Abstract
Sweetness and bitterness are key factors influencing the sensory appeal, palatability, and consumer acceptance of Baijiu. In this study, N-succinyl-L-phenylalanine (N-Suc-Phe) was prepared by direct heating method, achieving an 89.56 % yield. Multisensory evaluation, electronic tongue, and consumer preference tests were performed to assess the impact of N-Suc-Phe on Baijiu's taste profile and consumer appeal. Temporal check-all-that-apply results demonstrated that N-Suc-Phe markedly increased both the dominance and duration of sweetness, whereas bitterness was inversely affected. Additionally, time-intensity analysis revealed that the intensity and duration of sweetness increased by 30–71 % and 20–40 %, respectively, while those of bitterness decreased by 17–57 % and 14–29 %. Electronic tongue corroborated the human sensory evaluations. Furthermore, evaluations of temporal liking, overall liking, and “just-about-right” indicated that Baijiu containing 4 mg/L N-Suc-Phe achieved the highest consumer preference and the most balanced modulation between bitterness and sweetness. Molecular docking and dynamic simulations confirmed that N-Suc-Phe effectively bound to both sweetness receptors (T1R2 and T1R3) and bitterness receptors (T2R10, T2R14, and T2R46), thereby enhancing sweetness and diminishing bitterness without significantly altering the receptors' conformation. These findings offered valuable insights into the enhancement of Baijiu's sensory quality by N-Suc-Phe, thereby expanding its appeal to a broader consumer demographic.
Keywords: Temporal approach, Molecular docking, Dynamics simulations, Consumer preference, Direct-heating
Highlights
-
•
N-succinyl-L- phenylalanine (N-Suc-Phe) could be synthesized by direct heating methods.
-
•
TCATA, and TI provided new insights into temporal differences that were not captured by static evaluations.
-
•
TCATA, TI, and electronic tongue results demonstrated that N-Suc-Phe significantly increased the sweetness while decreasing the bitterness of Baijiu.
-
•
OL, TL, and JAR results showed the impact of N-Suc-Phe on consumer preference of Baijiu.
-
•
Molecular docking and molecular dynamics simulations revealed the mechanisms through which N-Suc-Phe enhanced sweetness and reduced bitterness.
1. Introduction
Baijiu stood as one of the most ancient distilled spirits globally and ranked as the most consumed alcoholic beverage, with approximately 7.5 billion liters ingested in China alone in 2021 (Li et al., 2023). The flavor profile of Baijiu was crucial, defining both its market success and consumer acceptance. Traditionally enjoyed for hedonic pleasure, Baijiu's appeal lied in the complex flavors experienced during consumption (Roque et al., 2018). Over recent decades, scholarly focus on Baijiu's flavor chemistry has predominantly centered on its volatile components (Hong et al., 2023). However, less attention has been devoted to its taste, which was integral to its overall quality and directly influencing the consumer's taste experience and satisfaction. Currently, sourness, sweetness, and bitterness were recognized as Baijiu's fundamental tastes. The delicate equilibrium among these tastes not only influenced the spirit's flavor quality and grade but also played an important role in consumer acceptability and preferences (Dong et al., 2024). An imbalance, such as excessive bitterness or insufficient sweetness, might diminish consumer satisfaction and acceptance of Baijiu.
N-succinyl-L-phenylalanine (N-Suc-Phe) has been identified in a variety of foods, such as soy sauce and soybean paste, and was recognized as a safe and natural taste enhancer (Christa et al., 2022). To validate the taste-enhancing properties of particular taste enhancers, it was imperative to perform sensory evaluations in both aqueous solutions and food matrices. A fundamental prerequisite for these evaluations involved establishing effective synthesis methods. Although earlier investigations employed organic synthesis routes to generate N-Suc-Phe (Sakai et al., 2006), these methods encountered considerable drawbacks. Organic synthesis frequently utilized environmentally detrimental materials and hazardous solvents, posed difficulties in controlling reaction conditions, and complicated the purification and isolation of end products, thereby escalating costs and operational challenges (Cai, Hong, & Cui, 2025). In response, many researchers shifted to heating-based techniques, regarded as cleaner and more eco-friendly. For instance, direct-heating techniques have been used to synthesize N-lauroyl-theanine and N-lactoyl-phenylalanine in aqueous media (Cai, Mou, et al., 2025; Wu et al., 2022). These findings indicated that the production of N-Suc-Phe through direct heating is potentially viable and warrants further exploration. Meanwhile, the impact of N-Suc-Phe on its taste-modulating effects in actual food systems remain unexplored. Consequently, the investigation of N-Suc-Phe's influence on the bitterness and sweetness that affected Baijiu preferences is important for expanding the application of N-Suc-Phe and for improving both the sensory appeal and consumer acceptance of Baijiu.
Baijiu showed a sophisticated temporal sensory profile, evolving dynamically during the ingestion sequence-from initial oral exposure to the gradual dissipation of residual sensations, including aftertaste (Ramsey et al., 2018). Consequently, temporal methods were critical for gaining deeper insights into how consumers perceived Baijiu. Temporal Check-All-That-Apply (TCATA) enabled assessors to concurrently identified multiple relevant sensory attributes during sequential evaluation phases, with dynamic selection/deselection capabilities (Feng et al., 2023). Time-Intensity (TI), a widely adopted technique for monitoring the progression of a single taste attribute, facilitated continuous tracking of intensity changes and has been effectively used across various food for many years (Lorido et al., 2016). In consumer research contexts, hedonic scaling (ranging from “extreme dislike” to “extreme preference”) and Just-About-Right (JAR) assessments constituted two prevalent methodologies for product optimization. While hedonic scales quantified subjective preference, JAR diagnostics identified attribute-specific deviations from ideal intensity thresholds. Their synergistic application facilitated targeted product reformulation (Zhi et al., 2016). Despite their utility, systematic implementation of these approaches in Baijiu sensory analysis remained underexplored.
The investigation of ligand-receptor interactions, which influenced molecular events associated with the activation of taste receptors, was complicated by the complexity of food matrices. Both molecular docking and molecular dynamics simulations (MDS) served as important tools for addressing this complexity. Molecular docking aided in identifying the optimal binding modes and sites through energy-matched mutual recognition (Wu, Ling, et al., 2023). However, it fell short in accommodating the conformational alterations of receptors and ligands throughout the docking process. In contrast, MDS addressed this limitation, was extensively utilized to probe the interaction mechanisms and conformational relationships between receptors and ligands, thus offering a more comprehensive insight into these interactions (Xiao et al., 2024).
In this study, N-Suc-Phe was synthesized through a direct heating method using only L-phenylalanine and succinic acid as substrates, with water serving as the solvent. TCATA, TI, and electronic tongue were employed to evaluate the impact of N-Suc-Phe on the taste of Baijiu. Concurrently, preference tests (temporal liking dynamics, holistic preference (hedonic scale), and perceptive intensity of attributes (JAR scale) were comparatively analyzed in Baijiu samples with and without N-Suc-Phe. Furthermore, molecular docking simulations and MDS further elucidated N-Suc-Phe's receptor interaction mechanisms with bitterness and sweetness receptors. This study provides critical insights into N-Suc-Phe's potential applications for sensory quality enhancement and consumer preference optimization in Baijiu.
