Abstract
Background:
Increased BMI is paradoxically associated with improved survival among patients with acute heart failure (AHF). However, the impact of different nutritional status on this obesity paradox on 1-year mortality is underreported. The prognostic nutritional index is a simple tool to assess nutrition status.
Methods:
From 10,027 emergency department admissions at the Amager and Hvidovre Hospital, Copenhagen University Hospital in Denmark, all patients with AHF were identified. Patients were categorised by BMI (normal: 18.5–24.9 kg/m2, overweight: 25–29.9 kg/m2, obese: ≥30 kg/m2) and nutritional status using the prognostic nutritional index (malnourished: <38, well-nourished: ≥38). Kaplan– Meier curves analysed cumulative survival, and Cox regression examined associations between BMI, nutritional status and outcomes, expressed as HR and 95% CI.
Results:
Among 383 AHF patients (median age 76 years), 41.3% were malnourished and 58.7% well nourished. In the well-nourished group, obesity was inversely associated with 1-year mortality (adjusted HR 0.48; 95% CI [0.24–0.95]; p=0.035). However, this correlation disappeared in the malnourished group (adjusted HR 1.08; 95% CI [0.59–2.00]; p=0.798). Mortality rates were significantly lower in the well-nourished group among patients with overweight and obesity.
Conclusion:
Obesity was associated with reduced 1-year mortality only in AHF patients with good nutritional status, while in malnourished patients, obesity was not associated with 1-year mortality. The prognosis in patients with AHF depends on both the presence of obesity and their nutritional status, highlighting the need for nutritional assessment for risk stratification.
Keywords: Heart failure, obesity, nutrition, mortality, body mass index, prognosis, stratification
Acute heart failure (AHF) is a clinical syndrome of a decline in cardiac function leading to hospitalisation, which is caused by various factors, such as myocardial injury and cardiac overload.1 The clinical presentation of AHF varies widely and is most often associated with the presence of congestion and sometimes hypoperfusion.1 Despite advancements in chronic heart failure management, AHF remains a leading cause of morbidity, mortality and hospitalisation globally, especially among older adults and those with chronic conditions.2 Therefore, understanding the prognostic factors of AHF may play a vital role in assisting clinicians to identity high-risk patients and implement interventions for related risk factors as soon as possible.
Obesity is another major public health concern, with its prevalence rapidly increasing in industrialised nations.3 It has been established that obesity is a risk factor for the development of heart failure (HF).4,5 However, once HF is diagnosed, obesity appears to provide a survival advantage compared with leaner counterparts.6 This phenomenon is referred to as the ‘obesity paradox’.7 Whether this counterintuitive epidemiological association between survival outcomes and traditional risk factors is a real phenomenon or the result of reverse causality or bias remains unclear.8
However, the recent STEP-HFpEF studies with semaglutide versus placebo are shedding light on the advantages of intentional weight loss for patients with HF with preserved ejection fraction and a BMI of ≥30 kg/m2, especially as improvements in functional outcomes were consistent across the obesity classes.9–11 In addition, although not primarily a weight loss study, the SELECT trial of semaglutide in patients with cardiovascular (CV) disease (almost one-quarter with HF) and BMI ≥27 kg/m2, but no history of diabetes, showed improved CV outcomes.12 Despite the obesity paradox, there are many potential benefits of treating obesity for patients with concurrent HF via lifestyle (diet and exercise), surgical or pharmacological interventions.13–17
Although often overlooked, malnutrition is highly prevalent among patients with HF, and is associated with poor prognosis, prolonged hospital stays and poor quality of life, especially at advanced disease stages.18–20 As a result, evaluation of nutritional status is recommended in the HF guidelines.1
One screening tool, termed the prognostic nutritional index (PNI), has gained attention for prognostic use in assessing the nutritional status of HF patients.21–26 The PNI, calculated from serum albumin levels and total lymphocyte counts, is a simple yet effective indicator.21–26 Numerous studies have shown that a low PNI is independently associated with increased long-term all-cause mortality and rehospitalisation rates in HF patients.24–26
Obesity and malnutrition are two conditions that can be associated in the same HF patient.27
Malnutrition is a metabolic condition resulting from a chronic imbalance between anabolism and catabolism, where inadequate nutritional intake leads to a chronic catabolic state and subsequent weight loss.18
The associations of obesity and nutritional status on AHF mortality are complex, with obesity potentially playing a protective role, malnutrition constituting a risk factor and the combined effect being mostly unknown. In this study, we aimed to investigate the association of obesity on all- cause 1-year mortality of AHF under different nutritional status.
Methods
Database Introduction
The study was a single-centre study at the Department of Emergency Medicine, Amager and Hvidovre Hospital, Copenhagen University Hospital, Hvidovre, Denmark. It was a retrospective cohort study using prospectively collected data. Patients aged ≥18 years admitted at the emergency department (ED) with symptoms of infection, mainly chest pain, shortness of breath, cough, fever and headache were consecutively included from 10 March 2020 to 31 March 2022. In this period, all acutely admitted medical patients were prospectively tested for COVID-19 and included in the cohort. The follow-up period was at least 100 days from index hospitalisation.
Clinical data were recorded from the electronic health records and registered in the Research Electronic Data Capture program (REDCap Consortium) after inclusion was completed. The electronic health records cover medical records from all EDs in the Capital Region of Denmark and the Region of Zealand, and information on any drug prescriptions and out-of-hospital deaths across Denmark.
The database and collection of clinical data were approved by the Danish Data Protection Agency (record no. P-2020-513) and by the Danish Patient Safety Authority (record no. 31-1521-319). No changes to routine clinical practice or treatment were applied. The study did not cause any delay in treatment or diagnostics.
Study Population and Definition
All patients’ records were screened, and patient data were extracted from the electronic patient record system using each patient’s unique civil registration (central person registry). We identified 10,027 patients who had contact with Amager and Hvidovre Hospital, Copenhagen University Hospital, during the study period. After applying specific exclusion criteria, 7,220 (72.0%) patients admitted to the ED remained. Patients were excluded from the study based on the following criteria: no contact with the primary sector during the study period, only outpatient visits to the hospital, no blood samples taken within 24 hours of admission, repeat admissions, not being diagnosed with AHF, no height and/or weight registered, and missing serum albumin levels and/or total lymphocyte counts data.
We used the ICD-9 diagnosis codes to extract all patients diagnosed with cardiopulmonary conditions from the database. AHF diagnoses were subsequently validated through a manual review of patients’ medical records. Patients with AHF were identified through a chart review conducted by trained cardiologists to determine if AHF was present at admission. In cases of uncertainty, discrepancies were resolved through internal discussions among the study investigators. Furthermore, patients with a diagnosis of ‘lung oedema’ and those meeting the following criteria were included: an oxygen demand >1 l/min, an N-terminal pro-brain natriuretic peptide level >150 pmol/l at admission, the administration of IV furosemide within the first 24 hours of admission, and when available, echocardiographic findings of cardiac dysfunction.
