Abstract
Background
Microalgae, as major primary producers on Earth, are constantly exposed to oxidative stresses from various natural environments. These oxidative stresses often seriously threaten the productivity and species composition of microalgae. However, how microalgae resist oxidative stress is still largely unknown.
Results
Here, we identified the carbohydrate metabolism intermediate uridine diphosphate glucose (UDPG) from the model microalga Phaeodactylum tricornutum as a positive regulator in response to oxidative stresses. Under oxidative stresses induced by hydrogen peroxide and high temperature, exogenous addition of UDPG and overexpression of the UDP-glucose pyrophosphorylase gene (UGPase), a key gene for intracellular UDPG synthesis, both increased oxidative stress tolerance in P. tricornutum. The algal cells mainly showed reduced reactive oxygen species (ROS) production, the content of malondialdehyde, and cell death rate, together with enhanced antioxidant enzyme activities. By contrast, the reduction of UDPG content in UGPase knockout strain resulted in aggravated oxidative damage. Physiological/biochemical evidence combined with transcriptomic and quantitative PCR analyses further showed that UDPG activated the upregulated expression of genes associated with photosynthesis under oxidative stress conditions and decreased oxidative stress damage to photosynthesis, which contributed to increase the photosynthetic activity and reduce the excitation pressure of the photosynthetic electron transport chain, and in turn inhibiting ROS production.
Conclusions
Our findings unveil that UDPG is involved in the regulation of oxidative stress response in P. tricornutum, providing a worthy target for improving stress tolerance in microalgae.
Supplementary Information
The online version contains supplementary material available at 10.1186/s12870-025-06587-7.
Keywords: Phaeodactylum tricornutum, Uridine diphosphate glucose, Environmental stresses, Antioxidant capacity, Photosynthesis
Background
Microalgae are photosynthetic organisms widely spread in various aquatic environments responsible for ∼50% of global primary productivity, playing important roles in the food webs and biogeochemical cycling of carbon [1–3]. The complex and variable environmental conditions such as high temperature, dynamic light, and nutrient deficiencies can trigger the accumulation of reactive oxygen species (ROS) and induce oxidative stress, which seriously threatens the productivity and species composition of microalgae [4, 5]. In photosynthetic organisms, chloroplasts are the main sites of ROS production under stress conditions [6, 7]. Various ROS, including singlet oxygen, superoxide, and hydrogen peroxide (H2O2), are produced when the photosynthetic electron transport process in chloroplasts is damaged [4]. The excessive accumulation of ROS disrupts cellular structure and biochemical activities of biomolecules [8, 9]. Thus, microalgae are required to inhibit the excessive accumulation of ROS by multiple antioxidant mechanisms under stressful environments.
Studies suggest that land plants have multiple pathways for reducing ROS production and scavenging ROS, including nonphotochemical quenching [10], photorespiration [11], together with enzymatic and nonenzymatic antioxidant systems [12]. In microalgae, metabolites and enzymes with antioxidant capacity such as carotenoids (astaxanthin, fucoxanthin, etc.), catalase, and glutathione peroxidase have also been extensively studied and their involvement in ROS handling has been confirmed [5, 13]. However, how microalgae withstand oxidative stress remains largely unknown compared to the detailed understanding of antioxidant mechanisms in land plants. Recently, researchers found that the transcription factor BLZ8 reduced the excitation pressure of the photosynthetic electron transport chain by activating carbon-concentrating mechanism under oxidative stress, thereby reducing ROS production and improving oxidative stress tolerance in Chlamydomonas reinhardtii [4]. The results of this study suggested that photosynthesis was a key pathway for microalgae to withstand oxidative stress.
Interestingly, our research group in previous studies found that the carbohydrate metabolism intermediate uridine diphosphate glucose (UDPG) significantly improved photosynthesis in the marine diatom Phaeodactylum tricornutum [14]. We also observed that overexpression of UDP-glucose pyrophosphorylase gene (UGPase) that synthesizes UDPG markedly changed the expression levels of genes related to ROS metabolism and cell death in normal cultivation [15]. The above findings remind us that UDPG may influence ROS production or scavenging in microalgae by regulating photosynthesis. So far, researches on UDPG have focused on animals and higher plants, and UDPG has been shown to function as a potential signaling molecule [16–18]. However, the function of UDPG in microalgae remains unclear. Considering the potential functions of UDPG identified in our previous studies, this study addressed the question of whether UDPG functioned in microalgae tolerance to oxidative stress.
In this study, we revealed that UDPG was an important factor in regulating the tolerance of P. tricornutum to several ROS-inducing environmental stresses. By combining genetic, biochemical and physiological, we found that UDPG reduced the damage of oxidative stress on photosynthesis under oxidative stress conditions, which contributed to reduce the excitation pressure of the photosynthetic electron transport chain, thereby inhibiting the production of ROS and improving oxidative stress tolerance of algal cells. These results reveal the important role of UDPG in regulating oxidative stress tolerance in microalgae.
Materials and methods
Strains and growth conditions
All the algal strains (P. tricornutum CCAP1055/1, UGPase overexpression and UGPase knockout strains) used in this study were preserved in Laboratory of Applied Microalgae Biology, Ocean University of China. Among them, UGPase overexpression and knockout strains were obtained from our previous study. To obtain UGPase overexpression strains, the full-length coding sequences of UGPase were amplified from P. tricornutum. UGPase was inserted into the pPha-T1 vector using two enzymatic sites, Xbal I and Hind III, to construct the UGPase overexpression vector. Next, we introduced the overexpression vector into wild-type (WT) strain (P. tricornutum CCAP1055/1) by a Bio-Rad Biolistic PDS-1000/He particle-delivery system (Bio-Rad, USA). Then, the algal cells were cultured on f/2 solid medium (containing 1% agar) supplemented with 100 µg mL− 1 Zeocin™ to screen and obtain UGPase overexpression strains. To obtain UGPase knockout strains, we designed guide sequences using an online program (http://crispor.tefor.net/). The designed oligonucleotide corresponding to the predicted gRNA binding site and the complementary oligonucleotide were synthesized, and then phosphorylated and annealed to generate annealed products. The annealed products described above were inserted into the pKS diaCas9_sgRNA vector to form the knockout vector. Antibiotic zeocin resistance was provided by the pPha-T1 vector. The pKS diaCas9_sgRNA knockout and pPha-T1vectors were co-transformed into WT P. tricornutum using a Bio-Rad Biolistic PDS-1000/He particle-delivery system, and screened for UGPase knockout strains on f/2 solid medium (containing 1% agar) supplemented with 100 µg mL− 1 Zeocin™. Finally, we identified the overexpression and knockout strains by intracellular UDPG content detection to ensure that overexpression and knockout of UGPase were achieved.
All of the above algal strains were grown in sterile f/2 medium. There cultures were cultured in the light incubator at a temperature of 22°C, with a light intensity of 100 µmol photons m− 2 s− 1 and light/dark photoperiod of 12:12 h. Moreover, the H2O2 concentration used in H2O2-induced oxidative stress was 20 mg L− 1, and the temperature used in the high temperature-induced oxidative stress was 35°C.
