Abstract
Indoor pollution has been a growing concern, especially about its potential effects on human health. Musty odors are a good indicator of indoor mold contamination and have been shown to be associated with numerous diseases, but their association with cognitive function in older adults is unclear. The study’s data came from the Chinese Longitudinal Healthy Longevity Survey. The self-reported indoor musty odors were adopted as the independent variable. The cognitive impairment was included as the dependent variable using the Chinese version of the Mini-Mental State Examination. We employed logistic regression analyses to study the association between indoor musty odors and cognitive impairment. Additionally, stratified and interaction analyses were conducted to explore potential modifiers of this association. A total of 11,888 older adults (median age = 82.00 years) were included in this study. The study indicated that indoor musty odors were significantly associated with cognitive impairments (OR 1.40, 95% CI 1.25, 1.57). In the stratified and interaction analysis, there was no significant modification effect existed for the indoor musty odors and cognitive impairment in the study subgroups. And the associations were robust in the sensitivity analyses. These findings provide valuable insights into the potential health risks associated with indoor musty odors and cognitive impairment among older adults. It also suggests the importance of concerns about indoor environment on older adults’ health, especially with regard to biological pollutants.
Keywords: Indoor musty odors, Cognitive impairment, Older adults, Indoor environmental pollution, China
Subject terms: Risk factors, Natural hazards
Introduction
China is grappling with the serious aging challenge. According to the National Bureau of Statistics, there are 280 million Chinese over 60, representing 19.8% of the nation’s overall population, and this tendency of aging is accelerating. As the older population increases, it has ushered in a surge in age-related health issues, prominently cognitive impairments 1. Recent surveys conducted in 2018 demonstrated that cognitive impairment afflicted 18.95% of Chinese older adults, highlighting a concerning prevalence 2. Cognitive impairment manifests as a series of symptoms, such as memory loss, diminished cognitive processing, impaired language faculties, and reduced capacity for self-care, imposing formidable burdens on affected individuals, their families, and society 3. Given the aforementioned adverse effects, a pressing imperative exists to study and address the associated factors underpinning cognitive decline among older adults.
Cognitive impairment among older adults has been proven to be intricately linked to a constellation of factors, such as nutrition 4, physical function 5, and being underweight 6. Recent years have witnessed an emergent focus on the nexus between environment and health outcomes, one aspect of which is the association between outdoor pollution and cognitive impairment 7. Compared with outdoor pollution, indoor pollution exerts a more proximate association with health among older adults because older adults spend much of their time in the indoor environment in their post-retirement phase due to physical constraints and social dynamics 8,9. Some previous studies have studied the associations between indoor pollution and cognitive impairment, such as household solid-fuel combustion and formaldehyde exposure 10,11. To our knowledge, indoor mold exposure is also one of the common indoor pollution 12. Studies have demonstrated that mycotoxins such as deoxynivalenol may affect neurological functions by interfering with astrocytes which may lead to alterations in learning and memory 13. Common indoor molds also produce mycotoxins 14,15. However, the association between indoor mold and cognitive function has not been confirmed. Older adults have declining body functions and organ functions, such as neurological functions and cognitive functions, and they are very vulnerable to some disease-causing risk factors, resulting them become a vulnerable group that needs to be paid attention to. Thus, it is necessary to clarify the association between mold and cognitive impairment in environments where older adults live, which aims to promote the health of older adults.
Mold production is often related to humidity, organic building materials, and lack of ventilation. In China, these factors mentioned before are common and often coexist in one household. As China possesses spacious middle to low latitudes, which are characterized by humid and warm climates, fostering optimal conditions for mold proliferation 16. In most area of China, organic building materials, such as wood structures, which are more generally used 17. And these houses are likely to face mold problems 18. A survey spanning seven cities in Northeast China revealed that approximately 10% of respondents reported mold or mildew issues in their homes in the past year 19. Meanwhile, a study indicated that 20% of participants encountered dampness or mold problems at home in Taiyuan City of China 20. In summary, it is necessary to conduct a research about the association between mold and health in China.
One cohort study conducted in Poland revealed that exposure to mold-contaminated homes was associated with a deficit of intelligence and neuropsychological in children 21. However, cognitive decline is common among older adults due to physiological reasons, and they are also more vulnerable to external environmental influences 22. Moreover, previous studies have confirmed that mold at home was associated with asthma, and rhinitis 23–25. But few studies referred to the association between it and nervous system diseases. Because cognitive impairment is a core symptom of many neuropsychiatric disorders 26, it is necessary to establish the association between mold and cognitive function among older adults.
People living in mold-contaminated environments often report the presence of musty odors 27. In particular, when musty odors are detected indoors, they are a sign that mold growth already exists in the dark corners, even cannot see it yet 28. Although the concentration of mold volatile organic compounds is minute, the keen sensitivity of the human olfactory system facilitates the detection of these olfactory cues, thereby providing a reliable indicator of concealed mold proliferation 29,30. For older adults, the presence of mold in the household may not be as easy to detect as musty odors due to the decline of visual function and the hidden nature of the environment in which mold grows. Therefore, when they report the presence of musty odors, it usually means that mold contamination is existing. Thus, the musty odors might be a better standard to judge the indoor environment quality. Therefore, this study employs self-reported musty odors as the surrogate variable in the Chinese Longitudinal Healthy Longevity Survey (CLHLS), facilitating an investigation into the association between mold exposure and cognitive function among Chinese older adults.
