Abstract
A new series of 2,6,9-trisubstituted adenines (5–14) have been prepared and evaluated in radioligand binding studies for their affinity at the human A1, A2A and A3 adenosine receptors and in adenylyl cyclase experiments for their potency at the human A2B subtype. From this preliminary study the conclusion can be drawn that introduction of bulky chains at the N6 position of 9-propyladenine significantly increased binding affinity at the human A1 and A3 adenosine receptors, while the presence of a chlorine atom at the 2 position resulted in a not univocal effect, depending on the receptor subtype and/or on the substituent present in the N6 position. However, in all cases, the presence in the 2 position of a chlorine atom favoured the interaction with the A2A subtype. These results demonstrated that, although the synthesized compounds were found to be quite inactive at the human A2B subtype, adenine is a useful template for further development of simplified adenosine receptor antagonists with distinct receptor selectivity profiles.
Keywords: Adenine derivatives, Adenosine receptors, Adenosine receptor antagonists, Adenosine receptor ligands, G protein-coupled receptors
Introduction
Adenosine, a naturally occurring nucleoside, is involved in a wide variety of physiological and pathophysiological processes [1]. Adenosine mediates these effects through the activation of at least four human receptor subtypes (P1), belonging to the superfamily of G protein-coupled receptors, which have been recently cloned [2] and classified as A1, A2A, A2B and A3 [3]. The subtypes are classified on the bases of coupling to second messengers and pharmacological profiles for agonists and antagonists. In fact, A1 and A3 adenosine receptor subtypes are linked to inhibition of adenylyl cyclase and A2A and A2B subtypes are linked to stimulation of the same enzyme [4].
In particular, A2B receptors have been implicated in several physiological functions such as the regulation of mast cell secretion [5, 6], gene expression [5, 7, 8], cell growth [9] and intestinal functions. A2B receptors may also play a role in asthma, since they mediate mast cell degranulation from human mast cells and are present in high density in human blood eosinophils [10, 11]. For this reason A2B antagonists could be considered potential antiasthmatic agents [10–12]. While the A1, A2A and A3 adenosine receptors have been pharmacologically characterized through the use of highly potent and selective agonists and/or antagonists, an accurate investigation of the pathophysiological role of A2B receptors is precluded due to the lack of very selective ligands [13]. On the other hand, only recently radiolabelled adenosine antagonists have been used for binding assays at the A2B receptor subtype [1]. Recently, xanthine derivatives, such as compounds 1 and 2 in Fig. 1, have been proposed as potent and selective adenosine receptor antagonists [14, 15]. On the other hand, in the non-xanthine family poor results have been obtained in recent years. However, mention should be made of the pyrazolo-triazolo-pyrimidine derivative 3, which showed promising binding affinity at the A2B adenosine receptor although the level of selectivity vs the human (h) A3 subtype was still poor [16]. Very recently, a bipyrimidyl derivative 4 has been proposed as an A2B adenosine receptor antagonist, with affinity in the same range of compound 3, while the selectivity vs the other receptor subtypes was found to be significantly better [17] (Fig. 1).
Fig. 1.

Structures and binding profile (Ki nM) of some A2B adenosine receptor antagonists
A structural analysis of the derivatives 1 and 3 clearly shows the presence of bulky substituents such as aryloxyacetylamino-phenyl groups at the 8 position (compound 1) and arylacetyl moiety at the N5 position (compound 3).
On the other hand, in recent years a number of substituted adenines have been synthesized and tested at the four adenosine receptor subtypes, demonstrating that the introduction of different substituents at the 2, 8 and 9 positions of the adenine core resulted in high-affinity antagonists with distinct receptor selectivity profile [18–22]. At the A2B receptor the derivatives bearing an ethyl in the 9 position and linear chains in the 2 position showed potency in the μM range, while the presence of sterically hindered substituents in the same positions was detrimental for the potency. Furthermore, substitution of the 9-ethyl group with a propyl chain seems to favour the interaction with human A2B receptors [21].
Hence, on the basis of the results obtained with compound 3, introduction of a bulky substituent on the N6 amino group of the adenine and 2-chloroadenine moiety could increase potency and selectivity for the human A2B adenosine receptor subtypes.
Hence, bulky substituents such as arylacetyl or aryloxyphenylacetyl moieties were introduced on the N6 amino group of compounds 5 and 6 to obtain derivatives 7–14, with the aim of finding a new class of A2B antagonists (Fig. 2).
Fig. 2.