2. Materials and methods
2.1. Materials
L-phenylalanine (Phe), succinic acid (Suc), ethyl acetate, acetonitrile, trifluoroacetic acid were provided by Shanghai Macklin Biochemical Technology Co., Ltd. Baijiu (52 % ethanol) was provided by Chongqing Jiangxiaobai Baijiu Co., Ltd.
2.2. Heated preparation of N-succinyl-L-phenylalanine (N-Suc-Phe)
The feasibility of synthesizing N-Suc-Phe through direct heating was assessed using modified conditions based on the method outlined by Wu et al. (2022), 50 mmol Phe, 200 mmol Suc, and 40 mol H₂O at 100 °C for 2 h. Single-factor experiments were conducted to determine optimal parameters for N-Suc-Phe formation, focusing on substrate molar ratio, pH, water content, divalent metal oxide catalysts, time, and temperature. Experimental ranged included Phe:Suc molar ratios (6:1–1:12), pH (2–8), water content (5–50 mol), metal oxide catalysts (15 mmol MgO/CaO/ZnO), time (1–5 h), and temperature (100–120 °C). After the reactions, samples were analyzed by high-performance liquid chromatography (HPLC) (Huang, Yang, Zhao, et al., 2024).
2.3. Isolation of identification N-Suc-Phe
For the isolation of N-Suc-Phe required for NMR analysis and subsequent sensory evaluation, semipreparative HPLC (Shanghai Wufeng Scientific Instrument Co., Ltd., China) was employed, following previously optimized protocols (Huang, Wang, Cheng, et al., 2024). The post heating product was reconstituted in ethyl acetate. This step was succeeded by a centrifugation process, executed at a temperature of 4 °C applying a force of 6500 ×g, sustained for a duration of 10 min. In the subsequent phase, supernatants were collected and subjected to freeze-drying process. Post freeze-drying, these samples were redissolved in ultrapure water to attain concentration of 500 mg/mL, prior to their introduction into the semipreparative HPLC. The fractionation was accomplished utilizing a Waters Atlantis Prep OBD T3 Column (19 mm × 150 mm, 5 μm), under a flow rate of 10 mL/min. The chromatographic separation was facilitated using a binary mobile phase comprising acetonitrile (Phase A) and ultrapure water (Phase B). The elution gradient was programmed as follows: 20 % A (0 min), 50 % A (20 min), 50 % A (25 min), 20 % A (26 min), 20 % A (30 min). The volume for sample injection was controlled at 1.5 mL. The N-Suc-Phe, following isolation and initial freeze-drying, was redissolved in water and subjected to successive freeze-drying cycles, an imperative step to thoroughly expunge acetonitrile. The purity of N-Suc-Phe was achieved at 98.6 % as determined by chromatographic analysis. The isolated fraction (25 mg) was analyzed using a Bruker AVANCE III HD 600 MHz spectrometer, with deuterated dimethyl sulfoxide as the solvent for 1H and 13C spectroscopy. NMR data were processed using Bruker's TopSpin 4.0.3 software and MestReNova 14.0.0 software.
2.4. Sensory panel
Fourteen assessors (8 males and 6 females, aged 21 to 36) participated in this study. Selection occurred among students from the South China University of Technology, adhering to ISO 8586:2012 guidelines. None of the assessors had a history of alcohol addiction, exclusion, or allergy. They were provided with a written informed consent and were paid for their participation. The same panel of assessors participated in all subsequent sensory evaluations.
2.5. Sample preparation
The dynamic taste profile of Baijiu was assessed across varying concentrations of N-Suc-Phe (2, 4, and 6 mg/L), with water serving as the placebo control. Meanwhile, assessors confirmed the 6 mg/L concentration of N-Suc-Phe as tasteless. The Baijiu sample was opened 30 min prior to assessment and presented at room temperature. Each 5 mL sample was placed in a clean, standard Baijiu glass, identified only by a random three-digit code. To mitigate bias, the samples were distributed in a randomized sequence, with the codes varying across sessions.
2.6. Temporal check all that apply (TCATA)
2.6.1. Assessor training
Assessors participated in 7 training sessions, each lasting 4 h. The initial session concentrated on generating and defining attributes, including four Baijiu characteristics (pungency, bitterness, sourness, and sweetness), identified through alternating group discussions (Table S1). The second session was dedicated to acquainting the assessors with the previously established list of descriptors, aiming to achieve a consensus on the definition of each attribute. During the third session, the concept of “dominant sensation” was introduced, defined as the sensation that predominated in capturing attention at any given moment, though not necessarily the most intense one. The fourth session involved training the assessors in the utilization of the sensory evaluation system (http://www.cloudsensorylab.com) to familiarize them with the TCATA method. Additionally, three product-focused training sessions were conducted to enhance the assessors' understanding of the TCATA method and attribute recognition.
2.6.2. Formal evaluation
Assessors were instructed to consume 5 mL of each Baijiu sample. Upon sipping, assessors immediately commenced their evaluations. The TCATA attribute descriptors were displayed in a randomized sequence on a screen, with only the dominant attribute being recorded (intensity was not noted). Upon placing the sample in their mouth, assessors activated the evaluation by pressing the “start” icon (t = 0 s). The sample was retained in the mouth for 5 s, followed by a prompt on the screen to swallow. The evaluation's total duration did not exceed 105 s, a duration established through preliminary tests by select panel assessors and researchers to capture the full perceptual experience adequately. TCATA allowed for the simultaneous evaluation of multiple attributes, providing the option to deselect an attribute as soon as it became inapplicable. Thus, at any point, various attributes could be selected or deselected concurrently. Assessors had the option to repeatedly select the same attribute or to refrain from selecting any attribute. Following each tasting, assessors cleansed their mouths with cucumber or biscuit, rinsed with water, then rested for 15 min before proceeding to the next sample. This procedure was repeated 4 times to ensure the reliability of the results.
2.7. Time intensity (TI)
2.7.1. Assessor training
The TI evaluation was performed in alignment with methodologies established in our prior study (Huang, Wang, Ma, et al., 2024). Each assessor underwent a year-long training in sensory evaluation, developing the ability to discern subtle differences in sweetness and bitterness. Moreover, each assessor was trained involved eight sessions over eight days, adhering to the protocols outlined in the Standard Guide for Time-Intensity Evaluation of Sensory Attributes (ASTM E1909–13, 2017). This training phase was instrumental in enhancing their precision in quantifying the intensity of sweetness and bitterness, on a scale from 0 (not intense) to 15 (extremely intense). For bitterness assessment, quinine solutions of varying concentrations (2.5, 5, and 7.5 mg/mL) were utilized as standards, corresponding to bitterness intensities of 5, 10, and 15. Similarly, sucrose solutions (4, 8, and 12 mg/mL) established benchmarks for sweetness intensities of 5, 10, and 15. Additionally, the assessors received detailed briefings on the TI method and participated in training sessions that included 5 product evaluation sessions, each lasting 2 h. During the evaluation, the assessors utilized a chart where the horizontal axis represented time (in seconds) and the vertical axis denoted taste intensity, scaled to 15 points. The assessors' proficiency was assessed by analyzing the consistency of replicate TI curves, with a 40 % alignment threshold indicating adequate training.
