Abstract
Background
Long-term survival can be achieved in patients with localized prostate cancer (PCa). Therefore, maintenance of postoperative quality of life (QOL) and treatment satisfaction are important. Although longitudinal changes in disease-specific QOL are reported, there are few studies investigating which factors longitudinally affect treatment satisfaction in patients who undergo robot-assisted radical prostatectomy (RARP). Therefore, we examined the factors associated with treatment satisfaction over the first 12 months postoperatively based on an assessment using a patient-reported questionnaire.
Methods
Of the 612 consecutive patients who underwent RARP, 408 patients were enrolled in this study and divided into a satisfied group and a non-satisfied group at every evaluation timepoint. Multivariate logistic regression analysis was conducted to clarify factors affecting the postoperative treatment satisfaction between the two groups.
Results
Multivariate logistic regression analysis revealed that factors relating to treatment satisfaction had longitudinally changed. Urinary bother (UB) (odds ratio (OR) = 1.023; p = 0.008), and sexual function (SF) (OR = 0.941; p = 0.004) were the significant factors associated with treatment satisfaction at 1 month postoperatively; UB (OR = 1.040; p = 0.001) and sexual bother (SB) (OR = 1.019; p < 0.001) at 3 months; urinary function (UF) (OR = 1.027; p = 0.008), UB (OR = 1.035; p = 0.011), SB (OR = 1.013; p = 0.009), and hormonal bother (HB) (OR = 1.065; p = 0.023) at 6 months; UF (OR = 1.026; p = 0.008), UB (OR = 1.030; p = 0.029), and SB (OR = 1.014; p = 0.004) at 9 months; UF (OR = 1.024; p = 0.002) at 12 months.
Conclusions
Treatment satisfaction in patients who underwent RARP changed over time. Our results suggest that giving sufficient information before treatment choice is both important and useful for patients’ decision-making, leading to improved patient QOL.
Keywords: Expanded prostate Cancer Index Composite, Quality of life, Robot-assisted radical prostatectomy, Treatment satisfaction
Background
Long-term survival with a life expectancy more than 10 years can be achieved in patients diagnosed with localized prostate cancer (PCa). Therefore, maintaining postoperative quality of life (QOL) and treatment satisfaction are important. In Japan, robot-assisted radical prostatectomy (RARP) has been widely performed, as in many other countries around the world, as a treatment for localized PCa. Systematic reviews and meta-analyses have revealed that RARP is superior to open or laparoscopic radical prostatectomy (RP) in terms of postoperative physiological recovery with respect to urinary incontinence and sexual dysfunction [1–3]. However, even with robot-assisted surgery, postoperative disease-specific QOL and treatment satisfaction have not been sufficiently improved.
Previous studies have focused on the factors affecting postoperative treatment satisfaction and/or regret. Lindsay et al. demonstrated that higher regret was observed in around one third of patients and was associated with worse disease-specific QOL and sexual function measures after RARP [4]. Another study reported that urinary bother (UB) was the independent factor influencing treatment satisfaction after RARP [5].
The longitudinal time course and the degree of disease-specific QOL recovery are reported to vary by the kinds of functional and bother domains [6]. For example, the urinary domain immediately deteriorates with RP, but then improves with time. On the other hand, sexual function, which is worsened postoperatively, rarely improves [6, 7]. Thus, factors affecting treatment satisfaction are also expected to change with time. However, to the best of our knowledge, there are few studies investigating the longitudinal changes in factors that affect treatment satisfaction in patients following RARP. Therefore, this study examined longitudinal treatment satisfaction changes based on an assessment by patient-reported questionnaire.
Methods
Patients
The participants in this prospective observational clinical cohort study were 612 consecutive patients who underwent RARP at Fukushima Medical University Hospital, Fukushima, Japan between April 2013 and May 2020. Technical supervision was done by Y.K. For RARP, a combination of posterior and anterior intraperitoneal approaches and early exposure of the seminal vesicles and vasa deferentia were carried out using a four-arm da Vinci Si surgical system (Intuitive Surgical Incorporation, Sunnyvale, CA, USA). The indwelling urethral catheter was typically removed on postoperative day 6–7.
