Abstract
Numerous industrial processes generate hazardous by-products, including persistent pollutants like chromium which pose a threat. Safe and cost-effective management of chromium is a major challenge in developing countries. This study investigates the selection and efficacy of chemical stabilizing agents for reducing hexavalent chromium (Cr(vi)) to trivalent chromium (Cr(iii)) in contaminated soil from a mining region in India. Various combinations of stabilizing reagents—including ferrous sulphate (FeSO4), sodium sulphide (Na2S), sodium sulphite (Na2SO3), sodium metabisulphite (Na2S2O3), and sodium thiosulphate (Na2S2O3)—in conjunction with binding agents (fly ash and lime) were evaluated using response surface methodology. The optimized reagent combinations resulting from the response outcome were applied to the contaminated soil samples to assess for irreversibility, leachability, and longevity, ensuring adherence to landfill disposal standards. The study established sodium thiosulphate as the most potent stabilizing reagent, requiring a mere 3.00% (by weight) dosage for treating Cr(vi) contaminated soil by 99.56% while maintaining irreversibility. Analytical determinations using X-ray Diffraction (XRD), Field Emission Scanning Electron Microscopy (FESEM), and Fourier transform infrared spectroscopy were performed to determine the crystallinity, surface morphology, and functional groups present in the stabilized material synthesized with Na2S2O3 to devise a stabilization reaction mechanism of Cr(vi) to Cr(iii) transformation. Ultimately, an economic analysis comparison supported the establishment of a combination of Na2S2O3, lime, and fly ash in the ratio of 3.00% : 35.00% : 29.00% as the most cost-effective solution, surpassing conventional reagents' expenses by up to 356.00%.
Cost-effective stabilization of hexavalent chromium waste for industrial applications.
1. Introduction
Hexavalent chromium (Cr(vi)) originates from various industrial activities and is globally recognized as a major environmental contaminant. Industries primarily responsible for Cr contamination include leather tanneries, coal and mineral mines, wood preservation, chromate manufacturing, and electroplating industries.1–3 Typically, waste generated from the aforementioned industries is the primary carrier of Cr(vi) and often its mismanagement leads to soil and water contamination.4–6 It is well-known that Cr exhibits nine different oxidation states. Of these, its trivalent form is the most stable and is also considered a plant nutrient. However, the other Cr forms depict extreme leachability with significant health implications and are mostly considered carcinogenic.7,8 For instance, due to undue leaching, Cr(vi) ends up contaminating soil, as well as surface and subsurface water. Since Cr(vi) is water-soluble and can persist in alkaline and strongly oxidizing environments, it eventually impacts every level of the food chain through physical contact and inhalation. Therefore, satisfactory stabilization, handling, and management of Cr(vi) becomes crucial.
The conversion of hexavalent chromium to a more stable trivalent form effectively addresses the majority of associated issues. However, the non-reversibility and safe disposal still remains a matter of attention.9,10 Several methods of Cr stabilization ranging from chemical reduction and solidification of contaminated soil to phytoremediation are being investigated by researchers.11–14 Given the acute toxicity of Cr(vi), a combined approach of chemical stabilization and landfill disposal is widely suggested as the optimal pathway to mitigate its environmental impact and ensure safe long-term containment. Although some literature recommends the usage of stabilized Cr(iii) enriched soil as a conditioner, it might be risky citing the possibility of a reversible reaction.15–17
Commonly used reductants for transforming chromium from its hexavalent to trivalent state include ferrous sulphate (FeSO4), sodium metabisulphite (Na2S2O5), sodium bisulphite (NaHSO3), and calcium polysulphide (CaS5), among others.18–20 In general, FeSO4 is preferred for large-scale applications due to its alleged higher efficiency, inexpensiveness, and prompt reaction time. FeSO4 forms a solid compound CrxFe1−x(OH)3 while reducing Cr(vi) to Cr(iii) in the presence of Fe(ii) ions.21 However, upon investigation, many researchers raised concerns about its reversibility, especially under the influence of metal oxides such as manganese oxide, water, and air. The reported period of reversibility varied from a couple of hours to days depending on ancillary factors such as degree of solidification, surrounding environment, etc. Due to reversibility, the risk of re-release of Cr(vi) into the environment raises concerns over the efficiency of FeSO4 as a reductant.22–24 Apart from conventional reagents, attempts are being made to investigate the efficiency of phosphate-based compounds in stabilizing Cr(vi). In general, the reaction yields insoluble Cr-phosphate minerals, significantly reducing leachability. However, the process is expensive and depicts reversibility due to which further investigation is required.25
Cr-contaminated soil is considered hazardous due to its toxicity and is recommended to be disposed of in landfills after stabilization. Prior to disposal, it is common practice to solidify the Cr-contaminated soil. Without solidification, the compound exhibits a hydrophilic nature and traps atmospheric moisture, which can trigger the oxidation of Cr(iii) to Cr(vi). Further, if the stabilization is ineffective and reversible, it can significantly increase Cr(vi) concentration in leachate, making compliance with standards critical.26 A blend of fly ash and lime is largely adopted as a solidifying agent. The pozzolanic properties of fly ash result in a cementitious nature when it reacts with about 5% of lime by weight. The addition of lime increases the pH of the medium, consequently enhancing the solubility of silica and alumina to react with the calcium. The outcome is a cementitious hydrate that possesses high binding strength and minimizes leachability. Additionally, the increase in pH helps immobilize Cr ions.27,28
In industries, it is a usual practice to use excessive fly ash to dilute the waste concentration before disposal, to attain immediate compliance to local regulatory standards, without considering future consequences.29 Chromium emission standards and discharge limits vary significantly across the globe, making it challenging to establish a universal threshold. These limits are influenced by factors such as the disposal method, necessity for reuse, and local regulatory compliance. For instance, the United States enforces a threshold of 5 mg L−1 for total leachable metals, including chromium, as assessed by the toxicity characteristic leaching procedure.30,31 In contrast, a few European nations adhere to their respective standards, such as 0.5 mg L−1 in Germany.32 In China, the acceptable threshold depends on the intended end use. For industrial reuse in solid environments without leachability, the limit is <30 mg kg−1, whereas for applications in construction and civil works, the threshold is <5 mg kg−1.33 Further, the European Union has established a reasonable maximum discharge limit of 1 mg L−1 for Cr(vi) released into aquatic environments.34
A number of studies have investigated a wide range of reagents for the chemical stabilization of Cr(vi) through its reduction to Cr(iii).35,36 The reagents investigated include sodium thiosulphate, ferrous sulphate, sodium metabisulphite, potassium chromate, calcium pentasulphide, sodium sulphite, sodium metabisulphate, etc. These studies are mostly restricted to technical exploration and provide limited insight into the economic viability of large-scale implementation. The exception is Kostarelos et al. (2009),35 who assessed sodium thiosulfate-based stabilization as more cost-effective compared to the ferrous sulfate-based method. However, the scope of their investigation is restricted to the aforementioned agents and, as such, cannot be considered comprehensive. Further, none of these studies have addressed the potential for reversibility, which could lead to an increase in Cr concentration over time. While Zhang et al. (2018)36 suggested the possibility of Cr remobilization following stabilization with ferrous sulfate under atmospheric conditions, the long-term sustainability and economic feasibility of these methods remain largely unexplored. The present study was perceived with the idea of discovering an efficient reductant, capable of eliminating any Cr-contamination hazard. This research uses response surface optimization to test various stabilizing reagents at different dosages, along with their combinations with solidifying agents, to develop an optimal stabilization formula for Cr transformation. While testing the reversibility through leaching of stabilized Cr-contaminated soil, this investigation aimed for a Cr(vi) concentration of 0.5 mg L−1 or lower, incorporating a 50% safety factor relative to the EU standard of 1 mg L−1. An extensive use of analytical techniques was made to gain an in-depth insight into the molecular, structural, and surface-level transformations. Ultimately, an understanding of economic feasibility helped suggest the most pertinent recipe for developing a sustainable solution for immediate industrial adaptation towards the stabilization of Cr-contaminated soil before landfill disposal.
