Abstract
Subregional analyses of the hippocampus suggest CA1-dependent memory processes rely heavily upon interactions between the CA1 subregion and entorhinal cortex. There is evidence that the direct perforant path (pp) projection to CA1 is selectively modulated by dopamine while having little to no effect on the Schaffer collateral (SC) projection to CA1. The current study takes advantage of this pharmacological dissociation to demonstrate that local infusion of the non-selective dopamine agonist, apomorphine (10, 15 µg), into the CA1 subregion of awake animals produces impairments in working memory at intermediate (5 min), but not short-term (10 sec) delays within a delayed nonmatch-to-place task on a radial arm maze. Sustained impairments were also found in a novel context with similar object-space relationships. Infusion of apomorphine into CA1 is also shown here to produce deficits in spatial, but not non-spatial novelty detection within an object exploration paradigm. In contrast, apomorphine produces no behavioral deficits when infused into the CA3 subregion or overlying cortex. These behavioral studies are supported by previous electrophysiological data that demonstrate local infusion of the same doses of apomorphine significantly modifies evoked responses in the distal dendrites of CA1 following angular bundle stimulation, but produces no significant effects in the proximal dendritic layer following stimulation of the SC. These results support a modulatory role for dopamine in EC-CA1, but not CA3-CA1 circuitry, and suggest the possibility of a fundamental role for EC-CA1 synaptic transmission in terms of detection of spatial novelty, and intermediate-term, but not short-term spatial working memory or object-novelty detection.
Keywords: hippocampus, CA1, perforant, path, temporoammonic, apomorphine, working, memory
1. Introduction
The experience of encountering objects in a particular context and differentiating the experience from a familiar configuration of objects experienced previously depends heavily upon the active maintenance of spatial and object information and the successful discrimination between the current and internal representation of the environment. Computational models of hippocampal function have proposed that the dorsal CA1 subregion subserves intermediate-term spatial working memory and is anatomically unique, such that information can be processed from inputs arising from both the trisynaptic projections and via the direct perforant path (pp) projection from the entorhinal cortex (EC) [14, 16, 22, 32, 33, 37, 44, 55, 58]. These models suggest that the converging inputs may provide a mechanism for a comparative “match-mismatch” operation between the current sensory environment and familiar information drawn from distributed memory processes, thus facilitating the disambiguation between familiar and novel inputs. It is largely unknown, however, how the converging inputs to CA1 contribute independently to the comparative match-mismatch operation.
In the context of natural exploratory behavior, normal animals (i.e., rats) tend to respond specifically to novel stimuli by increasing their exploratory behavior, whereas, in relation to familiar stimuli, exploration is decreased. Clearly, active maintenance and proper retrieval of the familiar configuration is an important component of the comparator function in order for the animal to match some form of expectation of their environment to the current contextual cues and avoid exploration redundancy. Subregional models of hippocampal function suggest that CA1 function is critical in correctly identifying novel relationships among objects within a particular spatial context, but not necessarily for identifying non-spatial object changes [16, 29, 44, 49]. Furthermore, it is proposed that CA1 is not necessary for short-term (< 5 min), but is specifically invested in intermediate-term (5 min – 24 hr) maintenance and retrieval of the familiar spatial context [22, 27, 28, 30, 37, 43, 44, 47, 48, 51, 55, 57].
Lee and Kesner (2003) demonstrated that CA1-lesioned rats have deficits in working memory performance at intermediate, but not short-term, delays on the delayed non-match-to-place (DNMP) 8-arm maze, with no deficits in acquisition. Additionally, Lee and Kesner (2002) have shown that blocking NMDA receptors (NMDARs) in CA1, but not in CA3, disrupt performance on trials using intermediate-term delays with the DNMP task. Short-term spatial working memory is spared in rats with lesions or pharmacological disruption of the CA1 subregion on spontaneous object exploration paradigms and also in paradigms assessing short-term retrieval function (i.e., Hebb-Williams maze, contextual fear conditioning, 8-arm radial maze) [8, 26, 27, 29, 30, 57].
In order to clarify the functional specificity of the direct pp projection from EC to CA1, it is necessary to selectively suppress the pp input while maintaining intact projections from the CA3 subregion via the Schaffer collaterals (SC) and observe behavioral deficits in CA1-dependent processes. In a series of recent studies (see [57]), it was observed that local infusion of apomorphine in the CA1 subregion is capable of producing selective deficits in spatial memory retention and retrieval of a modified Hebb-Williams maze and contextual conditioning of fear using a 24-hr delay, while sparing short-term encoding. The same series of experiments demonstrated that apomorphine is capable of modifying synaptic transmission in the perforant path (pp) projection from entorhinal cortex (EC) to the CA1 subregion, while having little to no effect on the Schaffer collateral (SC) projection to CA1. These data and other models of EC-CA1 connectivity support a selective modulatory role for dopamine in the pp, otherwise known as the temporoammonic pathway [2, 10–12, 18, 31, 39]. Given these recent findings and the wealth of evidence that support the role of EC-CA1 in intermediate-term spatial memory, rather than via the trisynaptic circuitry (see [3, 6, 16, 24, 34, 43, 49, 54]), it is of interest to selectively alter transmission of the direct pp with pharmacological methods to further investigate its functional specificity.
Here we propose that the direct entorhinal input to CA1 supports the comparative match-mismatch process in the context of detecting novel spatial relationships among objects and when there is an intermediate-term delay between contextual changes. Furthermore, we hypothesize CA1-EC connectivity is not involved during habituation or short-term working memory processes. The current study uses a non-selective dopamine agonist (apomorphine) to modify the pp input to CA1 and observe any behavioral deficits in spatial and non-spatial (visual object) novelty detection, and intermediate-term spatial working memory on a familiar and novel 8-arm maze. We predicted that similar to CA1-lesions, apomorphine would produce deficits in (1) spatial novelty detection while sparing ability to detect object novelty, and (2) intermediate-, but not short-term spatial working memory. It was also hypothesized that apomorphine would not produce any deficits in performance of a DNMP task when transferred to a novel context where relationships among the contextual stimuli remain the same. Lastly, we hypothesized that apomorphine would not produce any deficits when infused outside the CA1 subregion (i.e., CA3 or overlying cortex).
2. Materials and Methods
2.1. Subjects
Ninety male Long-Evans rats (275–400 g) were housed individually in standard rodent cages and handled daily. They were maintained on a 12-hr light/dark cycle. Fifty-eight rats were surgically implanted with cannulae in the CA1 region, thirty-three of which were used in the novelty-detection paradigm, and twenty-five were used on the 8-arm maze. Eighteen rats were surgically implanted with cannulae in the CA3 region, 6 of which were used in the novelty-detection paradigm and thirteen were used on the 8-arm maze. Eight rats were selectively lesioned in the CA1 subregion using the axon-sparing neurotoxin, ibotenic acid and used on both tasks. Lastly, 6 rats were implanted with cannula in the cortex overlying CA1 and used on the novelty-detection task. Both behavioral experiments were performed during the light phase of the light/dark cycle. Each rat was allowed access to food and water ad libitum. All protocols conformed to the NAS Guide for the Care and Use of Laboratory Animals. The treatment of animals complied with all animal care guidelines that have been approved by the Institutional Animal Care and Use Committee (IACUC) and the University Animal Resource Center (ARC).
2.2. Behavioral apparatus - Novelty detection task
The behavioral apparatus was an open, circular cheeseboard maze (dryland version of Morris water maze; Gilbert, Kesner, and DeCoteau, 1998). The maze (119 cm in diameter and 3.5 cm thick) was elevated from the ground (65 cm). One-hundred seventy-seven food wells (2.5 cm diameter and 1.5 cm deep) were drilled into the surface of the maze 2 cm apart. The entire maze was covered by an opaque, green curtain in order to prevent any distraction by the holes. The room was lit with fluorescent lighting and the maze was surrounded by walls with various two-dimentional (i.e., posters) and three-dimentional (i.e., shelving, chair) extra-maze cues. A video camera was fixed to the ceiling and connected to a VCR and monitor in an adjacent room for recording behavior.
