Abstract
Background: Determining fetal sex during the early stages can help identify potential x-linked disorders and predict pregnancy complications and outcomes related to fetal sex. Few studies have evaluated the use of anogenital distance (AGD) and fetal heart rate (FHR) as sonographic markers for predicting fetal sex in the first trimester. Therefore, this study aimed to predict fetal sex by measuring AGD and FHR using ultrasound in the first trimester. Methods: This cross-sectional study was conducted at Shahid Beheshti Hospital, Isfahan City, in 2022-2023. Ultrasound scans of 143 singleton pregnancies between 11 and 13 plus 6 gestational weeks and their fetal sex at birth were collected. The exact age of pregnancy was determined by measuring crown-rump length (CRL). The diagnostic value of AGD and FHR in predicting fetal sex was evaluated using receiver operating characteristic (ROC) curve analysis, and indicators such as sensitivity, specificity, positive and negative predictive value, and the area under the curve (AUC) were reported. Results: A total of 143 pregnant women with the mean age of 31.08 ± 5.26 years were entered to our study. The mean CRL and FHR in male and female fetuses were not significantly associated with fetal sex (P > 0.001). However, AGD was significantly higher in male fetuses than in female fetuses (P < 0.001). Moreover, we found that AGD at the cut-off point of 4.2 mm had a significant diagnostic value in predicting male sex (AUC = 0.792; P < 0.001). Conclusion: Our study demonstrated that AGD measurement, unlike FHR and CRL, could be a valuable procedure for predicting fetal sex.
Keywords: Fetus, gender, anogenital distance, fetal heart rate
Introduction
Determining fetal gender during the first trimester of pregnancy is critical for patients with a family history of gender-related disorders. X-linked recessive genetic disorders only affect male babies, whereas congenital adrenal hyperplasia affects female fetuses. Therefore, early diagnosis of fetal gender is crucial [1,2]. The most accurate way to determine an embryo’s gender is to biopsy the chorionic villus using ultrasonography. However, it is invasive and has a 0.5%-1.0% chance of fetal loss [3]. In contrast, cell-free fetal DNA analysis in the mother’s bloodstream is a non-invasive but potentially costly and geographically limited method [4].
The easiest way to determine the gender of a fetus without any invasive procedures is through ultrasonography in the second trimester, by looking at the morphological characteristics of the genitalia (penis and scrotum in males, and labia majora and minora in females) [5]. Ultrasonography of genital morphological characteristics for predicting fetal sex demonstrated improved accuracy with advancing gestational age, rising from 70.3% at 11 weeks to 98.7% at 12 weeks and reaching 100% at 13 weeks [6]. Another study reported an overall accuracy of 87.5% for fetal sex determination between 11 weeks and 13 weeks + 6 days [7]. The method involves assessing the angle of the genital tubercle against a horizontal line on the midsagittal plane, identifying male fetuses with angles greater than 30° and female fetuses with angles less than 30°. This approach exhibits high reliability, particularly as fetal crown-rump length (CRL) and gestational age increase [6,7]. However, due to biological factors, such as insufficient differentiation between genitalia and small size, and technical factors, such as the challenge of accurately determining the midsagittal plane, the accuracy of fetal gender determination declines before the second trimester [8].
A novel technique for identifying the sex of a fetus during the first trimester was developed in the late 1990s. In this approach, the genital tubercle angle is measured to a horizontal line on the lumbosacral skin in the midsagittal plane of the fetus. Gender determination using this method is 100% accurate after 13 weeks of pregnancy. However, it has low sensitivity between 11 and 12 weeks [9].