2. Materials and methods
2.1. Sampling and preservation
The Cr-contaminated dry alkaline soil utilized in this study was sourced from the Sukinda Mines region in Odisha, India (Fig. 1). Sukinda, located at 20°58′0′′N and 85°55′0′′E, is a town in the Jajpur district renowned for its extensive chromite deposits. The Sukinda mining area is geographically framed by the Mahagiri and Daitari ranges, creating a unique valley. Through the heart of this valley flows the natural stream Damsala, which eventually merges with the Brahmani River. This region's mining activities have resulted in significant chromium contamination, making it a critical area for environmental remediation studies.
Fig. 1. Sample location – Sukinda Mines, Odisha, India.
The Cr-contaminated soil was sampled as per standard sampling procedures.37 A composite sampling method was adopted for collecting a 10 kg soil sample. Multiple grab samples were collected from various depths of multiple earthmover vehicles transporting waste from Sukinda Mines for landfill disposal. These samples were subsequently mixed into a single composite sample to depict the mean properties. The sample was then directly sent to the laboratory, categorized, and preserved at 4 °C to eliminate any biological activity. A preliminary assessment of the soil sample's physical and chemical properties was made. Prior to experimentation, a sample preparation procedure was necessitated in order to facilitate metal leaching.
2.2. Sample preparation and preliminary analytical procedures
Of the total accumulated soil sample, a homogenized, representative, composite soil sample of 25 g weight was used for each subsequent investigation. The concentration of Cr(vi) in the soil samples was determined on the principle of water leachability of chromium. The Water Leachability Test (WLT) involved pulverizing and screening the soil samples through a 5 mm sieve, followed by dissolving 25 g of the sample in 250 mL of distilled water (10% w/v solution). The water leached out was analyzed for the presence and concentration of the contaminant. To ascertain the presence of hexavalent chromium in the 10% w/v leachate solution, an indicative confirmative test was conducted. It involved the addition of 2 drops of 1 : 4 diluted phosphoric acid to 5 mL of the solution, followed by 5 drops of diphenylcarbazide solution. The emergence of a wine-red colour indicates the presence of hexavalent chromium and confirms metal leachability.38 Although the colour intensity is directly proportional to the metal concentration, an accurate measurement of the leachability extent and Cr(vi) concentration was further evaluated through the UV-visible spectrophotometer (Model No. UV 3000, Lab India) following the American Public Health Association (APHA) method 3500 Cr-B:38 colorimetric method for Cr(vi), citing absorbance as the variable.38 The colorimetric method involved the following steps: preparation of a low and high-range standard graph; quality control through duplicate and triplicate analysis; and quality assurance through check standard and spike recovery. The operational low and high-range graphs were prepared using 10 and 100 ppm standard solutions. The graph factor of 0.999 or higher was chosen to ensure quality. Further, samples with higher concentrations than the graph range were diluted to accommodate them within the limit.
After the confirmative test, the pH of the experimental samples was readjusted to 2.0 ± 0.5 using about five drops of conc. phosphoric acid. Any discrepancy in pH adjustment is further calibrated with the help of 0.2 N conc. H2SO4. The pH-adjusted samples were then transferred to a 100 mL volumetric flask and they were dosed with 2.0 mL of diphenylcarbazide. Further, it takes about 5 to 10 minutes of standing time for a sample to exhibit an intense wine-red colour before it is considered for spectrophotometry. The final sample was transferred to a 1 cm absorbance cell, and the concentration was absorbed at 540 nm wavelength. The quantum of light absorbed is directly proportional to the concentration of Cr(vi).
2.3. Experimental design and optimization for Cr(vi) stabilization
For each soil stabilization experiment, a composite sample of 25 grams of Cr(vi)-contaminated soil was used. 1.5 mL of concentrated H2SO4 was added to the contaminated soil samples to adjust the pH between 1.5 and 2.0 and enhance metal leachability. The 10% w/v leachate solution generated after water leaching was then subjected to investigation.
Analytical-grade reagents (AR) employed in the investigation included various stabilizing agents – ferrous sulphate (FeSO4), sodium sulphide (Na2S), sodium sulphite (Na2SO3), sodium metabisulphite (Na2S2O5), sodium thiosulphate (Na2S2O3), along with concentrated sulphuric acid (conc. H2SO4), quick lime (CaO), and fly ash. FeSO4 crystals (Sl. no. 7782-63-0), Na2S2O3 crystal powder (10102-17-7), H2SO4 98% (7664-93-9), Na2S yellow flakes (1313-84-4), Na2SO3 powder (7757-83-7), and Na2S2O5 (7681-57-4) were procured from Finar by Actylis Lab Solutions, India. Further, industrial-grade ordinary portland cement (53 grade), white fly ash, and lime powder were sourced from Aishani Chem Trade, Hyderabad, India. A typical stabilization recipe involved experimentation with a stabilizing reagent, and binding agents (fly ash and lime), tested over various, carefully selected ranges adjudged from the colour intensity developed during the confirmative test, and guiding literature.39–41 The water content for the soil stabilization experiment is optimized to 80% w/w to soil sample, which ensures the contaminated soil sample remains in lump form, bound together by lime and fly ash, while avoiding excess water that can leach out of the consortium.
With the objective of minimizing the number of experimental runs, statistical optimization through response surface methodology (RSM) was used to investigate the combination of the stabilizing reagent and binding agents systematically.
RSM is a statistical and mathematical tool widely employed in experimental design and process optimization, using which, the relationships between multiple input variables (concentrations of the reagent, fly ash, and lime in this study), and their influence on output responses (the residual Cr(vi) concentration in this study) can be evaluated.
By using a carefully selected RSM model, the method reduces the number of experimental attempts required compared to traditional approaches, while still providing valuable insights into system behaviour. The selected RSM model proposes specific combinations of input variables to be experimentally tested, and the resulting data is used to simulate and predict the optimal settings for these variables to achieve a desired outcome (usually the maximization/minimization of the output response).5
The chromium stabilization experiments were designed following the Box–Behnken approach, and experimental combinations, as suggested by Minitab software (version 18.1), were carried out (Tables 1 and 2). The concentration of the reagent, fly ash, and lime (expressed as a percentage of the soil sample weight) were considered factors in the response surface study. Since five different reagents were tested for chromium stabilization (FeSO4, Na2S, Na2SO3, Na2S2O5, and Na2S2O3), a total of five optimization studies were carried out, each exploring a particular reagent's combinations with fly ash and lime. Refer to Table S2 in the Supplementary Information (https://doi.org/10.57760/sciencedb.19982) for weight-based coded and uncoded values.
Table 1. Design of experiments by Box–Behnken approach for the three-factor treatment of chromium-contaminated soila.
| Parameters | Coded and uncoded values | |||
|---|---|---|---|---|
| −1 | 0 | +1 | ||
| Reagent dosage (%) (X1) | FeSO4 | 40 | 50 | 60 |
| Na2S | 1 | 5 | 9 | |
| Na2SO3 | 15 | 20 | 25 | |
| Na2S2O5 | 1 | 5 | 9 | |
| Na2S2O3 | 1 | 5 | 9 | |
| Fly ash (%) (X2) | 25 | 30 | 35 | |
| Lime (%) (X3) | 20 | 25 | 30 | |
X – represents factor of design.
Table 2. Design matrix for chromium stabilization experiments (coded variables)a.
| Experiment number | Coded variables | ||
|---|---|---|---|
| Reagent dosage (%) (X1) | Fly ash (%) (X2) | Lime (%) (X3) | |
| 1(C) | 0 | 0 | 0 |
| 2 | 0 | 1 | 1 |
| 3 | 0 | −1 | −1 |
| 4(C) | 0 | 0 | 0 |
| 5 | −1 | 1 | 0 |
| 6 | 1 | 1 | 0 |
| 7 | −1 | 0 | −1 |
| 8 | −1 | 0 | 1 |
| 9 | 1 | −1 | 0 |
| 10 | 1 | 0 | 1 |
| 11 | 0 | −1 | 1 |
| 12(C) | 0 | 0 | 0 |
| 13 | 0 | 1 | −1 |
| 14 | 1 | 0 | −1 |
| 15 | −1 | −1 | 0 |
C – central point of design.
The outcomes of the above experimental combinations were plotted and analysed, aiming for a residual Cr(vi) concentration of 0.5 mg L−1 or lower in the soil leachate sample, applying a 50% safety factor relative to the EU standard of 1 mg L−1.14 The experimental observations were correlated with the model-predicted outcomes to come up with the most suitable stabilization reagent, and its proportionate combination with fly ash and lime concentrations.