2.3. Behavioral method - Novelty detection task
The novelty detection task involved seven 6-min Sessions on the cheeseboard maze separated by an inter-Session-interval (ISI) of 3 min during which the rats were placed in an opaque box without any visual cues and brought to a separate room. Session 1 (Familiarization) served as a measure of baseline activity and exploration of the context without any objects present. The circular area of the platform was divided into nine grid zones and exploratory behavior (i.e., crossing boundary lines with two hind paws) of each rat was observed on a color monitor and recorded for later analysis by an observer who was blind to the experimental conditions. After the conclusion of Session 1 and during the 3 min ISI, the experimenter placed five unique objects (A–E) onto the circular platform in a specific configuration described in previous studies [19, 29, 46] (see Fig. 1). Sessions 2–4 (Habituation) retained the same configuration of objects. Session 3 (Habituation-1) served to examine the effect of habituation to the configuration of objects; whereas, Session 4 (Habituation-2) served to examine the effect of habituation after apomorphine or control injections.
Fig. 1.
Schematic illustration of object configuration in the novelty detection paradigm. Objects (labeled A–F) were placed in the corresponding arrangement during each 6-min Session with a 3-min inter-session interval. Drug injection occurred between Session 3 and Session 4. During Session 5 and 6, two objects changed configuration (i.e., D and E). A novel object (i.e., F) was introduced and replaced object A in Session 7.
Between Sessions 3 and 4, injections (0.4 µl/site) of apomorphine (10 µg, n = 11; 15 µg, n = 11) or control vehicle (n = 11) were infused into rats with cannula in the CA1 region. Two groups of rats acted as anatomical controls, such that they received a moderately high dose of apomorphine (15 µg) into cannulae implanted in the overlying cortex (n = 6) or the CA3 subregion (n = 6). The CA3 and overlying cortex control was necessary in order to investigate the potential action of apomorphine outside the hippocampus and in the overlying cortical region given its potential to spread in the dorsal direction up the cannula track into the overlying cortex. The chosen doses of apomorphine for this series of experiments were based on previous studies that injected similar doses of apomorphine locally [5, 21, 23, 25, 35, 50, 57]. A moderately high concentration of apomorphine was chosen as the lowest dose (i.e., 10 µg), and a relatively higher concentration (i.e., 15 µg) in which apomorphine-HCL remained soluble in vehicle (i.e., <1% DMSO in bacteriostatic water) was chosen as the higher dose. Apomorphine was prepared the day of testing in <1% DMSO (Dimethyl sulfoxide) and bacteriostatic water. Control rats were injected with the vehicle only (<1% DMSO). Microinjection of drug/vehicle was made bilaterally via an injection needle (28 gauge) at a rate of 0.1 µl/min using a 10-µl Hamilton syringe (Hamilton, Reno, NV) and microinjection pump (Cole-Parmer, Vernon Hills, IL). The injection needle was left in place for 1 minute after the injection to allow diffusion down the cannula. The ISI between Session 3 and 4 was approximately 15 minutes to allow time for injection after which time the rat was placed back into the testing environment and Session 4 was commenced.
Before Session 5 (Reconfiguration), two of the familiar objects were placed into a novel spatial configuration (see Fig. 1). One object was displaced to a completely novel location (i.e., object D) which also changed the entire configuration from a square shape to a polygon shape configuration (see Fig. 1). The other object (Object E) was moved to a familiar location (i.e., the location previously occupied by object D. Session 6 (Habituation-3) involved the same orientation of objects as Session 5. Session 7 (novel object introduction) involved the introduction of a novel object, where one object (i.e., Object A) was replaced with a novel object (i.e., Object F) and the rest of the objects remained the same as Session 6.
2.8. Data Analyses – Novelty Detection task
Locomotor activity was measured by the number of grid crossings for each group of rats across the 7 sessions. Activity measures were summed and blocked in reference to the experimental manipulation of each Session (i.e., Block 1 = Session 1; Block 2 = Sessions 2–3; Block 3 = Session 4; Block 4 = Sessions 5–6; Block 5 = Session 7). Similarly to previous studies, object exploration was indicated when the animal sniffed, pawed at, or oriented in such a way that visual gaze was maintained with the object from a distance of under 4 cm for greater than 0.5 s [19, 29, 36]. Scoring was measured by observers viewing the VHS tape recording of such behavior. All observers were blind to the experimental conditions and there was strong inter-rater reliability among them. One second was given as the minimal contact time score given the technical difficulty in scoring at the millisecond resolution. Habituation of object exploration was calculated using a difference score, such that the time spent exploring each object in Session 3 was subtracted from the time spent exploring the same object during Session 2 (S.2 – S.3). The same calculation was performed comparing Sessions 3 and 4 (i.e., after drug injection; S.3 – S.4). A habituation index was then calculated as the arithmetic mean of the difference scores for all five objects (A, B, C, D, and E) between Sessions 2 and 3 (Habituation 1) and between Sessions 3 and 4 (Habituation 2). A positive habituation index indicated that there was greater habituation to the array of objects or greater exploration in the earlier Session. A spatial novelty index was calculated to quantify the amount of exploration for the two objects that were displaced from their original locations after spatial reconfiguration (Displaced Object Exploration). The sum of the exploration time of both of the displaced objects (i.e., Objects D and E) during Session 4 was subtracted from the sum of the exploration time for the same objects during Session 5 (S.5 – S.4). A more positive score indicated there was more exploration of the displaced objects. A spatial mismatch index was similarly calculated for the non-displaced objects as well (i.e., Nondisplaced Object Exploration, Objects A–C) in order to assess whether a spatial reconfiguration of two objects in the environment would result in general re-exploration of all six objects or a selective exploration of only the two displaced objects. Lastly, an object novelty index was calculated by subtracting the average exploration time for the four familiar objects (Objects B–E) from the time spent exploring the newly introduced object (Object F) during Session 7 (Novel Object Exploration, S.7novel – S.7familiar). A positive score indicated that there was more exploration of the novel object. All indices were based on previous studies using similar methods [19, 29, 41].
2.9. Behavioral apparatus – 8-arm maze
Two radial eight-arm mazes in different rooms were used for this experiment [26, 30]. Each maze was surrounded by 8–10 distinct visual cues around the testing room, each completely different from those in the other room. Each maze had a center platform with a diameter of 40 cm and eight arms 70 cm long and 9 cm wide. It also had Plexiglas walls 5.7 cm in height for each arm. Each of the maze arms had food wells 2.5 cm in diameter and 1.5 cm deep at their distal ends. Rewards (Froot Loops cereal; Kellog, Battle Creek, MI) were placed in these wells. The center platforms of both mazes were surrounded by walls made of transparent Plexiglas, so that rats could clearly see the extramaze cues. An opaque cylindrical bucket (38 cm in diameter and 75 cm in height), painted white on the inside, could be lowered over the center platform from outside the testing room in order to completely eliminate the detection of local or extramaze cues.