Recently, anogenital distance (AGD) has emerged as a promising sonographic marker for early fetal sex determination. AGD is defined as the distance from the center of the anus to the base of the genital tubercle and is considered a sexually dimorphic trait, with its length influenced by prenatal androgen exposure [10]. Multiple studies have consistently demonstrated that male fetuses exhibit a significantly longer AGD compared to female fetuses during the prenatal period. Experimental preclinical studies support that androgen exposure during the masculinization process leads to a longer AGD in males [11,12]. In humans, sonographic measurement of AGD has been shown to reliably distinguish between male and female fetuses, with male fetuses having a longer AGD than females at comparable gestational ages. For instance, Sipahi et al. [13] reported mean AGD values of 5.1 mm for males and 3.6 mm for females in the first trimester, while Alfuraih et al. [14] found mean AGD values of 6.80 mm in males and 5.92 mm in females, further confirming the sexual dimorphism of AGD during prenatal development. These findings highlight AGD as a safe, non-invasive, and cost-effective means of early gender identification. However, large-scale validation of AGD measurements across diverse populations is still lacking, and recent studies have found considerable differences in AGD levels among races, implying that population-specific normative values are required for proper clinical assessment.
Another straightforward approach is sex prediction using fetal heart rate (FHR), which can be done even with outdated sonographic equipment. Several studies have been conducted on the association between perinatal fetal heart rate and gender. The results are conflicting since a 1993 study by Hall et al. [15] found that female fetuses have FHRs greater than 140 bpm, but most of the others revealed no significant difference [16,17]. A few studies also looked at this relationship in the first trimester; the results were different but not statistically significant [16,17]. Numerous factors affect FHR, including uterine contractions, fetal respiration and movement, and exogenous glucocorticoid administration during the third trimester and postpartum phase. In addition, FHR fluctuations are lowest in the first trimester [18].
Studies that have evaluated using FHR and AGD to predict fetal gender in the first trimester have been very limited. Also, the results obtained from different studies have been contradictory. Therefore, this study aimed to predict fetal gender by measuring AGD and FHR via ultrasound at 14 weeks.
Material and methods
Study design
The current study is a cross-sectional study conducted on pregnant women referred to Shahid Beheshti Hospital in Isfahan City in 2022-2023. The study protocol was accepted by the Isfahan University of Medical Sciences Research Committee and certified by the Ethics Committee (IR.MUI.MED.REC.1401.332).
Inclusion and exclusion criteria
Our inclusion criteria were women aged 18-35 years with a singleton pregnancy from 11 to 13 weeks and 6 days of gestation. In addition, the participants had no known chronic illnesses (e.g., diabetes and hypertension) that could affect fetal development or ultrasound results. Only women who consented to participate in this study were included.
The exclusion criteria were women with multiple gestations, a history of pregnancy-related complications in previous pregnancies, such as miscarriage or stillbirth, and women who had undergone invasive procedures (e.g., amniocentesis and chorionic villus sampling) before the ultrasound were excluded. In addition, cases where ultrasound quality is inadequate for the accurate measurement of AGD or FHR due to maternal obesity or poor fetal positioning will be excluded.
Ultrasound examination
All mothers underwent ultrasound examination by an experienced sonographer.
The FHR was assessed using M-mode ultrasound (GE E6) and documented during the initial seconds of the examination when the fetus was at rest. FHR recordings adhered to the guidelines established by the American College of Obstetricians and Gynecologists [19]. FHR analysis was conducted using 3-minute segments (comprising 360 data points) devoid of missing data to mitigate the influence of erroneous heart rates and ensure uniformity in the length of the analysis segment across all parameters examined, regardless of the trace length. The initial, middle, and final 3-minute segments of each trace were averaged to derive a single analysis segment for each trace.
The fetal AGD was measured in the mid-sagittal plane, with the fetus in a natural position, and the neck and spine neither hyper-flexed nor hyper-extended. According to this plane, the exact age of the pregnancy was determined by measuring the CRL. After that, the AGD was measured from the caudal extremity of the fetus to the inferior end of the genital appendage. This study utilized an ultrasound system with a Probe Convex c7-3 and magnified the image to 500% for better visibility.
Group classification
The participants were divided into three groups based on their pregnancy age. Group 1 comprised women with a gestational age of 11 weeks to 11 weeks + 6 days, Group 2 included women with a gestational age of 12 weeks to 12 weeks + 6 days, and Group 3 consisted of women with a gestational age of 13 weeks to 13 weeks + 6 days.