2.4. Check for reversibility of stabilized soil sample
The optimized ratios of reagent dosage, fly ash, and lime, as previously determined from the response surface analysis, were tested for time-bound reversibility to confirm a stable chemical transformation of Cr(vi). Leachate from the most stable soil sample, obtained from the effect of each reagent, was analyzed for Cr(vi) concentration using a UV-visible spectrophotometer at 2 hour intervals over a total duration of 12 hours. The temporal variation of Cr(vi) concentration in the stabilized soil samples was monitored to ensure levels did not exceed the threshold of 0.5 mg L−1, set for the final disposal of specimens in secured landfills.
2.5. Characterization of stabilized soil samples
Once the most suitable stabilizing reagent and the maximally stabilized soil sample were selected based on response surface outcomes and reversibility studies, various techniques were employed to characterize the crystallinity, surface morphology, elemental composition, and functional groups of the samples.
To analyze the crystallinity of the samples, a Rigaku Ultima IV X-ray diffractometer (XRD) equipped with Cu Kα radiation (λ = 1.5406 Å) was used. The instrument operated at a current of 30 mA and a voltage of 40 kV, with diffractograms recorded at a scanning rate of 2° min−1 and a step size of 0.01°.
The surface morphology was investigated using an FEI Apreo LoVac instrument (USA) equipped with a retractable STEM 3+ detector. Elemental mapping was performed with an Aztec Standard Energy Dispersive Spectroscopy (EDS) system. Samples were prepared by dispersing particles in acetone and drop-casting them onto silicon wafers. To enhance conductivity and contrast, gold sputtering was performed using a Leica Ultra Microtome (EM UC7, Germany).
Fourier transform infrared (FTIR) spectroscopy was employed to identify the functional groups in the samples. Spectra were recorded using an ALPHA-Bruker Optics FTIR spectrometer (Germany), focusing on the mid-infrared region from 500 to 1000 cm−1.
2.6. Cost analysis
One of the objectives of this study was to investigate and propose an economical stabilizing reagent for the remediation of Cr(vi). Estimation of the treatment cost was based on the dosage of different stabilization agents, fly ash, and lime requirements required for the treatment of 1000 kg of contaminated soil. The cost of human resources was not considered in the evaluation because of its variable nature. The total treatment cost was estimated as:T.C. = MS.A. × a + MF.A. × b + Ml × cwhere T.C. represents treatment cost in $ per 1000 kg soil treated, MS.A., MF.A. and Ml are the amount of stabilization agent, fly ash, and lime used for the remediation of soil (in kg), respectively. Further, coefficients a, b, and c are the cost of materials as per the Indian market in 2024.
The fundamental elements, including unfolding, comparative judgement, and yield, were tailored to facilitate informed decision-making using the Analytic Hierarchy Process (AHP). The AHP method was instrumental in determining the comparative superiority of stabilizing agents based on their techno-economic feasibility criteria.42Fig. 2 describes the correlation between selection criteria and various stabilization reagent alternates.
Fig. 2. AHP hierarchies for prioritizing the efficient stabilization process for hexavalent chromium.
3. Results and discussion
3.1. Characterization of Cr(vi) contaminated soil
A comprehensive analysis of the chromium-contaminated soil sample was conducted in terms of its physical and chemical properties, as delineated in Table 3. The characterization included assessing the WLT-induced leachate through the confirmative test (Table S1, Supplementary Information, https://doi.org/10.57760/sciencedb.19982), and subsequently for the Cr(vi) concentration using the colorimetric method as delineated in APHA Standard Methods series 3500.
Table 3. Physico-chemical properties of the contaminated soil sample.
| S. no. | Parameter | Unit | Test method | Test result |
|---|---|---|---|---|
| 1 | Physical state | — | — | Solid |
| 2 | Colour | — | — | Grey |
| 3 | Texture | — | — | Dried lumps |
| 4 | pH | — | USEPA 1998 SW-846; 9045 C | 10.36 |
| 5 | Bulk density | g cm−3 | ASTM D 5057-90 | 8.2 |
| 6 | Calorific value | cal g−1 | IS 1350-2000 | 150 |
| 7 | Flash point | °C | USEPA 1998, SW-846; 1020 A | >60 |
| 8 | Moisture content | % | IS 326 (Part 21):2001 | 13.12 |
| 9 | Loss on ignition at 550 °C | % | APHA 23rd Edition 2017, 2540 | 0.71 |
| 10 | Water soluble organics | % | APHA 23rd Edition 2017, 2540 E | 0.89 |
| 11 | Water soluble inorganics | % | APHA 23rd Edition 2017, 2540 E | 1.52 |
| 12 | Hexavalent chromium (using WLT) | mg L−1 | USEPA 1998, SW-846; 7196 | 101.11 |
The analysis revealed a strong alkaline nature of the contaminated soil. The initial concentration of Cr(vi) in the sample was determined to be 101.11 mg L−1.
3.2. Stabilizing reagent dosage optimization
Stabilization of the contaminated soil sample proceeded with sample preparation as described earlier. The moisture content of the soil medium was raised to 23% to achieve the desired texture. Concentrated H2SO4 was added to lower the medium pH to amplify metal leachability. Conducting an exclusive dosage optimization assessment for each stabilizing agent's combination with fly ash and lime (in accordance with Table 1) was deemed vital for establishing conclusive evidence of stabilization efficiency. An overall inspection of the five statistical optimization studies using Box–Behnken methodology revealed that the stabilizing reagent had an overwhelming influence on the model response, i.e., residual Cr(vi) concentration in the soil sample, followed by the fly ash and lime contents (Fig. 3a–e).
Fig. 3. Pareto charts of standardized effects for residual Cr(vi) concentration (mg L−1) by the reagent (a) FeSO4, (b) Na2S, (c) Na2S2O3, (d) Na2S2O5, (e) Na2SO3.
It was noted that both, fly ash and lime had a minimal role to play in chromium stabilization. This is in concurrence with the understanding of the study, since the active role for chromium transformation from the Cr(vi) to Cr(iii) state relies on the stabilizing agent used, whereas fly ash and lime play the role of binding agents, used exclusively for solidifying the soil mixture, and arresting its leachability, before landfill disposal.
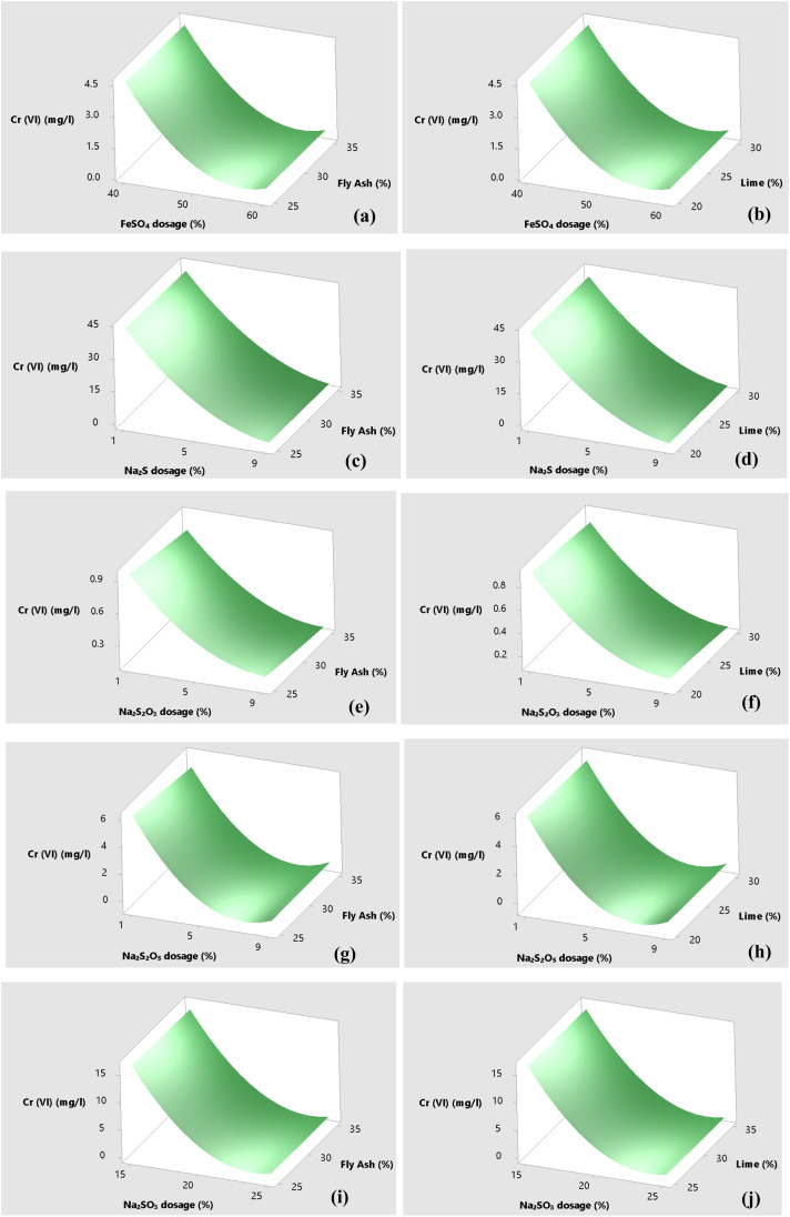
The surface plots (Fig. 4(a)–(j)) provided an apt graphical representation of the effects of the stabilizing reagent and binding agents on the response outcome.