Methods
Study population
The data utilized in this study was derived from the 2018 wave of the CLHLS. This research is a comprehensive, nationwide, community-based longitudinal study initiated in 1998, followed by subsequent surveys every 2 to 3 years. The survey employed a multi-stage and targeted random sampling approach to guarantee the collection of representative data. It consists of a random selection of counties and municipal districts across the Chinese mainland, encompassing 22 out of 31 provinces, autonomous regions, and municipalities. During the interviews, a series of demographic, socioeconomic, behavioral, environmental, health status, and cognitive function variables were collected. This survey adopted a series of measures to control the quality strictly, including pretesting survey instruments, training survey staff, and regular monitoring of data quality. Detailed process of quality control can be found elsewhere 31.
In the 2018 wave, a total of 15,874 participants were interviewed. Internationally, the starting age for older persons is 65 years old in developed countries and 60 years old in developing countries 32. Thus, exclusions were made for participants below the age of 60 (N = 12). Those with missing data on self-reported indoor musty odors information (N = 706) and on cognitive function information (N = 3,268) were also excluded. The final analytical sample consisted of 11,888 participants (Fig. 1).
Fig. 1.
Flow chart of the inclusion of participants from the Chinese Longitudinal Healthy Longevity Survey.
Our study methods were also carried out in accordance with relevant guidelines and regulations. The CLHLS has received ethical ratification from the Biomedical Ethics Committee of Peking University (IRB00001052-13074). According to the Declaration of Helsinki guidelines, an informed consent form was signed by all participants before the interview began.
Indoor musty odors
Given the large-scale nature of this nationwide study, self-reported data were utilized as a practical and commonly employed method for assessing environmental exposures. This approach has been validated in previous studies for evaluating indoor musty odors 33,34.In this study, indoor musty odors were measured by asking the participants, “Does your home often have a smell of musty odors?” The responses to this question were categorized as either “no” or “yes”.
Cognitive function
In the CLHLS, cognitive function was evaluated using the Chinese version of the Mini-Mental State Examination (CMMSE) 35. It consists of 24 items, covering six domains: orientation (four points for time orientation, and one point for place orientation); reaction capability (repeating three names in order, three points); naming (saying as many kinds of food as possible in one minute, seven points); attention and calculation (mentally subtracting three iteratively from twenty, five points; and copying a figure, one point); recall (delayed recall of the three names mentioned before, three points); language, understanding, and self-coordination ability (two points for naming items, one point for recapitulating a sentence, and three points for listening and obeying). The total CMMSE scores ranged from 0 to 30, with higher scores indicating better cognitive function. The CMMSE has been verified in previous study and shown to be validated for the older adults 36. Cognitive impairment was defined as CMMSE scores below 24 37. In this study, the Cronbach’ α coefficient for the CMMSE was 0.906.
Covariates
We chose the confounders according to the previous studies 38–40, and the standards of directed acyclic graphs (DAG, Fig. 2), including age (continuous variable), gender (male, female), urban–rural distribution (urban, rural), fuel choice (clean, solid), and indoor ventilation (no, yes), education level (≤ 6 years, 7–12 years, ≥ 13 years), residential proximity to major roadways (≤ 100m, 101–300m, ≥ 301m), smoking (no, yes), drinking alcohol (no, yes), hypertension (no, yes), diabetes (no, yes), stroke (no , yes), cancer (no, yes), cardiopathy (no, yes), and regular exercise (no, yes).
Fig. 2.
Directed acyclic graph for the effect of confounding factors on the association between indoor musty odors and cognitive impairment.
Statistical analysis
First, Kolmogorov–Smirnov test was adopted to evaluate the normality of continuous variables. Visual examination of Q-Q plots indicated that the continuous variables were skewed distribution. The descriptive statistics for continuous variables were presented as median and interquartile range (IQR), while categorical variables were presented as numbers and percentages. Mann–Whitney U tests were adopted to compare continuous variables, and Chi-squared tests were adopted to compare categorical variables. Second, binary logistic regression models were adopted to assess the association between indoor musty odors and cognitive impairment. The DAG was plotted in the DAGitty 3.1 to guide the modeling strategy and determine the minimal sufficient adjustment set of variables. Model 1 did not adjust for any covariates. Model 2 adjusted for the variables in the minimal sufficient adjustment set of variables including age, urban–rural distribution, fuel choice, and indoor ventilation. Based on the Model 2, Model 3 further adjusted for variables that had indirect effects on the association between indoor musty odors and cognitive impairment, including gender, education level, smoking, drinking alcohol, regular exercise, residential proximity to major roadways, hypertension, diabetes, cardiopathy, stroke, and cancer. Third, we conducted the stratified and interaction analyses among all categorical variables including gender, urban–rural distribution, education level, having a spouse, smoking, drinking alcohol, regular exercise, fuel choice, indoor ventilation, residential proximity to major roadways, hypertension, diabetes, cardiopathy, stroke, and cancer. All other covariables were adjusted except the stratified variable. This approach has been widely adopted in similar research 41–43 to ensure a comprehensive exploration of potential interactions that may impact the results. Although the theoretical basis for some interactions may be limited, this method was deemed appropriate and necessary to capture the complex relationships between variables and avoid overlooking significant interaction effects.
In addition, sensitivity analyses were employed to evaluate the robustness of the association. In the first sensitivity analysis, multiple imputations were utilized to impute the missing values 44. In the second sensitivity analysis, based on the previous study, 18 points of the CMMSE scores were adopted as the cutoff value, and a score less than 18 was defined as cognitive impairment 45. In the third sensitivity analysis, the E-value was calculated to assess the influence of unmeasured covariates on the result 46.
