Abstract
Background and Aims
The collection of field data on plant traits is time consuming and this makes it difficult to examine changing patterns of traits along large-scale climate gradients. The present study tests whether trait information derived from regional floras can be used in conjunction with pre-existing quadrat data on species presence to derive meaningful relationships between specific morphometric traits and climate.
Methods
Quadrat records were obtained for 867 species in 404 sites from northern China (38–49°N, 82–132°E) together with information on the presence/absence of key traits from floras. Bioclimate parameters for each site were calculated using the BIOME3 model. Principal component analysis and correlation analysis were conducted to determine the most important climate factors. The Akaike Information Criterion was used to select the best relationship between each trait and climate. Canonical correspondence analysis was used to explore the relationships between climate and trait occurrence.
Key Results
The changing abundance of life form, leaf type, phenology, photosynthetic pathway, leaf size and several other morphometric traits are determined by gradients in plant-available moisture (as measured by the ratio of actual to potential evapotranspiration: α), growing-season temperature (as measured by growing degree-days on a 0 ° base: GDD0) or a combination of these. Different plant functional types (PFTs, as defined by life form, leaf type and phenology) reach maximum abundance in distinct areas of this climate space: for example, evergreen trees occur in the coldest, wettest environments (GDD0 < 2500 °Cd, α > 0·38), and deciduous scale-leaved trees occur in drier, warmer environments than deciduous broad-leaved trees. Most leaf-level traits show similar relationships with climate independently of PFT: for example, leaf size in all PFTs increases as the environment becomes wetter and cooler. However, some traits (e.g. petiole length) display different relationships with climate in different PFTs.
Conclusions
Based on presence/absence species data and flora-based trait assignments, the present study demonstrates ecologically plausible trends in the occurrence of key plant traits along climate gradients in northern China. Life form, leaf type, phenology, photosynthetic pathway, leaf size and other key traits reflect climate. The success of these analyses opens the possibility of using quadrat- and flora-based trait analyses to examine climate–trait relationships in other regions of the world.
Keywords: Plant morphometric traits, plant life form, functional types, climate gradient, aridity, Akaike Information Criterion, northern China
INTRODUCTION
Functional traits are observable or measurable characteristics of plants that are assumed to reflect evolutionary responses to external conditions (McIntyre et al., 1999; Lavorel et al., 2007). Variation in the occurrence of traits along environmental gradients should therefore reflect variation in the relative importance of adaptive mechanisms along these gradients. Keddy (1992) suggested that different aspects of the environment are important at different spatial scales, such that the association of traits present in a given location is a consequence of a hierarchy of environmental filters. Thus, topographic and/or edaphic controls are important at relatively small spatial scales, disturbance at intermediate spatial scales, and climate at the broad regional scale. Most studies of trait–environment relationships to date have been field-based; it is therefore unsurprising that most of this work has focused on the impact of competition and succession (Goldberg and Landa, 1991; Garnier et al., 2004), soil nutrient status (Reich et al., 1992), and land use and disturbance (Díaz et al., 2001; Adler et al., 2004; Pausas et al., 2004). Less attention has been given to the relationships between traits and climate gradients on a relatively large scale (but see Díaz et al., 1998; Barboni et al., 2004; Wright et al., 2005; He et al., 2006) because of the difficulty of obtaining field observations across regions or at a continental scale.
Understanding the relationship between climate and traits is important for a variety of reasons, not least the ability to predict changes in vegetation distribution in response to future climate changes (Woodward and Cramer, 1996; Díaz and Cabido, 1997). These relationships are also central to the definition of plant functional types for large-scale mapping using remotely sensed data (e.g. Defries et al., 2000) or palaeodata (e.g. Prentice and Jolly, 2000) and for global modelling (e.g. Prentice et al., 2007). Furthermore, if climate acts as the highest level filter on the occurrence of traits at a given location, then understanding climate–trait relationships may also be important for the interpretation of local studies (e.g. Schulze and Mooney, 1993). Although there have been continental- or global-scale studies examining the relationship between, for example, leaf economic traits (Niinemets, 2001; Wright and Westoby, 2002; Wright et al., 2004), traits related to water use such as wood density (e.g. Swenson and Enquist, 2007) and traits related to dispersal such as seed mass (e.g. Moles et al., 2007), there is less information about the relationship between plant traits such as life form or leaf size and climate. There has been a growing realization that regional floras could be used to provide information on a wider range of plant traits. The one attempt to date to use such information used modern pollen assemblages to distinguish climate-controlled gradients in trait expression, although pollen assemblages suffer from two drawbacks for the analysis of trait–climate relationships, namely limited taxonomic resolution, and the possibility that the pollen assemblage contains non-local taxa (Barboni et al., 2004).
