Abstract
Fungal indole alkaloids bearing a bicyclo[2.2.2]diazaoctane (BCDO) core structure are a fascinating family of natural products that exhibit a wide spectrum of biological activities. These compounds also display remarkable structural diversity, with many different diastereomers and enantiomers produced by specific fungal strains. The biogenesis of the unique BCDO moiety has long been proposed to involve an intramolecular [4+2] hetero-Diels-Alder (IMDA) reaction, but the exact mechanisms for this hypothetical transformation have remained elusive until recently. This review aims to summarize the whole history of synthetic and biosynthetic studies of fungal BCDO indole alkaloids, by covering the discovery, biomimetic syntheses, total syntheses, biosynthetic pathway elucidation, and biological activities of representative compounds. We highlight the mutual inspiration and corroboration between biological and synthetic chemists in exploring the intriguing biosynthetic mysteries on this family of natural products. We also provide perspectives and clues for the remaining biosynthetic problems. Finally, we wish to dedicate this review to Professor Robert M. Williams (1953–2020), a pioneer and leader in the chemical synthesis of BCDO indole alkaloids.
Keywords: Fungal natural products, bicyclo[2.2.2]diazaoctane indole alkaloids, intramolecular [4+2] hetero-Diels-Alder reaction, biomimetic synthesis, total synthesis, biosynthesis
1. Introduction
The fungal indole alkaloids bearing a unique bicyclo[2.2.2]diazaoctane (BCDO) core structure have continuously been isolated from various marine and terrestrial strains of Aspergillus, Penicillium and Malbranchea genera, showing anthelmintic, insecticidal, antitumor, antiviral, antibacterial, calmodulin-inhibitory and other activities. Although indole alkaloids are widely produced by many bacteria, fungi, and plants, interestingly, the subfamily of BCDO-bearing alkaloids have only been discovered from the kingdom of fungi to date. For decades, these fungi specific, bioactivity diverse, and structurally intriguing natural products have been attracting broad interests from natural product, biological, synthetic, medicinal, and theoretical chemists. A wealth of studies on derivatives discovery, biological activities, biosynthetic mechanisms, and organic synthesis have been conducted.
The most fascinating issues related to these natural products include: 1) the biogenesis of the central BCDO structure, which has long been proposed to be formed biosynthetically through an intramolecular [4+2] hetero-Diels-Alder (IMDA) reaction; 2) the mechanisms for the diversified biosynthesis of distinct diasteromers and enantiomers by specific producer fungi; and 3) other specific structural variations on the skeletons, e.g., prenylation, hydroxylation, desaturation, isomerization, cyclization, and dimerization. To address these intriguing issues, both synthetic and biological chemists have been making great research efforts and mutually inspiring contributions.
This review covers the literature of the whole history for biosynthetic and chemical synthetic explorations of fungal BCDO indole alkaloids since the discovery of the first family member brevianamide A in 1969. Of note, we wish to dedicate this review article to the pioneer in this field as well as our long-time collaborator, Robert M. Williams, a great organic chemist, who passed away on May 13, 2020. He had made his greatest contributions to biomimetic synthesis of the BCDO indole alkaloids. This work is aimed to express our deep memory and the highest tribute to Bob and his synthetic art.
2. Discovery of bicyclo[2.2.2]diazaoctane indole alkaloids from nature
Since the isolation of the family-founding member brevianamide A from Penicillium brevicompactum in 1969, hundreds of fungal BCDO indole alkaloid family members have been reported (Table 1). According to our count until Mar. 2024, there have been a total number of 182 BCDO indole alkaloids discovered from nature, which are uniformly produced by filamentous fungi. Representative structures (Figure 1) include the insecticidal (+)-brevianamides from Penicillium spp., the anticancer agents (−)-notoamides from Aspergillus protuberus (previously named Aspergillus sp. MF297–2) and (+)-notoamides (the enantiomers of corresponding (−)-notoamides) from Aspergillus amoenus (previously A. versicolor NRRL 35600), the antitumor stephacidins from Aspergillus ochraceus, the versicolamides, the anti-inflammatory taichunamides, the insecticidal and antimicrobial sclerotiamides, the anti-biofilm waikialoids, the antimicrobial amoenamide B, the asperversiamides, aspergamide, the antiproliferative waikikiamides, the anti-parasitic paraherquamides from Penicillium spp., the calmodulin-inhibiting malbrancheamides, the cytotoxic marcfortines, VM55599, the paralytic asperparalines (also named aspergillimide or M55598), the neurocyte protective and antifungal chrysogenamide, the anti-acetylcholinesterase mangrovamides, citrinalin, the penicimutamides, penioxamide, and spiromalbramide.
Table 1.
The bioactivities and sources of BCDO indole alkaloids.
| Compound | Source | Bioactivity |
|---|---|---|
| Diketopiperazines | ||
|
P. brevicompactum2,7,9,30,103,153–163 P. viridicatum10,158,164–167 P. ochraceum11 P. duclauxii168 Penicillium sp.169 |
Insecticidal activity129,130 |
|
Chemical synthesis26,31 | |
|
P. brevicompactum
2,7,9,30,159,166
P. viridicatum 10 |
|
|
Chemical synthesis22,23,26,31 | |
|
P. brevicompactum 7,9,103,160,166 | Cytotoxic activity (IC50, 15.6 μM against HCT116 cell line)103 |
|
P. brevicompactum 7,9 | Insecticidal activity129 |
|
Chemical synthesis7,159 | |
|
P. brevicompactum 2,103 | |
|
P. brevicompactum 2,103 | |
|
P. brevicompactum 2 | |
|
P. brevicompactum 2 | |
|
P. brevicompactum 2 | |
|
Aspergillus sp.170 Annulohypoxylon cf. stygium171 A. protuberus34 A. versicolor63 |
Cytotoxic activity (IC50, 27 and 29 μM against HeLa and L1210 cell lines, respectively)34 Inhibition of RANKL-induced osteoclastogenic differentiation133 |
|
A. amoenus 133,172 | |
|
A. sulphureus and Isaria felina co-culture132 Fusarium sambucinum134 A. ochraceus131,173 Aspergillus sp.131,174 A. cf. stygium171 A. protuberus34 A. versicolor63 |
Anticancer activity (~64% inhibition ratio of the colony formation of 22Rv1 prostate cancer cells at 100 μM)132 Anti-inflammatory activity (36.8% and 40.6% inhibition ratios of cytokines IL-1β and TNF-α at the concentration of 20 μM, respectively)131 Cytotoxic activity (IC50, 52 and 36 μM against HeLa and L1210 cell lines, respectively)34 Inhibition of RANKL-induced osteoclastogenic differentiation133 |
|
A. taichungensis
64
A. amoenus 36,172 |
|
|
A. amoenus 172 | |
|
A. sulphureus and I. felina co-culture132 Aspergillus sp.35,170,174 A. ochraceus135 A. ostianus135 A. versicolor135 |
|
|
A. taichungensis 64 | |
|
Aspergillus sp.35 A. ochraceus135 |
Antitumor (IC50, 244, 87, 219, and 279 nM against SMMC-7721, HCT-8, MCF-7, and HUVEC cell lines, respectively; IC50, 0.66–2.70 μM against various liver cancer cell lines)135 |
|
Photoinduced product175 | |
|
Aspergillus sp.35,136 | Antifungal activity (MIC, 25 μg/mL against R. solani)136 Anti-inflammatory activity (IC50, 46.2 μM against P. acnes-induced THP-1 cells)136 |
|
A. amoenus 172 | |
|
Aspergillus sp.35 A. ochraceus135 |
Cytotoxic activity (IC50, 21 μg/mL against HeLa cell line)35 |
|
A. amoenus172 Aspergillus sp.136 |
|
|
A. protuberus 62 | |
|
Aspergillus sp.37,176 | |
|
A. amoenus 172 | |
|
Aspergillus sp.37 | |
|
Aspergillus sp.39,136,174 A. ostianus135 |
Anti-inflammatory activity (IC50, 34.3 μM against P. acnes-induced THP-1 cells)136 |
|
A. amoenus 172 | |
|
Aspergillus sp 136 | |
|
A. ochraceus 135 | |
|
A. sulphureus and I. felina co-culture 132 | |
|
Chemical synthesis61 | |
|
Chemical synthesis61 | |
|
Chemical synthesis61 | Inhibition of RANKL-induced osteoclastogenic differentiation (IC50, 1.7 μM against murine RAW264 cells)133 |
|
Chemical synthesis61 | Inhibition of RANKL-induced osteoclastogenic differentiation (IC50, 4.4 μM against murine RAW264 cells)133 |
|
A. protuberus 61 | |
|
A. protuberus 62 | |
|
A. protuberus 62 | |
|
A. protuberus 62 | |
|
A. protuberus 62 | |
|
A. protuberus 62 | |
|
A. protuberus 62 | |
|
A. protuberus 62 | |
|
A. protuberus 62 | |
|
Aspergillus sp.39 | |
|
A. taichungensis 64 | |
|
A. amoenus 172 | |
|
A. taichungensis 64 | |
|
A. ochraceus 135 | |
|
Photoinduced product175 | |
|
A. ochraceus 135 | |
|
A. ochraceus 135 | |
|
A. ochraceus135 Aspergillus sp.136 |
|
|
A. taichungensis64 A. amoenus36 Aspergillus sp.137 A. ochraceus138 |
Inhibition of RANKL-induced osteoclastogenic differentiation133 Antibacterial activity (MIC, 14.5 μM against S. epidermidis)137 Mitochondrial respiratory inhibitor (IC50, 34.6 μM against NADH oxidase)138 |
|
A. ochraceus43,131,135,177 Aspergillus sp.174,176 A. tennesseensis178 A. versicolor66,135 A. cf. stygium171 A. protuberus34 |
Cytotoxic activity (IC50, 1.0–13.1 μM against various human tumor cell lines)43 Anti-inflammatory activity (46.5% and 32.6% inhibition ratios of cytokines IL-1β and TNF-α at the concentration of 20 μM, respectively)131 |
|
A. amoenus 60 | |
|
A. taichungensis64,115 Aspergillus sp.62 A. amoenus60 |
Inhibition of RANKL-induced osteoclastogenic differentiation133 |
|
A. taichungensis 175 | |
|
A. ochraceus
43,179
A. westerdijkiae 180 |
Cytotoxic activity (IC50, 0.06–0.46 μM against various human tumor cell lines; GI50, 135, 346, 91, and 289 nM against LNCap, βT-549, T-47D, and MALME-3M cell lines, respectively)43,181 Antitumor activity (IC50, 0.091, 0.194, 0.403, and 0.268 μM against SMMC-7721, HCT-8, MCF-7, and HUVEC cell lines; IC50, 0.42–3.19 μM against various liver cancer cell lines) 135 |
|
Chemical synthesis182 | |
|
Aspergillus sp.37 A. versicolor135 |
|
|
A. taichungensis64 A. amoenus36 Aspergillus sp.37,62 A. versicolor62,63,135 |
|
|
A. taichungensis 64 | |
|
A. taichungensis 64 | |
|
A. taichungensis 64 | |
|
A. taichungensis 64 | |
|
A. ochraceus
131
A. taichungensis 64 |
Anti-inflammatory activity (38.9% and 34.5% inhibition ratios of cytokines IL-1β and TNF-α at the concentration of 20 μM, respectively)131 |
|
A. versicolor 66 | |
|
A. taichungensis
64
A. cf. stygium 171 |
|
|
A. taichungensis 64 | |
|
A. taichungensis 64 | |
|
A. versicolor
65
F. sambucinum 134 A. ochraceus 65,139 |
Antimicrobial activity (MIC, 4–32 μg/mL against multiple bacteria and fungi; MIC of 0.8 μM against P. aeruginosa)134,139 |
|
Aspergillus sp.174 | Anti-biofilm formation activity (IC50, 1.4 μM against Candida albicans)114 |
|
Aspergillus sp.174 | |
|
Aspergillus sp.170 | Antiproliferative activity (IC50, 0.519, 1.855, 0.62, and 0.78 μM against HT1080, PC3, Jurkat, and A2780S cell lines, respectively)170 |
|
Aspergillus sp.170 | |
|
Aspergillus sp.170 | Antiproliferative activity (IC50, 1.135, 1.805, 1.79 and 1.127 μM against HT1080, PC3, Jurkat, and A2780S cell lines, respectively)170 |
|
F. sambucinum134 Aspergillus sp.136,174 A. sclerotiorum183 A. ochraceus131,173,177 A. protuberus34 A. sulphureus and I. felina co-culture132 |
Insecticidal activity (83.2% mortality rate under diet at 500 ppm against Helicoverpa armigera; 46% mortality rate under diet at 200 ppm against Helicoverpa zea)134,183 Antimicrobial activity (MIC, 4–16 μg/mL against multiple bacteria and fungi; MIC of 25 μg/mL against R. solani)134,136 Anti-inflammatory activity (IC50, 41.6 μM against P. acnes-induced THP-1 cells)136 Caseinolytic protease P (ClpP) activator (EC50, 39.6, 87.5, and 2.6 μM for decapeptide (DFAP), FITC-casein, and Hill slope, respectively) 184 Anticancer activity (~65% inhibition ratio of the colony formation of 22Rv1 prostate cancer cells at 100 μM)132 |
|
A. amoenus 55 | |
|
A. westerdijkiae 185 | |
|
A. sulphureus and I. felina co-culture 132 | |
|
A. sulphureus and I. felina co-culture 132 | |
|
A. westerdijkiae 185,186 | |
|
F. sambucinum 134 | Insecticidal activity (70.2% mortality rate under diet at 500 ppm against H. armigera)134 Antimicrobial activity (MIC, 8–32 μg/mL against multiple bacteria and fungi)134 |
|
A. sclerotiorum 187 | Cytotoxic activity (IC50, 1.7, 1.6, 1.8, and 1.5 μM against HeLa, A549, HepG2, and SMMC-7721 cell lines, respectively)187 |
|
A. sclerotiorum 187 | Cytotoxic activity (IC50 >10 μM against HeLa, A549, HepG2, and SMMC-7721 cell lines)187 |
|
A. sclerotiorum 187 | Cytotoxic activity (IC50 >10 μM against HeLa, A549, HepG2, and SMMC-7721 cell lines)187 |
|
A. sclerotiorum 187 | Cytotoxic activity (IC50, 7.9, 7.8, 8.1, and 6.7 μM against HeLa, A549, HepG2, and SMMC-7721 cell lines, respectively)187 |
|
A. sclerotiorum 187 | Cytotoxic activity (IC50 >10 μM against HeLa, A549, HepG2, and SMMC-7721 cell lines)187 |
|
A. sclerotiorum 187 | Cytotoxic activity (IC50 >10 μM against HeLa, A549, HepG2, and SMMC-7721 cell lines)187 |
|
A. amoenus 188 | |
|
F. sambucinum 134 | Antimicrobial activity (MIC, 1–32 μg/mL against multiple bacteria and fungi)134 |
|
A. ochraceus135,189,190 Aspergillus sp.174,191 A. westerdijkiae180 |
Antitumor activity (IC50, 0.059, 0.209, 2.443, and 1.225 μM against SMMC-7721, HCT-8, MCF-7, and HUVEC cell lines, respectively; IC50, 0.63–3.39 μM against various liver cancer cell lines; IC50, 1100, 643, 116, 112 and 78 nM against NB4, HL-60, MV4-11, OCI-AML3, and Molm-13 acute myeloid leukemia (AML) cell lines, respectively; GI50 (growth-inhibitory potencies), 0.33 and 0.42 μM against T-47D and LNCap cell lines, respectively; IC90, 1.1 μg/mL against HeLa cell line; GI50, 0.24, 0.62, 0.20, and 0.41 μM against LNCap, βT-549, T-47D, and MALME-3M cell lines, respectively)135,181,189,190,192 Antibacterial activity (MIC, 12.5, 12.5, and 25 μg/mL against Staphylococcus aureus, Streptococcus pyogenes, and Enterococcus faecalis, respectively)190 |
|
A. taichungensis 64,175 | |
|
Chemical synthesis182 | |
|
A. ochraceus 115,193 | |
|
A. ochraceus 115,193 | |
|
Aspergillus sp.136 | Antimicrobial activity (MIC, 8–100 μg/mL against multiple bacteria and fungi) 136 Anti-inflammatory activity (IC50, 30.5 μM against P. acnes-induced THP-1 cells)136 |
|
Aspergillus sp.136 | |
|
Aspergillus sp.136 | |
|
Aspergillus sp.136 | Antifungal activity (MIC, 25 μg/mL against R. solani)136 Anti-inflammatory activity (IC50, 30.5 μM against P. acnes-induced THP-1 cells)136 |
|
A. versicolor 194 | |
|
A. versicolor 194 | |
|
A. versicolor 194 | |
|
A. versicolor 194 | |
|
A. versicolor 194 | |
|
Paecilomyces variotii 194,195 | Cytotoxic activity (IC50, 55.9 μM against NCI-H460 cell line)195 |
|
A. tennesseensis 178 | Antiproliferative activity (IC50, 83.4 μM against H460 cell)178 |
|
A. tennesseensis 178 | Antiproliferative activity (IC50, 95.5 μM against H460 cell)178 |
|
A. tennesseensis 178 | |
|
Aspergillus sp. TE-65L196 | Anti-inflammatory activity196 |
|
A. taichungensis 299197 | Cytotoxic activity (IC50, 19.2, 23.4, 48.5, and 1.7 μM against A549, HeLa, HepG2, and AGS cell lines, respectively)197 |
| Monoketopiperazines | ||
|
P. purpurogenum
198
Malbranchea graminicola 69 M. aurantiaca 142 |
Calmodulin inhibitory activity (IC50, 35.73 μM)142 |
|
P. purpurogenum
198
M. aurantiaca 142 |
|
|
M. circinate
143
M. aurantiaca 67,68,142,144 M. graminicola 69 |
Calmodulin inhibitory activity (IC50, 3.65 μM67,141; IC50, 19.33 μM140) Vasorelaxant activity (EC50, 2.7 μM)144 α-Glucosidase (αGHY) inhibitory activity (IC50, 71.3 and 458.7 μM for yeast and rat, respectively)143 Protein Tyrosine Phosphatase 1B (PTP-1B) inhibitory activity (IC50, 14.5 μM)143 Inhibition of radicle growth of Amaranthus hypochondriacus (IC50, 0.37 μM)67 |
|
M. aurantiaca
68,142,144
M. graminicola 69 |
Calmodulin inhibitory activity (IC50, 183.28 μM)142 Vasorelaxant activity (EC50, 33.3 μM)144 |
|
M. graminicola
69
M. aurantiaca 142,144 |
Calmodulin inhibitory activity (IC50, 41.56 μM)142 Vasorelaxant activity (EC50, 25.5 μM)144 |
|
M. graminicola 69 | |
|
M. graminicola 69 | |
|
Enzymatic product93 | |
|
Enzymatic product93 | |
|
Enzymatic product199 | |
|
||
|
M. graminicola 69,80 | |
|
Enzymatic product80 | |
|
Enzymatic product80 | |
|
Enzymatic product80 | |
|
Enzymatic product80 | |
|
P. herquei
200
P. fellutanum 76 A. japonicus A. aculeatinus 79 |
|
|
Aspergillus sp.81 P. janthinellum78 Penicillium spp.72 P. fellutanum76 A. japonicus76 Penicillium sp.73 P. cluniae77 P. charlesii74 |
Anthelmintic activity (100% reduction in faecal egg count with dose at 2.0 mg/kg; MIC50 of 31.2 μg/ml in vitro; 98% effective against T. colubriformis infection at an oral dose of 1.56 mg/kg)72,73,146,201 Insecticidal activity (LD50, 2.5 μg/ml against Caenorhabditis elegans; LD50 of 0.32 μg/nymph against O. fasciatus)74,77 |
|
P. charlesii
74
P. cluniae 77 |
Insecticidal Activity (LD50, 100 μg/ml against C. elegans; LD50, 16.54 μg/nymph against O. fasciatus)74,77 |
|
P. charlesii 74 | Insecticidal Activity (LD50, 40 μg/ml against C. elegans)74 |
|
P. charlesii 74 | Insecticidal Activity (LD50, 160 μg/ml against C. elegans)74 |
|
Aspergillus sp.81 A. aculeatinus79 A. aculeatus202 P. janthinellum78 P. charlesii74 P. cluniae77 |
Anthelmintic activity (88, 96, and 99% reductions in faecal egg counts with dose at a dose of 0.5, 1.0, and 2.0 mg/kg against adult T. colubriformis infection, respectively)81 Cytotoxic activity (IC50, 1.9 μM against Bel-7402 cell line)79 Insecticidal activity (LD50, 6 μg/ml against C. elegans; LD50 0.089 μg/nymph against O. fasciatus)74,77 |
|
Penicillium sp.73 P. charlesii74 |
Insecticidal Activity (LD50, 65 μg/ml against C. elegans)74 Anthelmintic activity (MIC50 >500 μg/ml in vitro)73 |
|
Penicillium sp.73 P. charlesii74 |
Insecticidal activity (LD50, 20 μg/ml against C. elegans)74 Anthelmintic activity (MIC50 >500 μg/ml in vitro)73 |
|
P. cluniae 77 | |
|
P. cluniae 77 | |
|
P. janthinellum 78 | |
|
A. aculeatinus79 P. simplicissimum ΔphqK80 |
|
|
P. janthinellum 78 | |
|
P. simplicissimum ΔphqK80 | |
|
A. aculeatinus79 Penicillium spp.72 Enzymatic product80 |
|
|
Aspergillus sp.81 A. aculeatinus79 P. janthinellum78 Enzymatic product80 |
|
|
Penicillium spp. 72 P. cluniae77 |
Anthelmintic activity (94% reduction in faecal egg count with dose at 2.0 mg/kg)72 Insecticidal activity (LD50, 7.01 μg/nymph against O. fasciatus)77 |
|
Penicillium spp.72 P. cluniae77 |
Insecticidal activity (LD50, 0.91 μg/nymph against O. fasciatus)77 |
|
P. fellutanum76 Penicillium spp.72,88 |
|
|
Aspergillus sp.73,81 | Anthelmintic activity (MIC50, 15.6 μg/ml in vitro)73 |
|
A. aculeatinus 79 | Cytotoxic activity (IC50, 3.3 μM against Bel-7402 cell line)79 |
|
P. herquei 200 | |
|
P. herquei 200 | Anti-HCV activity (IC50, 5.1 μM)200 |
|
Aspergillus sp.81 A. japonicus203,204 |
Paralytic activity (against silkworms at a dose of 10 μg/g of diet and 3 μg/g of body weight with injection method)203,204 |
|
Aspergillus sp.81 | Anthelmintic Activity (in vitro)81 |
|
A. japonicus 204 | Paralytic activity (against silkworms at a dose of 10 μg/g of diet and 3 μg/g of body weight with injection method)204 |
|
A. japonicus 204 | Paralytic activity (against silkworms at a dose of 10 μg/g of diet and 3 μg/g of body weight with injection method)204 |
|
P. citrinum 205 | |
|
Penicillium sp.206 | Protein tyrosine phosphatase 1B (PTP-1B) inhibitory activity (IC50, 27.6 μM)206 |
|
P. purpurogenum 198 | |
|
P. purpurogenum 198 | |
|
P. oxalicum 207 | Brine shrimp (A. salina) lethality (LD50, 5.6 μM)207 |
|
P. oxalicum 208 | Cytotoxic activity (IC50, 28.12 μM against HL-60 cell line)208 |
|
P. paneum
209,210
P. roqueforti 211–213 A. carneus 214 |
Cytotoxic activity210 |
|
P. paneum
209,210
P. roqueforti 211–213 |
Cytotoxic activity210 |
|
P. paneum
210
P. roqueforti 211–213 |
Cytotoxic activity210 |
|
P. chrysogenum
215
P. citrinum 216 |
Neurocyte protection activity (improving cells viability by 59.6% at the concentration of 1 × 10−4 mM)215 Antifungal activity (reduced 61% of P. digitatum radial growth at 400 μg/mL)216 |
|
Penicillium sp.217,218 P. herquei200 |
|
|
Penicillium sp.217 | |
|
Penicillium sp.217,218 P. herquei200 |
Anti-acetylcholinesterase activity (IC50, 58.0 μM)217 |
|
Penicillium sp.218 | |
|
Penicillium sp.218 | |
|
Penicillium sp.218 | |
|
Penicillium sp.218 | |
|
A. duricaulis 219 | |
|
A. duricaulis 219 | |
|
A. duricaulis 219 | Inhibitory effect on Aβ aggregation (IC50, 269.5 μM)219 |
|
A. duricaulis 219 | |
|
A. duricaulis 219 | Inhibitory effect on Aβ aggregation (IC50, 244.3 μM)219 |
|
A. duricaulis 219 | |
|
A. duricaulis 219 | Protecting cells against beta-amyloid (Aβ) aggregate-induced toxicity (EC50, 149.6 μM), and inhibiting Aβ aggregation (IC50, 186.6 μM)219 |
|
P. citrinum 4,97 | |
|
P. citrinum 97 | |
|
P. citrinum 4 | |
|
P. citrinum 4 | |
|
P. citrinum 97 |
IC50: half maximal inhibitory concentration. EC50: half maximal effective concentration. LD50: half of the lethal dose. MIC: minimum inhibitory concentration.
Figure 1.

The representative diketopiperazine and monoketopiperazine BCDO indole alkaloids.
The BCDO indole alkaloids with complex structural diversity can be categorized into diketopiperazine (DKP) and monoketopiperazine (MKP) subfamilies according to the number of keto group(s) on the BCDO moiety. Comparatively, the current amount of DKPs (111 members) is higher than that of MKPs (71 members). According to the three stereo-centers in the BCDO core structure, all known DKPs and MKPs fall into four groups, covering all theoretically possible diastereomers (Figure 2). In the DKP subfamily, the [S,S,S] and [S,R,S] groups comprise the majority of members (51 and 36, respectively), while the [R,S,R] and [R,R,R] configurations are adopted by a smaller number of members (12 and 12, respectively). In the MKP subfamily, most of members (57) have the [S,S,S] configuration. There are only 1, 3 and 10 members belonging to the [R,S,R], [R,R,R] and [S,R,S] groups, respectively. It is intriguing to understand how these biased stereoselectivity patterns are formed in nature.
Figure 2.

The stereoselectivity patterns of BCDO indole alkaloids. The numbers of each group members discovered from nature are displayed.
The biogenetic mechanisms of these stereospecific BCDO cores have been attracting continuing interest since the discovery of the first family member brevianamide A. Porter and Sammes first proposed a plausible biosynthetic hypothesis of [4+2] IMDA process1. During the long pursuit of the enzyme (i.e., Diels-Alderase, abbr., DAase) to mediate the putitave [4+2] IMDA cycloaddition (Scheme 1), our laboratories and others have proposed and then confirmed that DKPs and MKPs adopt distinct biosynthetic strategies for construction of their respective core scaffolds. In brief, the core structure of DKP brevianamide A is formed through a spontaneous IMDA cycloaddition2, while those of MKPs are assembled to generate the syn (malbrancheamide and paraherquamide A) or anti (precitrinadin A) products by different bifunctional reductases/DAases3,4. It appears that fungi have evolved different enzymatic and non-enzymatic strategies to achieve the common [4+2] IMDA reactions, but there remain unknown mechanisms to be explored.
Scheme 1.

The model reaction of [4+2] hetero-Diels-Alder (DA) cycloaddition (upper panel) and putative biogenesis of enantiomeric and diastereomeric BCDO structures through intramolecular [4+2] hetero-DA (IMDA) cycloaddition (lower panel). The diene and dienophile groups are shown in blue and red, respectively.
Moreover, diastereomerically distinct and enantiomerically antipodal BCDO alkaloids continue to be discovered (Figure 1), suggesting that specific producer fungi may deploy diversified biosynthetic mechanisms for construction of various diasteromers and enantiomers. One of the most fascinating examples is the marine-derived fungus A. protuberus, which produces (+)-stephacidin A and (−)-notoamide B, while the terrestrial-derived fungus A. amoenus generates their corresponding enantiomers (−)-stephacidin A and (+)-notoamide B5.
Structurally, the backbone of all DKP BCDO alkaloids originates from the non-ribosomal peptide synthetase (NRPS)-based condensation of l-tryptophan and l-proline. By contrast, the backbone of MKPs consists of the unchanged tryptophan and a variable second amino acid (Figure 1), such as l-proline (e.g., malbrancheamide, citrinalin C, and penicimutamide D, cycloexpansamine A), l-isoleucine (oxidatively cyclized to β-methylproline, e.g., paraherquamide A, VM55599, penicimutamide D, aculeaquamide A, peniciherquamide A and cycloexpansamine A), l-leucine (oxidatively cyclized to γ-methylproline, e.g., mangrovamide A, and paraherquamide J-2), and l-lysine (e.g., marcfortine A, penioxamide A, penioxalamine A, and probably chrysogenamide A).
It is worth noting that many, but not all BCDO alkaloids contain a chiral spiro-substructure. For instance, the spiro-2-oxindole moiety in DKPs notoamides, versicolamides, sclerotiamides and MKPs spiromalbramides and paraherquamides; and the 3-spiro-ψ-indoxyl group in brevianamides. These spiro-substructures are considered (confirmed in some cases) to be formed via initial indole 2,3-epoxidation with subsequent ring-opening and semi-pinacol rearrangement (Scheme 2). The stereochemical selectivity of this epoxidation is one of the major reasons for the highly diversified structures of BCDO alkaloids. Interestingly, this process can also generate another stable form 3-hydroxyindolenine, which appears in some components of brevianamides, taichunamides and penicimutamides, etc.
Scheme 2.

Biogenesis of spiro-substructures and 3-hydroxyindolenine in BCDO alkaloids.
Most of BCDO indole alkaloids have post-modifications on the 6-membered aromatic ring originated from tryptophan, including hydroxylation, prenylation, cyclization, oxidation, and halogenation (Figure 1). The representative substructures include the pyran and dioxepin rings. The pyran moiety is widely present in a large number of DKPs (e.g., notoamides, stephacidins, versicolamides, and taichunamides) and MKPs (e.g., paraherquamides and mangrovamides). The dioxepin ring mainly exists in MKPs, such as paraherquamides, marcfortines, and aculeaquamide A. Halogenation modifications (chlorination and bromination) only exist in malbrancheamides. Intriguingly, there have been five reported dimers of BCDO indole alkaloids, including (+)-stephacidin B, (−)-stephacidin B, waikialoids A and B, and waikikiamide C. Some BCDO indole alkaloids can also condense with other structures to form more complex products. For instance, waikikiamides and versicoamides are formed by such a condensation with semivioxanthin and kojic acid (Scheme 3), respectively.
Scheme 3.

