human dynamics observed in other collective attention studies, they cannot be generalized across all social media platforms. Each platform has distinct user bases and algorithmic characteristics that influence how content is spread and engages users. Additionally, the specificity of the sources analyzed—news outlets—and their content type must be considered. Focusing exclusively on news items offers the advantage of dealing with content inherently tied to specific topics or events, providing a concrete subject matter. However, the dynamics and peculiarities of the news agenda mean that these results may not necessarily apply to the broader spectrum of content creators. Future research should explore various social media platforms and content types to understand better the dynamics of virality and collective attention across different contexts. A more comprehensive picture of how virality functions in the digital landscape can be developed by expanding the study to include a different range of contents and creators.
Future research could further explore the impact of factors such as contextual relevance and emotional resonance on users’ perceptions during viral events, employing both qualitative and quantitative methods. Sentiment analysis of user activity may offer valuable insights into the emotional dynamics driving viral diffusion. Additionally, a cross-platform approach leveraging audience demographics could enhance our understanding of user preferences. The analysis of multimodal data, such as videos and images, would also provide deeper insights into the spreading and engagement mechanisms of diverse content within the digital ecosystem.
Supplementary Information
Author contributions
E.S. and M.C. designed the research; E.S., N.D.M. and G.E. gathered and analysed the data; M.C., R.C. and W.Q. supervised the project, all authors wrote the paper.
Data availability
We are unable to share the raw data obtained from CrowdTangle47. From August 2024, CrowdTangle services have been substituted by Meta Content Library and Content Library API, to which researchers can obtain access upon request. For further information, see https://developers.facebook.com/docs/content-library-and-api/get-access. We are open to provide YouTube data and code upon request to assess the reproducibility of our work.
Declarations
Competing interests
The authors declare no competing interest.
Footnotes
Publisher’s note
Springer Nature remains neutral with regard to jurisdictional claims in published maps and institutional affiliations.
Supplementary Information
The online version contains supplementary material available at 10.1038/s41598-024-84960-6.
References
- 1.Schmidt, A. L. et al. Anatomy of news consumption on Facebook. Proc. Natl. Acad. Sci.114, 3035–3039 (2017). [DOI] [PMC free article] [PubMed] [Google Scholar]
- 2.Bergström, A. & Belfrage, M. J. News in social media. Digit. Journal.6, 583–598 (2018). [Google Scholar]
- 3.Pentina, I. & Tarafdar, M. From, “information’’ to “knowing’’: Exploring the role of social media in contemporary news consumption. Comput. Hum. Behav.35, 211–223 (2014). [Google Scholar]
- 4.Levy, R. Social media, news consumption, and polarization: Evidence from a field experiment. Am. Econ. Rev.111, 831–870 (2021). [Google Scholar]
- 5.Boase, J. Personal networks and the personal communication system: Using multiple media to connect. Inf. Commun. Soc.11, 490–508 (2008). [Google Scholar]
- 6.Bail, C. Breaking the Social Media Prism: How to Make Our Platforms Less Polarizing (Princeton University Press, 2022). [Google Scholar]
- 7.Flaxman, S., Goel, S. & Rao, J. M. Filter bubbles, echo chambers, and online news consumption. Public Opin. Q.80, 298–320 (2016). [Google Scholar]
- 8.Del Vicario, M. et al. Echo chambers: Emotional contagion and group polarization on Facebook. Sci. Rep.6, 37825 (2016). [DOI] [PMC free article] [PubMed] [Google Scholar]
- 9.Terren, L. T. L. & Borge-Bravo, R.B.-B.R. Echo chambers on social media: A systematic review of the literature. Rev. Commun. Res.9, 99 (2021). [Google Scholar]
- 10.Cinelli, M., De Francisci Morales, G., Galeazzi, A., Quattrociocchi, W. & Starnini, M. The echo chamber effect on social media. Proc. Natl. Acad. Sci.118, e2023301118 (2021). [DOI] [PMC free article] [PubMed] [Google Scholar]
- 11.Falkenberg, M. et al. Growing polarization around climate change on social media. Nat. Clim. Change12, 1114–1121 (2022). [Google Scholar]
- 12.Mocanu, D., Rossi, L., Zhang, Q., Karsai, M. & Quattrociocchi, W. Collective attention in the age of (mis)information. Comput. Hum. Behav.51, 1198–1204 (2015). [Google Scholar]
- 13.Alipour, S. et al. The drivers of global news spreading patterns. Sci. Rep.14, 1519 (2024). [DOI] [PMC free article] [PubMed] [Google Scholar]
- 14.Del Vicario, M. et al. The spreading of misinformation online. Proc. Natl. Acad. Sci.113, 554–559 (2016). [DOI] [PMC free article] [PubMed] [Google Scholar]
- 15.Bovet, A. & Makse, H. A. Influence of fake news in Twitter during the 2016 US presidential election. Nat. Commun.10, 7 (2019). [DOI] [PMC free article] [PubMed] [Google Scholar]
- 16.Allcott, H. et al. The effects of Facebook and Instagram on the 2020 election: A deactivation experiment. Proc. Natl. Acad. Sci.121, e2321584121 (2024). [DOI] [PMC free article] [PubMed] [Google Scholar]
- 17.Pecile, G., Di Marco, N., Cinelli, M. & Quattrociocchi, W. Mapping the global election landscape on social media in 2024. arXiv preprint arXiv:2406.04962 (2024).