Evaluation of disease-specific QOL before and after RARP
Patients were asked to answer the Japanese version of the Expanded Prostate Cancer Index Composite (EPIC) questionnaire, which was hand-delivered, by nurses or outpatient clinicians preoperatively and at 1, 3, 6, 9, and 12 months postoperatively as we previously reported [8]. The EPIC questionnaire is a robust, self-administered, and validated questionnaire that is designed to evaluate PCa-specific QOL [9]. The Japanese version of EPIC has also been validated and used as an indicator to measure disease-specific QOL for large-scale studies in Japan [6, 10]. It consists of 50 items comprising urinary, bowel, sexual, and hormonal domains. Each domain is further comprised of function and bother subdomains, respectively. Treatment satisfaction is evaluated based on the question, “Overall, how satisfied are you with the prostate treatment you received?” Based on this question, satisfaction status is expressed on a five-point Likert scale ranging from “extremely dissatisfied” to “extremely satisfied”. These answers are then converted to scores of 0, 25, 50, 75, or 100. All EPIC scores, including treatment satisfaction, range from 0 to 100, with higher scores indicating better disease-specific QOL. With regard to satisfaction, the question asked about satisfaction with the PCa treatment that patients had already received. Therefore, in this study, the satisfaction score before RARP was excluded because patients had not yet received any treatment.
Data collection
Of the 612 patients, one patient in whom RARP was converted to open surgery due to severe adhesion to the rectum and 35 patients who received salvage and/or adjuvant therapies such as radiotherapy or hormonal therapy within 12 months after RARP were excluded. In addition, 4 patients who stopped visiting our outpatient clinic within 12 months after RARP and 164 patients who had not responded at least once in all postoperative evaluation timepoints regarding satisfaction were excluded. Finally, a total of 408 patients were therefore analyzed in this study.
At each follow-up timepoint, patients who indicated a score of 75 or 100 were classified into the satisfied group, whereas patients who showed a score of 0, 25, or 50 were classified into the non-satisfied group (Fig. 1).
Fig. 1.
Flow chart of patient selection. Of the 612 consecutive patients who underwent RARP, 563 patients were enrolled to this study and divided into a satisfied group and a non-satisfied group at every time point. RARP, robot-assisted radical prostatectomy; EPIC, Expanded Prostate Cancer Index Composite
To investigate the factors related to treatment satisfaction, the following preoperative, perioperative, and postoperative parameters were retrieved from the electronic health record system at our hospital: patient age at surgery, initial prostate-specific antigen (iPSA) values, neoadjuvant hormonal therapy (NHT) or not, body mass index (BMI), HbA1c values, clinical T stage, biopsy Gleason score (GS), D’Amico risk classification, nerve-sparing or not, console time, and resected prostate weight.
This study was reviewed and approved by the Ethics Committee of Fukushima Medical University (clinical approval no. C-T2023-0258).
Statistical analysis
Age at surgery, initial PSA values, BMI, HbA1c values, resected prostate weight, and EPIC scores were presented as median with data range (minimum to maximum). The Friedmann test for multiple comparison was applied to verify whether longitudinal changes in EPIC scores showed any significant differences among 6 evaluation periods. Logistic regression analysis was performed as a multivariate analysis. Parameters that were reported or considered to be clinically relevant were used as dependent variables. Statistical analyses were performed using STATCEL® version 3 software (add-in software for Microsoft Excel; OMS Publishing Inc., Saitama, Japan) or SPSS® software package version 26 for Windows® (Statistical Package for Social Science, Chicago, IL). Values of p < 0.05 were considered statistically significant.
Results
Patient characteristics
Table 1 shows the patient characteristics in this cohort (n = 408). Median age at surgery was 67.5 years and the median initial PSA value was 7.3 ng/mL. In this study, 65 patients (15.9%) received NHT. Uni- or bilateral nerve-sparing surgery was performed in 108 patients (26.5%).
Table 1.