Detection of UDPG content in algal cells
UDPG extraction from algal cells using the method described by previous research [19]. In brief, algal cells were collected by centrifugation at room temperature. The collected algal cells were freeze-dried using a vacuum freeze-dryer to obtain algal powder. 600 µL of ice-cold chloroform/methanol solution (3:7, v/v) was added to 50 mg of algae powder and homogenized using a biological sample homogenizer (Allsheng, Bioprep-6, China). Then, the samples were incubated at -20°C for 2 h and mixed thoroughly with 400 µL of ice-cold water. Low temperature and high-speed centrifugation to obtain the upper extraction solution. After repeating the above extraction steps twice, the extracts were combined for freeze-drying. The dried extracts were dissolved and purified using 1 mL of 10 mM ammonium bicarbonate and the ENVI-Carb SPE columns (Sigma-Aldrich). Finally, the purified extracts were detected for UDPG content using a plant UDPG enzyme-linked immunosorbent assay kit (Mlbio, Shanghai, China) according to the manufacturer’s instructions.
Analysis of growth performance
To monitor the growth of all strains, the OD values of the algae strains at 750 nm were measured using a UV-3310 spectrophotometer (Hitachi, Tokyo, Japan) and growth curves were constructed. The specific growth rate (µ, d− 1) was calculated from OD 750 nm values using the following equation: (lnNt − lnNt0) / (t − t0), where Nt and Nt0 are OD 750 nm at time t and t0, respectively [20].
Detection of cell death rate and ROS production
To detect the cellular death rate of P. tricornutum under H2O2- and high temperature-induced oxidative stress, dead cells were identified using SYTOX Green (1 µM, Invitrogen) based on our previous study [15]. In brief, low-speed centrifugation was used to collect 2 mL of H2O2 and high temperature treated algal cells, and 500 µL of f/2 medium was added to resuspend the algal cells after discarding the supernatant. Then, 5 µL of SYTOX Green was added to 500 µL of algal cell solution to 1 µM final concentration and the reaction was carried out for 30 min at 25°C in the dark. After washing twice with ddH2O, algal cells were detected using a flow cytometry at an excitation wavelength of 488 nm and an emission wavelength of 520 nm. Finally, data were collected and analyzed using CytExpert 2.3, and cell death rate was determined by calculating the percentage of SYTOX-positive cells in the total number of microalgal cells.
ROS production in H2O2 and high temperature treated algal strains was determined using 2´,7´-dichlorodihydrofluorescein diacetate (DCFH-DA, Sigma) as described by previous research [21]. Briefly, low-speed centrifugation was used to collect 2 mL of H2O2 and high temperature treated algal cells, and 500 µL of f/2 medium was added to resuspend the algal cells after discarding the supernatant. Then, 5 µL of DCFH-DA (500 µM) was added to 500 µL of algal cell solution and the reaction was carried out for 30 min at 25°C in the dark. After washing twice with ddH2O, algal cells were detected using a flow cytometry at an excitation wavelength of 488 nm and an emission wavelength of 520 nm. Finally, ROS production was determined by calculating the percentage of DCF-positive cells in the total number of microalgal cells using CytExpert 2.3.
Measurement of malondialdehyde (MDA) content as well as ascorbate peroxidase (APX) and superoxide dismutase (SOD) activities
MDA content was measured using the MDA content assay kit (Solarbio, China). In brief, low-speed centrifugation was used to collect 20 mL of H2O2 and high temperature treated algal cells. After discarding the supernatant, the harvested cell pellet was resuspended in 2 mL of extraction solution and was crushed by an ultrasonic cell crusher (Ningbo Scientz Biotechnology Co., Ltd.) under 25% power for 15 min. The crushed algal cells were centrifuged at low temperature and high-speed to obtain the supernatant. The absorbance values of the samples at 532 and 600 nm were determined using a microplate reader (Synergy HT, BioTek, USA) according to the manufacturer’s protocol and the MDA content was calculated from the protein concentration.
APX and SOD activities were measure using APX activity assay kit and SOD activity assay kit (Solarbio, China), respectively. In brief, H2O2 and high temperature treated algal cells were collected, then 2 mL of extraction solution was added and ultrasonically crushed according to the method of MDA assay. The crushed algal cells were centrifuged at low temperature and high-speed to obtain the supernatant. For APX activity assays, absorbance values of samples at 450 nm for 10 s and 130 s were measured using a microplate reader according to the manufacturer’s protocol and APX activity was calculated based on protein concentration. For SOD activity assays, absorbance values of samples at 450 nm were measured using a microplate reader according to the manufacturer’s protocol and SOD activity was calculated based on protein concentration.
Measurement of protein concentration
Soluble proteins concentration was measured using the BCA method (Solarbio, China). First, standards of different concentrations were prepared according to the manufacturer’s protocol. Then, 20 µL of samples (supernatant obtained by centrifugation after ultrasonically crushing during the MDA content, APX and SOD activities assay) and different concentrations of standards were mixed with 200 µL of BCA working solution and reacted at 37°C for 25 min. The absorbance values of the samples and standards at 562 nm were measured using a microplate reader, respectively. Finally, the standard curve was established based on the absorbance values of the standards at different concentrations, and then the sample protein concentration was calculated using the sample absorbance values and the standard curve.
Transcriptome profiling using RNA sequencing (RNA-seq)
Transcriptome profiling of P. tricornutum under normal culture and H2O2 stress using RNA-seq. Total RNA from algal cells was extracted using the RNAprep pure plant kit (Tiangen, China) according to the manufacturer’s instructions. The concentration, purity, and integrity of the extracted RNA were determined using the NanoDrop 2000 (Thermo Fisher Scientific, USA) and the RNA Nano 6000 Assay Kit of the Agilent Bioanalyzer 2100 system (Agilent Technologies, USA). Sequencing libraries were generated using Hieff NGS Ultima Dual-mode mRNA Library Prep Kit for Illumina (Yeasen Biotechnology, China), the index codes were added to the sequence of each sample, and the quality of the constructed libraries was assessed by the Agilent Bioanalyzer 2100 system. After the quality of the library was qualified, sequencing was performed using an Illumina NovaSeq platform of Biomarker Technologies Co., Ltd. (Beijing, China). The raw data from sequencing were further processed using BMKCloud (www.biocloud.net) online platform. The processed high quality clean data were mapped to the reference genome of P. tricornutum (NCBI: GCA_000150955.2ASM15095v2) using Hisat2 tools soft. Gene abundance was quantified using StringTie v1.3.1 and RSEM software. Differentially expressed genes (DEGs) were analyzed between normal culture and H2O2 stress using DESeq2 software. Genes with a false discovery rate (FDR) < 0.05 and|log2fold change| ≥1 were assigned as DEGs. Finally, DEGs were analyzed for gene ontology (GO) and kyoto encyclopedia of genes and genomes (KEGG) enrichment.
Transcript analysis using quantitative PCR (qPCR)
Total RNA was extracted and purified from algal strains using the Total RNA Kit I (Omega Bio-Tek, USA). Briefly, 50 mL of algal cells were collected by low temperature and high-speed centrifugation as well as ground using liquid nitrogen. After grinding was completed, the algal cells were mixed thoroughly with 1 mL of RNA-solv reagant, and RNA was extracted and purified according to the manufacturer’s protocol. Then, the RNA was reverse transcribed into cDNA and analyzed by qPCR using the Applied Biosystems QuantStudio5 Real-Time PCR System with Fast SYBR Green Master Mix. During qPCR analysis, the histone H4 gene served as the internal control [22] and the relative gene expression levels were calculated according to the 2−ΔΔCt method [23]. All primers used in the qPCR analysis were shown in Table S1.