The final cohort comprised 383 patients (3.8 %) diagnosed with AHF and admitted to the ED, who had available PNI scores (Supplementary Figure 1).
Nutritional status was defined based on the PNI and is calculated according to the formula: 10 × serum albumin (g/dl) + 5 × total lymphocyte count × 109/l. A value ≥38 (high-PNI) was considered well-nourished, and a value <38 was considered malnourished (low-PNI).24,28 BMI was calculated as weight (kg) divided by height (m) squared. Based on the classification standards of the WHO BMI classification standards, patients were divided into four groups: underweight (<18.5 kg/m2), normal weight (18.5–24.9 kg/m2), overweight (25–29.9 kg/m2) and obesity (≥30 kg/m2).29 Notably, a BMI of exactly 30 kg/m2 was classified within the obesity category. Due to the limited number of underweight patients (n=22), these patients were excluded from the analysis.
Data Extraction and Processing
Laboratory Measurements
Blood samples were obtained within the first 2 hours of admission at the ED, and analysed at the Department of Clinical Biochemistry, Copenhagen University Hospital, Hvidovre, Denmark. White blood cell counts, albumin, haemoglobin, creatinine, carbamide, C-reactive protein and alanine aminotransferase were measured using a COBAS 8,000 analyser (Roche Diagnostics). Cell counts (leukocytes, eosinophils, lymphocytes and neutrophils) were measured using flow cytometry on a Sysmex XN 9000 (Sysmex Corporation).
Plasma soluble urokinase plasminogen activator receptor was measured using the suPARnostic Quick Triage point-of-care test (ViroGates) according to the manufacturer’s instructions and quantified using an aLF reader (QIAGEN). Blood for this test (ethylenediaminetetraacetic acid; 4 ml) was drawn on arrival at the ED (within the first 2 hours after admission) and centrifuged for 3 minutes.
Clinical Data at Admission
Upon admission, all patients had vital signs assessed: systolic and diastolic blood pressure, pulse, respiratory rate, peripheral oxygen saturation (pulse oximetry), oxygen supplementation, body temperature and National Early Warning Score values.30 Standard transthoracic echocardiograms (2D, Doppler) examinations were performed using commercially available equipment (Vivid E7 and E9; GE Healthcare). During hospitalisation, cardiac morphology was assessed to estimate left ventricular systolic function according to ejection fraction.
We collected information on demographics, baseline comorbidities (e.g. history of stroke, chronic obstructive pulmonary disease and diabetes) and physical examination (height and weight). Both BMI and nutritional status were recovered at admission.
Outcomes
The primary outcome was all-cause 1-year mortality. Secondary outcomes were in-hospital mortality, hospital length of stay and rehospitalisations within the first year after the day of admission. Survival time was defined as the period from the day of admission to the day of death.
Statistical Analysis
All analyses were operated using software R, version 4.3.2 (R Foundation for Statistical Computing). Based on the distribution and variance of data, continuous variables were expressed as the mean ± SD or median (range with minimum and maximum values in the dataset), and compared using Student’s t-test or Mann–Whitney U-test. Categorical variables are represented by composition ratio and compared applying the χ2 test or Fisher’s exact test.
Kaplan–Meier (KM) curves were used to analyse cumulative survival in each subgroup, and the log-rank test was used to compare differences between groups. Cox regression models were used to analyse associations between BMI, nutritional status and outcomes, expressed as HR and relative 95% CI. To avoid the interference of potential confounding factors, age, sex, comorbidities and laboratory variables with p<0.05 in Table 1 were included in the final regression model. The laboratory parameters were chosen due to their significant influence on albumin and lymphocyte concentrations.31 A two-tailed p<0.05 was set as a statistically significant difference.
Table 1: Baseline Characteristics of the Study Population Stratified by Prognostic Nutritional Index.
| Variables | Low PNI (n=158) | High PNI (n=225) | Overall (n=383) | p-value |
|---|---|---|---|---|
| Female | 69 (43.7%) | 98 (43.6%) | 167 (43.6%) | 1 |
| Age (years) | 79.0 (29.0–102) | 75.0 (31.0–105) | 76.0 (29.0–105) | 0.005** |
| PNI | 34.1 (18.2–38.0) | 43.5 (38.1–139) | 39.5 (18.2–139) | <0.001*** |
| BMI (kg/m2) | 26.2 (18.5–53.6) | 27.0 (19.0–62.3) | 26.5 (18.5–62.3) | 0.090 |
| BMI 18.5–24.9 | 67 (42.4%) | 75 (33.3%) | 142 (37.1%) | |
| BMI 25–29.9 | 48 (30.4%) | 86 (38.2%) | 134 (35.0%) | |
| BMI≥30 | 43 (27.2%) | 64 (28.4%) | 107 (27.9%) | |
| Comorbidities at Admission | ||||
| Smoking | 31 (21.2%) | 45 (21.5%) | 76 (21.4%) | 0.240 |
| Coronary artery disease | 63 (39.9%) | 85 (37.8%) | 148 (38.6%) | 0.758 |
| Prior stroke | 30 (19.0%) | 37 (16.4%) | 67 (17.5%) | 0.611 |
| Diabetes | 53 (33.5%) | 80 (35.6%) | 133 (34.7%) | 0.766 |
| Hypertension | 84 (53.2%) | 144 (64.0%) | 228 (59.5%) | 0.043* |
| COPD | 43 (27.2%) | 55 (24.4%) | 98 (25.6%) | 0.622 |
| Known HF | 81 (51.3%) | 138 (61.3%) | 219 (57.2%) | 0.064 |
| AF | 30 (19.0%) | 48 (21.3%) | 78 (20.4%) | 0.665 |
| Laboratory Parameters | ||||
| Serum albumin | 29.0 (16.0–35.0) | 35.0 (24.0–44.0) | 33.0 (16.0–44.0) | <0.001*** |
| Lymphocytes | 0.90 (0.11–3.20) | 1.70 (0.46–21.0) | 1.30 (0.11–21.0) | <0.001*** |
| Leukocytes | 8.90 (1.70–26.7) | 9.40 (3.05–28.0) | 9.30 (1.70–28.0) | 0.277 |
| Neutrophils | 6.93 (2.09–25.0) | 6.50 (2.10–25.0) | 6.80 (2.09–25.0) | 0.326 |
| Eosinophils | 0.05 (0–1.35) | 0.13 (0–1.74) | 0.10 (0–1.74) | 0.025* |
| suPAR | 6.30 (2.80–55.6) | 4.60 (1.60–18.3) | 5.20 (1.60–55.6) | <0.001*** |