Medical characteristics of study patients. BMI, body mass index; PSA, prostate-specific antigen; NHT, neoadjuvant hormonal therapy

Longitudinal changes in EPIC sub-domain and satisfaction scores
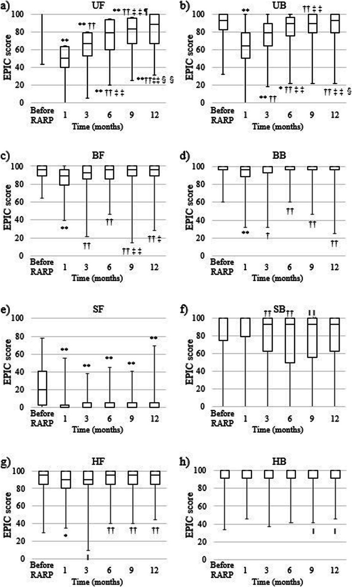
Figure 2 shows the longitudinal changes in EPIC subdomain scores for all patients. The median score for urinary function (UF) before RARP was 100. The UF score worsened immediately postoperatively. It gradually recovered, but it had not reached the same level as the preoperative score by 12 months after surgery (Fig. 2a). Similarly, the UB score also significantly got worse at 1 month after RARP. However, UB at 9 and 12 months after RARP recovered to the baseline level (Fig. 2b). Scores for bowel function (BF) and bowel bother (BB) were significantly decreased at 1 month postoperatively and gradually increased following that (Fig. 2c and d). As for sexual function (SF), it was already low preoperatively, and statistically significant improvement was not observed after RARP (Fig. 2e). Sexual bother (SB) score at 3, 6, and 9 months postoperatively was significantly worse than that at 1 month postoperatively (Fig. 2f). Hormonal function (HF) scores were slightly decreased 1 month postoperatively. It showed statistically significant improvement by 12 months postoperatively (Fig. 2g). Postoperative hormonal bother (HB) scores did not show significant differences compared with those at baseline (Fig. 2h).
Fig. 2.
Longitudinal changes of EPIC questionnaire scores in this cohort. Vertical axes range from 0 to 100, with higher scores representing better outcome. EPIC, expanded prostate cancer index; UF, urinary function; UB, urinary bother; SF, sexual function; SB, sexual bother; HF, hormonal function; HB, hormonal bother. ** p < 0.001, * p < 0.005, vs. before RARP, †† p < 0.001, † p < 0.005, ǁ ǁ p < 0.01, ǁ p < 0.05, vs. 1 month, ‡ ‡ p < 0.001, ‡ p < 0.005, vs. 3 months, §§ p < 0.001, § p < 0.005, ¶ p < 0.05, vs. 6 months
Factors related to the satisfaction at each postoperative evaluation timepoint
As shown in Table 2, multivariate logistic regression analysis revealed that factors significantly relating to treatment satisfaction had changed with time. UB (odds ratio (OR) = 1.024; 95% confidence interval (CI) = 1.007–1.041; p < 0.001) and SF (OR = 0.944; 95% CI = 0.906–0.984; p = 0.004) were the significant factors associated with treatment satisfaction at 1 month postoperatively; UB (OR = 1.041; 95% CI = 1.018–1.065; p < 0.001) and SB (OR = 1.018; 95% CI = 1.008–1.028; p < 0.001) at 3 months; UF (OR = 1.026; 95% CI = 1.006–1.046; p = 0.01), UB (OR = 1.036; 95% CI = 1.009–1.064; p = 0.009), SB (OR = 1.012; 95% CI = 1.003–1.022; p = 0.009), and HB (OR = 1.064; 95% CI = 1.009–1.123; p = 0.023) at 6 months; UF (OR = 1.028; 95% CI = 1.009–1.047; p = 0.004) and SB (OR = 1.013; 95% CI = 1.003–1.022; p = 0.009) at 9 months; and UF (OR = 1.019; 95% CI = 1.001–1.038; p = 0.036) at 12 months. Age, BMI, NHT or not, nerve-sparing or not, resected prostate weight, BF, BB, and HF were not significantly associated with treatment satisfaction at all postoperative evaluation timepoints.