2.10. Behavioral method – 8-arm maze
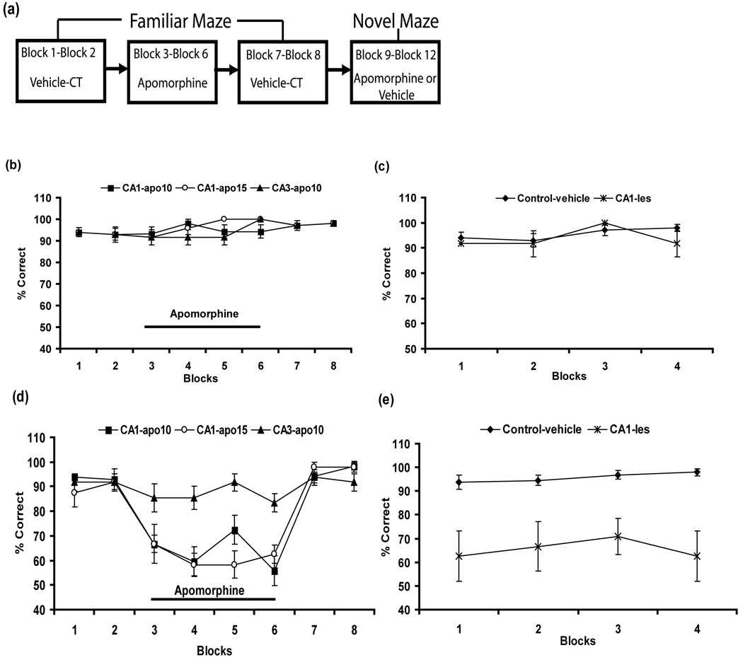
All rats were pre-trained on a radial eight arm maze using a DNMP paradigm [26, 30]. Each individual trial consisted of the rat visiting an arm (i.e., study arm) for a reward. The rat was then confined to the center platform underneath an opaque bucket for a short-term 10-sec delay during which time doors for both an adjacent arm (choice arm) and the study arm were opened. The rat then had to choose the correct, unvisited, novel choice arm to receive a reward and complete the trial. If the rat selected the study arm (indicated by touching with both rear paws), it was recorded as an error, access to the choice arm was prevented and the trial was completed. The rat spent the intertrial interval (20 sec) on the center platform before the next study arm door was opened. On each trial, the study arm was randomly selected and the choice arm was always an adjacent arm on a randomly selected side of the study arm. This particular design prevented the rat from simply remembering the direction from the study arm and encouraged use of spatial cues. During behavioral training, 22 rats were randomly assigned to one maze, while another 21 rats were randomly assigned to the second maze to counterbalance possible influences of a particular room on learning. Eight trials per day were given using 10 s delays within each trial and with an inter-trial interval (ITI) of 20 sec until rats reached a criterion (> 95% correct choices) across five consecutive days. Each rat subsequently underwent surgical implantation of cannulae.
One week following surgery, rats were run daily on the same eight arm radial maze used in training until criterion was met (>95% correct). Two groups of CA1 cannula rats (CA1-apo10, n = 13; CA1-apo15, n = 12) and one group of CA3 cannula rats (CA3-apo10, n = 12) were then tested on the DNMP paradigm for the next 12 days (i.e., 8 trials/Block, 1 Block/day) using variable delays in which intermediate-term delays (i.e., 5 min; four trials) were randomly intermixed with the original short-term delays (i.e, 10 sec; four trials). The first 2 days (Block 1–2) of 8 trials were run after an injection of control vehicle, followed by 4 days (Block 3–6) that were run after an injection of apomorphine, and then another two days (Block 7–8) after injection of vehicle. All groups of rats were then tested for 4 days (Block 9–12) in a novel context maintaining the same DNMP rules from the familiar context and using variable delays. CA1-cannula rats (Apo-10, n = 13 and Apo-15, n = 13) were split into two groups (vehicle, n = 6; apomorphine, n = 7) for the purpose of having a control and drug group for comparison. The transfer of the animal to a novel maze aimed to test the rats’ ability to maintain the rule-based components of the task while the contextual stimuli were novel, but the relationship among the stimuli remained similar. It has been shown previously that CA1 lesioned rats or rats injected with APV into CA1 show no deficits on short-term delays after transfer to a novel maze; however, CA3-lesioned rats do show deficits with 10 s delays. It was hypothesized that if apomorphine is acting only on CA1-dependent processing, no deficits would occur during short-term delays on a novel maze. All experimental procedures were exactly the same as those used in the familiar room.
2.11. Implantation of Guide Cannulae
Prior to testing, rats received chronic cannulae in the dorsal CA1 (n = 58), CA3 (n = 18), or cortex overlying CA1 (n = 6). Prior to surgery, rats were given an intraperitoneal injection of atropine sulfate (0.2 mg/kg, i.p.) to control for respiratory difficulties. Rats were then deeply anesthetized with sodium pentobarbital (Nembutal, 60 mg/kg, i.p.) and placed in a stereotaxic apparatus (David Kopf Instruments, Tujunga, CA) on an isothermal pad. The scalp was incised and retracted exposing bregma and lambda in the same horizontal plane. Small burr holes (2.0-mm diameter) were drilled bilaterally. Using stereotaxic coordinates, stainless steel guide cannulae (22-gauge, stainless steel; Plastics One, Roanoke, VA) with injection cannulae (28-gauge) protruding 1mm below the cannula tip were then lowered bilaterally into the dorsal hippocampus or the overlying cortex using the following coordinates: CA1, 3.6 mm posterior to bregma, 2.2 mm lateral to the midsagittal suture, and 1.9 mm ventral from the brain surface; CA3, 3.6 mm posterior to Bregma, 3.6 mm lateral, and 3.6 mm ventral; cortical control, 3.6 mm posterior to bregma, 2.2 mm lateral to the midsagittal suture, and 1 mm ventral from the brain surface (see Fig. 2 for a representative pictograph). The guide cannulae were fixed with dental cement for which three small skull screws (1 mm) were previously screwed into the skull as anchors. Stainless steel stylets (28 gauge) with dustcaps, and no protrusion below the guide cannulae, then replaced the injection cannulae and were screwed in place to prevent occlusion. Following surgery, the rats were allowed to recover on a heating pad before returning to their home cage. Rats were given acetaminophen (Children’s Tylenol) (~150–200mg/kg) dissolved in drinking water for 2–3 days post-surgery as an analgesic. Rats were given one week to recover from surgery. Handling continued post-operatively and during behavioral testing.
Fig. 2.
Histological analyses with representative photomicrographs illustrating extent of lesions and cannula placement. (a) dorsal hippocampus of a control animal stained with Cresyl violet. (b) Excitotoxic lesion in the dorsal portion of the CA1 subregion. Note the sparing of cells in CA3 and DG. (c) Verification of cannula placement in the dorsal portion of the CA1 subregion. (d) Verification of cannula placement in the dorsal portion of the CA3 subregion. (e) Verification of cannula placement in the overlying cortex as a control. (f) A representative schematic of cannula placement for all rats (indicated by each dot) and approximate spread of drug assessed by Chicago blue dye infusion (indicated by circular shaded area) in anterior and posterior directions. Cannula were implanted in the CA1 subregion (n=58), CA3 subregion (n=18) and overlying cortex (n=6).
2.12. CA1 Lesions
Eight rats were given selective neurotoxic lesions to the dorsal CA1 subregion. The same procedures were used to induce anesthesia and recovery as in cannulae implantation. Small burr holes were drilled into the skull at the following coordinates: −3.6 mm posterior to bregma, 1.0, 2.0, and 3.0 mm lateral to midline. An injection needle (28-gauge) was lowered into the three sites in the CA1 subregion (1.9 mm ventral from dura) and an injection of ibotenic acid (6 mg/ml; 0.1–0.15 µl/site; 0.1 µl/min) was slowly infused bilaterally into the pyramidal cell layers of the CA1 region in order to induce diffusion in both the longitudinal and mediolateral directions. Similar lesion techniques have been used previously to induce axon-sparing, subregion-specific damage [20, 26, 27].