Determination of cellular photosynthetic pigments
To extract photosynthetic pigments from algal cells, we first filtered 5 mL of culture through GF/F glass fiber (25 mm, Whatman, UK), then put it into 3 mL of 90% acetone for 24 h at 4°C in the dark. Next, the supernatant was obtained by centrifugation of the extract at low temperature (4°C) and high-speed (8000 ×g), and the absorbance values of the supernatant at 480, 510, 630, 647, 664 and 750 nm were determined using a spectrophotometer (UV-8000, Metash, China). The equations for calculating the concentration of different photosynthetic pigments were given below [24]:
Chlorophyll a content (µg mL− 1) = 11.85 E664 − 1.54 E647 − 0.08 E630.
Chlorophyll c content (µg mL− 1) = 24.52 E630 − 1.67 E664 − 7.60 E647.
Carotenoids content (µg mL− 1) = 7.6 (E480 − 1.49 E510).
where E is the absorbance at these different wavelengths (corrected by the reading of 750 nm). The actual pigment contents in each cell were calculated by the following formula:
µg pigment cell− 1 = (C × v) / (V × N).
where v is the volume of acetone (3 mL), V is the volume of culture (5 mL), C is the concentration of each pigment (µg mL− 1), N is the cell density in the culture (104 cells mL− 1).
Analysis of photosynthesis-related parameters
To analyze the photosynthetic performance of P. tricornutum under normal culture and H2O2 stress, we measured the chlorophyll fluorescence parameters and photosynthetic O2 evolution rate in these algal strains. Before chlorophyll fluorescence parameters measurements, 2 mL of algal cells were dark-acclimated for 15 min. Then, chlorophyll fluorescence parameters were monitored with a PAM fluorometer (Water-PAM, Walz, Germany), and nonphotochemical quenching (NPQ), the maximum quantum yield of photosystem II (PSII) (Fv/Fm), the effective quantum yield of PSII [Y(II)], the relative electron transport rate (rETR), the proportion of the closed PSII reaction center (1-qP) were obtained by analyzing induction curves. Photosynthetic O2 evolution rate of all algal strains was measured using a Chlorolab 2 + oxygen electrode system (Hansatech, Norfolk, UK). During the measurement, the light intensity was 100 µmol photons m− 2 s− 1 and the temperature was 22°C. Data analysis was performed using OxyTrace + software.
Statistical analysis
The data in this study were presented as mean ± standard deviation (SD). Origin 9.0 was used to calculate the mean and SD of the data, and the data were analyzed statistically by GraphPad Prism 9.0 and SPSS 26.0. Significant differences between samples were determined by one-way ANOVA and Tukey post hoc test, with P < 0.05 considered statistically significant.
Results
UDPG improves the tolerance of H2O2-induced oxidative stress in P. tricornutum
To investigate the function of UDPG in oxidative stress response, we analyzed the effect of exogenous UDPG on the oxidative stress tolerance in P. tricornutum. By measuring the content of UDPG in algal cells, we found that exogenous addition of different concentrations of UDPG increased the UDPG content in cells, where no significant difference was observed between 500 and 600 µM UDPG treatments (Fig. 1A). In order to further determine the optimal exogenous UDPG concentration, we examined the antioxidant characteristics of P. tricornutum under normal culture. As with the cellular UDPG content, there were also no significant differences in these antioxidant characteristics of P. tricornutum under 500 and 600 µM UDPG treatments (Fig. S1). Based on these findings, 500 µM was selected as the optimal concentration of exogenous UDPG for subsequent studies. Next, we analyzed the role of exogenous UDPG upon H2O2-induced oxidative stress. The results revealed that algal cells were severely oxidative damaged under H2O2 stress, whereas exogenous addition of 500 µM UDPG attenuated the oxidative damage, which was mainly reflected by improved growth performance (Fig. 1B, C), decreased cell death rate, ROS production and MDA content (Fig. 1D-F), as well as increased antioxidant enzyme activities (Fig. 1G-I). These results indicated that exogenous UDPG could enhance oxidative stress tolerance in P. tricornutum.
Fig. 1.
Effect of exogenous addition of 500 µM UDPG on oxidative stress tolerance in P. tricornutum under 20 mg L− 1 H2O2 stress. A Cellular UDPG content under different concentrations of exogenous UDPG treatment. B Growth curves. C Specific growth rate. D Cell death rate. E ROS production. F MDA content. G APX activity. H SOD activity. I Soluble protein content. n = 3 biologically independent samples. The data were shown as the mean ± SD. Differences among groups were determined by one-way ANOVA and Tukey’s test. Values with different letters (a, b, c) indicate a significant difference between them (P < 0.05)
To further define the function of UDPG in oxidative stress response of P. tricornutum, this study investigated the effects of regulating endogenous UDPG synthesis on oxidative stress tolerance using overexpression and knockout strains of UGPase, a key gene for UDPG synthesis in algal cells. By examining UDPG content, we confirmed that overexpression and knockout of UGPase promoted and inhibited intracellular UDPG synthesis, respectively (Fig. 2A). Under normal culture, analysis of the antioxidant characteristics of these strains revealed that the antioxidant capacity was significantly higher in the overexpression strains and significantly lower in the knockout strains compared with that of WT strain (Fig. S2). Next, the oxidative stress tolerance of WT, UGPase overexpression and knockout strains under H2O2 stress was further analyzed. As shown in Fig. 2, UGPase overexpression strain showed significantly decreased cell death rate, ROS production and MDA content, as well as increased growth performance and antioxidant enzyme activities compared with that of WT strain under H2O2 stress. In contrast, UGPase knockout strain exhibited higher cell death rate, ROS production and MDA content, as well as lower growth performance and antioxidant enzyme activities compared with that of WT strain. Interestingly, we rescued UGPase knockout strain with exogenous UDPG and found that the oxidative stress tolerance of the rescued knockout strain was higher than that of the WT strain, which confirmed that UDPG was necessary to maintain oxidative stress tolerance.
Fig. 2.
Effect of regulating endogenous UDPG synthesis on oxidative stress tolerance in P. tricornutum under 20 mg L− 1 H2O2 stress. A Cellular UDPG content analysis in WT, UGPase overexpression and knockout strains. B Growth curves. C Specific growth rate. D Cell death rate. E ROS production. F MDA content. G APX activity. H SOD activity. I Soluble protein content. WT represents wild-type strain; OEUGPase represents UGPase overexpression strain; KOUGPase represents UGPase knockout strain; KOUGPase + UDPG represents the exogenous addition of 500 µM UDPG in UGPase knockout strain. n = 3 biologically independent samples. The data were shown as the mean ± SD. Differences among groups were determined by one-way ANOVA and Tukey’s test. Values with different letters (a, b, c, d) indicate a significant difference between them (P < 0.05)
The above results indicated that UDPG could reduce the production of ROS and increase the ROS scavenging ability in algal cells upon H2O2-induced oxidative stress, thus reducing the degree of lipid peroxidation and cell death rate to improve the oxidative stress tolerance and growth performance in P. tricornutum.
UDPG mitigates high temperature-induced oxidative damage in P. tricornutum
A number of studies have shown that high temperature stress can have a more serious impact on plant growth and yield than other stress conditions [25, 26]. High temperatures usually cause overreduction of the electron transfer chain, leading to excessive accumulation of ROS in chloroplasts and consequent oxidative stress [27]. Therefore, this part explored the role of UDPG in high temperature-induced oxidative stress. First, we analyzed the effect of UDPG on the growth performance in P. tricornutum under high temperature stress. The results showed that high temperature stress at 35℃ severely inhibited the growth of P. tricornutum, while exogenous addition of UDPG reduced high temperature damage to algal cell growth (Fig. 3A, B). Similar results were obtained by regulating endogenous UDPG synthesis (Fig. 3C, D). Under high temperature stress, the growth performance of the UGPase overexpression strain was significantly better than that of the WT strain as the endogenous UDPG content increased, whereas the growth of the UGPase knockout strain was significantly worse than that of the WT strain as the endogenous UDPG content decreased. The growth performance was restored by exogenous addition of 500 µM UDPG in the knockout strain.