2.7.2. Formal evaluation
Each evaluator sampled 5 mL of various Baijiu samples, holding them in the oral cavity for 5 s before swallowing. The intensity of tastes was evaluated at specific intervals (5, 10, 20, 30, 40, 50, 60, 75, 90, and 105 s) until the tastes faded. Subsequently, assessors cleansed their mouths with cucumber or biscuit, rinsed with water, and rested for 15 min before proceeding to the next evaluation. This procedure was repeated 4 times to ensure reliability.
2.8. Electronic tongue
The sample preparation for the electronic tongue method was aligned with the procedure described in Section 2.5, with appropriate dilution of the Baijiu sample to meet the testing specifications of the electronic tongue. The electronic tongues (Insent-TS-5000Z) were calibrated before use to guarantee measurement accuracy and reliability. During the analysis, solutions were placed into the sensor's specialized receptacle, with a constant temperature of 25 °C maintained throughout. Each sample's taste was evaluated four times, with the first measurement excluded due to its inherent variability. Each session lasted 30 s. The electronic tongue system assessed taste attributes such as umami, saltiness, sourness, bitterness, and sweetness by measuring potential differences in the solutions.
2.9. Consumer preference
2.9.1. Temporal liking (TL) and overall liking (OL)
Trained assessors completed two standardized 1.5 h training sessions to familiarize themselves with TL and OL evaluation protocols. In the evaluation process, assessors first assessed TL, followed by OL, to evaluate consumer preferences both during specific consumption phases (before swallowing and aftertaste) and overall. For TL, assessors used a 15-cm semi-structured line scale, with endpoints labeled as “dislike extremely” and “like extremely,” to continuously rate their current level of liking. During the 105 s evaluation period, assessors were instructed to mark any change in their perceived liking on the scale at any time. The 105 s duration was established through preliminary testing as sufficient for capturing relevant changes in aftertaste perception while minimizing assessor fatigue. Within 45 s of completing the TL measurement, assessors then evaluated their OL of the sample using a 9-point hedonic scale ranging from “dislike extremely” to “like extremely.”
2.9.2. Just-about-right (JAR)
Two key taste attributes of Baijiu were evaluated by the assessors: sourness and sweetness. Consumers rated the sourness and sweetness of Baijiu on a 7-point JAR scale, with values ranging from 1 (much too low) to 7 (much too much), where 4 represented the “ideal” or JAR level. The scale was structured as follows:1: Much too low, 2: Moderately low, 3: A little too low, 4: Just-About-Right (JAR, ideal), 5: A little too much, 6: Moderately much, and 7: Much too much. Results from the JAR scale were categorized into three levels: ratings of 1–3 were grouped as “not enough,” 4 as “JAR” (ideal), and 5–7 as “too much” (Silveira et al., 2024).
2.10. Homology modeling and molecular docking
Homology modeling and molecular docking procedures were conducted in accordance with our established method (Huang, Wang, Cheng, et al., 2024). The amino acid sequences for the sweetness receptors T1R2 (ID: Q8TE23) and T1R3 (ID: Q7RTX0) were sourced from the UniProt. Given the broad tuning of bitterness receptors T2R14, T2R10, and T2R46, which recognized a wide spectrum of structurally diverse bitter molecules, these receptors were selected as representatives for bitterness receptor (Zhou et al., 2024). The amino acid sequences of T2R14, T2R10, and T2R46 were obtained from BitterDB. The integrity and rationality of the protein structures derived from the homology models were verified through Ramachandran plots, thereby enhancing the credibility of our results.
2.11. Molecular dynamics simulations (MDS)
The receptor-ligand complexes generated through molecular docking, including T1R2, T1R3, T2R14, T2R10, and T2R46 monomers complexed with N-Suc-Phe, were subjected to MDS utilizing Gromacs2024. Ligand topology files were constructed using Sobtop-1.0 (dev3.1), while protein repairs were facilitated by SPDBV-4.10. Charge calculations were performed using Orca 5.0.4 and Multiwfn 3.8-dev (Lu & Chen, 2012). The Amber99sb.ff and Gaff force fields were employed for the proteins and ligands, respectively. The simulation system included the SPC water model to integrate solvents and form a water box with a periodic boundary of 1 nm. Sodium and chloride ions were added to neutralize the system's charge, effectively mirroring actual experimental conditions. Initial stabilization of the complexes involved 10,000 steps of energy minimization using the conjugate gradient method. This was followed by system equilibration over 200 ps in both isothermal (300K) and isobaric (1 standard atmospheric pressure) conditions, culminating in MDS spanning 100 ns under ambient conditions.
2.12. Statistical analysis
Data are presented as the mean ± standard deviation. Statistical analyses were conducted using SPSS software (Version 26.0, Chicago, IL, USA). Significant differences among results were determined by analysis of variance (ANOVA) and Duncan's multiple range tests.
3. Results and discussion
3.1. Synthesis of N-Suc-Phe by direct heating method
Fig. 1A demonstrated that an excess of Suc markedly increased N-Suc-Phe production relative to an excess of Phe, with the highest yield obtained at a Phe:Suc molar ratio of 1:6. However, yields declined when the Suc ratio was further increased, likely due to substrate inhibition (Zhang et al., 2020). Fig. 1B showed that the yield of N-Suc-Phe peaked at pH 3 and fell as pH rose, presumably because the nitrogen atom's lone pair of electrons formed a resonance structure under alkaline conditions, thus weakening its resonance stabilization with the carbonyl carbon. This heightened susceptibility to hydrolysis or side reactions reduced the yield (van der Bij & Weckhuysen, 2015). Fig. 1C revealed that the highest yield of N-Suc-Phe occurred at 40 mol water content. This could be attributed to the solid nature of both Suc and Phe. As the water content increases, it enhanced the solubility of the reactants and facilitated more efficient molecular diffusion, thereby improving the yield. However, when the water content became excessive, the surplus water could dilute the reaction mixture, reducing the frequency of effective intermolecular collisions. Additionally, excess water might engage in competitive hydrolysis reactions, leading to a decrease in the product yield (Niza et al., 2013). Although divalent metal oxides (MgO, CaO, ZnO) have been noted as effective catalysts for the N-acetylation of primary and secondary amines under heating (Brahmachari et al., 2010b). However, Fig. 1D revealed that their presence significantly lowered N-Suc-Phe yields compared to the control. This might stem from succinic acid preferentially reacting with these oxides to form succinate, thereby hindering N-Suc-Phe generation (Brahmachari et al., 2010a). Consequently, the addition of metal oxides was not beneficial for the thermal synthesis of N-Suc-Phe. Fig. 1E indicated that the yield stabilized after 4 h, most likely because the high initial concentration of reactants accelerated product formation, which then slowed as equilibrium approached (Wu et al., 2022). Fig. 1F showed that the yield peaked at 120 °C, possibly because elevated temperatures improved substrate solubility and diffusion, facilitating the synthesis of N-Suc-Phe (Cai, Mou, et al., 2025).