Fig. 4. (a–j) Surface plots for residual Cr(vi) concentration for various stabilizing reagents and binding agents.
From the surface plots, it is evident that the residual Cr(vi) concentration in the soil sample was found to decrease and approach a minimum value, upon increasing the reagent's concentration. However, ferrous sulphate and sodium sulphite were observed to reach this minimum value at a much higher dosage compared to their counterparts, making their usage unfeasible for further studies. It can be further examined that the surface plots followed near-identical behaviour for the variation of the reagents with fly ash and lime. Additionally, no noticeable difference was observed upon increasing the fly ash and lime concentrations. These observations confirm the negligible influence of the binding agents on the chromium transformation study. Nevertheless, it is imperative to find out the optimal concentrations of the binding agents, since they serve a major role in soil stabilization and solidification. The outcomes of the respective statistical optimization studies are summarized in Table 4.
Table 4. Optimized combinations of the independent variables for a desired response of 0.5 mg L−1 residual chromium concentration.
| Stabilization recipe | Reagent dosage (%) | Fly ash (%) | Lime (%) |
|---|---|---|---|
| Ferrous sulphate mix | 59.77 | 28.13 | 30.00 |
| Sodium sulphide mix | 9.00 | 31.06 | 30.00 |
| Sodium thiosulphate mix | 3.02 | 35.00 | 29.19 |
| Sodium metabisulphite mix | 5.00 | 25.00 | 28.38 |
| Sodium sulphite mix | 24.96 | 25.50 | 30.00 |
Evidently, of the five reagents tested, sodium thiosulphate was found to fulfil the desired chromium concentration with the least amount of dosage. In close competition, sodium metabisulphite demanded a slightly higher dosage for the same. In contrast, the dosage requirements for soil stabilization for sodium sulphide, sodium sulphite, and ferrous sulphate were nearly 3, 8, and 20 times that of sodium thiosulphate, rendering them impractical for further consideration. Therefore, a combination of sodium thiosulphate, fly ash, and lime in the proportions of 3.02, 35, and 29.19 per cent of the soil sample weight was concluded to be ideal, as per the response optimization studies.
Further, the model-predicted outcomes established a significant correlation with the experimental observations, as revealed by the regression equations and relevant ANOVA parameters for the stabilization reagents are expressed below (Table 5).
Table 5. Response surface methodology (RSM) equations for residual chromium concentration, with model fit metrics for different stabilizing reagentsa.
| Stabilization reagent | Equation for residual chromium concentration (mg L−1) | R 2 | R 2 adjusted | p-Value |
|---|---|---|---|---|
| FeSO4 | 1.00000 − 2.01875 × D − 0.02875 × F − 0.01750 × L + 1.53875 × D2 + 0.00375 × F2 + 0.00125 × L2 + 0.01750 × D × F + 0.01500 × D × L | 100% | 100% | <0.0001 |
| Na2S | 13.3500 − 20.9825 × D − 0.3900 × F − 0.3350 × L + 8.2800 × D2 + 0.0300 × F2 + 0.0250 × L2 + 0.1700 × D × F + 0.2150 × D × L − 0.0300 × F × L | 100% | 100% | <0.0001 |
| Na2SO3 | 3.0200 − 7.8788 × D − 0.1488 × F − 0.0875 × L + 5.3388 × D2 + 0.0687 × F2 + 0.0362 × L2 + 0.0725 × D × F + 0.0300 × D × L + 0.0700 × F × L | 100% | 99.99% | <0.0001 |
| Na2S2O5 | 0.3700 − 2.8971 × D − 0.1666 × F − 0.0563 × L + 2.5904 × D2 − 0.0121 × F2 + 0.0221 × L2 + 0.1867 × D × F + 0.0475 × D × L − 0.0050 × F × L | 99.98% | 99.95% | <0.0001 |
| Na2S2O3 | 0.35000 − 0.36250 × D − 0.04750 × F − 0.02750 × L + 0.17375 × D2 + 0.00375 × F2 − 0.00625 × L2 + 0.01250 × D × F + 0.00250 × D × L + 0.00750 × F × L | 99.93% | 99.81% | <0.0001 |
D – dosage of reagent; F – fly ash; L – lime.
The equations for residual chromium concentration for each stabilizing reagent derived from the Box–Behnken model of the response surface analysis present a reliable predictive tool. These equations allow the dependent variable (residual chromium concentration) to be determined by substituting the independent variables (stabilizing reagent dosage, fly ash, and lime concentrations) under similar experimental conditions. All the model fit statistics support this inference.
The equation coefficients represent the relationship between the input factors (stabilization reagent dosage, fly ash, lime) and the residual chromium concentration. Positive or negative signs indicate how changes in input variables impact Cr(vi) reduction. For example, a negative coefficient for dosage indicates that increasing the reagent dosage reduces residual Cr(vi) concentration. The interaction terms (e.g., dosage × fly ash) demonstrate synergistic or antagonistic effects, where positive values indicate additive effects, and negative values suggest inhibitory interactions. Each coefficient aligns with the physical and chemical processes involved in stabilization, such as the ability of lime to precipitate heavy metals or fly ash to enhance adsorption. This scientific interpretation underscores the real-world applicability of the model.
The ANOVA analysis for each stabilization reagent highlights that all coefficients were statistically significant (p-value < 0.0001). The high R2 values (close to 100%) and adjusted R2 values confirm that the experimental data fit the Box–Behnken model accurately. These results validate the effectiveness of the chosen input variables and their interactions in capturing the stabilization process.
In addition, the authors acknowledge that the equations were derived using experimental data conducted in triplicates. To enhance transparency, the standard deviations of the experimentally determined parameter (Cr(vi) concentration) have now been added to Table 6.
Table 6. Temporal variation of Cr(vi) concentration to check for reaction reversibility.
| Stabilization recipe | Reagent dosage (%) | Fly ash (%) | Lime (%) | Cr(vi) concentration (mg L−1) from response surface prediction | Experimental Cr(vi) concentration (mg L−1) at t = 0 h | Experimental Cr(vi) concentration (mg L−1) at t = 2 h | Experimental Cr(vi) concentration (mg L−1) for t = 2–12 h |
|---|---|---|---|---|---|---|---|
| Ferrous sulphate mix | 59.77 | 28.13 | 30.00 | 0.50 | 0.50 ± 0.01 | 1.27 ± 0.02 | >1.27 |
| Sodium sulphide mix | 9.00 | 31.06 | 30.00 | 0.50 | 0.41 ± 0.01 | 2.78 ± 0.01 | >2.78 |
| Sodium thiosulphate mix | 3.02 | 35.00 | 29.19 | 0.49 | 0.44 ± 0.03 | 0.42 ± 0.02 | 0.40–0.42 |
| Sodium metabisulphite mix | 5.00 | 25.00 | 28.38 | 0.49 | 0.47 ± 0.02 | 0.99 ± 0.03 | >0.99 |
| Sodium sulphite mix | 24.96 | 25.50 | 30.00 | 0.50 | 0.47 ± 0.02 | 6.40 ± 0.01 | >6.4 |
Since the experimental combinations of Table 2 were conducted in triplicate, and average values of resulting Cr(vi) concentration were reported, a minimal experimental error was ensured, assuring that the perfect model fit was not erroneous. Also, since the model had a limited number of parameters and corresponding observations, the possibility of overfitting of data was ruled out.