Table 2.
Factors influencing patient satisfaction after robot-assisted radical prostatectomy: A multivariate logistic regression analysis. OR, odds ratio; CI, confidence interval; BMI, body mass index; NHT, neoadjuvant hormonal therapy; UF, urinary function; UB, urinary bother; BF, bowel function; BB, bowel bother; SF, sexual function; SB, sexual bother; HF, hormonal function; HB, hormonal bother
Discussion
The purpose of this study was to clarify the longitudinal changes in disease-specific QOL and treatment satisfaction in patients who underwent RARP. First of all, we observed that the postoperative changes of disease-specific QOL greatly differed depending on the EPIC subdomain. Furthermore, we demonstrated that factors affecting longitudinal postoperative treatment satisfaction differed depending on the time of evaluation.
In this study, scores of UF and UB worsened immediately posoperatively and gradually improved over the course of about 12 months after RARP. These results are consistent with the results reported in previous studies [5, 11]. In the present study, both BF and BB scores significantly worsened at 1 month postoperatively compared with those at baseline (p < 0.001 for both) and then gradually improved. The EPIC bowel domain is mainly meant to evaluate the impact of radiotherapy on QOL [12]. While patients who received radiotherapy were not included in this cohort, intrapelvic surgery can cause bowel symptoms. For example, Bishoff et al. examined the incidence of fecal incontinence after radical prostatectomy and reported that fecal incontinence occurred more frequently than previously recognized [13]. The low preoperative SF scores further worsened after RARP and showed no improvement trend up to 12 months postoperatively. The SB score, however, was high preoperatively and did not worsen after RARP. Other studies have reported similar results in Japanese PCa patients who underwent RARP [5, 14]. Nakagawa et al. reported that high HF and HB scores at baseline showed consistently high scores for these parameters up to 12 months following RARP [5]. In their cohort, 16.3% of patients received NHT. Similar to their study, HF and HB also remained high throughout the pre- and postoperative periods in the present study, in which 15.8% of patients received NHT. In summary, disease-specific QOL in this cohort was consistent with those previously reported for Japanese patients who underwent RARP.
In the present study, UF was found to be one of the significant factors influencing treatment satisfaction from 6 to 12 months postoperatively, while UB was proved to be a factor significantly affecting treatment satisfaction from 1 to 6 months postoperatively. Attention has been focused on not only urinary incontinence but other lower urinary tract symptoms (LUTS) as postoperative complications after RP [15, 16]. Even though robot-assisted surgery has made delicate and precise manipulation possible, some patients experience prolonged postoperative LUTS that worsens over time. LUTS other than urinary incontinence or events related to LUTS can also affect QOL and treatment satisfaction. In fact, Nakagawa et al. reported that UB was related to 12-month postoperative treatment satisfaction in Japanese PCa patients evaluated using EPIC [5]. We have also previously reported that the timing of pad exchanges was the most important factor affecting QOL, and the amount of urinary incontinence was not associated with decreased QOL [17]. From another point of view, Schroeck et al. reported that, in the RARP era, patients’ expectations that oncological control will be achieved after RARP and that LUTS will be managed and sexual function will be maintained better than with other surgical modalities are too high [18, 19]. Based on these reports, some patients in this cohort might not be satisfied with their own conditions with respect to LUTS.