Fig. 3.
Effect of exogenous addition of 500 µM UDPG and regulating endogenous UDPG synthesis on growth performance in P. tricornutum under high temperature stress at 35℃. A Growth curves under exogenous 500 µM UDPG treatment. B Specific growth rate under exogenous 500 µM UDPG treatment. C Growth curves in WT, UGPase overexpression and knockout strains. D Cell death rate in WT, UGPase overexpression and knockout strains. WT represents wild-type strain; OEUGPase represents UGPase overexpression strain; KOUGPase represents UGPase knockout strain; KOUGPase + UDPG represents the exogenous addition of 500 µM UDPG in UGPase knockout strain. n = 3 biologically independent samples. The data were shown as the mean ± SD. Differences among groups were determined by one-way ANOVA and Tukey’s test. Values with different letters (a, b, c, d) indicate a significant difference between them (P < 0.05)
Next, we further tested whether altered UDPG levels affect the tolerance of P. tricornutum to high temperature-induced oxidative stress by physiological/biochemical analysis. The results showed that high temperature stress resulted in serious oxidative damage in P. tricornutum, while exogenous addition of UDPG could reduce cell death rate and improve high temperature tolerance by decreasing the production of ROS and MDA, as well as increasing the activity of antioxidant enzymes (Fig. 4). Meanwhile, we analyzed the effect of endogenous UDPG on the high temperature tolerance using UGPase overexpression and knockout strains. As shown in Fig. 4, cell death rate, ROS and MDA content were significantly reduced, whereas antioxidant enzyme activities were significantly increased in UGPase overexpression strain compared with that of WT strain under high temperature stress. On the contrary, cell death rate, ROS and MDA content were significantly increased, whereas antioxidant enzyme activities were significantly decreased in UGPase knockout strain compared with that of WT strain. The high temperature tolerance was restored by exogenous addition of UDPG in the knockout strain.
Fig. 4.
Effect of exogenous addition of 500 µM UDPG and regulating endogenous UDPG synthesis on oxidative stress tolerance in P. tricornutum under high temperature stress at 35℃. A Cell death rate. B ROS production. C MDA content. D APX activity. E SOD activity. F Soluble protein content. WT represents wild-type strain; OEUGPase represents UGPase overexpression strain; KOUGPase represents UGPase knockout strain; KOUGPase + UDPG represents the exogenous addition of 500 µM UDPG in UGPase knockout strain. n = 3 biologically independent samples. The data were shown as the mean ± SD. Differences among groups were determined by one-way ANOVA and Tukey’s test. Values with different letters (a, b, c, d) indicate a significant difference between them (P < 0.05)
Together, the above results demonstrated that increasing UDPG reduced high temperature-induced oxidative damage, while decreasing UDPG exacerbated high temperature damage. Therefore, UDPG acted as a positive regulator of high temperature tolerance in P. tricornutum.
Transcriptome profiling reveals the role of UDPG under H2O2-induced oxidative stress
To dissect the mechanism of action of UDPG, this study performed transcriptomic profiling of P. tricornutum with exogenous addition of UDPG under H2O2-induced oxidative stress. As shown in Fig. 5A, we detected 1334 DEGs by comparing and analyzing the transcriptome data of the control and exogenous UDPG treatment groups under H2O2 stress, of which 755 genes were significantly upregulated and 559 genes were significantly downregulated in the exogenous UDPG treatment group compared with the control group. To verify the reliability of the transcriptome data, we selected 15 DEGs (10 upregulated genes and 5 downregulated genes) from the above genes for qPCR analysis. These genes exhibited different fold changes and were related to processes such as photosynthesis, antioxidant capacity, and ribosome biosynthesis. The results showed that the qPCR data of the selected 15 genes were significantly correlated with the transcriptome data (Fig. 5B), which reflected the reliability of the transcriptome data.
Fig. 5.
Cellular transcriptional changes under UDPG treatment in 20 mg L− 1 H2O2 stress and 35℃ high temperature stress. A Volcano plot showing the number of up- and down-regulated DEGs in the comparison group of transcriptome profiling under H2O2 stress. B Correlation analysis between transcriptome and qPCR data. C GO analysis of DEGs. D KEGG analysis of DEGs. E Transcriptome profiling of UDPG regulating oxidative stress tolerance in P. tricornutum under H2O2 stress. The changing enzymes and components of the pathway are represented in yellow boxes. Solid arrows represent the direction of the metabolic pathway, and dotted arrows represent the direction of photosynthetic electron transfer. F Heat maps showing the effect of exogenous addition of 500 µM UDPG on the expression of photosynthesis and antioxidant related genes under high temperature stress. G Heat maps showing the effect of regulating endogenous UDPG synthesis on the expression of photosynthesis and antioxidant related genes under high temperature stress. WT represents wild-type strain; OEUGPase represents UGPase overexpression strain; KOUGPase represents UGPase knockout strain; KOUGPase + UDPG represents the exogenous addition of 500 µM UDPG in UGPase knockout strain. n = 3 biologically independent samples
To figure out the specific differences in the transcriptome changes of the control and exogenous UDPG treatment groups under H2O2 stress, GO and KEGG enrichment analyses were performed on all the DEGs. For the GO enrichment analysis, the most abundant bins among the biological processes were cellular, metabolic, and single-organism processes (Fig. 5C). In addition, catalytic and binding were the most abundant bins in the molecular function, while membrane, membrane part, cell, cell part, and organelle were the main classes in the cellular component (Fig. 5C). KEGG enrichment analysis showed that these DEGs mainly enriched in metabolic pathways such as ribosome biosynthesis, amino acids biosynthesis, photosynthesis-antenna proteins, RNA transport, carbon fixation in photosynthetic organisms, porphyrin and chlorophyll metabolism, protein export, and photosynthesis (Fig. 5D). These pathways might be the most important ones influencing the different tolerance performance under oxidative stress in the control and exogenous UDPG treatment groups.
To resolve the role of UDPG under oxidative stress, we performed an in-depth analysis of DEGs and related metabolic pathways. As shown in Fig. 5E and Table S2, genes associated with ribosome biosynthesis, DNA repair, protein transport and mitochondrial oxidative phosphorylation, which regulate fundamental life processes such as protein synthesis, cell division, and respiration, were significantly upregulated for expression in the UDPG treatment group compared with the control group. The upregulated expression of the above genes indicated that UDPG contributed to maintain the fundamental life processes of algae cells in face of oxidative stress. In addition, we noted that the expression levels of genes encoding the antioxidant enzymes SOD, APX, dehydroascorbate reductase (DHAR), and glutathione S-transferase (GST) was significantly increased in the UDPG treatment group (Fig. 5E), suggesting that UDPG could reduce the damage to the antioxidant system by H2O2 stress and improve the ROS scavenging capacity of algal cells, consistent with antioxidant characteristics detected above. More importantly, we observed that a large number of genes involved in the pathways of chlorophyll biosynthesis, carotenoid biosynthesis, photosynthetic electron transport, and the Calvin cycle were significantly upregulated for expression in the UDPG treatment group compared with the control group under H2O2-induced oxidative stress (Fig. 5E). The upregulated expression of these genes enhanced the processes of light energy harvesting, electron transfer, and carbon fixation in algal cells under H2O2 stress, indicating that UDPG might reduce the damage of oxidative stress to photosynthesis by activating the expression of photosynthesis-related genes.