Two-tailed P values less than 0.05 were considered statistically significant. All the analyses were calculated on the Stata version 16.0 (StataCorp, College Station, TX, USA), R statistical package (http://www.R-project.org; version 3.6.3), and Empower (R) software (www.empowerstats.com, X and Y Solutions, Inc., Boston, MA, USA).
Results
Characteristics of the participants
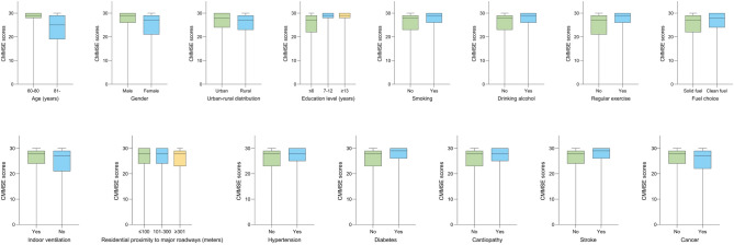
The characteristics of the participants are summarized in Table 1, and the box plots of the association between the characteristics of the participants and the CMMSE scores are summarized in Fig. 3. The median age of the participants was 82.00 years. Among them, 54.23% were female and 55.02% resided in urban areas. The prevalence of cognitive impairment was 25.22%. Participants who reported indoor musty odors were more likely to be older, female, living in rural areas, having lower level of education, not participating in regular exercise, no indoor ventilation, and having a stroke.
Table 1.
Characteristics of participants.
| Characteristics | Total (n = 11,888) | Indoor had no musty odors (n = 10,269) | Indoor had musty odors (n = 1,619) | P value |
|---|---|---|---|---|
| Age (years), median (IQR) | 82.00 (74.00, 92.00) | 82.00 (74.00, 92.00) | 83.00 (75.00, 92.00) | 0.870 |
| CMMSE scores, median (IQR) | 28.00 (23.00, 29.00) | 28.00 (24.00, 29.00) | 27.00 (22.00, 29.00) | < 0.001 |
| Cognitive impairment, n (%) | < 0.001 | |||
| Absence | 8890 (74.78) | 7773 (75.69) | 1117 (68.99) | |
| Presence | 2998 (25.22) | 2496 (24.31) | 502 (31.01) | |
| Gender, n (%) | 0.452 | |||
| Male | 5441 (45.77) | 4714 (45.91) | 727 (44.90) | |
| Female | 6447 (54.23) | 5555 (54.09) | 892 (55.10) | |
| Urban–rural distribution, n (%) | 0.001 | |||
| Urban | 6541 (55.02) | 5710 (55.60) | 831 (51.33) | |
| Rural | 5347 (44.98) | 4559 (44.40) | 788 (48.67) | |
| Education level (years), n (%) | < 0.001 | |||
| ≤ 6 | 8071 (79.51) | 6888 (78.58) | 1183 (85.42) | |
| 7–12 | 1683 (16.58) | 1507 (17.19) | 176 (12.71) | |
| ≥ 13 | 397 (3.91) | 371 (4.23) | 26 (1.88) | |
| Smoking, n (%) | 0.043 | |||
| No | 9852 (83.60) | 8538 (83.88) | 1314 (81.87) | |
| Yes | 1932 (16.40) | 1641 (16.12) | 291 (18.13) | |
| Drinking alcohol, n (%) | 0.287 | |||
| No | 9885 (84.41) | 8548 (84.55) | 1337 (83.51) | |
| Yes | 1826 (15.59) | 1562 (15.45) | 264 (16.49) | |
| Regular exercise, n (%) | < 0.001 | |||
| No | 7815 (66.58) | 6665 (65.77) | 1150 (71.70) | |
| Yes | 3923 (33.42) | 3469 (34.23) | 454 (28.30) | |
| Fuel choice, n (%) | < 0.001 | |||
| Clean fuel | 8075 (69.27) | 7198 (71.37) | 877 (55.75) | |
| Solid fuel | 3583 (30.73) | 2887 (28.63) | 696 (44.25) | |
| Indoor ventilation, n (%) | < 0.001 | |||
| No | 1069 (9.09) | 753 (7.40) | 316 (19.80) | |
| Yes | 10,697 (90.91) | 9417 (92.60) | 1280 (80.20) | |
| Residential proximity to major roadways (meters), n (%) | 0.061 | |||
| ≤ 100 | 3707 (33.81) | 3203 (33.77) | 504 (34.12) | |
| 101–300 | 2180 (19.89) | 1919 (20.23) | 261 (17.67) | |
| ≥ 301 | 5076 (46.30) | 4364 (46.00) | 712 (48.21) | |
| Hypertension, n (%) | 0.207 | |||
| No | 6198 (55.82) | 5370 (56.06) | 828 (54.33) | |
| Yes | 4905 (44.18) | 4209 (43.94) | 696 (45.67) | |
| Diabetes, n (%) | 0.755 | |||
| No | 9565 (89.41) | 8241 (89.37) | 1324 (89.64) | |
| Yes | 1133 (10.59) | 980 (10.63) | 153 (10.36) | |
| Cardiopathy, n (%) | 0.775 | |||
| No | 8812 (82.19) | 7606 (82.24) | 1206 (81.93) | |
| Yes | 1909 (17.81) | 1643 (17.76) | 266 (18.07) | |
| Stroke, n (%) | < 0.001 | |||
| No | 9530 (89.32) | 8261 (89.84) | 1269 (86.09) | |
| Yes | 1139 (10.68) | 934 (10.16) | 205 (13.91) | |
| Cancer, n (%) | 0.858 | |||
| No | 9886 (98.38) | 8539 (98.39) | 1347 (98.32) | |
| Yes | 163 (1.62) | 140 (1.61) | 23 (1.68) |
Total percentages within categories may not equal 100% due to rounding.