Condensation reactions of BCDO indole alkaloids with semivioxanthin and kojic Acid leading to waikikiamides and versicoamides, respectively.
It is anticipated that more congeners of this family will be isolated from both marine and terrestrial fungi by natural product chemists worldwide. A fascinating question is whether any family members could be found from Monera and/or Plantae in the future. The added new structures, bioactivities, as well as biogenetic mechanisms associated with BCDO indole alkaloids will continue to attract broad interest from scientists in diverse research areas.
3. Biomimetic syntheses based on early imagination/hypothesis for biogenesis
The proposals for BCDO biogenesis in the DKP brevianamides and the MKP paraherquamides and malbrancheamides were mainly derived from continual biomimetic syntheses. With firm belief in the hypothetical IMDA-based assembly of the BCDO core, synthetic chemists courageously initiated explorations of BCDO biogenesis without any genetic knowledge and tools. They started to focus on the ‘biomimetic’ syntheses of various compounds related to different BCDO indole alkaloid family members. These synthetic efforts have led to diverse isotopically labeled biosynthetic precursors for isotope incorporation studies. A wealth of key information about the reactivity of proposed biosynthetic intermediates was acquired, allowing for the refinement of different biosynthetic proposals. These efforts have driven the evolution of the long-standing IMDA hypothesis for biogenesis of fungal BCDO indole alkaloids.
3.1. Diketopiperazines
In this section, we will review in detail the exploration of DKPs’ biogenesis, which is mainly based on the biosynthetic and related chemical principles, and isotopically labeled precursor feeding experiments. The representative fungal DKP alkaloids include brevianamides, notoamides, and stephacidins. In addition, the biogenesis of other DKPs including stephacidins, versicolamides, and taichunamides is also discussed.
3.1.1. Brevianamides
Brevianamides (A-D) are the earliest discovered BCDO indole alkaloids, which were isolated by Birch and Wright from the culture extract of a Penicillium brevicompactum strain6–9. Since then, brevianamides A-D along with related derivatives brevianamides E and F, were isolated from different Penicillium species including Penicillium viridicatum10 and Penicillium ochraceum11.
Brevianamide A (i.e., (+)-brevianamide A) is a major metabolite of P. brevicompactum. The initial structural elucidation of this founding member of the BCDO indole alkaloid family relied primarily on chemical reduction and spectroscopic analysis, especially via its chemical derivative deoxybrevianamide A9. The presence of an indole substructure in brevianamide A naturally suggested l-tryptophan as a biosynthetic precursor8. The structure of its DKP core also indicated the other amino acid precursor, which was later confirmed to be l-proline6,8. Additionally, the loss of C5H9 in the mass spectrum implicated the possible presence of an isopentenyl group. Later, single crystal X-ray analysis of 5-bromo-brevianamide A enabled full determination of the absolute configuration of brevianamide A (Figure 3A)12.
Figure 3.

Structures of brevianamide derivatives (A), photolysis of brevianamide A (B), and semisynthesis of (−)-brevianamide B (C).
In the early 1970s, the absolute configuration of naturally occurring brevianamide B (i.e., (+)-brevianamide B) had not been assigned, which was thought to be the same as that of brevianamide A with regard to the BCDO core, but diastereomeric at the spiro-indoxyl stereogenic center7. This inference was mainly due to the experimental results showing that (−)-brevianamide B, the mirror-image isomer of natural (+)-brevianamide B, was generated in trace amounts during the photolysis of brevianamide A (Figure 3B). Additionally, (−)-brevianamide B was semisynthesized through several chemical procedures consisting of reduction to deoxybrevianamide A and stereoselective re-oxidation (Figure 3C). In 1989 the correct absolute configuration of natural (+)-brevianamide B was elucidated by the Williams group through chemical total synthesis13,14 and careful comparison of the chiroptical properties of the naturally occurring9, synthetic15 and semisynthetic brevianamide B7 (Figure 3A). They concluded that the natural (+)-brevianamide B is enantiomorphic to brevianamide A with respect to the BCDO core, and has the same chiral configuration in the spiro-indoxyl substructure.
Brevianamides C and D were shown to be artifacts derived from irradiation of brevianamide A7. An almost quantitative, rapid conversion into the isomers brevianamides C and D were observed upon irradiation of the solution of brevianamide A in mixture with benzene and methanol or other methanolic solutions with visible light. When the producer P. brevicompactum was cultured in the dark and extracted under low light intensity, no sign of brevianamides C or D could be observed from thin layer chromatography, while brevianamides A and B were present in the neutral fraction. Thus, (−)-brevianamide B, brevianamides C and D are all photochemical artifacts rather than fungal metabolites.
Birch and Wright not only discovered the family of BCDO indole alkaloids, but also first proposed the biogenetic hypothesis for brevianamides8. Accordingly, isotopic precursor feeding experiments were conducted for the brevianamides producing P. brevicompactum strain6,8. As expected, l-[methylene-14C]-tryptophan, [l-14C]-acetate, [2-14C]-mevalonolactone, l-[U-14C]-proline, and l-[5-3H]-proline could be incorporated into brevianamide A (Scheme 4). Moreover, mevalonic acid was shown to be a virtually irreversible intermediate in fungal terpenoid biosynthesis16. Therefore, its incorporation is significant in terms of the presence of a terpene unit, and based on mass spectrometric analysis, it was inferred to be an isopentenyl group. Taken together, a reasonable biosynthetic intermediate deoxybrevianamide E, which was isolated from another fungus Aspergillus ustus, was tentatively proposed17.
Scheme 4.

Isotopic incorporations into brevianamides by P. brevicompactum. Compounds in black dashed boxes could be incorporated into brevianamides, while those in red dashed boxes could not.
Based on the putative chemical structure of brevianamide A9, Porter and Sammes proposed that the BCDO core structure might result from a [4+2] IMDA reaction between the isopentenyl unit (as dienophile) and the pyrazine moiety (as diene)1 (Scheme 5A). To test this hypothesis, a pyrazine analogue 1 was chosen to react with dimethyl acetylenedicarboxylate in dimethylformamide at room temperature, which yielded the expected BCDO product (2) (Scheme 5B). The pyrazine analogue 3 was also able to undergo a DA reaction with norbornadiene to give the corresponding [4+2] adduct 4 (Scheme 5C). These results showed that the [4+2] IMDA reactions were favored in the cycloaddition equilibrium as the formation of two amide groups partly compensated the resonance energy associated with the dihydroxypyrazine systems. In addition, more analogues similar to the structure of brevianamide A were prepared by following the same IMDA strategy1.
Scheme 5.

The initial IMDA proposal (A) for the BCDO core and related chemical tests (B, C). The diene and dienophile groups are shown in blue and red, respectively.
Further investigation by Birch and Russell for additional indole precursors from the metabolites of P. brevicompactum led to the discovery of brevianamide F in 19727. Notably, only 1 mg of the crystalline brevianamide F was obtained from 40 liters of fungal culture. Due to the small amount and technical limitation at that time, it was challenging to determine the stereochemistry of this compound. Analysis of its ultraviolet and mass spectra indicated that brevianamide F should be a derivative of tryptophan. The predominant occurrence of l-amino acids prompted the comparison of the natural product with a sample of chemically synthesized cyclo-l-tryptophanyl-l-proline, thereby confirming the identity of these two structures. It is evident that brevianamide F should be a common biogenetic precursor for brevianamides. Although another postulated precursor deoxybrevianamide E (isolated from A. ustus17) was not detected in any cultures of P. brevicompactum, Birch and coworkers proposed an insightful biosynthetic route from brevianamide F to brevianamide A (Scheme 6A), which was confirmed to be essentially correct after almost half a century2.
Scheme 6.

Early proposed brevianamides biosynthetic pathways. (A) The biosynthetic route from brevianamide F to brevianamide A proposed by Birch7. (B) Hypothetical biogenesis of brevianamide A featuring a hexacyclic indole intermediate13. (C) Early proposal for the biogenesis of brevianamides by Williams13,14,18. (D) The revised biosynthetic pathway for brevianamides A and B by Williams19. Putative key intermediates are highlighted in red.
To verify that brevianamide F is a building block of brevianamide A, the radioactive brevianamide F (i.e., cyclo-l-[methylene-14C]tryptophanyl-l-[5-3H]proline) was synthesized6. The feeding study showed that the intact, doubly labeled material was incorporated into brevianamide A (Scheme 4B). The highly specific incorporation of “hot” brevianamide F and the fact that deoxybreviamide E is the adduct of an isoprene unit and brevianamide F strongly supported the first half of the biosynthetic pathway of brevianamide A (Scheme 6A).
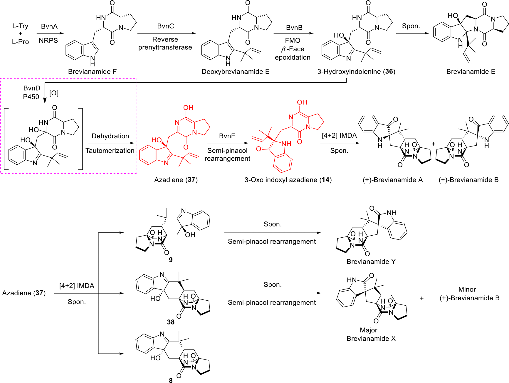
Next, the second half of brevianamide A biosynthetic pathway featuring the IMDA transformation was proposed13 (Scheme 6B). Hypothetically, deoxybrevianamide E could act as a key intermediate leading to a hexacyclic indole 6 via oxidative [4+2] IMDA cycloaddition of the prenyl moiety across the piperazinedione nucleus, through an azadiene intermediate 5 derived from C−N bond desaturation. Further oxidation of the hexacyclic indole 6 followed by ring-contractive rearrangement (semi-pinacol rearrangement) would furnish brevianamide A.
After Williams and coworkers elucidated the correct absolute configuration of natural (+)-brevianamide B through total synthesis13,14,18, a modified biosynthetic pathway was suggested (Scheme 6C). The achiral azadiene intermediate 5 was postulated to undertake the [4+2] IMDA cycloaddition to furnish the enantiomeric hexacyclic indoles 6 and 7. Oxidation of the hexacyclic indoles and subsequent pinacol-type rearrangement would afford the two spiroindoxyl diastereomers brevianamides A and B. Williams insightfully speculated that if this biosynthetic scheme was correct, the hydroxyindolenines 8 and 9 should not be enantiomeric but diastereomeric in order to generate the diastereomeric brevianamides A and B. Specifically, the major metabolite brevianamide A produced by P. brevicompactum should result from oxidation on the more hindered face of the hexacyclic indole 6 (providing the α-face hydroxyindolenine 8), and the minor metabolite brevianamide B would derive from oxidation on the less hindered face of 7 (via β-face hydroxyindolenine 9). This inference led to a hypothesis that P. brevicompactum probably had evolved different genes responsible for enantio- and diastereodivergent pathways for production of brevianamides A and B.
Since the putative hexacyclic indole 6 was considered to be a crucial biosynthetic precursor to the brevianamides, the fermentation extracts of P. brevicompactum were carefully examined at varying growth intervals in order to capture this hypothetical intermediate14,18. Despite intense efforts, the attempts to identify even trace amounts of the hexacyclic indoles were unsuccessful. Although this did not rule out the possibility that the hexacyclic indoles might be short-lived or tightly enzyme-associated (e.g., not being secreted into the fermentation media), the failure to trap hexacyclic indoles raised some new proposed routes to the brevianamides.
Thus, Williams et al. chemically synthesized the hypothetical biosynthetic precursor hexacyclic indole 6 18. Simply allowing this compound to remain in ethyl acetate solution in the air led to a variety of unidentified oxidative products. However, neither brevianamide A nor B could be detected in the final mixture. Additionally, chemical oxidation of the hexacyclic indole 6 with m-CPBA in CH2Cl2 followed by the treatment with NaOMe in MeOH gave (−)-brevianamide B in a good yield, but brevianamide A remained undetected. As brevianamide A could not have resulted from autooxidation or chemical manipulation of the hexacyclic indole 6, the authors proposed that the indoxyl brevianamides should result from a specific enzymatic transformation.
To validate this proposal, the racemic [8-13C]-hexacyclic indole (±6) was chemically synthesized for the isotopic incorporation experiment19,20 (Scheme 4C). Feeding of this 13C-labeled compound to cultures of the brevianamides A and B producing fungus failed to show significant enhancement of the C-8 signal in their 13C NMR analysis and (M+l)+/M+ intensity ratio in the mass spectra, indicating no incorporation of the hexacyclic indole. This result motivated more investigations of alternative biosynthetic pathways.
To ascertain the intermediacy of deoxybrevianamide E, the [8-3H] labeled substance was synthesized from the gramine derivative [3H]-10 and the dioxopiperazine 11 through condensation, hydrolyzation, and decarboxylation19,20 (Scheme 4D). Feeding experiments with the synthetic [8-3H]-deoxybrevianamide E showed significant incorporation of the radioactivity into both brevianamides A and B, thus confirming their common biosynthetic origin. It is noteworthy that the incorporation of [8-3H]-deoxybrevianamide E into brevianamide E was also highly efficient. These results confirmed that deoxybrevianamide E is indeed a biosynthetic precursor to brevianamides A, B, and E.
Furthermore, [5-3H]-brevianamide E prepared from [8-3H]-deoxybrevianamide E by photooxidation and reduction was also subject to the precursor feeding experiment19,20. However, no significant radioactivity incorporation was observed in both brevianamides A and B (Scheme 4E). Of note, the labeled brevianamide E seemed quite stable under the culture conditions with a high extraction recovery ratio. Brevianamide E was always present in a fairly constant proportion relative to brevianamide A in P. brevicompactum cultures, but not detected even in trace amount in the culture of another deoxybrevianamide E producing fungus A. ustus, strongly suggesting this product should not be an artifact. In consideration of these facts, brevianamide E was believed to be a shunt metabolite that would not be transformed to brevianamide A or B, representing a dead-end product in a side biosynthetic pathway.
Through a series of biomimetic syntheses of isotopically labeled brevianamide-related intermediates and corresponding feeding experiments, Williams and coworkers depicted a more detailed biosynthetic scheme to explain the stereochemical outcomes in the biosynthesis of brevianamides A and B19 (Scheme 6D). Specifically, brevianamide F is first converted into deoxybrevianamide E via a reverse prenylation step; this is followed by an R-selective hydroxylation at the 3-position of the indole, furnishing the 3-hydroxyindolenine 12. Nucleophilic addition of the DKP secondary amide N to the C=N bond results in an N‒C ring closure, giving rise to the shunt metabolite brevianamide E. Alternatively, a semi-pinacol rearrangement of the 3-hydroxyindolenine 12 affords the R-absolute stereochemistry at the quaternary center to give the indoxyl species 13. Following oxidation and enolization of the DKP subunit to form an azadiene 14, in the final step, an enzyme catalyzed [4+2] IMDA cyclization from the major conformer leads to brevianamide A, and from the other minor conformer results in brevianamide B. Hence, this proposal supports the existence of two enantiomorphic BCDO core systems.
Without genetic and biochemical evidence, it was difficult to explain why both brevianamides A and B are co-produced by P. brevicompactum. A central question was whether the hypothetical [4+2] IMDA cycloaddition is enzyme catalyzed or not. If the IMDA reaction is catalyzed by an enzyme, the preponderance of the major azadiene conformer over the minor one could result from either the relative activities of two different DAases or the differential affinity of a single enzyme towards each individual conformer. For the previous hypothesis, considering that DAases are rare in nature, it is unlikely that a biosynthetic system harbors two distinct DAases to recognize a common substrate. With regard to the latter hypothesis, it is also difficult to imagine that the intermediate could adopt two opposite conformations within a common active site. Thus, Williams proposed another possibility that the hypothetical “DAase” might just catalyze the oxidative process, converting indoxyl 13 into azadiene 14, and the subsequent Diels-Alder cycloaddition reactions could occur spontaneously through substrate anchimeric assistance21.
To explore this hypothesis, Domingo and coworkers performed ab initio calculations for the four possible transition-state structures of the IMDA cycloaddition of the azadiene intermediate to give brevianamides A and B and the other two presumed isomers21 (Scheme 7). Interestingly, the transition state 1 (TS1) that would lead to brevianamide A has the lowest relative energy, and TS2 corresponding to brevianamide B has a relative energy of 6.35 kcal/mol. This energy difference results from the favorable H-bond between the indoxyl N‒H and the DKP carbonyl oxygen. The calculated energies of the other two epimers TS3 and TS4 (11.02 kcal/mol and 12.73 kcal/mol, respectively) are considerably higher. The calculation results are consistent with the experimental ratio of approximately 10–20:1 between brevianamides A and B, and no other isomers have ever been detected in fermentation cultures.
Scheme 7.

Transition state structures for the spontaneous IMDA reactions leading to brevianamides A and B. The calculation was performed with Gaussian 92 suite of programs and fully optimized at the restricted Hartree-Fock (RHF) level with the 3–21G and 6–31G* basis sets21.
Although the hypothetical azadiene intermediate 14 is essential for the IMDA cycloaddition, there was no direct evidence for the existence of such an azadienic compound. Thus, Williams and coworkers carried out further total syntheses of brevianamides with different biomimetic strategies (see section “5.1 Total synthesis of brevianamides”)22–24. These studies to a large extent demonstrated that the core BCDO structure should likely arise from an IMDA cyclization between the isoprene-derived dienophile and the azadiene. It is noteworthy that the diastereofacial bias of the IMDA cyclization was not strongly affected by solvents, indicating that the proposed biosynthetic process is possible in aqueous solution under ambient conditions. The fact that the chemical cyclization in laboratory favored the syn configuration product (i.e., C19-epi-brevianamide A) is different from the stereoselectivity in the natural biosynthetic case which exclusively favors formation of the anti product (brevianamide A), thus raising the possibility of enzyme-involved organization of the transition state structures or the existence of some unknown natural precursor.
Stocking et al. further investigated the attachment mode of dimethylallyl pyrophosphate (DMAPP) in the biosynthesis of brevianamide A by [13C2]-acetate feeding experiments25 (Scheme 8). The isotopic enrichment results indicated that the isoprene unit in brevianamide A should arise via the canonical mevalonate pathway since both carbons of the dimethyl groups in brevianamide A were derived from the labeled acetate. Interestingly, one carbon of the two methyl groups showed a higher percentage of specifically incorporated 13C than the other. This observation suggested that, although there was a loss of stereochemical integrity of the dimethyl groups originated from DMAPP in the biosynthesis of brevianamide A, the putative “reverse” prenyltransferase still maintained some degree of stereofacial bias during the reverse prenylation of brevianamide F to deoxybrevianamide E.
Scheme 8.

The uneven 13C isotopic incorporation resulting from reverse prenylation.
Recently, the Lawrence group achieved the chemical synthesis of brevianamide A, and proposed a modified biosynthetic pathway26 (Scheme 9). Their total synthesis involved a bio-inspired cascade transformation of the linearly fused dehydrodeoxybrevianamide E, a natural product isolated from various Penicillium and Aspergillus species27–29. Essentially, the DKP ring was already at the redox state for the late-stage IMDA cyclization. The authors presumed this known natural product as a biosynthetic intermediate in brevianamides biosynthesis. Dehydrodeoxybrevianamide E was first diastereoselectively oxidized into dehydrobrevianamide E, which is not yet a known natural product. Retro-5-exo-trig ring opening followed by stereospecific 1,2-shift pinacol rearrangement gave the indoxyl species 15. Subsequent tautomerization yielded the key enantiopure azadiene intermediate 14, followed by the final spontaneous anti-selective IMDA cycloaddition to generate brevianamides A and B in a 93:7 diastereomeric ratio, which is closely consistent with their ratio (~10:1) in P. brevicompactum fermentation30. Thus, it was speculated that the IMDA reactions to generate brevianamides in natural producers might also be a spontaneous process without participation of a long-proposed DAase.
Scheme 9.

The biosynthetic route for brevianamides A, B, X and Y proposed by Godfrey et al26. The putative key intermediate is highlighted in red.
Furthermore, the successful chemical synthesis of brevianamides A and B led to an extension of the biosynthetic speculation to account for the formation of other known BCDO-containing brevianamide derivatives, namely, brevianamides X and Y31. It is worth mentioning that Sun and Rateb groups independently designated two different natural products as brevianamide X32,33, which are not discussed in this review as they do not belong structurally to BCDO brevianamides. Putative biosynthetic pathways following the hypothetical intermediate dehydrodeoxybrevianamide E to brevianamides X and Y were proposed accordingly (Scheme 9). Briefly, dehydrobrevianamide E could undergo an alternative pinacol-type rearrangement, via a transient epoxide intermediate, to give a thermodynamically more favorable oxindole species 16. Subsequent tautomerization of the oxindole gave an enantiopure azadiene intermediate 14, which would undergo similar IMDA cycloaddition to generate brevianamide Y. Moreover, a minor diastereomer named (+)-brevianamide Z was formed along with (+)-brevianamide Y in the chemical synthesis31. The diastereomeric relationship between brevianamides Y and Z is similar to that between brevianamide A and B, as they share a common spiro-stereogenic center and have enantiomeric bicyclo[2.2.2]diazaoctane cores. This suggests that (+)-brevianamide Z might be a potential natural product worth further investigation. For brevianamide X with a syn-configured BCDO core, the proposed pathway was different from that of brevianamide Y in that the BCDO core was considered to be formed through an early IMDA cycloaddition via a key intermediate azadiene followed by oxidation and pinacol rearrangement to generate brevianamide X.
3.1.2. Notoamides and stephacidins
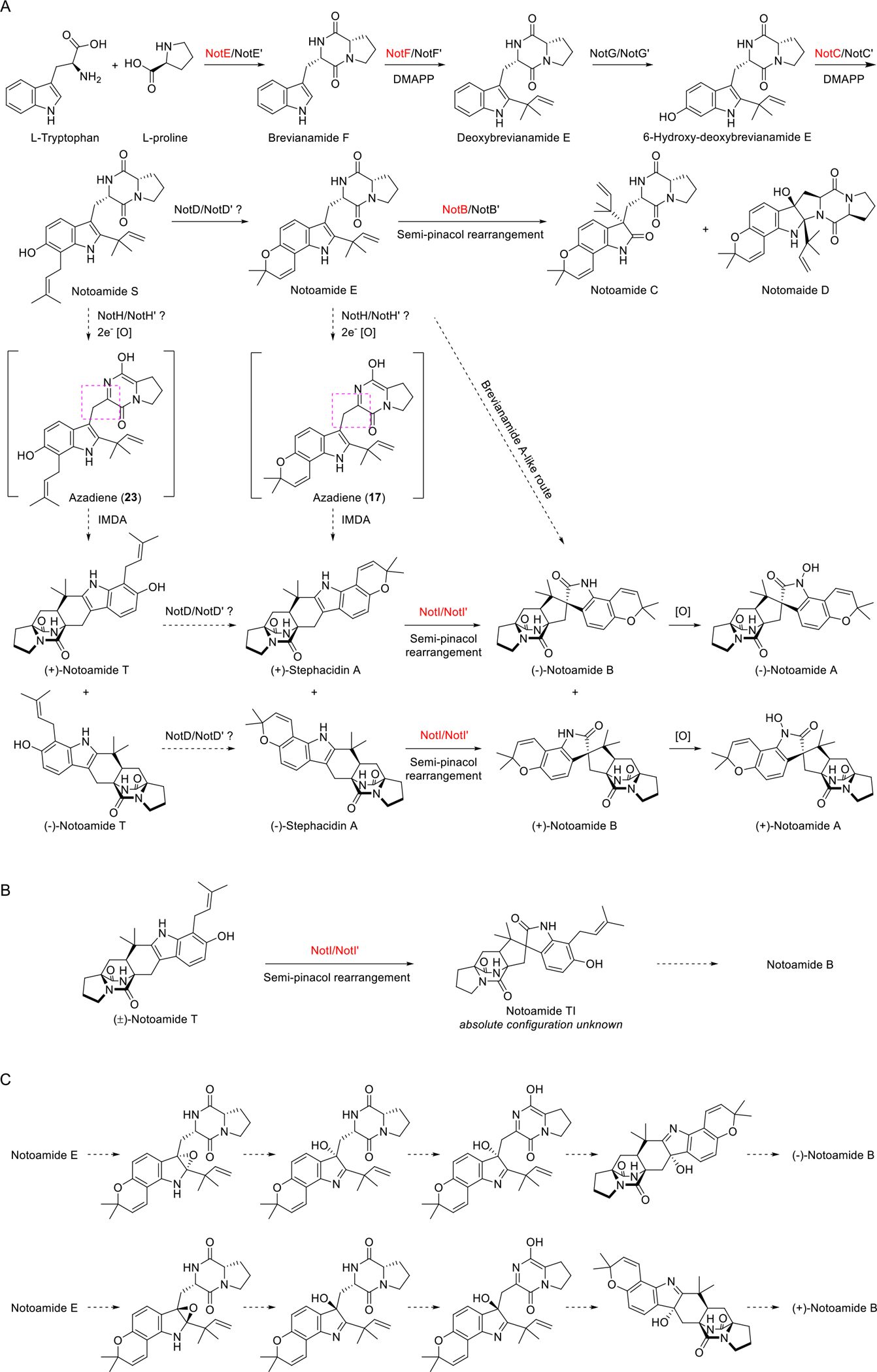
The BCDO-containing DKPs notoamides (i.e., notoamides A-D) were first isolated by the Tsukamoto group in 2007 from a marine-derived fungus A. protuberus that was isolated from the mussel Mytilus edulis collected off Noto Peninsula in the Sea of Japan34. The key structural difference between the notoamides and the brevianamides is the substitution of a dimethylpyranyl ring on the indole moiety of former structures (Figure 1). Since the original discovery, a fast-growing number of the notoamide family members have been reported, including notoamides A to Z35–42. The first isolation of stephacidins A and B, which were believed to be biosynthetically related to notoamide A, from the solid fermentation of Aspergillus ochraceus WC76466 was reported by Gao et al. in 200243. Since then, stephacidins A and B, together with 6-epi-stephacidin A, have been isolated from various Aspergillus spp.; for example, stephacidins A and B were found to be co-produced with notoamides A-D by A. protuberus34.
Based on the structural relationship between notoamides and stephacidins34 and biomimetic total syntheses44–47, their biogeneses were proposed (Scheme 10A). In the putative biosynthetic pathway, notoamide E is derived from deoxybrevianamide E upon installation of a dimethylpyran ring through sequential hydroxylation, prenylation and oxidative cyclization. Epoxidation of the indole C2=C3 bond of notoamide E with following pinacol-rearrangement or C‒N ring closure gives notoamide C and D, respectively. Oxidative C‒N desaturation of notoamide E generates the key azadiene intermediate 17, followed by [4+2] IMDA reaction giving rise to stephacidin A containing the BCDO core. Subsequent epoxidation and pinacol-rearrangement lead to notoamide B, which further undergoes N-hydroxylation to produce the final product notoamide A.
Scheme 10.

Variant biosynthetic proposals for stephacidins and notoamides. (A) Initial proposal for biogenesis of stephacidin A and notoamides A and B. (B) Proposed biogenesis of enantiomers of notoamides and stephacidins. (C) Alternative biogenesis of the enantiomeric pair of notoamides. (D) The proposed biosynthetic pathway of notoamides by Sherman and coworkers. (E) The proposed stereochemically parallel pathways from notoamide S in A. protuberus and A. amoenus.
Intriguingly, multiple enantiomers of notoamides and stephacidins can be produced by different Aspergillus strains. For example, (−)-stephacidin A and (+)-notoamide B isolated from the terrestrial-derived fungus A. amoenus are the corresponding enantiomers of (+)-stephacidin A and (−)-notoamide B produced by the marine-derived fungus A. protuberus36. These enantiomeric compounds raised an enigmatic question on how these enantiomers containing multiple stereogenic centers are biosynthesized. This enigma led researchers to suspect that these distinct enantiomers might be assembled either via stereochemically parallel pathways or by stereoselective enzymes in different fungal species36 (Scheme 10B).
Notoamide M was isolated in 2009, which contains a hydroxy group at C-1737, thus being proposed to be a potential precursor to the azadiene species 17 for the putative [4+2] IMDA cyclization (Scheme 11). Oxidation at C-17 of the DKP ring followed by dehydration seemed to occur prior to the formation of the azadiene species. This finding provided an indirect support to a potential mechanism for the IMDA-based construction of the BCDO core in notoamides.
Scheme 11.

A putative biosynthetic route to the BCDO core.
An alternative biosynthetic pathway that explains the biogenesis of the two antipodes of notoamide B in different producing fungi was also proposed37 (Scheme 10C). An R-selective indole oxidase in the marine-derived A. protuberus and S-selective enzyme in terrestrial A. amoenus might catalyze the stereo-opposite epoxidation of deoxybrevianamide E, followed by pinacol rearrangement of the isoprenyl group from C-2 to C-3, thereby affording the distinct oxindole species 18 and 19, the corresponding 3-epi diastereomer. Further oxidation and tautomerization of the oxindole species would generate the azadiene intermediates 20 and 21, which undergo [4+2] IMDA to form the BCDO core. Subsequently, oxidation and prenylation reactions construct the pyran ring to yield (+)- or (−)-notoamide B. In the postulated biosynthetic pathway, the enantio-divergence comes from the consequence of incipient R- or S-selective epoxidation of indole instead of the enantioselective IMDA cyclization.
To test this hypothesis, [13C]2-[15N]-deoxybrevianamide E was chemically synthesized for the precursor feeding experiments of A. protuberus48 (Scheme 12A). Purification of the fungal metabolites afforded a mixture of the [13C]2-[15N]-labeled compounds, whose structures were first elucidated to be the proposed oxindoles, but later corrected to be brevinamide E and its epimer 2249. However, no labeled bridged BCDO-containing alkaloids such as notoamide B was isolated. To further explore the downstream metabolites, the synthetic [13C]2-[15N]-brevinamide E and the corresponding epimer were fed individually to the same strain. Results showed that no labeled downstream product was detected, indicating that these two compounds were shunt metabolites in the biosynthesis of notoamides.
Scheme 12.