UDPG regulates the expression of photosynthesis and antioxidant related genes under high temperature stress
Subsequently, based on the results of transcriptome analysis, we also analyzed the effects of UDPG on the expression of photosynthesis and stress tolerance related genes under high temperature-induced oxidative stress by qPCR. As shown in Fig. 5F, exogenous addition of UDPG significantly increased the expression levels of genes related to photosynthesis, chlorophyll biosynthesis, carotenoid biosynthesis, and antioxidant system under high temperature stress compared with control. Similarly, significant changes in these genes were observed by increasing or decreasing endogenous UDPG synthesis (Fig. 5G). Under high temperature stress, the expression levels of genes related to photosynthesis, chlorophyll biosynthesis, carotenoid biosynthesis, and antioxidant system were significantly enhanced with increased endogenous UDPG synthesis in UGPase overexpression strain compared with that of WT strain. In contrast, the expression levels of these genes were significantly reduced with decreased endogenous UDPG synthesis in UGPase knockout strain compared with that of WT strain. Interestingly, the expression levels of the related genes were restored by exogenous addition of UDPG in the knockout strain, confirming that UDPG was necessary to maintain the expression of genes related to photosynthesis and stress tolerance under high temperature stress.
UDPG improves light-harvesting and photoprotection in P. tricornutum under oxidative stress
Given that photosynthesis is closely related to ROS production under oxidative stress [4], and UDPG reduces ROS content (Figs. 1E and 2E) and enhances the expression of photosynthesis-related genes (Fig. 5E-G), we thus investigated whether UDPG conferred oxidative stress tolerance in P. tricornutum by enhancing photosynthesis. As shown in Fig. 6A-F, analysis of photosynthetic pigments showed that H2O2- and high temperature-induced oxidative stress inhibited the synthesis of chlorophyll a and c as well as carotenoids, resulting in significantly reduced in the light-harvesting capacity of algal cells. Exogenous addition of UDPG and the increase of endogenous UDPG synthesis in UGPase overexpression strain both could alleviate the inhibition of photosynthetic pigment synthesis by oxidative stresses and maintain the photosynthetic pigment content at a high level to ensure the light-harvesting capacity of algal cells. On the contrary, compared with that of WT strain, the reduction of endogenous UDPG synthesis in UGPase knockout strain aggravated the inhibition of photosynthetic pigment synthesis by H2O2 and high temperature stress, whereas the photosynthetic pigment synthesis capacity was restored by exogenous addition of UDPG in the knockout strain.
Fig. 6.
Effect of exogenous addition of 500 µM UDPG and regulating endogenous UDPG synthesis on photosynthetic pigment synthesis and NPQ in P. tricornutum under 20 mg L− 1 H2O2 stress and 35℃ high temperature stress. A Chlorophyll a content under H2O2 stress. B Chlorophyll c content under H2O2 stress. C Carotenoids content under H2O2 stress. D Chlorophyll a content under high temperature. E Chlorophyll c content under high temperature. F Carotenoids content under high temperature. G Changes in NPQ of algal cells under H2O2 stress. H Changes in NPQ of algal cells under high temperature. WT represents wild-type strain; OEUGPase represents UGPase overexpression strain; KOUGPase represents UGPase knockout strain; KOUGPase + UDPG represents the exogenous addition of 500 µM UDPG in UGPase knockout strain. n = 3 biologically independent samples. The data were shown as the mean ± SD
Stress conditions also cause and exacerbate photoinhibition [28]. NPQ, as a strategy for preventing photoinhibition, dissipates excess light energy as heat, reflecting photoprotective capacity and the degree of stress under stress [7, 29]. In this study, we found that the increase of UDPG significantly reduced the NPQ of algal cells at the early stage of H2O2 and high temperature stress, while the decrease of UDPG caused significantly enhanced the NPQ of algal cells, suggesting that UDPG alleviated the oxidative stress of algal cells (Fig. 6G, H). Notably, continuous stress resulted in complete inhibition of NPQ in algal cells at the later stage of H2O2 and high temperature stress, whereas the increase of UDPG contributed to the maintenance of normal NPQ in algal cells to improve photoprotection and reduce stress damage (Fig. 6G, H).
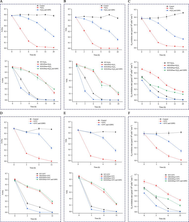
UDPG positively regulates photosynthetic activity and reduces the excitation pressure of the photosynthetic electron transport chain
The results of photosynthetic activity analysis showed that Fv/Fm, Y(II) and photosynthetic O2 evolution rate were significantly reduced under H2O2- and high temperature-induced oxidative stress in P. tricornutum (Fig. 7), suggesting that oxidative stress impaired the efficiency of light energy conversion and the function of oxygen-evolving center. Exogenous addition of UDPG and the increase of endogenous UDPG synthesis in UGPase overexpression strain both increased Fv/Fm, Y(II) and photosynthetic O2 evolution rate in algal cells, whereas the reduction of endogenous UDPG synthesis in knockout strain caused the further reduction of these parameters compared with that of WT strain (Fig. 7). These results indicated that UDPG could improve the light energy conversion efficiency and photosynthetic oxygen evolving activity of algal cells under oxidative stress.
Fig. 7.
Effect of exogenous addition of 500 µM UDPG and regulating endogenous UDPG synthesis on photosynthetic activity in P. tricornutum under 20 mg L− 1 H2O2 stress and 35℃ high temperature stress. A Fv/Fm under H2O2 stress. B Y(II) under H2O2 stress. C Photosynthetic O2 evolution rate under H2O2 stress. D Fv/Fm under high temperature stress. E Y(II) under high temperature stress. F Photosynthetic O2 evolution rate under high temperature stress. WT represents wild-type strain; OEUGPase represents UGPase overexpression strain; KOUGPase represents UGPase knockout strain; KOUGPase + UDPG represents the exogenous addition of 500 µM UDPG in UGPase knockout strain. n = 3 biologically independent samples. The data were shown as the mean ± SD
More importantly, considering that stress conditions generally decrease photosynthetic electron transport, resulting in the accumulation of energetic electrons in the photosynthetic electron transport chain, which in turn triggers the overreduction of the electron transport chain and the production of ROS [4, 30], we investigated the photosynthetic electron transport and the redox state of the plastoquinone (PQ) pool in P. tricornutum under H2O2- and high temperature-induced oxidative stress. The results of photosynthetic electron transport showed that H2O2- and high temperature-induced oxidative stress decreased rETR, and exogenous addition of UDPG and the increase of endogenous UDPG synthesis in UGPase overexpression strain both enhanced rETR, while the reduction of endogenous UDPG synthesis in knockout strain exacerbated the inhibition of rETR by oxidative stresses compared with that of WT strain (Fig. 8A, B). Notably, the rETR was restored by exogenous addition of UDPG in the knockout strain. To analyze the redox state of the PQ pool of algal cells, 1-qP was measured in this study (Fig. 8C, D). H2O2- and high temperature-induced oxidative stress resulted in significantly increased 1-qP in algal cells. Exogenous addition of UDPG and the increase of endogenous UDPG synthesis in UGPase overexpression strain both could decrease 1-qP, whereas UGPase knockout strain with decreased endogenous UDPG synthesis increased 1-qP more than WT strain. The 1-qP was significantly reduced by exogenous addition of UDPG in the knockout strain. These results demonstrated that UDPG could prevent the overreduction of the photosynthetic electron transport chain and reduce its excitation pressure.