| C-reactive protein | 28.50 (0.60–500) | 7.40 (0.60–340) | 14.0 (0.60–500) | <0.001*** |
| Carbamide | 8.20 (2.30–33.9) | 6.90 (2.40–32.9) | 7.40 (2.30–33.9) | 0.007** |
| Creatinine | 98.5 (38.0–918) | 94.5 (37.0–1,110) | 96.5 (37.0–1,110) | 0.278 |
| ALAT | 21.0 (6.00–662) | 23.0 (5.00–193) | 22.5 (5.00–662) | 0.065 |
| Haemoglobin | 7.20 (2.90–12.0) | 8.10 (3.70–12.6) | 7.80 (2.90–12.6) | <0.001*** |
| Clinical Data at Admission | ||||
| Systolic BP (mmHg) | 140 (73.0–233) | 148 (70.0–259) | 144 (70.0–259) | 0.003** |
| Diastolic BP (mmHg) | 80.0 (36.0–209) | 85.0 (37.0–167) | 83.0 (36.0–209) | 0.001** |
| HR (BPM) | 89.0 (35.0–200) | 93.0 (12.0–187) | 92.0 (12.0–200) | 0.277 |
| Respiratory rate (breaths/min) | 22.0 (13.0–50.0) | 20.0 (14.0–45.0) | 22.0 (13.0–50.0) | 0.758 |
| Saturation (%) | 96.0 (52.0–100) | 96.0 (60.0–100) | 96.0 (52.0–100) | 0.345 |
| Oxygen demand (l/min) | 2.00 (0–35.0) | 0 (0–50.0) | 1.00 (0–50.0) | 0.183 |
| Temperature (°C) | 36.6 (35.3–40.2) | 36.6 (35.2–39.8) | 36.6 (35.2–40.2) | 0.070 |
| NEWS | 4.00 (0–13.0) | 4.00 (0–13.0) | 4.00 (0–13.0) | 0.145 |
| LVEF (%) | 50.0 (10.0–60.0) | 45.0 (5.00–60.0) | 47.8 (5.00–60.0) | 0.036* |
| Confirmed COVID-19 infection | 19 (10.9%) | 3 (1.3%) | 22 (5.4%) | <0.001*** |
| Confirmed non-COVID-19 infection† | 17 (10.8%) | 21 (9.3%) | 38 (9.9%) | 0.775 |
| Outcomes | ||||
| 1-year mortality | 68 (43.0%) | 59 (26.2%) | 127 (33.2%) | <0.001*** |
| In-hospital mortality | 25 (15.8%) | 13 (5.8%) | 38 (9.9%) | 0.002** |
| Hospital LOS (days) | 7.50 (0–74.0) | 5.00 (0–97.0) | 5.00 (0–97.0) | 0.008** |
| Rehospitalisations within first year after admission (count) | 2.00 (0–26.0) | 2.00 (0–13.0) | 2.00 (0–26.0) | 0.114 |
Data are presented as median (range) or n (%). *p<0.05; **p<0.01; ***p<0.001. †Non-COVID-19-related infections, such as bacterial pneumonia, urosepsis, unspecified infections and chronic obstructive pulmonary disease with bacterial infection. ALAT = alanine aminotransferase; BP = blood pressure; COPD = chronic obstructive pulmonary disease; HF = heart failure; HR = heart rate; LOS = length of stay; LVEF = left ventricular ejection fraction; NEWS = National Early Warning Score; PNI = prognostic nutritional index; suPAR = soluble urokinase plasminogen activator receptor.
Results
Clinical Baseline Characteristics of Study Population
The baseline characteristics of patients in the low- and high-PNI groups are presented in Table 1. The study population included 383 patients with a median age of 76 years (range 29–105 years). The median PNI was 39.5 (range 18.2–139). A total of 158 patients (41.3%) were in the low-PNI (malnourished) group, and 230 (58.7%) in the high-PNI (well-nourished) group. Compared with the high-PNI group, patients in the low-PNI group were older, and had lower levels of eosinophils and haemoglobin. In addition, they had lower systolic and diastolic blood pressures (at admission), while C-reactive protein, soluble urokinase plasminogen activator receptor, carbamide, confirmed COVID-19 infections and left ventricular ejection fraction were higher.
Compared with the high-PNI group, the low-PNI group showed poorer clinical outcomes, such as higher 1-year mortality (43.0 versus 26.2%; p<0.001) and in-hospital mortality (15.8 versus 5.8%; p<0.002), and a longer hospital stay (7.5 days [range 0–74] versus 5 days [range 0–97]; p<0.008). There was no significant difference between the two groups in the number of rehospitalisations within the first year from admission date.
Prognosis
Figure 1A presents KM curves comparing the two groups based on their PNI stratification – low- versus high-PNI. The 1-year survival probability over time is significantly higher in the high-PNI group compared with the low-PNI group. Figure 1B shows KM curves stratified by BMI categories: BMI 18.5–24.9, BMI 25–29.9 and BMI ≥30. The 1-year survival probability does not significantly differ between the BMI groups (log-rank p=0.076). While the obesity group (BMI ≥30) shows a slightly higher survival probability over time, the trends across all BMI groups remain similar without clear separation.
Figure 1: Kaplan–Meier Survival Curves for 1-Year Mortality for Acute Heart Failure Patients Stratified by Prognostic Nutritional Index or BMI.

A: Kaplan–Meier survival curve of 1-year mortality in acute heart failure patients comparing two groups based on their prognostic nutritional index stratification – low prognostic nutritional index versus high prognostic nutritional index. B: Kaplan–Meier survival curve of 1-year mortality in acute heart failure patients stratified by BMI subgroups. PNI = prognostic nutritional index.
In addition, the KM curves in Figure 2A show that patients with obesity in the high-PNI group had a 1-year survival advantage, and that the cumulative survival rate was lowest in patients with a BMI within the overweight and normal range. This phenomenon could not be seen in the low-PNI group (Figure 2B), as there was no significant difference between the BMI subgroups. After adjusting for confounding factors, obesity was independently associated with better survival in the high-PNI group (Figure 2C; Table 2), while the association was insignificant in the low-PNI group (Figure 2D; Table 2). A multivariate Cox regression analysis for additional or independent power of PNI in the total study cohort is also shown in Supplementary Table 1. Supplementary Table 1 demonstrates that patients with a high PNI have a significantly lower risk of 1-year mortality compared with those with a low PNI, both in unadjusted (HR 0.51; 95% CI [0.37–0.69]; p<0.001) and adjusted models (HR 0.64; 95% CI [0.44–0.94]; p=0.024). In addition, high PNI was associated with improved survival in patients with obesity, as indicated by the significant interaction term in Supplementary Table 2.