2.13. Histology
At the conclusion of testing, each rat was deeply anesthetized with an intraperitoneal injection of sodium pentobarbital (1.0 mL, 70 mg/mL) and perfused intracardially with normal saline followed by a 10% formalin solution. Rats with cannulae were injected with a Chicago blue dye solution (0.4 µl) prior to pentobarbital. Each brain was then stored in a 10% formalin/30% sucrose solution at 4°C for 72 hours, frozen (−18°C) and cut in 40 µm coronal sections on a cryostat. Every third section was collected on a glass slide and stained with cresyl violet. These sections were visually examined under a light microscope and under high magnification for histological verification of the cannulae and spread of Chicago blue dye. Approximate spread of the dye was indicated by circular shading in Fig. 2. Quantitative analysis of lesioned animal brains were performed using the imaging software (ImageJ, NIH, Washington, D.C.). Cresyl violet stained and mounted sections of brain tissue were photographed at a high resolution, zoomed (1:32 to 32:1), RGB pixels were converted to brightness values, and volumetric differences in cell count were analyzed and reported as mean +/− SEM difference from control.
3. Results
3.1. Histology
Histological analyses revealed accurate placement of all cannulae. Figure 2 depicts a representative pictograph along with an illustration of the cannula tip positions. The injection cannulae were all located bilaterally within the dorsal CA1 subregion (n = 58), dorsal CA3 subregion (n = 18), and the overlying cortex (n = 6). Additional analyses revealed that the volume used for injection did not diffuse beyond the intended subregions. Traces of Chicago blue were found in CA1-cannula rats to be confined to the area above the granule cell layer of the dentate gyrus and lateral to the injection sites throughout the CA1 stratum. Traces of Chicago blue were found in CA3-cannula rats to be confined to the CA2/CA3 pyramidal cell region (see Fig. 2). It should be noted that the diffiusion of the Chicago blue solution is only an approximation of the diffusion of apomorphine with the same volume. Serial coronal sections (40 um) of the dorsal hippocampus (n = 15 for each animal) from the CA1-lesion group of animals were carefully examined under high magnification for the existence of intact pyramidal cells in CA1 compared with those from a control brain. Quantitative analyses showed the extent of CA1 lesions in all animals (1.9 to 4.3 mm posterior to Bregma) to have ~82 +/− 10% reduction in pyramidal cells. Quantitative analysis also showed minimal damage of pyramidal cells in area CA3 (2.5 +/− 3.14%), minimal damage to granule cells in the dentate gyrus (1.6 +/− 1.23%), and no visible damage in the overlying cortex.
3.2. Session 1–3: Locomotor activity and habituation to objects
Figure 3a. shows locomotor activity (measured by number of grid crossings) for all groups [control, cortical-control, CA1-les, CA3-control, Apo-10, Apo-15] across Blocks of Sessions (Block 1: Session 1; Block 2: Session 2–3; Block 3: Session 4; Block 4: Session 5–6; Block 5: Session 7). In general, all groups displayed decreased locomotor activity across Sessions indicating habituation to the familiar environment. A two-way mixed ANOVA with groups as the between subjects variable and Blocks of grid crossings as the within subjects variable revealed no differences among the groups (p = 0.432); however, there was a significant effect for Blocks [F(4,188) = 333.93, p < 0.001]. These results indicate general habituation to the testing environment and a significant decrease in locomotor activity across Blocks (Fig. 3a).
Fig. 3.
Locomotor activity and Habituation indices. (a) Locomotor activity across Blocks. Habituation to the maze was apparent across Blocks (Block 1: Session 1; Block 2: Session 2–3; Block 3: Session 4; Block 4: Session 5–6; Block 5: Session 7). (b) Habituation (pre-drug injection) to the specific configuration of objects between Session 2 (introduction of objects) and Session 3 (Habituation-1). Habituation to the configuration of objects was assessed after the injection of either apomorphine or control vehicle between Session 3 and Session 4 (Habituation-2).
Although locomotor activity across Sessions illustrated general habituation to the testing environment, it was also of interest to examine habituation to the objects within the environment with or without the influence of apomorphine. Figure 3b. demonstrates habituation to the specific configuration of objects between Session 2 (introduction of objects) and Session 3 (habituation-1). Figure 3b. also illustrates changes in habituation to the configuration of objects between sessions 3 and 4 after the injection of either apomorphine or control vehicle (habituation-2). A one-way ANOVA for the habituation-1 and habituation-2 indices was performed and revealed no significant differences among the groups (habituation-1, p = 0.818; habituation-2, p = 0.119). As predicted, apomorphine does not appear to have affected the general decrease in exploration of the configuration of objects from Session 3 to Session 4.
3.3. Session 5–6: Detection of Spatial and Object Novelty
The spatial reconfiguration did not appear to affect the amount of exploration for the non-displaced objects (i.e., objects A–C). A one-way ANOVA showed no significant differences among the groups in terms of exploration of the non-displaced objects (p = 0.904). As predicted, apomorphine does not appear to affect re-exploration of non-displaced objects after the general configuration of objects is changed. In contrast to the decrease in exploration of non-displaced objects by all groups, there were significant differences in exploration of the displaced objects (i.e., objects D & E) in the CA1 lesion group and both groups administered apomorphine into the CA1 subregion; whereas, apomorphine produced no significant deficits in exploration when infused into the CA3 subregion or overlying cortex (Fig. 4 – displaced object.). A one-way ANOVA showed a significant effect for the amount of re-exploration of objects D & E among groups [F(5, 47) = 10.831, p < 0.001]. A post hoc analysis (Tukey-HSD) indicated that the CA1-lesion group, Apo-10, and Apo-15 groups all significantly explored the displaced objects (i.e., objects D–E) less than the control group (p < 0.01). There was no difference in exploration of displaced objects between the control group and either group infused with apomorphine into areas outside the dorsal CA1 subregion (i.e., cortical-control, p = 0.999; CA3-control, p = 0.383). The post hoc analyses further revealed that the two anatomical control groups (cortical-control and CA3-control did not significantly differ from each other. Furthermore, the cortical control group was significantly different from both groups of rats infused with apomorphine into CA1 (i.e., Apo-10, p < 0.001; Apo-15, p < 0.001). Contrary to our prediction, the CA3-control group did not significantly differ from the Apo-10 group (p = 0.108), nor from the Apo-15 group (p = 0.58). Additionally, the CA1-les group did not significantly differ from the cortical-control group (p = 0.078), nor from the CA3-control group (p = 0.787). It is certainly possible that the minor graded effects observed in the amount of exploration by the CA3-control group may be attributable to diffusion, for the effect was minimal outside CA1 and very robust when apomorphine was infused into CA1. Overall and as predicted, apomorphine appears to produce marked impairments in re-exploration of familiar objects moved to novel locations as well as familiar objects moved to a new, but familiar location when injected into the CA1 subregion of the hippocampus compared with vehicle or injections into CA3 or overlying cortex (see Fig. 4 – Displaced Objects). Figure 4 – Novel Object depicts the novel object detection index derived from exploration of object F in Session 7. The results indicate that none of the experimental groups showed any deficit in exploration of novel objects introduced into a familiar context (see Fig. 4 – Novel object). A one-way ANOVA showed no significant group effect (p = 0.755). The results suggest that apomorphine does not disrupt the mechanisms inherent in the hippocampal circuitry sufficiently to produce deficits in detecting the introduction of novel objects into familiar spatial locations.
Fig. 4.
Spatial and object novelty indices. Spatial indices for the nondisplaced objects (A–C), displaced objects (D–E), and object novelty index for a newly introduced object (F) is shown. Object D was moved to a new location changing the overall configuration of objects, while object E was moved to a familiar location (i.e., the location previously occupied by object D). Indices were calculated as described in text. Average index +/− SEM for each group is indicated. *p < 0.001.