IQR, interquartile range; CMMSE, the Chinese version of the Mini-Mental State Examination.
Fig. 3.
Box plots of the CMMSE scores vs. age, gender, urban–rural distribution, education level, smoking, drinking alcohol, regular exercise, fuel choice, indoor ventilation, residential proximity to major roadways, hypertension, diabetes, cardiopathy, stroke, and cancer. Notes: Box plots indicate 25 – 75% quantiles, and lines within box plots are medians. Whiskers indicate the first or third quantile plus 1.5 multiplied by the inner quantile range.
Association between indoor musty odors and cognitive impairment
In the logistic regression analysis of Model 1, there was a significant association between indoor musty odors and cognitive impairment (odds ratio (OR) 1.40, 95% confidence interval (CI) 1.25, 1.57). In the logistic regression analysis of Model 2, the association remained consistent but was enhanced in terms of magnitude (OR 1.43, 95% CI 1.24, 1.65). In the fully adjusted logistic regression analysis of Model 3, the direction also remained consistent, but the association was attenuated in terms of extent (OR 1.34, 95% CI 1.12, 1.62) (Table 2).
Table 2.
Association of indoor musty odors with cognitive impairment by the cutoff value of 24.
| Model | Indoor had no musty odors | Indoor had musty odors | P value |
|---|---|---|---|
| OR (95% CI) | |||
| Model 1 | Reference | 1.40 (1.25, 1.57) | < 0.001 |
| Model 2 | Reference | 1.43 (1.24, 1.65) | < 0.001 |
| Model 3 | Reference | 1.34 (1.12, 1.62) | 0.002 |
Model 1: unadjusted model. Model 2: adjusted for age, urban–rural distribution, fuel choice, and indoor ventilation. Model 3: adjusted for age, gender, urban–rural distribution, education level, smoking, drinking alcohol, regular exercise, fuel choice, indoor ventilation, residential proximity to major roadways, hypertension, diabetes, cardiopathy, stroke, and cancer.
OR, Odds ratio; CI, Confidence interval.
Stratified and interaction analyses
The results of stratified and interaction analysis by categorical variables between indoor musty odors and cognitive impairment are shown in Supplement Table 1. There was no significant modification effect for the indoor musty odors and cognitive impairment in the study subgroups, including gender, urban–rural distribution, education level, having a spouse, smoking, drinking alcohol, living alone, regular exercise, fuel choice, indoor ventilation, using air purification devices or activated carbon, residential proximity to major roadways, rain/water leakage, hypertension, diabetes, cardiopathy, stroke, and cancer (all P for interaction > 0.05).
Sensitivity analyses
In the first sensitivity analysis, multiple imputations were employed to address missing data. The results indicated that the association between indoor musty odors and cognitive impairment stayed stable (P < 0.001) (Supplement Table 2). In the second sensitivity analysis, using a different cutoff value of cognitive impairment scores (< 18), did not change the statistical significance of the associations observed in all analyses (P < 0.05) (Supplement Table 3). In the third sensitivity analysis, the E-values were calculated to assess the sensitivity to unmeasured confounding factors. The obtained E-values of this study were 2.08. Based on the E-value criterion, these values suggest that it is unlikely for unmeasured covariates to influence the results of this study 47.
Discussion
To the best of our understanding, this study is the first to identify the association between indoor musty odors and cognitive impairment among older adults in China using nationally representative data. Besides, this association stays stable after covariates adjustments, stratified and interaction analyses, as well as sensitivity analyses.
Our study found an association between indoor mold exposure and cognitive impairment, which extended the understanding of the previous study, particularly within an older Chinese population 48. Previous research has revealed that mold-exposed patients suffer a wide range of neuropsychological manifestations, usually manifesting as impairments in cognitive domains such as visuospatial learning, visuospatial memory, verbal learning, and psychomotor speed 49. Another clinical study found that many neurobehavioral measurements in 65 subjects exposed to molds and mycotoxins at home were abnormal compared with their individual predicted values 50. However, the above studies, which focused on small samples and were conducted mainly in Western countries, may not adequately reflect the situation of the Asian population. Additionally, in a study that looked at all family members, it was found that only mothers showed symptoms of cognitive impairment in massive mold infestation occurred 51. In the aspect of children, a cohort study in Poland found that not prenatal but only postnatal exposure to mold-contaminated homes was associated with a deficit of cognitive function in children compared with the reference group 21. In contrast, our study showed a more generally significant association between mold exposure and cognitive impairment among older adults, possibly reflecting differences in susceptibility to mold exposure across age groups. The observed association can be attributed to several underlying reasons. First, a previous study has revealed that handling the recurrent mold may result in a degree of anxiety or depression 52. The resulting anxiety or depression can have an adverse impact on cognitive function. For example, anxiety affects memory, while depression affects attention 53,54. These are the main symptoms of cognitive impairment 55. Second, the potential role of indoor mold exposure in disrupting sleep patterns could offer an alternative avenue for understanding the observed cognitive impairment. Mold-related allergens and irritants might contribute to sleep disturbances 56, whereas disrupted sleep architecture and reduced sleep quality have been linked to cognitive decline 57. These findings underscore the urgency of comprehensive mold mitigation strategies in indoor environments, especially if there is musty odors in the bedroom. This supports stricter regulations on indoor environmental quality and mold management for public health interventions.