Figure 2: One-year Survival Analysis of Different Groups of Acute Heart Failure Patients.

A: Kaplan–Meier survival curve of 1-year mortality in acute heart failure patients with different BMI subgroups in the high prognostic nutritional index group. B: Kaplan–Meier survival curve of 1-year mortality in acute heart failure patients with different BMI subgroups in the low prognostic nutritional index group. C: The multivariate Cox regression analysis of 1-year mortality for acute heart failure patients with different BMI subgroups in the high-prognostic nutritional index group. D: The multivariate Cox regression analysis of 1-year mortality for acute heart failure patients with different BMI subgroups in the low prognostic nutritional index group. CRP = C-reactive protein; suPAR = soluble urokinase plasminogen activator receptor. *p<0.05; **p<0.01.
Table 2: Cox Regression Analysis of 1-Year Mortality in Acute Heart Failure Patients Stratified by Prognostic Nutritional Index and BMI.
| Subgroups | Unadjusted | Adjusted | ||||
|---|---|---|---|---|---|---|
| HR | 95% CI | p-value | HR | 95% CI | p-value | |
| High PNI | ||||||
| 18.5–24.9 kg/m2 | Ref | Ref | ||||
| 25–29.9 kg/m2 | 0.71 | [0.43–1.16] | 0.175 | 0.89 | [0.52–1.50] | 0.656 |
| ≥30 kg/m2 | 0.38 | [0.20–0.71] | 0.003** | 0.48 | [0.24–0.95] | 0.035* |
| Low PNI | ||||||
| 18.5–24.9 kg/m2 | Ref | Ref | ||||
| 25–29.9 kg/m2 | 1.30 | [0.78–2.10] | 0.330 | 1.39 | [0.78–2.50] | 0.264 |
| ≥30 kg/m2 | 1.10 | [0.63–1.80] | 0.797 | 1.08 | [0.59–2.00] | 0.798 |
*p<0.05; **p<0.01. Adjusted for age, sex, confirmed COVID-19 infection, carbamide, eosinophils, haemoglobin, soluble urokinase plasminogen activator receptor and C-reactive protein. PNI = prognostic nutritional index; Ref = reference.
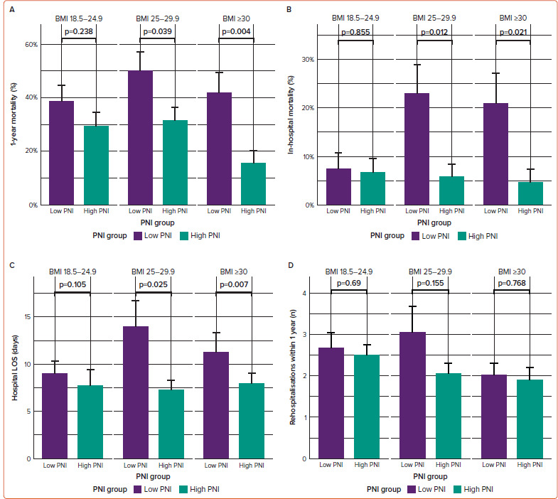
Comparing similar BMI subgroups, the 1-year and in-hospital mortality rates were significantly lower in the high-PNI group, compared with low- PNI, among patients with overweight and obesity (Figure 3A and B). Although patients with a BMI within the normal range showed a trend towards lower mortality in the high-PNI group, this difference did not reach statistical significance.
Figure 3: Clinical Outcomes in Different Groups of Acute Heart Failure Patients.

A: 1-year mortality of acute heart failure patients stratified by prognostic nutritional index in similar BMI subgroups. B: In-hospital mortality of acute heart failure patients stratified by prognostic nutritional index in similar BMI subgroups. C: Hospital length of stay of acute heart failure patients stratified by prognostic nutritional index in similar BMI subgroups. D: Rehospitalisation rates of acute heart failure patients stratified by prognostic nutritional index in similar BMI subgroups. LOS = length of stay; PNI = prognostic nutritional index.
In addition, the total hospital length of stay varied significantly, and was lower in the high-PNI group among patients with overweight and obesity (Figure 3C). However, among patients with a normal BMI, the difference in hospital length of stay between the high- and low-PNI groups was not statistically significant. Furthermore, there were no significant differences in 1-year rehospitalisation rates (Figure 3D) between the two PNI groups across all BMI categories.
Discussion
Main Findings
This study investigated the association of BMI and nutritional status on the 1-year mortality of patients with AHF. The aim was also to identify a ‘malnutrition-obesity’ group of patients with AHF, which has not been extensively studied, at least in terms of survival. Our findings indicated that 1-year mortality was significantly lower in individuals with obesity compared with those with normal BMI among well-nourished patients. However, this survival benefit was not present in malnourished patients, suggesting that malnutrition may confound the association between obesity and mortality in AHF patients. Malnutrition alone led to a significant decrease in life expectancy when compared with well-nourished AHF patients. Across the defined BMI categories, individuals with a low PNI showed higher mortality rates compared with those with a high PNI, especially in the overweight and obese BMI groups. This suggests that PNI plays a stronger role in predicting mortality in individuals with higher BMI.
To our knowledge, there are no previous studies investigating the association of BMI and nutritional status on the long-term mortality of patients hospitalised with AHF.
It remains unclear whether a low PNI merely indicates malnutrition within a proinflammatory state, making a more advanced disease stage, or if it is a modifiable factor. Nevertheless, the findings suggest that clinicians should further evaluate the nutritional status of patients with HF and obesity to identify those who are malnourished and, hence, at increased risk for a poor prognosis.
Obesity Paradox in Heart Failure
Obesity, a complex interaction between genetics and the environment, is a known risk factor for coronary heart disease and HF.7 Although numerous studies have indicated that obesity, as measured by BMI and other indices, is associated with improved survival in patients diagnosed with HF, some studies have strongly disputed this phenomenon.32 Indeed, assessing BMI alone may not provide a complete understanding of metabolic health, as it does not accurately reflect body composition, metabolic function or their trajectories.33 Regardless, the obesity paradox does not appear to apply to the general population or patients without CV disease, where weight loss is still recommended; thus, further investigation and clarification are warranted in the context of HF.