Structures of designed compounds
Chemistry
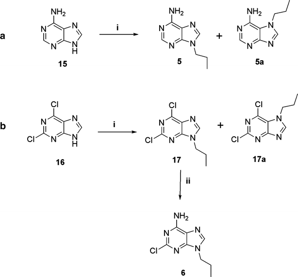
The designed compounds (5–14) have been synthesized as summarized in Schemes 1 and 2. The starting 9-propyladenine (5) [23] was obtained by alkylation of commercially available adenine (15) with propyliodide in the presence of potassium carbonate. Flash chromatography led to the desired 9-substituted isomer 5 as the major product (yield 79%) together with the 7-isomer 5a (yield 9%). Isomeric structure of compounds 5 and 5a was assigned on the bases of 1D-1H-NOE difference spectra. In fact, irradiation of both CH2 groups of the propylic chain in compound 5a gave a NOE at both H-C(8) and 6-NH2 groups, demonstrating the 7 position as the alkylation site. On the contrary, a NOE at both H-C(8) and H-C(2), and not at the 6-NH2 group in compound 5, upon saturation of CH2 groups of the propylic chain, confirmed the 9 position as the alkylation site.
Scheme 1.

a Synthesis of 9-propyladenine; b Synthesis of 2-chloro-9-propyladenine. Reagents: i: DMF, K2 CO3, propyliodide, RT; ii: liq. NH3, sealed tube, RT
Scheme 2.

Reagents: i: CDI, dry THF, reflux
The 2-chloro derivative 6 was obtained by alkylation of commercially available 2,6-dichloropurine (16) with propyliodide, using the same procedure utilized for compound 5, to afford the 9-substituted isomer 17 as the major product (yield 75%) along with the 7-isomer 17a (yield 10%) [24]. [1H]-NMR spectra of 17 and 17a in CDCl3 are in agreement with those reported in the literature [24]; in the experimental part [1H]-NMR spectra of the same compounds are reported using dimethyl sulfoxide (DMSO) as the solvent. Compound 17 was reacted with liquid ammonia in a sealed tube at room temperature (RT) overnight to give the 2-chloro-9-propyladenine (6) [24] (Scheme 1).
Final compounds 7–14 were obtained by condensation of amino compounds 5 or 6 with the appropriate acid 18–22 [25] in the presence of carbonyldiimidazole in tetrahydrofurane (THF) at reflux for 18 h (Scheme 2).
Results and discussion
All the compounds were evaluated at the human recombinant adenosine receptors, stably transfected into Chinese hamster ovary (CHO) cells, utilizing radioligand binding studies (A1, A2A, A3) or adenylyl cyclase activity assay (A2B). Receptor binding affinity was determined using [3H]CCPA (2-chloro-N6-cyclopentyladenosine) as the radioligand for A1 receptors, whereas [3H]NECA (5’-N-ethylcarboxamidoadenosine) was used for the A2A and A3 subtypes. In the case of A2B receptors Ki values were calculated from IC50 values determined by inhibition of NECA-stimulated adenylyl cyclase activity. Ki values are in μM, with 95% confidence intervals in parentheses [26]. The results of binding and cyclase activity studies are reported in Table 1.
Table 1.
Biological profile of synthesized compounds 5–14

aDisplacement of specific [3H]-CCPA binding at human A1 receptors expressed in CHO cells. bDisplacement of specific [3H]-NECA binding at human A2A receptors expressed in CHO cells. cKi values of the inhibition of NECA-stimulated adenylyl cyclase activity in CHO cells expressing human A2B receptors. dDisplacement of specific [3H]-NECA binding at human A3 receptors expressed in CHO cells.
All the tested compounds 5–14 showed affinities at the human A1, A2A and A3 adenosine receptors in the μM range without significant levels of selectivity. At A2B receptors most compounds were found to be inactive when tested at a concentration up to 100 μM (Ki values > 30 μM). It is quite evident that the introduction of phenylacetic or aryloxyphenylacetic moieties at the N6 position of 9-propyladenine (5) or of 2-chloro-9-propyladenine (6) to give compounds 7–14 modifies the binding profile of the derivatives, although without significantly increasing binding affinity (Table 1). On the other hand, the same substitutions were found to be detrimental for the activity at the A2B receptor subtype. In fact, the N6-unsubstituted derivative 6 proved to be the most potent of the series with Ki A2B = 11 μM.
The effect of the chlorine at the 2 position on binding affinity at the adenosine receptors it is not univocal, depending on the receptor subtype and/or on the substituent in N6. Analysis of the binding profile of the N6-unsubstituted derivatives in more detail revealed that the presence of a chlorine atom at the 2 position (compound 6) increased the affinity (A1, A2A and A3) and potency (A2B) at adenosine receptors two- to threefold compared with the unsubstituted analogue 5.
A quite similar profile could be observed when a 4-bromophenylacetic group was introduced at the N6 position (compare compound 8 with 7).