Fig. 1.
Effects of different factors on the synthesis of N-Suc-Phe by direct heating method. N-Suc-Phe, N-succinyl-L-phenylalanine.
Based on the single-factor optimization, the optimal conditions for synthesizing N-Suc-Phe through direct heating were 50 mmol Phe, 300 mmol Suc, 40 mol water at pH 3, and 120 °C for 4 h. Under these parameters, the maximum yield of N-Suc-Phe reached 89.56 %.
3.2. Identification of N-Suc-Phe by NMR
The 1H and 13C NMR spectrograms of N-Suc-Phe in post-heating product were shown in Fig. S1. 1H NMR (600 MHz, DMSO‑d6) δ 12.36 (s, 2H, H-14,18), 8.19 (d, J = 8.0 Hz, 1H, H-10), 7.27 (t, J = 7.5 Hz, 2H, H-1,3), 7.24–7.17 (m, 3H, H-2,4,6), 4.41 (td, J = 8.7, 5.2 Hz, 1H, H-8), 3.03 (dd, J = 13.8, 5.1 Hz, 1H, H-7), 2.85 (dd, J = 13.8, 9.2 Hz, 1H, H-7), 2.37–2.28 (m, 4H, H-13,16). 13C NMR (150 MHz, DMSO‑d6) δ 173.8 (C17), 173.1 (C11), 171.0 (C9), 137.7 (C5), 129.2 (2C, C4, C6), 128.2 (2C, C1, C3), 126.4 (C2), 53.6 (C8), 36.9 (C7), 29.9 (C13), 29.1 (C16). This result confirmed the successful synthesis of N-Suc-Phe through direct heating in an aqueous solution.
3.3. TCATA analysis
The dominant attribute curves across all samples shared similarities, showcasing pronounced pungency, bitterness, sourness, and sweetness. Previous researches have corroborated these four primary tastes in Baijiu (Dong et al., 2024; He et al., 2021). Initially, perceptions of pungency, sweetness, and bitterness were prominent, subsequently giving way to the emergence of sourness (Fig. 2). Relative to the control group (CK), the integration of varying concentrations of N-Suc-Phe (2, 4, and 6 mg/L) markedly enhanced the frequency of sweetness citations, detectable at 0 s, thus indicating an accelerated onset of perception. Moreover, N-Suc-Phe extended the duration of sweetness. While N-Suc-Phe increased the proportion of citations for sourness, it did not extend its duration. In samples containing N-Suc-Phe, the frequency of bitterness citations decreased in comparison to CK, noticeable within 15–20 s, thus indicating a delayed onset of bitterness sensation. N-Suc-Phe also shortened the perceived duration of bitterness. The impact of N-Suc-Phe on reducing bitterness and enhancing sweetness showed a concentration-dependent relationship. The findings from TCATA were largely in agreement with those from the TDS. Cai, Hong, and Cui (2025) observed that N-lauroyl-tryptophan significantly diminished bitterness while enhancing sweetness in a model solution using the TCATA method. Lin et al. (2023) reported that N-acetyl-Val/Leu/Ile/Met/Phe significantly enhanced the sweetness sensation of sucrose solution.
Fig. 2.
Temporal check-all-that-apply curves. CK, control group; N-Suc-Phe, N-succinyl-L-phenylalanine.
3.4. Sweetness intensity at every moment
Fig. 3A presented the sweetness curves, where an initial sharp rise followed by a gentle decline characterizes the sweetness profiles across all samples. Contrasting these with the CK curve, the addition of N-Suc-Phe at various concentrations (2, 4, and 6 mg/L). showed a similar pattern but significantly enhanced both the sweetness intensity and duration. This indicated that N-Suc-Phe substantially enhanced the sweetness of the CK sample. As delineated in Table S2, the I max in the CK sample was recorded at 8.13, which increased to 10.81, 12.63, and 14.25 with the extra addition of N-Suc-Phe at 2, 4, and 6 mg/L, respectively. Additionally, the T ext for the CK group was prolonged from 75 to 90 and 105 s following the incorporation of varying N-Suc-Phe concentrations. These results suggested that N-Suc-Phe enhanced sweetness intensity and duration of Baijiu in a concentration-dependent manner. Correspondingly, the AUC values for these samples were 829, 1263, 1595, and 2055, respectively, with higher AUC values attributable to the extended duration and sharp increase in sweetness intensity (R increase). The synchronized trends in I max, T ext, and AUC across samples suggested the important role of N-Suc-Phe in enhancing and prolonging the sweetness perception of Baijiu. Ley et al. (2006) previously noted that benzoic acid amides could enhance the sweetness perception of a 5 % sucrose solution.
Fig. 3.
The time-intensity curves of sweetness (A) and bitterness (B). CK, control group; N-Suc-Phe, N-succinyl-L-phenylalanine.
3.5. Bitterness intensity at every moment
Fig. 3B presented the bitterness TI curves for the CK group after introducing N-Suc-Phe at various concentrations (2, 4, and 6 mg/L). It was evident that the capacity of N-Suc-Phe to mitigate bitterness enhanced with increasing concentration, demonstrating bitterness-masking effect on Baijiu. Analysis of the curve parameters in Table S3 showed that this mitigating effect encompassed bitterness intensity, duration, and rate of increase. Specifically, the I max reduction in the CK group ranged from 12.73 % to 59.64 % upon introducing 2, 4, and 6 mg/L of N-Suc-Phe. Concurrently, the T ext showed reductions ranging from 14.29 % to 28.57 %. Additionally, the AUC for the CK group, initially at 1201, diminished to between 342 and 906 for the N-Suc-Phe samples, which could be attributable to slower rise and quicker fall in bitterness, as indicated by a lower R increase and a higher R decrease. These results indicated the masking effect of N-Suc-Phe on the bitterness of Baijiu, which diminished both the intensity and the duration of bitterness in a concentration-dependent manner. Cai et al. (2024) reported that N-lauroyl-L-tryptophan significantly diminished the intensity and duration of quinine bitterness in a similar TI experiment.
Dynamic sensory evaluations revealed that N-Suc-Phe enhanced both the intensity and duration of sweetness, while simultaneously diminishing bitterness intensity and duration. This modulation of sweetness and bitterness in Baijiu contributed to a more harmonious taste profile, thereby enhancing the overall drinking experience and increasing the Baijiu's appeal to a broader consumer base.