The resilient protection of high BMI in patients with HF may be explained by greater metabolic reserve, lower circulating levels of B-type natriuretic peptide, neuroendocrine protection, reduced sympathetic activity, higher blood volume, genetic factors and lower catabolic state.34–38 Additionally, studies have shown that compared with patients with HF and high BMI, patients with HF and normal BMI may have lower muscle mass and strength, known as sarcopenia, which can lead to poor cardiopulmonary function and adverse clinical outcomes.39 It is important to note that most studies supporting the obesity paradox are retrospective epidemiological studies, and potential confounding factors or collider biases must be considered. This broad term encompasses confounding factors, such as pre-existing (unintentional) weight loss or other predictors of low bodyweight (e.g. disease stage and severity, malnutrition, and smoking status), which can increase the risk of adverse outcomes.40
For instance, the obesity paradox was not observed in chronic ischaemic HF, nor did HF patients with diabetes benefit from it.41,42 Moreover, no significant association was found between higher BMI and lower mortality in female HF patients.43 This is also consistent with the latest results from the SELECT and STEP-HFpEF trials. A prespecified analysis from the SELECT trial of HF patients showed significant reductions in major adverse CV events with semaglutide, and nonsignificant lower rates of a CV disease/urgent HF visit composite.44 It remains unknown whether the weight loss observed in the pharmacological interventions was directly responsible for achieving the reductions in symptom burden in HF and/or major adverse CV events, or if it was the associated improvements in metabolic health, cardiorespiratory fitness and mediator comorbidities that achieve the clinical effects. Recently, Butt et al. revisited the obesity paradox in patients with HF with reduced ejection fraction, demonstrating that BMI overestimates the survival advantage in obesity due to confounding factors.45 Alternative anthropometric measures, such as waist-to-height ratio, eliminate this paradox, showing greater adiposity is associated with worse outcomes, including higher HF hospitalisation rates.45 The obesity paradox remains controversial in HF with different phenotypes or aetiologies.
Malnutrition in Heart Failure
Malnutrition is prevalent in many diseases, including AHF, and is significantly associated with increased mortality, prolonged hospital stays and numerous complications.25,27,46 A meta-analysis indicated that the prevalence of malnutrition risk in HF was 16–90%, and as high as 75–90% in patients with AHF, and confirmed that malnutrition was significantly associated with poor prognosis and high mortality.47 The metabolic shift in malnutrition is associated with elevated levels of interleukin-2, interleukin-6 and tumour necrosis factor-α, a higher cortisol/dehydroepiandrosterone ratio, increased sympathetic activity and activation of the renin– angiotensin–aldosterone system. These factors collectively contribute to anorexia, weight loss and increased muscle catabolism.48
Key indicators for assessing nutritional status include PNI, controlling nutritional status, Geriatric Nutritional Risk Index, nutritional risk screening (NRS-2002) and various biochemical markers, such as total cholesterol, serum albumin and total lymphocyte count, all of which can help predict the prognosis of patients with AHF.49 Given that serum albumin, height, weight and lymphocyte counts are easily obtained in clinical settings, and reflect immune, inflammatory and metabolic conditions, we used PNI as the nutritional status indicator.1 PNI is calculated using serum albumin levels and lymphocyte count. Our findings revealed that malnourished patients with overweight and obesity had higher mortality rates and longer hospital stays, consistent with previous research.24
Under different nutritional status, and after multivariate adjustment, we found that obesity compared with patients with a BMI within the normal range was inversely correlated with 1-year all-cause mortality of well- nourished patients, suggesting that the obesity paradox may exist. No statistical difference was found in mortality in malnourished patients across all BMI categories. Comparing similar BMI subgroups (Figure 3), well-nourished (PNI ≥38) patients with overweight or obesity had lower 1-year mortality, in-hospital mortality and hospital length of stay compared with malnourished counterparts. One explanation is that malnutrition may exacerbate HF symptoms by promoting pulmonary and gastrointestinal oedema, fluid retention, diuretic resistance, oxidative stress, and inflammatory conditions, ultimately leading to a poorer clinical prognosis.27,50
In HF, chronic congestion, along with gastrointestinal congestion, leads to reduced nutrient intake, which contributes to muscle wasting and cachexia.51,52 Disturbed gut perfusion and impaired intestinal microcirculation result in local oedema, abnormal mucosal permeability and increased endotoxin absorption, thereby fostering a proinflammatory environment.53 This inflammation is considered a key factor in cardiac cachexia, a hallmark of end-stage chronic HF.54 Currently, there are no universally accepted criteria, definitions or standardised methods for assessing nutritional status in HF patients. The PNI offers a simple and objective screening tool for identifying cardiometabolic abnormalities in HF, facilitating early detection of both malabsorption and inflammatory conditions.
Numerous studies have shown that albumin is a strong predictor of outcomes across the spectrum of HF, offering prognostic information comparable to simple or multidimensional malnutrition tools.55,56 However, since albumin concentration can be influenced by non-nutritional factors, such as hydration status, liver dysfunction, capillary permeability, nephrotic syndrome, infections and malignancies, it may not provide a comprehensive and accurate reflection of nutritional status. Lymphocyte count, another key component of the PNI, is also affected by nutritional deprivation, which often leads to a compromised immune response and lymphocyte depletion.57 Previous studies have demonstrated that total lymphocyte count correlates with various established nutritional assessment tools.58 Thus, combining serum albumin levels and lymphocyte count to calculate the PNI can serve as a useful screening tool for identifying patients at risk of malnutrition who may benefit from more thorough nutritional assessments.
The Impact of Malnutrition on the Obesity Paradox in Heart Failure
Previous studies have predominantly focused on investigating the effects of obesity or individual nutritional indicators on CV outcomes. Therefore, this study investigated the association of BMI combined with a nutritional indicator on the prognosis of AHF patients, providing clinicians with a basis for early identification of risk factors.
A study examining the combined impact of obesity and nutritional status in critically ill patients found that those who were obese and malnourished had worse prognosis compared with obese and well-nourished patients.59 Also, another study explored the impact of malnutrition on the obesity paradox in patients with HF across different phenotypes of HF.25 It concluded that while obesity is generally associated with improved survival in patients with HF, malnutrition significantly outweighs this protective effect, suggesting that nutritional assessment is crucial for risk stratification, regardless of BMI.
However, the influence of this combined factor on the prognosis of AHF has not been thoroughly explored until recently. Liu et al. showed that obesity was associated with lower short-term mortality in well-nourished AHF patients, but this protective effect was significantly reduced or absent in malnourished patients, suggesting the importance of considering nutritional status in the prognosis of AHF.24 These results are consistent with our results, supporting the observed interactions between nutritional status and the obesity paradox.