Isotopic feeding experiments for the explorations of notoamides biosynthesis. (A) The isotopic incorporation of [13C]2-[15N]-deoxybrevianamide E. (B) The isotopic incorporation of [13C]2-notoamide E. (C) The feeding experiment results of isotopically labeled stephacidin A. (D) The isotopic incorporation of [13C]2-[15N]-6-hydroxydeoxybrevianamide E. (E) The isotopic incorporation of [13C]2-[15N]2-notoamide S. (F) The isotopic feeding experiment of [13C]2-notoamide T in A. amoenus. (G) The isotopic incorporation of [13C]2-notoamide T in A. protuberus.
According to the initially proposed notoamide biosynthetic pathway, notoamide E was postulated to be a key biosynthetic intermediate. To confirm the existence of notoamide E, Tsukamoto group sought to detect and isolate this compound from A. protuberus fermentation cultures38. It was revealed that notoamide E existed only in the 5-day culture and then disappeared, which confirmed that this intermediate was indeed produced in the early phase of growth and rapidly converted into other downstream metabolites.
Subsequently, [13C]2-notoamide E was chemically synthesized by following the reported approach with the 13C-labeled starting marterials50,51. The isotope incorporation experiment in A. protuberus38 (Scheme 12B) showed that the 13C isotopes from synthetic [13C]2-notoamide E was incorporated into notoamides C and D, along with 3-epi-notoamide C and three new minor alkaloids, notoamides E2-E4. Surprisingly, the BCDO-containing alkaloids, the 13C-labeled notoamides A and B as well as stephacidin A, were not isolated from the feeding experiment. Of note, the yield of 3-epi-notoamide C, which was not isolated from the culture under unlabeled conditions in a normal medium, was higher than that of notoamide C. Feeding experiments in A. amoenus52 showed similar results, but only produced a trace amount of 3-epi-notoamide C. The authors reasoned that the presence of excess notoamide E in the feeding experiment might have changed the expression levels of some downstream enzymes, thereby altering the metabolite profile. These results also allowed the researchers to speculate the timing of BCDO ring assembly precedes that of the pyran moiety.
After identification of notoamide gene clusters (Figure 5B) in A. protuberus53 and A. amoenus5, as well as characterization and prediction of related enzyme functions, Sherman and coworkers proposed a plausible notoamide biosynthetic pathway53 (Scheme 10D), in which notoamide S without the BCDO and pyran moieties was proposed as a key intermediate, potentially leading to the achiral azadiene 235. To explore the intermediacy of notoamide S to the distinct natural notoamide enantiomers produced by different fungi, the Williams group accomplished the total synthesis of notoamide S54.
Considering the observation that distinct enantiomers of stephacidin A and notoamide B were isolated from the marine-derived A. protuberus53 and terrestrial-derived A. amoenus36, a stereochemically parallel pathway downstream of the precursor notoamide S was proposed55 (Scheme 10E). The [4+2] IMDA cycloaddition and following oxidative ring closure would produce the (+)- and (−)-enantiomers of stephacidin A in the respective producing microorganisms. Opposite face-selective epoxidations followed by semi-pinacol rearrangement of the 2,3-disubstituted indole would then yield the corresponding spiro-oxindoles, (−)- and (+)-notoamide B, respectively.
Stephacidin A was proposed as a key biosynthetic intermediate with a BCDO core in notoamide biosynthesis. Following an established biomimetic strategy44–46, the doubly 13C-labeled racemic stephacidin A was synthesized and fed to A. amoenus and A. protuberus55, respectively. Product analysis revealed the enantiospecific incorporation of intact (+)-stephacidin A into (−)-notoamide B in A. amoenus and (−)-stephacidin A into (+)-notoamide B in A. protuberus (Scheme 12C). These results provided strong experimental evidence for the hypothesis that complementary face-selective oxidative enzymes (presumed to be flavoenzymes) likely exist in the two different Aspergillus strains.
As the immediate precursor of notoamide S, [13C]2-[15N]-6-hydroxydeoxybrevianamide E was also chemically synthesized according to the established synthetic route with isotopically labeled substrates56. Unexpectedly, its feeding studies with the terrestrial-derived A. amoenus57 and marine-derived A. protuberus48 showed that only the isotopically labeled notoamide J could be isolated (Scheme 12D).
Notoamide S was proposed to be the substrate for oxidative desaturation, which yields the key azadiene intermediate for the subsequent hypothetical [4+2] IMDA cyclization53,58. This compound was also considered a pivotal branching point in the notoamide biosynthetic pathway. To address this hypothesis, [13C]2-[15N]2-notoamide S was chemically synthesized using the strategy previously established by the Williams group54. Feeding the labeled notoamide S to the culture of A. amoenus showed that (−)-stephacidin A and (+)-notoamide B, as well as notoamide C and D incorporated significant amounts of isotopes59 (Scheme 12E). These results, together with the fact that notoamide S was identified as a minor metabolite of A. amoenus60, strongly supported that the construction of the BCDO ring system should occur prior to the formation of pyran ring.
Notoamide T differs from stephacidin A in that its pyran ring remains unclosed. It was hypothesized to be derived from notoamide S through putative oxidation followed by a [4+2] IMDA reaction and was considered the direct precursor to stephacidin A53. In an effort to verify the biogenesis of stephacidin A and notoamide B, total synthesis of notoamide T was achieved by Williams and coworkers61. Furthermore, racemic d,l-[13C]2-notoamide T was synthesized for the following precursor incorporation studies61 (Scheme 12F). Complete consumption of racemic d,l-[13C]2-notoamide T was observed for A. amoenus, indicating that the construction of the pyran ring might be mediated by a promiscuous oxidase to accept both enantiomers of notoamide T. The isotopically labeled (+)-stephacidin A and (+)-notoamide B were subsequently isolated. (+)-Notoamide B was likely derived from the unisolated intermediate (−)-stephacidin A. Since (+)-stephacidin A is not an endogenous natural metabolite produced by A. amoenus, it was not incorporated into the biosynthetic pathway, thus being isolated from the feeding experiments, which supported the proposed enantio-specific pathway (Scheme 10E) in A. amoenus.
In the precursor incorporation study in A. protuberus, racemic [13C]2-notoamide T was also consumed and transformed into d,l-[13C]2-stephacidin A, d,l-[13C]2-notoamide B, d,l-[13C]2-notoamide F, d,l-[13C]2-notoamide R, and d,l-[13C]2-notoamide T261 (Scheme 12G). Further investigations revealed that, different from the selective d,l-[13C]2-notoamide T incorporation results in A. amoenus (Scheme 12F), all the isolated metabolites were racemic mixtures, suggesting that orthologous enzymes in A. protuberus might respectively recognize the two enantiomers of notoamide T and stephacidin A in the biosynthetic process to notoamide B. These results also implied that the feeding of racemic notoamide T might have activated the expression of some dormant tailoring enzymes to alter the metabolite profile of producing organism.
Moreover, one could speculate that 6-epi-stephacidin A should be derived from 6-epi-notoamide T. To verify this hypothesis, the Tsukamoto and Williams groups sought to detect 6-epi-stephacidin A in the culture of A. protuberus with the feeding of 6-epi-notoamide T62. Considering 6-epi-stephacidin A might be a short-lived precursor, time course studies of the metabolite profiles of A. protuberus were conducted. The results clearly indicated that 6-epi-stephacidin A was produced by the fungus in the early phase of growth and then rapidly converted to other downstream metabolites. However, the precursor incorporation experiments using synthetic [13C]2-(±)-6-epi-notoamide T did not result in the detectable level of 13C-labeled 6-epi-stephacidin A. Interestingly, the feeding of non-labeled (±)-6-epi-notoamide T on minimal medium agar plates led to the accumulation of racemic 6-epi-stephacidin A (Scheme 13A). However, the possibility that the racemic 6-epi-stephacidin A was generated from an endogenous biosynthetic pathway of A. protuberus could not be excluded.
Scheme 13.

A proposed biosynthetic origin of stephacidins in A. protuberus (A) and A. amoenus (B).
Besides the major metabolite (−)-stephacidin A, Tsukamoto and coworkers also isolated 6-epi-stephacidin A from A. amoenus60. Careful analysis by chiral HPLC showed that the isolated 6-epi-stephacidin A was actually an enantiomeric mixture enriched with the (−)-isomer. Meanwhile, notoamide S was also identified from the fermentation extract of A. amoenus. These results indicated that notoamide S was indeed a natural metabolite and could be converted into (−)-stephacidin A, (+)- and (−)-6-epi-stephacidin A (Scheme 13B).
3.1.3. Versicolamides
As the representative structure of versicolamide family members, versicolamide B was first isolated from the fungus A. amoenus36. The absolute configuration was determined to be an (+)-enantiomer. Versicolamide B and notoamide B have the same polycyclic structure with differences in the two stereogenic centers of C3 and C19. Considering that oxidation of the 2,3-indole moiety of (−)-stephacidin A to the corresponding spiro-oxindole generates (+)-notoamide B, it was proposed that similar face-selective oxidation of the presumed precursor 6-epi-stephacidin A would produce (+)-versicolamide B (Scheme 14). Consistent with this proposal, 6-epi-stephacidin A was later found to be an actual natural metabolite of A. amoenus60.
Scheme 14.

Proposed biogenesis of versicolamide B.
When the 13C (C12 and C18) and 15N (N13 and N19) quadruply labeled notoamide S was synthesized and fed to the cultures of A. amoenus59 (Scheme 15A), (−)-versicolamide B, together with (+)-notoamide B and (−)-stephacidin A, were found to contain significantly incorporated 13C and 15N isotopes, indicating that notoamide S should be a common precursor for these metabolites.
Scheme 15.

The precursor feeding experiments using the isotopically labeled notoamide S (A) and 6-epi-notoamide T (B).
The initially isolated versicolamide B from A. protuberus was assigned as a (−)-enantiomer37. Through careful re-analysis of the natural metabolite, it was revealed that the absolute configuration should be revised to the (+)-form62. Thus, both the marine-derived fungus A. protuberus and terrestrial-derived A. amoenus produce the same (+)-versicolamide B. Considering this fact and the previous report about the bioconversion of notoamide T into (+)-stephacidin A and (−)-notoamide B61, the Tsukamoto and Williams groups proposed that versicolamide B might be biosynthesized from 6-epi-notoamide T via 6-epi-stephacidin A62 (Scheme 14). To test this hypothesis, the precursor feeding experiment of A. protuberus using synthetic [13C]2-(±)-6-epi-notoamide T was conducted (Scheme 15B). Interestingly, this precursor was converted to a racemic mixture of (±)-versicolamide B and seven new metabolites including (±)-6-epi-notoamides T3-T8 and (±)-6-epi-notoamide I (see Table 1 for structures).
To date, only (+)-versicolamide B has been isolated36,37,60,62–64, while (−)-versicolamide B has not been detected yet as a natural metabolite of any fungal species. From a biosynthetic point of view, the precursor of (+)-versicolamide B should be (+)-6-epi-stephacidin A, which could be isolated from the culture of A. protuberus. Interestingly, the isolated 6-epi-stephacidin A from A. amoenus was determined to be an enantiomeric mixture enriched with the (−)-isomer60. Based on these results, Tsukamoto and co-workers proposed that notoamide S could be converted into both (+)- and (−)-6-epi-stephacidin A by A. amoenus through (+)- and (−)-6-epi-notoamide T, respectively, but only (+)-6-epi-stephacidin A could be further transformed into (+)-versicolamide B (Scheme 14). The presence of (+)-versicolamide B suggested that this fungus might only contain the indole oxidase that is able to recognize (+)-6-epi-stephacidin A rather than (−)-6-epi-stephacidin A. Consequently, (−)-6-epi-stephacidin A became an end product without being converted to (−)-versicolamide B.
3.1.4. Taichunamides
Taichunamides A-G were isolated from the fungus Aspergillus taichungensis IBT 1940464 (Figure 4 and Table 1). After comparative structural analysis of these new indole alkaloids from the corresponding structures discovered from the fungus A. versicolor HDN11–84 by Li and co-workers, the structure of taichunamide A was revised to a 3-hydroxyindolenine65. Taichunamide B was determined to exist as an equilibrium mixture of keto-enol tautomers, one of which contains a rare 4-pyridone ring. Taichunamide C features a unique endoperoxide bridge structure, while taichunamide D has a methylsulfonyl unit, which is the first reported isolation of a 1-methylsulfonylindole alkaloid from natural sources. Zhang and co-workers isolated another new component 21-epi-taichunamide D from cultures of the endophytic A. versicolor F21066.
Figure 4.

Structures of taichunamides
Biosynthetically64, (+)-6-epi-stephacidin A was proposed to be the key intermediate for taichunamides (Scheme 16), which is also the putative precursor for versicolamides. Specifically, β-face epoxidation followed by pinacol rearrangement would afford versicolamides B and C, while taichunamide E presumably arises from α-face epoxidation followed by pinacol rearrangement. The unique 4-pyridone unit in taichunamide B could be derived from (+)-6-epi-stephacidin A. The oxidative C–C bond cleavage at the indole 2,3-position would give product 24. Afterwards, cyclization between C2 and C4 generates intermediate 25, which then undergoes dehydration to form a double bond, resulting in taichunamide B.
Scheme 16.

Proposed biogenesis of taichunamides.
3.2. Monoketopiperazines
Structurally, the BCDO core structure of MKPs is different from that of DKPs in terms of the number of BCDO-tethered keto group(s). This difference originates from distinct biosynthesis of the initial cyclic dipeptide precursors. Similar to the exploration of DKPs biogenesis, the early understandings of MKPs biosynthesis also relied on precursor feeding experiments and related chemical principles. In this section, we will discuss the studies on biogenesis of some representative MKP compounds.
3.2.1. Malbrancheamides
Malbrancheamide and malbrancheamide B were isolated from the cultures of the fungus Malbranchea aurantiaca RRC181367,68. These two metabolites are the first members of the BCDO-containing alkaloids with a halogenated indole moiety (Figure 5). Later, the Williams group reported the isolation of the nonhalogenated premalbrancheamide from the cultures of M. aurantiaca. Crews et al. also isolated two new chlorinated derivatives (−)-spiromalbramide and (+)-isomalbrancheamide B from another fungal strain Malbranchea graminicola, and two brominated analogues (+)-malbrancheamide C and (+)-isomalbrancheamide C in the cultures with added bromine salts69.
Figure 5.

Structures of malbrancheamides.
Based on the structures of isolated natural malbrancheamides, a putative biosynthetic pathway was proposed (Scheme 17)70. Deoxybrevianamide E was again proposed to be an early precursor, oxidation of which could lead to the intermediate azadiene 5. This azadiene would undergo an [4+2] IMDA reaction to give the cycloadduct keto-premalbrancheamide 26, which is then reduced to premalbrancheamide. After sequential chlorinations, the mono-chlorinated malbrancheamide B and di-chlorinated malbrancheamide are formed.
Scheme 17.

Initially proposed biosynthetic pathway of malbrancheamides.
To test this biosynthetic hypothesis, the doubly 13C-labeled premalbrancheamide and keto-premalbrancheamide 26 were synthesized using the method developed for the synthesis of stephacidin A36,46,70. In the precursor feeding experiment of M. aurantiaca70, the labeled premalbrancheamide was incorporated into malbrancheamide B, but not malbrancheamide (Scheme 18A). It was presumed that the kinetics of the second chlorination reaction might be much slower than the first one. By contrast, the feeding of doubly 13C-labeled keto-premalbrancheamide 26 to M. aurantiaca labeled neither malbrancheamide nor malbrancheamide B (Scheme 18B). These results strongly suggested that the reduction of the tryptophan-derived amide carbonyl residue might precede the formation of BCDO core. More importantly, these findings indicated an alternative pathway that the putative [4+2] IMDA reaction for malbrancheamides likely involves a key MKP azadiene intermediate 27 (Scheme 17), which could be the direct precursor of premalbrancheamide.
Scheme 18.

Isotopic incorporation with premalbrancheamide (A) and keto-premalbrancheamide (B).
To validate the sequence of malbrancheamide biosynthesis, Williams and coworkers chemically synthesized premalbrancheamide through a biomimetic approach, however giving rise to both (+)- and (−)-enantiomers3. By contrast, the optically pure (+)-premalbrancheamide is formed by Malbranchea spp., suggesting that an enzyme-directed cyclization process might occur in the producing strains.
3.2.2. Paraherquamides
The first member of paraherquamide family, paraherquamide A, which contains an unusual amino acid, β-methyl-β-hydroxyproline, was isolated in 1981 from the cultures of Penicillium paraherquei by Yamazaki and coworkers (Figure 6)71. From then on, more family members, such as paraherquamides B-M, were isolated from various Penicillium spp. and Aspergillus spp.72–81. Of note, many related natural products, such as VM55595, VM55596, VM55597, VM55599, SB203105, and SB200437 were also isolated from Penicillium sp. IMI33299572,73 and Aspergillus sp. IMI33766481. Due to their structural complexity, intriguing biogenesis, and potent antiparasitic activity, paraherquamides have attracted great attention from both academia and industry.
Figure 6.

Structures of paraherquamides.
In 1996, Williams and co-workers conducted feeding experiments on Penicillium fellutanum ATCC 20841 using [1-13C]-L-tryptophan, [methyl-13C]-L-methionine, and [1-13C]-L-isoleucine to determine the primary metabolic building blocks for the MKP BCDO ring system of paraherquamide A (Scheme 19A)82. 13C NMR analysis of products showed that the three amino acids were indeed the building blocks of paraherquamide A. Interestingly, [methyl-13C]-methionine was incorporated into the N-methyl position of the MKP ring, but not in the β-methylproline ring. Subsequent feeding of [1-13C]-L-isoleucine, followed by isolation and 13C NMR analysis of paraherquamide A, revealed efficient isotope incorporation into the MKP ring system. This finding clearly indicated that the methyl group of the unusual nonproteinogenic amino acid β-methylproline should originate from L-isoleucine.
Scheme 19.

Isotopic feeding experiments for exploring paraherquamides biogenesis by P. fellutanum. (A) The isotopic incorporations of three 13C-labeled amino acids. (B) The isotopic incorporations of doubly 13C-labeled building blocks. (C) The isotopic incorporation of [13C2]-acetate. (D) The isotopic incorporation of 13C-labeled L-isoleucine and two possible oxidation mechanisms for β-methylproline biosynthesis. (E) The isotopic incorporation of 13C-labeled preparaherquamide, VM55599, and other counterparts. (F) Isotopic incorporation with 13C-labeled 7-hydroxy-preparaherquamide.
To investigate the downstream pathway from β-methylproline to paraherquamide A, L-[1-13C]-β-methylproline was chemically synthesized by means of a Hoffman-Loeffler-Freytag reaction sequence from [1-13C]-L-isoleucine (Scheme 20)83. The feeding experiment in growing cultures of P. fellutanum with [1-13C]-β-methylproline gave paraherquamide A with high isotope incorporation, indicating this amino acid is a direct biosynthetic precursor to paraherquamide A (Scheme 19A).
Scheme 20.

Chemical synthesis of L-[1-13C]-β-methylproline.
After determining the primary amino acid building blocks for paraherquamide A, the same group further explored the possible biosynthetic process of isoleucine/tryptophan conjugation82,83. The authors set out to determine at which point formation of β-methylproline group occurs. Specifically, doubly labeled NH2-[1-13C]-l-isoleucine-[1-13C]-l-tryptophan-COOH, NH2-[1-13C]-l-tryptophan-[1-13C]-l-isoleucine-COOH, and [2,5-13C2]-cyclo-l-tryptophan-l-isoleucine were synthesized and individually fed to P. fellutanum (Scheme 19B). However, NMR analysis of the isolated paraherquamide A did not provide compelling evidence for site-specific incorporation of both isotopic labels from these dipeptides. The mass spectra of the paraherquamide A isolated from these feeding experiments also did not show the expected isotopic patterns resulted from incorporation of the intact doubly labeled metabolites. The low levels of incorporation were considered to be likely due to hydrolysis of dipeptides and re-incorporation of the singly labeled amino acids. Taken together, it was deduced that l-isoleucine should first be converted to β-methylproline, then undergo downstream biosynthetic steps to paraherquamide A.
Paraherquamide A contains two isoprene units with one comprising the dioxepin ring, and the other one incorporated in the BCDO ring system. In order to elucidate the origin of the two isoprene units, the feeding experiments were carried out for P. fellutanum with [13C2]-acetate and [13C6]-glucose25,84. It was confirmed that acetate is the precursor for both isoprene moieties, which should be constructed via the classical mevalonic acid pathway (Scheme 19C). The results of feeding experiments with [13C2]-acetate also demonstrated that the isoprene units in paraherquamide A were incorporated in a stereofacially distinct manner. The stereochemical integrity of DMAPP was maintained during the formation of the C−O bond in the dioxepin ring, whereas the stereochemical integrity of DMAPP for the BCDO core was broken at some biosynthetic stage. These observations suggested the putative reverse and normal prenyltransferases in paraherquamide A biosynthesis to exhibit distinct facial selectivities. The loss of the face-selective biosynthesis of reverse isoprene unit was also observed in other BCDO alkaloids, such as brevianamide A25.
To further explore how the oxidative cyclization of L-isoleucine to β-methylproline could occur, Stocking et al. proposed two putative pathways regarding 2 e− and 4 e− oxidation mechanisms (Scheme 19D)85. Using chemically synthesized L-[5-13C,5-2H3]-isoleucine, the feeding experiments with P. fellutanum were carried out. The isolation of monodeuterated β-methylproline instead of dideuterated β-methylproline indicated that the cyclization of L-isoleucine should undergo a 4 e− oxidation of the terminal methyl group, followed by a diastereoselective 2 e− reduction.
Reading and coworkers isolated the natural metabolite VM55599 from the paraherquamide-producing Penicillium strain IMI332995 and assigned the relative stereochemistry through extensive 1H NMR NOE analysis72. This BCDO-containing species was originally postulated as a biosynthetic precursor for paraherquamide A (Scheme 19E) and other related indole alkaloids18. The isolation of VM55599 also suggested that construction of the BCDO ring probably precedes the oxidative tailoring of the side chain of tryptophan. Nonetheless, it is worth noting that the determined stereochemistry of the methyl group of methylproline in VM55599 was found to be opposite to that in paraherquamide A.
Previous studies had shown that the stereochemistry of the methyl group of L-isoleucine was retained in the final product paraherquamide A82,83,85. This made Williams and coworkers speculate that L-isoleucine might be a common biosynthetic precursor for both paraherquamides and VM55599. If so, the absolute configuration of the BCDO ring system of VM55599 should be enantiomeric to that of paraherquamides. Experimental observations and speculations on VM55599 led to a unified proposal for biosynthesis of VM55599 and the paraherquamides (Scheme 21A) 22,23,86. Specifically, the biosynthetic precursors of paraherquamides and VM55599 arise as diastereomeric products of the [4+2] IMDA cycloaddition of a common azadiene 30 through two out of four possible diastereomeric transition states. The minor product of this kind of cycloaddition would culminate in VM55599, while the major product would be the proposed diastereomer preparaherquamide, which would lead to paraherquamide A.
Scheme 21.

Different biosynthetic proposals for paraherquamides. (A) Unified proposal for biosynthesis of paraherquamides and VM55599. (B) Proposed biogenesis of dioxepin ring. (C) Two alternative biogenetic sequences from preparaherquamide.
To test this hypothesis, four racemic doubly 13C-labeled cycloadducts were synthesized according to the previously established synthesis of racemic VM5559986,87. Feeding experiments were performed on P. fellutanum with all four potential precursors, followed by isolation and purification of paraherquamide A (Scheme 19E). Analysis of 13C NMR and mass spectra showed that significant isotopic incorporation was observed in paraherquamide A when 13C-labeled preparaherquamide was fed, while no incorporation was observed for racemic VM55599 and the other two oxidized counterparts 28 and 29. These results provided additional circumstantial evidence that VM55599 should not be the precursor of paraherquamide A, but probably a minor shunt metabolite. The significant incorporation of this C-14 epimer (Scheme 19E) also indicated that the formation of the BCDO moiety should occur prior to the oxidation on the tryptophyl moiety. Moreover, oxidations of the indole ring to form both the catechol-derived dioxepin and spirooxindole, as well as the dioxepin-derived isoprenylation and S-adenosylmethionine-involved N-methylation should occur after the formation of preparaherquamide.
Next, Williams and coworkers chemically synthesized (−)-VM55599 through an enantiospecific biomimetic strategy starting from a chiral, non-racemic compound of known absolute configuration88. Analyses including optical rotation and CD measurement and comparison of retention times on chiral HPLC confirmed that the synthesized product was identical in all respects to natural VM55599 produced by Penicillium spp. IMI332995. These results not only confirmed the absolute stereochemistry of VM55599, but also supported the biosynthetic route proposed for VM55599 and paraherquamides (Scheme 21A).
The incorporation of preparaherquamide into paraherquamide A indicated that preparaherquamide should be a genuine metabolite of paraherquamide-producing fungi. In order to confirm this, Williams and coworkers carefully examined the cultures of P. fellutanum and A. japonicus by comprehensive LC-MS analysis76. As expected, preparaherquamide was detected in the cultures of both fungi, which further validated the putative biosynthetic pathway of paraherquamide A. With respect to the downstream biosynthetic route from preparaherquamide, it was proposed that the intermediate might be oxidized to the hypothetical intermediate 6/7-hydroxy-preparaherquamide 31 or 3289, which could suffer prenylation and cyclization to form the dioxepin ring, giving rise to the final product paraherquamide A (Scheme 21B).
Based on the above hypothesis, the Williams group further attempted to explore the exact sequence of hydroxylations and prenylation in forming the unique dioxepin moiety of paraherquamide A and the dihydropyran system of paraherquamides F and G. The authors proposed four possible hexacyclic biosynthetic intermediates (31-34) and initiated studies on chemical synthesis of the 2H- and/or 13C-labeled intermediates (Scheme 19F)89. Among the four compounds, preparative synthesis of D3-7-hydroxy-preparaherquamide 32 was achieved first89. The feeding experiment with this compound was performed on P. fellutanum followed by isolation and purification of paraherquamide A. No isotopic incorporation was observed for the intact triply labeled intermediate 32 within the detection limit of 2H NMR spectroscopy, indicating that the C-6 hydroxylation of the indole ring likely precedes the C-7 hydroxylation (Scheme 19F and 21C). However, it is also possible that the oxidative transformation of preparaherquamide to the oxindole species 35 precedes the hydroxylation at either C-6 or C-7 (Scheme 21C).
4. Elucidation of biosynthetic pathways and functional and mechanistic studies of biosynthetic enzymes
Breakthroughs in the biosynthesis of BCDO alkaloids have only begun to emerge in the past decade mainly owing to the recent technical advances in genome sequencing and editing. Strikingly, these biosynthetic systems have evolved multiple strategies for controlling the diastereo- and enantioselective outcomes by recruiting a variety of enzyme classes. These findings highlight the power of nature to deploy diversified biocatalytic strategies for creating structurally convergent but diastereo/enantio-divergent BCDO indole alkaloids.
4.1. Diketopiperazines
With the advent of the genomic era, DKP biosynthesis has been extensively studied in terms of biosynthetic gene clusters (BGCs) and related enzymatic functions and mechanisms. The family-founding member brevianamide A is also the first DKP BCDO-containing alkaloid with fully resolved biosynthetic pathway, in which the spontaneous IMDA process was clearly demonstrated. In this section, we will review the current understandings on biogenesis of the BCDO-containing DKP alkaloids including brevianamides, notoamides, and others.
4.1.1. Brevianamides
For half a century since the first isolation of brevianamide A, despite great efforts on deciphering its biogenesis, the enzymatic details of its biosynthesis have long remained elusive. We recently cracked this black box through genomics, gene disruption, heterologous expression, precursor incorporation experiments, in vitro biochemical analysis, structural biology, and quantum mechanical calculations2.
Using the non-ribosomal peptide synthetase (NRPS) gene notE53 in notoamide biosynthetic gene cluster as a probe, genome mining of the whole genome of the brevianamides A/B producing Penicillium brevicompactum NRRL 864 located the homologous NRPS gene bvnA that is putatively responsible for assembling the cyclo-dipeptide brevianamide F. Subsequently, a gene cluster (bvn) containing five genes including bvnA (NRPS), bvnB (flavin monooxygenase, FMO), bvnC (prenyltransferase, PT), bvnD (cytochrome P450 monooxygenase, P450), and bvnE (isomerase/pinacolase) was revealed (Figure 7A).
Figure 7.

Biosynthetic gene clusters of brevianamides (A), notoamides (B), malbrancheamides (C), paraherquamides (D), and 21R-citrinadin A (E).
As predicted, the bimodular NRPS BvnA was confirmed to be a brevianamide F synthase through the heterologous expression of bvnA in Aspergillus oryzae M-2–3 (Scheme 22), functionally identical to its homologues FtmA in fumitremorgin biosynthesis90 and NotE in notoamide biogenesis53. Results of bvnC gene knockout in P. brevicompactum, heterologous expression of bvnC in A. oryzae, and in vitro enzymatic reaction clearly demonstrated the reverse prenyltransferase functionality of BvnC, which is responsible for generating the key intermediate deoxybrevianamide E from brevianamide F with a co-substrate dimethylallyl pyrophosphate (DMAPP). Then, FMO BvnB was characterized to catalyze a β-face epoxidation followed by ring-opening of the indole epoxide intermediate, giving rise to the unstable intermediate 3-hydroxyindolenine 36. Brevianamide E was confirmed to be a rearranged shunt product resulting from the initial 2,3-indole epoxidation of deoxybrevianamide E (probably via the intermediate 3-hydroxyindolenine 36). Without downstream gene products, BvnB could efficiently convert deoxybrevianamide E into brevianamide E through an energetically favored N-C ring closure, which was considered to follow a similar mechanism previously established for the formation of notoamide D by the homologous FMO NotB59.
Scheme 22.

The elucidated biosynthetic pathway of brevianamides. Putative key intermediates are highlighted in red.
Afterwards, in the presence of P450 BvnD, 3-hydroxyindolenine 36 is likely hydroxylated by BvnD and then undergoes spontaneous dehydration/tautomerization to yield the key azadiene intermediate 37, which is required for [4+2] IMDA cyclization (Scheme 22). Subsequent semi-pinacol rearrangement catalyzed by the cofactor-independent isomerase/pinacolase BvnE mediates the formation of the 3-oxo indoxyl azadiene species 14, which is spontaneously cyclized to brevianamides A and B via a non-enzymatic process. This is consistent with the Lawrence proposal as described above26. Interestingly, brevianamides X and Y were produced by the bvnE knockout mutant. We reasoned that the azadiene intermediate 37 could spontaneously undergo three different [4+2] IMDA cyclization routes to generate three new and chemically confirmed 3-hydroxyindolenine derivatives (8, 9 and 38). Due to instability, two of them collapsed to brevianamides X (with a minority of brevianamide B) and Y. Of note, the quantum chemical calculation results supported the experimentally observed product distribution. Essentially, the isomerase/pinacolase BvnE was demonstrated to be a central enzyme for controlling the stereochemistry and hence product profile in brevianamide biosynthesis.
The catalytic mechanism of BvnE was investigated through X-ray crystal structure analysis and molecular docking (Figure 8). BvnE is a symmetric homodimer, the catalytic cavity of which shows a hydrophobic interior with several polar residues, which are considered to be involved in acid/base catalyis. Site-directed mutagenesis of Arg38, Tyr109, Tyr113 and Glu131 residues caused severely attenuated activity. Docking analysis showed that the reverse prenyl group of the substrate 37 packed into a hydrophobic pocket. Tyr109 and Tyr113 interact with the 3-OH group, while Glu131 is positioned to interact with the indole nitrogen and C-18 oxygen. The semi-pinacol rearrangement likely initiates from the proton transfer mediated by Glu131, followed by hydrogen bond-assisted activation through Tyr109/Try113 via intermediates 39 and 40. During this process, Glu131 also provides charge stabilization of the intermediate 39. The hydrogen bonding network among Arg38, Glu131 and two ordered water molecules suggests that this residue may assist in regeneration of the carboxylate form of E131 via proton transfer.
Figure 8.