3.6. Electronic tongue analysis
The electronic tongue objectively assessed food taste by utilizing its sensors to detect sample responses. The system converted the sensory response into an electrical signal that was processed to generate corresponding taste results. As illustrated in Fig. 4, the Baijiu sample showed elevated sensor responses for sourness, bitterness, and sweetness, likely attributable to the higher concentrations of the corresponding compounds, while responses for umami and saltiness were comparatively lower. The incorporation of varying concentrations of N-Suc-Phe (2, 4, and 6 mg/L) resulted in increased sensor responses for sourness and sweetness, decreased responses for bitterness, and small changes in other taste sensors. These findings suggested that N-Suc-Phe effectively enhanced the sourness and sweetness characteristics of Baijiu while mitigating its bitterness, consistent with human sensory evaluations.
Fig. 4.
Electronic tongue results of Baijiu samples. N-Suc-Phe, N-succinyl-L-phenylalanine.
3.7. Consumer preference
3.7.1. OL and TL
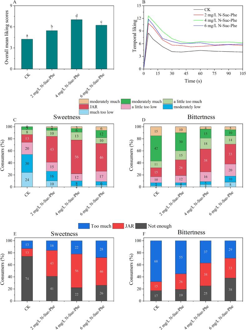
Fig. 5A illustrated the overall liking scores for the CK and samples supplemented with varying concentrations of N-Suc-Phe (2, 4, and 6 mg/L). Relative to CK, the addition of N-Suc-Phe notably increased overall liking scores, with the most significant enhancement observed at a concentration of 4 mg/L. This increase might be attributed to the fact that 4 mg/L of N-Suc-Phe effectively enhanced sweetness while mitigating bitterness, resulting in a more balanced taste. A certain level of bitterness in Baijiu was often desirable, as it contributed to a fuller sensory experience (Meyerhof et al., 2010). Fig. 5B showed the temporal liking curves across samples. While the general temporal pattern resembled that of CK, the addition of various concentrations of N-Suc-Phe maintained elevated liking scores throughout the evaluation. Notably, the 4 mg/L N-Suc-Phe sample received the highest liking scores across the entire 105 s evaluation period. These TL results largely corresponded with those from the OL evaluation, potentially influenced by sequential measurement methodology, as immediate OL assessment following TL might induce response bias. Previous research on orange lemonades has reported similar findings, with relatively flat hedonic curves for temporal liking throughout the assessment, lasting from approximately 2.5 to 30 s (Veldhuizen et al., 2006).
Fig. 5.
Overall mean liking scores (A), temporal liking curves (B), evaluation of the appropriate level of intensity of sweetness using a 7-point just-about-right (JAR) (C), evaluation of the appropriate level of intensity of bitterness using a 7-point JAR (D), sweetness JAR scales data grouped into three categories (E), bitterness JAR scales data grouped into three categories (F). CK, control group; N-Suc-Phe, N-succinyl-L-phenylalanine.
3.7.2. JAR
Fig. 5C-5D presented the distribution of 7-point JAR scores evaluating N-Suc-Phe's effects (2, 4, and 6 mg/L) on baijiu sweetness and bitterness. The JAR analysis provided insights into the ideal intensity levels of these key sensory attributes, as perceived by consumers. Sweetness JAR proportions were 13 %, 43 %, 56 %, and 46 % for CK, 2 mg/L, 4 mg/L, and 6 mg/L treatments, respectively. Corresponding bitterness JAR values were 15 %, 26 %, 38 %, and 33 %. Categorical analysis (Fig. 5E-5F) revealed 74 % of consumers rated CK sweetness as “not enough,” compared to 22 % and 26 % for 4 mg/L and 6 mg/L N-Suc-Phe samples. Conversely, 68 % perceived CK bitterness as “excessive,” versus 37 % and 29 % for 4 mg/L and 6 mg/L N-Suc-Phe samples. These findings suggested that consumers considered the sweetness and bitterness of Baijiu with 4 mg/L N-Suc-Phe to be at the ideal levels. Thus, strategic enhancement of sweetness and attenuation of bitterness could improve Baijiu acceptability.
3.8. Molecular docking
Fig. S2 presented the Ramachandran plots for the sweetness (T1R2 and T1R3) and bitterness (T2R10, T2R14, and T2R46) receptor proteins. The analysis indicated that less than 1.2 % of the amino acid residues within each taste receptor protein were situated in the disallowed regions of the homology models, affirming their structural integrity and suitability for subsequent investigations. The binding energy served as an important quantitative measure of the strength of intermolecular interactions. A reduction in binding energy was directly associated with enhanced intermolecular binding efficacy. As delineated in Table S5, the binding energies of N-Suc-Phe for T1R2, T1R3, T2R10, T2R14, and T2R46 were − 6.4, −7.0, −6.1, −6.3, and − 6.8 kcal/mol, which.
consistently registered below −4 kcal/mol, indicating a strong affinity for these receptors (Wu, Zhao, et al., 2023).
The interaction forces were illustrated in Fig. 6. Specifically, T1R2, T1R3, T2R10, T2R14, and T2R46 interacted with N-Suc-Phe through 8, 6, 7, 7, and 6 distinct interaction forces, respectively. Hydrogen bonds accounted for 42.86 %–66.67 % of the total interactions, making them the primary binding force. Hydrophobic interactions (Pi-alkyl, alkyl, Pi-Pi stacking, and Pi-Pi T-shaped) and electrostatic interactions (Pi-cation and Pi-anion) ranked as the second and third most common interactions, constituting 25.00 %–57.14 % and 0 %–16.67 %, respectively. Previous research has highlighted the critical role of hydrogen bonds in ligand-receptor binding, with electrostatic and hydrophobic forces also contributing significantly to complex formation and stability (Huang, Wang, Ma, et al., 2024). This finding offered a potential explanation for the reduced bitterness and enhanced sweetness observed in this study.
Fig. 6.
Molecular docking between N-succinyl-L-phenylalanine (N-Suc-Phe) and different taste receptors.
The interaction sites between N-Suc-Phe and T1R2 and T1R3 receptors were further examined. Fig. 7 demonstrated that the interactions between N-Suc-Phe and T1R2 and T1R3 receptors were predominantly mediated by hydrogen bonds and hydrophobic forces. Specifically, for T1R2, interactions involved hydrogen bonds with Ser40, Asn143, Val101, Thr280, and Pro277, and hydrophobic forces with Lys460 and Ile104. For T1R3, the engagement comprised hydrogen bonds with residues such as Ser146 and His145, supplemented by hydrophobic interactions with Ala302 and Tyr218. Liang et al. reported that the hydrogen bond with the Ser40 residue played an important role in sweetness perception. Analyses of bond lengths suggested a predominance of hydrogen bonding in these interactions (Liang et al., 2022). Notably, bond lengths associated with hydrophobic interactions were found to be longer than those of hydrogen bonds, indicating that although hydrogen bonds were primarily responsible for mediating interactions with T1R2 and T1R3, hydrophobic forces contributed significantly to the stability of the complex.
Fig. 7.
Summary of amino acid residue (A) and binding force (B) results for the docking of N-Suc-Phe with T1R1, T1R3, T2R10, T2R14, and T2R46. N-Suc-Phe, N-succinyl-L-phenylalanine.