In this study, only three patients had an EPIC SF score of 65 or higher, which is the threshold for intact SF as reported in a previous report. Therefore, we included all cases in the analysis without separating them based on preoperative SF [20]. A study of longitudinal postoperative QOL after RP as evaluated using EPIC has shown that sexual domain scores in Japanese patients with PCa are known to have high SB scores despite of low SF scores [21]. Nevertheless, in this study, SB was found to be a significant factor affecting treatment satisfaction from 3 to 9 months postoperatively. Intraoperative nerve preservation is considered to be the most effective treatment for erectile dysfunction (ED), which is a complication of RP, but its effectiveness cannot be said to be sufficient. In recent years, penile rehabilitation for patients with RP-induced ED has received a lot of attention. Nakano et al. showed that significant recovery of postoperative SF was observed in Japanese patients who underwent nerve-sparing RARP following penile rehabilitation with low-dose phosphodiesterase (PDE) 5 inhibitors [22]. Inoue et al. reported that the introduction of low-intensity shock wave therapy (LIESWT) improved SF in Japanese patients who underwent RP [23]. Penile rehabilitation is not offered to patients who have undergone RARP at our hospital. However, if patients obtain information about the effectiveness of penile rehabilitation leading to higher expectations for recovery of sexual function after RARP, SF and SB could be factors affecting treatment satisfaction due to the gap between patient expectations for recovery and their real-life trajectory.
With regard to hormonal domains, this study demonstrated that HB was significantly associated with treatment satisfaction only at 6 months postoperatively. NHT or not was not a significant factor affecting treatment satisfaction, possibly due to the fact that the analysis in this study did not extend to the treatment duration and the type of drugs used for NHT. Murthy et al. reported that serum testosterone concentrations did not always recover to baseline levels even if administration of luteinizing hormone-releasing hormone agonist had been stopped [24]. Pickles et al. stated that completion of hormonal therapy does not necessarily mean that serum testosterone levels immediately improve to pre-treatment levels [25]. Decreased serum testosterone concentrations are known to cause a variety of signs and symptoms including those involving sexual dysfunction, such as decreased libido and ED [26]. We have previously reported that vintage NHT brought about adverse hormonal symptoms after RARP [8]. In general, NHT before RP is not recommended in current guidelines outside of its use in clinical trials [27, 28]. The reason why HB was only significantly related to treatment satisfaction at 6 months postoperatively was uncertain. However, from these results, NHT before RARP should not be recommended from the standpoint of not only oncological outcome, but also patient postoperative satisfaction.
Several limitations to this study should be taken into account. First, factors other than disease-specific QOL as assessed using EPIC were not examined. The financial burden of healthcare negatively affects patient well-being and QOL, especially in the setting of a cancer diagnosis and associated treatment choice. For instance, annual household income was also associated with lower satisfaction scores [29]. Marital or employment status in patients with malignant tumors has also been reported to be related to patient QOL [30, 31]. Moreover, surgical complications are associated with poor QOL [32]. Based on these reports, there is a possibility that patient satisfaction in this cohort might be affected by not only disease-specific QOL but also those social factors. Second, baseline disease-specific QOL was not evaluated to find the factors affecting treatment satisfaction. We have demonstrated that patients with preoperative urinary incontinence had lower urinary QOL scores after RARP [33]. This suggests that baseline conditions can affect postoperative QOL and treatment satisfaction. Third, the follow-up duration was relatively short. Trends toward improvement in subdomain and treatment satisfaction scores are also observed at 12 months after RARP [6]. A study with longer follow-up is thus warranted for exploration of the time-dependent factors affecting treatment satisfaction. Even considering these limitations, our findings are nevertheless useful for patients in decision-making and subsequent treatment choice. Further investigation is required to elucidate the longer-term QOL, taking into account social background and other preoperative factors.
Conclusion
Treatment satisfaction in patients who underwent RARP changed over time. Our results suggest that giving sufficient information before treatment choice is both important and useful for patients’ decision-making, leading to improved patient QOL and treatment satisfaction.
Abbreviations
- PCa
Prostate cancer
- QOL
Quality of life
- RARP
Robot-assisted radical prostatectomy
- RP
Radical prostatectomy
- UB
Urinary bother
- EPIC
Expanded Prostate Cancer Index Composite
- PSA
Prostate-specific antigen
- NHT
Neoadjuvant hormonal therapy
- BMI
Body mass index
- GS
Gleason score
- UF
Urinary function
- BF
Bowel function
- BB
Bowel bother
- SF
Sexual function
- SB
Sexual bother
- HF
Hormonal function
- HB
Hormonal bother
- OR
Odds ratio
- CI
Confidence interval
- LUTS
Lower urinary tract symptoms
- ED
Erectile dysfunction
- PDE
Phosphodiesterase
- LIESWT
Low-intensity shock wave therapy
Authors’ contributions
SO drafted the manuscript. KY, YH, SM, HI, SM, RT, AO and RH-T analyzed the data. KM, SH, YS, HA and MU edited and revised the manuscript. JH and MK managed data. YK supervised the whole study. All authors reviewed the manuscript.