The present study uses field surveys of species distributions along climate gradients in northern China, coupled with flora and/or literature-based information on the presence/absence of specific plant traits, to examine the relationship between these traits and climate gradients in northern China. Statistical analysis of these data allows the identification of climatically determined gradients in trait frequency. Although there has been some work on plant traits in China (e.g. Luo et al., 2005; Wang and Ni, 2005a, b; He et al., 2006; Wang, 2007), the focus here on the changes in a large suite of plant morphometric traits along large-scale climate gradients across northern China is novel.
MATERIALS AND METHODS
Study area
The study focuses on sites in northern China, between 38–49°N and 82–132°E (Fig. 1). The region includes mountain ranges (the Changbai Mountains in the east and the Tianshan Mountains in the west), upland plateaus (the Inner Mongolia, Ordos and Alxa plateaus) and lowland desert areas. The vegetation of the region ranges from temperate mixed conifer–broadleaved forests in the east through forest-steppe, meadow-steppe, steppe, desert-steppe and ultimately to desert in the west, reflecting the pronounced climate gradients characteristic of the region. The climate of China is dominated by the Asian monsoon system, with onshore rain-bearing winds in summer (summer monsoon) and cold, dry winds from the continental interior during winter (winter monsoon). Continentality, as measured by distance from the coast, modulates the influence of these broad-scale circulation changes, as does the presence of major mountain chains. Most of northern China lies at the northernmost limit of the influence of the summer monsoon; the seasonality of precipitation reflects the monsoon influence, but the amount of precipitation decreases with distance from the coast. Annual precipitation varies from >1000 mm in the east to <100 mm in the west with most of the rainfall occurring in summer. Winter temperature regimes are strongly influenced by the winter monsoon as well as the degree of continentality. The mean temperature of the coldest month ranges from −1 °C in the east to −32 °C in the west, with the greatest seasonal contrast in the continental interior.
Fig. 1.
The study area and the geographical distribution of sites used in final analyses.
Quadrat records
The analyses are based on vegetation surveys in 692 sites made at different times and for different purposes, but generally in relatively undisturbed locations. At the majority of sites (see Supplementary Data, Table S1, available online), species lists were compiled on the basis of surveys with quadrats of various effective sizes: at some sites only a single 1 × 1-m2 quadrat was used, at some sites a 1 × 1-m2 quadrat was used for non-woody plants and a 10 × 10-m2 quadrat for trees, and at some sites several individual quadrats were amalgamated. In the trait analysis, the species list for each site was made by combining data from all the quadrats available, on the assumption that this would provide the most complete representation of the total species present. Separate analyses were made of the individual 1 × 1-m2 quadrats to ensure that the relationships obtained with the pooled data were robust. The quadrat data set was screened prior to analysis to remove: (1) sites where only one or two species were recorded and therefore where sampling was assumed to be incomplete (11 sites) and (2) sites where more than 25 % of the species recorded were only identified to genus or family level (167 sites).
Trait assignments
Plant morphometric traits that appear to be associated with climate were chosen on the basis of a review of the literature (McIntyre et al., 1999; Cornelissen et al., 2003; Barboni et al., 2004; Wang and Ni, 2005b). Traits (for definitions see Table 1) were assigned to all taxa in the data set identified to species level (see Supplementary Data, Table S2, available online) on the basis of information from floras (Editorial Board of the Flora of China, 1959–2004; Editorial Board of Flora Intramongolica, 1989–1998; Editorial Board of Flora Xinjiangensis, 1993–1999; Editorial Board of Flora Qinghaiica, 1996–1999; IBCAS, 1987), and from web-based taxonomic or ecological resources (e.g. Watson and Dallwitz, 1992 onwards; IAECAS, 2002; Chinese Virtual Herbarium, http://www.cvh.org.cn/zhiwuzhi/list.asp). Information on photosynthetic pathway was derived from Yin and Li (1997), Yin and Wang (1997), Wang (2002, 2003, 2004a, b) and Liu et al. (2004). Traits were not assigned to plants identified only to genus or family level, but these taxa are included in the total number of species present at a site for the calculation of trait abundance (see below).
Table 1.