3.4. Apomorphine disrupts intermediate-term working memory
The results indicate that apomorphine produced deficits in intermediate-term delays on the DNMP behavioral task for the group of rats administered apomorphine into the CA1 cannulae (Fig. 5). There were no significant deficits associated with apomorphine infusions during short-term delays on the DNMP task and there were no significant deficits associated with apomorphine infusions into the CA3 subregion. For the purpose of analysis, the two Blocks of control-vehicle injections pre-drug Blocks were combined with the two Blocks of control-vehicle injections post-drug Blocks as if they were run in succession. Rats injected with control vehicle into CA1 were combined from both the apo-10 and apo-15 groups of rats for analysis on the basis that the groups did not significantly differ from each other. A two-way mixed ANOVA with groups as the between subjects variable and Blocks of trials as the within subjects variable was completed for the performance (10-sec delays and 5-min delays) on a familiar maze and also for performance (10-sec delays and 5-min delays) on a novel maze. At short-term delays (10-sec), the analyses revealed a significant effect for Blocks of trials [F(3, 153) = 4.99, p < 0.005] and no significant interaction or effect for group. A post hoc analysis (Tukey’s HSD) revealed that only Blocks 1 and 3 were significantly different from each other (p < 0.05). These results suggest an improvement between the first and third day of testing, but then a return back to similar levels of performance in Block 4 as displayed in Block 1. It is unclear if apomorphine had any influence on this effect. At intermediate-term delays (5-min), the analyses revealed a significant effect for group [F(4, 51) = 31.95; p < 0.001], but no significant effect for Blocks (p = 0.339) or for an interaction (p = 0.742). A post hoc analysis (Tukey’s HSD) revealed that, across Blocks, the control-vehicle group differed significantly from the CA1-lesion group and both of the groups (apo-10, apo-15) administered apomorphine into CA1 cannulae. There was no significant effect on groups administered apomorphine into areas outside the CA1 subregion (i.e., CA3-apo10, p = 0.232). The results support our hypotheses and suggest that apomorphine is acting directly in the CA1 subregion to selectively disrupt intermediate-term working memory.
Fig. 5.
Performance with variable delays on the familiar 8-arm radial maze. (a) Block design for 12 Blocks (8 trials/Block/day). Four 5-min delay trials were randomly intermixed with four 10-sec delay trials. Blocks 1–2 were run with control-vehicle injections; Blocks 3–6 were run with apomorphine injections; Blocks 7–8 were run again with control-vehicle injections; Blocks 9–12 were run with either apomorphine or control-vehicle on a novel maze. For the purpose of analyses and graphing, performance during 10-sec and 5-min delays are shown separately. (b) Comparison of performance (percent correct) +/− SEM on DNMP task using a familiar maze and short-term (10-sec delays) is shown among groups [CA1 and CA3 cannula groups injected with apomorphine or control vehicle (<1% DMSO)]. (c) The CA1-les group was only tested on 4 Blocks for each maze and is therefore shown separately compared with performance of rats injected with control vehicle. Performance +/− SEM using a familiar maze and short-term delays is shown (d) Performance +/− SEM using familiar maze and intermediate-term (5-min delays) is shown among groups. Apomorphine produced significant deficits in performance when injected into the CA1 subregion. (e) Performance +/− SEM using a familiar maze and intermediate-term delays is shown between CA1-les and control groups. CA1 lesions produced deficits similar to apomorphine at intermediate-term delays.
It was further hypothesized that performance on a maze (using short-term delays) in a novel context would not be disrupted by CA1 dysfunction whether by lesion or by apomorphine. At short-term delays, the analyses revealed no significant group deficits (p = 0.954) or interaction effects (p = 1.00) (see Fig. 6a). At intermediate-term delays, the analyses revealed a significant effect for group [F(4, 26) = 7.07, p < 0.005] (Fig. 6b). Although there appeared to be a greater deficit on the first 2 Blocks compared with the last two Blocks on the novel maze, there was no significant effect for Blocks of trials on the novel maze (p = 0.139). A post hoc analysis (Tukey’s HSD) revealed that, across Blocks, the control-vehicle group differed significantly from the CA1-lesion group and both of the groups (apo-10, apo-15) administered apomorphine into the CA1 cannulae on the novel 8-arm radial maze (p < 0.05). The CA3-control group was also significantly different from the CA1-lesion group and both of the groups (apo-10, apo-15) administered apomorphine into the CA1 cannulae on the novel 8-arm radial maze (p < 0.05).
Fig. 6.
Performance with variable delays on the novel eight-arm radial maze. (a) Performance using a novel maze and short-term delays +/− SEM is shown among groups. (b) Performance using a novel maze and intermediate-term delays +/− SEM is shown among groups.
4.0 Discussion
The main contributions of the present study to our functional understanding of the direct cortical projection to the CA1 subregion are threefold: (1) EC-CA1 synaptic transmission appears to play an active role in intermediate, but not short-term working memory and comparative match-mismatch processes underlying spatial novelty, but not object novelty detection. (2) The non-selective dopamine agonist, apomorphine appears to produce a disruption that is selective to the dorsal CA1 subregion and in CA1-dependent memory processes. This is in comparison to the observed absence of disruption after an injection of apomorphine into the CA3 subregion or overlying cortex. Minor effects observed for the CA3-control group in the novelty detection paradigm may be accounted for by diffusion of apomorphine from the CA3 injection site to CA1. These observations also indicate that the comparative match-mismatch process for memory guided exploration of visual objects and the spatial configuration of objects can be dissociated from the detection of novelty alone. (3) Lastly, the present data support a role for dopamine in modulating CA1 function.
Our data support the comparative match-mismatch operation in EC-CA1 circuitry that function to detect a mismatch in the current associative (i.e., spatial and visual object) input from previous input to determine novelty. Many computational models of hippocampal function that include a representation of CA1 implicate the subregion in a functional “comparator” operation between SC input and the direct cortical input [16, 22, 37, 44, 55, 58, 59]. The input to CA1 via the SC axons of CA3 cells terminate in the proximal stratum radiatum (s. rad) layer, whereas the input from the direct pp projects from layer III of EC to the most distal dendrites of stratum lacunosum moleculare (s.l-m) [7, 52, 59]. Recently, there has been clear physiological and neuromodulatory evidence for a differentiation between the SC and pp inputs into the CA1 subregion, further suggesting a need to functionally disambiguate the role of each projection. Electrophysiological studies both in vivo and in vitro have only recently begun to show the vital importance of the direct cortical input in models for CA1 function and provide increased support for comparative match-mismatch functions in this region [3, 6, 14, 16, 22, 33, 34, 43, 44, 49, 54, 56, 57]. For example, restricted lesions that target the trisynaptic circuitry (CA3, DG) do not produce impairments in the development and stability of place cells in CA1, nor do such lesions produce deficits in place retention or recognition; however, targeted disruption to EC-CA1 circuitry produces deficits in retention and retrieval over intermediate-term delays and memory consolidation processes [3, 34, 43, 49, 57]. There is evidence that the maintenance of behaviorally significant place-cell activity in CA1 is independent of trisynaptic input and can be controlled by frequency-dependent output from EC to CA1 and modulatory effects of EC-CA1 activity on SC efficacy and plasticity [3, 17, 42]. These data are futher supported by reports of cellular and molecular activity in CA1 during the intermediate-term time delays involved in working memory (i.e., DNMP) and consolidation processes. For example, there is evidence for neural activity in CA1 firing differentially for match and nonmatch trials during a delay period for a delayed non-match-to-sample task [40, 45], and other data demonstrating increased expression of LTP-related immediate early genes (IEGs) (i.e., BDNF, zif268, c-FOS, & JUNB) in dorsal CA1 within 24 hr after the exposure to learning [1, 9, 13]. These data suggest CA1 processes comparisons among relevant stimuli and abstractions of the relevant spatial relations of the stimuli during a delay period of up to 24 hr after learning in which the information may continue to be relevant.