The sex of each participant’s baby was determined after birth. The study collected ultrasound data, including measurements of AGD during the first trimester, but the definitive sex of the embryos was confirmed at birth rather than predicted before the ultrasound measurements were taken.
The gender of each participant’s infant was recorded, and receiver operating characteristic (ROC) curves were used to define the cut-off for AGD in each group.
Statistical analysis
The collected information was entered into SPSS software (ver. 26). The data were shown as mean ± standard deviation (SD) or frequency (percentage). Independent t-test and Fisher’s exact test were used to compare the mean of quantitative and qualitative variables between the two genders. In addition, the diagnostic value of AGD and FHR in predicting the fetal sex was evaluated using ROC analysis, and indicators such as sensitivity, specificity, positive and negative predictive value, and the area under the curve (AUC) were reported. In all analyses, a significance level of less than 0.05 was considered.
Results
Participant demographics
In the present study, 143 pregnant women with a mean age of 31.08 ± 5.26 years. Among them, 10 (7%) had gestational diabetes and 11 (7.7%) had PCOS. The mean gestational age of the participants was 12.51 ± 0.84 weeks. Notably, male fetuses were more frequently diagnosed in the 11th and 13th weeks, whereas female fetuses were predominantly diagnosed in the 12th week (P < 0.001).
Measurements and comparisons
The mean CRL for male and female fetuses were 59.09 ± 10.48 mm and 62.22 ± 11.18 mm, respectively, showing no significant difference (P > 0.05). Similarly, the mean fetal heart rate (FHR) was 158.96 ± 19.95 bpm for males and 159.97 ± 10.75 bpm for females, with no significant difference (P > 0.05). Conversely, the AGD in male fetuses was significantly higher, with a mean of 4.39 ± 1.18 mm compared to 3.39 ± 0.75 mm in females (P < 0.001) (Table 1).
Table 1.
Basic and clinical characteristics of pregnant women by fetal sex
| Variables | Total (n = 143) | Boy (n = 70) | Girl (n = 73) | P value** |
|---|---|---|---|---|
| Age; year | 31.08 ± 5.26 | 30.84 ± 5.73 | 31.32 ± 4.81 | 0.594* |
| Weight; kg | 68.66 ± 11.20 | 69.79 ± 12.79 | 67.59 ± 9.40 | 0.242* |
| Gestational diabetes | 10 (7%) | 6 (8.6%) | 4 (5.5%) | 0.527 |
| PCOS | 11 (7.7%) | 5 (7.1%) | 6 (8.2%) | 0.809 |
| Gestational age; week | ||||
| 11 week | 32 (22.4%) | 20 (27.4%) | 12 (17.1%) | < 0.001 |
| 12 week | 56 (39.2%) | 17 (23.3%) | 39 (55.7%) | |
| 13 week | 55 (38.5%) | 36 (49.3%) | 19 (27.1%) | |
| CRL; mm | 60.69 ± 10.92 | 59.09 ± 10.48 | 62.22 ± 11.18 | 0.086* |
| FHR; bpm | 159.48 ± 15.88 | 158.96 ± 19.95 | 159.97 ± 10.75 | 0.704* |
| AGD; mm | 3.88 ± 1.09 | 4.39 ± 1.18 | 3.39 ± 0.75 | < 0.001* |
CRL: Crown-rump length, FHR: Fetal heart rate, AGD: Anogenital distance.
Independent t-test and Fisher’s exact test were used.
P < 0.05 was considered significant.