An opposite effect of the chlorine atom was detected at A1, A2B and A3 receptors when a bulkier substituent, such as the 4-aryloxyphenylacetic chain, was introduced at the N6 position. In fact, this kind of combination significantly reduced or did not modify the A1 and A3 affinity and the A2B potency (9: Ki A1 = 1.4 μM, Ki A2B > 30 μM, Ki A3 = 5.3 μM vs 10: Ki A1 = 26 μM, Ki A2B > 30 μM, Ki A3 = 4.9 μM and 12: Ki A1 = 13 μM, Ki A2B = 22 μM, Ki A3 = 10 μM vs 13: Ki A1 = 22 μM, Ki A2B > 30 μM, Ki A3 = 19 μM).
However, in all cases, the presence of a chlorine atom in the 2 position favoured the interaction with the A2A subtype (compare A2A affinity of 5, 7, 9 and 12 with 6, 8, 10 and 13, respectively), while the presence of any substituent on the N6 position seems to somewhat reduce the affinity. In fact the compound endowed with the highest A2A affinity proved to be the 2-chloro-9-propyladenine (6: Ki A2A = 2.2 μM). These findings are in agreement with previous observations related to adenosine analogues strongly suggesting that the introduction of substituents in the N6 position dramatically reduces the A2A affinity [27–32].
Nevertheless, it should be underlined that the presence of a bulky chain at the N6 position significantly increased (20- to 70-fold) the affinity at the A1 and A3 subtypes in comparison with 9-propyladenine (9: Ki A1 = 1.4 μM and 11: Ki A3 = 1.4 μM vs 5: Ki A1 = 24 μM and Ki A3 > 100 μM).
This increase of affinity seems also to be modulated by the substituent on the aryloxyphenylacetic group; in fact, substitution with a lipophilic bromine (9) or methyl group (11) at the para position is responsible for the increased A1 and A3 receptor affinity, respectively, while the presence of a hydrogen (12) or a methoxy group (14) did not positively influence the binding profile.
Conclusions
In conclusion the study herein presented, although it did not reach the proposed goal of obtaining A2B adenosine receptor antagonists, increased knowledge of the structure-activity relationships in adenine derivatives.
Moreover, it was demonstrated that the introduction of bulky substituents at the N6 position of adenine derivatives significantly increased the affinity at the A1 and A3 adenosine receptors, while the presence of a chlorine atom in the 2 position favoured the interaction with the A2A subtype. These results demonstrated that, although the synthesized compounds were found to be quite inactive at the human A2B subtype, adenine is a useful template for further development of simplified adenosine receptor antagonists with distinct receptor selectivity profiles, opening up new chances to design structurally simplified A1 and A3 adenosine receptor antagonists.
Experimental section
Chemistry
General: melting points were determined with a Büchi apparatus and are uncorrected. 1H NMR spectra were obtained with Varian VXR 300 MHz spectrometer; δ in ppm, J in Hz. All exchangeable protons were confirmed by addition of D2O. Thin layer chromatography (TLC) was carried out on precoated TLC plates with silica gel 60 F-254 (Merck). For column chromatography, silica gel 60 (Merck) was used. Elemental analyses were determined on Fisons Instruments Model EA 1108 CHNS-O model analyser and are within ± 0.4% of theoretical values.
9-Propyladenine (5) and 7-propyladenine (5a)
To a solution of adenine (15) (0.5 g, 3.7 mmol) in dry DMF (10 ml), under nitrogen, K2CO3 (0.83 g, 5.97 mmol) and propyliodide (0.433 ml, 4.44 mmol) were added. The mixture was stirred at RT for 16 h, then the solvent was removed under reduced pressure and the crude purified by flash chromatography (CHCl3-MeOH 98:2) to afford 5 [23] and 5a (yield 79 and 9%, respectively) as white solids, after crystallization from CH3OH.
5: m.p. 173–175°C. 1H-NMR (DMSO-d6) δ 0.85 (t, 3H, J = 7.4, CH3); 1.82 (m, 2H, CH2-CH3); 4.11 (t, 2H, J = 7.0, CH2-N); 7.21 (bs, 2H, NH2); 8.15 (s, 2H, H-2 and H-8). Anal. Calcd. for C5H5N5 (177.2) C, 54.22; H, 6.26; N, 39.52; found: C, 54.54; H, 6.71; N, 39.33.
5a: m.p. >250°C. 1H-NMR (DMSO-d6) δ 0.86 (t, 3H, J = 7.3, CH3); 1.91 (m, 2H, CH2-CH3); 4.26 (t, 2H, J = 7.0, CH2-N); 7.75 (s, 1H, H-2); 7.85 (bs, 2H, NH2); 8.34 (s, 1H, H-8). Anal. Calcd. for C5H5N5 (177.2) C, 54.22; H, 6.26; N, 39.52; found: C, 54.45; H, 6.45; N, 39.45.