The molecular interactions between N-Suc-Phe and the bitterness receptors T2R10, T2R14, and T2R46 were examined. In the case of T2R10, the residues Ser 94, Ser 53, and Ser 140 were involved in hydrogen bonding, whereas Ile 90, Phe 56, Phe 87, and Phe 144 engaged in hydrophobic interactions. For T2R14, Ile 14 and Thr 10 contributed to hydrogen bonding, while Phe 71, Val 68, and Phe 72 participated in hydrophobic interactions. Within T2R46, Phe 43, Ala 44, Phe 118, and Ser 42 were implicated in hydrogen bonding, Phe 43 and Phe 118 also played roles in hydrophobic interactions. The distances of hydrophobic bonds exceeded those of hydrogen bonds, suggesting that hydrogen bonding predominantly facilitated the interaction between N-Suc-Phe and the bitterness receptors, while hydrophobic interactions enhanced the stability of the complex. Slack et al. (2010) found that both agonists and antagonists shared the same binding domain within bitterness receptors (Slack et al., 2010). Sensory evaluations indicated that N-Suc-Phe reduced both the intensity and duration of the bitterness of Baijiu, proposing its potential interaction with the antagonistic domains of these receptors. Similarly, studies by Cai et al. (2024) and Wu, Zhao, et al. (2023) demonstrated that compounds like N-lactoyl-L-tryptophan and N-lauroyl-L-tryptophan could reduce bitterness intensity by interacting with receptors such as T2R10, T2R14, and T2R46.
3.9. MDS
T1R2, T1R3, T2R10, T2R14, and T2R46, MDS 100 ns were conducted, which served to examine the docking results further. The root mean square fluctuation (RMSF) effectively characterized amino acid residue fluctuations within the complex. A higher RMSF value indicated increased conformational variability and residue flexibility (Wang et al., 2024). As depicted in Fig. 8A, the RMSF values of these complexes fluctuated within a range of 0.6 nm, suggesting relative stability. Significant fluctuations were detected in residues around positions 200–300 for T2R10, T2R14, and T2R46, indicating enhanced flexibility in these regions. The root mean square deviation (RMSD) measures the stability of the overall system by calculating the positional deviations of all atoms from their initial conformation at any given time (Song et al., 2023). As depicted in Fig. 8B, the RMSD of the N-Suc-Phe complexes bound to T1R2, T1R3, T2R10, T2R14, and T2R46 achieved stability by 30 ns. Throughout the simulation, the RMSD values exhibited fluctuations within a range of 0.2 nm, indicating strong stability and tight binding of these complexes. The compactness of the protein structure was evaluated using the radius of gyration (Rg) (Zhang et al., 2022). Fig. 8C showed that the Rg exhibited small fluctuations, less than 0.1 nm, demonstrating that the complexes maintained a high degree of compactness, without significant conformational changes in the receptors. Hydrogen bonding was identified as an important interactive force. To further elucidate the influence of ligands on the complexes, we quantified changes in hydrogen bond dynamics. These changes demonstrated relative stability, as depicted in Fig. 8D. the N-Suc-Phe-T2R16 complex exhibited the highest number of hydrogen bonds, consistently ranging between four and five. The hydrogen bond counted for the remaining complexes stabilized between two and four. Essentially, N-Suc-Phe formed at least two hydrogen bonds with amino acid residues in the receptor's active site, contributing to the stabilization of the N-Suc-Phe-receptor interaction (Sasaki & Yamashita, 2021). Fig. 8E depicted the changes in binding energy (CEB) of N-Suc-Phe complexes with T1R2, T1R3, T2R10, T2R14, and T2R46, which ranged from −180 to −60 kJ/mol, indicating strong interactions between N-Suc-Phe and the receptors. Additionally, the solvent accessible surface area (SASA) parameter effectively predicted conformational changes upon ligand binding and was commonly used to evaluate protein accessibility (Pan et al., 2021). Fig. 8F-8H illustrated that the total SASA, hydrophobic SASA, and hydrophilic SASA of N-Suc-Phe complexes bound to T1R2, T1R3, T2R10, T2R14, and T2R46 receptors, remained largely unchanged. This stability suggested small conformational alteration within the receptor complexes and indicated the stability of these complexes. This stability likely resulted from the retention of extensive hydrophobic contacts and the formation of more effective interactions between the receptors and N-Suc-Phe, which enhanced the alignment with receptors and thereby promote complex stability. As depicted in Fig. S3, the purple and blue regions represented areas of minimum energy, correlating with the most stable structures. Conversely, the red and yellow regions denoted less stable configurations. The free energy landscape of the N-Suc-Phe complexes with receptors T1R2, T1R3, T2R10, T2R14, and T2R46 showcased a predominantly single and smooth minimum energy cluster, indicating strong stability. In summary, the incorporation of N-Suc-Phe appeared to exert a small impact on the structural integrity of the T1R2, T1R3, T2R10, T2R14, and T2R46 receptors, while maintaining tight binding and high stability.
Fig. 8.
The results of molecular dynamics. (A) RMSF. (B) RMSD. (C) Rg. (D) The number of hydrogen bond. (E) Changes in binding energy between receptor and ligand (F) Total SASA. (G) Hydrophobic SASA. (H) Hydrophilic SASA.
4. Conclusion
The present study introduced a direct heating method for the synthesis of N-Suc-Phe achieving a high yield of 89.56 %. TCATA results revealed that the primary taste attributes of Baijiu encompassed pungency, bitterness, sourness, and sweetness. Upon incorporation of N-Suc-Phe, a progressive enhancement in sweetness and a corresponding reduction in bitterness were observed. TI and electronic tongue results showed that N-Suc-Phe notably enhanced the intensity and duration of sweetness while diminishing both the intensity and duration of bitterness. TL, OL, and JAR results indicated that the Baijiu containing 4 mg/L N-Suc-Phe garnered the highest consumer preference, as well as the most balanced modulation of bitterness and sweetness. Furthermore, molecular docking and MDS revealed a strong and tight interaction between N-Suc-Phe and the T1R2, T1R3, T2R10, T2R14, and T2R46 receptors. This interaction significantly enhanced the perception of sweetness and curtails that of bitterness, without significantly altering the native structures of these receptors. The insights obtained from this study provided valuable insights to the development and judicious application of N-Suc-Phe in enhancing the sensory quality of Baijiu.
CRediT authorship contribution statement
Pimiao Huang: Writing – review & editing, Writing – original draft, Visualization, Validation, Methodology, Investigation. Liang Liu: Writing – review & editing, Validation, Investigation, Formal analysis, Data curation. Yangyou Li: Visualization, Validation, Data curation, Conceptualization. Cindy: Visualization, Validation, Software. Chun Cui: Writing – review & editing, Resources, Project administration, Methodology, Funding acquisition.