Funding
This original work was supported under scholarship endowment by Onoda Hospital (KI2023041). Onoda Hospital had no role in study design, collection, analysis and presenting results of data.
Data availability
No datasets were generated or analysed during the current study.
Declarations
Ethics approval and consent to participate
All procedures performed in research involving human subjects were in accordance with institutional ethical standards, the 1964 Declaration of Helsinki and its subsequent amendments, or comparable ethical standards. This study was reviewed and approved by the Ethics Committee of Fukushima Medical University (clinical approval no. C-T2023-0258) and the Ethics Committee waived the requirement for informed consent because of the retrospective design of this study.
Consent for publication
Not applicable.
Competing interests
The authors declare no competing interests.
Footnotes
Publisher’s note
Springer Nature remains neutral with regard to jurisdictional claims in published maps and institutional affiliations.
References
- 1.Ficarra V, Novara G, Ahlering TE, Costello A, Eastham JA, Graefen M, et al. Systematic review and meta-analysis of studies reporting potency rates after robot-assisted radical prostatectomy. Eur Urol. 2012;62(3):418–30. [DOI] [PubMed] [Google Scholar]
- 2.Ficarra V, Novara G, Rosen RC, Artibani W, Carroll PR, Costello A, et al. Systematic review and meta-analysis of studies reporting urinary continence recovery after robot-assisted radical prostatectomy. Eur Urol. 2012;62(3):405–17. [DOI] [PubMed] [Google Scholar]
- 3.Novara G, Ficarra V, Rosen RC, Artibani W, Costello A, Eastham JA, et al. Systematic review and meta-analysis of perioperative outcomes and complications after robot-assisted radical prostatectomy. Eur Urol. 2012;62(3):431–52. [DOI] [PubMed] [Google Scholar]
- 4.Lindsay J, Uribe S, Moschonas D, Pavlakis P, Perry M, Patil K, et al. Patient satisfaction and Regret after Robot-assisted radical prostatectomy: a decision regret analysis. Urology. 2021;149:122–8. [DOI] [PubMed] [Google Scholar]
- 5.Nakagawa T, Kadono Y, Naito R, Iwamoto H, Yaegashi H, Iijima M, et al. Factors Associated with treatment satisfaction after Robot-assisted radical prostatectomy. Anticancer Res. 2019;39(11):6339–46. [DOI] [PubMed] [Google Scholar]
- 6.Fukuda K, Muto S, China T, Koyasu H, Noma Y, Ashizawa T, et al. Clinical use of expanded prostate cancer index composite-based health-related quality of life outcomes after robot-assisted radical prostatectomy for localized prostate cancer. Prostate Int. 2022;10(1):62–7. [DOI] [PMC free article] [PubMed] [Google Scholar]
- 7.Kim JH, Ha YS, Jeong SJ, Kim S, Kim WJ, Jang TL, et al. Factors related to patient-perceived satisfaction after robot-assisted radical prostatectomy based on the expanded prostate cancer index composite survey. Prostate Cancer Prostatic Dis. 2013;16(4):341–5. [DOI] [PMC free article] [PubMed] [Google Scholar]
- 8.Ogawa S, Hasegawa A, Makabe S, Onagi A, Matsuoka K, Kayama E, et al. Impacts of Neoadjuvant Hormonal Therapy Prior to Robot-assisted radical prostatectomy on postoperative hormonal- and sexual-related quality of Life - Assessment by patient-reported questionnaire. Res Rep Urol. 2022;14:39–48. [DOI] [PMC free article] [PubMed] [Google Scholar]