2,6-Dichloro-9-propyl-9H-purine (17) and 2,6-dichloro-7-propyl-9H-purine (17a)
To a solution of 2,6-dichloropurine (16) (1 g, 5.29 mmol) in dry DMF (14 ml), under nitrogen, K2CO3 (1.18 g, 6.61 mmol) and propyliodide (0.59 ml, 6.08 mmol) were added. The mixture was stirred at RT overnight, then the solvent was removed under reduced pressure and the crude purified by flash chromatography (cC6H12-EtOAc 75:25) to afford 17 and 17a as white solids (yield 75 and 10%, respectively) [24].
17: m.p. 58–59°C; 1H-NMR (DMSO- d6) δ 0.86 (t, 3H, J = 7.5 Hz, CH2CH3), 1.85 (m, 2H, CH2CH3), 4.21 (t, 2H, J = 7.0 Hz, N-CH2), 8.76 (s, 1H, H-8). Anal. Calcd. for C8H8Cl2N4 (231.1) C, 41.58; H, 3.49; N, 24.25. Found: C, 41.85; H, 3.70; N, 24.10.
17a: m.p. 103–105°C; 1H-NMR (DMSO-d6) δ 0.87 (t, 3H, J = 7.4 Hz, CH2CH3), 1.84 (m, 2H, CH2CH3), 4.40 (t, 2H, J = 7.2 Hz, N-CH2), 8.89 (s, 1H, H-8). Anal. Calcd. for C8H8Cl2N4 (231.1) C, 41.58; H, 3.49; N, 24.25. Found: C, 41.75; H, 3.55; N, 24.19.
2-Chloro-9-propyladenine (6)
Liquid ammonia (5 ml) and compound 17 (0.46 g, 1.97 mmol) were poured into a sealed tube and the resulting mixture was stirred at RT overnight. Ammonia was evaporated and the crude purified by flash chromatography (CHCl3-MeOH 99:1) to give 6 [24] as a white solid (yield 75%) m.p. 224–226°C. 1H-NMR (DMSO-d6) δ 0.84 (t, 3H, J = 7.3 Hz, CH2CH3), 1.79 (m, 2H, CH2CH3), 4.05 (t, 2H, J = 7.2 Hz, N-CH2), 7.72 (s, 2H, NH2), 8.15 (s, 1H, H-8). Anal. Calcd. for C8H10ClN5 (211.7) C, 45.40; H, 4.76; N, 33.09. Found: C, 45.75; H, 4.80; N, 32.87.
General procedure for the preparation of the N6-acylaminoadenine (7–14)
A solution in dry THF (4 ml) of the appropriate acid (18–22) (0.46 mmol) and carbonyldiimidazole (83 mg, 0.51 mmol) was poured at reflux under nitrogen for 1 h. Then the amino compound 5 or 6 (0.46 mmol) was added and the resulting mixture was refluxed overnight. The solvent was removed under reduced pressure and the crude purified by flash chromatography to afford the desired final compounds 7–14.
6-[(4-Bromophenyl)acetyl]amino-9-propyladenine (7)
Eluent for chromatography CHCl3-MeOH 95:5; yield 59%, white solid; m.p. 149–151°C (dec.); 1H-NMR (DMSO-d6): δ 0.83 (t, 3H, J = 7.2 Hz, CH2CH3), 1.84 (m, 2H, CH2CH3), 3.89 (s, 2H, CH2-CO), 4.19 (t, 2H, J = 7.1 Hz, N-CH2), 7.30 (d, 2H, J = 8.4 Hz, H-Ph), 7.51 (d, 2H, J = 8.4 Hz, H-Ph), 8.47 (s, 1H, H-8), 8.62 (s, 1H, H-2), 10.91 (s, 1H, NH). Anal. Calcd. for C16H16BrN5O (374.2) C, 51.35; H, 4.31; N, 18.71. Found: C, 51.65; H, 4.80; N, 18.50.
6-[(4-Bromophenyl)acetyl]amino-2-chloro-9-propyladenine (8)
Eluent for chromatography CHCl3-cC6H12 80:20; yield 26%, white solid; m.p. 164–166°C; 1H-NMR (DMSO-d6): δ 0.84 (t, 3H, J = 7.5 Hz, CH2CH3), 1.83 (m, 2H, CH2CH3), 3.88 (s, 2H, CH2-CO), 4.15 (t, 2H, J = 6.9 Hz, N-CH2), 7.30 (d, 2H, J = 8.4 Hz, H-Ph), 7.53 (d, 2H, J = 8.4 Hz, H-Ph), 8.50 (s, 1H, H-8), 11.25 (s, 1H, NH). Anal. Calcd. for C16H15BrClN5O (408.7) C, 47.02; H, 3.70; N, 17.14. Found: C, 47.49; H, 3.83; N, 17.40.