Some biological mechanisms may explain that exposure to indoor musty odors is associated with cognitive impairment. First, the mold has been proven with neurotoxic properties in animal studies 58,59. Second, excessive reactive oxygen species expression and ion imbalance induced by the mycotoxins in the brain, along with glial cell injury, can exacerbate central nervous system dysfunction 60. Mycotoxins elevate the production of reactive oxygen species, also leading to oxidative stress and subsequent damage to proteins, lipids, and chromosomes, thereby further contributing to cell membrane damage or lysis 61,62. Due to the high oxygen consumption, energy expenditure, and peroxide fatty acids in brain, brain cells are particularly vulnerable to oxidative stress injury caused by mycotoxins present in the environment, such as aflatoxin B1, ochratoxin, T-2 toxins, deoxynivalenol, and fumonisin B1 63. Third, repeated ochratoxin exposure enhances neuroinflammation as evidenced by glial cell activation and increased pro-inflammatory signaling 64. And the chronic neuroinflammatory signaling could potentially contribute to the development of neurodegenerative diseases 65 Similarly, the presence of trichothecenes triggers indirect damage to the nervous system through sustained activation of inflammatory and apoptotic pathways in human brain capillary endothelial cells, astrocytes, and neural progenitor cells 66. It is imperative to acknowledge that these biological mechanisms mentioned above are not mutually exclusive and may have interdependent effects on the emergence and progression of cognitive impairment in indoor musty odors.
Several limitations of this study should be acknowledged. First, the utilization of a cross-sectional design inherently restricts the ability to establish causal inferences. Therefore, further prospective research is imperative to elucidate the causality between indoor musty odors and cognitive impairment. Second, there is a potential for measurement bias in this study since the cognitive function was only assessed once. Consequently, it is necessary to conduct repeat measures for those with abnormal cognitive function to validate the findings. Third, although the calculated E-values demonstrated that unmeasured confounding had minimal impact on the interpretation of the results, the potential for bias cannot be completely ruled out. Finally, since this is a large-scale, nationally representative study involving a large sample size and a geographically diverse population, collecting biophysical samples of air quality or mold is challenging and costly. As a result, we relied on self-reported data to assess indoor musty odors. While this approach is practical for such a large study, it may introduce subjectivity and potential bias. Additionally, the olfactory function of participants was not measured, meaning individuals with olfactory disturbances could not be excluded. The absence of these objective assessments also may introduce potential bias in the study’s outcomes. To address these limitations and further investigate the relationship between musty odors and cognition, future research could consider conducting randomized controlled trials in both animals and humans to confirm this association and explore underlying mechanisms directly.
Conclusion
This study reveals a significant and robust association between indoor musty odors and cognitive impairment among older adults, underscoring the need for targeted interventions. It is recommended that effective mold management strategies be implemented to improve the indoor environments in which older adults live, along with close monitoring.
Supplementary Information
Acknowledgements
Not applicable.
Author contributions
X.L. and X.S. shared the first authorship on this work. Conceptualization: X.L., X.S., and S.Z. Methodology: X.L. and X.S. Data validation and analyses: X.L. and X.S. Data interpretation: X.L., X.S., X.W., J.X., and S.Z. Writing—original draft preparation: X.L. and X.S. Writing—review and editing: X.L., X.S., X.W., J.X., and S.Z. Supervision: X.L., X.S., X.W., J.X., and S.Z. Final approval of manuscript: X.L., X.S., X.W., J.X., and S.Z.
Funding
This research did not receive any specific grant from funding agencies in the public, commercial, or not-for-profit sectors.
Data availability
The datasets analysed during the current study are available in the Peking University Open Research Data repository, 10.18170/DVN/WBO7LK.
Declarations
Ethics approval and consent to participate
The Ethics Committee of Peking University approved the CLHLS (IRB00001052-13074). All participants were signed to written Informed consent forms.
Consent for publication
Not applicable.
Competing interests
The authors declare no competing interests.
Footnotes
Publisher’s note
Springer Nature remains neutral with regard to jurisdictional claims in published maps and institutional affiliations.
Xu Liu and Xuange Sun have authors share the first authorship on this work.
Supplementary Information
The online version contains supplementary material available at 10.1038/s41598-025-12000-y.