The proposed catalytic mechanism of BvnE. (A) The docked BvnE-37 complex with the key residues (in cyan). (B) The key interactions between Arg38 and Glu131. (C) The proposed isomerization mechanism.
4.1.2. Notoamides and stephacidins
The first biosynthetic gene cluster of notoamides (not) was reported by Sherman and co-workers53. Using ftmA90 that encodes a brevianamide F synthase of fumitremogin biosynthetic pathway as a probe, the bimodular NRPS gene notE, presumably responsible for the biosynthesis of brevianamide F (Scheme 23A), was identified through whole genome mining of the marine-derived (−)-notoamides A/B producing strain A. protuberus. The not gene cluster was found to contain eighteen open reading frames (Figure 7B). Among the not encoding enzymes, the two predicted aromatic prenyltransferases NotC and NotF were functionally characterized53. In vitro enzymatic reactions showed that NotF is the deoxybrevianamide E synthase with reverse prenyltransferase functionality, and NotC catalyzes a normal prenylation reaction of 6-hydroxy-deoxybrevianamide E to afford notoamide S (Scheme 23A). Later, a large and solvent-exposed active site of NotF was revealed after solving the crystal structure in complex with the native substrate and prenyl donor mimic dimethylallyl S-thiolodiphosphate (DMSPP). Of note, NotF showed a broad substrate scope to accept sterically and electronically differentiated tryptophanyl DKPs91.
Scheme 23.

Biosynthetic pathways of notoamides. (A) The latest proposed pathway. (B) The possible pathway involving notoamide TI. (C) Brevianamide A-like route. The functionally characterized enzymes are shown in red.
The Sherman laboratory also sequenced the genome of the terrestrial-derived A. amoenus that produces (+)-notoamides A/B and identified another notoamide biosynthetic gene cluster (not′) (Figure 7B), which containing nine genes (notA′-J′) that display high amino acid sequence similarity (> 70%) with the corresponding proteins encoded by the not gene cluster in A. protuberus5. Of note, the sequence similarity decreases drastically and the cluster architecture differs after notK/notK′, strongly suggesting the not/not′ gene clusters probably ends at the genes notJ/notJ′.
Based on the confirmed functions of the two prenyltransferases NotF and NotC, and the predicted enzyme activities of the remaining gene products, the putative notoamide biosynthetic pathway was initially proposed53 (Scheme 10D) and lately updated92 (Scheme 23A). Brevianamide F is produced from L-Trp and L-Pro by NRPS NotE and subsequently reverse prenylated by NotF to produce deoxybrevianamide E. Cytochrome P450 monooxygenase (P450) NotG likely catalyzes the hydroxylation on the indole ring. Then NotC is responsible for normal prenylation to produce the key intermediate notoamide S. Notoamide E is generated by an oxidative ring closure to afford the pyran moiety by oxidase NotD, which is further oxidatively converted into notoamide C and D by flavin monooxygenase (FMO) NotB. The step from notoamide E to stephacidin A is still uncertain because the 13C-labeled stephacidin A was not observed in the above-mentioned [13C]2-notoamide E feeding experiment (Scheme 12B)38,52. Subsequently, oxidation and tautomerization of the proposed precursor notoamide S (presumably mediated by P450 NotH) would yield the key achiral azadiene species 23, which undergoes the [4+2] IMDA reaction enzymatically or non-enzymatically to generate notoamide T, followed by the pyran ring formation (presumably mediated by oxidase NotD) to give stephacidin A. Then stephacidin A is regiospecifically hydroxylated, followed by pinacol rearrangement to produce notoamide B. The final N-hydroxylation gives rise to notoamide A.
Following functional investigation of the two prenyltransferases NotC and NotF, the FAD-dependent monooxygenase NotB was also characterized in vitro59. This FMO was determined to catalyze the indole 2,3-epoxidation of notoamide E, leading to the two end products notoamides C and D through pinacol-like rearrangement (Scheme 23A). The conversion from stephacidin A to notoamide B was proposed to undergo the 2,3-epoxidation followed by pinacol-type rearrangement, which was predicted to be catalyzed by the second FMO NotI/NotI′5, which was biochemically confirmed92. Both (+)- and (−)-stephacidin A could be accepted by either NotI or NotI′ in vitro and converted to (−)- and (+)-notoamide B (Scheme 23A), respectively. Comparatively, both NotI and NotI′ prefer (−)-stephacidin A to (+)-stephacidin A. These results clearly indicated that NotI/NotI′ are not responsible for controlling the enantio-divergence in notoamides biosynthesis.
Interestingly, NotI/NotI′ demonstrated a wide substrate scope by showing varied oxidative activities towards brevianamide F, deoxybrevianamide E, 6-hydroxy-deoxybrevianamide E, notoamide S, notoamide E, (+)-notoamide T, and (−)-notoamide T92. For some substrates, multiple products could be detected, suggesting either a loss of stereocontrol for collapse of the epoxide or the generation of alternative oxidized products. Racemic notoamide T could be converted by NotI into a new compound notoamide TI, whose absolute configuration was not determined (Scheme 23B). The production of this compound suggested that there might be another possible pathway leading to notoamide B through (+)/(−)-notoamide T. However, it is still questionable whether notoamide TI is a natural metabolite because it has not been isolated in any of the notoamide-producing strains so far.
With previous knowledge on notoamide biosynthesis, Fraley et al. summarized the biosynthetic pathway of notoamides A/B (Scheme 23A)92. Considering the similarity and homology of related structures and enzymes between notoamides and brevianamides (Scheme 22 and Figure 7A and B), another possible biosynthetic route of notoamide B was also proposed (Scheme 23A and C, brevinamide A-like route). In this route, the formation of notoamide B does not go through the intermediate notoamide T; instead it is generated from notoamide E through “brevinamide A-like” oxidation, IMDA and rearrangement.
Despite these elucidated enzymatic steps, there remain a number of unsolved problems in notoamide biosynthetic pathway. For example, it is still uncertain whether notoamide S or E (or both) is the real precursor for the [4+2] IMDA reaction and which enzyme is the determining factor for the alternative stereo-outcome of (+)- and (−)-notoamides A/B. Moreover, another possibility still cannot be ruled out that notoamide B might be derived from notoamide E via a brevianamide-like mechanism (i.e., sequential FMO-mediated epoxidation, P450-catalyzed C‒N bond desaturation, and spontaneous IMDA) 2.
4.1.3. Versicolamide B
Versicolamide B is a diasteromer of notoamide B, both of which share a common polycyclic structure and can be produced by the same fungus. Thus, it is reasonable to speculate that the two natural metabolites originate from the same biosynthetic gene cluster (not/not′). Consistent with previous proposals60,62, Sherman and Williams groups reported the biochemical functions of the late-stage FMOs NotI/NotI′ in (+)/(−)-notoamide biosynthetic gene clusters from A. protuberus/A. amoenus. These two FMOs were able to catalyze the semi-pinacol rearrangement to generate the spiro-oxindole moiety present in many of the BCDO indole alkaloids (Scheme 24)92. Both NotI and NotI′ were able to catalyze the reaction of (+)-6-epi-stephacidin A to (+)-versicolamide B, but no reaction was observed for (−)-6-epi-stephacidin A. These in vitro results are compatible with the product patterns observed in A. protuberus and A. amoenus60,62, that both produced (+)-versicolamide B while A. amoenus accumulated (−)-6-epi-stephacidin A as terminal products.
Scheme 24.

The activities of NotI/NotI′ towards (+)/(−)-6-epi-stephacidin A.
4.1.4. Taichunamides
Taichunamides, notoamides and versicolamides were reported to be natural metabolites of A. taichungensis (Figure 9)64. Comparing the structural profiles of the three kinds of family members of BCDO fungal indole alkaloids reveals the distinct yet subtle stereochemical diversity. Considering the similar gene organization of the two notoamide biosynthetic gene clusters (not/not′ of A. protuberus/A. amoenus, Figure 9) and their high sequence homology5, it is reasonable to hypothesize that the difference in product patterns ((+)-stephacidin A, (+)-6-epi-stephacidin A, (−)-notoamide B, (+)-versicolamide B vs (−)-stephacidin A, (+)-6-epi-stephacidin A, (+)-notoamide B, (+)-versicolamide B, (−)-6-epi-stephacidin A) between the two strains60,62 is likely due to the stereoselectivity of the involved enzymes. Thus, we surmise that a similar gene cluster might be responsible for biogenesis of taichunamides and other related BCDO indole alkaloids in A. taichungensis, which contains the enzymes responsible for both enantio- and diastereodivergent biosynthetic processes.
Figure 9.

Major BCDO indole alkaloids produced by several Aspergillus strains as indicated by different symbols.
4.2. Monoketopiperazines
Similar to DKPs, MKPs have also been extensively studied with regard to their biosynthetic genes and key enzymatic mechanisms. The mechanisms related to the IMDA cycloaddition during the biosynthesis of paraherquamides and malbrancheamides were elucidated earlier than those of DKPs. Unlike the representative DKP alkaloid brevianamide A, the BCDO structure of MKPs is assembled by different DAases instead of spontaneous process. In this section, we will summarize the progress on the DAases and other related enzymes involved in MKP biosynthesis.
4.2.1. Malbrancheamides
By genome mining of M. aurantiaca RRC1813A, Sherman and Williams groups identified the seven-gene containing malbrancheamide biosynthetic gene cluster (mal) (Figure 7C)5. The genes of the mal cluster show higher sequence similarity to those of MKP paraherquamide biosynthetic gene cluster than those of DKP clusters (bvn and not/not′). Unlike the DKP NRPSs (BvnA and NotE/NotE′) that have a C-terminal condensation domain, the MKP NRPS MalG harbors a reductase domain at its carboxy terminus. The reductase domain was proposed to be responsible for reductive offloading resulting in the MKP moiety. MalA was predicted to be a flavin-dependent halogenase, which is consistent with the presence of chlorine atoms in the malbrancheamide structures.
According to the bioinformatically predicted functions of mal-encoded proteins, a biosynthetic pathway was proposed (Scheme 25A). The NRPS MalG (A-T-C-A-T-R: A, adenylation domain; T, thiolation/peptidyl carrier protein (PCP) domain; C, condensation domain; R, reductase domain) was proposed to catalyze the condensation of L-tryptophan and L-proline with reduction of the keto group (by R domain) to give the intermediate cyclic dipeptide (41). Then 41 is prenylated by one of the two prenyltransferases (MalE or MalB) generating the key precursor azadiene 27, which undergoes the [4+2] IMDA reaction to give premalbrancheamide. Subsequently, the halogenase MalA presumably catalyzes a halogenation reaction to afford the natural product malbrancheamide B, which could be further chlorinated to the final product malbrancheamide.
Scheme 25.

The initial proposal from 2012 (A) and 2019 revision (B) for the biosynthetic pathway of malbrancheamides.
In order to elucidate the halogenation process during malbrancheamide biosynthesis, Sherman and coworkers heterologously expressed the predicted halogenases MalA and MalA′ from M. aurantiaca and M. graminicola, respectively, and characterized their biochemical function and catalytic mechanism in vitro (Scheme 26)93. The purified MalA was found to catalyze the iterative chlorination of the natural precursor premalbrancheamide at both C8 and C9 positions, giving malbrancheamide B and isomalbrancheamide B, respectively, both of which could be further chlorinated to malbrancheamide. Interestingly, the monochlorinated products, malbrancheamide B and isomalbrancheamide B, could also be brominated to novel indole alkaloids malbrancheamide D and isomalbrancheamide D, respectively. It was also determined that the activity of MalA′ is essentially identical to that of MalA.
Scheme 26.

Biochemical function (A) and catalytic mechanism (B) of MalA.
To elucidate the unique halogenation mechanism of MalA/MalA′, the co-crystal structures of MalA′ in complex with premalbrancheamide, malbrancheamide B, and isomalbrancheamide B were determined, demonstrating the ternary complexes with FAD, chloride ion, and each of the three substrates93. The roles of amino acid residues in the active site were analyzed through site-directed mutagenesis and Lys108 was determined to be necessary for halogenation activity (Figure 10). Glu494 is important for substrate binding by forming a hydrogen bond with the proton of the N‒H of indole. Molecular dynamics simulation analysis and DFT calculations revealed that the enzyme represents a new class of zinc-binding flavin-dependent halogenases and provided new insights into a unique reaction mechanism (Scheme 26B). Briefly, an active Lys108-chloramine intermediate was proposed to be formed, which interacts with C9 or C8 to enable an electrophilic aromatic substitution, thus generating a Wheland intermediate (42 and 43) before the final deprotonation step. The deprotonation could be affected by a water molecule acting as a base or in the case of C8 by Ser129.
Figure 10.

The active site of substrate-bound MalA. Conserved Lys108 and a bound chloride ion are adjacent to the substrate binding pocket.
The first step of malbrancheamide biosynthesis was proposed to be the condensation of l-proline and l-tryptophan by the bimodular NRPS MalG (A-T-C-A-T-R), producing l-Pro-l-Trp aldehyde intermediate 44 through reductive release (Scheme 25B). To verify this hypothesis, the excised A1-T1, C, T2 and R domains of MalG, the full-length of which could not be produced in soluble form, were separately expressed and purified3. In vitro enzymatic reactions revealed that the NRPS MalG (in term of separate domains) product rapidly cyclized and dehydrated to the proposed dipeptide intermediate 45, which was spontaneously oxidized to a zwitterion product 46. Thus, the MalG terminal R domain catalyses an NADPH-dependent two-electron reductive release to produce the key aldehyde intermediate 44.
Next, MalE catalyzed the reverse prenyltransfer reaction to produce the prenylated zwitterion intermediate 47, whereas the other prenyltransferase MalB in mal cluster displayed similar but modest activity, suggesting that malB might be a redundant gene3. In contrast to zwitterion product 46, the synthetic dipeptide 45 could be rapidly prenylated by MalE, strongly suggesting that it is the native substrate for this prenyltransferase. A one-pot reaction with MalG, MalE and MalC produced (+)-premalbrancheamide, confirming that MalC functions as an intramolecular [4+2] DAase. Further reactions of the synthetic prenylated substrates (47 and 48) with MalC confirmed that the prenylated zwitterion 47 should be the native substrate for MalC. Therefore, MalC possesses the ability to mediate both NADPH-dependent reduction (giving the key azadiene 27) and the diastereo- and enantio-controlled cycloaddition reactions. Moreover, when the involving enzymes MalG, MalE, MalC and MalA were co-incubated with the starting substrates and necessary cofactors, the final product (+)-malbrancheamide could be produced in a one-pot manner, indicating a complete biosynthetic pathway for this MKP compound (Scheme 25B).
Further structural analysis together with site-directed mutagenesis and molecular dynamics simulations confirmed that the bifunctional reductases/DAases MalC (and PhqE, the MalC homologue in the paraherquamide pathway, see below) catalyzes the diastereo- and enantioselective cyclization in the construction of the MKP skeleton (Figure 11). MalC and PhqE were annotated as short-chain dehydrogenases. However, structural analysis revealed that they do not contain the conserved YXXXK motif that is required for catalysis in canonical short-chain dehydrogenases. Moreover, close interaction of the substrate with the NADP(H) cofactor was observed in PhqE substrate (47) and product (premalbrancheamide) complexes. And the bound prenylated zwitterion substrate 47 demonstrated pre-organization towards the biological (+)-syn product.
Figure 11.

The active site of product-bound PhqE. Premalbrancheamide interacts with the NADP+ cofactor and the essential Trp169.
4.2.2. Paraherquamides
The gene cluster responsible for biosynthesis of paraherquamides was identified through genome mining of P. fellutanum in 20125, and contains fifteen genes (Figure 7D). The bimodular NRPS gene phqB encodes a reductase (R) domain located at the C terminus, different from the condensation (C) domain of bvnA in brevianamide gene cluster and notE in notoamide gene cluster. The reductase domain was proposed to account for the presence of the MKP core structure in paraherquamides.
Based on the predicted functions of phq-encoded proteins, a plausible biosynthetic pathway of paraherquamide A was proposed (Scheme 27A)5. Putatively, L-isoleucine is initially hydroxylated by an unknown enzyme. The short chain dehydrogenase PhqE, later characterized to have another function (see below), was proposed to oxidize the terminally hydroxylated L-isoleucine to the corresponding aldehyde 49. Next, the aldehyde undergoes spontaneous cyclization and dehydration to yield 4-methyl pyrolline-5-carboxylic acid (50). The pyrroline-5-carboxylate reductase PhqD presumably reduces the intermediate 50 to β-methyl proline. Works by Walsh94 and Tang95 on the echinocandin and UCS1025A system indicated another possibility that the 2-oxoglutarate (2OG)-Fe(II)-oxygenase PhqC is likely responsible for the oxidation of isoleucine to generate β-methyl-proline. The PhqC homologues EcdK and UcsF iteratively oxygenate L-isoluecine en route to 4(R)-methyl-L-proline and β-methyl proline, respectively, in an α-ketoglutarate and oxygen-dependent manner. The bimodular paraherquamide NRPS PhqB (A-T-C-A-T-R), containing a C-terminal NAD(P)-dependent reductase domain, might utilize NADPH to reduce the thioester bond of the T domain-tethered linear dipeptide. This reduction would lead to spontaneous cleavage of the C−S bond, releasing the aldehyde intermediate 51. The aldehyde then undergoes spontaneous dehydration and double bond rearrangement (tautomerization), giving the key azadiene precursor 52. The reverse prenyltransferase (proposed to be PhqJ) then introduces the reverse prenyl group and mediates the subsequent [4+2] IMDA reaction to form the earliest BCDO-containing intermediate preparaherquamide. The formation of pyran ring (in paraherquamides F and G) was believed to be co-mediated by prenyltransferase PhqA, P450 PhqL, and oxidoreductase PhqH or P450 PhqM. The FMO PhqK (a homologue of NotI) and methyltransferase PhqN are likely responsible for generation of the spiro-oxindole and the N-methylation, respectively. The third P450 monooxygenase PhqO probably catalyzes the C14 hydroxylation. The initial speculation suggested that the oxygenase PhqC might participate in the ring expansion process forming the 7-membered dioxepin ring in paraherquamide A5. However, the aforementioned biosynthetic study of β-methyl-proline94,95 seemed to exclude this possibility, suggesting that PhqC is more likely involved in isoleucine oxidation rather than in the ring expansion. Given that the oxidative ring closure to form the pyran moiety is probably catalyzed by the NotD homologue PhqH, the remaining P450 enzyme PhqM is most likely responsible for the ring expansion. Despite these reasonable functional predictions, the order of the proposed biosynthetic steps needs to be established by detailed genetic and biochemical studies.
Scheme 27.

Proposed paraherquamide biosynthetic pathways. (A) The biosynthetic pathway of paraherquamide A proposed in 2012. (B) Alternative biosynthetic pathway of paraherquamide A proposed in 2018. (C) A 2019 update to the proposed biosynthetic pathway of preparaherquamide.
Interestingly, Williams and coworkers also raised an alternative biogenetic hypothesis for the key prenylated azadiene 30 (Scheme 27B)96. The NRPS PhqB conducts reductive release of the dipeptide via a four-electron process giving rise to an amino alcohol species 53, which is then reverse-prenylated and oxidized to afford a key amino-aldehyde intermediate 54. Following spontaneous cyclization, dehydration and tautomerization, the azadiene intermediate 30 is formed for the IMDA cycloaddition, leading to preparaherquamide.
After elucidation of the malbrancheamide biosynthetic pathway3, the biogenesis of preparaherquamide was also revised (Scheme 27C). The NRPS PhqB (MalG homologue) likely catalyzes the reductive condensation of β-methylproline and L-tryptophan to give the first MKP precursor compound 55, followed by spontaneous oxidation to a zwitterion compound 56. A reverse prenyltransferase (presumably PhqI) then catalyzes the prenylation of the zwitterion 56 (yielding 57). Subsequently, the dehydrogenase PhqE (MalC homologue) mediates the NADPH-dependent reduction to furnish the key intermediate azadiene 30 and catalyzes the [4+2] IMDA cyclization to generate preparaherquamide. Notably, the culture extraction of the paraherquamide-producing strain P. simplicissimum with phqE knockout confirmed the existence of the proposed zwitterion intermediate 573.
After assembly of preparaherquamide, the spirocycle formation in paraherquamides was identified to be catalyzed by the FAD-dependent monooxygenase (FMO) PhqK (Scheme 28)80. Two new paraherquamide derivatives (i.e., paraherquamides K and L) were accumulated by the phqK-knockout strain of P. simplicissimum, indicating that these two compounds might be the substrates of PhqK. Subsequent in vitro enzymatic reactions of paraherquamides K and L with PhqK confirmed their conversions into the spirocyclized products paraherquamides M and N, respectively. On the basis of these findings, a revised biosynthetic scheme (Scheme 28) for the production of paraherquamides A and G was proposed, in which spirocyclization occurs after formation of the pyran and dioxepin moieties.
Scheme 28.

Functional characterization of PhqK and the revised paraherquamide biosynthetic pathway.
Despite great efforts on elucidation of the whole paraherquamide biosynthetic pathway, there remain a number of uncharacterized biosynthetic steps, such as the formation of the pyran and dioxepin rings, N-methylation, and hydroxylation of β-methylproline.
4.2.3. Citrinadins
During the investigation of 21R-citrinadin A biosynthesis, several BCDO-containing compounds including (+)-precitrinadin A and chrysogenamide A were identified from the wild-type strain or gene-knockout mutants of Penicillium citrinum ATCC 9849 (Figure 12)4,97. One of these compounds, citrinadin-4 is the only natural MKP indole alkaloid with an [R,S,R] configuration (Figure 2) discovered to date.
Figure 12.

Structures of citrinadin-related natural products.
Liu et al. reported the biosynthetic gene cluster (Figure 7E) of 21R-citrinadin A in 2021, and biochemically characterized the functions of four proteins including NRPS CtdQ, prenyltransferase CtdU, FMO CtdE, and DAase CtdP4,97. Based on the gene knockout analysis, CtdQ was confirmed to be responsible for initial synthesis of the dipeptide precursor 58, and CtdU deduced to catalyze the normal prenylation at C7 position (Scheme 29A)97.
Scheme 29.

Biosynthesis of 21R-citrinadin A. (A) The partially characterized biosynthetic pathway. (B) The catalytic mechanism of oxygenase/semipinacolase CtdE. (C) The catalytic mechanism of DAase CtdP.
CtdE was characterized to be an oxygenase/semipinacolase, which can catalyze oxidative semipinacol rearrangements on (+)-precitrinadin A and its prenylated derivative 59, yielding corresponding spirooxindole products (Chrysogenamide A and 60) (Scheme 29A and B)97. Unlike the previously characterized FMO PhqK80 in paraherquamides biosynthesis, which catalyzes the formation of the 3R-spirooxindole, CtdE specifies the 3S-spirooxindole construction. The crystal structures of CtdE with the substrate and cofactor, site-directed mutagenesis, and computational studies together illustrated the catalytic mechanism for the plausible β-face epoxidation followed by a regioselective semipinacol rearrangement of the epoxide intermediate, thus forming the 3S-spirooxindole (Scheme 29B and Figure 13A).
Figure 13.

Structural analysis of PhqK, CtdE and CtdP. (A) Superposition of substrate bound PhqK and CtdE complexes. The respective syn and anti substrates bound in opposing orientations in accordance with their differing facial selectivity. (B) Active site of product-bound CtdP. Amino acid residues that were shown to be essential for anti selectivity are shown as cyan sticks.
Recently, the Gao and Sherman laboratories reported the discovery and characterization of CtdP as the member of a new class of bifunctional oxidoreductase/DAase, which catalyzes the inherently disfavored cycloaddition to form the BCDO core with a strict α-anti-selectivity in the biosynthetic step of generating the IMDA product (+)-precitrinadin A4. Based on the crystal structure of CtdP in complex with the cofactor NADP+ and product, mutagenesis analysis, and quantum chemical calculations, a detailed unique redox mechanism of CtdP catalysis was proposed (Scheme 29C). Briefly, the substrate 61 is first bound to the active pocket of CtdP, preorganized into an α-anti conformation, and subsequently oxidized by cofactor NADP+ to generate the oxidized intermediate 62 with an active iminium diene, which is likely stabilized by the 2′-OH of NADPH and residue Tyr280 (Figure 13B). The active dienyl iminium then undergoes a highly stereoselective IMDA cycloaddition to form an iminium adduct 63, and a reductive rescue by NADPH generates the final α-anti-cycloadduct precitrinadin.
5. Total syntheses
During the course of overcoming the daunting synthetic challenges associated with total syntheses of the BCDO-containing indole alkaloids, various synthetic approaches and elegant strategies/methodologies to manage the diastereo- and enantioselectivity have been developed. To construct the BCDO skeleton, intramolecular SN2′ cyclizations, biologically inspired Diels-Alder reactions, radical involved cyclizations, cationic involved cascade reactions, and other strategies have been explored. Of note, the majority of biomimetic synthetic approaches share a common chemical logic of IMDA to assemble the core structures. Importantly, all these synthetic efforts have significantly advanced the understanding of biosynthesis, especially before the genomic era.
5.1. Total synthesis of brevianamides
In 1988, Williams and coworkers accomplished the first enantioselective total synthesis of brevianamide B using the stereo-controlled intramolecular SN2′ cyclization strategy (Scheme 30).13,18,98 The 18-step total synthesis began with the known enantiomerically pure proline derivative 64. Nucleophilic addition of the lactone with p-methoxybenzylaminolithium reagent 65 gave the protected chiral proline amide 66, which was further converted to the DKP 67 via acylation and ring closure. Ozonolysis followed by Wittig olefination and reduction provided the homologated E-allylic alcohol 70, which was protected to afford the silyl ether and further transformed to the intermediate 71 as a mixture of 4:1 diastereomers via carbomethoxylation. The mixture was directly used for the diastereoselective Kametani condensation to yield the intermediate 73. This intermediate was converted into the allylic chloride 74 via four straightforward steps, including hydrolysis/decarboxylation of methyl formate, Boc protection of indole, deprotection of TBS group, and chlorination of the resulting alcohol. With the key precursor 74 in hand, the subsequent intramolecular SN2′ cyclization was performed to build up the crucial C10-stereogenic center under the previously established condition using the model substrate (NaH, DMF, r.t.). The authors found that, when 18-crown-6 was added, the stereoselectivity was reversed to a 3.85:1 ratio (56% combined yield). Finally, the SN2′ cyclization in a 3–4.9:1 ratio with NaH (10 equiv.) in warm THF gave a 64–77% combined yield of 75. After deprotection and olefin/cation cyclization, the resulted hexacyclic indole 76 was oxidized producing the stereospecific hydroxyl indolenine 77, which was treated with NaOMe to form the indoxyl 78 via pinacol rearrangement. The p-methoxylbenzyl group was finally removed with the use of t-BuLi and O2 to give the final product brevianamide B in a 40% yield. This very first synthesis of brevianamide B not only demonstrated an efficient strategy of the intramolecular SN2′ cyclization to build the BCDO skeleton, but also provided direct evidence for the structure originally proposed by Birch7.
Scheme 30.

The first total synthesis of brevianamide B.
In 1998, the same group developed the total synthesis of racemic brevianamide B in 12 steps22,23 (Scheme 31). Essentially, a biomimetic IMDA reaction was first used as the key step to construct the BCDO skeleton of brevianamide B, started from a known substrate epi-deoxybrevianamide E (79), which was converted to the lactim ether 80 with the combined utility of Me3OBF4 and NaHCO3 in CH2Cl2. Next, the oxidation of 80 with DDQ yielded the IMDA precursor 81. Upon the treatment of 81 with aq. KOH to form 82, the labile azadiene underwent the biomimetic IMDA reaction to produce the BCDO core of brevianamide B with a 2:1 ratio of two diastereomers (83/84) in a 60% combined yield. The minor diastereomer 84 with the right stereochemistry was further transformed to the final racemic brevianamide B via sequential reactions of oxidation, pinacol rearrangement, and deprotection of lactim ether. This is the first application of the biomimetic IMDA strategy to build a BCDO skeleton, although the diastereoselectivity did not favor the desired diastereomer.
Scheme 31.

Biomimetic synthesis of racemic brevianamide B via the [4+2] IMDA strategy.
During the explorations of brevianamides synthesis, more total synthetic approaches were reported. In 2006, Adams et al. developed another bio-inspired IMDA strategy to synthesize brevianamide B, achieving the third-generation of brevianamide total synthesis.24 As shown in Scheme 32, the synthesis started from the readily available 86, which underwent the conjugate addition to afford the ester 88 in a 76% yield. Hydrolysis of the ester with LiOH in THF/EtOH/H2O gave rise to the acid 89, followed by amide coupling with L-prolinamide 90 to produce the intermediate 91 in a 77% yield, which was deprotected under oxidative condition using NCS and AgNO3 to afford a mixture of DKP 93 and the acyclic amide 92. Treatment of the mixture with 3 eq. of AlCl3 under reflux yielded the desired IMDA product 94. The IMDA product containing BCDO moiety was further converted into the corresponding hydrazone and then to the intermediate 95 in the presence of ZnCl2 via the Fischer indole reaction. The 2,3-disubstituted indole 95 was oxidized to afford the 3-hydroxyindolenine and then the pinacol rearrangement generated the final racemic brevianamide B under basic conditions. In this concise synthetic route, brevianamide B was synthesized in 9 steps from a known ketone via the IMDA and Fisher indole reactions as the key steps.
Scheme 32.

Synthesis of brevianamide B based on the IMDA/Fischer indole strategy.
In 2007, Williams group reported for the first time that the unprotected DKP, originally proposed in 1970 as the putative biosynthetic intermediate for the construction of BCDO skeleton in nature, could be used as a starting material for the biomimetic total synthesis of (−)-brevianamide B via the classical Mitsunobu condition (Bu3P, DEAD) based IMDA cycloaddition, thus avoiding the utility of a protecting group on the lactam.44,99 In this regard, the total synthesis of brevianamide B was completed in 14 steps. (Scheme 33)
Scheme 33.

Modified IMDA cycloaddition under the Mitsunobu condition.
In addition to the biomimetic syntheses of brevianamide B by Williams and coworkers, Simpkins et al. also accomplished the synthesis of brevianamide B by starting from a prenylated proline derivative prepared with the Seebach “self-reproduction of chirality” method, and using a cationic cascade sequence as the key step to form the late-stage bridged DKP intermediates100. As shown in Scheme 34, the synthetic intermediate 98 was coupled with indole-3-pyruvic acid 99 to afford the closed hydroxy-DKP 100, which further underwent the key cationic cascade sequence mediated by TMSOTf to form the desired BCDO skeleton 101/102 (4:1 dr). While the minor C-6 epimer 102 was oxidized to form intermediate 103, which underwent the semi-pinacol rearrangement to give the spiro-indoxyl 104. The following deprotection and oxidation achieved the final production of ent-brevianamide B.
Scheme 34.

Synthesis of ent-brevianamide B.
Scheerer and coworkers reported two other formal syntheses of brevianamide B.101,102 In their process, the BCDO core structure was built by an early stage IMDA reaction. The straightforward cycloaddition of prazinone 106 with electron-deficient dienophile maleic anhydride 109 at room temperature produced the corresponding cycloadducts 110/111 in a moderate yield with high diastereoselectivity (8:1), which could be further transformed into the known intermediate to realize the production of brevianamide B44,98. (Scheme 35)
Scheme 35.