Diagnostic value of AGD and FHR
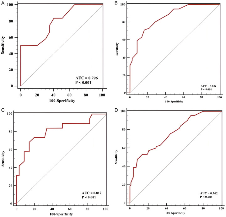
Due to the significant difference in the frequency distribution of gestational weeks in different sexes of the fetus, the diagnostic value of two factors, AGD and FHR, was evaluated separately by gestational weeks. AGD at the cut-off point of > 4.2 mm had a significant diagnostic value in predicting male sex, with a sensitivity and specificity of 52.86% and 86.30%, respectively (AUC = 0.792; P < 0.001). In addition, by separating the gestational weeks, it was also determined that AGD in the 11th, 12th and 13th weeks with the cut-off point of > 3.6 mm (Sensitivity: 50.00; Specificity: 100.00), > 3.4 mm (Sensitivity: 70.59; Specificity: 83.78) and > 4.3 mm (Sensitivity: 68.42; Specificity: 86.11) respectively had a significant diagnostic value in predicting male gender (Table 2; Figure 1).
Table 2.
Diagnostic value of AGD in predicting fetal sex
| GA | Criterion | Sensitivity [95% CI]* | Specificity [95% CI]* | PPV | NPV | AUC | P value** |
|---|---|---|---|---|---|---|---|
| 11 week | > 3.6 mm | 50.00 [21.1-78.9] | 100.00 [83.2-100.0] | 100.00 | 76.9 | 0.796 | < 0.001 |
| 12 week | > 3.4 mm | 70.59 [56.2-82.5] | 83.78 [68.0-93.8] | 85.7 | 67.4 | 0.854 | < 0.001 |
| 13 week | > 4.3 mm | 68.42 [43.4-87.4] | 86.11 [70.5-95.3] | 72.2 | 83.8 | 0.817 | < 0.001 |
| Overall | > 4.2 mm | 52.86 [40.6-64.9] | 86.30 [76.2-93.2] | 78.7 | 65.6 | 0.792 | < 0.001 |
GA: Gestational age, PPV: Positive predictive value, NPV: Negative predictive value, AUC: Area under the curve.
Diagnostic performance of AGD in expecting fetal gender was evaluated with ROC curves.
P < 0.05 was considered significant.
Figure 1.
ROC diagram to evaluate the diagnostic value of AGD in predicting the fetal sex at gestational age (A) 11 weeks to 11 week + 6 days, (B) 12 weeks to 12 weeks + 6 days, (C) 13 weeks to 13 weeks + 6 days and (D) overall.
FHR at the cut-off point of > 157 bpm with a sensitivity and specificity of 64.29% and 49.32%, respectively, had no acceptable diagnostic value in predicting male sex (AUC = 0.511; P = 829). The FHR factor cannot play a decisive role in predicting the sex of the fetus by gestational week (Table 3; Figure 2).
Table 3.
Diagnostic value of FHR in predicting fetal sex
| GA | Criterion | Sensitivity [95% CI]* | Specificity [95% CI]* | PPV | NPV | AUC | P value** |
|---|---|---|---|---|---|---|---|
| 11 week | > 140 bpm | 100.00 [73.5-100.0] | 30.00 [11.9-54.3] | 46.2 | 100.00 | 0.585 | 0.415 |
| 12 week | > 168 bpm | 84.31 [71.4-93.0] | 32.43 [18.0-49.8] | 63.2 | 60.0 | 0.542 | 0.519 |
| 13 week | > 159 bpm | 52.63 [28.9-75.6] | 66.67 [49.0-81.4] | 45.5 | 72.7 | 0.520 | 0.813 |
| Overall | > 157 bpm | 64.29 [51.9-75.4] | 49.32 [37.4-61.3] | 54.9 | 59 | 0.511 | 0.829 |
GA: Gestational age, PPV: Positive predictive value, NPV: Negative predictive value, AUC: Area under the curve.
Diagnostic performance of AGD in expecting fetal gender was evaluated with ROC curves.
P < 0.05 was considered significant.
Figure 2.
ROC diagram to evaluate the diagnostic value of FHR in predicting fetal sex at gestational age (A) 11 weeks to 11 week + 6 days, (B) 12 weeks to 12 weeks + 6 days, (C) 13 weeks to 13 weeks + 6 days and (D) overall.