Study Limitations
The findings of our study should be interpreted with its limitations in mind. First, this was a single-centre retrospective observational study, and there is a risk of bias and residual confounding that cannot be eliminated, despite efforts to adjust for potential confounding factors. The observational nature of this study allowed us to identify associations, but it did not permit conclusions about causality. Furthermore, the study was underpowered due to a limited sample size, which may affect the robustness and generalisability of the findings. Second, we did not account for the frailty, immobility and concomitant medications of patients, which could have influenced the results. Third, in our study, many of the basic transthoracic echocardiography was assessed bedside during admission, and it was performed solely to estimate the left ventricular ejection fraction and may not be precise. Therefore, we lacked comprehensive data on left ventricular ejection fraction and HF aetiology, and our conclusions should be interpreted with caution. Fourth, we lacked data on documented active cancer within the cohort, which could potentially influence PNI values and outcomes. Future studies should include detailed information on cancer status to better account for its potential confounding effects. Finally, we used the initial BMI data collected during hospitalisation without tracking subsequent fluctuations, which may include fluid retention; thus, BMI might have been overestimated in some patients. Therefore, large-scale randomised controlled trials are necessary to provide more definitive evidence.
Conclusion
In patients hospitalised with AHF, obesity is associated with reduced 1-year mortality in well-nourished patients. However, this survival advantage disappears in malnourished patients, emphasising the importance for combined assessment of nutritional status and BMI. Lower PNI (malnutrition) was associated with worse outcomes in hospitalised patients with AHF, especially among patients with overweight and obesity. These findings suggest that nutritional assessment should be prioritised in the clinical management of patients with AHF, as it may improve risk stratification beyond BMI alone. Further research and validation of nutritional indicators combined with BMI in a larger population are warranted to validate these findings, and explore the potential use of PNI to guide therapeutic decisions regarding weight loss and nutritional interventions.
Clinical Perspective
Integrating nutritional status with BMI in patients with acute heart failure may improve risk stratification, identifying high-risk patients who might otherwise be misclassified based on BMI alone.
The observed obesity-related survival advantage is contingent on adequate nutritional status, indicating that malnourished obese patients may not benefit from this effect, thus challenging the ‘obesity paradox’ in acute heart failure care.
Nutritional status, when combined with BMI, may provide a basis for therapeutic decisions on weight management and nutritional intervention, potentially guiding tailored treatment plans for acute heart failure patients.
Supplementary Material
References
- 1.McDonagh TA, Metra M, Adamo M et al. 2021 ESC Guidelines for the diagnosis and treatment of acute and chronic heart failure. Eur Heart J. 2021;42:3599–726. doi: 10.1093/eurheartj/ehab368. [DOI] [PubMed] [Google Scholar]
- 2.Kurmani S, Squire I. Acute heart failure: definition, classification and epidemiology. Curr Heart Fail Rep. 2017;14:385–92. doi: 10.1007/s11897-017-0351-y. [DOI] [PMC free article] [PubMed] [Google Scholar]
- 3.GBD 2015 Obesity Collaborators, Afshin A, Forouzanfar MH et al. Health effects of overweight and obesity in 195 countries over 25 years. N Engl J Med. 2017;377:13–27. doi: 10.1056/NEJMoa1614362. [DOI] [PMC free article] [PubMed] [Google Scholar]
- 4.Carbone S, Lavie CJ, Elagizi A et al. The impact of obesity in heart failure. Heart Fail Clin. 2020;16:71–80. doi: 10.1016/j.hfc.2019.08.008. [DOI] [PubMed] [Google Scholar]
- 5.Riaz H, Khan MS, Siddiqi TJ et al. Association between obesity and cardiovascular outcomes: a systematic review and meta-analysis of Mendelian randomization studies. JAMA Netw Open. 2018;1:e183788. doi: 10.1001/jamanetworkopen.2018.3788. [DOI] [PMC free article] [PubMed] [Google Scholar]
- 6.Alagiakrishnan K, Banach M, Ahmed A, Aronow WS. Complex relationship of obesity and obesity paradox in heart failure – higher risk of developing heart failure and better outcomes in established heart failure. Ann Med. 2016;48:603–13. doi: 10.1080/07853890.2016.1197415. [DOI] [PubMed] [Google Scholar]
- 7.Horwich TB, Fonarow GC, Clark AL. Obesity and the obesity paradox in heart failure. Prog Cardiovasc Dis. 2018;61:151–6. doi: 10.1016/j.pcad.2018.05.005. [DOI] [PubMed] [Google Scholar]
- 8.Charnigo R, Guglin M. Obesity paradox in heart failure: statistical artifact, or impetus to rethink clinical practice? Heart Fail Rev. 2017;22:13–23. doi: 10.1007/s10741-016-9577-0. [DOI] [PubMed] [Google Scholar]
- 9.Kosiborod MN, Abildstrøm SZ, Borlaug BA et al. Semaglutide in patients with heart failure with preserved ejection fraction and obesity. N Engl J Med. 2023;389:1069–84. doi: 10.1056/NEJMoa2306963. [DOI] [PubMed] [Google Scholar]
- 10.Kosiborod MN, Petrie MC, Borlaug BA et al. Semaglutide in patients with obesity-related heart failure and type 2 diabetes. N Engl J Med. 2024;390:1394–407. doi: 10.1056/NEJMoa2313917. [DOI] [PubMed] [Google Scholar]
- 11.Borlaug BA, Kitzman DW, Davies MJ et al. Semaglutide in HFpEF across obesity class and by body weight reduction: a prespecified analysis of the STEP-HFpEF trial. Nat Med. 2023;29:2358–65. doi: 10.1038/s41591-023-02526-x. [DOI] [PMC free article] [PubMed] [Google Scholar]
- 12.Lincoff AM, Brown-Frandsen K, Colhoun HM et al. Semaglutide and cardiovascular outcomes in obesity without diabetes. N Engl J Med. 2023;389:2221–32. doi: 10.1056/NEJMoa2307563. [DOI] [PubMed] [Google Scholar]