Early stage IMDA reactions for the formal syntheses of brevianamide B.
Despite five decades of research efforts, brevianamide A remained an elusive target for chemical synthesis due to several unsolved issues of reactivity and selectivity, where all attempts to synthesize brevianamide A ended up with the formation of brevianamide B or other undesired isomers. Until recently, Lawrence and coworkers speculated an modified biosynthetic pathway of brevianamide A, and finally achieved the chemical synthesis of the topologically complex bridged-spiro-fused structure26. As shown in Scheme 36, the concise total synthesis of brevianamide A followed a bio-inspired cascade from (−)-dehydrobrevianamide E to brevianamide A. Starting from L-tryptophan methyl ester 112, phthaloyl protection of this commercially available reagent gave the ester 114, which was transformed to the intermediate 116 using B-prenyl-9-borabicyclo[3.3.1]nonane 115 with t-BuOCl and Et3N in THF. Then, hydrolysis of the methyl ester with LiOH in H2O/THF was conducted; meanwhile, the phthaloyl group was opened to form the unwanted diacid 117. Many hydrolysis conditions to remove the methyl ester group were screened and the Krapcho-type demethylation with the use of LiCl in DMF was found to form the desired lithium carboxylate 118, which was transformed to the acyl chloride under standard condition, forming the N-acyl enamine 120 in one-pot operation with dehydroproline 119. The deprotection of the phthaloyl using hydrazine, methylamine, and ethylene diamine produced the unwanted byproducts. However, the use of ammonia, a less nucleophilic reagent in methanol, smoothly deprotected phthaloyl group and the resulted primary amine could undergo the spontaneous cyclization to produce (+)-dehydrodeoxy-brevianamide E in a 49% yield for 3 steps, avoiding the protecting group transformations. Thus, the synthesis of (+)-dehydrodeoxy-brevianamide E was realized in five steps with a 34% overall yield. It is worth mentioning that only two chromatographic purification steps were required, providing the most convenient total synthesis of (+)-dehydrodeoxy-brevianamide E compared with the previous report (12 steps, 8% overall yield)44.
Scheme 36.

Lawrence total synthesis of brevianamides A and B.
With the efficient synthesis of (+)-dehydrodeoxy-brevianamide E as the key synthetic intermediate, the chemical oxidation to form dehydrobrevianamide E was further investigated by screening of a variety of chemical oxidants including peroxyl acids, dioxiranes, singlet oxygen and so on. Upon optimization of the oxidative conditions, it was revealed that the slow addition of 1 eq. of m-CPBA to dehydrodeoxy-brevianamide in CHCl3 at room temperature could produce the corresponding diastereomers dehydrobrevianamide E/121) in a 57% overall yield (dr 63:37). The intermediate 121 was converted into natural (+)-brevianamide A in a moderate yield after being treated with LiOH in water for 30 min, together with (+)-brevianamide B as a minor product. Putatively, the minor diastereoisomer could similarly resulted from a late-staged IMDA reaction as the unnatural (−)-brevianamides A and B upon the same treatment.
Thus, the Lawrence group came up with the first and efficient biomimetic total synthesis of natural (+)-brevianamide A in 7 steps, together with (+)-brevianamide B and the unnatural (−)-ent-brevianamides A and B as minor products. The key steps included the 1,2-shift to construct the indoxyl skeleton via the transient 3-hydroxyindolenine species, and the tautomerization/IMDA reaction sequence, demonstrating the advantages in the efficiency of divergent total synthesis of brevianamides.
During the synthesis of (+)-brevianamide B, Williams and coworkers found that the indole 122 could be oxidized by oxaziridine and the resulting intermediate could undergo the rearrangement to form oxindole, which was later identified as a natural product brevianamide Y in 2017 (Scheme 37A)99,103. In 2015, Qin et al. reported the total synthesis of the unnatural (−)-enantiomer of brevianamide Y. As shown in Scheme 37B, the intermediate 124, synthesized in 16 steps, was oxidized to afford ent-Brevianamide Y in two steps104. In 2020, based on their biosynthetic knowledge, Williams, Sherman, Li and coworkers completed the synthesis of brevianamide Y in 12 steps (Scheme 37C)2. In 2022, Lawrence and coworkers also successfully demonstrated the feasibility of these IMDA transformations through chemical approaches and established biomimetic chemical synthesis of brevianamides Z, Y, and X (Scheme 37D)31. They found that the intermediate (+)-dehydrodeoxy-brevianamide E could be converted into brevianamides Y and Z in two chemical steps. When treated with NCS (N-chlorosuccinimide) and aqueous TFA in methanol, dehydrodeoxy-brevianamide E was transformed to oxindoles 125 and 126 in good yields as separable mixtures (d.r. 69:31). Then the major diastereoisomer oxindoles 125 underwent the Sammes-type Diels-Alder reaction to afford the natural product brevianamide Y and another diastereoisomer named as brevianamide Z, while the minor diasteroisomer oxindole 126 would be transformed to ent-brevianamide Y and ent-brevianamide Z. Of note, brevianamide Z therein was a predicted natural product by Lawrence and co-workers that had yet to be isolated. Another natural product called brevianamide Z was isolated later in 2022 by Liu and coworkers105, which is a different compound not discussed in this review. Furthermore, (+)-dehydrodeoxy-brevianamide E could be used for efficient production of the BCDO skeleton in a moderate yield with two diastereoisomers (d.r. 57:43 of 127 and 122). The major diasteromer 127 was converted to (+)-brevianamide X in a 50% yield over two steps.
Scheme 37.

Approaches for synthesis of brevianamides X, Y and Z.
In 2021, Smith et al. established a useful methodology to construct the 2,2-disubstituted indoxyl skeleton106. A readily available 2-substituted indole was converted into 2,2-disubstituted indoxyls through nucleophile cross-coupling with a 2-alkoxyindoxyl species in the presence of p-TsOH as catalyst. Based on this methodology and inspired by the Lawrence work26, another concise total synthesis of brevianamide A in 7 steps without the 1,2-shift was established. As shown in Scheme 38, this synthesis was initiated with the protected amino acid 129, which was transformed into the enamide 131 by coupling with the imine 119 under the Ghosez’s condition. Then Sonogashira coupling produced the 2-alkyny aniline 132, which was then converted to the indole 133 in the presence of JohnphosAu(MeCN)SbF6. The oxidation with MoOPH produced the desired 2-ethyoxylindoxyl intermediate, which further underwent the key nucleophile coupling reaction with prenyl stannane 134 to afford the indoxyl 135 as a mixture of two diastereomers (d.r. 1.2:1). Finally, the use of the Lawrence condition delivered (+)-brevianamide A. Overall, the total synthesis of brevianamide A was achieved in 7 steps with a 6% overall yield.
Scheme 38.

Smith’s total synthesis of brevianamide A.
In 2022, Gagosz and coworkers reported other concise approaches to realize the total synthesis of (±)-brevianamide A using a readily available starting material 138 (Scheme 39)107. Essentially, a gold(I)-catalyzed cascade transformation was developed as the key step to quickly build the pseudoindoxyl core of brevianamide A with two adjacent quaternary centers, giving rise to the shortest total synthesis of (±)-brevianamide A to date.
Scheme 39.

Gagosz’s approach towards the total synthesis of (±)-brevianamide A.
5.2. Notoamides, stephacidins and avrainvillamide
In 2005, Baran and coworkers reported the first total synthesis of stephacidin A from commercially available L-proline and pyroglutamate in 15 steps (Scheme 40).108 In the work, an oxidative enolate coupling reaction was adopted as the key step to construct the BCDO skeleton. The protected amino acid 144, prepared by the Heck coupling reaction between the glutamate aldehyde and iodoaniline, was coupled with the proline derivative 145, which further underwent deprotection of the carbamate, formation of the DKP 147, and protection of the amide with MOM-Cl to produce the precursor 148 of the oxidative enolate coupling. Next, a series of oxidative reagents were screened and Fe(acac)3 was found to be the best choice. Thus, the combined utility of Fe(acac)3 and LDA realized the coupling and then deprotection of the MOM-protecting group afforded the BCDO-containing 149. The disubstituted alkene 151 was generated via sequential transformations, which underwent deprotection and sequential cyclization to complete the total synthesis of stephacidin A.
Scheme 40.

Baran’s first total synthesis of (+)-stephacidin A.
Later in the same year, the same group further developed an improved synthesis of (−)-stephacidin A.109 As illustrated in Scheme 41, the proline derivative 145 was used as one of the starting materials, which underwent the peptide coupling with 154 to afford 155. Then deprotection of the Cbz-group generated the lactam which was protected with the MOM-protecting group to afford the enolate coupling precursor 156. In this regard, the yield of this straightforward enolate coupling reaction was enhanced, achieving the construction of the BCDO core. Of note, the thermal annulation became more reproducible by using sulfolane at 240 °C. In sum, both (+)-stephacidin A and (−)-stephacidin A could be synthesized in 7 steps with a 12% overall yield from readily available starting materials.
Scheme 41.

Baran’s second total synthesis of (−)-stephacidin A.
On the basis of the total synthesis of stephacidin A, Baran and coworkers further developed a two-step sequence towards the synthesis of avrainvillamide. Upon the treatment with NaBH3(CN), the indole ring of stephacidin A was reduced to the saturated intermediate 158. However, only a trace amount of avrainvillamide could be detected under Somei conditions. After intense screening of different oxidative systems, the authors found that SeO2/H2O2 induced the transformation from 158 to avrainvillamide in a 27% yield (Scheme 42),110 which was then dimerized to form (+)-stephacidin B.
Scheme 42.

Transformation from stephacidin A to avrainvillamide and (+)-stephacidin B.
Meanwhile, the Myers group reported an enantioselective total synthesis of (−)-avrainvillamide and stephacidin B (Scheme 43).180 The total synthesis started from the readily available achiral cyclohexanone derivative 159111, Saegusa oxidation of the lactone 159 led to the corresponding α,β-unsaturated lactone, which was enantioselectively reduced to the chiral alcohol intermediate 160 with (S)-CBS catalyst and BH3·DMS. Then the chiral substrate 160 was transformed to the radical cyclization procusor 161 via a series of straigtfoward chemical steps. Heating of 161 in tert-butyl benzene with tert-amyl peroxylbenzoate 162 at 119 °C under O2 free atmosphere produced the bridged diketopiperazine core and formed the tetracyclic product 163. This key transformation involved the generation of an aminoacyl radical intermediate, which attacked the enamide C−C double bond to form the full-substituted carbocenter, and finally the phenylthiyl radical. After establishment of the BCDO skeleton, deprotection of the TBDPS group of 163 with HF and subsequent oxidation of the resulting alcohol yielded the lactone, which was further transformed to the (R)-iodoenone intermediate 164. Then a Suzuki reaction with 165 or Ullmann-like coupling with 166 afforded the interemidate 167. Reduction of the nitroarene 167 with activated zinc powder produced the the heptacyclic unsaturated nitrone, which was converted into stephacidin B when treated with triethylamine at room temperature. Finally, the heptacyclic unsaturated nitrone was confirmed as the natural product (−)-avrainvillamide.
Scheme 43.

Myers total synthesis of (−)-avrainvillamide and stephacidin B.
In 2007, the Williams group reported the total synthesis of stephacidin A (3), avrainvillamide (39), and stephacidin B using an intramolecular SN2′ cyclization strategy.45 As shown in Scheme 44, this total synthesis started from the protected tryptophan derivative 168. Upon coupling with ally proline 169, microwave-enabled Boc-deprotection, and sequential amide formation, the intermediate 171 was produced. Afterwards, a two-step functional group protection gave the Boc-carbamate 172, which underwent the cross-metathesis with 174 in the presence of Hoveyda-Grubbs second-generation catalyst 173 to form、 the aldehyde 175 in an excellent yield. Then, the aldehyde was reduced and converted to the allylic chloride 176, which was subject to the intramolecular SN2′ cyclization to build the BCDO core generating 177. In this key step, a “closed” transition state driven by contact ion pair was proposed to explain the high syn-diastereoselectivity during the intramolecular SN2′ cyclization. Subsequently, the palladium-mediated cyclization of 177 afforded heptacycle 178 and removal of the Boc-group produced the final natural product (−)-stephacidin A. The concise and efficient total synthesis of (−)-stephacidin A was realized in merely 17 chemical steps from commercially available substrates with a 6% overall yield. Following the reported methods, the synthetic (−)-stephacidin A was further chemically converted to avrainvillamide and stephacidin B in 2 and 3 steps, respectively. The cross-metathesis reaction to introduce the allylic chloride and the intramolecular SN2′ cyclization was the key step to achieve these concise total syntheses.
Scheme 44.

The intramolecular SN2′ cyclization approach toward stephacidins and avrainvillamide.
In the same year, Williams and coworkers achieved an even more concise total synthesis of stephacidin A using the biomimetic Diels-Alder cycloaddition strategy (Scheme 45).46 Specifically, the prenylated tryptophan 179, synthesized via 11 chemical steps from 6-hydroxylindole, underwent the amide coupling reaction with the chiral proline derivative 180 to form the peptide 181. Deprotection of the Fmoc group, followed by amide formation yielded 182, which was transformed to the enamide 183 via the Mitsunobu dehydration. The lactam was protected to form the lactim ether 184, which underwent the IMDA reaction to produce the cycloadduct as two diastereomers 185 and 186. The major isomer 186 was deprotected under acidic condition to afford stephacidin A in 17 chemical steps with a 5.4% overall yield.
Scheme 45.

Concise biomimetic synthesis of stephacidin A.
Meanwhile, Greshock and Williams developed another concise total synthesis of stephacidin A44. They found that the unprotected DKP intermediate 182 could be transformed to stephacidin A via dehydration, tautomerization, and Diels-Alder reactions after treatment with excess amount of PBu3 and DEAD. In this work, the zwitterionic complex was proposed to act as proton chaperone during the PBu3 and DEAD co-mediated IMDA reaction (Scheme 46).
Scheme 46.

Concise total synthesis of stephacidin A from an unprotected DKP.
Later, the same group found that excess amount of oxaziridine 123 in CH2Cl2 could induce the oxidative pinacol rearrangement to produce notoamide B as the only product in a 73% yield (Scheme 47). The high selectivity was explained that the epoxidation might occur from the α face of the 2,3-disubstituted intermediate, which is less sterically hindered. Then the diastereoselective [1,5] sigmatropic shift from the α face would produce notoamide B as the single diastereomer.45,46
Scheme 47.

Chemical synthesis of notoamide B from stephacidin A.
In 2013, Simpkins and coworkers developed a cascade radical cyclization strategy to construct the core of the polycyclic indoline structure to achieve the total synthesis of stephacidin A112 (Scheme 48). The known intermediate 185 underwent the amide coupling with a proline derivative 186, then the intramolecular amination formed the substituted DKP core with two diastereomers 188/189. After protection with Boc-group, the mixture of two diastereomers 190/191 were transformed to the sulfenylated DKP 192 as a single diastereoisomer in a moderate yield, which further went through the radical cascade cyclization to construct the polycyclic indoline core 193/194/195 (with a ratio of 3.3:1:0.7). The mixture of 193/194 underwent the oxidation with DDQ to afford indoles 196/197, that could be separated with each other by silica chromatography. Removal of the Boc group gave the final product (−)-stephacidin A. They further found that, after deprotection of the Boc group from the mixture of 193/194 (2.5:1) in microwave condition, the intermediate 198 could be isolated and subject to the oxidative system with a catalytic amount of SeO2 and excess H2O2 to yield (+)-notoamide B, probably through the in situ generated (−)-stephacidin A (Scheme 44).
Scheme 48.

Simpkins’ synthesis of stephacidin A and notoamide B.
Williams and coworkers also established total synthesis of notoamide T (Scheme 49).58 Their initial work showed that, stephacidin A could be transformed into notoamide T by treating with PhSSPh and PhSH in DMSO in the presence of light for 48 h. The corresponding sulfide 199 could be formed in an 80% yield, which was further subject to the reductive condition with potassium naphthalide in THF at −40 °C, and the desired notoamide T was obtained in a moderate yield.
Scheme 49.

The transformation from stephacidin A to notoamide T.
Nonetheless, an efficient and shorter synthetic route towards notoamide T from commercially available starting material was still desirable. Thus, the same group came up with the total synthesis of notoamide T from 6-hydroxy-indole 200 as starting material,59 which was transformed to the tryptophan derivative 201 in 5 steps. Then it was coupled with proline derivative 202 to afford peptide 203 in a good yield, which was further converted to the corresponding lactam 204 after deprotection of the Fmoc group. Next, deprotection of the Boc group, followed by a palladium catalyzed allylic alkylation of the resulted phenol 205 introduced the side chain of notoamide T. The alcohol of intermediate 207 was transformed to its mesylate, which was treated with KOH under reflux in MeOH, producing the final products notoamide T and 6-epi-notoamide T as a separable mixture (1.3:1). In the final step, the cascade reactions occurred in one operation, including elimination, tautomerization, IMDA reaction, and Claisen rearrangement, making this route very concise and efficient (Scheme 50).
Scheme 50.

Concise total synthesis of notoamide T and 6-epi-notoamide T
In 2015, Sarpong and coworkers developed an efficient method to construct a divergent intermediate 217, serving as a general intermediate to achieve the total synthesis of (+)-stephacidin A, (+)-notoamide I, and other related natural products.113 As shown in scheme 51, the reported enantioenriched alcohol 208 was oxidized and underwent the alkynylative homologation to afford the terminal alkyne, whose Boc-group was deprotected, followed by acylation to form alkyne 210. Then a formal cycloisomerization occurred to afford the bicycle 211, which underwent the Diels-Alder reaction with diene 212 in the presence of SnCl4 giving rise to enone 213. Iodination, hydration of nitrile group, and then Hofmann rearrangement provided carbamate 215, which further underwent a Suzuki cross-coupling reaction followed by reductive cyclization to form indole hexacycle 216. Wacker oxidation and sequential treatment with dimethyl sulfide (Me2S) and methane sulfonic acid yielded the common intermediate 217. Chemoselective N-acylation reaction gave the phenyl carbamate 218. Oxidation of the secondary alcohol and then treatment of the ketone with K2CO3 produced the BCDO 219 via the Dieckmann condensation of the in situ formed isocyanate/enolate, which was the key step in this total synthesis. Then, selective removal of the ketone moiety on the pyrrolidine ring followed by the reduction/elimination sequence afforded the final product of (+)-stephacidin A. With the synthetic (+)-stephacidin A in hand, another natural product (+)-notoamide I could be readily synthesized by treatment with MnO2 in EtOAc. Furthermore, following the reported procedure46,109, the formal syntheses of (−)-notoamide B, (+)-avrainvillamide, and (−)-stephacidin B could also be realized.
Scheme 51.

Sarpong’s total synthesis of (+)-stephacidin A, (+)-notoamide I and other related natural products.
In 2015, Li and coworkers reported another alternative strategy for the enantioselective total synthesis of natural alkaloids (+)-notoamide F, I and R in 10–12 synthetic steps from readily available substrates (Scheme 52).114 In this synthetic work, the construction of the BCDO core was realized using an oxidative aza-Prins cyclization reaction, which is a quite different strategy comparing to the previous IMDA reaction, radical cyclization and so on. Furthermore, a radical isomerization catalyzed by a cobalt complex was used as another key step to build the cyclohexenyl ring.
Scheme 52.

Total synthesis of notoamides F, I, R and sclerotiamide.
The total synthesis started from the readily available starting material 220. Prenylation, followed by Boc protection afforded intermediate 221 in a good yield, which was coupled with dimethyl 2-aminomalonate to produce the amide 222 in almost quantitative yield. Deprotection of the Boc group and subsequent lactamation provided the aza-Prins cyclization precursor 223. When treated with 3 equiv. of FeCl3 in MeCN/CH2Cl2 at room temperature, the corresponding BCDO 225 could be isolated in a 67% yield as the only stereoisomer. The ketone 227 was formed in a moderate yield when treating 225 with 3-iodoindole 226 in the presence of Grignard reagent, which underwent the isomerization reaction to form the cyclohexenyl ring. After that, debenzylation followed by propargylation afforded ether 232 in a good yield, underwent the Claisen rearrangement to finish the total synthesis of notoamide I in 10 steps with a 7.3% overall yield, which is much shorter than any reported synthetic routes of stephacidin A. Stereoselective reduction of notoamide I with DIBAL-H afforded notoamide R. Notoamide F could be isolated when notoamide R was treated with AcOH/MeOH. Treatment of notoamide R with oxaziridine 233 could induce the stereoselective pinacol rearrangement to give sclerotiamide in a 55% yield.
In 2017, Sarpong and coworkers found that, (+)-stephacidin A could be synthesized from the known intermediate keto-premalbrancheaminde A, which underwent the selective iodination at C6 position.115 Then photo mediated borylation and then oxidation of the resulted boronic ester produced the corresponding phenol 235. Thus, stephacidin A could be readily synthesized by the late-stage construction of chromene ring following the previous Williams’ report116. The synthesis of stephacidin A was accomplished in 11 steps with a 4.7% overall yield from D-proline. Notably, 300 mg of stephacidin A was prepared following this synthetic strategy, demonstrating its scalability (Scheme 53).
Scheme 53.

Concise total synthesis of stephacidin A
Based on the efficient synthesis of stephacidin A, Sarpong and coworkers showed that it could be used to prepare a series of related natural products such as notoamides I, R, and F via the selective functionalization under different conditions. As shown in scheme 54, the group found that the treatment of stephacidin A with excess amount of MnO2 in dry EtOAc produced aspergamide B, which could accept the nucleophilic addition by H2O or MeOH in the presence of TFA to afford notoamide R or F in good yields. Notoamide R could be further oxidized to notoamide I or sclerotiamide.
Scheme 54.

Concise synthesis of multiple natural products from (+)-stephacidin A.
5.3. Versicolamides
In 2008, Williams and coworkers reported the biomimetic total synthesis of versicolaminde B (Scheme 55), which well supported the proposed biosynthetic pathway (Scheme 14)36. The total synthesis started with the known alcohol (238) by a Mitsunobu type elimination in the presence of PBu3 and DEAD to afford the enamide intermediate, which was transformed to the lactim ether 239 with Me3OBF4 and Cs2CO3. The lactim ether 239 tautomerized to the azadene 240 and then underwent the key IMDA cycloaddition to afford intermediates 241 and 242 at 2.4:1 dr with 20% aqueous KOH in MeOH. The minor diastereoisomer 242 could produce the corresponding spiro-oxindoles 244 as a single diastereomer by treatment with excess oxaziridine 123 in CH2Cl2. Finally, the lactim ether of 244 was removed with diluted aq. HCl (0.1 M, 3 equiv) in THF (0 °C, 5 min) to provide versicolamide B. Overall, the total synthesis of versicolamide B was finished in 18 steps with a 1.8% overall yield. Following the same procedure, the major diastereoisomer 241 could be transformed to the natural product notoamide B36.
Scheme 55.

Biomimetic total synthesis of versicolaminde B and notoamide B.
Then Williams and coworkers further developed the asymmetric total synthesis of (+)- and (−)-versicolamide B via the bioinspired IMDA reaction as the key step117 (Scheme 56). The total synthesis began with the reported amino acid derivative 245. Coupling of 245 with the chiral proline derivative 180 afforded amide 246 as a mixture of diastereomers, which were deprotected and cyclized to form two diastereomers 247 and 248. The following oxidation led to the formation of oxindoles 249/250 (3:1) and 253/254 (1:1), which were subsequently dehydrated to form 251/252 and 255/256, respectively. The four diastereomers were tautomerized individually under basic conditions and underwent the IMDA reaction smoothly to produce (+)-, (−)-versicolamide B and their diastereomers.
Scheme 56.

Concise total synthesis of versicolamide B.
In 2015, Qin and coworkers reported the total synthesis of (−)-depyranoversicolamide B108, which is an unnatural product that contains the common BCDO skeleton but lacks the pyran motif104. Tautomerization of the intermediate 261 under Willams’ condition (20% KOH in MeOH at 0 °C to room temperature) formed two reversible transition states 262 and 263 and underwent the stereoselective endo-Diels-Alder cycloaddition to afford anti-adduct 264 as the sole product in 85% yield. This intermediate was further converted to (−)-depyranoversicolamide B via hydrolysis, deformylation and oxidation. The bioinspired IMDA reaction was the key step to construct the BCDO core of (−)-depyranoversicolamide B as shown in Scheme 57.
Scheme 57.

Biomimetic synthesis of (−)-depyranoversicolamide B.
5.4. Malbrancheamides
In order to elucidate the exact structure of malbrancheamide B, Williams and coworkers synthesized malbrancheamide and malbrancheamide B in 12 steps with 5.3% and 8.2% overall yields, respectively,118 in which the biomimetic IMDA reaction was adopted as the key step to build the BCDO skeleton. As shown in Scheme 58, the Mitsunobu dehydration product 271 was treated with aq. KOH in MeOH for isomerization to form the required azadiene 272 that realized the IMDA cycloaddition to afford the cycloadducts 273/274 with a ~1:2 ratio (anti: syn) in good combined yield. Then, 274a and 274c were selectively reduced with DIBAL-H to afford malbrancheamide and malbrancheamide B, respectively. Comparison of the NMR spectra of chemically synthesized C-5-chlorinated and C-6-chlorinated regioisomers to that of natural malbrancheamide B confirmed that the natural malbrancheamide B contains a 6-chloroindole ring.
Scheme 58.

Synthesis of malbrancheamides.
In 2013, Scheerer and coworkers reported a formal total synthesis of (±)-malbrancheamide B in 7 steps (Scheme 59)119. The total synthesis started from indole carboxaldehyde 274, which was synthesized from 6-chloroindole in 4 steps by following the reported procedure118. The indole carboxaldehyde underwent a domino chemistry with DKP 275 (prepared from proline methyl ester via 3 steps) to produce the corresponding BCDO skeleton 276/277/278 in an excellent combined yield in the presence of NaOMe in MeOH at 65 °C. In this domino chemistry, the cascade sequence could occur efficiently by the enolization of DKP, and then addition to the aldehyde of 274 afforded the aldol condensation intermediate 279, which was isomerized to form the desired reactive endocyclic azadiene 280 followed by IMDA reaction under basic condition to produce 276/277; while, the DKP 278 could be formed from the selective hydrolysis of 277. Thus, the domino sequence could efficiently couple the two starting materials and rapidly enhance the molecular complexity with high yield. Hydrolysis with p-TsOH in CH2Cl2 at room temperature readily resulted in the deprotection and imine cleavage of 277/278 to afford the lactam 281, which was the intermediate of Williams’ synthesis118 of (±)-malbrancheamide B. Overall, this total synthesis was completed in 10 steps (the longest linear sequence consisted of 7 steps).
Scheme 59.

Domino reaction sequence for the synthesis of (±)-malbrancheamide B.
Encouraged by this racemic approach, the same group further developed an asymmetric method for the total synthesis of (+)-malbrancheamide B (Scheme 60)119. The diastereoselective domino sequence between readily available 282 and indole carboxaldehyde 274 delivered the cycloadducts 283 and 284 in a high combined yield with 2:1 dr. The process showed that the stereochemistry of the aminal intermediate could be controlled by the chirality of azadiene. The mixture of 283 and 284 was hydrolyzed with TsOH∙H2O, followed by basification to DKP 285, which was selectively reduced with DIBAL-H and the resulted primary alcohol was oxidized by SO3∙pyr and DIPEA in DMSO to form the aldehyde 286. The aldehyde was subject to the Horner−Wadsworth−Emmons olefination to deliver the chain extension skeleton 289/290. The ester 290 was reduced to afford the mixture of alcohols 291 and 293; after purification, the ally alcohol 291 was reduced with diimide 292 generated in situ from the thermal decomposition of TsNHNH2 in EtOH to form 293. The primary alcohol was transformed to the mesylate and then underwent the intramolecular N-alkylation to form the salt 294 when heated at 120 °C in toluene. The quaternized amine was heated in the presence of KI and Et3N, generating the malbrancheamide ring skeleton. The NBOM group was hydrolyzed under mild acidic conditions to produce the final product (+)-malbrancheamide B. Thus, the asymmetric synthesis of (+)-malbrancheamide B was realized in 13 steps,119 during which the aldol condensation, alkene isomerization, and IMDA cycloaddition were the key transformations. This cascade reaction sequence provided an efficient enantioselective route for construction of the BCDO indole alkaloids.
Scheme 60.

Asymmetric synthesis of (+)-malbrancheamide B.
In 2017, Sarpong and coworkers reported another efficient construction of malbrancheamides B and C via the selective functionalization of C6 position of the known intermediate ketopremalbrancheamide (Scheme 61), which was selectively brominated to form the species 295 and then heated at 70 °C to yield the intermediate 296. The subsequent chemoselective reduction of 296 yielded malbrancheamide C. Then malbrancheamide C was transformed to the corresponding boronic ester with the photo irradiation strategy, which was further chlorinated to form malbrancheamide C115.
Scheme 61.

Concise total synthesis of malbrancheamides.
5.5. Preparaherquamides
In 1989, Williams et al. reported the first synthetic model for paraherquamides (Scheme 62A).120 They found that a hexacylic indole 297 could become 3-chloroindolenines with two diastereomers (4:1 ratio, 298 is the major isomer) when treated with t-butyl hypochlorite, which was further rearranged to form spiro-oxindoles as a 3.86:1 mixture of diastereomers 299/300; while the major isomer (299) had the correct relative stereochemistry with the paraherquamide-type natural products. Vanillin (301) was transformed to 2-nitro vanillin 302 via a three-step sequence including acetylation, nitration and hydrolysis, which was further converted to a known catechol 303 in five steps. Then, selective prenylation provided the desired 305 as the major product, which was epoxidized followed by ring-opening to afford oxindole 306. The oxindole was further converted to the gramine derivative 307 in a three-step sequence (Scheme 58B).
Scheme 62.

Synthesis of intermediates towards paraherquamides.
Based on the previous work on the biomimetic total synthesis of brevianamides, the authors established the first total synthesis of (+)-paraherquamide B121 (Scheme 63). In this synthesis, Somei/Kametani reaction, stereoselective SN2′ reaction, indole cyclization catalyzed by palladium, chemoselective amide reduction, and an oxidative pinacol rearrangement to induce the indole-oxindole formation were the key steps.
Scheme 63.