Discussion
Our study evaluated the efficacy of AGD and FHR as potential markers for the early determination of fetal sex during the first trimester of pregnancy. The findings revealed that AGD measurement is a reliable indicator for predicting fetal sex between 11 weeks and 13 weeks + 6 days of gestation, whereas FHR demonstrated limited predictive value.
The observed difference in AGD between male and female fetuses aligns with the current understanding of sexual differentiation during early development. Our findings demonstrated that an AGD cut-off point of 4.2 mm had significant diagnostic value in predicting male sex, with a sensitivity and specificity of 52.86% and 86.30%, respectively (AUC = 0.792; P < 0.001). The notable specificity value suggests that AGD measurement could be particularly valuable when ruling in male sex prediction. This sexual dimorphism in AGD likely stems from differential androgen exposure during the critical windows of genital development. Androgens, particularly testosterone, promote tissue growth in the anogenital region, resulting in greater distance in male fetuses. This hormonal influence represents a fundamental biological mechanism underlying the morphological differences observed in this study, consistent with studies on sexual dimorphism in other mammalian species [20,21].
Our findings regarding AGD are consistent with several previous investigations. Najdi et al. [22] demonstrated in 2019 that AGD measurement accurately identified fetal gender with optimal results at gestational ages beyond 12 weeks, using a cut-off measurement of 4.9 mm. Their reported accuracy rates of 88% for male and 95% for female fetuses exceed our values, potentially reflecting differences in study populations or measurement techniques. Similarly, Elanwar et al. [23] reported in 2023 that an AGD cut-off of 4.9 mm yielded sensitivity and specificity of 93.41% and 86.49%, respectively. The slight variation in optimal cut-off values between our study (4.2 mm) and these investigations (4.9 mm) merits consideration and may reflect population-specific differences in fetal development or measurement methodologies.
In contrast to the promising results with AGD, our analysis revealed that FHR has limited value in predicting fetal sex. With a cut-off point of 157 bpm yielding sensitivity and specificity of only 64.29% and 49.32%, respectively, FHR does not appear to be a reliable marker for gender determination. This finding challenges the widely held belief among some pregnant women and medical professionals that female fetuses exhibit higher heart rates than males [24]. While our data showed slightly higher average FHR in female fetuses, the difference lacked statistical significance, a conclusion supported by Oloyede et al.’s [16] larger study of 2437 fetuses. The inconsistency in FHR findings across studies likely reflects the multiple physiological factors that influence heart rate, including maternal metabolism, fetal position, gestational age, and methodology variations in heart rate assessment [17,18].
The discrepancy between the reliability of AGD and FHR as predictive markers has important clinical implications. AGD measurement represents a non-invasive, cost-effective approach to early sex determination that could potentially reduce the need for more invasive procedures like amniocentesis or chorionic villus sampling in cases where sex-linked genetic disorders are a concern [2,3]. However, the technique requires standardization and validation across different populations before widespread clinical adoption. Recent studies have identified racial variations in normative AGD values, suggesting that population-specific reference ranges would be necessary for accurate clinical assessment [11,12].
The strengths of our study include its cross-sectional design within a single tertiary care center, which ensured consistent measurement techniques and eliminated inter-center variability. Additionally, our study is one of the few to simultaneously assess both FHR and AGD as predictive markers in the same population, allowing for a direct comparison of their respective diagnostic values. This comprehensive approach provides a more nuanced understanding of the relative merits of each parameter for early sex determination.
Our study had several limitations that should be considered when interpreting our findings. Our sample size was smaller than that of some previous studies, potentially limiting the statistical power. Although the single-center design is advantageous for measurement consistency, it may restrict generalizability to more diverse populations.
Conclusion
Based on this study, it is possible to accurately determine the gender of a fetus between 11 to 13 weeks and 6 days into gestation using AGD measurement. However, there is no evidence of a correlation between fetal gender and FHR or CRL. In order to obtain more precise results with AGD and FHR, it is recommended that future studies take into account a larger sample size of women.
Disclosure of conflict of interest
None.