Fig. 8.
Effect of exogenous addition of 500 µM UDPG and regulating endogenous UDPG synthesis on the excitation pressure of the photosynthetic electron transport chain in P. tricornutum under 20 mg L− 1 H2O2 stress and 35℃ high temperature stress. A rETR under H2O2 stress. B rETR under high temperature stress. C 1-qP under H2O2 stress. D 1-qP under high temperature stress. WT represents wild-type strain; OEUGPase represents UGPase overexpression strain; KOUGPase represents UGPase knockout strain; KOUGPase + UDPG represents the exogenous addition of 500 µM UDPG in UGPase knockout strain. n = 3 biologically independent samples. The data were shown as the mean ± SD
Based on the above results and previous analysis of ROS content, we found that UDPG could enhance the quantum yield of PSII and the photosynthetic electron transport rate that reduced excitation pressure of the photosynthetic electron transport chain, which in turn suppressed ROS production.
Discussion
Stresses from the natural environment trigger excessive accumulation of ROS in photosynthetic organisms, which in turn produces oxidative damage on multiple metabolic pathways and physiological processes [4, 31]. Among them, a number of studies have found that high temperature stress could have a more serious impact on the physiological and metabolic processes of photosynthetic organisms than other stress conditions [25, 26]. For photosynthetic organisms, the chloroplast is the main site of ROS production under environmental stresses [6, 32]. Previous studies demonstrated that land plants have multiple mechanisms to withstand oxidative stress caused by ROS overproduction, but it is still largely unknown how microalgae, the main primary producers in aquatic environments, withstand oxidative stress. In this study, we characterized the carbohydrate metabolism intermediate UDPG as a key factor regulating oxidative stress tolerance in the marine microalga P. tricornutum and revealed a regulatory framework composed of UDPG and photosynthesis, which plays essential roles in the response to H2O2- and high temperature-induced oxidative stress in microalgae.
To date, only several studies have reported the role of UDPG in macrophage-mediated inflammatory responses and lipid synthesis of animals as well as the growth and development of higher plants [16–18, 33], while the role of UDPG in microalgae remains unclear. Unlike findings in animals and higher plants, we discovered that UDPG could reduce the production of ROS and increase the ROS scavenging ability in algal cells upon H2O2- and high temperature-induced oxidative stress, thus reducing the degree of lipid peroxidation and cell death rate to improve the oxidative stress tolerance and growth performance of P. tricornutum in this research. Once UDPG synthesis was inhibited, ROS were excessively accumulated in algal cells, which in turn led to significantly reduced oxidative stress tolerance and growth performance of algal cells. In addition, we further found that UDPG indeed could activate the upregulated expression of genes encoding the antioxidant enzymes SOD, APX, DHAR and GST under H2O2 and high temperature stress by transcriptomic and qPCR analyses, which contributed to improve antioxidant capacity of algal cells. These results together demonstrated that UDPG played a critical role in the response to oxidative stress in P. tricornutum.
Currently, no reports indicate a role for UDPG in the vast literature on oxidative stress tolerance in photosynthetic organisms, accumulating evidence suggested that maintaining the homeostasis of ROS was critical for improving the environmental adaptability of photosynthetic organisms [32, 34–36]. Photosynthetic organisms maintain ROS homeostasis to mitigate oxidative damage by reducing ROS production and scavenging existing ROS under environmental stresses [10–12, 37]. In fact, environmental stresses generally lead to excessive production of ROS, which exceeds the scavenging capacity of the antioxidant system in photosynthetic cells, resulting in oxidative damage [38, 39]. Therefore, reducing ROS overproduction under environmental stresses is an effective strategy to improve photosynthetic organisms oxidative stress tolerance. Based on the results of this study, we clarified that UDPG improved the oxidative stress tolerance in P. tricornutum by reducing ROS overproduction.
Although the key role of UDPG in regulating oxidative stress tolerance has been clarified, how UDPG affects ROS production remains unclear. Notably, we also observed from the transcriptomic and qPCR results that UDPG improved the expression levels of a large number of genes involved in photosynthesis in addition to affecting the expression of genes associated with antioxidant, suggesting that UDPG was closely related to photosynthesis under oxidative stress. It is well known that photosynthesis, as the most fundamental and complex physiological process of photosynthetic organisms, is sensitive to environmental stresses [25, 40]. Environmental stresses usually disrupt the electron transport process of photosynthesis, resulting in ROS production and oxidative stress [26, 41]. Therefore, photosynthesis is a key pathway influencing the stress tolerance of photosynthetic organisms, and UDPG may affect oxidative stress tolerance in P. tricornutum by regulating photosynthesis. Notably, recent reports supported the notion of influencing oxidative stress tolerance by modulating the photosynthetic activity in microalgae. Researchers discovered that the transcription factor BLZ8 could activate the carbon-concentrating mechanism under oxidative stress to enhance the quantum yield of PSII and electron transport rate, which in turn reduces the production of ROS in the photosynthetic electron transport chain in C. reinhardtii [4]. On the contrary, when environmental stresses destroyed the balance between the production of photosynthetically derived energetic electrons and the Calvin cycle, it resulted in the accumulation of ROS and caused oxidative damage to algal cells [30]. Excitingly, our data on UDPG and photosynthesis also supported the above notion. We found UDPG could improve light-harvesting, photoprotection, and photosynthetic activity as well as reduce the excitation pressure of the photosynthetic electron transport chain under oxidative stress in P. tricornutum, thereby inhibiting ROS production, whereas decreasing UDPG synthesis in algal cells exacerbated oxidative stress damage to photosynthesis, resulting in overproduction of ROS. These results demonstrated that UDPG prevented the overproduction of ROS in P. tricornutum by positively regulating photosynthesis under oxidative stress.
Conclusion
In summary, this study demonstrated the irreplaceable role of UDPG in alleviating oxidative stress in microalgae through genetic, biochemical, and physiological evidence, and proposed a working model for UDPG (Fig. 9). Under oxidative stress, UDPG could activate the expression of photosynthesis related genes to improve photosynthesis and reduce the excitation pressure of the photosynthetic electron transport chain, thereby reducing ROS production; the reduction of ROS production could also attenuate oxidative stress damage to the antioxidant system, increase the expression of genes encoding the antioxidant enzymes and the antioxidant enzyme activities, and further enhance the ROS scavenging capacity of algal cells. In this way, UDPG prevented the excessive accumulation of ROS to improve the oxidative stress tolerance in P. tricornutum. These findings revealed the function of UDPG in the response of microalgae to environmental stresses and provided insights for improving the stress tolerance of microalgae.
Fig. 9.
Schematic of UDPG regulating oxidative stress tolerance in P. tricornutum. Under oxidative stress, UDPG could activate the expression of photosynthesis related genes to improve photosynthesis and reduce the excitation pressure of the photosynthetic electron transport chain, thereby reducing ROS production; the reduction of ROS production could also attenuate oxidative stress damage to the antioxidant system, increase the expression of genes encoding the antioxidant enzymes and the antioxidant enzyme activities, and further enhance the ROS scavenging capacity of algal cells. In this way, UDPG prevented the excessive accumulation of ROS to improve the oxidative stress tolerance in P. tricornutum
Electronic supplementary material
Below is the link to the electronic supplementary material.