Key plant traits and their definitions
| Trait | Class | No. of species with trait | No. of sites at which trait recorded | Definitions of traits |
|---|---|---|---|---|
| Life form | Tree | 49 | 50 | A perennial woody plant having a main trunk and usually a distinct crown |
| Shrub | 155 | 386 | A woody plant of relatively low height, with several stems arising from the base and lacking a single trunk | |
| Perennial forb | 427 | 352 | Non-woody plant (herb), excluding species from Poaceae, Cyperaceae and Juncaceae, with above-ground tissue which persists through the non-favourable season | |
| Annual forb | 88 | 304 | Non-woody plant (herb), excluding species from Poaceae, Cyperaceae and Juncaceae, which completes its life cycle within a single year | |
| Perennial grass | 68 | 348 | Non-woody plant from Poaceae, with above-ground tissue which persists through the non-favourable season | |
| Annual grass | 14 | 63 | Non-woody plant from Poaceae, which completes its life cycle within a single year | |
| Sedges/rushes | 19 | 151 | Non-woody plant, from Cyperaceae and Juncaceae | |
| Lianas/climber | 16 | 27 | Woody and non-woody plants which use other plants (and/or rocks, slopes) for support for their growth | |
| Geophytes | 18 | 240 | Plants over-wintering below ground, with tuber, corm and bulb | |
| Other life forms | 13 | 24 | Including parasite/saprophyte, fern and aquatic | |
| Leaf type | Broadleaved | 183 | 388 | Leaves that are broad rather than needle-like or scale-like, for plants other than gymnosperms |
| Needle leaf | 7 | 10 | Leaves that are stiff, linear and needle-like, and generally of similar thickness and width; includes all conifers | |
| Scale leaf | 12 | 80 | Reduced leaves, including scale, sheath and spine leaves | |
| Leafless | 2 | 17 | No leaf | |
| Leaf phenology | Evergreen | 10 | 15 | A plant having foliage that persists and remains green throughout the year |
| Deciduous | 192 | 390 | A plant that sheds foliage at the end of the growing season, as a result of cold or drought | |
| Photosynthetic pathway | C3 | 796 | 404 | Exhibiting C3 photosynthesis, as indicated by isotopic measurements or leaf anatomy |
| C4 | 65 | 332 | Exhibiting C4 photosynthesis, as indicated by isotopic measurements or leaf anatomy | |
| CAM | 6 | 58 | Exhibiting CAM photosynthesis, as indicated by isotopic measurements or leaf anatomy | |
| Leaf size | Pico | 33 | 138 | Leaf area <5 mm2 (=1 in the formula used for calculating leaf size) |
| Lepto | 87 | 344 | Leaf area 5–25 mm2 (=2 in the formula used for calculating leaf size) | |
| Nano | 287 | 396 | Leaf area 25–250 mm2 (=3 in the formula used for calculating leaf size) | |
| Micro | 302 | 365 | Leaf area 250–2000 mm2 (=4 in the formula used for calculating leaf size) | |
| Noto | 108 | 175 | Leaf area 2000–4500 mm2 (=5 in the formula used for calculating leaf size) | |
| Meso | 35 | 68 | Leaf area 4500–20 000 mm2 (=6 in the formula used for calculating leaf size) | |
| Macro | 9 | 11 | Leaf area 20 000–150 000 mm2 (=7 in the formula used for calculating leaf size) | |
| Petiole | No petiole | 366 | 404 | Leaf without petiole (=1 in the formula used for calculating petiole length) |
| Short | 354 | 367 | Petiole is shorter than 5 cm (=2 in the formula used for calculating petiole length) | |
| Long | 141 | 237 | Petiole is longer than 5 cm (=3 in the formula used for calculating petiole length) |
In floras, information on leaf size is often given as a range, representing growth under different light or nutrient conditions. The present study uses maximum leaf size, which conforms most closely to standard recommendations for field sampling (e.g. see Cornelissen et al., 2003). Floras may provide quantitative information on petiole length (≤5 cm is defined as short petiole and >5 cm as long petiole) but sometimes only categorical information (no petiole, short petiole or long petiole) is given. Thus, the quantitative information on petiole length has been converted into categorical information for the purposes of these analyses.
Previous work has indicated that some individual traits show different relationships with climate gradients depending on life form, leaf form and phenology (e.g. see Barboni et al., 2004). We therefore defined a suite of composite traits according to life form (i.e. the available individual traits in each life form). In the case of woody life forms (tree and shrub), leaf type and phenology were also used in the definition of composite traits.
Climate data
Mean monthly temperature, precipitation, percentage of sunshine hours and extreme high and low temperature were derived from 1814 meteorological stations across China (740 stations have observation from 1971 to 2000, others from 1981 to 1990). The climate data were then re-gridded at 1-km latitude × 1-km longitude resolution using a smoothing spline interpolation (ANUSPLIN version 4·36, Hutchinson, 2006) and the STRM 1-km digital elevation model (Farr et al., 2007). The re-gridded climate data together with information on soil texture (Xiong and Li, 1987) were used to drive the BIOME3 model (Haxeltine and Prentice, 1996) in order to calculate bioclimatic variables more closely related to the physiological controls on plant growth (Prentice et al., 1992), specifically mean annual temperature (MAT), mean annual precipitation (MAP), mean temperature of the coldest month (MTCO), mean temperature of the warmest month (MTWA), growing degree days on a 5 ° (GDD5) and on a 0 ° basis (GDD0), potential annual evapotranspiration (PET) and actual annual evapotranspiration (AET). An aridity index α (the ratio of AET to PET, i.e. the environmentally determined evaporation rate under unchanging atmospheric and land-surface conditions: Priestley and Taylor, 1972; Jarvis and McNaughton, 1986), which measures the drought stress experienced by plants, was also calculated.