The present study takes advantage of two paradigms in which the comparative match-mismatch function can be tested, such that infusion of apomorphine prior to performance of a spatial working memory or spontaneous exploration task produces deficits in spatial navigation and detection of spatial novelty. In the 8-arm maze, during a 5-min delay, the animal must actively maintain the representation of the study arm in which it received a food reward so that when presented with a choice, it may choose the non-match, or novel choice arm to receive the food reward. In the novelty detection paradigm, the animal actively maintains the configuration of objects during the approximately 15-min delay between Session 3 and 4 in which it receives apomorphine injections. Previous behavioral studies have demonstrated that disruption to EC-CA1 circuitry by either CA1 lesions, CA1 inactivation, glutamate receptor blockade, or by a dopamine agonist, produces deficits in retention and retrieval of spatial information relevant to maze navigation and context-associated fear [6, 26, 27, 30, 57]. It appears that the computational process underlying the comparative match-mismatch operation in EC-CA1 is susceptible to disruption at a delay of at least 5-min and up to 24-hr, while sparing short-term or immediate recall, encoding, and thus acquisition of spatial information necessary for goal-directed navigation, and cue/context-associated fear. Accordingly, we propose that EC-CA1 synaptic function does not support comparative operations that involve habituation or detection of object novelty alone. It is likely that match-mismatch operations may be occurring during habituation and in the short-term, but the current data propose that dysfunction in the CA1 subregion vis-à-vis neurotoxic lesions or modification of synaptic activity between CA1 and EC vis-à-vis hyperdopaminergic states, disrupts only intermediate-term maintenance of contextual information necessary to detect configuration changes. When the spatial configuration does not change, as in habituation-1, -2, or of the re-exploration of non-displaced objects in the novelty detection task, no deficits are observed. Apparently, the effect of apomorphine in CA1 is capable of producing deficits in exploration only when there is a spatial change from expectation (i.e., spatial novelty) in the configuration. Similarly, when there is a change in context and associative input (i.e., visual object-place) is maintained, EC-CA1 does not appear to be necessary for performance. The current data indicate that apomorphine does not disrupt performance when rats are transferred to a novel 8-arm maze. We propose that the hippocampus may not be necessary for the comparator function, but that EC-CA1 function is specifically involved in the context in which the experience of a particular spatial configuration must be held in an intermediate-term memory (5 min – 24 hr) store and novelty based on associative information must be determined.
The current data from this series of behavioral experiments is supported by previous electrophysiological data that indicate apomorphine selectively modifies evoked responses in EC-CA1, while having little to no effect on the SC projection to CA1[57]. Other studies have also shown dopamine to have a selective modulatory influence over the pp input to CA1 [9, 31, 38, 39]. The specific effects observed with apomorphine in CA1 are additionally supported by the findings that have localized dense mesencephalic projections and high levels of DA receptors in dendritic layers of CA1 that receive afferent input via the pp [2, 4, 9, 11, 12]. Thus, the observed deficits are assumed to be attributed to apomorphine acting on those receptors specifically.
It has been suggested that increased availability of dopamine to a certain threshold within mesolimbic (i.e., VTA-hippocampus) circuitry may provide a means to disrupt or “switch” ongoing informational processes to allow for the initiation of, or detection of novel information processes [33, 53]. Depending on the level of dopamine, the “comparator” role of CA1 may essentially fluctuate between the computational algorithm necessary for either encoding or recall. Hasselmo and colleages propose specific encoding/retrieval dynamics [14, 15], in which a mismatch between SC- and EC-CA1 inputs would result in high levels of cholinergic modulation. This modulatory change supports the appropriate dynamics for learning, such that the autoassociative network in CA3 is strengthened and CA3-CA1 synaptic connectivity is suppressed. The Hasselmo model further suggests that EC-CA1 activity is necessary for context-dependent retrieval and proposes a role for dopamine in modulating the spatial and temporal context, which consists of a decaying store of prior associative object-place input [14, 16, 49]. The current data supports Hasselmo’s model such that increases in dopamine availability in the CA1 region appears to interfere with the comparator match-mismatch function by interfering with the matching of information arriving via the SC input with the direct cortical input and reception of current sensory information. Thus, selective disruption of the pp input to CA1 will prevent proper detection of spatial novelty and alter the nature of processes underlying maintenance and retrieval of relevant spatial information.
In summary, this model of dopaminergic modulation has provided evidence to functionally differentiate the two projections into the CA1 subregion and facilitate the elucidation of hippocampal circuitry and its interaction with the entorhinal cortex. The present study showed deficits in two tasks that are apparently sensitive to CA1 dysfunction. These data are consistent with models of CA1 fulfilling a comparator role in detecting changes in spatial configurations and maintaining spatially relevant information for intermediate-term working memory, while sparing short-term working memory and detection of object novelty. The general effect of apomorphine leads us to assume that apomorphine acts directly on the pp input to CA1 and produces deficits in processing behaviorally-relevant sensory information. This model for isolating the CA1 region from receiving intact sensory information from cortex may also elucidate sensory processing deficits associated with dopaminergic hyperfunction and schizophrenia. Future studies may clarify the roles for different inputs to the hippocampus by developing more sophisticated models of spatio-temporal dynamics that involve interaction with the sensory environment during exploration and memory-guided behavior. Furthermore, specific lesion techniques that may allow one to selectively destroy pp fibers coming from EC Layer III and projecting to CA1 without producing seizure-like activity. Other studies may also test other neuromodulatory differences between the two projections to CA1 and thus continue to elucidate functional interactions between cortex and hippocampal subregions.
Acknowledgements
The authors thank George Unger and Brent Cooper for their technical help. This research was supported by NSF Grant IBN-0135273 and NIH Grant RO1 MH065314 awarded to R. P. Kesner.
Footnotes
Publisher's Disclaimer: This is a PDF file of an unedited manuscript that has been accepted for publication. As a service to our customers we are providing this early version of the manuscript. The manuscript will undergo copyediting, typesetting, and review of the resulting proof before it is published in its final citable form. Please note that during the production process errors may be discovered which could affect the content, and all legal disclaimers that apply to the journal pertain.