References
- 1.Baines KJ, West RC. Sex differences in innate and adaptive immunity impact fetal, placental, and maternal health. Biol Reprod. 2023;109:256–270. doi: 10.1093/biolre/ioad072. [DOI] [PubMed] [Google Scholar]
- 2.Srisupundit K, Tongsong T, Piyamongkol W, Sirichotiyakul S, Tongprasert F, Leuwan S, Traisrisilp K, Jatavan P, Sirilert S. Chorionic villous sampling-related complications: a cohort study. J Matern Fetal Neonatal Med. 2020;33:1901–1905. doi: 10.1080/14767058.2018.1533943. [DOI] [PubMed] [Google Scholar]
- 3.Martins AT, Francisco C, Correia H, Cohen Á. Chorionic villus sampling: 10 years of experience in a University referral center. J Gynecol Obstet Hum Reprod. 2020;49:101715. doi: 10.1016/j.jogoh.2020.101715. [DOI] [PubMed] [Google Scholar]
- 4.Mousavi S, Shokri Z, Bastani P, Ghojazadeh M, Riahifar S, Nateghian H. Factors affecting low fetal fraction in fetal screening with cell-free DNA in pregnant women: a systematic review and meta-analysis. BMC Pregnancy Childbirth. 2022;22:918. doi: 10.1186/s12884-022-05224-7. [DOI] [PMC free article] [PubMed] [Google Scholar]
- 5.Rafieezadeh D, Rafieezadeh A. Extracellular vesicles and their therapeutic applications: a review article (part1) Int J Physiol Pathophysiol Pharmacol. 2024;16:1–9. doi: 10.62347/QPAG5693. [DOI] [PMC free article] [PubMed] [Google Scholar]
- 6.Manzanares S, Benítez A, Naveiro-Fuentes M, López-Criado MS, Sánchez-Gila M. Accuracy of fetal sex determination on ultrasound examination in the first trimester of pregnancy. J Clin Ultrasound. 2016;44:272–277. doi: 10.1002/jcu.22320. [DOI] [PubMed] [Google Scholar]
- 7.Arfi A, Cohen J, Canlorbe G, Bendifallah S, Thomassin-Naggara I, Darai E, Benachi A, Arfi J. First-trimester determination of fetal gender by ultrasound: measurement of the ano-genital distance. Eur J Obstet Gynecol Reprod Biol. 2016;203:177–181. doi: 10.1016/j.ejogrb.2016.06.001. [DOI] [PubMed] [Google Scholar]
- 8.Schaefer EC, McKenna DS, Sonek JD. First trimester identification of fetal sex by ultrasound. Arch Gynecol Obstet. 2024;309:1453–1458. doi: 10.1007/s00404-023-07046-0. [DOI] [PubMed] [Google Scholar]
- 9.Efrat Z, Akinfenwa OO, Nicolaides KH. First-trimester determination of fetal gender by ultrasound. Ultrasound Obstet Gynecol. 1999;13:305–307. doi: 10.1046/j.1469-0705.1999.13050305.x. [DOI] [PubMed] [Google Scholar]
- 10.Sánchez-Ferrer ML, Arense-Gonzalo JJ, Prieto-Sánchez MT, Alfosea-Marhuenda E, Gómez-Carrascosa I, Iniesta MA, Mendiola J, Torres-Cantero AM. Does the anogenital distance change across pregnancy? Reprod Biomed Online. 2020;41:527–533. doi: 10.1016/j.rbmo.2020.05.009. [DOI] [PubMed] [Google Scholar]
- 11.Fischer MB, Ljubicic ML, Hagen CP, Thankamony A, Ong K, Hughes I, Jensen TK, Main KM, Petersen JH, Busch AS. Anogenital distance in healthy infants: method-, age- and sex-related reference ranges. J Clin Endocrinol Metab. 2020;105:2996–3004. doi: 10.1210/clinem/dgaa393. [DOI] [PMC free article] [PubMed] [Google Scholar]
- 12.Rafieezadeh D, Esfandyari G. Marine bioactive peptides with anticancer potential, a narrative review. Int J Biochem Mol Biol. 2024;15:118–126. doi: 10.62347/TUVQ7468. [DOI] [PMC free article] [PubMed] [Google Scholar]