In practicality, additional parameters such as reaction reversibility (i.e., a possible back-transformation from Cr(iii) to Cr(vi)), and cost-effectiveness of selected combinations need to be explored prior to the ultimate selection of the stabilizing reagent. For this purpose, reaction stability and cost comparison studies were conducted subsequently.
3.3. Evaluation of stabilized soil reversibility
The optimized combinations attained for each reagent from the response surface studies (Table 4) were experimentally performed to validate the Cr(vi) concentration predicted by the response surface outcome, as well as observe for reversibility of stabilized soil samples at 2 hour intervals over a 12 hour period (summarized in Table 6).
It can be observed from Table 6 that the experimental and response surface predicted outcomes for each stabilizing agent demonstrated a strong correlation, in terms of Cr(vi) concentration. A 60% dosage application of FeSO4 resulted in a 0.50 mg L−1 concentration (99.51% stabilization). However, the specimen with FeSO4 : lime : fly ash at 60% : 28% : 30% failed the reversibility study within the first 2 hours, with the Cr(vi) concentration rising to 1.27 mg L−1. Na2S was equally effective, achieving a Cr(vi) concentration of 0.41 mg L−1 with a 99.59% stabilization at a combination ratio of Na2S : lime : fly ash (9% : 31% : 30%), but showed reversibility within 2 hours, with the concentration rising to 2.78 mg L−1. Similarly, the trials with Na2SO3 : lime : fly ash (25% : 25% : 30%), and Na2S2O5 : lime : fly ash (5% : 25% : 28%) achieved Cr(vi) concentrations of 0.47 mg L−1 but reversed within the first 2 hours, with the concentrations rising beyond 6.40 and 0.99 mg L−1 respectively.
Distinctly, the usage of sodium thiosulphate (Na2S2O3) not only brought down the Cr(vi) concentration to 0.44 mg L−1 (99.56% stabilization) but achieved remarkable success in effectively containing the contaminant levels below the threshold of 0.5 mg L−1, even 12 hours after the stabilization of the soil. The stabilized soil specimen maintained its Cr(vi) concentration between 0.40 and 0.42 mg L−1 in tests conducted every 2 hours over a 12 hour period, demonstrating its stability and non-reversibility. Sodium thiosulphate emerged advantageous in terms of dosage as well, requiring a meagre quantity (just 3% of the soil sample) to successfully stabilize the chromium-contaminated sample, as well as inhibit reversibility. Conclusively, the mix of Na2S2O3 : lime : fly ash in the ratio of 3% : 35% : 29% was established as the superior stabilizing reagent combination for treating chromium-contaminated soil, meeting the landfill disposal criteria.
3.4. Proposed reaction mechanism for Cr(vi) stabilization by sodium thiosulphate
The typical chemical mechanism of chromium ore involves the conversion of hexavalent chromium (Cr(vi)) to trivalent chromium (Cr(iii)) through various industrial processes. The following is a brief explanation of their chemical mechanisms and Fig. 5 represents the schematic proposed mechanism.
Fig. 5. Proposed stabilization reaction mechanism for sodium thiosulphate reagent.
Lime (CaO) reacts with Cr(vi) to form insoluble and stable compounds like calcium chromate (CaCrO4) and calcium dichromate (CaCr2O7), preventing Cr(vi) from leaching. Fly ash, a coal combustion by-product containing calcium, magnesium, and aluminium, reacts with Cr(vi) to form stable compounds such as calcium chromate (CaCrO4), magnesium chromate (MgCrO4), and aluminium chromate (Al2(CrO4)3), reducing Cr(vi) mobility and toxicity. Na2S2O3, a reducing agent, converts Cr(vi) to the less toxic and less mobile Cr(iii). This reaction forms sodium chromate (Na2CrO4), which then reacts with lime or fly ash to create stable, insoluble compounds, further preventing Cr(vi) leaching.
In order to experimentally validate leaching attributes, a water leachability test (WLT) was conducted regularly for 30 days to evaluate the binder's characteristics. The results established Na2S2O3 as a better option for treating Cr(vi)-contaminated soil, potentially replacing conventionally used FeSO4. Notably, the WLT demonstrated positive binding results of Na2S2O3 with fly ash and lime, requiring only 0.75 g of sodium thiosulphate (3% by weight) to reduce the Cr(vi) concentration to levels safe for secured landfill disposal.
Two primary reaction factors pH and temperature have been reported in the existing literature as significantly influencing the dynamics of the stabilization process. The literature consistently suggests that a strongly acidic pH, close to 2.0, combined with room temperature, facilitates the stabilization reaction.43–45 Under these conditions, researchers have explored the stabilization of Cr-contaminated synthetic and industrial soil samples, with concentrations ranging from a few mg L−1 to 156 mg L−1.44,46 The outcomes across various studies have differed in terms of the effectiveness of stabilization, with reagents recommended such as sodium thiosulphate,35 calcium pentasulphide,36 sodium metabisulphate,43 sodium metabisulphite,45 and ferrous sulphate.47 These recommendations were based on various factors, including the pH of the medium, waste concentration, required degree of stabilization, disposal or reuse limits, and the extent of stabilization. However, when considering long-term stability and the economic feasibility associated with landfill disposal, sodium thiosulfate emerged as a consistent choice among researchers.35
3.5. Structural and surface characterization of stabilized soil
To delve deeper into the stabilization process, various analytical techniques such as FTIR spectroscopy, XRD, and FESEM were employed. These analyses provide valuable insights into the molecular, structural, and surface-level changes occurring during stabilization. Analyzing the chemical composition, crystalline structure, and morphological characteristics of chromium-contaminated samples is crucial for devising effective stabilization strategies. Understanding these properties helps in developing methods to mitigate the mobility of contaminants. By utilizing these techniques, a comprehensive understanding of the stabilizing effect on the chemical and physical properties of chromium-contaminated samples is established.
Fig. 6 depicts the functional group comparison between the unstabilized and stabilized chromium-contaminated soil sample obtained using FTIR spectroscopy. In both samples, similar peaks were observed at 3695 cm−1 (O–H stretching), 3617 cm−1 (O–H stretching), 1640 cm−1 (C O stretching), and 1426 cm−1 (C–H/O–H stretching). Notably, for the stabilized sample few additional overlapping peaks were observed as a hump at 1114 cm−1 and 567 cm−1 corresponding to the fly ash characteristic peak. These peaks arise in the stabilized sample as it is treated with sodium thiosulphate in the presence of fly ash.
Fig. 6. FTIR spectrum of chromium contaminated sample before and after stabilization.
The observed peaks at 997, 911, 778, and 694 cm−1 were attributed to the IR active chromium–oxygen stretching modes (Cr–O–Cr, Cr–O, and Cr O).48 Both samples show identical peaks in the 800–1000 cm−1 range, however, the relative strength of these peaks is lower in the stabilized sample. Further, for the stabilized sample, the appearance of strong bands at 523 cm−1 and 509 cm−1 is expected to originate from Cr–S stretching or bending vibration.49 The above observations are consistent with the reduction process of Cr(vi) in unstabilized samples to Cr(iii) in stabilized samples, which will reduce the number of chromium–oxygen links to form chromium sulphide bonds. Even though it is not feasible to isolate the metal sulphide IR active modes in stabilized samples due to the presence of overlapping additional peaks in the 500–600 cm−1 region, the higher intensity of these peaks in comparison to the strong band at 997 cm−1 confirms the formation of metal sulphide bonds.
The hexavalent chromium-contaminated soil sample was treated with sodium thiosulphate in the presence of sulphuric acid, calcium hydroxide, and fly ash, and the XRD of the final stabilized sample was obtained. Diffraction peaks corresponding to various crystalline phases that form during the treatment process were identified, as depicted in Fig. 7. Diffraction peaks associated with the presence of Cr2S3, fly ash, Ca(OH)2, and Na2SO4 were identified.49–52 The metal oxide components of fly ash resulted in multiple strong peaks spread across the whole scanning range of 20–60° 2θ values. The peaks observed for fly ash are primarily composed of quartz (SiO2) and mullite crystalline diffraction peaks.16 More importantly, the observed diffraction peaks for Cr2S3 at 24.7°, 34.5°, 36.5°, 50.1° and 56.1° 2θ values suggest the stabilization process of hexavalent chromium to trivalent chromium, which is in line with the proposed conversion mechanism of Cr(vi) to Cr(iii) by using sodium thiosulphate (Na2S2O3) as a reducing agent.49
Fig. 7. XRD patterns of stabilized Cr contaminated soil sample with sodium thiosulphate as stabilizing reagent. The different symbols were used to depict the presence of Cr2S3, fly ash, Ca(OH)2 and Na2SO4 diffraction peaks.