- 13.Beck-da-Silva L, Higginson L, Fraser M et al. Effect of orlistat in obese patients with heart failure: a pilot study. Congest Heart Fail. 2005;11:118–23. doi: 10.1111/j.1527-5299.2005.03827.x. [DOI] [PubMed] [Google Scholar]
- 14.Shimada YJ, Tsugawa Y, Brown DFM, Hasegawa K. Bariatric surgery and emergency department visits and hospitalizations for heart failure exacerbation: population- based, self-controlled series. J Am Coll Cardiol. 2016;67:895–903. doi: 10.1016/j.jacc.2015.12.016. [DOI] [PubMed] [Google Scholar]
- 15.Kitzman DW, Brubaker P, Morgan T et al. Effect of caloric restriction or aerobic exercise training on peak oxygen consumption and quality of life in obese older patients with heart failure with preserved ejection fraction: a randomized clinical trial. JAMA. 2016;315:36–46. doi: 10.1001/jama.2015.17346. [DOI] [PMC free article] [PubMed] [Google Scholar]
- 16.Evangelista LS, Heber D, Li Z et al. Reduced body weight and adiposity with a high-protein diet improves functional status, lipid profiles, glycemic control, and quality of life in patients with heart failure: a feasibility study. J Cardiovasc Nurs. 2009;24:207–15. doi: 10.1097/JCN.0b013e31819846b9. [DOI] [PMC free article] [PubMed] [Google Scholar]
- 17.Evangelista LS, Doering LV, Lennie T et al. Usefulness of a home-based exercise program for overweight and obese patients with advanced heart failure. Am J Cardiol. 2006;97:886–90. doi: 10.1016/j.amjcard.2005.10.025. [DOI] [PubMed] [Google Scholar]
- 18.von Haehling S, Anker SD. Cachexia as a major underestimated and unmet medical need: facts and numbers. J Cachexia Sarcopenia Muscle. 2010;1:1–5. doi: 10.1007/s13539-010-0002-6. [DOI] [PMC free article] [PubMed] [Google Scholar]
- 19.Aquilani R, Opasich C, Verri M et al. Is nutritional intake adequate in chronic heart failure patients? J Am Coll Cardiol. 2003;42:1218–23. doi: 10.1016/s0735-1097(03)00946-x. [DOI] [PubMed] [Google Scholar]
- 20.Agra Bermejo RM, González Ferreiro R, Varela Román A et al. Nutritional status is related to heart failure severity and hospital readmissions in acute heart failure. Int J Cardiol. 2017;230:108–14. doi: 10.1016/j.ijcard.2016.12.067. [DOI] [PubMed] [Google Scholar]
- 21.Iwakami N, Nagai T, Furukawa TA et al. Prognostic value of malnutrition assessed by Controlling Nutritional Status score for long-term mortality in patients with acute heart failure. Int J Cardiol. 2017;230:529–36. doi: 10.1016/j.ijcard.2016.12.064. [DOI] [PubMed] [Google Scholar]
- 22.Honda Y, Nagai T, Iwakami N et al. Usefulness of geriatric nutritional risk index for assessing nutritional status and its prognostic impact in patients aged ≥65 years with acute heart failure. Am J Cardiol. 2016;118:550–5. doi: 10.1016/j.amjcard.2016.05.045. [DOI] [PubMed] [Google Scholar]
- 23.Aziz EF, Javed F, Pratap B et al. Malnutrition as assessed by nutritional risk index is associated with worse outcome in patients admitted with acute decompensated heart failure: an ACAP-HF data analysis. Heart Int. 2011;6:e2. doi: 10.4081/hi.2011.e2. [DOI] [PMC free article] [PubMed] [Google Scholar]
- 24.Liu L, Qian J, Li Y et al. Effects of obesity on short-term mortality in patients with acute heart failure under different nutritional status. BMC Cardiovasc Disord. 2023;23:221. doi: 10.1186/s12872-023-03206-x. [DOI] [PMC free article] [PubMed] [Google Scholar]
- 25.Prausmüller S, Heitzinger G, Pavo N et al. Malnutrition outweighs the effect of the obesity paradox. J Cachexia Sarcopenia Muscle. 2022;13:1477–86. doi: 10.1002/jcsm.12980. [DOI] [PMC free article] [PubMed] [Google Scholar]
- 26.Cheng YL, Sung SH, Cheng HM et al. Prognostic nutritional index and the risk of mortality in patients with acute heart failure. J Am Heart Assoc. 2017;6:e004876. doi: 10.1161/jaha.116.004876. [DOI] [PMC free article] [PubMed] [Google Scholar]
- 27.Sze S, Pellicori P, Kazmi S et al. Prevalence and prognostic significance of malnutrition using 3 scoring systems among outpatients with heart failure: a comparison with body mass index. JACC Heart Fail. 2018;6:476–86. doi: 10.1016/j.jchf.2018.02.018. [DOI] [PubMed] [Google Scholar]
- 28.Feng L, Chen W, Ping P et al. Preoperative malnutrition as an independent risk factor for the postoperative mortality in elderly Chinese individuals undergoing hip surgery: a single-center observational study. Ther Adv Chronic Dis. 2022;13:20406223221102739. doi: 10.1177/20406223221102739. [DOI] [PMC free article] [PubMed] [Google Scholar]
- 29.Aune D, Sen A, Norat T et al. Body mass index, abdominal fatness, and heart failure incidence and mortality: a systematic review and dose–response meta-analysis of prospective studies. Circulation. 2016;133:639–49. doi: 10.1161/circulationaha.115.016801. [DOI] [PubMed] [Google Scholar]
- 30.Williams B. The National Early Warning Score: from concept to NHS implementation. Clin Med (Lond) 2022;22:499–505. doi: 10.7861/clinmed.2022-news-concept. [DOI] [PMC free article] [PubMed] [Google Scholar]
- 31.Luo L, Li M, Xi Y et al. C-reactive protein-albumin- lymphocyte index as a feasible nutrition-immunity- inflammation marker of the outcome of all-cause and cardiovascular mortality in elderly. Clin Nutr ESPEN. 2024;63:346–53. doi: 10.1016/j.clnesp.2024.06.054. [DOI] [PubMed] [Google Scholar]
- 32.Benn M, Marott SCW, Tybjærg-Hansen A, Nordestgaard BG. Obesity increases heart failure incidence and mortality: observational and Mendelian randomization studies totalling over 1 million individuals. Cardiovasc Res. 2023;118:3576–85. doi: 10.1093/cvr/cvab368. [DOI] [PubMed] [Google Scholar]
- 33.Oreopoulos A, Ezekowitz JA, McAlister FA et al. Association between direct measures of body composition and prognostic factors in chronic heart failure. Mayo Clin Proc. 2010;85:609–17. doi: 10.4065/mcp.2010.0103. [DOI] [PMC free article] [PubMed] [Google Scholar]
- 34.Okuno S. Significance of adipose tissue maintenance in patients undergoing hemodialysis. Nutrients. 2021;13:1895. doi: 10.3390/nu13061895. [DOI] [PMC free article] [PubMed] [Google Scholar]