References
- 1.Bai, W. et al. Inter-relationship between cognitive performance and depressive symptoms and their association with quality of life in older adults: a network analysis based on the 2017–2018 wave of Chinese longitudinal healthy longevity survey (CLHLS). J Affect Disord320, 621–627 (2023). [DOI] [PubMed] [Google Scholar]
- 2.Deng, Q. & Liu, W. Inequalities in cognitive impairment among older adults in China and the associated social determinants: a decomposition approach. Int J Equity Health20, 82 (2021). [DOI] [PMC free article] [PubMed] [Google Scholar]
- 3.Albert, M. S. et al. The diagnosis of mild cognitive impairment due to Alzheimer’s disease: recommendations from the national institute on Aging-Alzheimer’s association workgroups on diagnostic guidelines for Alzheimer’s disease. Alzheimers Dement7, 270–279 (2011). [DOI] [PMC free article] [PubMed] [Google Scholar]
- 4.Scarmeas, N., Anastasiou, C. A. & Yannakoulia, M. Nutrition and prevention of cognitive impairment. Lancet Neurol17, 1006–1015 (2018). [DOI] [PubMed] [Google Scholar]
- 5.Yang, J. et al. Instrumental activities of daily living trajectories and risk of mild cognitive impairment among Chinese older adults: results of the Chinese longitudinal healthy longevity survey, 2002–2018. Front Public Health11, 1165753 (2023). [DOI] [PMC free article] [PubMed] [Google Scholar]
- 6.Zhang, W., Chen, Y. & Chen, N. Body mass index and trajectories of the cognition among Chinese middle and old-aged adults. BMC Geriatr22, 613 (2022). [DOI] [PMC free article] [PubMed] [Google Scholar]
- 7.Zare Sakhvidi, M. J. et al. Outdoor air pollution exposure and cognitive performance: findings from the enrolment phase of the CONSTANCES cohort. Lancet Planet Health6, e219–e229 (2022). [DOI] [PubMed] [Google Scholar]
- 8.Krems, C., Lhrmann, P. M. & Neuhuser-Berthold, M. Physical activity in young and elderly subjects. J Sports Med Phys Fitness44, 71–76 (2004). [PubMed] [Google Scholar]
- 9.Shen, S., Luo, M., Meng, X., Deng, Y. & Cheng, S. All-cause mortality risk associated with solid fuel use among Chinese elderly people: a national retrospective longitudinal study. Front Public Health9, 741637 (2021). [DOI] [PMC free article] [PubMed] [Google Scholar]
- 10.Xu, T. et al. Association between solid cooking fuel and cognitive decline: three nationwide cohort studies in middle-aged and older population. Environ Int173, 107803 (2023). [DOI] [PubMed] [Google Scholar]
- 11.Letellier, N. et al. Association between occupational exposure to formaldehyde and cognitive impairment. Neurology98, e633–e640 (2022). [DOI] [PubMed] [Google Scholar]
- 12.WHO Guidelines for Indoor Air Quality. Dampness and Mould (WHO, 2009). [PubMed] [Google Scholar]
- 13.Gibbs, M. E., Hutchinson, D. & Hertz, L. Astrocytic involvement in learning and memory consolidation. Neurosci Biobehav Rev32, 927–944 (2008). [DOI] [PubMed] [Google Scholar]
- 14.Perrone, G. & Gallo, A. Aspergillus species and their associated mycotoxins. Methods Mol Biol1542, 33–49 (2017). [DOI] [PubMed] [Google Scholar]
- 15.Verdier, T., Coutand, M., Bertron, A. & Roques, C. A review of indoor microbial growth across building materials and sampling and analysis methods. Build. Environ.80, 136–149 (2014). [Google Scholar]
- 16.Fang, W. et al. The joint and interaction effect of high temperature and humidity on mortality in China. Environ Int171, 107669 (2023). [DOI] [PubMed] [Google Scholar]
- 17.Qu, M., Pelkonen, P., Tahvanainen, L., Arevalo, J. & Gritten, D. Experts’ assessment of the development of wood framed houses in China. J. Clean. Prod.31, 100–105 (2012). [Google Scholar]
- 18.Viitanen H, Ojanen T. Improved model to predict mold growth in building materials. Thermal Performance of the Exterior Envelopes of Whole Buildings X–Proceedings CD. 2007:2-7.
- 19.Dong, G.-H. et al. Residential characteristics and household risk factors and respiratory diseases in Chinese women: the Seven Northeast Cities (SNEC) Study. Sci. Total Environ.463–464, 389–394 (2013). [DOI] [PubMed] [Google Scholar]
- 20.Li, S. et al. Household mold exposure in association with childhood asthma and allergic rhinitis in a northwestern city and a southern city of China. J Thorac Dis14, 1725–1737 (2022). [DOI] [PMC free article] [PubMed] [Google Scholar]
- 21.Jedrychowski, W. et al. Cognitive function of 6-year old children exposed to mold-contaminated homes in early postnatal period. Prospective birth cohort study in Poland. Physiol Behav104, 989–995 (2011). [DOI] [PMC free article] [PubMed] [Google Scholar]
- 22.Shi, L. et al. A national cohort study (2000–2018) of long-term air pollution exposure and incident dementia in older adults in the United States. Nat Commun12, 6754 (2021). [DOI] [PMC free article] [PubMed] [Google Scholar]
- 23.Lu, C., Deng, Q., Li, Y., Sundell, J. & Norbäck, D. Outdoor air pollution, meteorological conditions and indoor factors in dwellings in relation to sick building syndrome (SBS) among adults in China. Sci Total Environ560–561, 186–196 (2016). [DOI] [PubMed] [Google Scholar]