SEM and Energy-Dispersive X-ray Spectroscopy (EDS) elemental analysis was performed on the stabilized soil sample. The SEM images revealed spherical particles ranging from 1 to 6 microns in diameter (Fig. 8). The spherules had a generally smooth surface with some displaying minor porosity. EDS analysis confirmed the presence of oxygen, sulphur with amounts of calcium, aluminium and silicon, likely from the stabilizing agents (calcium hydroxide and fly ash). The uniform internal structure suggests that the stabilization process produced mechanically stable spherules, which is favourable for the long-term containment of chromium.
Fig. 8. SEM image and elemental analysis (EDS) of stabilized soil sample.
3.6. Economic comparison
Results have shown outstanding performance with sodium thiosulphate, and a reduction of about 148% in the cost was observed when compared to conventional reduction by ferrous sulphate. The required dosage of sodium thiosulphate was 94.94% lower compared to ferrous sulphate. The study revealed that treating a 1000 kg sample of Cr(vi) contaminated soil using conventionally employed ferrous sulphate incurs a total cost of $70.720. In the case of sodium thiosulphate mix, this expense is reduced to only $28.496 per 1000 kg of specimen. Further, the cost of each reagent and the comprehensive cost of each mix design for stabilizing a specimen of 1000 kg for landfill disposal is delineated in Table 7 and Fig. 9 respectively.
Table 7. Cost of reagents used for the remediation of Cr-contaminated soil alongside their optimized dosage.
| Stabilization recipe | Reagent dosage (%) | Fly ash (%) | Lime (%) | Cost of reagent used/kg (in USD) |
|---|---|---|---|---|
| Ferrous sulphate mix | 59.77 | 28.13 | 30.00 | FeSO4: 0.084; cement: 0.086; fly ash: 0.0090; lime: 0.060; sulphuric acid (H2SO4): 0.17 |
| Sodium sulphide mix | 9.00 | 31.06 | 30.00 | Na2S: 0.37; cement: 0.086; fly ash: 0.0090; lime: 0.060; sulphuric acid (H2SO4): 0.17 |
| Sodium thiosulphate mix | 3.02 | 35.00 | 29.19 | Na2S2O3: 0.26; cement: 0.086; fly ash: 0.0090; lime: 0.060; sulphuric acid (H2SO4): 0.17 |
| Sodium metabisulphite mix | 5.00 | 25.00 | 28.38 | Na2S2O5: 0.30; cement: 0.086; fly ash: 0.0090; lime: 0.060; sulphuric acid (H2SO4): 0.17 |
| Sodium sulphite mix | 24.96 | 25.50 | 30.00 | Na2SO3: 0.44; cement: 0.086; fly ash: 0.0090; lime: 0.060; sulphuric acid (H2SO4): 0.17 |
Fig. 9. Financial comparison for discrete mix recipes investigated in the current study.
The above costs are subject to variability based on geographic location and timing. The figures provided pertain specifically to bulk procurement in India. Additionally, taxes and logistics charges may apply. Therefore, the total stabilization cost depicted in Fig. 9 could vary to some degree.
The outcome confirms the financial viability of the Na2S2O3-based recipe over its rivals. The cost difference for stabilization between Na2S2O3 and Na2SO3 is as high as 356%. Therefore, it is quite evident that the Na2S2O3-based stabilization recipe offers superior cost efficiency and effectiveness.
3.7. Adapting analytical hierarchical process for decision-making
The investigation involved the use of AHP to identify the most pertinent reagent combination and dosage for hexavalent chromium stabilization towards landfill disposal. The AHP hierarchies considered for the present study for prioritizing the efficient stabilization process are depicted in Fig. 2. The findings of the pairwise comparison and the consolidated results are delineated in Table 8 and Fig. 10. The same was ascertained against a principal eigenvalue and consistency ratio of 6.507 and 8.1%, respectively. Further, the formulated resulting weights based on the principal eigenvector of the decision matrix are showcased in Table 9.
Table 8. Pairwise comparison using AHP analysis.
| Category | Priority | Rank | (+) | (−) | |
|---|---|---|---|---|---|
| 1 | Sodium thiosulphate | 44.1% | 1 | 21.1% | 21.1% |
| 2 | Ferrous sulphate | 27.9% | 2 | 13.4% | 13.4% |
| 3 | Sodium metabisulphite | 13.1% | 3 | 5.0% | 5.0% |
| 4 | Sodium sulphide | 7.8% | 4 | 3.7% | 3.7% |
| 5 | Sodium sulphite | 4.7% | 5 | 1.5% | 1.5% |
| 6 | Fly ash and lime | 2.4% | 6 | 1.2% | 1.2% |
Fig. 10. Consolidated AHP analysis result.
Table 9. Decision matrix using AHP analysis.
| 1 | 2 | 3 | 4 | 5 | 6 | |
|---|---|---|---|---|---|---|
| 1 | 1 | 9.00 | 7.00 | 5.00 | 3.00 | 0.33 |
| 2 | 0.11 | 1 | 0.20 | 0.33 | 0.14 | 0.11 |
| 3 | 0.14 | 5.00 | 1 | 3.00 | 0.33 | 0.20 |
| 4 | 0.20 | 3.00 | 0.33 | 1 | 0.33 | 0.14 |
| 5 | 0.33 | 7.00 | 3.00 | 3.00 | 1 | 0.20 |
| 6 | 3.00 | 9.00 | 5.00 | 7.00 | 5.00 | 1 |
| 7 | 0.12 | 0.17 | 0.17 | 0.20 | 0.33 | 0.50 |
| 8 | 0.11 | 0.14 | 0.14 | 0.17 | 0.25 | 0.33 |
4. Conclusion
This investigation prioritizes the testing and selection of an effective chemical stabilizing agent capable of reducing chromium from its hexavalent to trivalent state, in a contaminated soil sample obtained from a mining region. Various combinations of stabilizing reagents like ferrous sulphate (FeSO4), sodium sulphide (Na2S), sodium sulphite (Na2SO3), sodium metabisulphite (Na2S2O5), and sodium thiosulphate (Na2S2O3) in combination with the binding agents (fly ash and lime) were assessed using RSM. In addition to Cr(vi) stabilization efficiency, the reaction reversibility in stabilized soil samples was also tested by temporal variation. Sodium thiosulphate was concluded to be the supreme stabilizing reagent, requiring a dosage of just 3% of the soil sample weight to irreversibly reduce Cr(vi) to Cr(iii) by 99.56%, much below the secured landfill standards. The end product is further made insoluble and immune to leaching by the action of fly ash and lime, which is confirmed through a water leachability test, as well as analytical outputs. This reagent is significantly more economical than the conventional stabilizing agents tested, delivering up to 356% in cost savings compared to other reagents, and is 148% more cost-effective than FeSO4, the most commonly used stabilizing agent. Therefore, the combination of Na2S2O3, lime, and fly ash in a ratio of 3% : 35% : 29% was determined to be the most effective stabilizing reagent for irreversibly treating chromium-contaminated soil, meeting the landfill disposal criteria.
Data availability
Data for this article, including instrumentations, are available at Science Data Bank at https://doi.org/10.57760/sciencedb.19982.
Author contributions
Atun Roy Choudhury: conceptualization, writing – original draft, supervision. Neha Singh: investigation, formal analysis, writing – original draft. Jitesh Lalwani: writing – original draft, data curation. Saurabh Khodia: writing – original draft. Mandakini Padhi: writing – original draft. Susmit Chitransh: writing – original draft. Sankar Ganesh Palani: project administration, writing – review and editing. Prasenjit Mondal: project administration, writing – review and editing. Hemapriya Srinivasan: investigation, formal analysis.
Conflicts of interest
The authors declare that they have no known competing financial interests or personal relationships that could have appeared to influence the work reported in this paper.