Acknowledgements
We would like to thank Biomarker Technologies Co., Ltd. (Beijing, China). for assistance with the transcriptome sequencing experiments.
Abbreviations
- UDPG
Uridine Diphosphate Glucose
- P. tricornutum
Phaeodactylum tricornutum
- UGPase
UDP-Glucose Pyrophosphorylase Gene
- ROS
Reactive Oxygen Species
- H2O2
Hydrogen Peroxide
- WT
Wild-Type
- DCFH-DA
2´,7´-Dichlorodihydrofluorescein Diacetate
- MDA
Malondialdehyde
- APX
Ascorbate Peroxidase
- SOD
Superoxide Dismutase
- RNA-seq
RNA Sequencing
- DEGs
Differentially Expressed Genes
- FDR
False Discovery Rate
- GO
Gene Ontology
- KEGG
Kyoto Encyclopedia of Genes and Genomes
- qPCR
Quantitative PCR
- NPQ
Nonphotochemical Quenching
- PSII
Photosystem II
- Fv/Fm
Maximum Quantum Yield of PSII
- Y(II)
Effective Quantum Yield of PSII
- rETR
Relative Electron Transport Rate
- 1-qP
Proportion of the Closed PSII Reaction Center
- SD
Standard Deviation
- DHAR
Dehydroascorbate Reductase
- GST
Glutathione S-Transferase
- PQ
Plastoquinone
- C. reinhardtii
Chlamydomonas reinhardtii
Author contributions
R.Z., T.X., C.K., Z.C., and X.C. carried out all the experiments and data analyses. R.Z. and B.Z. wrote the manuscript. Y.L., G.Y., Y.Z., and K.P. provided valuable suggestions for the revisions of the manuscript. K.P. and B.Z. approved the final version of the manuscript and will be responsible for the integrity of this study.
Funding
This work was supported by the General Program of the National Natural Science Foundation of China (32373116, 31872548).
Data availability
Raw sequence data from transcriptome have been deposited in the Genome Sequence Archive database in National Genomics Data Center under accession number CRA021757. Additional data supporting the results of this study are available upon reasonable request from the corresponding author.
Declarations
Ethics approval and consent to participate
This study did not include human or animal subjects.
Consent for publication
Not applicable.
Competing interests
The authors declare no competing interests.
Footnotes
Publisher’s note
Springer Nature remains neutral with regard to jurisdictional claims in published maps and institutional affiliations.
Contributor Information
Baohua Zhu, Email: zhubaohua@ouc.edu.cn.
Kehou Pan, Email: qdpankh@126.com.
References
- 1.Falkowski P. Ocean science: the power of plankton. Nature. 2012;483:17–20. [DOI] [PubMed] [Google Scholar]
- 2.Benedetti F, Vog M, Elizondo UH, Righetti D, Zimmermann NE, Gruber N. Major restructuring of marine plankton assemblages under global warming. Nat Commun. 2021;12:1–15. [DOI] [PMC free article] [PubMed] [Google Scholar]
- 3.Gong Y, Wang Q, Wei L, Liang W, Wang L, Lv N, Du X, Zhang J, Shen C, Xin Y, et al. Genome-wide adenine N6-methylation map unveils epigenomic regulation of lipid accumulation in Nannochloropsis. Plant Commun. 2023;24:100773. [DOI] [PMC free article] [PubMed] [Google Scholar]
- 4.Choi BY, Kim H, Shim D, Jang S, Yamaoka Y, Shin S, Yamano T, Kajikawa M, Jin E, Fukuzawa H, et al. The Chlamydomonas bZIP transcription factor BLZ8 confers oxidative stress tolerance by inducing the carbon-concentrating mechanism. Plant Cell. 2022;34:910–26. [DOI] [PMC free article] [PubMed] [Google Scholar]
- 5.Koletti A, Dervisi I, Kalloniati C, Zografaki ME, Rennenberg H, Roussis A, Flemetakis E. Selenium-binding protein 1 (SBD1): A stress response regulator in Chlamydomonas reinhardtii. Plant Physiol. 2022;189:2368–81. [DOI] [PMC free article] [PubMed] [Google Scholar]
- 6.Zhao Y, Yu H, Zho JM, Smith SM, Li J. Malate circulation: linking Chloroplast metabolism to mitochondrial ROS. Trends Plant Sci. 2020;25:446–54. [DOI] [PubMed] [Google Scholar]
- 7.Zhang Y, Wu Z, Feng M, Chen J, Qin M, Wang W, Bao Y, Xu Q, Ye Y, Ma C, et al. The circadian-controlled PIF8-BBX28 module regulates petal senescence in Rose flowers by governing mitochondrial ROS homeostasis at night. Plant Cell. 2021;33:2716–35. [DOI] [PMC free article] [PubMed] [Google Scholar]
- 8.Apel K, Hirt H. Reactive oxygen species: metabolism, oxidative stress, and signal transduction. Ann Rev Plant Biol. 2004;55:373–99. [DOI] [PubMed] [Google Scholar]
- 9.Almeida AC, Gomes T, Langford K, Thomas KV, Tollefsen KE. Oxidative stress in the algae Chlamydomonas reinhardtii exposed to biocides. Aquat Toxicol. 2017;189:50–9. [DOI] [PubMed] [Google Scholar]
- 10.Müller P, Li XP, Niyogi KK. Non-photochemical quenching. A response to excess light energy. Plant Physiol. 2001;125:1558–66. [DOI] [PMC free article] [PubMed] [Google Scholar]
- 11.Kozaki A, Takeba G. Photorespiration protects C3 plants from photooxidation. Nature. 1996;384:557–60. [Google Scholar]
- 12.Waszczak C, Carmody M, Kangasjärvi J. Reactive oxygen species in plant signaling. Ann Rev Plant Biol. 2018;69:209–36. [DOI] [PubMed] [Google Scholar]
- 13.Cirulis JT, Scott JA, Ross GM. Management of oxidative stress by microalgae. Can J Physiol Pharmacol. 2013;91:15–21. [DOI] [PubMed] [Google Scholar]
- 14.Chen X, Zhang R, Pan K, Li Y, Zhu B. Studies on the promotion of Fucoxanthin accumulation by uridine diphosphate glucose in Phaeodactylum tricornutum. Periodical Ocean Univ China. 2024;54:52–9. [Google Scholar]
- 15.Zhang R, Zhu B, Sun C, Li Y, Yang G, Zhao Y, Pan K. UDP-glucose pyrophosphorylase as a target for regulating carbon flux distribution and antioxidant capacity in Phaeodactylum tricornutum. Commun Biol. 2023;6:750. [DOI] [PMC free article] [PubMed] [Google Scholar]
- 16.van Janse HC, Van den Ende W. UDP-Glucose: a potential signaling molecule in plants? Front Plant Sci. 2017;8:2230. [DOI] [PMC free article] [PubMed] [Google Scholar]
- 17.Ma J, Wei K, Liu J, Tang K, Zhang H, Zhu L, Chen J, Li F, Xu P, Chen J, et al. Glycogen metabolism regulates macrophage-mediated acute inflammatory responses. Nat Commun. 2020;14:1769. [DOI] [PMC free article] [PubMed] [Google Scholar]
- 18.Chen H, Zhang S, Li R, Peng G, Chen W, Rautengarten C, Liu M, Zhu L, Xiao Y, Song F, et al. BOTRYOID POLLEN 1 regulates ROS-triggered PCD and pollen wall development by controlling UDP-sugar homeostasis in rice. Plant Cell. 2023;35:3522–43. [DOI] [PMC free article] [PubMed] [Google Scholar]