- 9.Wei JT, Dunn RL, Litwin MS, Sandler HM, Sanda MG. Development and validation of the expanded prostate cancer index composite (EPIC) for comprehensive assessment of health-related quality of life in men with prostate cancer. Urology. 2000;56(6):899–905. [DOI] [PubMed] [Google Scholar]
- 10.Ueno S, Kitagawa Y, Onozawa M, Hinotsu S, Akaza H, Mizokami A, et al. Background factors and short-term health-related quality of life in patients who initially underwent radical prostatectomy or androgen deprivation therapy for localized prostate cancer in a Japanese prospective observational study (J-CaP innovative Study-1). Prostate Int. 2018;6(1):7–11. [DOI] [PMC free article] [PubMed] [Google Scholar]
- 11.Hashine K, Kakuda T, Iuchi S, Hosokawa T, Ninomiya I. Prospective longitudinal outcomes of quality of life after laparoscopic radical prostatectomy compared with retropubic radical prostatectomy. Health Qual Life Outcomes. 2018;16(1):7. [DOI] [PMC free article] [PubMed] [Google Scholar]
- 12.Klopp AH, Yeung AR, Deshmukh S, Gil KM, Wenzel L, Westin SN, et al. Patient-reported toxicity during pelvic intensity-modulated Radiation Therapy: NRG Oncology-RTOG 1203. J Clin Oncol. 2018;36(24):2538–44. [DOI] [PMC free article] [PubMed] [Google Scholar]
- 13.Bishoff JT, Motley G, Optenberg SA, Stein CR, Moon KA, Browning SM, et al. Incidence of fecal and urinary incontinence following radical perineal and retropubic prostatectomy in a national population. J Urol. 1998;160(2):454–8. [PubMed] [Google Scholar]
- 14.Namiki S, Arai Y. Sexual quality of life for localized prostate cancer: a cross-cultural study between Japanese and American men. Reprod Med Biol. 2011;10(2):59–68. [DOI] [PMC free article] [PubMed] [Google Scholar]
- 15.Yilin Z, Fenglian J, Yuanling W, Chunye G, Shuang L, Peizhen L. Predictors for lower urinary tract symptoms in patients underwent radical prostatectomy: implications for postoperative nursing care. J Clin Nurs. 2022;31(9–10):1267–72. [DOI] [PMC free article] [PubMed] [Google Scholar]
- 16.Faria JASDA-C, Faria S, Pontes-Junior LF, Srougi J, Nahas M. Assessment of the lower urinary tract symptoms after robotic-assisted radical prostatectomy: the behavior of voiding, storage and post micturition symptoms. Rev Col Bras Cir. 2020;47:e20202605. [DOI] [PubMed] [Google Scholar]
- 17.Haga N, Yanagida T, Yabe M, Akaihata H, Hata J, Sato Y, et al. Timing of urinary pad exchanges was the most important factor affecting quality of life in the early postoperative period after Robot-assisted laparoscopic radical prostatectomy. J Endourol. 2015;29(9):1044–51. [DOI] [PubMed] [Google Scholar]
- 18.Schroeck FR, Krupski TL, Sun L, Albala DM, Price MM, Polascik TJ, et al. Satisfaction and regret after open retropubic or robot-assisted laparoscopic radical prostatectomy. Eur Urol. 2008;54(4):785–93. [DOI] [PubMed] [Google Scholar]
- 19.Schroeck FR, Krupski TL, Stewart SB, Bañez LL, Gerber L, Albala DM, et al. Pretreatment expectations of patients undergoing robotic assisted laparoscopic or open retropubic radical prostatectomy. J Urol. 2012;187(3):894–8. [DOI] [PubMed] [Google Scholar]
- 20.Levinson AW, Ward NT, Sanda MG, Mettee LZ, Wei JT, Su LM, et al. Comparison of validated instruments measuring sexual function in men. Urology. 2010;76(2):380–6. [DOI] [PubMed] [Google Scholar]