- 18.Bawden, D. & Robinson, L. Information overload: An overview. In Oxford Encyclopedia of Political Decision Making (Oxford University Press, 2020).
- 19.Cinelli, M. et al. The Covid-19 social media Infodemic. Sci. Rep.10, 1–10 (2020). [DOI] [PMC free article] [PubMed] [Google Scholar]
- 20.Briand, S. C. et al. Infodemics: A new challenge for public health. Cell184, 6010–6014 (2021). [DOI] [PMC free article] [PubMed] [Google Scholar]
- 21.Cinelli, M. et al. Selective exposure shapes the Facebook news diet. PLoS ONE15, e0229129 (2020). [DOI] [PMC free article] [PubMed] [Google Scholar]
- 22.Thorson, K., Cotter, K., Medeiros, M. & Pak, C. Algorithmic inference, political interest, and exposure to news and politics on Facebook. Inf. Commun. Soc.24, 183–200 (2021). [Google Scholar]
- 23.Ekström, A. G., Niehorster, D. C. & Olsson, E. J. Self-imposed filter bubbles: Selective attention and exposure in online search. Comput. Hum. Behav. Rep.7, 100226 (2022). [Google Scholar]
- 24.González-Bailón, S. et al. Asymmetric ideological segregation in exposure to political news on Facebook. Science381, 392–398 (2023). [DOI] [PubMed] [Google Scholar]
- 25.Di Marco, N., Cinelli, M., Alipour, S. & Quattrociocchi, W. Users volatility on reddit and Voat. IEEE Trans. Comput. Soc. Syst.11, 1–9 (2024). [Google Scholar]
- 26.Zollo, F. et al. Debunking in a world of tribes. PLoS ONE12, e0181821 (2017). [DOI] [PMC free article] [PubMed] [Google Scholar]
- 27.Bessi, A. et al. Science vs conspiracy: Collective narratives in the age of misinformation. PLoS ONE10, e0118093 (2015). [DOI] [PMC free article] [PubMed] [Google Scholar]
- 28.Bakshy, E., Rosenn, I., Marlow, C. & Adamic, L. The role of social networks in information diffusion. In Proceedings of the 21st International Conference on World Wide Web 519–528 (2012).
- 29.Flamino, J. et al. Political polarization of news media and influencers on Twitter in the 2016 and 2020 US presidential elections. Nat. Hum. Behav.7, 904–916 (2023). [DOI] [PMC free article] [PubMed] [Google Scholar]
- 30.Falkinger, J. Limited attention as a scarce resource in information-rich economies. Econ. J.118, 1596–1620 (2008). [Google Scholar]
- 31.Bell, G., Hey, T. & Szalay, A. Beyond the data deluge. Science323, 1297–1298 (2009). [DOI] [PubMed] [Google Scholar]
- 32.Anderson, S. P. & De Palma, A. Competition for attention in the information (overload) age. RAND J. Econ.43, 1–25 (2012). [Google Scholar]
- 33.Lorenz-Spreen, P., Mønsted, B. M., Hövel, P. & Lehmann, S. Accelerating dynamics of collective attention. Nat. Commun.10, 1759 (2019). [DOI] [PMC free article] [PubMed] [Google Scholar]
- 34.Al-Rawi, A. Viral news on social media. Digit. Journal.7, 63–79 (2019). [Google Scholar]
- 35.Berger, J. & Milkman, K. L. What makes online content viral? J. Market. Res.49, 192–205 (2012). [Google Scholar]
- 36.Guerini, M. & Strapparava, C. Why do urban legends go viral? Inf. Process. Manag.52, 163–172 (2016) (Emotion and Sentiment in Social and Expressive Media). [Google Scholar]
- 37.Rathje, S., Robertson, C., Brady, W. J. & Van Bavel, J. J. People think that social media platforms do (but should not) amplify divisive content. Perspect. Psychol. Sci.19, 17456916231190392 (2023). [DOI] [PubMed] [Google Scholar]
- 38.Etta, G. et al. Characterizing engagement dynamics across topics on Facebook. PLoS ONE18, e0286150 (2023). [DOI] [PMC free article] [PubMed] [Google Scholar]
- 39.Maarouf, A., Pröllochs, N. & Feuerriegel, S. The virality of hate speech on social media. Proc. ACM Hum. Comput. Interact.8, 1–22 (2024).39286336 [Google Scholar]