6-[(4-(4-Bromobenzyloxy)phenyl)acetyl]amino-9-propyladenine (9)
Eluent for chromatography CHCl3-MeOH 95:5; yield 58%, white solid; m.p. 154–156°C; 1H-NMR (DMSO-d6): δ 0.85 (t, 3H, J = 7.5 Hz, CH2CH3), 1.85 (m, 2H, CH2CH3), 3.82 (s, 2H, CH2-CO), 4.21 (t, 1H, J = 7.0 Hz, N-CH2), 5.07 (s, 2H, CH2-O), 6.95 (d, 2H, J = 8.8 Hz, H-Ph), 7.27 (d, 2H, J = 8.4 Hz, H-Ph), 7.40 (d, 2H, J = 8.4 Hz, H-Ph), 7.58 (d, 2H, J = 8.4 Hz, H-Ph), 8.48 (s, 1H, H-8), 8.62 (s, 1H, H-2), 10.81 (s, 1H, NH). Anal. Calcd. for C23H22BrN5O2 (480.4) C, 57.51; H, 4.62; N, 14.58. Found: C, 57.99; H, 4.66; N, 14.55.
6-[(4-(4-Bromobenzyloxy)phenyl)acetyl]amino-2-chloro-9-propyladenine (10)
Eluent for chromatography CHCl3-cC6H12-MeOH 50:48:2; yield 14%, white solid; m.p. 176–178°C; 1H-NMR (DMSO-d6): δ 0.81 (t, 3H, J = 7.5 Hz, CH2CH3), 1.79 (m, 2H, CH2CH3), 3.76 (s, 2H, CH2-CO), 4.12 (t, 2H, J = 7.4 Hz, N-CH2), 5.03 (s, 2H, CH2-O), 6.92 (d, 2H, J = 8.6 Hz, H-Ph), 7.22 (d, 2H, J = 8.4 Hz, H-Ph), 7.36 (d, 2H, J = 8.4 Hz, H-Ph), 7.54 (d, 2H, J = 8.4 Hz, H-Ph), 8.46 (s, 1H, H-8), 11.11 (s, 1H, NH). Anal. Calcd. for C23H21BrClN5O2 (514.8) C, 53.66; H, 4.11; N, 13.60. Found: C, 53.75; H, 4.25; N, 13.29.
6-[(4-(4-Methylbenzyloxy)phenyl)acetyl]amino-9-propyladenine (11)
Eluent for chromatography CHCl3-cC6H12-MeOH 70:28:2; yield 35%, white solid; m.p.131–132°C; 1H-NMR (DMSO-d6): δ 0.83 (t, 3H, J = 7.3 Hz, CH2CH3), 1.84 (m, 2H, CH2CH3), 2.28 (s, 3H, CH3-Ph), 3.80 (s, 2H, CH2-CO), 4.20 (t, 2H, J = 7.1 Hz, N-CH2), 5.02 (s, 2H, CH2-O), 6.93 (d, 2H, J = 8.4 Hz, H-Ph), 7.24 (m, 6H, H-Ph), 8.47 (s, 1H, H-8), 8.62 (s, 1H, H-2), 10.83 (s, 1H, NH). Anal. Calcd. for C24H25N5O2 (415.5) C, 69.38; H, 6.06; N, 16.86. Found: C, 69.74; H, 6.35; N, 16.54.
6-[(4-Benzyloxyphenyl)acetyl]amino-9-propyladenine (12)
Eluent for chromatography CHCl3-MeOH 97:3; yield 52%, white solid; m.p. 121–123°C; 1H-NMR (DMSO-d6): δ 0.83(t, 3H, J = 7.5 Hz, CH2CH3), 1.84 (m, 2H, CH2CH3), 3.80 (s, 2H, CH2-CO), 4.19 (t, 2H, J = 7.1 Hz, N-CH2), 5.07 (s, 2H, CH2-O), 6.95 (d, 2H, J = 8.4 Hz, H-Ph), 7.25 (d, 2H, J = 8.8 Hz, H-Ph), 7.37 (m, 5H, H-Ph), 8.47 (s, 1H, H-8), 8.62 (s, 1H, H-2), 10.82 (s, 1H, NH). Anal. Calcd. for C23H23N5O2 (401.5) C, 68.81; H, 5.77; N, 17.44. Found: C, 68.97; H, 5.89; N, 17.35.