- 24.Wang, J. et al. Asthma, allergic rhinitis and eczema among parents of preschool children in relation to climate, and dampness and mold in dwellings in China. Environ Int130, 104910 (2019). [DOI] [PubMed] [Google Scholar]
- 25.Wang, J. et al. Rhinitis symptoms and asthma among parents of preschool children in relation to the home environment in Chongqing. China. PLoS One9, e94731 (2014). [DOI] [PMC free article] [PubMed] [Google Scholar]
- 26.Toader, O., von Heimendahl, M., Schuelert, N., Nissen, W. & Rosenbrock, H. Suppression of parvalbumin interneuron activity in the prefrontal cortex recapitulates features of impaired excitatory/inhibitory balance and sensory processing in schizophrenia. Schizophr Bull46, 981–989 (2020). [DOI] [PMC free article] [PubMed] [Google Scholar]
- 27.Mazur, L. J., Kim, J., Committee on Environmental Health. American Academy of Pediatrics. Spectrum of noninfectious health effects from molds. Pediatrics118, e1909-1926 (2006). [DOI] [PubMed] [Google Scholar]
- 28.Inamdar, A. A., Morath, S. & Bennett, J. W. Fungal volatile organic compounds: more than just a funky smell?. Annu Rev Microbiol74, 101–116 (2020). [DOI] [PubMed] [Google Scholar]
- 29.LeBouf, R. F., Schuckers, S. A. & Rossner, A. Preliminary assessment of a model to predict mold contamination based on microbial volatile organic compound profiles. Sci Total Environ408, 3648–3653 (2010). [DOI] [PubMed] [Google Scholar]
- 30.Schleibinger, H., Laussmann, D., Bornehag, C.-G., Eis, D. & Rueden, H. Microbial volatile organic compounds in the air of moldy and mold-free indoor environments. Indoor Air18, 113–124 (2008). [DOI] [PubMed] [Google Scholar]
- 31.Healthy Longevity in China. demographic, socioeconomic, and psychological dimensions Vol. 20 (Springer, 2008). [Google Scholar]
- 32.Li, W., Shen, S., Yang, J., Guo, J. & Tang, Q. Determinants of satisfaction with hospital online appointment service among older adults during the COVID-19 pandemic: a cross-sectional study. Front Public Health10, 853489 (2022). [DOI] [PMC free article] [PubMed] [Google Scholar]
- 33.Shiue, I. Indoor mildew odour in old housing was associated with adult allergic symptoms, asthma, chronic bronchitis, vision, sleep and self-rated health: USA NHANES, 2005–2006. Environ Sci Pollut Res22, 14234–14240 (2015). [DOI] [PubMed] [Google Scholar]
- 34.Sharpe, R. A., Thornton, C. R., Tyrrell, J., Nikolaou, V. & Osborne, N. J. Variable risk of atopic disease due to indoor fungal exposure in NHANES 2005–2006. Clin. Exp. Allergy45, 1566–1578 (2015). [DOI] [PubMed] [Google Scholar]
- 35.Katzman, R. et al. A Chinese version of the mini-mental state examination; impact of illiteracy in a Shanghai dementia survey. J Clin Epidemiol41, 971–978 (1988). [DOI] [PubMed] [Google Scholar]
- 36.Li, H., Jia, J. & Yang, Z. Mini-mental state examination in elderly Chinese: a population-based normative study. J Alzheimer’s Dis53, 487–496 (2016). [DOI] [PubMed] [Google Scholar]
- 37.Wang, W., Chen, J., Jin, X., Ping, Y. & Wu, C. Association between indoor ventilation frequency and cognitive function among community-dwelling older adults in China: results from the Chinese longitudinal healthy longevity survey. BMC Geriatr.22, 106 (2022). [DOI] [PMC free article] [PubMed] [Google Scholar]
- 38.Wang, X., Chen, H., Liu, Y., Zhao, Z. & Zang, S. Association between depression status in adolescents and cognitive performance over the subsequent six years: a longitudinal study. J Affect Disord329, 105–112 (2023). [DOI] [PubMed] [Google Scholar]
- 39.Wang, X. et al. Association of adolescent self-esteem in 2014 and cognitive performance in 2014, 2016, and 2018: a longitudinal study. Front Psychol14, 1180397 (2023). [DOI] [PMC free article] [PubMed] [Google Scholar]
- 40.Lv, X. et al. Cognitive decline and mortality among community-dwelling Chinese older people. BMC Med17, 63 (2019). [DOI] [PMC free article] [PubMed] [Google Scholar]
- 41.Yao, Y. et al. Residential proximity to major roadways and cognitive function among Chinese adults 65 years and older. Sci. Total Environ.766, 142607 (2021). [DOI] [PubMed] [Google Scholar]
- 42.Hu, G., Jia, G., Tang, S., Zheng, P. & Hu, L. Association of low-level blood lead with serum uric acid in U.S. adolescents: a cross-sectional study. Environ Health18, 86 (2019). [DOI] [PMC free article] [PubMed] [Google Scholar]
- 43.Lin, L., Wang, H. H., Lu, C., Chen, W. & Guo, V. Y. Adverse childhood experiences and subsequent chronic diseases among middle-aged or older adults in china and associations with demographic and socioeconomic characteristics. JAMA Netw. Open4, e2130143 (2021). [DOI] [PMC free article] [PubMed] [Google Scholar]
- 44.Austin, P. C., White, I. R., Lee, D. S. & van Buuren, S. Missing data in clinical research: a tutorial on multiple imputation. Can J Cardiol37, 1322–1331 (2021). [DOI] [PMC free article] [PubMed] [Google Scholar]
- 45.Jin, X. et al. Association of APOE ε4 genotype and lifestyle with cognitive function among Chinese adults aged 80 years and older: a cross-sectional study. PLoS Med18, e1003597 (2021). [DOI] [PMC free article] [PubMed] [Google Scholar]