- 40.Rathje, S., Van Bavel, J. J. & Van Der Linden, S. Out-group animosity drives engagement on social media. Proc. Natl. Acad. Sci.118, e2024292118 (2021). [DOI] [PMC free article] [PubMed] [Google Scholar]
- 41.Solovev, K. & Pröllochs, N. Moral emotions shape the virality of Covid-19 misinformation on social media. Proc. ACM Web Conf.2022, 3706–3717 (2022). [Google Scholar]
- 42.Watson, J., Van Der Linden, S., Watson, M. & Stillwell, D. Negative online news articles are shared more to social media. Sci. Rep.14, 21592 (2024). [DOI] [PMC free article] [PubMed] [Google Scholar]
- 43.Sangiorgio, E., Cinelli, M., Cerqueti, R. & Quattrociocchi, W. Followers do not dictate the virality of news outlets on social media. PNAS Nexus3, 257 (2024). [DOI] [PMC free article] [PubMed] [Google Scholar]
- 44.Avalle, M. et al. Persistent interaction patterns across social media platforms and over time. Nature628, 582–589 (2024). [DOI] [PMC free article] [PubMed] [Google Scholar]
- 45.Scott, S. L. & Varian, H. R. Predicting the present with Bayesian structural time series. Int. J. Math. Model. Numer. Optim.5, 4–23 (2014). [Google Scholar]
- 46.NewsGuard. Newsguard (2024). https://www.newsguardtech.com.
- 47.CrowdTangle. Crowdtangle. CrowdTangle Team (Facebook, Menlo Park, 2024).
- 48.YouTube. Youtube data api (2024). https://developers.google.com/youtube/v3.
- 49.Elmas, T., Stephane, S. & Houssiaux, C. Measuring and detecting virality on social media: The case of Twitter’s viral tweets topic. Companion Proc. ACM Web Conf.2023, 314–317 (2023). [Google Scholar]
- 50.Trujillo, A. & Cresci, S. Make reddit great again: Assessing community effects of moderation interventions on r/the_donald. Proc. ACM Hum. Comput. Interact.6, 1–28 (2022).37360538 [Google Scholar]
- 51.Brodersen, K. H., Gallusser, F., Koehler, J., Remy, N. & Scott, S. L. Inferring causal impact using Bayesian structural time-series models. Ann. Appl. Stat.9, 247–274 (2015). [Google Scholar]
- 52.Tellis, G. J., MacInnis, D. J., Tirunillai, S. & Zhang, Y. What drives virality (sharing) of online digital content? The critical role of information, emotion, and brand prominence. J. Market.83, 1–20 (2019). [Google Scholar]
- 53.Malodia, S., Dhir, A., Bilgihan, A., Sinha, P. & Tikoo, T. Meme marketing: How can marketers drive better engagement using viral memes? Psychol. Market.39, 1775–1801 (2022). [Google Scholar]
- 54.Asur, S., Huberman, B. A., Szabo, G. & Wang, C. Trends in social media: Persistence and decay. In Proceedings of the International AAAI Conference on Web and Social Media 434–437, Vol. 5 (2011).
- 55.Weng, L., Flammini, A., Vespignani, A. & Menczer, F. Competition among memes in a world with limited attention. Sci. Rep.2, 335 (2012). [DOI] [PMC free article] [PubMed] [Google Scholar]
- 56.Ciampaglia, G. L., Flammini, A. & Menczer, F. The production of information in the attention economy. Sci. Rep.5, 9452 (2015). [DOI] [PMC free article] [PubMed] [Google Scholar]
- 57.Quattrociocchi, W., Scala, A. & Sunstein, C. R. Echo chambers on Facebook. Available at SSRN 2795110 (2016).
Associated Data
This section collects any data citations, data availability statements, or supplementary materials included in this article.
Supplementary Materials
Data Availability Statement
We are unable to share the raw data obtained from CrowdTangle47. From August 2024, CrowdTangle services have been substituted by Meta Content Library and Content Library API, to which researchers can obtain access upon request. For further information, see https://developers.facebook.com/docs/content-library-and-api/get-access. We are open to provide YouTube data and code upon request to assess the reproducibility of our work.




