6-[(4-Benzyloxyphenyl)acetyl]amino-2-chloro-9-propyladenine (13)
Eluent for chromatography CHCl3-MeOH 99:1; yield 17%, white solid; m.p. 150–152°C; 1H-NMR (DMSO-d6): δ 0.84 (t, 3H, J = 7.3 Hz, CH2CH3), 1.82 (m, 2H, CH2CH3), 3.79 (s, 2H, CH2-CO), 4.14 (t, 2H, J = 7.0 Hz, N-CH2), 5.07 (s, 2H, CH2-O), 6.95 (d, 2H, J = 8.6 Hz, H-Ph), 7.25 (d, 2H, J = 8.4 Hz, H-Ph), 7.37 (m, 5H, H-Ph), 8.49 (s, 1H, H-8), 11.16 (s, 1H, NH). Anal. Calcd. for C23H22ClN5O2 (435.9) C, 63.37; H, 5.09; N, 16.07. Found: C, 63.56; H, 5.14; N, 15.76.
6-{[(4-Methoxybenzyloxy)phenyl]acetyl}amino-2-chloro-9-propyladenine (14)
Eluent for chromatography CHCl3-MeOH 99:1; yield 29%, white solid; m.p. 174–176°C; 1H-NMR (DMSO-d6): δ 0.84 (t, 3H, J = 7.4 Hz, CH2CH3), 1.82 (m, 2H, CH2CH3), 3.73 (s, 3H, CH3-O), 3.79 (s, 3H, CH2-CO), 4.14 (t, 2H, J = 7.0 Hz, N-CH2), 4.98 (s, 2H, CH2-O), 6.92 (d, 2H, J = 8.0 Hz, H-Ph), 6.93 (d, 2H, J = 8.4 Hz, H-Ph), 7.24 (d, 2H, J = 8.4 Hz, H-Ph), 7.35 (d, 2H, J = 8.4 Hz, H-Ph), 8.49 (s, 1H, H-8), 11.15 (s, 1H, NH). Anal. Calcd. for C24H24ClN5O3 (465.9) C, 61.87; H, 5.19; N, 15.03. Found: C, 61.99; H, 5.33; N, 14.91.
Biology
All pharmacological methods followed the procedures as described earlier [26]. In brief, membranes for radioligand binding were prepared from CHO cells stably transfected with human adenosine receptor subtypes in a two-step procedure. In a first low-speed step (1,000 g) cell fragments and nuclei were removed. The crude membrane fraction was sedimented from the supernatant at 100,000 g. The membrane pellet was resuspended in the buffer used for the respective binding experiments, frozen in liquid nitrogen and stored at −80°C. For the measurement of adenylyl cyclase activity only one high speed centrifugation of the homogenate was used. The resulting crude membrane pellet was resuspended in 50 mM Tris/HCl, pH 7.4 and immediately used for the cyclase assay.
For radioligand binding at A1 adenosine receptors 1 nM [3H]CCPA was used, whereas 30 and 10 nM [3H]NECA were used for A2A and A3 receptors, respectively. Non-specific binding of [3H]CCPA was determined in the presence of 1 mM theophylline; in the case of [3H]NECA 100 pM R-PIA was used. Ki values from competition experiments were calculated with the program SCTFIT [33]. At A2B adenosine receptors inhibition of NECA-stimulated adenylyl cyclase activity was used as a measurement of potency of the new compounds. IC50 values from these experiments were converted to Ki values with the Cheng and Prusoff equation [34].
Acknowledgements
The expert technical assistance of Ms. Sonja Kachler is gratefully acknowledged. This work was supported by Fondo di Ricerca di Ateneo (University of Camerino) and by grants from the Italian Ministry of Research: FIRB 2003, and PRIN 2005.
Contributor Information
Giampiero Spalluto, Phone: +39-040-5583726, FAX: +39-040-52572, Email: spalluto@units.it.
Rosaria Volpini, Phone: +39-0737-402278, FAX: +39-0737-402295, Email: rosaria.volpini@unicam.it.