- 19.Rautengarten C, Ebert B, Liu L, Stonebloom S, Smith-Moritz AM, Pauly M, Orellana A, Scheller HV, Heazlewood JL. The Arabidopsis Golgi-localized GDP-L-fucose transporter is required for plant development. Nat Commun. 2016;7:12119. [DOI] [PMC free article] [PubMed] [Google Scholar]
- 20.Lim SL, Chu WL, Phang SM. Use of Chlorella vulgaris for bioremediation of textile wastewater. Bioresour Technol. 2010;101:7314–22. [DOI] [PubMed] [Google Scholar]
- 21.Zhao Y, Tang X, Qu F, Lv M, Zhao Y. ROS-mediated programmed cell death (PCD) of Thalassiosira pseudonana under the stress of BDE-47. Environ Pollut. 2020;262:114342. [DOI] [PubMed] [Google Scholar]
- 22.Siaut M, Heijde M, Mangogna M, Montsant A, Coesel S, Allen A, Manfredonia A, Falciatore A, Bowler C. Molecular toolbox for studying diatom biology in Phaeodactylum tricornutum. Gene. 2007;406:23–35. [DOI] [PubMed] [Google Scholar]
- 23.Livak KJ, Schmittgen TD. Analysis of relative gene expression data using real-time quantitative PCR and the 2–∆∆Ct method. Methods. 2001;25:402–8. [DOI] [PubMed] [Google Scholar]
- 24.Kan C, Zhao Y, Sun KM, Tang X, Zhao Y. The Inhibition and recovery mechanisms of the diatom Phaeodactylum tricornutum in response to high light stress - A study combining physiological and transcriptional analysis. J Phycol. 2023;59:418–31. [DOI] [PubMed] [Google Scholar]
- 25.Ahmad N, Zaidi SS, Mansoor S. Alternative routes to improving photosynthesis in field crops. Trends Plant Sci. 2020;25:958–60. [DOI] [PubMed] [Google Scholar]
- 26.Chen JH, Tang M, Jin XQ, Li H, Chen LS, Wang QL, Sun AZ, Yi Y, Guo FQ. Regulation of Calvin-Benson cycle enzymes under high temperature stress. aBIOTECH. 2022;3:65–77. [DOI] [PMC free article] [PubMed] [Google Scholar]
- 27.Chen JH, Chen ST, He NY, Wang QL, Zhao Y, Gao W, Guo FQ. Nuclear-encoded synthesis of the D1 subunit of photosystem II increases photosynthetic efficiency and crop yield. Nat Plants. 2020;6:570–80. [DOI] [PubMed] [Google Scholar]
- 28.Fang P, Yan M, Chi C, Wang M, Zhou Y, Zhou J, Shi K, Xia X, Foyer CH, Yu J. Brassinosteroids act as a positive regulator of photoprotection in response to chilling stress. Plant Physiol. 2019;180:2061–76. [DOI] [PMC free article] [PubMed] [Google Scholar]
- 29.Zhang H, Xiong X, Guo K, Zheng M, Cao T, Yang Y, Song J, Cen J, Zhang J, Jiang Y, et al. A rapid aureochrome opto-switch enables diatom acclimation to dynamic light. Nat Commun. 2024;15:5578. [DOI] [PMC free article] [PubMed] [Google Scholar]
- 30.Saroussi S, Karns DAJ, Thomas DC, Bloszies C, Fiehn O, Posewitz MC, Grossman AR. Alternative outlets for sustaining photosynthetic electron transport during dark-to-light transitions. Proc Natl Acad Sci USA. 2019;116:11518–27. [DOI] [PMC free article] [PubMed] [Google Scholar]
- 31.Wang B, Xue P, Zhang Y, Zhan X, Wu W, Yu P, Chen D, Fu J, Hong Y, Shen X, et al. OsCPK12 phosphorylates oscata and OsCATC to regulate H2O2 homeostasis and improve oxidative stress tolerance in rice. Plant Commun. 2024;5:100780. [DOI] [PMC free article] [PubMed] [Google Scholar]
- 32.Zhuang Y, Wei M, Ling C, Liu Y, Amin AK, Li P, Li P, Hu X, Bao H, Huo H, et al. EGY3 mediates chloroplastic ROS homeostasis and promotes retrograde signaling in response to salt stress in Arabidopsis. Cell Rep. 2021;36:109384. [DOI] [PubMed] [Google Scholar]
- 33.Chen J, Zhou Y, Liu Z, Lu Y, Jiang Y, Cao K, Zhou N, Wang D, Zhang C, Zhou N, et al. Hepatic glycogenesis antagonizes lipogenesis by blocking S1P via UDPG. Science. 2024;383:eadi3332. [DOI] [PubMed] [Google Scholar]
- 34.Mani B, Kaur I, Dhingra Y, Saxena V, Krishna GK, Kumar R, Chinnusamy V, Agarwal M, Katiyar-Agarwal S. Tetraspanin 5 orchestrates resilience to salt stress through the regulation of ion and reactive oxygen species homeostasis in rice. Plant Biotechnol J. 2025;23:51–71. [DOI] [PMC free article] [PubMed] [Google Scholar]
- 35.Postiglione AE, Delange AM, Ali MF, Wang EY, Houben M, Hahn SL, Khoury MG, Roark CM, Davis M, Reid RW, et al. Flavonols improve tomato pollen thermotolerance during germination and tube elongation by maintaining reactive oxygen species homeostasis. Plant Cell. 2024;36:4511–34. [DOI] [PMC free article] [PubMed] [Google Scholar]
- 36.Song X, Kong F, Liu BF, Song Q, Ren N, Ren HY. Antioxidants alleviated low-temperature stress in microalgae by modulating reactive oxygen species to improve lipid production and antioxidant defense. Bioresour Technol. 2024;413:131451. [DOI] [PubMed] [Google Scholar]
- 37.Chaux F, Burlacot A, Mekhalfi M, Auroy P, Blangy S, Richaud P, Peltier G. Flavodiiron proteins promote fast and transient O2 photoreduction in Chlamydomonas. Plant Physiol. 2017;174:1825–36. [DOI] [PMC free article] [PubMed] [Google Scholar]
- 38.Choudhury FK, Rivero RM, Blumwald E, Mittler R. Reactive oxygen species, abiotic stress and stress combination. Plant J. 2017;90:856–67. [DOI] [PubMed] [Google Scholar]
- 39.Ali MF, Muday GK. Reactive oxygen species are signaling molecules that modulate plant reproduction. Plant Cell Environ. 2024;47:1592–605. [DOI] [PubMed] [Google Scholar]
- 40.Jin F, Xu L, Lv Z, Zhang Y, Yang Q, Han Q, Feng B. Combined physiological and pathway analysis revealed the effect of Sporisorium destruens on photosynthesis in Broomcorn millet (Panicum miliaceum L). J Integr Agric. 2023.
- 41.Erickson E, Wakao S, Niyogi KK. Light stress and photoprotection in Chlamydomonas reinhardtii. Plant J. 2015;82:449–65. [DOI] [PubMed] [Google Scholar]
Associated Data
This section collects any data citations, data availability statements, or supplementary materials included in this article.
Supplementary Materials
Data Availability Statement
Raw sequence data from transcriptome have been deposited in the Genome Sequence Archive database in National Genomics Data Center under accession number CRA021757. Additional data supporting the results of this study are available upon reasonable request from the corresponding author.