- 13.Sipahi M, Tokgöz VY, Alanya Tosun Ş. An appropriate way to predict fetal gender at first trimester: anogenital distance. J Matern Fetal Neonatal Med. 2019;32:2012–2016. doi: 10.1080/14767058.2018.1424131. [DOI] [PubMed] [Google Scholar]
- 14.Alfuraih AM, Alotaiby SA, Alsaadi MJ, Bukhari HA, Aldhebaib AM, Mohtasib RS. Predictive value and reference ranges of anogenital distance for determining fetal gender in the first trimester: a retrospective cohort study. Saudi Med J. 2021;42:1057. doi: 10.15537/smj.2021.42.10.20210468. [DOI] [PMC free article] [PubMed] [Google Scholar]
- 15.Hall S, King K, Cox S. Fetal sex prediction: the heart of the matter. J Ky Med Assoc. 1993;91:409–410. [PubMed] [Google Scholar]
- 16.Oloyede OA, Lamina MA. Statistically significant difference in the first-trimester fetal heart rate between genders? SJMS. 2022;17:236–243. [Google Scholar]
- 17.Keshavarz E, Tavakkol E, Moghaddam AM, Jalali M, Molaeipoor L, Kabir A. Investigating the relationship between fetus heart rate in the first trimester screening with fetus sex. J Contemp Med Sci. 2018;4 [Google Scholar]
- 18.Nouri S, Kalantar MH, Safi F, Almasi-Hashiani A. The role of fetal heart rate in first trimester sonograms in prediction of fetal sex: a systematic review and meta-analysis. BMC Pregnancy Childbirth. 2023;23:582. doi: 10.1186/s12884-023-05908-8. [DOI] [PMC free article] [PubMed] [Google Scholar]
- 19.Chauhan SP, Gupta LM, Hendrix NW, Berghella V American College of Obstetricians and Gynecologists. Intrauterine growth restriction: comparison of American College of Obstetricians and Gynecologists Practice Bulletin with other national guidelines. Am J Obstet Gynecol. 2009;200:409, e1–6. doi: 10.1016/j.ajog.2008.11.025. [DOI] [PubMed] [Google Scholar]
- 20.Schwartz CL, Christiansen S, Vinggaard AM, Axelstad M, Hass U, Svingen T. Anogenital distance as a toxicological or clinical marker for fetal androgen action and risk for reproductive disorders. Arch Toxicol. 2019;93:253–272. doi: 10.1007/s00204-018-2350-5. [DOI] [PubMed] [Google Scholar]
- 21.Priskorn L, Petersen JH, Jørgensen N, Kyhl HB, Andersen MS, Main KM, Andersson AM, Skakkebaek NE, Jensen TK. Anogenital distance as a phenotypic signature through infancy. Pediatr Res. 2018;83:573–579. doi: 10.1038/pr.2017.287. [DOI] [PubMed] [Google Scholar]
- 22.Rafieezadeh D, Abbaspour M. Safety and effectiveness of micropigmentation skin grafting using the Meek method. Int J Burn Trauma. 2024;14:107–114. doi: 10.62347/HFPU3214. [DOI] [PMC free article] [PubMed] [Google Scholar]
- 23.Elanwar AM, Shazly SA, Attia NAI, Heraiz AI. Anogenital distance for detection of fetal sex in first trimester of pregnancy. EJHM. 2023;90:3035–3040. [Google Scholar]
- 24.Goncalves H, Fernandes D, Pinto P, Ayres-de-Campos D, Bernardes J. Simultaneous monitoring of maternal and fetal heart rate variability during labor in relation with fetal gender. Dev Psychobiol. 2017;59:832–839. doi: 10.1002/dev.21554. [DOI] [PubMed] [Google Scholar]