Acknowledgments
During the preparation of this work, the author(s) used ChatGPT in order to enhance language fluency. After using this tool/service, the author(s) reviewed and edited the content as needed and take(s) full responsibility for the content of the published article.
References
- Dong X. Ma L. Q. Gress J. Harris W. Li Y. Enhanced Cr (VI) reduction and As (III) oxidation in ice phase: important role of dissolved organic matter from biochar. J. Hazard. Mater. 2014;267:62–70. doi: 10.1016/j.jhazmat.2013.12.027. [DOI] [PubMed] [Google Scholar]
- Kim S. D. Park K. S. Gu M. B. Toxicity of hexavalent chromium to Daphnia magna: influence of reduction reaction by ferrous iron. J. Hazard. Mater. 2002;93:155–164. doi: 10.1016/S0304-3894(02)00057-2. [DOI] [PubMed] [Google Scholar]
- Li Y. Cundy A. B. Feng J. Fu H. Wang X. Liu Y. Remediation of hexavalent chromium contamination in chromite ore processing residue by sodium dithionite and sodium phosphate addition and its mechanism. J. Environ. Manag. 2017;192:100–106. doi: 10.1016/j.jenvman.2017.01.031. [DOI] [PubMed] [Google Scholar]
- Sahoo P. K. Equeenuddin S. M. Powell M. A. Trace elements in soils around coal mines: current scenario, impact and available techniques for management. Curr. Pollut. Rep. 2016;2:1–14. doi: 10.1007/s40726-016-0025-5. [DOI] [Google Scholar]
- Choudhury A. R. Singh N. Palani S. G. Lalwani J. Bioremediation of reverse osmosis concentrate generated from the treatment of landfill leachate. Environ. Sci. Pollut. Res. 2023;30:93934–93951. doi: 10.1007/s11356-023-28957-0. [DOI] [PubMed] [Google Scholar]
- Chitransh S. Hussain I. Mondal P. A novel method for the remediation of synthetic acid mine drainage using eggshell waste, H2O2 and KHCO3. J. Water Process Eng. 2024;59:105010. doi: 10.1016/j.jwpe.2024.105010. [DOI] [Google Scholar]
- Hoenerhoff M. J., Boyle M., Minocherhomji S. and Pandiri A. R., Carcinogenesis: mechanisms and evaluation, in Haschek and Rousseaux's Handbook of Toxicologic Pathology, Academic Press, 2022, pp. 205–254, 10.1016/B978-0-12-821044-4.00013-3 [DOI] [Google Scholar]
- Wu Q. Mo W. Liu J. Peng S. Li Q. Wan R. Remediation of high-concentration Cr (VI)-contaminated soils with FeSO4 combined with biostimulation: Cr (VI) transformation and stabilization. J. Hazard. Mater. Adv. 2022;8:100161. doi: 10.1016/j.hazadv.2022.100161. [DOI] [Google Scholar]
- Kanchinadham S. B. K. Narasimman L. M. Pedaballe V. Kalyanaraman C. Diffusion and leachability index studies on stabilization of chromium contaminated soil using fly ash. J. Hazard. Mater. 2015;297:52–58. doi: 10.1016/j.jhazmat.2015.04.045. [DOI] [PubMed] [Google Scholar]
- Zhang T. T. Xue Q. Li J. S. Wei M. L. Wang P. Liu L. Wan Y. Effect of ferrous sulfate dosage and soil particle size on leachability and species distribution of chromium in hexavalent chromium-contaminated soil stabilized by ferrous sulfate. Environ. Prog. Sustainable Energy. 2019;38:500–507. doi: 10.1002/ep.12936. [DOI] [Google Scholar]
- Brose D. A. James B. R. Hexavalent chromium reduction in solution and in chromite ore processing residue-enriched soil by tartaric acid with isopropyl alcohol and divalent manganese as co-reductants. J. Environ. Qual. 2013;42:766–773. doi: 10.2134/jeq2012.0454. [DOI] [PubMed] [Google Scholar]
- Kameswari K. S. B. Pedaballe V. Narasimman L. M. Kalyanaraman C. Remediation of chromite ore processing residue using solidification and stabilization process. Environ. Prog. Sustainable Energy. 2015;34:674–680. doi: 10.1002/ep.12047. [DOI] [Google Scholar]
- Lai C. Y. Zhong L. Zhang Y. Chen J. X. Wen L. L. Shi L. D. Zhao H. P. Bioreduction of chromate in a methane-based membrane biofilm reactor. Environ. Sci. Technol. 2016;50:5832–5839. doi: 10.1021/acs.est.5b06177. [DOI] [PubMed] [Google Scholar]
- Stewart D. I. Burke I. T. Hughes-Berry D. V. Whittleston R. A. Microbially mediated chromate reduction in soil contaminated by highly alkaline leachate from chromium containing waste. Ecol. Eng. 2010;36:211–221. doi: 10.1016/j.ecoleng.2008.12.028. [DOI] [Google Scholar]
- Park S. H. An J. Koutsospyros A. Moon D. H. Assessment of the stabilization of Cu-, Pb-, and Zn-contaminated fine soil using cockle shells, scallop shells, and starfish. Agriculture. 2023;13:1414. doi: 10.3390/agriculture13071414. [DOI] [Google Scholar]
- Yang C. Y. Tseng Y. L. Hseu Z. Y. Kinetics of chromium reduction associated with varying characteristics of agricultural soils. Water. 2022;14:570. doi: 10.3390/w14040570. [DOI] [Google Scholar]
- Zhang X. Zhang X. Li L. Fu G. Liu X. Xing S. Feng H. Chen B. The toxicity of hexavalent chromium to soil microbial processes concerning soil properties and aging time. Environ. Res. 2022;204:111941. doi: 10.1016/j.envres.2021.111941. [DOI] [PubMed] [Google Scholar]
- Li Y. Liang J. He X. Zhang L. Liu Y. Kinetics and mechanisms of amorphous FeS2 induced Cr (VI) reduction. J. Hazard. Mater. 2016;320:216–225. doi: 10.1016/j.jhazmat.2016.08.010. [DOI] [PubMed] [Google Scholar]
- Sedlazeck K. P. Vollprecht D. Müller P. Mischitz R. Gieré R. Impact of an in situ Cr (VI)-contaminated site remediation on the groundwater. Environ. Sci. Pollut. Res. 2020;27:14465–14475. doi: 10.1007/s11356-019-07513-9. [DOI] [PMC free article] [PubMed] [Google Scholar]
- Zhang T. T. Xue Q. Wei M. L. Leachability and stability of hexavalent-chromium-contaminated soil stabilized by ferrous sulfate and calcium polysulfide. Appl. Sci. 2018;8:1431. doi: 10.3390/app8091431. [DOI] [Google Scholar]
- Digiacomo F. Tobler D. J. Held T. Neumann T. Immobilization of Cr (VI) by sulphate green rust and sulphidized nanoscale zerovalent iron in sand media: batch and column studies. Geochem. Trans. 2020;21:1–12. doi: 10.1186/s12932-020-00073-9. [DOI] [PMC free article] [PubMed] [Google Scholar]
- Ding W. Stewart D. I. Humphreys P. N. Rout S. P. Burke I. T. Role of an organic carbon-rich soil and Fe(III) reduction in reducing the toxicity and environmental mobility of chromium(VI) at a COPR disposal site. Sci. Total Environ. 2016;541:1191–1199. doi: 10.1016/j.scitotenv.2015.09.150. [DOI] [PubMed] [Google Scholar]
- Jafarian A. Jafarian S. Geogenic and anthropogenic chromium contamination in groundwater in an ophiolitic area, northeastern Iran. Universal Journal of Geoscience. 2017;5:183–190. doi: 10.13189/ujg.2017.050603. [DOI] [Google Scholar]
- Wei W. Klaebe R. Ling H. F. Huang F. Frei R. Biogeochemical cycle of chromium isotopes at the modern Earth's surface and its applications as a paleo-environment proxy. Chem. Geol. 2020;541:119570. doi: 10.1016/j.chemgeo.2020.119570. [DOI] [Google Scholar]
- Xu G. Shi X. Characteristics and applications of fly ash as a sustainable construction material: a state-of-the-art review. Resour. Conserv. Recycl. 2018;136:95–109. doi: 10.1016/j.resconrec.2018.04.010. [DOI] [Google Scholar]