- 46.VanderWeele, T. J. & Ding, P. Sensitivity analysis in observational research: introducing the E-value. Ann Intern Med167, 268–274 (2017). [DOI] [PubMed] [Google Scholar]
- 47.Trinquart, L., Erlinger, A. L., Petersen, J. M., Fox, M. & Galea, S. Applying the E value to assess the robustness of epidemiologic fields of inquiry to unmeasured confounding. Am. J. Epidemiol.188, 1174–1180 (2019). [DOI] [PubMed] [Google Scholar]
- 48.Harding, C. F. et al. Mold inhalation causes innate immune activation, neural, cognitive and emotional dysfunction. Brain Behav Immun87, 218–228 (2020). [DOI] [PMC free article] [PubMed] [Google Scholar]
- 49.Baldo, J. V., Ahmad, L. & Ruff, R. Neuropsychological performance of patients following mold exposure. Appl. Neuropsychol.9, 193–202 (2002). [DOI] [PubMed] [Google Scholar]
- 50.Kilburn, K. H. Indoor mold exposure associated with neurobehavioral and pulmonary impairment: a preliminary report. Archiv Environ Health: Int J58, 390–398 (2003). [DOI] [PubMed] [Google Scholar]
- 51.Kramer, A., Wichelhaus, T. A., Kempf, V., Hogardt, M. & Zacharowski, K. Building-related illness (BRI) in all family members caused by mold infestation after dampness damage of the building. GMS Hygiene Infect Control16, Doc32 (2021). [DOI] [PMC free article] [PubMed] [Google Scholar]
- 52.Shenassa, E. D., Daskalakis, C., Liebhaber, A., Braubach, M. & Brown, M. Dampness and mold in the home and depression: an examination of mold-related illness and perceived control of one’s home as possible depression pathways. Am J Public Health97, 1893–1899 (2007). [DOI] [PMC free article] [PubMed] [Google Scholar]
- 53.Pan, Z. et al. Cognitive impairment in major depressive disorder. CNS Spectr24, 22–29 (2019). [DOI] [PubMed] [Google Scholar]
- 54.Nyberg, J. et al. Anxiety severity and cognitive function in primary care patients with anxiety disorder: a cross-sectional study. BMC Psychiatry21, 617 (2021). [DOI] [PMC free article] [PubMed] [Google Scholar]
- 55.Shi, G., Feng, J., Jian, L.-Y. & Fan, X.-Y. DNA hypomethylation promotes learning and memory recovery in a rat model of cerebral ischemia/reperfusion injury. Neural Regen Res18, 863–868 (2022). [DOI] [PMC free article] [PubMed] [Google Scholar]
- 56.Schuler Iv, C. F. & Montejo, J. M. Allergic rhinitis in children and adolescents. Pediatr Clin North Am66, 981–993 (2019). [DOI] [PubMed] [Google Scholar]
- 57.Lo, J. C., Loh, K. K., Zheng, H., Sim, S. K. Y. & Chee, M. W. L. Sleep Duration and Age-Related Changes in Brain Structure and Cognitive Performance. Sleep37, 1171–1178 (2014). [DOI] [PMC free article] [PubMed] [Google Scholar]
- 58.Pleadin, J., Frece, J. & Markov, K. Mycotoxins in food and feed. Adv Food Nutr Res89, 297–345 (2019). [DOI] [PubMed] [Google Scholar]
- 59.Bellver Soto, J., Fernández-Franzón, M., Ruiz, M.-J. & Juan-García, A. Presence of ochratoxin A (OTA) mycotoxin in alcoholic drinks from southern European countries: wine and beer. J Agric Food Chem62, 7643–7651 (2014). [DOI] [PubMed] [Google Scholar]
- 60.Pei, X. et al. Food-origin mycotoxin-induced neurotoxicity: intend to break the rules of neuroglia cells. Oxid. Med. Cell. Longev.2021, e9967334 (2021). [DOI] [PMC free article] [PubMed] [Google Scholar]
- 61.Doi, K. & Uetsuka, K. Mechanisms of mycotoxin-induced neurotoxicity through oxidative stress-associated pathways. Int J Mol Sci12, 5213–5237 (2011). [DOI] [PMC free article] [PubMed] [Google Scholar]
- 62.You, L., Nepovimova, E., Valko, M., Wu, Q. & Kuca, K. Mycotoxins and cellular senescence: the impact of oxidative stress, hypoxia, and immunosuppression. Arch Toxicol97, 393–404 (2023). [DOI] [PubMed] [Google Scholar]
- 63.Fang, H. et al. T-2 toxin induces apoptosis in differentiated murine embryonic stem cells through reactive oxygen species-mediated mitochondrial pathway. Apoptosis17, 895–907 (2012). [DOI] [PubMed] [Google Scholar]
- 64.Fu, X.-Y. et al. Strategy to suppress oxidative damage-induced neurotoxicity in PC12 Cells by Curcumin: the role of ROS-mediated DNA damage and the MAPK and AKT Pathways. Mol Neurobiol53, 369–378 (2016). [DOI] [PubMed] [Google Scholar]
- 65.Frank-Cannon, T. C., Alto, L. T., McAlpine, F. E. & Tansey, M. G. Does neuroinflammation fan the flame in neurodegenerative diseases?. Mol Neurodegener4, 47 (2009). [DOI] [PMC free article] [PubMed] [Google Scholar]
- 66.Karunasena, E., Larrañaga, M. D., Simoni, J. S., Douglas, D. R. & Straus, D. C. Building-associated neurological damage modeled in human cells: a mechanism of neurotoxic effects by exposure to mycotoxins in the indoor environment. Mycopathologia170, 377–390 (2010). [DOI] [PubMed] [Google Scholar]
Associated Data
This section collects any data citations, data availability statements, or supplementary materials included in this article.
Supplementary Materials
Data Availability Statement
The datasets analysed during the current study are available in the Peking University Open Research Data repository, 10.18170/DVN/WBO7LK.