Concise total synthesis of (+)-paraherquamide B.
As shown in Scheme 63, the para-methoxylbenzyl protecting group of enal 309 was removed with CAN to afford an amide intermediate, during which the aldehyde was reduced with NaBH4 to form an alcohol and then protected to give 310, that was further converted to the desired imidocarbamate 311 as a mixture of diastereomers via a one-pot process with methyl chloroformate. The imidocarbamate 311 and gramine derivative 307 could form the desired coupling intermediate 312 when refluxed with n-Bu3P in MeCN. Indole 312 underwent decarbomethoxylation when heated at 100 °C in the presence of LiCl in HMPA to afford diastereomers that could be readily separated by chromatography, which were further transformed to the corresponding lactim ethers by treatment with Me3OBF4 and Na2CO3 in CH2Cl2 and then the lactim ethers were converted to the diols 313 by the use of (Boc)2O and n-Bu4NF. Then, following Corey’s protocol, the sensitive allylic chlorides were synthesized with NCS and Me2S, and the secondary alcohol was protected with TBS-triflate to afford the key SN2 cyclization precursor 314. The treatment of diastereomers of 314 with an excess amount of NaH in hot benzene produced the stereoselective intramolecular SN2′ cyclization product, affording the BCDO core of (+)-paraherquamide B. With the core motif of the (+)-paraherquamide B in hand, the heptacycle 316 was generated under the Trost’s condition, together with the loss of the lactim ether. Selective reduction of the tertiary amide 316 with alumina reagent and NaCNBH3 to afford tertiary amine and then N-methylation followed by the removal of the protecting groups under acidic conditions produced the indole 317 in a combined 59% yield over 3 steps. After that, the oxidative spirooxidation was realized by the chlorination of 317 with t-BuOCl and pyridine; then hydration induced the rearrangement to form the spiro-oxindole 319. Finally, (+)-paraherquamide B was produced via the elimination of the alcohol with the use of MTPI in DMPU with an 83% yield.
Paraherquamide A, containing the special β-hydroxy-β-methyl proline skeleton, is more challenging to be synthesized comparing to paraherquamide B. Williams and coworkers came up with an ion-pair driven syn-selective SN2′ cyclization as a general procedure to construct the α-alkylated-β-hydroxyproline skeleton with the use of readily available proline derivative 271, which was then successfully applied to the asymmetric total synthesis of paraherquamide A in 27 steps (Scheme 64).
Scheme 64.

An ion-pair driven model towards the synthesis of (+)-paraherquamide A.
In this total synthesis,122 the racemic β-keto ester 320 prepared in three steps from glycine ethyl ester was used as the starting material, which was reduced to the optically active β-hydroxyester 321 (ca. 95 : 5 er) using Baker’s yeast. The selective carbon-alkylation rather than O-alkylation with allyl iodide 322 produced the desired α-alkylated product 323 in a moderate to good yield. The second alcohol was protected with MOM-Cl followed by removal of the Boc group and then acylation of the resulted secondary amine under basic condition, giving rise to the bromoacetamide 324 in an 86% yield over three steps. The in situ generated glycinamide derivative via the treatment of 324 with ammonia in methanol underwent cyclization to afford the bicyclic skeleton 325 in a 79% yield in the presence of NaH in toluene/HMPA, which was subject to the one-pot double carbomethoxylation process to provide 326 in high yield. Afterwards, the Somei-Kametani coupling reaction with gramine derivative 307 produced the tryptophan intermediate 327 in the presence of n-Bu3P as two diastereomers (3:1 ratio), which further underwent decarbomethoxylation to afford 328 as two separable diastereomers with LiCl in aq. HMPA at 105 °C. The secondary amide was protected as methyl lactim ether after treatment with Meerwein’s reagent. Then, protection of the indole with Boc group and the silyl ether was deprotected to form the corresponding diol 329, which was transformed to the allilic chloride by mesylation in the presence of collidine. The remaining secondary alcohol was protected with TBSOTf to afford the key intermediate 330, which was the precursor of the intramolecular SN2′ cyclization. After treatment with NaH in hot THF, the cyclized product 331 could be isolated in good yield with desired conformation. The intramolecular SN2′ cyclization process was driven by the ion-pair via the “closed” transition state with high syn selectivity as discussed above (Scheme 64). When treated with excess amount of PdCl2 and AgBF4 in MeCN with propylene oxide to absorb acid, the seven-membered ring was formed, which was further reduced to afford the corresponding 2,3-disubstituted indole 332 by NaBH4 in EtOH. It is worth mentioning that, the propylene oxide was essential to buffer the reaction system, as the MOM ether would be cleaved without the propylene oxide. The lactim ether 332 was deprotected under acidic conditions and then the resulting ring-opened intermediate was re-cyclized under basic conditions, giving rise to the heptacyclic piperazinedione, which was reduced with DIBAL to form 333. Methylation of the secondary amide and deprotection of the MOM-protecting groups yielded the secondary alcohol, which was oxidized to form a ketone intermediate. Subsequently, the N-Boc and TBS-protecting groups were removed in one step upon treatment with TFA to provide the intermediate 334. By treating 334 with t-BuOCl in pyridine, 3-chloroindolenine, the precursor of the pinacol-type rearrangement was formed and then transformed to the corresponding spiro-oxindole skeleton with a 54% yield under acidic condition. After that, the dioxepin ring was formed via the dehydration of the alcohol with (PhO)3PMeI in DMPU to afford 14-oxoparaherquamide B. Following the reported procedure123, the stereoselective 1,2-addition of the methyl group with MeMgBr gave the final product (−)-paraherquamide A in a 42% yield.
In 2020, Sarpong and coworkers developed an efficient route towards the synthesis of preparaherquamide and (+)-VM55599.124 Obtained from enone 335 via a two-step sequence, After that, amide 336 then underwent the Hofmann rearrangement in the presence of PhINTs and the in situ generated isocyanate 337 was further converted to ammonium intermediate 338 when treated with aq. H2SO4. Next, the Fischer indolization afforded pentacyclic indole 339 in one-pot from 338. The primary amine was transformed to the phenyl carbamate 340. Then, the secondary alcohol of 340 was oxidized to form the cyclization precursor 341, which was treated with K2CO3 to afford the BCDO core 342, via the Dieckmann cyclization of the in situ generated enolate and isocyanate group. Overall, the BCDO skeleton was built in 5 steps from the known intermediate 335, presenting a concise approach to a series of related natural products. After further exploration, the authors found that the desired tertiary alcohol 343 could be formed with the combination utility of MeMgBr and LiCl, which was further dehydrated with the Burgess reagent to afford the mixture of alkenes with two regioisomers 344/345 in a 71% yield (1:2 mixture), which was hydrogenated followed by chemoselective reduction with DIBAL-H, giving preparaherquamide and (+)-VM55599 in 25% and 27% yields, respectively (Scheme 61).124
5.6. VM55599
As shown in Scheme 66, Williams and coworkers reported the total synthesis of VM5559987, which started from benzophenone imine 346, condensation of which with the gramine derivative 10 gave the tryptophan derivative 347 in a good yield in the presence of n-Bu3P in MeCN. The amino ethyl ester 348 was obtained after cleavage of the benzophenone imine. Boc protection and ester hydrolysis formed acid 349, which was coupled with racemic proline derivative 351 to produce the desired peptide 352. The Boc group was deprotected with TFA, and the resulting amino ethyl ester underwent the cyclization to form the corresponding piperazinedione 353, which was treated with SOCl2 in pyridine to generate the unsaturated substance 354. Then, the lactam was protected to afford azadiene 325, which underwent the tautomerization/IMDA reaction to form the cycloadducts with a ratio of 3.7:2.6:1.6:1 in a 78% yield in the presence of KOH in MeOH. Upon structure analysis, the cycloadduct was confirmed to have the desired skeleton, which was treated with diluted HCl aqueous to cleave the lactim ether to give the amide. The following selective reduction with excess DIBAL-H produced the final product VM55599.
Scheme 66.

Total synthesis of VM55599 from benzophenone imine.
In 2002, Williams and coworkers reported the asymmetric total synthesis of the (−)-VM55599 (Scheme 67), which used L-isoleucine 358 as the starting material to build the α-methylproline ring.88 L-Isoleucine 358 was transformed to the chiral methylproline derivative 359 via Hoffman-Loeffler-Freytag sequence in 5 steps with a 47% overall yield, which was hydrolyzed and the resulted acid 360 was coupled with glycine methyl ester to form the corresponding dipeptide in high yield. Then deprotection of the Boc group and heating gave the DKP 361 with an excellent yield in 3 steps, which was further protected to form its N-methylthiomethyl (MTM) derivative. The MTM protected substrate 362 could be easily purified by chromatography, which underwent the Aldol reaction with aldehyde 363 to form the intermediate 364 with a mixture of diastereomers. Removal of the MTM protecting group and elimination produced the sole compound 365, which was further treated with AcCl at ambient temperature for 14 days to generate the corresponding cycloadducts 368 (35% yield), 369 (15% yield), and 370 (10% yield) as separable products. It was proposed that when AcCl was added, O-acyl lactim A would be formed and then isomerized to yield azadiene B, which underwent the IMDA reaction to afford the cycloadducts. Finally, selective reduction of 368 with excess amount of DIBAL-H gave the final natural product (−)-VM55599.
Scheme 67.

Total synthesis of VM55599 from L-isoleucine.
5.7. Marcfortine
In 2007, Trost and coworkers reported the total synthesis of the natural product marcfortine B, using the Pd-catalyzed trimethylenemethane [3+2]-cycloaddition strategy (TMM reaction) developed in their previous study.125 The synthesis started from the known substrate 371, which was converted to the TMM-acceptor 372 via a 2-step sequence. The TMM cycloaddition occurred smoothly between 372 and TMM donor 373 to produce the spirocyclic acid in the presence of palladium catalyst, which was converted to the methyl ester 374 and further epoxidation and elimination gave the allylic alcohol 375. Then the free alcohol 375 was equipped with the Ms-leaving group and coupled with piperdine 376 to afford intermediate 377, upon which the Boc group was removed and a straightforward aza-Michael addition gave the cyclized skeleton 378 in quantitative yield with high selectivity. After reprotection of the amine with PMB group, the ester was reduced to the primary alcohol which was further transformed to xanthante ester 379. Stoichiometric amount of AIBN and 20 mol% Bu3SnH induced the radical cyclization to form the BCDO core and meanwhile, the radical species could further react with AIBN to form the N radical species to afford the unsaturated intermediate 380, which was reduced to the target skeleton 381. Removal of the PMB and methyl groups formed the hexacycle 382 and the stereochemistry was confirmed by X-ray crystal structure. Following the known procedure, the final product marfortine B was achieved. Pd-catalyzed TMM cycloaddition, aza-Michael addition, and the radical cyclization were the key steps to construct the key motif of this natural product (Scheme 68).
Scheme 68.

Total synthesis of marcfortine B.
In 2013, the same group reported the asymmetric total synthesis of (−)-marcfortine C using enantioselective Pd-catalyzed TMM cycloaddition.125–127 As shown in Scheme 69, the starting material 6-benzyloxyindole 383, protected with the Boc group, was transformed to 384 via the Cu-catalyzed propargylation after deprotection of Bn-group, which was further converted to the chromene 385 via Claisen rearrangement in the presence of PtCl4. Then 385 was transformed into the oxindole 386 in 2 steps. Removal of the Boc group, transformation to the acetone adduct 387, and protection by MOM group formed the TMM acceptor 388, which underwent the enantioselective palladium catalyzed TMM [3+2] cyclization with a chiral phosphine ligand 390. Subsequently, the terminal olefin was oxidized to the primary alcohol 392 with the Davis oxaziridine 391, which was further transformed to the radical cyclization precursor 394 in 3 steps. The primary carboxamide 394 underwent the aza-Michael addition to form 395 in the presence of t-BuOLi, which was further converted to the aldehyde and reduced to form the primary alcohol 396. Next, 396 was converted to the radical precursor 397, which went through the radical cyclization with n-Bu3SnH, AIBN in the presence of BSA to afford the BCDO skeleton 398 in moderate yield. Compound 398 was further transformed to the final product marcfortine C via the chemoselective reduction of the olefin and deprotection of the MOM group. Taken together, the enantioselective total synthesis of marcfortine C was achieved in 19 steps with a 2.6% overall yield.
Scheme 69.

Enantioselective total synthesis of marcfortine C.
5.8. Asperversiamides
Very Recently, Banwell, Lan and coworkers developed the total syntheses of asperversiamides128. Based on the reported biosynthetic proposals by Birch, Williams and others1,8,31,96, asperversiamide G synthesized from comerially available 4-bromo-3-methoxyaniline via 15 chemical steps, was transformed to asperversiamides D and E via [1,5]-H shift and subsequent IMDA reactions (Scheme 70). With treatment of AcCl at 22 °C for 5 days and hydrolytic work-up, asperversiamides D and E were obtained as a separable mixture in 32% and 17% yields, respectively, during which the heterodiene 403 was formed via the 1,5-H shift from the in situ formed intermediate 402, and then underwent an IMDA reaction through a syn transition state to afford asperversiamide D upon hydrolysis. Asperversiamide E was also prepared from this procedure by a less favored anti transition state. After that, more efficient approaches were developed to realize the transformations as follows: the aldol condensation of BOM protected intermediate 400 with diketopiperazine 275 using NaOMe under reflux and the subsequent acidic work-up produced IMDA adducts intermediate 404 and 405, which were then transformed to (±)-asperversiamide D and (±)-asperversiamide E after deprotection of BOM group. After careful screening of the oxidizing agents, when using m-chloroperbenzoic acid (m-CPBA), asperversiamides A (51%) and B (23%) were generated as a separable mixture, while the spiro-fused oxindole (±)-C8a′-epi-asperversiamide C was produced from (±)-asperversiamide D via [1,5]-H shift after oxidation with m-CPBA.
Scheme 70.

Total syntheses of asperversiamides using IMDA strategy.
6. Biological activities
With the unique core structures and diversified stereochemistry and tailoring modifications, the fungal BCDO indole alkaloids exhibit a wide spectrum of bioactivities, including but not limited to insecticidal, anticancer, antimicrobial, cytotoxicity, anti-inflammatory, anti-parasitic, and calmodulin-inhibiting activities (Table 1).
Brevianamides A and D were identified as potent antifeedants against the larvae of two lepidopterous pests, Spodoptera frugiperda and Heliothis uirescens129,130. Brevianamide A showed a marked dose-response relationship and retained activity at 100 ppm. Brevianamide D displayed a less antifeedant activity than brevianamide A, being active at 1,000 ppm against S. frugiperda. Nonetheless, brevianamide D was more effective than brevianamide A on reducing pupal weight.
Notoamides A-C showed moderate cytotoxicity against HeLa and L1210 cells, with notoamide D having the best IC50 value34. Notoamide B displayed potential anti-inflammatory activities by inhibiting production of the pro-inflammatory cytokines TNF-α and IL-1β131, and was able to inhibit the colony formation of 22Rv1 prostate cancer cells at a concentration of 100 μM132. (−)-Enantiomers of notoamides A and B, and 6-epi-notoamide T inhibited the receptor activator of nuclear factor-κΒ (NF-κΒ) ligand (RANKL)-induced osteoclastogenic differentiation of murine RAW264 cells more strongly than their corresponding (+)-enantiomers133. Besides the insecticidal activity against first instar larvae of the cotton bollworm, notoamide D also showed activities towards human and plant bacterial pathogens, and seven widespread pathogenic fungi134. Notoamide G demonstrated great antitumor activities against a panel of hepatocellular carcinoma (HCC) cell lines and was considered as a potent lead for further development of an antitumor agent135. Specifically, notoamide G inhibited the viability of HepG2 and Huh-7 cells via both apoptosis and autophagy pathways. Further investigation revealed that notoamide G promoted P38 and JNK phosphorylation. Notoamide H showed the antifungal activity with an MIC value of 25 μg/mL against Rhizoctonia solani136. By measuring the inhibitory effects on Propionibacterium acnes-induced THP-1 cells, notoamides H and R displayed moderate anti-inflammatory activities with the IC50 values of 46.2 and 34.3 μM, respectively. Moreover, notoamide I showed weak cytotoxicity against HeLa cells with an IC50 value of 21 μg/mL35.
Both stephacidins A and B exhibited in vitro cytotoxicity against a number of human tumor cell lines43. Stephacidin A and 6-epi-stephacidin A showed inhibitory activities against RANKL-induced osteoclastogenic differentiation of murine RAW264 cells, with (−)-enantiomers being more active than their corresponding (+)-enantiomers133. Stephacidin A also displayed potential anti-inflammatory activity, showing 46.5% and 32.6% inhibition ratios for cytokines IL-1β and TNF-α, respectively, at the concentration of 20 μM131. As to the activity against pathogenic bacteria, stephacidin A displayed good selectivity towards Staphylococcus epidermidis137 It was also reported that stephacidin A showed antibacterial activity and respiratory inhibitor activity, being able to inhibit the respiratory chain with an IC50 value of 35 μM138. Stephacidin B demonstrated more potent and selective antitumor activities, especially against the prostate testeosterone-dependent LNCaP cells43.
The in vitro anti-inflammatory activity of taichunamide D was investigated by using LPS-stimulated murine macrophage RAW 264.7 cells, showing significant inhibition of cytokines IL-1β at the concentration of 20 μM131. Taichunamide H exhibited a moderate activity against Pseudomonas aeruginosa with an MIC value of 0.8 μM134,139.
Malbrancheamide is a calmodulin (CaM) antagonist that inhibits the activity of CaM-dependent phosphodiesterase (PDE1) in a concentration-dependent manner with an IC50 of 3.65 μM67,140–142, and could cause moderate inhibition of radicle growth of Amaranthus hypochondriacus with an IC50 of 0.37 μM67. In vitro assays showed that malbrancheamide exhibited inhibitory activity towards yeast α-glucosidase (αGHY) with an IC50 value of 458.7 μM, and the activity was corroborated in vivo using a sucrose tolerance test in normoglucemic mice143. Malbrancheamide also showed moderate inhibitory activity against the protein tyrosine phosphatase 1B (PTP-1B) with an IC50 value of 14.5 μM143. The interactions of malbrancheamide, malbrancheamide B, and isomalbrancheamide B with CaM were analyzed using enzymatic, fluorescent, spectroscopic, nuclear magnetic resonance (NMR), and molecular modelling approaches142. The enzymatic and fluorescent experiments showed that all the three alkaloids were classical CaM inhibitors. The results also revealed that malbrancheamide, malbrancheamide B and isomalbrancheamide B induced a significant vasorelaxant activity in an endothelium-intact model in rat aorta rings, and a lesser effect in an endothelium-denuded model144. Docking analysis indicated that the endothelium-independent relaxation could be mediated by its CaM inhibitory properties through an interference with myosin light chain phosphorylation and positive modulation of eNOS.
Paraherquamides exhibit a broad spectrum of anthelmintic and insecticidal activities (even towards some drug-resistant strains of nematodes) 72,73,145,146. The bioactivity of paraherquamide A was tested against immature Trichostrongylus colubriformis in gerbils146, Haemonchus contortus larvae in vitro, adult T. colubriformis infections73, and the common gastrointestinal nematode species of sheep147, and showed great effectiveness. However, when paraherquamide A was examined for the common gastrointestinal nematodes of dogs, it produced unexpected and severe toxicosis at the doses far below those that were safe in the ruminants148,149. Paraherquamides A, B, E and other paraherquamide-related compounds VM55596 and VM55597 exhibited the insecticidal activity against the hemipteran Oncopeltus fasciatus Dallas, and the most potent compound was paraherquamide E with an LD50 of 0.089 μg/nymph77. The oral activity of paraherquamide E against adult T. colubriformis infections in gerbils was determined, showing significant effectiveness in reduction of faecal egg count81. Paraherquamide E was also evaluated against the human liver cancer cell line Bel-7402, giving the IC50 value of 1.9 μM79. Additionally, paraherquamides F and G exhibited anthelmintic activities against Haemonchus contortus larvae in vitro and adult T. colubriformis infections in gerbils73.
It is worth noting that, based on the bioactivity and toxicity of paraherquamide A, the 2-deoxy-derivitive of paraherquamide A, namely 2-desoxoparaherquamide (later named Derquantel™ by Pfizer), was chemically synthesized from paraherquamide A and determined to display better anthelmintic activity and maintain a safe level of toxicity150. Mechanism exploration revealed that 2-desoxoparaherquamide blocked nicotinic stimulation of cells expressing α3 ganglionic (IC50 = 6 μM) and muscle-type (IC50 = 3 μM) receptors, suggesting that the anthelmintic action of this compound is acting as an antagonist of nicotinic acetylcholine receptor (nAChRs) to block cholinergic neuromuscular transmission150. The combination of Derquantel™ and the macrocyclic lactone abamectin has an excellent broad-spectrum efficacy against several parasitic nematodes in sheep. Therefore, Derquantel™ in a formulated combination with abamectin have been released and marketed as an anthelmintic medicine under the trade name STARTECT®151,152.
7. Concluding remarks
Progress toward understanding a growing number of BCDO alkaloid metabolic systems and characterization of biosynthetic enzyme functions have enabled their expanded application in the synthesis of unnatural derivatives. For example, Kelly et al. pursued a data science-driven protein engineering analysis of the reverse prenyltransferase NotF from the notoamide biosynthetic pathway and developed a one-pot cascade reaction using NotF and FMO BvnB from the brevianamide biosynthetic pathway. This approach provided an efficient route to the 3-hydroxypyrroloindoline scaffold from readily accessible diketopiperazine building blocks culminating in the first biocatalytic synthesis of (−)-eurotiumin A91. We anticipate expanded interactions between chemical and biological syntheses, driven by BCDO genetic and biocatalytic building blocks to explore diverse combinatorial biosynthesis and chemoenzymatic synthesis approaches for metabolite diversification. An expanded BCDO alkaloid library will contribute to more extensive bioactivity evaluations and future development of therapeutic agents.
The biosynthetic pathways of four representative BCDO alkaloids, DKP brevianamide A/B and MKP malbrancheamide have been fully elucidated. However, several important questions remain for the construction of DKP notoamide A and the MKP paraherquamide A. The uncharacterized biosynthetic steps include: 1) the intramolecular [4+2] IMDA cyclization to assemble the BCDO core in notoamide A; 2) the cyclization of the dimethylpyran ring in notoamide A; 3) the biosynthetic route to stephacidin A during assembly of notoamide A; and 4) expansion of the pyran moiety to the 7-membered dioxepin ring. Moreover, N-methylation, and hydroxylation of the prolyl group to complete the paraherquamide A pathway remain to be established. Further bioinformatics, genetic and biochemical analyses of uncharacterized enzymes are required for complete elucidation of these biosynthetic systems. Another outstanding questions relates to the formation of antipodal metabolites notoamide A and stephacidin A, which are produced by different fungal species. Have these microorganisms convergently evolved strain-specific biosynthetic enzymes for production of enantiomeric BCDO alkaloids, or have mutations accumulated from an early common progenitor? Future experimental and mechanistic characterization of the presumed enantio-selective enzymes will enlighten our understanding of this fascinating question.
This review sought to summarize the research history from the viewpoints of both biological and synthetic chemists, and proposed select future prospects to provide inspiration for the long-sought biogenesis of fungal indole alkaloids that comprise BCDO metabolites. We anticipate that remaining mysteries of unknown biosynthetic will be fully resolved in the not too distant future. This report, supplemented with our previous work that focused on biosynthesis5,58,96,220–226 and chemical synthesis58,96,225,226 provides detailed insights by systematically reviewing the advances of the endlessly fascinating fungal BCDO indole alkaloids.
Scheme 65.