- Yuan W. Xu W. Wu Z. Zhang Z. Wang L. Bai J. Wang X. Zhang Q. Zhu X. Zhang C. Wang J. Mechanochemical treatment of Cr (VI) contaminated soil using a sodium sulfide coupled solidification/stabilization process. Chemosphere. 2018;212:540–547. doi: 10.1016/j.chemosphere.2018.08.121. [DOI] [PubMed] [Google Scholar]
- Lal A. Fronczyk J. Does current knowledge give a variety of possibilities for the stabilization/solidification of soil contaminated with heavy metals?—A review. Materials. 2022;15:8491. doi: 10.3390/ma15238491. [DOI] [PMC free article] [PubMed] [Google Scholar]
- Mathapati M. Amate K. Prasad C. D. Jayavardhana M. L. Raju T. H. A review on fly ash utilization. Mater. Today: Proc. 2022;50:1535–1540. doi: 10.1016/j.matpr.2021.09.106. [DOI] [Google Scholar]
- Huang T. Y. Chiueh P. T. Lo S. L. Life-cycle environmental and cost impacts of reusing fly ash. Resour. Conserv. Recycl. 2017;123:255–260. doi: 10.1016/j.resconrec.2016.07.001. [DOI] [Google Scholar]
- U.S. Environmental Protection Agency (USEPA), In Situ Treatment of Soil and Groundwater Contaminated with Chromium, Technical Resource Guide No. EPA/625/R-00/005, Washington, D.C., 2000 [Google Scholar]
- Test Methods for Evaluating Solid Waste, Toxicity Characteristic Leaching Procedure (TCLP), Method 1131, SW-846; Code of Federal Regulations, Section 261, Title 40, Appendix II, Fed. Regist., 1990, vol. 55, p. 11863 [Google Scholar]
- DIN 38414 S4, German Standard Procedure for Water, Wastewater, and Sediment Testing. Group S (Sludge and Sediment). Determination of Leachability (S4), Institut für Normung, Berlin, 1984 [Google Scholar]
- Ministry of Environmental Protection of the People's Republic of China, GB15618, Environmental Quality Standards Soils, Beijing, China, 2008 [Google Scholar]
- Vaiopoulou E. Gikas P. Regulations for chromium emissions to the aquatic environment in Europe and elsewhere. Chemosphere. 2020;254:126876. doi: 10.1016/j.chemosphere.2020.126876. [DOI] [PubMed] [Google Scholar]
- Kostarelos K. Rao E. Reale D. Moon D. H. Reduction of Cr (VI) to Cr (III) in artificial, contaminated soil using ferrous sulfate heptahydrate and sodium thiosulfate. Pract. Period. Hazard., Toxic, Radioact. Waste Manage. 2009;13:135–139. doi: 10.1061/(ASCE)1090-025X(2009)13:2(135). [DOI] [Google Scholar]
- Zhang T.-T. Xue Q. Wei M.-L. Leachability and stability of hexavalent-chromium-contaminated soil stabilized by ferrous sulfate and calcium polysulfide. Appl. Sci. 2018;8:1431. doi: 10.3390/app8091431. [DOI] [Google Scholar]
- ASTM International, Standard Practices for Preserving and Transporting Soil Samples (ASTM D4220/D4220M-14), ASTM International, 2014, 10.1520/D4220_D4220M-14 [DOI] [Google Scholar]
- Eaton A. D., Baird R. B. and Rice E. W., Part 3500 Cr-B: Colorimetric method for Cr (VI), in Standard Methods for the Examination of Water and Wastewater, American Public Health Association, American Water Works Association, Water Environment Federation, 23rd edn, 2017, pp. 3–72 [Google Scholar]
- Duncam J. B., Guthrie M. D., Lueck K. J. and Avila M., Laboratory Study for the Reduction of Chrome (VI) to Chrome (III) Using Sodium Metabisulfite under Acidic Conditions (No. RPP-RPT-34083 Rev 0), Hanford Site (HNF), Richland, WA (United States), 2007, 10.2172/940015 [DOI] [Google Scholar]
- Kerur S. S. Bandekar S. Hanagadakar M. S. Nandi S. S. Ratnamala G. M. Hegde P. G. Removal of hexavalent chromium-industry treated water and wastewater: a review. Mater. Today: Proc. 2021;42:1112–1121. doi: 10.1016/j.matpr.2020.12.492. [DOI] [Google Scholar]
- Velasco A. Ramírez M. Hernández S. Schmidt W. Revah S. Pilot scale treatment of chromite ore processing residue using sodium sulfide in single reduction and coupled reduction/stabilization processes. J. Hazard. Mater. 2012;207:97–102. doi: 10.1016/j.jhazmat.2011.04.012. [DOI] [PubMed] [Google Scholar]
- Choudhury A. R., Palani S. G., Chakraborty S., Dubey B. and Garg S., A comprehensive techno-commercial analysis of biomedical & COVID waste-related situation in India abetted with a case study, in Material and Energy Recovery from Solid Waste for a Circular Economy, 2024, pp. 91–133, 10.1201/9781003364467-5 [DOI] [Google Scholar]
- Baig M. A. Mir M. Murtaza S. Bhatti Z. I. Laboratory scale studies on removal of chromium from industrial wastes. J. Environ. Sci. 2003;15:417–422. [PubMed] [Google Scholar]
- Verma B. Balomajumder C. Hexavalent chromium reduction from real electroplating wastewater by chemical precipitation. Bull. Chem. Soc. Ethiop. 2020;34:67–74. doi: 10.4314/bcse.v34i1.6. [DOI] [Google Scholar]
- Pyagay I. Zubkova O. Zubakina M. Sizyakov V. Method for decontamination of toxic aluminochrome catalyst sludge by reduction of hexavalent chromium. Inorganics. 2023;11:284. doi: 10.3390/inorganics11070284. [DOI] [Google Scholar]
- He L. Wang M. Zhang G. Qiu G. Cai D. Wu Z. Zhang X. Remediation of Cr(VI) contaminated soil using long-duration sodium thiosulfate supported by micro-nano networks. J. Hazard. Mater. 2015;294:64–69. doi: 10.1016/j.jhazmat.2015.03.052. [DOI] [PubMed] [Google Scholar]
- Rodríguez-Piñero M. Pereira C. F. Francoy C. R. d. E. Parapar J. F. V. Stabilization of a chromium-containing solid waste: immobilization of hexavalent chromium. J. Air Waste Manag. Assoc. 1998;48:1093–1099. doi: 10.1080/10473289.1998.10463765. [DOI] [PubMed] [Google Scholar]
- Vats V. Melton G. Islam M. Krishnan V. V. FTIR spectroscopy as a convenient tool for detection and identification of airborne Cr (VI) compounds arising from arc welding fumes. J. Hazard. Mater. 2023;448:130862. doi: 10.1016/j.jhazmat.2023.130862. [DOI] [PubMed] [Google Scholar]
- Kulkarni S. Gharpure S. Sur U. K. Ankamwar B. Hydrothermal biosynthesis of chromium sulphide nanoparticles using egg yolk and its catalytic activity in degradation of dyes. Nano Express. 2020;1:010019. doi: 10.1088/2632-959X/ab844c. [DOI] [Google Scholar]
- Liang Z. Wang Q. Dong B. Jiang B. Xing F. Ion-triggered calcium hydroxide microcapsules for enhanced corrosion resistance of steel bars. RSC Adv. 2018;8:39536–39544. doi: 10.1039/C8RA07382A. [DOI] [PMC free article] [PubMed] [Google Scholar]
- Masood M. H. Haleem N. Shakeel I. Jamal Y. Carbon dioxide conversion into the reaction intermediate sodium formate for the synthesis of formic acid. Res. Chem. Intermed. 2020;46:5165–5180. doi: 10.1007/s11164-020-04255-z. [DOI] [Google Scholar]
- Yaping Y. Xiaoqiang Z. Weilan Q. Mingwen M. Synthesis of pure zeolites from supersaturated silicon and aluminum alkali extracts from fused coal fly ash. Fuel. 2008;87:1880–1886. doi: 10.1016/j.fuel.2007.12.002. [DOI] [Google Scholar]
Associated Data
This section collects any data citations, data availability statements, or supplementary materials included in this article.
Data Availability Statement
Data for this article, including instrumentations, are available at Science Data Bank at https://doi.org/10.57760/sciencedb.19982.