- 21.Hashine K, Kusuhara Y, Miura N, Shirato A, Sumiyoshi Y, Kataoka M. Health-related quality of life using SF-8 and EPIC questionnaires after treatment with radical retropubic prostatectomy and permanent prostate brachytherapy. Jpn J Clin Oncol. 2009;39(8):502–8. [DOI] [PMC free article] [PubMed] [Google Scholar]
- 22.Nakano Y, Miyake H, Chiba K, Fujisawa M. Impact of penile rehabilitation with low-dose vardenafil on recovery of erectile function in Japanese men following nerve-sparing radical prostatectomy. Asian J Androl. 2014;16(6):892–6. [DOI] [PMC free article] [PubMed] [Google Scholar]
- 23.Inoue S, Hayashi T, Teishima J, Matsubara A. Effect of penile rehabilitation with low intensity extracorporeal shock wave therapy on erectile function recovery following robot-assisted laparoscopic prostatectomy. Transl Androl Urol. 2020;9(4):1559–65. [DOI] [PMC free article] [PubMed] [Google Scholar]
- 24.Murthy V, Norman AR, Shahidi M, Parker CC, Horwich A, Huddart RA, et al. Recovery of serum testosterone after neoadjuvant androgen deprivation therapy and radical radiotherapy in localized prostate cancer. BJU Int. 2006;97(3):476–9. [DOI] [PubMed] [Google Scholar]
- 25.Pickles T, Agranovich A, Berthelet E, Duncan GG, Keyes M, Kwan W, et al. Testosterone recovery following prolonged adjuvant androgen ablation for prostate carcinoma. Cancer. 2002;94(2):362–7. [DOI] [PubMed] [Google Scholar]
- 26.Miner M, Barkin J, Rosenberg MT. Testosterone deficiency: myth, facts, and controversy. Can J Urol. 2014;21(Suppl 2):39–54. [PubMed] [Google Scholar]
- 27.Mohler JL, Antonarakis ES. NCCN guidelines updates: management of prostate Cancer. J Natl Compr Canc Netw. 2019;17(55):583–6. [DOI] [PubMed] [Google Scholar]
- 28.Sanda MG, Cadeddu JA, Kirkby E, Chen RC, Crispino T, Fontanarosa J, et al. Clinically localized prostate Cancer: AUA/ASTRO/SUO Guideline. Part II: recommended approaches and details of specific Care options. J Urol. 2018;199(4):990–7. [DOI] [PubMed] [Google Scholar]
- 29.Chino F, Peppercorn J, Taylor DH Jr., Lu Y, Samsa G, Abernethy AP, et al. Self-reported financial burden and satisfaction with care among patients with cancer. Oncologist. 2014;19(4):414–20. [DOI] [PMC free article] [PubMed] [Google Scholar]
- 30.Short PF, Mallonee EL. Income disparities in the quality of life of cancer survivors. Med Care. 2006;44(1):16–23. [DOI] [PubMed] [Google Scholar]
- 31.Miller RC, Atherton PJ, Kabat BF, Fredericksen MB, Geno DM, Deschamps C, et al. Marital status and quality of life in patients with esophageal cancer or Barrett’s esophagus: the mayo clinic esophageal adenocarcinoma and Barrett’s esophagus registry study. Dig Dis Sci. 2010;55(10):2860–8. [DOI] [PubMed] [Google Scholar]
- 32.Bouras G, Burns EM, Howell AM, Bagnall NM, Lee H, Athanasiou T, et al. Systematic review of the impact of surgical harm on quality of life after general and gastrointestinal surgery. Ann Surg. 2014;260(6):975–83. [DOI] [PubMed] [Google Scholar]
- 33.Kurimura Y, Haga N, Yanagida T, Tanji R, Onagi A, Honda R, et al. The preoperative pad test as a predictor of urinary incontinence and quality of life after robot-assisted radical prostatectomy: a prospective, observational, clinical study. Int Urol Nephrol. 2020;52(1):67–76. [DOI] [PubMed] [Google Scholar]
Associated Data
This section collects any data citations, data availability statements, or supplementary materials included in this article.
Data Availability Statement
No datasets were generated or analysed during the current study.