Concise total synthesis of preparaherquamide and (+)-VM55599.
8. Acknowledgments
We wish to dedicate this review article to the pioneer in this field as well as our long-time collaborator, friend, and colleague Robert M. Williams, a prodigious and uniquely insightful organic chemist, who passed away on May 13, 2020. Among many others, Bob made remarkable contributions to the biomimetic synthesis of bicyclo[2.2.2]diazaoctane indole alkaloids based on proposed biosynthetic routes of assembly. This review was written to express our deep gratitude and the highest tribute to him and his synthetic art and accomplishments.
This work was supported by National Key Research and Development Program of China (2021YFA0911500), National Natural Science Foundation of China (22237004, 32370032, 32170088, 22101153), Shandong Provincial Natural Science Foundation (ZR2020ZD23, ZR2019ZD20, 2021QB004), Taishan Young Scholars (tsqn202103019, tsqn202312032), the Overseas Excellent Young Scientists Fund Program of Shandong Province (2022HWYQ003), and the Natural Science Foundation of Jiangsu Province (BK20210106). We are grateful to NIH grant R35 GM118101, and the Hans W. Vahlteich Professorship (to D.H.S.).
9. References
- (1).Porter AEA; Sammes PG A Diels–Alder reaction of possible biosynthetic importance. J. Chem. Soc. D 1970, 17, 1103. [Google Scholar]
- (2).Ye Y; Du L; Zhang X; Newmister SA; McCauley M; Alegre-Requena JV; Zhang W; Mu S; Minami A; Fraley AE; Adrover-Castellano ML; Carney NA; Shende VV; Qi F; Oikawa H; Kato H; Tsukamoto S; Paton RS; Williams RM; Sherman DH; Li S Fungal-derived brevianamide assembly by a stereoselective semipinacolase. Nat. Catal. 2020, 3, 497–506. [DOI] [PMC free article] [PubMed] [Google Scholar]
- (3).Dan Q; Newmister SA; Klas KR; Fraley AE; McAfoos TJ; Somoza AD; Sunderhaus JD; Ye Y; Shende VV; Yu F; Sanders JN; Brown WC; Le Z; Paton RS; Houk KN; Smith JL; Sherman DH; Williams RM Fungal indole alkaloid biogenesis through evolution of a bifunctional reductase/Diels–Alderase. Nat. Chem. 2019, 11, 972–980. [DOI] [PMC free article] [PubMed] [Google Scholar]
- (4).Liu Z; Rivera S; Newmister SA; Sanders JN; Nie Q; Liu S; Zhao F; Ferrara JD; Shih H-W; Patil S; Xu W; Miller MD; Phillips GN; Houk KN; Sherman DH; Gao X An NmrA-like enzyme-catalysed redox-mediated Diels–Alder cycloaddition with anti-selectivity. Nat. Chem. 2023, 15, 526–534. [DOI] [PMC free article] [PubMed] [Google Scholar]
- (5).Li S; Anand K; Tran H; Yu F; Finefield JM; Sunderhaus JD; McAfoos TJ; Tsukamoto S; Williams RM; Sherman DH Comparative analysis of the biosynthetic systems for fungal bicyclo[2.2.2]diazaoctane indole alkaloids: the (+)/(–)-notoamide, paraherquamide and malbrancheamide pathways. MedChemComm 2012, 3, 987–996. [DOI] [PMC free article] [PubMed] [Google Scholar]
- (6).Baldas J; Birch AJ; Russell RA Studies in relation to biosynthesis. Part XLVI. Incorporation of cyclo-L-tryptophyl-L-proline into brevianamide A. J. Chem. Soc., Perkin Trans. 1 1974, 1, 50–52. [Google Scholar]
- (7).Birch AJ; Russell RA Studies in relation to biosynthesis—XLIV: Structural elucidations of brevianamides-B, -C, -D and -F. Tetrahedron 1972, 28, 2999–3008. [Google Scholar]
- (8).Birch AJ; Wright JJ Studies in relation to biosynthesis—XLII: The structural elucidation and some aspects of the biosynthesis of the brevianamides-A and -E. Tetrahedron 1970, 26, 2329–2344. [DOI] [PubMed] [Google Scholar]
- (9).Birch AJ; Wright JJ The brevianamides: a new class of fungal alkaloid. J. Chem. Soc. D 1969, 12, 644–645. [Google Scholar]
- (10).Wilson BJ; Yang DTC; Harris TM Production, isolation, and preliminary toxicity studies of brevianamide A from cultures of Penicillium viridicatum. Appl. Microbiol. 1973, 26, 633–635. [DOI] [PMC free article] [PubMed] [Google Scholar]
- (11).Robbers JE; Straus JW Isolation of brevianamide A from Penicillium ochraceum. Lloydia 1975, 38, 355–356. [PubMed] [Google Scholar]
- (12).Coetzer J The structure and absolute configuration of 5-bromobrevianamide A. Acta Crystallogr. 1974, B30, 2254–2256. [Google Scholar]
- (13).Williams RM; Glinka T; Kwast E Facial selectivity of the intramolecular SN2’ cyclization: stereocontrolled total synthesis of brevianamide B. J. Am. Chem. Soc. 1988, 110, 5927–5929. [Google Scholar]
- (14).Williams RM; Kwast E; Coffman H; Glinka T Remarkable, enantio-divergent biogenesis of brevianamide A and B. J. Am. Chem. Soc. 1989, 111, 3064–3065. [Google Scholar]
- (15).Dunkerton LV; Chen H; McKillican BP Synthetic approaches to brevianamides A and B I. Preparation of 4-p-methoxybenzyl-5-(1’-carbomethoxy-2’-[1”,1”-dimethylallyl-2’,3’dihydroindole]methylidene)-1,2-L-pyrrolidinopiperazine-3,6-dione via an Ireland ester enolate Claisen rearrangement. Tetrahedron Lett. 1988, 29, 2539–2542. [Google Scholar]
- (16).Birch AJ; English RJ; Massy-Westropp RA; Smith H Studies in relation to biosynthesis. Part XV. Origin of terpenoid structures in mycelianamide and mycophenolic acid. J. Chem. Soc. 1958, 369–375. [Google Scholar]
- (17).Steyn PS Austamide, a new toxic metabolite from Aspergillus ustus. Tetrahedron Lett. 1971, 12, 3331–3334. [Google Scholar]
- (18).Williams RM; Glinka T; Kwast E; Coffman H; Stille JK Asymmetric, stereocontrolled total synthesis of (–)-brevianamide B. J. Am. Chem. Soc. 1990, 112, 808–821. [Google Scholar]
- (19).Sanz-Cervera JF; Glinka T; Williams RM Biosynthesis of brevianamides A and B: in search of the biosynthetic Diels–Alder construction. Tetrahedron 1993, 49, 8471–8482. [Google Scholar]
- (20).Sanz-Cervera JF; Glinka T; Williams RM Biosynthesis of the brevianamides: quest for a biosynthetic Diels–Alder cyclization. J. Am. Chem. Soc. 1993, 115, 347–348. [Google Scholar]
- (21).Domingo LR; Sanz-Cervera JF; Williams RM; Picher MT; Marco JA Biosynthesis of the brevianamides. An ab Initio study of the biosynthetic intramolecular Diels-Alder cycloaddition. J. Org. Chem. 1997, 62, 1662–1667. [Google Scholar]
- (22).Williams RM; Sanz-Cervera JF; Sancenon F; Marco JA; Halligan KM Biomimetic Diels–Alder cyclizations for the construction of the brevianamide, paraherquamide, sclerotamide, asperparaline and VM55599 ring systems. Bioorg. Med. Chem. 1998, 6, 1233–1241. [DOI] [PubMed] [Google Scholar]
- (23).Williams RM; Sanz-Cervera JF; Sancenon F; Marco JA; Halligan K Biomimetic Diels–Alder cyclizations for the construction of the brevianamide, paraherquamide, sclerotiamide, and VM55599 ring systems. J. Am. Chem. Soc. 1998, 120, 1090–1091. [DOI] [PubMed] [Google Scholar]
- (24).Adams LA; Valente MWN; Williams RM A concise synthesis of d,l-brevianamide B via a biomimetically-inspired IMDA construction. Tetrahedron 2006, 62, 5195–5200. [Google Scholar]
- (25).Stocking EM; Williams RM; Sanz-Cervera JF Reverse prenyl transferases exhibit poor facial discrimination in the biosynthesis of paraherquamide A, brevianamide A, and austamide. J. Am. Chem. Soc. 2000, 122, 9089–9098. [Google Scholar]
- (26).Godfrey RC; Green NJ; Nichol GS; Lawrence AL Total synthesis of brevianamide A. Nat. Chem. 2020, 12, 615–619. [DOI] [PubMed] [Google Scholar]
- (27).Steyn PS The structures of five diketopiperazines from Aspergillus ustus. Tetrahedron 1973, 29, 107–120. [Google Scholar]
- (28).Scott PM; Kennedy BPC; Harwig J; Chen Y-K Formation of diketopiperazines by Penicillium italicum isolated from oranges. 1974, 28, 892–894. [DOI] [PMC free article] [PubMed] [Google Scholar]
- (29).Kaur A; Raja HA; Deep G; Agarwal R; Oberlies NH Pannorin B, a new naphthopyrone from an endophytic fungal isolate of Penicillium sp. 2015, 54, 164–167. [DOI] [PMC free article] [PubMed] [Google Scholar]
- (30).Bird BA; Remaley AT; Campbell IM Brevianamides A and B are formed only after conidiation has begun in solid cultures of Penicillium brevicompactum. Appl. Environ. Microbiol. 1981, 42, 521–525. [DOI] [PMC free article] [PubMed] [Google Scholar]
- (31).Godfrey RC; Jones HE; Green NJ; Lawrence AL Unified total synthesis of the brevianamide alkaloids enabled by chemical investigations into their biosynthesis. Chem. Sci. 2022, 13, 1313–1322. [DOI] [PMC free article] [PubMed] [Google Scholar]
- (32).Liu W; Wang L; Wang B; Xu Y; Zhu G; Lan M; Zhu W; Sun K Diketopiperazine and diphenylether derivatives from marine algae-derived Aspergillus versicolor OUCMDZ-2738 by epigenetic activation. Mar. Drugs 2019, 17, 6. [DOI] [PMC free article] [PubMed] [Google Scholar]
- (33).Wakefield J; Hassan HM; Jaspars M; Ebel R; Rateb ME Dual induction of new microbial secondary metabolites by fungal bacterial co-cultivation. Front. Microbiol. 2017, 8, 1284. [DOI] [PMC free article] [PubMed] [Google Scholar]
- (34).Kato H; Yoshida T; Tokue T; Nojiri Y; Hirota H; Ohta T; Williams RM; Tsukamoto S Notoamides A-D: prenylated indole alkaloids isolated from a marine-derived fungus, Aspergillus sp. Angew. Chem. Int. Ed. Engl. 2007, 46, 2254–2256. [DOI] [PubMed] [Google Scholar]
- (35).Tsukamoto S; Kato H; Samizo M; Nojiri Y; Onuki H; Hirota H; Ohta T Notoamides F–K, prenylated indole alkaloids isolated from a marine-derived Aspergillus sp. J. Nat. Prod. 2008, 71, 2064–2067. [DOI] [PubMed] [Google Scholar]
- (36).Greshock TJ; Grubbs AW; Jiao P; Wicklow DT; Gloer JB; Williams RM Isolation, structure elucidation, and biomimetic total synthesis of versicolamide B, and the isolation of antipodal (–)-stephacidin A and (+)-notoamide B from Aspergillus versicolor NRRL 35600. Angew. Chem. Int. Ed. 2008, 47, 3573–3577. [DOI] [PMC free article] [PubMed] [Google Scholar]
- (37).Tsukamoto S; Kawabata T; Kato H; Greshock TJ; Hirota H; Ohta T; Williams RM Isolation of antipodal (–)-versicolamide B and notoamides L–N from a marine-derived Aspergillus sp. Org. Lett. 2009, 11, 1297–1300. [DOI] [PMC free article] [PubMed] [Google Scholar]
- (38).Tsukamoto S; Kato H; Greshock TJ; Hirota H; Ohta T; Williams RM Isolation of notoamide E, a key precursor in the biosynthesis of prenylated indole alkaloids in a marine-derived fungus, Aspergillus sp. J. Am. Chem. Soc. 2009, 131, 3834–3835. [DOI] [PMC free article] [PubMed] [Google Scholar]
- (39).Tsukamoto S; Umaoka H; Yoshikawa K; Ikeda T; Hirota H Notoamide O, a structurally unprecedented prenylated indole alkaloid, and notoamides P-R from a marine-derived fungus, Aspergillus sp. J. Nat. Prod. 2010, 73, 1438–1440. [DOI] [PubMed] [Google Scholar]
- (40).Tsukamoto S; Umaoka H; Yoshikawa K; Ikeda T; Hirota H Correction to notoamide O, a structurally unprecedented prenylated indole alkaloid, and notoamides P-R from a marine-derived fungus, Aspergillus sp. J. Nat. Prod. 2013, 76, 1232. [DOI] [PubMed] [Google Scholar]
- (41).Tsukamoto S; Kato H; Samizo M; Nojiri Y; Ohnuki H; Hirota H; Ohta T Correction to notoamides F–K, prenylated indole alkaloids isolated from a marine-derived Aspergillus sp. J. Nat. Prod. 2013, 76, 1233. [DOI] [PubMed] [Google Scholar]
- (42).Tsukamoto S; Kato H; Greshock TJ; Hirota H; Ohta T; Williams RM Correction to Isolation of notoamide E, a key precursor in the biosynthesis of prenylated indole alkaloids in a marine-derived fungus, Aspergillus sp. J. Am. Chem. Soc. 2013, 135, 10878. [DOI] [PMC free article] [PubMed] [Google Scholar]
- (43).Qian-Cutrone J; Huang S; Shu YZ; Vyas D; Fairchild C; Menendez A; Krampitz K; Dalterio R; Klohr SE; Gao Q Stephacidin A and B: two structurally novel, selective inhibitors of the testosterone-dependent prostate LNCaP cells. J. Am. Chem. Soc. 2002, 124, 14556–14557. [DOI] [PubMed] [Google Scholar]
- (44).Greshock TJ; Williams RM Improved biomimetic total synthesis of D,L-stephacidin A. Org. Lett. 2007, 9, 4255–4258. [DOI] [PubMed] [Google Scholar]
- (45).Artman GD III; Grubbs AW; Williams RM Concise, asymmetric, stereocontrolled total synthesis of stephacidins A, B and notoamide B. J. Am. Chem. Soc. 2007, 129, 6336–6342. [DOI] [PMC free article] [PubMed] [Google Scholar]
- (46).Greshock TJ; Grubbs AW; Tsukamoto S; Williams RM A concise, biomimetic total synthesis of stephacidin A and notoamide B. Angew. Chem. Int. Ed. 2007, 46, 2262–2265. [DOI] [PubMed] [Google Scholar]
- (47).Grubbs AW; Artman GD; Tsukamoto S; Williams RM A concise total synthesis of the notoamides C and D. Angew. Chem. Int. Ed. 2007, 46, 2257–2261. [DOI] [PubMed] [Google Scholar]
- (48).Kato H; Nakamura Y; Finefield JM; Umaoka H; Nakahara T; Williams RM; Tsukamoto S Study on the biosynthesis of the notoamides: pinacol-type rearrangement of the isoprenyl unit in deoxybrevianamide E and 6-hydroxydeoxybrevianamide E. Tetrahedron Lett. 2011, 52, 6923–6926. [DOI] [PMC free article] [PubMed] [Google Scholar]
- (49).Kato H; Nakamura Y; Finefield JM; Umaoka H; Nakahara T; Williams RM; Tsukamoto S Corrigendum to “Study on the biosynthesis of the notoamides: pinacol-type rearrangement of the isoprenyl unit in deoxybrevianamide E and 6-hydroxydeoxybrevianamide E” [Tetrahedron Lett. 52 (2011) 6923–6926]. Tetrahedron Lett. 2014, 55, 559–560. [DOI] [PMC free article] [PubMed] [Google Scholar]
- (50).Kametani T; Kanaya N; Ihara M Studies on the syntheses of heterocyclic compounds. Part 876. The chiral total synthesis of brevianamide E and deoxybrevianamide E. J. Chem. Soc., Perkin Trans. 1 1981, 959–963. [Google Scholar]
- (51).Somei M; Karasawa Y; Kaneko C Selective monoalkylation of carbon nucleophiles with gramine. Heterocycles 1981, 16, 941–949. [Google Scholar]
- (52).Finefield JM; Greshock TJ; Sherman DH; Tsukamoto S; Williams RM Notoamide E: biosynthetic incorporation into notoamides C and D in cultures of Aspergillus versicolor NRRL 35600. Tetrahedron Lett. 2011, 52, 1987–1989. [DOI] [PMC free article] [PubMed] [Google Scholar]
- (53).Ding Y; Wet JR; Cavalcoli J; Li S; Greshock TJ; Miller KA; Finefield JM; Sunderhaus JD; McAfoos TJ; Tsukamoto S; Williams RM; Sherman DH Genome-based characterization of two prenylation steps in the assembly of the stephacidin and notoamide anticancer agents in a marine-derived Aspergillus sp. J. Am. Chem. Soc. 2010, 132, 12733–12740. [DOI] [PMC free article] [PubMed] [Google Scholar]
- (54).McAfoos TJ; Li S; Tsukamoto S; Sherman DH; Williams RM Studies on the biosynthesis of the stephacidins and notoamides. Total synthesis of notoamide S. Heterocycles 2010, 82, 461–472. [DOI] [PMC free article] [PubMed] [Google Scholar]
- (55).Finefield JM; Kato H; Greshock TJ; Sherman DH; Tsukamoto S; Williams RM Biosynthetic studies of the notoamides: isotopic synthesis of stephacidin A and incorporation into notoamide B and sclerotiamide. Org. Lett. 2011, 13, 3802–3805. [DOI] [PMC free article] [PubMed] [Google Scholar]
- (56).Finefield JM; Williams RM Synthesis of notoamide J: a potentially pivotal intermediate in the biosynthesis of several prenylated indole alkaloids. J. Org. Chem. 2010, 75, 2785–2789. [DOI] [PMC free article] [PubMed] [Google Scholar]
- (57).Finefield JM; Sherman DH; Tsukamoto S; Williams RM Studies on the biosynthesis of the notoamides: synthesis of an isotopomer of 6-hydroxydeoxybrevianamide E and biosynthetic incorporation into notoamide J. J. Org. Chem. 2011, 76, 5954–5958. [DOI] [PMC free article] [PubMed] [Google Scholar]
- (58).Sunderhaus JD; Sherman DH; Williams RM Studies on the biosynthesis of the stephacidin and notoamide natural products: a stereochemical and genetic conundrum. Isr. J. Chem. 2011, 51, 442–452. [DOI] [PMC free article] [PubMed] [Google Scholar]
- (59).Li S; Finefield JM; Sunderhaus JD; McAfoos TJ; Williams RM; Sherman DH Biochemical characterization of NotB as an FAD-dependent oxidase in the biosynthesis of notoamide indole alkaloids. J. Am. Chem. Soc. 2012, 134, 788–791. [DOI] [PMC free article] [PubMed] [Google Scholar]
- (60).Kato H; Nakahara T; Sugimoto K; Matsuo K; Kagiyama I; Frisvad JC; Sherman DH; Williams RM; Tsukamoto S Isolation of notoamide S and enantiomeric 6-epi-stephacidin A from the fungus Aspergillus amoenus: biogenetic implications. Org. Lett. 2015, 17, 700–703. [DOI] [PMC free article] [PubMed] [Google Scholar]
- (61).Sunderhaus JD; McAfoos TJ; Finefield JM; Kato H; Li S; Tsukamoto S; Sherman DH; Williams RM Synthesis and bioconversions of notoamide T: a biosynthetic precursor to stephacidin A and notoamide B. Org. Lett. 2013, 15, 22–25. [DOI] [PMC free article] [PubMed] [Google Scholar]
- (62).Kato H; Nakahara T; Yamaguchi M; Kagiyama I; Finefield JM; Sunderhaus JD; Sherman DH; Williams RM; Tsukamoto S Bioconversion of 6-epi-notoamide T produces metabolites of unprecedented structures in a marine-derived Aspergillus sp. Tetrahedron Lett. 2015, 56, 247–251. [DOI] [PMC free article] [PubMed] [Google Scholar]
- (63).Di Z; Yi W; Ge H; Zhang Z; Wu B A new antimicrobial indoloditerpene from a marine-sourced fungus Aspergillus versicolor ZZ761. Nat. Prod. Res. 2021, 35, 3114–3119. [DOI] [PubMed] [Google Scholar]
- (64).Kagiyama I; Kato H; Nehira T; Frisvad JC; Sherman DH; Williams RM; Tsukamoto S Taichunamides: prenylated indole alkaloids from Aspergillus taichungensis (IBT 19404). Angew. Chem. Int. Ed. Engl. 2016, 55, 1128–1132. [DOI] [PMC free article] [PubMed] [Google Scholar]
- (65).Li F; Zhang Z; Zhang G; Che Q; Zhu T; Gu Q; Li D Determination of taichunamide H and structural revision of taichunamide A. Org. Lett. 2018, 20, 1138–1141. [DOI] [PubMed] [Google Scholar]
- (66).Li H; Xu Q; Sun W; Zhang R; Wang J; Lai Y; Hu Z; Zhang Y 21-Epi-taichunamide D and (±)-versicaline A, three unusual alkaloids from the endophytic Aspergillus versicolor F210. Tetrahedron Lett. 2020, 61, 152219. [Google Scholar]
- (67).Martinez-Luis S; Rodriguez R; Acevedo L; Gonzalez MC; Lira-Rocha A; Mata R Malbrancheamide, a new calmodulin inhibitor from the fungus Malbranchea aurantiaca. Tetrahedron 2006, 62, 1817–1822. [Google Scholar]
- (68).Figueroa M; Del Carmen Gonzalez M; Mata R Malbrancheamide B, a novel compound from the fungus Malbranchea aurantiaca. Nat. Prod. Res. 2008, 22, 709–714. [DOI] [PubMed] [Google Scholar]
- (69).Watts KR; Loveridge ST; Tenney K; Media J; Valeriote FA; Crews P Utilizing DART mass spectrometry to pinpoint halogenated metabolites from a marine invertebrate-derived fungus. J. Org. Chem. 2011, 76, 6201–6208. [DOI] [PMC free article] [PubMed] [Google Scholar]
- (70).Ding Y; Greshock TJ; Miller KA; Sherman DH; Williams RM Premalbrancheamide: synthesis, isotopic labeling, biosynthetic incorporation, and detection in cultures of Malbranchea aurantiaca. Org. Lett. 2008, 10, 4863–4866. [DOI] [PMC free article] [PubMed] [Google Scholar]
- (71).Yamazaki M; Okuyama E; Kobayashi M; Inoue H The structure of paraherquamide, a toxic metabolite from Penicillium paraherquei. Tetrahedron Lett. 1981, 22, 135–136. [Google Scholar]
- (72).Blanchflower SE; Banks RM; Everett JR; Reading C Further novel metabolites of the paraherquamide family. J. Antibiot. 1993, 46, 1355–1363. [DOI] [PubMed] [Google Scholar]
- (73).Blanchflower SE; Banks RM; Everett JR; Manger BR; Reading, C. New paraherquamide antibiotics with anthelmintic activity. J. Antibiot. 1991, 44, 492–497. [DOI] [PubMed] [Google Scholar]
- (74).Ondeyka JG; Goegelman RT; Schaeffer JM; Kelemen L; Zitano L Novel antinematodal and antiparasitic agents from Penicillium Charlesii. I. Fermentation, isolation and biological-activity. J. Antibiot. 1990, 43, 1375–1379. [DOI] [PubMed] [Google Scholar]
- (75).Liesch JM; Wichmann CF Novel antinematodal and antiparasitic agents from Penicillium charlesii. II. Structure determination of paraherquamide-B, C, D, E, F, and G. J. Antibiot. 1990, 43, 1380–1386. [DOI] [PubMed] [Google Scholar]
- (76).Ding Y; Gruschow S; Greshock TJ; Finefield JM; Sherman DH; Williams RM Detection of VM55599 and preparaherquamide from Aspergillus japonicus and Penicillium fellutanum: biosynthetic implications. J. Nat. Prod. 2008, 71, 1574–1578. [DOI] [PMC free article] [PubMed] [Google Scholar]
- (77).López-Gresa MP; González MC; Ciavatta L; Ayala I; Moya P; Primo J Insecticidal activity of paraherquamides, including paraherquamide H and paraherquamide I, two new alkaloids isolated from Penicillium cluniae. J. Agric. Food Chem. 2006, 54, 2921–2925. [DOI] [PubMed] [Google Scholar]
- (78).Zheng Y-Y; Shen N-X; Liang Z-Y; Shen L; Chen M; Wang C-Y Paraherquamide J, a new prenylated indole alkaloid from the marine-derived fungus Penicillium janthinellum HK1–6. Nat. Prod. Res. 2020, 34, 378–384. [DOI] [PubMed] [Google Scholar]
- (79).Wu J; Wang F; He L-M; Zhou S-Y; Wang S-B; Jia J; Hong K; Cai Y-S Aculeaquamide A, cytotoxic paraherquamide from the marine fungus Aspergillus aculeatinus WHUF0198. Nat. Prod. Res. 2021, 1–6. [DOI] [PubMed] [Google Scholar]
- (80).Fraley AE; Caddell Haatveit K; Ye Y; Kelly SP; Newmister SA; Yu F; Williams RM; Smith JL; Houk KN; Sherman DH Molecular basis for spirocycle formation in the paraherquamide biosynthetic pathway. J. Am. Chem. Soc. 2020, 142, 2244–2252. [DOI] [PMC free article] [PubMed] [Google Scholar]
- (81).Banks RM; Blanchflower SE; Everett JR; Manger BR; Reading, C. Novel anthelmintic metabolites from an Aspergillus species; the aspergillimides. J. Antibiot. 1997, 50, 840–846. [DOI] [PubMed] [Google Scholar]
- (82).Stocking EM; Sanz-Cervera JF; Williams RM; Unkefer CJ Studies on the biosynthesis of paraherquamide A. Origin of the β-methylproline ring. J. Am. Chem. Soc. 1996, 118, 7008–7009. [Google Scholar]
- (83).Stocking EM; Sanz-Cervera JF; Unkefer CJ; Williams RM Studies on the biosynthesis of paraherquamide. Construction of the amino acid framework. Tetrahedron 2001, 57, 5303–5320. [Google Scholar]
- (84).Stocking EM; Sanz-Cervera JF; Williams RM Reverse versus normal prenyl transferases in paraherquamide biosynthesis exhibit distinct facial selectivities. Angew. Chem. Int. Ed. 1999, 38, 786–789. [DOI] [PubMed] [Google Scholar]
- (85).Stocking EM; Martinez RA; Silks LA; Sanz-Cervera JF; Williams RM Studies on the biosynthesis of paraherquamide: Concerning the mechanism of the oxidative cyclization of L-Isoleucine to β-Methylproline. J. Am. Chem. Soc. 2001, 123, 3391–3392. [DOI] [PubMed] [Google Scholar]
- (86).Stocking EM; Sanz-Cervera JF; Williams RM Studies on the biosynthesis of paraherquamide: Synthesis and incorporation of a hexacyclic indole derivative as an advanced metabolite. Angew. Chem. Int. Ed. 2001, 40, 1296–1298. [DOI] [PubMed] [Google Scholar]
- (87).Stocking EM; Sanz-Cervera JF; Williams RM Total synthesis of VM55599. Utilization of an intramolecular Diels-Alder cycloaddition of potential biogenetic relevance. J. Am. Chem. Soc. 2000, 122, 1675–1683. [Google Scholar]
- (88).Sanz-Cervera JF; Williams RM Asymmetric total synthesis of (–)-VM55599: establishment of the absolute stereochemistry and biogenetic implications. J. Am. Chem. Soc. 2002, 124, 2556–2559. [DOI] [PubMed] [Google Scholar]
- (89).Sommer K; Williams RM Studies on paraherquamide biosynthesis: synthesis of deuterium-labeled 7-hydroxy-pre-paraherquamide, a putative precursor of paraherquamides A, E, and F. Tetrahedron 2009, 65, 3246–3260. [DOI] [PMC free article] [PubMed] [Google Scholar]
- (90).Maiya S; Grundmann A; Li SM; Turner G The fumitremorgin gene cluster of Aspergillus fumigatus: identification of a gene encoding brevianamide F synthetase. ChemBioChem 2006, 7, 1062–1069. [DOI] [PubMed] [Google Scholar]
- (91).Kelly SP; Shende VV; Flynn AR; Dan Q; Ye Y; Smith JL; Tsukamoto S; Sigman MS; Sherman DH Data science-driven analysis of substrate-permissive diketopiperazine reverse prenyltransferase NotF: applications in protein engineering and cascade biocatalytic synthesis of (−)-eurotiumin A. J. Am. Chem. Soc. 2022, 144, 19326–19336. [DOI] [PMC free article] [PubMed] [Google Scholar]
- (92).Fraley AE; Tran HT; Kelly SP; Newmister SA; Tripathi A; Kato H; Tsukamoto S; Du L; Li S; Williams RM; Sherman DH Flavin-dependent monooxygenases NotI and NotI’ mediate spiro-oxindole formation in biosynthesis of the notoamides. ChemBioChem 2020, 21, 2449–2454. [DOI] [PMC free article] [PubMed] [Google Scholar]
- (93).Fraley AE; Garcia-Borras M; Tripathi A; Khare D; Mercado-Marin EV; Tran H; Dan Q; Webb GP; Watts KR; Crews P; Sarpong R; Williams RM; Smith JL; Houk KN; Sherman DH Function and structure of MalA/MalA’, iterative halogenases for late-stage C–H functionalization of indole alkaloids. J. Am. Chem. Soc. 2017, 139, 12060–12068. [DOI] [PMC free article] [PubMed] [Google Scholar]
- (94).Jiang W; Cacho RA; Chiou G; Garg NK; Tang Y; Walsh CT EcdGHK are three tailoring iron oxygenases for amino acid building blocks of the echinocandin scaffold. J. Am. Chem. Soc. 2013, 135, 4457–4466. [DOI] [PMC free article] [PubMed] [Google Scholar]
- (95).Li L; Tang MC; Tang S; Gao S; Soliman S; Hang L; Xu W; Ye T; Watanabe K; Tang Y Genome mining and assembly-line biosynthesis of the UCS1025A pyrrolizidinone family of fungal alkaloids. J. Am. Chem. Soc. 2018, 140, 2067–2071. [DOI] [PMC free article] [PubMed] [Google Scholar]
- (96).Klas KR; Kato H; Frisvad JC; Yu F; Newmister SA; Fraley AE; Sherman DH; Tsukamoto S; Williams RM Structural and stereochemical diversity in prenylated indole alkaloids containing the bicyclo[2.2.2]diazaoctane ring system from marine and terrestrial fungi. Nat. Prod. Rep. 2018, 35, 532–558. [DOI] [PMC free article] [PubMed] [Google Scholar]
- (97).Liu Z; Zhao F; Zhao B; Yang J; Ferrara J; Sankaran B; Venkataram Prasad BV; Kundu BB; Phillips GN; Gao Y; Hu L; Zhu T; Gao X Structural basis of the stereoselective formation of the spirooxindole ring in the biosynthesis of citrinadins. Nat. Commun. 2021, 12, 4158. [DOI] [PMC free article] [PubMed] [Google Scholar]
- (98).Williams RM; Kwast E Carbanion-mediated oxidative deprotection of non-enolizable benzylated amides. Tetrahedron Lett. 1989, 30, 451–454. [Google Scholar]
- (99).Greshock TJ; Williams RM Improved biomimetic total synthesis of D,L-stephacidin A. Org. Lett. 2012, 14, 6377–6378. [DOI] [PubMed] [Google Scholar]
- (100).Frebault FC; Simpkins NS A cationic cyclisation route to prenylated indole alkaloids: synthesis of malbrancheamide B and brevianamide B, and progress towards stephacidin A. Tetrahedron 2010, 66, 6585–6596. [Google Scholar]
- (101).Robins JG; Kim KJ; Chinn AJ; Woo JS; Scheerer JR Intermolecular Diels-Alder cycloaddition for the construction of bicyclo[2.2.2]diazaoctane structures: Formal synthesis of brevianamide B and premalbrancheamide. J. Org. Chem. 2016, 81, 2293–2301. [DOI] [PMC free article] [PubMed] [Google Scholar]
- (102).Perkins JC; Wang X; Pike RD; Scheerer JR Further investigation of the intermolecular Diels–Alder cycloaddition for the synthesis of bicyclo[2.2.2]diazaoctane alkaloids. J. Org. Chem. 2017, 82, 13656–13662. [DOI] [PMC free article] [PubMed] [Google Scholar]
- (103).Xu X; Zhang X; Nong X; Wang J; Qi S Brevianamides and mycophenolic acid derivatives from the deep-sea-derived fungus Penicillium brevicompactum DFFSCS025. Mar. Drugs 2017, 15, 43. [DOI] [PMC free article] [PubMed] [Google Scholar]
- (104).Qin W-F; Xiao T; Zhang D; Deng L-F; Wang Y; Qin Y Total synthesis of (–)-depyranoversicolamide B. Chem. Commun. 2015, 51, 16143–16146. [DOI] [PubMed] [Google Scholar]
- (105).Li L; Chang Q-H; Zhang S-S; Yang K; Chen F-L; Zhu H-J; Cao F; Liu Y-F (±)-Brevianamides Z and Z1, new diketopiperazine alkaloids from the marine-derived fungus Aspergillus versicolor. J. Mol. Struct. 2022, 1261, 132904. [Google Scholar]
- (106).Xu F; Smith MW A general approach to 2,2-disubstituted indoxyls: total synthesis of brevianamide A and trigonoliimine C. Chem. Sci. 2021, 12, 13756–13763. [DOI] [PMC free article] [PubMed] [Google Scholar]
- (107).Mansour A; Gagosz F Expedited total synthesis of (±)-brevianamide A via the strategic use of gold(I) catalysis. Org. Lett. 2022, 24, 7200–7204. [DOI] [PubMed] [Google Scholar]
- (108).Baran PS; Guerrero CA; Ambhaikar NB; Hafensteiner BD Short, enantioselective total synthesis of stephacidin A. Angew. Chem. Int. Ed. 2005, 44, 606–609. [DOI] [PubMed] [Google Scholar]