Institutional review board statement
According to the regulatory guidelines of South China University of Technology's Human Ethics Committee, formal ethical approval is not required for food sensory evaluation studies. All experimental procedures complied with the ethical principles outlined in the Declaration of Helsinki. Written informed consent was obtained from each assessor prior to their involvement in the sensory evaluations.
Declaration of competing interest
The authors declare that they have no known competing financial interests or personal relationships that could have appeared to influence the work reported in this paper.
Acknowledgments
This work was supported by Guangdong province general colleges and universities characteristic innovation category project (2021KTSCX003), Higher Education Talent Cultivation Quality and Teaching Reform Project of North Sichuan Medical College (JG202412), and Undergraduate Teaching Engineering Innovative Experiment Project (CXSY23-08).
Footnotes
Supplementary data to this article can be found online at https://doi.org/10.1016/j.fochx.2025.103161.
Appendix A. Supplementary data
Supplementary material
Data availability
No data was used for the research described in the article.
References
- van der Bij H.E., Weckhuysen B.M. Phosphorus promotion and poisoning in zeolite-based materials: synthesis, characterisation and catalysis. Chemical Society Reviews. 2015;44(20):7406–7428. doi: 10.1039/c5cs00109a. [DOI] [PMC free article] [PubMed] [Google Scholar]
- Brahmachari G., Laskar S., Sarkar S. A green approach to chemoselective N-acetylation of amines using catalytic amount of zinc acetate in acetic acid under microwave irradiation. Indian Journal of Chemistry Section B-Organic Chemistry Including Medicinal Chemistry. 2010;49(9):1274–1281. [Google Scholar]
- Brahmachari G., Laskar S., Sarkar S. Metal acetate/metal oxide in acetic acid: an efficient reagent for the chemoselective N-acetylation of amines under green conditions. Journal of. Chemical. 2010;Research(5):288–295. [Google Scholar]
- Cai L., Hong J., Cui C. Application of multiple dynamic sensory techniques to N-lauroyl amino acids: Exposing the relationship between taste-enhancing properties and chemical structure. Food Chemistry. 2025;463 doi: 10.1016/j.foodchem.2024.141419. [DOI] [PubMed] [Google Scholar]
- Cai L., Li L., Zhao X., Wang L., Cheng Y., Gao W., Cui C. Molecular simulation screening and sensory evaluation unearth a novel kokumi compound with bitter-masking effect: N-lauroyl-L-tryptophan. Food Chemistry. 2024;454 doi: 10.1016/j.foodchem.2024.139718. [DOI] [PubMed] [Google Scholar]
- Cai L., Mou X., Hong J., Cui C. Cleaner preparation of N-lauroyl theanine with taste-enhancing properties and deciphering its taste-presenting mechanism. Food Chemistry. 2025;464 doi: 10.1016/j.foodchem.2024.141912. [DOI] [PubMed] [Google Scholar]
- Christa P., Dunkel A., Krauss A., Stark T.D., Dawid C., Hofmann T. Discovery and identification of Tastants and taste-modulating N-acyl amino acid derivatives in traditional Korean fermented dish kimchi using a Sensomics approach. Journal of Agricultural and Food Chemistry. 2022;70(24):7500–7514. doi: 10.1021/acs.jafc.2c02623. [DOI] [PubMed] [Google Scholar]
- Dong W., Dai X., Jia Y., Ye S., Shen C., Liu M., Deng B. Association between baijiu chemistry and taste change: Constituents, sensory properties, and analytical approaches. Food Chemistry. 2024;437 doi: 10.1016/j.foodchem.2023.137826. [DOI] [PubMed] [Google Scholar]
- Feng X., Huang P., Duan P., Wang H., Kan J. Dynamic Zanthoxylum pungency characteristics and their correlation with sanshool composition and chemical structure. Food Chemistry. 2023;407 doi: 10.1016/j.foodchem.2022.135138. [DOI] [PubMed] [Google Scholar]
- He Y., Chen S., Tang K., Qian M., Yu X., Xu Y. Sensory characterization of baijiu pungency by combined time-intensity (TI) and temporal dominance of sensations (TDS) Food Research International. 2021;147 doi: 10.1016/j.foodres.2021.110493. [DOI] [PubMed] [Google Scholar]
- Hong J., Zhao D., Sun B. Research Progress on the profile of trace components in baijiu. Food Reviews International. 2023;39(3):1666–1693. [Google Scholar]
- Huang P., Wang Z., Cheng Y., Gao W., Cui C. Integrated virtual screening coupled with sensory evaluation identifies N-succinyl-L-tryptophan as a novel compound with multiple taste enhancement properties. Food Chemistry. 2024;457 doi: 10.1016/j.foodchem.2024.140131. [DOI] [PubMed] [Google Scholar]
- Huang P., Wang Z., Ma Y., Zhao X., Cui C. Based on green synthesis, multisensory evaluations and molecular simulation approaches: Exploring the taste-enhancing characteristics and mechanisms of N-succinyl-L-leucine. Food Research International. 2024 doi: 10.1016/j.foodres.2024.115160. [DOI] [PubMed] [Google Scholar]
- Huang P., Yang B., Zhao X., Wang L., Cui C. Enzymatic synthesis of N-succinyl-L-phenylalanine and exploration of its potential as a novel taste enhancer. Food Chemistry. 2024;460 doi: 10.1016/j.foodchem.2024.140747. [DOI] [PubMed] [Google Scholar]
- Ley J.P., Blings M., Paetz S., Kindel G., Freiherr K., Krammer G.E., Bertram H.J. Vol. 979. 2006. Enhancers for sweet taste from the world of non-volatiles: Polyphenols as taste modifiers (S. Amer Chem, trans.). 231st National Meeting of the American-chemical-society; pp. 400–409. [Google Scholar]
- Li J., Zhang Q., Sun B. Chinese baijiu and whisky: Research reservoirs for flavor and functional food. Foods. 2023;12(15) doi: 10.3390/foods12152841. [DOI] [PMC free article] [PubMed] [Google Scholar]
- Liang L., Zhou C., Zhang J., Huang Y., Zhao J., Sun B., Zhang Y. Characteristics of umami peptides identified from porcine bone soup and molecular docking to the taste receptor T1R1/T1R3. Food Chemistry. 2022;387 doi: 10.1016/j.foodchem.2022.132870. [DOI] [PubMed] [Google Scholar]
- Lin J., Cui C., Feng Y. Preparation and Kokumi properties of N-acetyl-Val/Leu/Ile/met/Phe in the presence of acetic acid and amino acid: A commercially available transglutaminase and protease A 2SD. Journal of Agricultural and Food Chemistry. 2023;71(45):17235–17242. doi: 10.1021/acs.jafc.3c03239. [DOI] [PubMed] [Google Scholar]