- 35.Horwich TB, Hamilton MA, Fonarow GC. B-type natriuretic peptide levels in obese patients with advanced heart failure. J Am Coll Cardiol. 2006;47:85–90. doi: 10.1016/j.jacc.2005.08.050. [DOI] [PubMed] [Google Scholar]
- 36.Anker SD, Negassa A, Coats AJS et al. Prognostic importance of weight loss in chronic heart failure and the effect of treatment with angiotensin-converting-enzyme inhibitors: an observational study. Lancet. 2003;361:1077–83. doi: 10.1016/S0140-6736(03)12892-9. [DOI] [PubMed] [Google Scholar]
- 37.Lavie CJ, Milani RV, Ventura HO. Obesity and cardiovascular disease: risk factor, paradox, and impact of weight loss. J Am Coll Cardiol. 2009;53:1925–32. doi: 10.1016/j.jacc.2008.12.068. [DOI] [PubMed] [Google Scholar]
- 38.Farré N, Aranyó J, Enjuanes C et al. Differences in neurohormonal activity partially explain the obesity paradox in patients with heart failure: the role of sympathetic activation. Int J Cardiol. 2015;181:120–6. doi: 10.1016/j.ijcard.2014.12.025. [DOI] [PubMed] [Google Scholar]
- 39.Narumi T, Watanabe T, Kadowaki S et al. Sarcopenia evaluated by fat-free mass index is an important prognostic factor in patients with chronic heart failure. Eur J Intern Med. 2015;26:118–22. doi: 10.1016/j.ejim.2015.01.008. [DOI] [PubMed] [Google Scholar]
- 40.Banack HR, Stokes A. The “obesity paradox” may not be a paradox at all. Int J Obes (Lond) 2017;41:1162–3. doi: 10.1038/ijo.2017.99. [DOI] [PubMed] [Google Scholar]
- 41.Zamora E, Lupón J, de Antonio M et al. The obesity paradox in heart failure: is etiology a key factor? Int J Cardiol. 2013;166:601–5. doi: 10.1016/j.ijcard.2011.11.022. [DOI] [PubMed] [Google Scholar]
- 42.Zamora E, Lupón J, Enjuanes C et al. No benefit from the obesity paradox for diabetic patients with heart failure. Eur J Heart Fail. 2016;18:851–8. doi: 10.1002/ejhf.576. [DOI] [PubMed] [Google Scholar]
- 43.Hong S, Lee JH, Kim KM et al. Is there a sex-related difference in the obesity paradox in systolic heart failure? Sex-related difference in the obesity paradox. Yonsei Med J. 2018;59:57–62. doi: 10.3349/ymj.2018.59.1.57. [DOI] [PMC free article] [PubMed] [Google Scholar]
- 44.Deanfield J, Verma S, Scirica BM et al. Semaglutide and cardiovascular outcomes in patients with obesity and prevalent heart failure: a prespecified analysis of the SELECT trial. Lancet. 2024;404:773–86. doi: 10.1016/S0140-6736(24)01498-3. [DOI] [PubMed] [Google Scholar]
- 45.Butt JH, Petrie MC, Jhund PS et al. Anthropometric measures and adverse outcomes in heart failure with reduced ejection fraction: revisiting the obesity paradox. Eur Heart J. 2023;44:1136–53. doi: 10.1093/eurheartj/ehad083. [DOI] [PMC free article] [PubMed] [Google Scholar]
- 46.Allard JP, Keller H, Jeejeebhoy KN et al. Decline in nutritional status is associated with prolonged length of stay in hospitalized patients admitted for 7 days or more: a prospective cohort study. Clin Nutr. 2016;35:144–52. doi: 10.1016/j.clnu.2015.01.009. [DOI] [PubMed] [Google Scholar]
- 47.Lin H, Zhang H, Lin Z et al. Review of nutritional screening and assessment tools and clinical outcomes in heart failure. Heart Fail Rev. 2016;21:549–65. doi: 10.1007/s10741-016-9540-0. [DOI] [PubMed] [Google Scholar]
- 48.Cicoira M, Bolger AP, Doehner W et al. High tumour necrosis factor-α levels are associated with exercise intolerance and neurohormonal activation in chronic heart failure patients. Cytokine. 2001;15:80–6. doi: 10.1006/cyto.2001.0918. [DOI] [PubMed] [Google Scholar]
- 49.Takikawa T, Sumi T, Takahara K et al. Prognostic importance of multiple nutrition screening indexes for 1-year mortality in hospitalized acute decompensated heart failure patients. Circ Rep. 2019;1:87–93. doi: 10.1253/circrep.CR-18-0018. [DOI] [PMC free article] [PubMed] [Google Scholar]
- 50.Ikeda Y, Ishii S, Fujita T et al. Prognostic impact of intestinal wall thickening in hospitalized patients with heart failure. Int J Cardiol. 2017;230:120–6. doi: 10.1016/j.ijcard.2016.12.063. [DOI] [PubMed] [Google Scholar]
- 51.Kalantar-Zadeh K, Anker SD, Horwich TB, Fonarow GC. Nutritional and anti-inflammatory interventions in chronic heart failure. Am J Cardiol. 2008;101:89E–103E. doi: 10.1016/j.amjcard.2008.03.007. [DOI] [PMC free article] [PubMed] [Google Scholar]
- 52.King D, Smith ML, Chapman TJ et al. Fat malabsorption in elderly patients with cardiac cachexia. Age Ageing. 1996;25:144–9. doi: 10.1093/ageing/25.2.144. [DOI] [PubMed] [Google Scholar]
- 53.Anker SD, Ponikowski PP, Clark AL et al. Cytokines and neurohormones relating to body composition alterations in the wasting syndrome of chronic heart failure. Eur Heart J. 1999;20:683–93. doi: 10.1053/euhj.1998.1446. [DOI] [PubMed] [Google Scholar]
- 54.Rahman A, Jafry S, Jeejeebhoy K et al. Malnutrition and cachexia in heart failure. JPEN J Parenter Enteral Nutr. 2016;40:475–86. doi: 10.1177/0148607114566854. [DOI] [PubMed] [Google Scholar]
- 55.Sze S, Pellicori P, Zhang J et al. The impact of malnutrition on short-term morbidity and mortality in ambulatory patients with heart failure. Am J Clin Nutr. 2021;113:695–705. doi: 10.1093/ajcn/nqaa311. [DOI] [PubMed] [Google Scholar]
- 56.Arques S, Ambrosi P. Human serum albumin in the clinical syndrome of heart failure. J Card Fail. 2011;17:451–8. doi: 10.1016/j.cardfail.2011.02.010. [DOI] [PubMed] [Google Scholar]
- 57.Omran ML, Morley JE. Assessment of protein energy malnutrition in older persons, part II: laboratory evaluation. Nutrition. 2000;16:131–40. doi: 10.1016/S0899-9007(99)00251-8. [DOI] [PubMed] [Google Scholar]
- 58.González Madroño A, Mancha A, Rodríguez FJ et al. The use of biochemical and immunological parameters in nutritional screening and assessment. Nutr Hosp. 2011;26:594–601. doi: 10.1590/S0212-16112011000300024. [DOI] [PubMed] [Google Scholar]
- 59.Robinson MK, Mogensen KM, Casey JD et al. The relationship among obesity, nutritional status, and mortality in the critically ill. Crit Care Med. 2015;43:87–100. doi: 10.1097/ccm.0000000000000602. [DOI] [PubMed] [Google Scholar]
Associated Data
This section collects any data citations, data availability statements, or supplementary materials included in this article.