References
- 1.Bertaina-Anglade V, Tramu G, Destrade C. Differential learning-stage dependent patterns of c-Fos protein expression in brain regions during the acquisition and memory consolidation of an operant task in mice. Eur J Neurosci. 2000;12:3803–3812. doi: 10.1046/j.1460-9568.2000.00258.x. [DOI] [PubMed] [Google Scholar]
- 2.Bruinink A, Bischoff S. Dopamine D2 receptors are unevenly distributed in the rat hippocampus and are modulated differently than in striatum. Eur J Pharmacol. 1993;245:157–164. doi: 10.1016/0922-4106(93)90123-q. [DOI] [PubMed] [Google Scholar]
- 3.Brun VH, Otnass MK, Molden S, Steffenach HA, Witter MP, Moser MB, Moser EI. Place cells and place recognition maintained by direct entorhinal-hippocampal circuitry. Science. 2002;296:2243–2246. doi: 10.1126/science.1071089. [DOI] [PubMed] [Google Scholar]
- 4.Carr DB, Sesack SR. Hippocampal afferents to the rat prefrontal cortex: synaptic targets and relation to dopamine terminals. J Comp Neurol. 1996;369:1–15. doi: 10.1002/(SICI)1096-9861(19960520)369:1<1::AID-CNE1>3.0.CO;2-7. [DOI] [PubMed] [Google Scholar]
- 5.Costall B, Eniojukan JF, Naylor RJ. Dopamine agonist action in mesolimbic, cortical and extrapyramidal areas to modify spontaneous climbing behaviour of the mouse. Psychopharmacology (Berl) 1985;86:452–457. doi: 10.1007/BF00427907. [DOI] [PubMed] [Google Scholar]
- 6.Daumas S, Halley H, Frances B, Lassalle JM. Encoding, consolidation, and retrieval of contextual memory: differential involvement of dorsal CA3 and CA1 hippocampal subregions. Learn Mem. 2005;12:375–382. doi: 10.1101/lm.81905. [DOI] [PMC free article] [PubMed] [Google Scholar]
- 7.Doller HJ, Weight FF. Perforant pathway activation of hippocampal CA1 stratum pyramidale neurons: electrophysiological evidence for a direct pathway. Brain Res. 1982;237:1–13. doi: 10.1016/0006-8993(82)90553-4. [DOI] [PubMed] [Google Scholar]
- 8.Eichenbaum H, Buckingham J. Studies on hippocampal processing. In: Gabriel M, Moore J, editors. Learning and Computational Neuroscience: Foundation of adaptive networks. Cambridge, MA: MIT Press; 1990. pp. 171–231. [Google Scholar]
- 9.Frey U, Matthies H, Reymann KG. The effect of dopaminergic D1 receptor blockade during tetanization on the expression of long-term potentiation in the rat CA1 region in vitro. Neurosci Lett. 1991;129:111–114. doi: 10.1016/0304-3940(91)90732-9. [DOI] [PubMed] [Google Scholar]
- 10.Frey U, Huang YY, Kandel ER. Effects of cAMP simulate a late stage of LTP in hippocampal CA1 neurons. Science. 1993;260:1661–1664. doi: 10.1126/science.8389057. [DOI] [PubMed] [Google Scholar]
- 11.Gasbarri A, Sulli A, Packard MG. The dopaminergic mesencephalic projections to the hippocampal formation in the rat. Prog Neuropsychopharmacol Biol Psychiatry. 1997;21:1–22. doi: 10.1016/s0278-5846(96)00157-1. [DOI] [PubMed] [Google Scholar]
- 12.Goldsmith SK, Joyce JN. Dopamine D2 receptor expression in hippocampus and parahippocampal cortex of rat, cat, and human in relation to tyrosine hydroxylase-immunoreactive fibers. Hippocampus. 1994;4:354–373. doi: 10.1002/hipo.450040318. [DOI] [PubMed] [Google Scholar]
- 13.Gusev PA, Cui C, Alkon DL, Gubin AN. Topography of Arc/Arg3.1 mRNA expression in the dorsal and ventral hippocampus induced by recent and remote spatial memory recall: dissociation of CA3 and CA1 activation. J Neurosci. 2005;25:9384–9397. doi: 10.1523/JNEUROSCI.0832-05.2005. [DOI] [PMC free article] [PubMed] [Google Scholar]
- 14.Hasselmo ME, Schnell E. Laminar selectivity of the cholinergic suppression of synaptic transmission in rat hippocampal region CA1: computational modeling and brain slice physiology. J Neurosci. 1994;14:3898–3914. doi: 10.1523/JNEUROSCI.14-06-03898.1994. [DOI] [PMC free article] [PubMed] [Google Scholar]
- 15.Hasselmo ME, Schnell E, Barkai E. Dynamics of learning and recall at excitatory recurrent synapses and cholinergic modulation in rat hippocampal region CA3. Journal of Neuroscience. 1995;15:5249–5262. doi: 10.1523/JNEUROSCI.15-07-05249.1995. [DOI] [PMC free article] [PubMed] [Google Scholar]
- 16.Hasselmo ME. The role of hippocampal regions CA3 and CA1 in matching entorhinal input with retrieval of associations between objects and context: theoretical comment on Lee et al. (2005) Behav Neurosci. 2005;119:342–345. doi: 10.1037/0735-7044.119.1.342. [DOI] [PubMed] [Google Scholar]
- 17.Heinemann U, Schmitz D, Eder C, Gloveli T. Properties of entorhinal cortex projection cells to the hippocampal formation. Ann N Y Acad Sci. 2000;911:112–126. doi: 10.1111/j.1749-6632.2000.tb06722.x. [DOI] [PubMed] [Google Scholar]
- 18.Huang YY, Kandel ER. D1/D5 receptor agonists induce a protein synthesis-dependent late potentiation in the CA1 region of the hippocampus. Proc Natl Acad Sci U S A. 1995;92:2446–2450. doi: 10.1073/pnas.92.7.2446. [DOI] [PMC free article] [PubMed] [Google Scholar]
- 19.Hunsaker MR, Mooy GG, Swift JS, Kesner RP. Dissociations of the Medial and Lateral Perforant Path Projections Into Dorsal DG, CA3, and CA1 for Spatial and Nonspatial (Visual Object) Information Processing. Behavioral Neuroscience. doi: 10.1037/0735-7044.121.4.742. in press. [DOI] [PubMed] [Google Scholar]
- 20.Jarrard LE. On the use of ibotenic acid to lesion selectively different components of the hippocampal formation. J Neurosci Methods. 1989;29:251–259. doi: 10.1016/0165-0270(89)90149-0. [DOI] [PubMed] [Google Scholar]
- 21.Jork R, Grecksch G, Jirka M, Lossner B, Matthies H. Apomorphine and glycoprotein synthesis in rat hippocampus. Pharmacol Biochem Behav. 1980;12:317–318. doi: 10.1016/0091-3057(80)90377-9. [DOI] [PubMed] [Google Scholar]
- 22.Kesner RP, Lee I, Gilbert P. A behavioral assessment of hippocampal function based on a subregional analysis. Rev Neurosci. 2004;15:333–351. doi: 10.1515/revneuro.2004.15.5.333. [DOI] [PubMed] [Google Scholar]
- 23.Kim JS, Levin ED. Nicotinic, muscarinic and dopaminergic actions in the ventral hippocampus and the nucleus accumbens: effects on spatial working memory in rats. Brain Res. 1996;725:231–240. doi: 10.1016/0006-8993(96)00213-2. [DOI] [PubMed] [Google Scholar]
- 24.Kirkby DL, Higgins GA. Characterization of perforant path lesions in rodent models of memory and attention. Eur J Neuroscic. 1998;10:823–838. doi: 10.1046/j.1460-9568.1998.00087.x. [DOI] [PubMed] [Google Scholar]
- 25.LaHoste GJ, Marshall JF. Nigral D1 and striatal D2 receptors mediate the behavioral effects of dopamine agonists. Behav Brain Res. 1990;38:233–242. doi: 10.1016/0166-4328(90)90178-h. [DOI] [PubMed] [Google Scholar]
- 26.Lee I, Kesner RP. Differential roles of dorsal hippocampal subregions in spatial working memory with short versus intermediate delay. Behav Neurosci. 2003;117:1044–1053. doi: 10.1037/0735-7044.117.5.1044. [DOI] [PubMed] [Google Scholar]
- 27.Lee I, Kesner RP. Differential contributions of dorsal hippocampal subregions to memory acquisition and retrieval in contextual fear-conditioning. Hippocampus. 2004;14:301–310. doi: 10.1002/hipo.10177. [DOI] [PubMed] [Google Scholar]
- 28.Lee I, Kesner RP. Encoding versus retrieval of spatial memory: double dissociation between the dentate gyrus and the perforant path inputs into CA3 in the dorsal hippocampus. Hippocampus. 2004;14:66–76. doi: 10.1002/hipo.10167. [DOI] [PubMed] [Google Scholar]