References
- 1.Cristalli G, Volpini R (eds) (2003) Adenosine receptors: medicinal chemistry, pharmacology and therapeutic applications. Curr Top Med Chem 3:355–469 [DOI] [PubMed]
- 2.Robeva AS, Woodard RL, Ji XD, Gao Z, Bhattacharya S, Taylor HE, Rosin DL, Linden J (1996) Molecular characterization of recombinant human adenosine receptors. Drug Dev Res 39:243–252 [DOI]
- 3.Fredholm BB, IJzerman AP, Klotz K-N, Linden J (2001) International Union of Pharmacology. XXV. Nomenclature and classification of adenosine receptors. Pharmacol Rev 53:527–533 [PMC free article] [PubMed]
- 4.Jacobson MJ (2002) Adenosine receptor agonists. Expert Opin Ther Pat 12:489–501 [DOI] [PMC free article] [PubMed]
- 5.Feoktistov I, Biaggioni I (1995) Adenosine A2B receptors evoke interleukin-8 secretion in human mast cells. An enprofylline-sensitive mechanism with implications for asthma. J Clin Invest 96:1979–1986 [DOI] [PMC free article] [PubMed]
- 6.Marquardt DL, Walker LL, Heinemann S (1994) Cloning of two adenosine receptor subtypes from mouse bone marrow-derived mast cells. J Immunol 152:4508–4515 [PubMed]
- 7.Boyle DL, Sajjadi FG, Firestein GS (1996) Inhibition of synoviocyte collagenase gene expression by adenosine receptor stimulation. Arthritis Rheum 39:923–930 [DOI] [PubMed]
- 8.Fiebich BL, Biber K, Guipko K, Berger M, Bauer J, van Calker D (1996) Adenosine A2B receptors mediate an increase in interleukin (IL)-6 mRNA and IL-6 protein synthesis in human astroglioma cells. J Neurochem 66:1426–1431 [DOI] [PubMed]
- 9.Dubey RK, Gillaspie DG, Osaka K, Suzuki F, Jackson EK (1996) Adenosine inhibits growth of rat aortic smooth muscle cells: possible role of A2B receptors. Hypertension 27:786–793 [DOI] [PubMed]
- 10.Feoktistov I, Biaggioni I (1997) Adenosine A2B receptors. Pharmacol Rev 49:381–402 [PubMed]
- 11.Feoktistov I, Wells JN, Biaggioni I (1998) Adenosine A2B receptors as therapeutic targets. Drug Dev Res 45:198–206 [DOI]
- 12.Feoktistov I, Biaggioni I (1998) Pharmacological characterization of adenosine A2B receptors. Biochem Pharmacol 55:627–633 [DOI] [PubMed]
- 13.Beukers MW, Meurs I, IJzerman AP (2006) Structure affinity relationships of adenosine A2B receptor ligands. Med Res Rev 26:667–698 [DOI] [PubMed]
- 14.Kim YC, Ji X-D, Melman N, Linden J, Jacobson KA (2000) Anilide derivatives of an 8-phenylxanthine carboxylic congener are highly potent and selective antagonists at human A2B adenosine receptors. J Med Chem 43:1165–1172 [DOI] [PMC free article] [PubMed]
- 15.Kalla RV, Elzein E, Perry T, Li X, Palle V, Varkhedkar V, Gimbeò A, Maa T, Zang D, Zablocki J (2006) Novel 1,3-disubstituted 8-(1-benzyl-1H-pyrazol-4-yl) xanthines: high affinity and selective A2B adenosine receptor antagonists. J Med Chem 49:3682–3692 [DOI] [PubMed]
- 16.Pastorin G, Da Ros T, Spalluto G, Deflorian F, Moro S, Cacciari B, Baraldi PG, Gessi S, Varani K, Borea PA (2003) Pyrazolo[4,3-e]-1,2,4-triazolo[1,5-c]pyrimidine derivatives as adenosine receptor antagonists. Influence of the N5 substituent on the affinity at the human A3 and A2B adenosine receptor subtypes: a molecular modeling investigation. J Med Chem 46:4287–4296 [DOI] [PubMed]
- 17.Vidal B, Nueda A, Esteve C, Domenech T, Benito S, Renoso RF, Pont M, Calbet M, Lopez R, Cadavid MI, Loza MI, Cardenas A, Godessart N, Beleta J, Warzelow G, Ryder H (2007) Discovery and characterization of 4’-(2-furyl)-N-pyridin-3-yl-4,5’bipyrimidin-2’-amine (LAS38096), a potent and efficacious A2B adenosine receptor antagonist. J Med Chem 50:2732–2736 [DOI] [PubMed]
- 18.Cristalli G, Camaioni E, Costanzi S, Vittori S, Volpini R, Klotz KN (1998) Characterization of potent ligands at human recombinant adenosine receptors. Drug Dev Res 45:176–181 [DOI]
- 19.Camaioni E, Costanzi S, Vittori S, Volpini R, Klotz KN, Cristalli G (1998) New substituted 9-alkylpurines as adenosine receptor ligands. Bioorg Med Chem 6:523–533 [DOI] [PubMed]