- (109).Baran PS; Guerrero CA; Hafensteiner BD; Ambhaikar NB Total synthesis of avrainvillamide (CJ-17,665) and stephacidin B. Angew. Chem. Int. Ed. 2005, 44, 3892–3895. [DOI] [PubMed] [Google Scholar]
- (110).Baran PS; Hafensteiner BD; Ambhaikar NB; Guerrero CA; Gallagher JD Enantioselective total synthesis of avrainvillamide and the stephacidins. J. Am. Chem. Soc. 2006, 128, 8678–8693. [DOI] [PubMed] [Google Scholar]
- (111).Nelson LAK; Shaw AC; Abrams SR Synthesis of (+)-, (−)- and (±)-7′-hydroxyabscisic acid. Tetrahedron 1991, 47, 3259–3270. [Google Scholar]
- (112).Simpkins NS; Pavlakos I; Weller MD; Male L The cascade radical cyclisation approach to prenylated alkaloids: synthesis of stephacidin A and notoamide B. Org. Biomol. Chem. 2013, 11, 4957–4970. [DOI] [PubMed] [Google Scholar]
- (113).Mercado-Marin EV; Sarpong R Unified approach to prenylated indole alkaloids: total syntheses of (–)-17-hydroxy-citrinalin B, (+)-stephacidin A, and (+)-notoamide I. Chem. Sci. 2015, 6, 5048–5052. [DOI] [PMC free article] [PubMed] [Google Scholar]
- (114).Zhang B; Zheng W; Wang X; Sun D; Li C Total synthesis of notoamides F, I, and R and sclerotiamide. Angew. Chem. Int. Ed. 2016, 55, 10435–10438. [DOI] [PubMed] [Google Scholar]
- (115).Mukai K; Sant’Ana DP; Hirooka Y; Mercado-Marin EV; Stephens DE; Kou KGM; Richter SC; Kelley N; Sarpong R Bioinspired chemical synthesis of monomeric and dimeric stephacidin A congeners. Nat. Chem. 2018, 10, 38–44. [DOI] [PMC free article] [PubMed] [Google Scholar]
- (116).Cox RJ; Williams RM Synthetic studies towards paraherquamide F: synthesis of the 1,7-dihydropyrano[2,3-g]indole ring system. Tetrahedron Lett. 2002, 43, 2149–2152. [Google Scholar]
- (117).Miller KA; Tsukamoto S; Williams RM Asymmetric total syntheses of (+)- and (–)-versicolamide B and biosynthetic implications. Nat. Chem. 2009, 1, 63–68. [DOI] [PMC free article] [PubMed] [Google Scholar]
- (118).Miller KA; Welch TR; Greshock TJ; Ding Y; Sherman DH; Williams RM Biomimetic total synthesis of malbrancheamide and malbrancheamide B. J. Org. Chem. 2008, 73, 3116–3119. [DOI] [PMC free article] [PubMed] [Google Scholar]
- (119).Laws SW; Scheerer JR Enantioselective synthesis of (+)-malbrancheamide B. J. Org. Chem. 2013, 78, 2422–2429. [DOI] [PubMed] [Google Scholar]
- (120).Williams RM; Glinka T; Kwast E Synthetic studies on paraherquamide: regioselectivity of indole oxidation. Tetrahedron Lett. 1989, 30, 5575–5578. [Google Scholar]
- (121).Cushing TD; Sanz-Cervera JF; Williams RM Stereocontrolled total synthesis of (+)-paraherquamide B. J. Am. Chem. Soc. 1993, 115, 9323–9324. [Google Scholar]
- (122).Williams RM; Cao J; Tsujishima H Asymmetric, stereocontrolled total synthesis of paraherquamide A. Angew. Chem. Int. Ed. 2000, 39, 2540–2544. [DOI] [PubMed] [Google Scholar]
- (123).Lee BH; Clothier MF Conversion of marcfortine A to paraherquamide A via paraherquamide B. The first formal synthesis of paraherquamide A. J. Org. Chem. 1997, 62, 1795–1798. [Google Scholar]
- (124).Roque JB; Mercado-Marin EV; Richter SC; Pereira de Sant’Ana D; Mukai K; Ye Y; Sarpong R A unified strategy to reverse-prenylated indole alkaloids: total syntheses of preparaherquamide, premalbrancheamide, and (+)-VM-55599. Chem. Sci. 2020, 11, 5929–5934. [DOI] [PMC free article] [PubMed] [Google Scholar]
- (125).Trost BM; Cramer N; Bernsmann H Concise total synthesis of (+/–)-marcfortine B. J. Am. Chem. Soc. 2007, 129, 3086–3087. [DOI] [PubMed] [Google Scholar]
- (126).Trost BM; Bringley DA; Zhang T; Cramer N Rapid access to spirocyclic oxindole alkaloids: application of the asymmetric palladium-catalyzed [3 + 2] trimethylenemethane cycloaddition. J. Am. Chem. Soc. 2013, 135, 16720–16735. [DOI] [PMC free article] [PubMed] [Google Scholar]
- (127).Trost BM; Mata G Forging odd-membered rings: palladium-catalyzed asymmetric cycloadditions of trimethylenemethane. Acc. Chem. Res. 2020, 53, 1293–1305. [DOI] [PubMed] [Google Scholar]
- (128).Xu Z; Liang X-T; Lan P; Banwell MG Total syntheses of certain asperversiamides, linearly-fused and prenylated indole alkaloids. Org. Chem. Front. 2024, 11, 2433–2441. [Google Scholar]
- (129).Paterson RRM; Simmonds MJS; Kemmelmeier C; Blaney WM Effects of brevianamide A, its photolysis product brevianamide D, and ochratoxin A from two Penicillium strains on the insect pests Spodoptera frugiperda and Heliothis virescens. Mycol. Res. 1990, 94, 538–542. [Google Scholar]
- (130).Wright VF; Vesonder RF; Ciegler A In Microbial and viral pesticides; Kurstak E, Ed.; Dekker: New York, 1982. [Google Scholar]
- (131).Wen H; Liu X; Zhang Q; Deng Y; Zang Y; Wang J; Liu J; Zhou Q; Hu L; Zhu H; Chen C; Zhang Y Three new indole diketopiperazine alkaloids from Aspergillus ochraceus. Chem. Biodivers. 2018, 15, e1700550. [DOI] [PubMed] [Google Scholar]
- (132).Afiyatullov SS; Zhuravleva OI; Antonov AS; Berdyshev DV; Pivkin MV; Denisenko VA; Popov RS; Gerasimenko AV; Amsberg G; Dyshlovoy SA; Leshchenko EV; Yurchenko AN Prenylated indole alkaloids from co-culture of marine-derived fungi Aspergillus sulphureus and Isaria felina. J. Antibiot. 2018, 71, 846–853. [DOI] [PubMed] [Google Scholar]
- (133).Kato H; Kai A; Kawabata T; Sunderhaus JD; McAfoos TJ; Finefield JM; Sugimoto Y; Williams RM; Tsukamoto S Enantioselective inhibitory abilities of enantiomers of notoamides against RANKL-induced formation of multinuclear osteoclasts. Bioorg. Med. Chem. Lett. 2017, 27, 4975–4978. [DOI] [PMC free article] [PubMed] [Google Scholar]
- (134).Zhang P; Yuan X-L; Du Y-M; Zhang H-B; Shen G-M; Zhang Z-F; Liang Y-J; Zhao D-L; Xu K Angularly prenylated indole alkaloids with antimicrobial and insecticidal activities from an endophytic fungus Fusarium sambucinum TE-6L. J. Agric. Food Chem. 2019, 67, 11994–12001. [DOI] [PubMed] [Google Scholar]
- (135).Hu L; Zhang T; Liu D; Guan G; Huang J; Proksch P; Chen X; Lin W Notoamide-type alkaloid induced apoptosis and autophagy via a P38/JNK signaling pathway in hepatocellular carcinoma cells. RSC Adv. 2019, 9, 19855–19868. [DOI] [PMC free article] [PubMed] [Google Scholar]
- (136).Yang J; Gong L; Guo M; Jiang Y; Ding Y; Wang Z; Xin X; An F Bioactive indole diketopiperazine alkaloids from the marine endophytic fungus Aspergillus sp. YJ191021. Mar. Drugs 2021, 19, 157. [DOI] [PMC free article] [PubMed] [Google Scholar]
- (137).Chen M; Shao C-L; Fu X-M; Xu R-F; Zheng J-J; Zhao D-L; She Z-G; Wang C-Y Bioactive indole alkaloids and phenyl ether derivatives from a marine-derived Aspergillus sp. Fungus. J. Nat. Prod. 2013, 76, 547–553. [DOI] [PubMed] [Google Scholar]
- (138).Lopez-Gresa MP; Gonzalez MC; Primo J; Moya P; Romero V; Estornell E Circumdatin H, a new inhibitor of mitochondrial NADH oxidase, from Aspergillus ochraceus. J. Antibiot. 2005, 58, 416–419. [DOI] [PubMed] [Google Scholar]
- (139).Chang Y-W; Yuan C-M; Zhang J; Liu S; Cao P; Hua H-M; Di Y-T; Hao X-J Speramides A–B, two new prenylated indole alkaloids from the freshwater-derived fungus Aspergillus ochraceus KM007. Tetrahedron Lett. 2016, 57, 4952–4955. [Google Scholar]
- (140).Miller KA; Figueroa M; Valente MWN; Greshock TJ; Mata R; Williams RM Calmodulin inhibitory activity of the malbrancheamides and various analogs. Bioorg. Med. Chem. Lett. 2008, 18, 6479–6481. [DOI] [PMC free article] [PubMed] [Google Scholar]
- (141).Gonzalez-Andrade M; Figueroa M; Rodriguez-Sotres R; Mata R; Sosa-Peinado A An alternative assay to discover potential calmodulin inhibitors using a human fluorophore-labeled CaM protein. Anal. Biochem. 2009, 387, 64–70. [DOI] [PubMed] [Google Scholar]
- (142).Figueroa M; Gonzalez-Andrade M; Sosa-Peinado A; Madariaga-Mazon A; Del Rio-Portilla F; Gonzalez MDC; Mata R Fluorescence, circular dichroism, NMR, and docking studies of the interaction of the alkaloid malbrancheamide with calmodulin. J. Enzyme Inhib. Med. Chem. 2011, 26, 378–385. [DOI] [PubMed] [Google Scholar]
- (143).Rangel-Grimaldo M; Macias-Rubalcava ML; Gonzalez-Andrade M; Raja H; Figueroa M; Mata R α-Glucosidase and protein tyrosine phosphatase 1B inhibitors from Malbranchea circinata. J. Nat. Prod. 2020, 83, 675–683. [DOI] [PubMed] [Google Scholar]
- (144).Madariaga-Mazon A; Hernandez-Abreu O; Estrada-Soto S; Mata R Insights on the vasorelaxant mode of action of malbrancheamide. J. Pharm. Pharmacol. 2015, 67, 551–558. [DOI] [PubMed] [Google Scholar]
- (145).Lee BH; Taylor RN; Whaley HA; Nelson SJ; Marshall VP Marcfortine/paraherquamide derivatives useful as antiparasitic agents. 1993. US005776936 [Google Scholar]
- (146).Ostlind DA; Mickle WG; Ewanciw DV; Andriuli FJ; Campbell WC; Hernandez S; Mochales S; Munguira E Efficacy of paraherquamide against immature Trichostrongylus colubriformis in the gerbil (Meriones unguiculatus). Res. Vet. Sci. 1990, 48, 260–261. [PubMed] [Google Scholar]
- (147).Shoop WL; Egerton JR; Eary CH; Suhayda D Anthelmintic activity of paraherquamide in sheep. J. Parasitol. 1990, 76, 349–351. [PubMed] [Google Scholar]
- (148).Shoop WL; Eary CH; Michael BF; Haines HW; Seward RL Anthelmintic activity of paraherquamide in dogs. Vet. Parasitol. 1991, 40, 339–341. [DOI] [PubMed] [Google Scholar]
- (149).Shoop WL; Haines HW; Eary CH; Michael BF Acute toxicity of paraherquamide and its potential as an anthelmintic. Am. J. Vet. Res. 1992, 53, 2032–2034. [PubMed] [Google Scholar]
- (150).Lee BH; Clothier MF; Dutton FE; Nelson SJ; Johnson SS; Thompson DP; Geary TG; Whaley HD; Haber CL; Marshall VP; Kornis GI; McNally PL; Ciadella JI; Martin DG; Bowman JW; Baker CA; Coscarelli EM; Alexander-Bowman SJ; Davis JP; Zinser EW; Wiley V; Lipton MF; Mauragis MA Marcfortine and paraherquamide class of anthelmintics: discovery of PNU-141962. Curr. Top. Med. Chem. 2002, 2, 779–793. [DOI] [PubMed] [Google Scholar]
- (151).Kaminsky R; Bapst B; Stein PA; Strehlau GA; Allan BA; Hosking BC; Rolfe PF; Sager H Differences in efficacy of monepantel, derquantel and abamectin against multi-resistant nematodes of sheep. Parasitol. Res. 2011, 109, 19–23. [DOI] [PMC free article] [PubMed] [Google Scholar]
- (152).Little PR; Hodge A; Watson TG; Seed JA; Maeder SJ Field efficacy and safety of an oral formulation of the novel combination anthelmintic, derquantel-abamectin, in sheep in New Zealand. N. Z. Vet. J. 2010, 58, 121–129. [DOI] [PMC free article] [PubMed] [Google Scholar]
- (153).Vinale F; Salvatore MM; Nicoletti R; Staropoli A; Manganiello G; Venneri T; Borrelli F; Della Greca M; Salvatore F; Andolfi A Identification of the main metabolites of a marine-derived strain of Penicillium brevicompactum using LC and GC MS techniques. Metabolites 2020, 10, 55. [DOI] [PMC free article] [PubMed] [Google Scholar]
- (154).Russell R; Paterson M; Kemmelmeier C Gradient high-performance liquid chromatography using alkylphenone retention indices of insectidical extracts of Penicillium strains. J. Chromatogr. 1989, 483, 153–168. [DOI] [PubMed] [Google Scholar]
- (155).Chen L; Zhu T; Zhu G; Liu Y; Wang C; Piyachaturawat P; Chairoungdua A; Zhu W Bioactive natural products from the marine-derived Penicillium brevicompactum OUCMDZ-4920. Youji Huaxue 2017, 37, 2752–2762. [Google Scholar]
- (156).Bringmann G; Lang G; Steffens S; Schaumann K Petrosifungins A and B, novel cyclodepsipeptides from a sponge-derived strain of Penicillium brevicompactum. J. Nat. Prod. 2004, 67, 311–315. [DOI] [PubMed] [Google Scholar]
- (157).Fischer G; Muller T; Schwalbe R; Ostrowski R; Dott W Species-specific profiles of mycotoxins produced in cultures and associated with conidia of airborne fungi derived from biowaste. Int. J. Hyg. Environ. Health 2000, 203, 105–116. [DOI] [PubMed] [Google Scholar]
- (158).Frisvad JC High-performance liquid chromatographic determination of profiles of mycotoxins and other secondary metabolites. J. Chromatogr. 1987, 392, 333–347. [DOI] [PubMed] [Google Scholar]
- (159).Bultinck P; Cherblanc FL; Fuchter MJ; Herrebout WA; Lo Y-P; Rzepa HS; Siligardi G; Weimar M Chiroptical studies on brevianamide B: vibrational and electronic circular dichroism confronted. J. Org. Chem. 2015, 80, 3359–3367. [DOI] [PubMed] [Google Scholar]
- (160).Paterson RRM; Hawksworth DL Detection of secondary metabolites in dried cultures of Penicillium preserved in herbaria. Trans. Br. Mycol. Soc. 1985, 85, 95–100. [Google Scholar]
- (161).Malysheva SV; Polizzi V; Moretti A; van Peteghem C; Kimpe N; van Bocxlaer J; Di Mavungu JD; Saeger S Untargeted screening of secondary metabolites in fungal cultures and samples from mouldy indoor environments by time-of-flight mass spectrometry. World Mycotoxin Journal 2014, 7, 35–44. [Google Scholar]
- (162).Vesely D; Vesela D; Jelinek R Nineteen mycotoxins tested on chicken embryos. Toxicol. Lett. 1982, 13, 239–245. [DOI] [PubMed] [Google Scholar]
- (163).Miller JD; McMullin DR Fungal secondary metabolites as harmful indoor air contaminants: 10 years on. Appl. Microbiol. Biotechnol. 2014, 98, 9953–9966. [DOI] [PubMed] [Google Scholar]
- (164).Mueller HM; Boley A Studies on the refrigerated storage of wheat (Triticum aestivum). 2. Ergosterol, xanthomegnin, violmellein and brevianamide A after inoculation with Penicillium viridicatum. Zentralbl. Mikrobiol. 1993, 148, 419–431. [PubMed] [Google Scholar]
- (165).Smedsgaard J; Frisvad JC Using direct electrospray mass spectrometry in taxonomy and secondary metabolite profiling of crude fungal extracts. J. Microbiol. Methods 1996, 25, 5–17. [Google Scholar]
- (166).Hallas-Moeller M; Nielsen KF; Frisvad JC Secondary metabolite production by cereal-associated penicillia during cultivation on cereal grains. Appl. Microbiol. Biotechnol. 2018, 102, 8477–8491. [DOI] [PubMed] [Google Scholar]
- (167).Jansen CM; Dose K Simultaneous isolation of xanthomegnin, viomellein, rubrosulphin, viopurpurin, and brevianamide A by preparative HPLC. Mycotoxin Res. 1985, 1, 11–18. [DOI] [PubMed] [Google Scholar]
- (168).Zain ME; El-Sheikh HH; Soliman HG; Khalil AM Effect of certain chemical compounds on secondary metabolites of Penicillium janthinellum and P. duclauxii. J. Saudi Chem. Soc. 2011, 15, 239–246. [Google Scholar]
- (169).Paterson RRM Standardized one- and two-dimensional thin-layer chromatographic methods for the identification of secondary metabolites in Penicillium and other fungi. J. Chromatogr. 1986, 368, 249–264. [DOI] [PubMed] [Google Scholar]
- (170).Wang F; Sarotti AM; Jiang G; Huguet-Tapia JC; Zheng S-L; Wu X; Li C; Ding Y; Cao S Waikikiamides A–C: complex diketopiperazine dimer and diketopiperazine-polyketide hybrids from a Hawaiian marine fungal strain Aspergillus sp. FM242. Org. Lett. 2020, 22, 4408–4412. [DOI] [PMC free article] [PubMed] [Google Scholar]
- (171).Gao S; Tian WJ; Liao ZJ; Wang GH; Zeng DQ; Liu XZ; Wang XY; Zhou H; Chen HF; Lin T Chemical constituents from endophytic fungus Annulohypoxylon cf. stygium in leaves of Anoectochilus roxburghii. Chem. Biodivers. 2020, 17, e2000424. [DOI] [PubMed] [Google Scholar]
- (172).Sugimoto K; Sadahiro Y; Kagiyama I; Kato H; Sherman DH; Williams RM; Tsukamoto S Isolation of amoenamide A and five antipodal prenylated alkaloids from Aspergillus amoenus NRRL 35600. Tetrahedron Lett. 2017, 58, 2797–2800. [DOI] [PMC free article] [PubMed] [Google Scholar]
- (173).Cui C-M; Li X-M; Li C-S; Sun H-F; Gao S-S; Wang B-G Benzodiazepine alkaloids from marine-derived endophytic fungus Aspergillus ochraceus. Helv. Chim. Acta 2009, 92, 1366–1370. [Google Scholar]
- (174).Wang X; You J; King JB; Powell DR; Cichewicz RH Waikialoid A suppresses hyphal morphogenesis and inhibits biofilm development in pathogenic Candida albicans. J. Nat. Prod. 2012, 75, 707–715. [DOI] [PMC free article] [PubMed] [Google Scholar]
- (175).Cai S; Luan Y; Kong X; Zhu T; Gu Q; Li D Isolation and photoinduced conversion of 6-epi-stephacidins from Aspergillus taichungensis. Org. Lett. 2013, 15, 2168–2171. [DOI] [PubMed] [Google Scholar]
- (176).Wang B; Park EM; King JB; Mattes AO; Nimmo SL; Clendinen C; Edison AS; Anklin C; Cichewicz RH Transferring fungi to a deuterium-enriched medium results in assorted, conditional changes in secondary metabolite production. J. Nat. Prod. 2015, 78, 1415–1421. [DOI] [PMC free article] [PubMed] [Google Scholar]
- (177).Frank M; Özkaya FC; Müller WEG; Hamacher A; Kassack MU; Lin W; Liu Z; Proksch P Cryptic secondary metabolites from the sponge-associated fungus Aspergillus ochraceus. Mar. Drugs 2019, 17, 99. [DOI] [PMC free article] [PubMed] [Google Scholar]
- (178).Liu L; Wang L; Bao L; Ren J; Bahadur Basnet B; Liu R; He L; Han J; Yin W-B; Liu H Versicoamides F–H, prenylated indole alkaloids from Aspergillus tennesseensis. Org. Lett. 2017, 19, 942–945. [DOI] [PubMed] [Google Scholar]
- (179).Nussbaum F Stephacidin B—A new stage of complexity within prenylated indole alkaloids from fungi. Angew. Chem. Int. Ed. 2003, 42, 3068–3071. [DOI] [PubMed] [Google Scholar]
- (180).Mikkola R; Andersson MA; Hautaniemi M; Salkinoja-Salonen MS Toxic indole alkaloids avrainvillamide and stephacidin B produced by a biocide tolerant indoor mold Aspergillus westerdijkiae. Toxicon 2015, 99, 58–67. [DOI] [PubMed] [Google Scholar]
- (181).Wulff JE; Herzon SB; Siegrist R; Myers AG Evidence for the rapid conversion of stephacidin B into the electrophilic monomer avrainvillamide in cell culture. J. Am. Chem. Soc. 2007, 129, 4898–4899. [DOI] [PMC free article] [PubMed] [Google Scholar]
- (182).Herzon SB; Myers AG Enantioselective synthesis of stephacidin B. J. Am. Chem. Soc. 2005, 127, 5342–5344. [DOI] [PubMed] [Google Scholar]
- (183).Whyte AC; Gloer JB; Wicklow DT; Dowd PF Sclerotiamide: a new member of the paraherquamide class with potent antiinsectan activity from the sclerotia of Aspergillus sclerotiorum. J. Nat. Prod. 1996, 59, 1093–1095. [DOI] [PubMed] [Google Scholar]
- (184).Lavey NP; Coker JA; Ruben EA; Duerfeldt AS Sclerotiamide: the first non-peptide-based natural product activator of bacterial caseinolytic protease P. J. Nat. Prod. 2016, 79, 1193–1197. [DOI] [PMC free article] [PubMed] [Google Scholar]
- (185).Peng J; Zhang X-Y; Tu Z-C; Xu X-Y; Qi S-H Alkaloids from the deep-sea-derived fungus Aspergillus westerdijkiae DFFSCS013. J. Nat. Prod. 2013, 76, 983–987. [DOI] [PubMed] [Google Scholar]
- (186).Zhang X-Y; Xu X-Y; Peng J; Ma C-F; Nong X-H; Bao J; Zhang G-Z; Qi S-H Antifouling potentials of eight deep-sea-derived fungi from the South China Sea. J. Ind. Microbiol. Biotechnol. 2014, 41, 741–748. [DOI] [PubMed] [Google Scholar]
- (187).Guo X; Meng Q; Liu J; Wu J; Jia H; Liu D; Gu Y; Liu J; Huang J; Fan A; Lin W Sclerotiamides C–H, notoamides from a marine gorgonian-derived fungus with cytotoxic activities. J. Nat. Prod. 2022, 85, 1067–1078. [DOI] [PubMed] [Google Scholar]
- (188).Kai A; Kato H; Sherman DH; Williams RM; Tsukamoto S Isolation of a new indoxyl alkaloid, amoenamide B, from Aspergillus amoenus NRRL 35600: biosynthetic implications and correction of the structure of Speramide B. Tetrahedron Lett. 2018, 50, 4236–4240. [DOI] [PMC free article] [PubMed] [Google Scholar]
- (189).Andresen V; Erikstein BS; Mukherjee H; Sulen A; Popa M; Soernes S; Reikvam H; Chan K-P; Hovland R; McCormack E; Bruserud O; Myers AG; Gjertsen BT Antiproliferative activity of the NPM1 interacting natural product avrainvillamide in acute myeloid leukemia. Cell Death Dis. 2016, 7, e2497. [DOI] [PMC free article] [PubMed] [Google Scholar]
- (190).Sugie Y; Hirai H; Inagaki T; Ishiguro M; Kim Y-J; Kojima Y; Sakakibara T; Sakemi S; Sugiura A; Suzuki Y; Brennan L; Duignan J; Huang LH; Sutcliffe J; Kojima N A new antibiotic CJ-17,665 from Aspergillus ochraceus. J. Antibiot. 2001, 54, 911–916. [DOI] [PubMed] [Google Scholar]
- (191).Fenical W; Jensen PR; Cheng XC Avrainvillamide, a cytotoxic marine natural product, and derivatives thereof. 2000. US006066635 [Google Scholar]
- (192).Wulff JE; Siegrist R; Myers AG The natural product avrainvillamide binds to the oncoprotein nucleophosmin. J. Am. Chem. Soc. 2007, 129, 14444–14451. [DOI] [PMC free article] [PubMed] [Google Scholar]
- (193).Grubbs AW; Artman GD; Williams RM Concise syntheses of the 1,7-dihydropyrano[2,3-g]indole ring system of the stephacidins, aspergamides and norgeamides. Tetrahedron Lett. 2005, 46, 9013–9016. [Google Scholar]
- (194).Li H; Sun W; Deng M; Zhou Q; Wang J; Liu J; Chen C; Qi C; Luo Z; Xue Y; Zhu H; Zhang Y Asperversiamides, linearly fused prenylated indole alkaloids from the marine-derived fungus Aspergillus versicolor. J. Org. Chem. 2018, 83, 8483–8492. [DOI] [PubMed] [Google Scholar]
- (195).Zhang P; Li X-M; Wang J-N; Li X; Wang B-G Prenylated indole alkaloids from the marine-derived fungus Paecilomyces variotii. Chin. Chem. Lett. 2015, 26, 313–316. [Google Scholar]
- (196).Zhao D-L; Huo X-Y; Li P-P; Yuan X-L; Li S-Y; Du L; Huang L-J; Zhang P Asperinamide A, an anti-inflammatory prenylated indole alkaloid possessing an unprecedented bicyclo[2.2.2]diazaoctane fused with substituted piperidine scaffold from Aspergillus sp. TE-65L. Tetrahedron 2023, 149, 133744. [Google Scholar]
- (197).Chen Y; Wang S-P; Xu L-C; Liang C; Liu G-D; Ji X; Luo W-H; Liu S; Zhang Z-X; Cao G-Y Aspertaichamide a, a novel cytotoxic prenylated indole alkaloid possessing a bicyclo[2.2.2]diazaoctane framework from a marine algal-derived endophytic fungus Aspergillus taichungensis 299. Fitoterapia 2024, 172, 105763. [DOI] [PubMed] [Google Scholar]
- (198).Wu C-J; Li C-W; Gao H; Huang X-J; Cui C-B Penicimutamides D–E: two new prenylated indole alkaloids from a mutant of the marine-derived Penicillium purpurogenum G59. RSC Adv. 2017, 7, 24718–24722. [Google Scholar]
- (199).Sherman DH; Fraley AE; Tripathi A Variant flavin-dependent halogenase from Malbranchea and their use for halogenation of malbrancheamides. 2020. US 20200048617 USA
- (200).Nishikori S; Takemoto K; Kamisuki S; Nakajima S; Kuramochi K; Tsukuda S; Iwamoto M; Katayama Y; Suzuki T; Kobayashi S; Watashi K; Sugawara F Anti-hepatitis C virus natural product from a fungus, Penicillium herquei. J. Nat. Prod. 2016, 79, 442–446. [DOI] [PubMed] [Google Scholar]
- (201).Zinser Erich W.; Wolf Mark L.; Alexander-Bowman Susan J.; Thomas Eileen M.; Davis John P.; Groppi Vincent E.; Lee Byung H.; Thompson David P.; Geary Timothy G. Anthelmintic paraherquamides are cholinergic antagonists in gastrointestinal nematodes and mammals. J. Vet. Pharmacol. Ther. 2002, 25, 241–250. [DOI] [PubMed] [Google Scholar]
- (202).Antia BS; Aree T; Kasettrathat C; Wiyakrutta S; Ekpa OD; Ekpe UJ; Mahidol C; Ruchirawat S; Kittakoop P Itaconic acid derivatives and diketopiperazine from the marine-derived fungus Aspergillus aculeatus CRI322–03. Phytochemistry 2011, 72, 816–820. [DOI] [PubMed] [Google Scholar]
- (203).Hayashi H; Nishimoto Y; Nozaki H Asperparaline A, a new paralytic alkaloid from Aspergillus japonicus JV-23. Tetrahedron Lett. 1997, 38, 5655–5658. [Google Scholar]
- (204).Hayashi H; Nishimoto Y; Akiyama K; Nozaki H New paralytic alkaloids, asperparalines A, B and C, from Aspergillus japonicus JV-23. Biosci. Biotechnol. Biochem. 2000, 64, 111–115. [DOI] [PubMed] [Google Scholar]
- (205).Mercado-Marin EV; Garcia-Reynaga P; Romminger S; Pimenta EF; Romney DK; Lodewyk MW; Williams DE; Andersen RJ; Miller SJ; Tantillo DJ; Berlinck RGS; Sarpong R Total synthesis and isolation of citrinalin and cyclopiamine congeners. Nature 2014, 509, 318–324. [DOI] [PMC free article] [PubMed] [Google Scholar]
- (206).Lee C; Sohn JH; Jang J-H; Ahn JS; Oh H; Baltrusaitis J; Hwang IH; Gloer JB Cycloexpansamines A and B: spiroindolinone alkaloids from a marine isolate of Penicillium sp. (SF-5292). J. Antibiot. 2015, 68, 715–718. [DOI] [PubMed] [Google Scholar]
- (207).Zhang P; Li X-M; Liu H; Li X; Wang B-G Two new alkaloids from Penicillium oxalicum EN-201, an endophytic fungus derived from the marine mangrove plant Rhizophora stylosa. Phytochemistry Letters 2015, 13, 160–164. [Google Scholar]
- (208).Hu X-L; Bian X-Q; Wu X; Li J-Y; Hua H-M; Pei Y-H; Han A-H; Bai J Penioxalamine A, a novel prenylated spiro-oxindole alkaloid from Penicillium oxalicum TW01–1 Tetrahedron Lett. 2014, 55, 3864–3867. [Google Scholar]
- (209).Sumarah MW; Miller JD; Blackwell BA Isolation and metabolite production by Penicillium roqueforti, P. paneum and P. crustosum isolated in Canada. Mycopathologia 2005, 159, 571–577. [DOI] [PubMed] [Google Scholar]
- (210).Rasmussen RR; Rasmussen PH; Larsen TO; Bladt TT; Binderup ML In vitro cytotoxicity of fungi spoiling maize silage. Food Chem. Toxicol. 2010, 49, 31–44. [DOI] [PubMed] [Google Scholar]
- (211).Polonsky J; Merrien MA; Prange T; Pascard C; Moreau S Isolation and structure (X-ray analysis) of marcfortine A, a new alkaloid from Penicillium roqueforti. J. Chem. Soc., Chem. Commun. 1980, 601–602. [Google Scholar]
- (212).Prange T; Billion MA; Vuilhorgne M; Pascard C; Polonsky J; Moreau S Structures of marcfortine B and C (X-ray analysis), alkaloids from Penicillium roqueforti. Tetrahedron Lett. 1981, 22, 1977–1980. [Google Scholar]
- (213).Mioso R; Toledo Marante FJ; Herrera Bravo de Laguna I. Penicillium roqueforti: a multifunctional cell factory of high value-added molecules. J. Appl. Microbiol. 2015, 118, 781–791. [DOI] [PubMed] [Google Scholar]
- (214).Capon RJ; Skene C; Stewart M; Ford J; O’Hair RAJ; Williams L; Lacey E; Gill JH; Heiland K; Friedel T Aspergillicins A–E: five novel depsipeptides from the marine-derived fungus Aspergillus carneus. Org. Biomol. Chem. 2003, 1, 1856–1862. [DOI] [PubMed] [Google Scholar]
- (215).Lin Z; Wen J; Zhu T; Fang Y; Gu Q; Zhu W Chrysogenamide A from an endophytic fungus associated with Cistanche deserticola and its neuroprotective effect on SH-SY5Y cells. J. Antibiot. 2008, 61, 81–85. [DOI] [PubMed] [Google Scholar]
- (216).Costa JH; Wassano CI; Angolini CFF; Scherlach K; Hertweck C; Pacheco Fill T Antifungal potential of secondary metabolites involved in the interaction between citrus pathogens. Sci. Rep. 2019, 9, 18647. [DOI] [PMC free article] [PubMed] [Google Scholar]
- (217).Yang B; Dong J; Lin X; Zhou X; Zhang Y; Liu Y New prenylated indole alkaloids from fungus Penicillium sp. derived of mangrove soil sample. Tetrahedron 2014, 70, 3859–3863. [Google Scholar]
- (218).Yang B; Tao H; Lin X; Wang J; Liao S; Dong J; Zhou X; Liu Y Prenylated indole alkaloids and chromone derivatives from the fungus Penicillium sp. SCSIO041218. Tetrahedron 2018, 74, 77–82. [Google Scholar]
- (219).Kwon J; Seo YH; Lee J-E; Seo E-K; Li S; Guo Y; Hong S-B; Park S-Y; Lee D Spiroindole alkaloids and spiroditerpenoids from Aspergillus duricaulis and their potential neuroprotective effects. J. Nat. Prod. 2015, 78, 2572–2579. [DOI] [PubMed] [Google Scholar]
- (220).Fraley AE; Sherman DH Enzyme evolution in fungal indole alkaloid biosynthesis. FEBS J. 2020, 287, 1381–1402. [DOI] [PMC free article] [PubMed] [Google Scholar]
- (221).Fraley AE; Sherman DH Halogenase engineering and its utility in medicinal chemistry. Bioorg. Med. Chem. Lett. 2018, 28, 1992–1999. [DOI] [PMC free article] [PubMed] [Google Scholar]
- (222).Klas K; Tsukamoto S; Sherman DH; Williams RM Natural Diels–Alderases: elusive and irresistable. J. Org. Chem. 2015, 80, 11672–11685. [DOI] [PMC free article] [PubMed] [Google Scholar]
- (223).Finefield JM; Sherman DH; Kreitman M; Williams RM Enantiomeric natural products: occurrence and biogenesis. Angew. Chem. Int. Ed. Engl. 2012, 51, 4802–4836. [DOI] [PMC free article] [PubMed] [Google Scholar]
- (224).Finefield JM; Frisvad JC; Sherman DH; Williams RM Fungal origins of the bicyclo[2.2.2]diazaoctane ring system of prenylated indole alkaloids. J. Nat. Prod. 2012, 75, 812–833. [DOI] [PMC free article] [PubMed] [Google Scholar]
- (225).Stocking EM; Williams RM Chemistry and biology of biosynthetic Diels-Alder reactions. Angew. Chem. Int. Ed. 2003, 42, 3078–3115. [DOI] [PubMed] [Google Scholar]
- (226).Williams RM; Cox RJ Paraherquamides, brevianamides, and asperparalines: laboratory synthesis and biosynthesis. An interim report. Acc. Chem. Res. 2003, 36, 127–139. [DOI] [PubMed] [Google Scholar]