- Lorido L., Hort J., Estévez M., Ventanas S. Reporting the sensory properties of dry-cured ham using a new language: Time intensity (TI) and temporal dominance of sensations (TDS) Meat Science. 2016;121:166–174. doi: 10.1016/j.meatsci.2016.06.009. [DOI] [PubMed] [Google Scholar]
- Lu T., Chen F. Multiwfn: A multifunctional wavefunction analyzer. Journal of Computational Chemistry. 2012;33(5):580–592. doi: 10.1002/jcc.22885. [DOI] [PubMed] [Google Scholar]
- Meyerhof W., Batram C., Kuhn C., Brockhoff A., Chudoba E., Bufe B.…Behrens M. The molecular receptive ranges of human TAS2R bitter taste receptors. Chemical Senses. 2010;35(2):157–170. doi: 10.1093/chemse/bjp092. [DOI] [PubMed] [Google Scholar]
- Niza N.M., Tan K.T., Lee K.T., Ahmad Z. Influence of impurities on biodiesel production from Jatropha curcas L. by supercritical methyl acetate process. Journal of Supercritical Fluids. 2013;79:73–75. [Google Scholar]
- Pan F., Li J., Zhao L., Tuersuntuoheti T., Mehmood A., Zhou N.…Lin W. A molecular docking and molecular dynamics simulation study on the interaction between cyanidin-3-O-glucoside and major proteins in cow's milk. Journal of Food Biochemistry. 2021;45(1) doi: 10.1111/jfbc.13570. [DOI] [PubMed] [Google Scholar]
- Ramsey I., Ross C., Ford R., Fisk I., Yang Q., Gomez-Lopez J., Hort J. Using a combined temporal approach to evaluate the influence of ethanol concentration on liking and sensory attributes of lager beer. Food Quality and Preference. 2018;68:292–303. [Google Scholar]
- Roque J., Auvray M., Lafraire J. Understanding freshness perception from the cognitive mechanisms of flavor: The case of beverages. Frontiers in Psychology. 2018;8 doi: 10.3389/fpsyg.2017.02360. [DOI] [PMC free article] [PubMed] [Google Scholar]
- Sakai A., Xiang D.F., Xu C.F., Song L., Yew W.S., Raushel F.M., Gerlt J.A. Evolution of enzymatic activities in the enolase superfamily:: N-succinylamino acid racemase and a new pathway for the irreversible conversion of D- to L-amino acids. Biochemistry. 2006;45(14):4455–4462. doi: 10.1021/bi060230b. [DOI] [PubMed] [Google Scholar]
- Sasaki K., Yamashita T. Modification and validation of the DREIDING force field for molecular liquid simulations (DREIDING-UT) Journal of Chemical Information and Modeling. 2021;61(3):1172–1179. doi: 10.1021/acs.jcim.0c01169. [DOI] [PubMed] [Google Scholar]
- Silveira R.D., de Sá Torres L.H.P., Hernandes K.C., dos Santose Santos R.T., Dantas B.F., Telles Biasoto A.C., Welke J.E. Instrumental and sensory tools to evaluate the production potential of a new type of sparkling wine from umbu (Spondias tuberosa) Food Bioscience. 2024;60 [Google Scholar]
- Slack J.P., Brockhoff A., Batram C., Menzel S., Sonnabend C., Born S.…Meyerhof W. Modulation of bitter taste perception by a small molecule hTAS2R antagonist. Current Biology. 2010;20(12):1104–1109. doi: 10.1016/j.cub.2010.04.043. [DOI] [PMC free article] [PubMed] [Google Scholar]
- Song S., Zhuang J., Ma C., Feng T., Yao L., Ho C.-T., Sun M. Identification of novel umami peptides from boletus edulis and its mechanism via sensory analysis and molecular simulation approaches. Food Chemistry. 2023;398 doi: 10.1016/j.foodchem.2022.133835. [DOI] [PubMed] [Google Scholar]
- Veldhuizen M.G., Wuister M.J.P., Kroeze J.H.A. Temporal aspects of hedonic and intensity responses. Food Quality and Preference. 2006;17(6):489–496. [Google Scholar]
- Wang R., Feng X., Gong Z., Chen X., Cai K., Zhou H., Xu B. Decoding of salty/saltiness-enhancing peptides derived from goose hemoglobin and the interaction mechanism with TMC4 receptor. Journal of Agricultural and Food Chemistry. 2024;72(34):19107–19119. doi: 10.1021/acs.jafc.4c02437. [DOI] [PubMed] [Google Scholar]
- Wu J., Gao J., Lin J., Cui C., Li L., He S., Brennan C. Preparation and taste characteristics of KokumiN-Lactoyl phenylalanine in the presence of phenylalanine and lactate. Journal of Agricultural and Food Chemistry. 2022;70(17):5396–5407. doi: 10.1021/acs.jafc.2c00530. [DOI] [PubMed] [Google Scholar]
- Wu J., Ling Z., Feng Y., Cui C., Li L. Kokumi-enhancing mechanism of N-L-lactoyl-L-met elucidated by sensory experiments and molecular simulations. Journal of Agricultural and Food Chemistry. 2023;71(40):14697–14705. doi: 10.1021/acs.jafc.3c03054. [DOI] [PubMed] [Google Scholar]
- Wu J., Zhao J., Zhou Y., Cui C., Xu J., Li L., Feng Y. Discovery of N-L-Lactoyl-L-Trp as a bitterness masker via structure-based virtual screening and a sensory approach. Journal of Agricultural and Food Chemistry. 2023;71(4):2082–2093. doi: 10.1021/acs.jafc.2c07807. [DOI] [PubMed] [Google Scholar]
- Xiao Z., Qu H., Mao C., Niu Y. Study on the sweetening mechanism of aroma compounds in yangshan peach using sensory analysis, molecular docking, and molecular dynamics simulation techniques. LWT. 2024;191 [Google Scholar]
- Zhang C., Xu Q., Hou H., Wu J., Zheng Z., Ouyang J. Efficient biosynthesis of cinnamyl alcohol by engineered Escherichia coli overexpressing carboxylic acid reductase in a biphasic system. Microbial Cell Factories. 2020;19(1) doi: 10.1186/s12934-020-01419-9. [DOI] [PMC free article] [PubMed] [Google Scholar]
- Zhang N., Cui Z., Li M., Fan Y., Liu J., Wang W., Liu Y. Typical umami ligand-induced binding interaction and conformational change of T1R1-VFT. Journal of Agricultural and Food Chemistry. 2022;70(37):11652–11666. doi: 10.1021/acs.jafc.2c05559. [DOI] [PubMed] [Google Scholar]
- Zhi R., Zhao L., Shi J. Improving the sensory quality of flavored liquid milk by engaging sensory analysis and consumer preference. Journal of Dairy Science. 2016;99(7):5305–5317. doi: 10.3168/jds.2015-10612. [DOI] [PubMed] [Google Scholar]
- Zhou X., Wang H., Huang M., Chen J., Chen J., Cheng H.…Liu D. Role of bitter contributors and bitter taste receptors: a comprehensive review of their sources, functions and future development. Food Science and Human Wellness. 2024;13(4):1806–1824. [Google Scholar]
Associated Data
This section collects any data citations, data availability statements, or supplementary materials included in this article.
Supplementary Materials
Supplementary material
Data Availability Statement
No data was used for the research described in the article.








