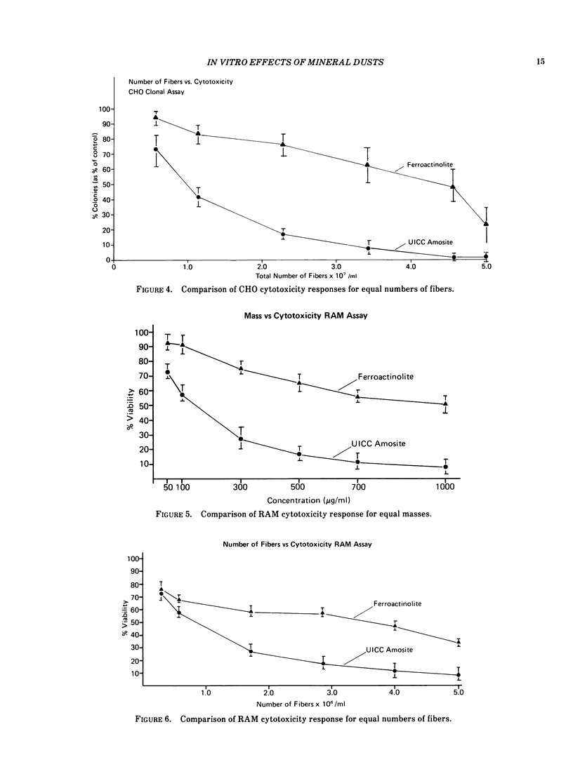
Abstract
In vivo tests available to determine the toxicity of mineral fibers are too expensive and time-consuming to be regularly employed in the evaluation of the potential health hazard posed by natural and man-made fibers. In vitro procedures, while economical, convenient and capable of ranking "relative toxicity," are uncertain predictors of specific lesions. Thus, it is of interest to compare the results of various standard in vitro tests with the results of in vivo tests. Data are available for intratracheal and intrapleural exposures of animals to amphibole mineral fibers from UICC amosite and a fibrous form of ferroactinolite. This paper presents data from parallel in vitro studies employing these minerals. The methods used were mammalian erythrocyte lysis, Chinese hamster ovary cell clonal cytotoxicity assay, and rabbit alveolar macrophage cytotoxicity assay. The experiments were conducted in triplicate to determine dose effect by mass and by number of fibers with aspect ratios greater than 3. A comparison of relative toxicity was made between the ferroactinolite and amosite. In the erythrocyte system, there was a greater lytic effect per unit of fibers for ferroactinolite than for the UICC amosite.
Full text
PDF





Selected References
These references are in PubMed. This may not be the complete list of references from this article.
- Coffin D. L., Palekar L. D., Cook P. M. Correlation of in vitro and in vivo methods by means of mass dose and fiber distribution for amosite and fibrous ferroactinolite. Environ Health Perspect. 1983 Sep;51:49–53. doi: 10.1289/ehp.835149. [DOI] [PMC free article] [PubMed] [Google Scholar]
- Coffin D. L., Palekar L. D., Cook P. M. Tumorigenesis by a ferroactinolite mineral. Toxicol Lett. 1982 Oct;13(3-4):143–149. doi: 10.1016/0378-4274(82)90202-8. [DOI] [PubMed] [Google Scholar]
- Cook P. M., Palekar L. D., Coffin D. L. Interpretation of the carcinogenicity of amosite asbestos and ferroactinolite on the basis of retained fiber dose and characteristics in vivo. Toxicol Lett. 1982 Oct;13(3-4):151–158. doi: 10.1016/0378-4274(82)90203-x. [DOI] [PubMed] [Google Scholar]
- HANKS J. H., WALLACE J. H. Determination of cell viability. Proc Soc Exp Biol Med. 1958 May;98(1):188–192. doi: 10.3181/00379727-98-23985. [DOI] [PubMed] [Google Scholar]
- Lipkin L. E. Cellular effects of asbestos and other fibers: correlations with in vivo induction of pleural sarcoma. Environ Health Perspect. 1980 Feb;34:91–102. doi: 10.1289/ehp.803491. [DOI] [PMC free article] [PubMed] [Google Scholar]
- Palekar L. D., Spooner C. M., Coffin D. L. Influence of crystallization habit of minerals on in vitro cytotoxicity. Ann N Y Acad Sci. 1979;330:673–686. doi: 10.1111/j.1749-6632.1979.tb18771.x. [DOI] [PubMed] [Google Scholar]
- Stanton M. F., Laynard M., Tegeris A., Miller E., May M., Kent E. Carcinogenicity of fibrous glass: pleural response in the rat in relation to fiber dimension. J Natl Cancer Inst. 1977 Mar;58(3):587–603. doi: 10.1093/jnci/58.3.587. [DOI] [PubMed] [Google Scholar]