- 29.Lee I, Hunsaker MR, Kesner RP. The role of hippocampal subregions in detecting spatial novelty. Behav Neurosci. 2005;119:145–153. doi: 10.1037/0735-7044.119.1.145. [DOI] [PubMed] [Google Scholar]
- 30.Lee I, Kesner RP. Differential contribution of NMDA receptors in hippocampal subregions to spatial working memory. Nat Neurosci. 2002;5:162–168. doi: 10.1038/nn790. [DOI] [PubMed] [Google Scholar]
- 31.Li S, Cullen WK, Anwyl R, Rowan MJ. Dopamine-dependent facilitation of LTP induction in hippocampal CA1 by exposure to spatial novelty. Nat Neurosci. 2003;6:526–531. doi: 10.1038/nn1049. [DOI] [PubMed] [Google Scholar]
- 32.Lisman JE, Otmakhova NA. Storage, recall, and novelty detection of sequences by the hippocampus: elaborating on the SOCRATIC model to account for normal and aberrant effects of dopamine. Hippocampus. 2001;11:551–568. doi: 10.1002/hipo.1071. [DOI] [PubMed] [Google Scholar]
- 33.Lisman JE, Grace AA. The hippocampal-VTA loop: controlling the entry of information into long-term memory. Neuron. 2005;46:703–713. doi: 10.1016/j.neuron.2005.05.002. [DOI] [PubMed] [Google Scholar]
- 34.McNaughton BL, Barnes CA, Meltzer J, Sutherland RJ. Hippocampal granule cells are necessary for normal spatial learning but not for spatially-selective pyramidal cell discharge. Exp Brain Res. 1989;76:485–496. doi: 10.1007/BF00248904. [DOI] [PubMed] [Google Scholar]
- 35.Morgenstern R, Fink H. Effect of a novel environment on locomotor hyperactivity of rats induced by apomorphine in the nucleus accumbens. Biomed Biochim Acta. 1985;44:1517–1522. [PubMed] [Google Scholar]
- 36.Mumby DG, Gaskin S, Glenn MJ, Schramek TE, Lehmann H. Hippocampal damage and exploratory preferences in rats: memory for objects, places, and contexts. Learn Mem. 2002;9:49–57. doi: 10.1101/lm.41302. [DOI] [PMC free article] [PubMed] [Google Scholar]
- 37.O'Reilly RC, McClelland JL. Hippocampal conjunctive encoding, storage, and recall: avoiding a trade-off. Hippocampus. 1994;4:661–682. doi: 10.1002/hipo.450040605. [DOI] [PubMed] [Google Scholar]
- 38.Otmakhova NA, Lisman JE. D1/D5 dopamine receptor activation increases the magnitude of early long-term potentiation at CA1 hippocampal synapses. J Neurosci. 1996;16:7478–7486. doi: 10.1523/JNEUROSCI.16-23-07478.1996. [DOI] [PMC free article] [PubMed] [Google Scholar]
- 39.Otmakhova NA, Lisman JE. Dopamine selectively inhibits the direct cortical pathway to the CA1 hippocampal region. J Neurosci. 1999;19:1437–1445. doi: 10.1523/JNEUROSCI.19-04-01437.1999. [DOI] [PMC free article] [PubMed] [Google Scholar]
- 40.Otto T, Eichenbaum H. Neuronal activity in the hippocampus during delayed non-match to sample performance in rats: evidence for hippocampal processing in recognition memory. Hippocampus. 1992;2:323–334. doi: 10.1002/hipo.450020310. [DOI] [PubMed] [Google Scholar]
- 41.Poucet B. Object exploration, habituation, and response to a spatial change in rats following septal or medial frontal cortical damage. Behav Neurosci. 1989;103:1009–1016. doi: 10.1037//0735-7044.103.5.1009. [DOI] [PubMed] [Google Scholar]
- 42.Remondes M, Schuman EM. Direct cortical input modulates plasticity and spiking in CA1 pyramidal neurons. Nature. 2002;416:736–740. doi: 10.1038/416736a. [DOI] [PubMed] [Google Scholar]
- 43.Remondes M, Schuman EM. Role for a cortical input to hippocampal area CA1 in the consolidation of a long-term memory. Nature. 2004;431:699–703. doi: 10.1038/nature02965. [DOI] [PubMed] [Google Scholar]
- 44.Rolls ET, Kesner RP. A computational theory of hippocampal function, and empirical tests of the theory. Prog Neurobiol. 2006;79:1–48. doi: 10.1016/j.pneurobio.2006.04.005. [DOI] [PubMed] [Google Scholar]
- 45.Sakurai Y. Hippocampal cells have behavioral correlates during the performance of an auditory working memory task in the rat. Behav Neurosci. 1990;104:253–263. doi: 10.1037//0735-7044.104.2.253. [DOI] [PubMed] [Google Scholar]
- 46.Save E, Poucet B, Foreman N, Buhot MC. Object exploration and reactions to spatial and nonspatial changes in hooded rats following damage to parietal cortex or hippocampal formation. Behav Neurosci. 1992;106:447–456. [PubMed] [Google Scholar]
- 47.Sharifzadeh M, Tavasoli M, Soodi M, Mohammadi-Eraghi S, Ghahremani MH, Roghani A. A time course analysis of cyclooxygenase-2 suggests a role in spatial memory retrieval in rats. Neurosci Res. 2006;54:171–179. doi: 10.1016/j.neures.2005.11.004. [DOI] [PubMed] [Google Scholar]
- 48.Shimizu E, Tang YP, Rampon C, Tsien JZ. NMDA receptor-dependent synaptic reinforcement as a crucial process for memory consolidation. Science. 2000;290:1170–1174. doi: 10.1126/science.290.5494.1170. [DOI] [PubMed] [Google Scholar]
- 49.Siekmeier PJ, Hasselmo ME, Howard MW, Coyle J. Modeling of context-dependent retrieval in hippocampal region CA1: implications for cognitive function in schizophrenia. Schizophr Res. 2007;89:177–190. doi: 10.1016/j.schres.2006.08.007. [DOI] [PubMed] [Google Scholar]
- 50.Smialowski A, Maj J. Repeated treatment with imipramine potentiates the locomotor effect of apomorphine administered into the hippocampus in rats. Psychopharmacology (Berl) 1985;86:468–471. doi: 10.1007/BF00427910. [DOI] [PubMed] [Google Scholar]
- 51.Squire LR, Zola-Morgan S. The medial temporal lobe memory system. Science. 1991;253:1380–1386. doi: 10.1126/science.1896849. [DOI] [PubMed] [Google Scholar]
- 52.Steward O. Topographic organization of the projections from the entorhinal area to the hippocampal formation of the rat. J Comp Neurol. 1976;167:285–314. doi: 10.1002/cne.901670303. [DOI] [PubMed] [Google Scholar]
- 53.Swerdlow NRKG. Dopamine, schizophrenia, mania, and depression: Toward a unified hypothesis of cortico-striato-pallido-thalamic function. Behav Brain Sci. 1987;10:197–245. [Google Scholar]
- 54.Sybirska E, Davachi L, Goldman-Rakic PS. Prominence of direct entorhinal-CA1 pathway activation in sensorimotor and cognitive tasks revealed by 2-DG functional mapping in nonhuman primate. J Neurosci. 2000;20:5827–5834. doi: 10.1523/JNEUROSCI.20-15-05827.2000. [DOI] [PMC free article] [PubMed] [Google Scholar]
- 55.Treves A, Rolls ET. Computational analysis of the role of the hippocampus in memory. Hippocampus. 1994;4:374–391. doi: 10.1002/hipo.450040319. [DOI] [PubMed] [Google Scholar]
- 56.Treves A. Computational constraints between retrieving the past and predicting the future, and the CA3-CA1 differentiation. Hippocampus. 2004;14:539–556. doi: 10.1002/hipo.10187. [DOI] [PubMed] [Google Scholar]
- 57.Vago DR, Bevan A, Kesner RP. The role of the direct perforant path input to the CA1 subregion of the dorsal hippocampus in memory retention and retrieval. Hippocampus. 2007 doi: 10.1002/hipo.20329. [DOI] [PMC free article] [PubMed] [Google Scholar]
- 58.Vinogradova OS. Hippocampus as comparator: role of the two input and two output systems of the hippocampus in selection and registration of information. Hippocampus. 2001;11:578–598. doi: 10.1002/hipo.1073. [DOI] [PubMed] [Google Scholar]
- 59.Yeckel MF, Berger TW. Monosynaptic excitation of hippocampal CA1 pyramidal cells by afferents from the entorhinal cortex. Hippocampus. 1995;5:108–114. doi: 10.1002/hipo.450050204. [DOI] [PubMed] [Google Scholar]