- 20.Klotz KN, Kachler S, Lambertucci C, Vittori S, Volpini R, Cristalli G (2003) 9-Ethyladenine derivatives as adenosine receptor antagonists: 2- and 8-substitution results in distinct selectivities. Naunyn Schmiedeberg’s Arch Pharmacol 367:629–634 [DOI] [PubMed]
- 21.Volpini R, Costanzi S, Vittori S, Cristalli G, Klotz K-N (2003) Medicinal chemistry and pharmacology of A2B adenosine receptors. Curr Top Med Chem 3:427–443 [DOI] [PubMed]
- 22.Volpini R, Costanzi S, Lambertucci C, Vittori S, Martini C, Trincavelli ML, Klotz K-N, Cristalli G (2005) 2- And 8-alkynyl-9-ethyladenines: synthesis and biological activity at human and rat adenosine receptors. Purinergic Signalling 1:173–181 [DOI] [PMC free article] [PubMed]
- 23.Zhang L, Fan J, Vu K, Hong K, Le Brazidec JY, Shi J, Biamonte M, Busch DJ, Lough RE, Grecko R, Ran Y, Sensintaffar JL, Camal A, Lundgren K, Burrows FJ, Mansfield R, Timony GA, Ulm EH, Kasibhatla SR, Boehm M (2006) 7’-Substituted benzothiazolothio- and pyridinothiazolothio-purines as potent heat shock protein 90 inhibitors. J Med Chem 49:5352–5362 [DOI] [PubMed]
- 24.Maruyama T, Kozai S, Sasaki F (1998) Methods for the synthesis of uric acid derivatives. Nucleosides Nucleotides Nucleic Acids 19:1193–1203 [DOI] [PubMed]
- 25.Karaneswsky C, Thomson D, Michellys A, Ruppar P, Chen JH (2005) Preparation of benzoic acid phenylacetic derivatives as HNT−4° modulators. PCT Int. Appl. WO2005009104200-40716
- 26.Klotz KN, Hessling J, Hegler J, Owman C, Kull B, Fredholm BB, Lohse MJ (1998) Comparative pharmacology of human adenosine receptor subtypes—characterization of stably transfected receptors in CHO cells. Naunyn Schmiedeberg’s Arch Pharmacol 357:1–9 [DOI] [PubMed]
- 27.Baraldi PG, Cacciari B, Pineda de las Infantas MJ, Romagnoli R, Spalluto G, Volpini R, Costanzi S, Vittori S, Cristalli G, Melman N, Park K, Jacobson KA (1998) Synthesis and biological activity of a new series of N6-arylcarbamoyl-,2-(ar)alkynyl-N6-arylcarbamoyl- and N6-carboxamido-adenosine-5’-uronamides as A3 adenosine receptor agonists. J Med Chem 41:3174–3185 [DOI] [PMC free article] [PubMed]
- 28.Volpini R, Camaioni E, Costanzi S, Vittori S, Klotz K-N, Cristalli G (1999) Synthesis of di- and tri-substituted adenosine derivatives and their affinities at human adenosine receptor subtypes. Nucleosides Nucleotides 18:2511–2520 [DOI] [PubMed]
- 29.Volpini R, Costanzi S, Lambertucci C, Taffi S, Vittori S, Klotz KN, Cristalli G (2002) N6-Alkyl-2-alkynyl derivatives of adenosine as potent and selective agonists at the human adenosine A3 receptor and a starting point for searching A2B ligands. J Med Chem 45:3271–3279 [DOI] [PubMed]
- 30.Cristalli G, Lambertucci C, Taffi S, Vittori S, Volpini R (2003) Medicinal chemistry of adenosine A2A receptor agonists. Curr Top Med Chem 3:387–401 [DOI] [PubMed]
- 31.Volpini R, Dal Ben D, Lambertucci C, Taffi S, Vittori S, Klotz KN, Cristalli G (2007) N6-methoxy-2-alkynyladenosine derivatives as highly potent and selective ligands at the human A3 adenosine receptor. J Med Chem 50:1222–1230 [DOI] [PubMed]
- 32.Cristalli G, Cacciari B, Dal Ben D, Lambertucci C, Moro S, Spalluto G, Volpini R (2007) Medicinal chemistry of adenosine A2A receptor agonists. Chem Med Chem 2:260–281 [DOI] [PubMed]
- 33.De Lean A, Hancock AA, Lefkowitz RJ (1982) Validation and statistical analysis of a computer modeling method for quantitative analysis of radioligand binding data for mixtures of pharmacological receptor subtypes. Mol Pharmacol 21:5–16 [PubMed]
- 34.Cheng YC, Prusoff WH (1973) Relationship between the inhibition constant (Ki) and the concentration of inhibitor which causes 50 per cent inhibition (I50) of an enzymatic reaction. Biochem Pharmacol 22:3099–3108 [DOI] [PubMed]