A principal component analysis (PCA: Shaw, 2003) was performed to determine which combination of climate variables best summarizes the climate of northern China. The temperature variables (MAT, MTCO, MTWA, GDD5 and GDD0) were all strongly and indistinguishably loaded on the first component axis and the moisture variables (MAP, AET, α) on the second axis (Table 2). The first two principal components explain 88 % of the climate variability across the region. Individual correlation analyses of each individual and composite trait were then performed against each of the climate variables used in the PCA, and the number of times a given climatic factor was identified as the most significant explanator was determined (Table 2). Of the temperature-related variables, MAT and GDD0 most frequently show the highest correlations with individual traits; amongst the moisture-related variables, α and MAP are identified as being most diagnostic. Given that the bioclimatic variables α and GDD0 are widely used to define climatic limits in global vegetation models (Prentice et al., 2007), these two variables were retained for further analyses of climate–trait relationships.
Table 2.
Principal component analysis of key climate variables and frequency that a given climate variable is identified as the most strongly correlated factor with individual and composite plant traits across the suite of plant traits
| Climate variable | PC1 | PC2 | Frequency (%) |
|---|---|---|---|
| Temperature-related factors | |||
| Mean annual temperature (MAT) | 0·937 | −0·313 | 16·7 |
| Mean temperature of the coldest month (MTCO) | 0·834 | −0·016 | 12·7 |
| Mean temperature of the warmest month (MTWA) | 0·68 | −0·574 | 6·9 |
| Growing degree days, base 5 ° (GDD5) | 0·8 | −0·511 | 8·8 |
| Growing degree days, base 0 ° (GDD0) | 0·829 | −0·488 | 15·7 |
| Moisture-related factors | |||
| Mean annual precipitation (MAP) | −0·203 | 0·938 | 45·1 |
| Actual evapotranspiration (AET) | −0·228 | 0·952 | 26·5 |
| Potential evapotranspiration (PET) | 0·813 | −0·315 | 3·9 |
| AET/PET (α) | −0·388 | 0·902 | 62·7 |
Lack of soil information precluded the calculation of the bioclimatic variables α and GDD0 at 24 sites; these sites were therefore not included in further analyses. A further 47 sites were excluded from analysis because the elevation of the sampling site differed by more than 200 m from the elevation of the grid cell used for calculation of the bioclimatic variables, and thus the interpolated temperature could be substantially different from the actual climate at the site. Assuming a standard lapse rate, the maximum error for sites differing in elevation by 200 m would be around 1 °C, which seems acceptable given the range of sampled climate. Also excluded were 39 sites with GDD0 < 2000 °Cd from high mountain areas in western China: these sites do not show clear relationships between traits and climate, which we suspect is due to inadequate sampling of the vegetation.
Statistical analyses of traits versus climate
As a result of screening the sites according to the quality of the available floristic information and for the degree to which the derived climate information could be considered representative of the site location, statistical analyses were conducted on a total of 404 sites with 867 species identified to species level (see Supplementary Data, Tables S1 and S2, available online).
The abundance of each trait or composite trait at each site is expressed as the ratio of the species showing that trait or composite trait to the total number of species (the total number of species includes plants only identified to genus or family level, as well as plants identified to species level) or the number of species in that life form at the site. Leaf size and petiole length are calculated as weighted averages using the formula:
![]() |
where S is the score of leaf size or petiole length, n is the number of attributes, Ci is the code of each attribute (Table 1), Ni is the number of species showing Ci and NT is the total number of species or the number of species in that life form at the site.
An arcsine square root transformation of the ratios was used to meet the normal distribution assumption for least-squares regression analysis. A saturated quadratic model with an interaction term, expressed as:
![]() |
was adopted as the initial model (Barboni et al., 2004). The Akaike Information Criterion (AIC, Johnson and Omland, 2004) was used to select the best-fit model of the relationship between each trait and the climatic factors. There were 32 potential model choices for each trait, with different combinations of climatic factors (from no independent variable to full model). The intercept and slope of each relationship were estimated by the least-squares regression method. The F-statistics and associated probability level were used to indicate the statistical significance of the R2 of the best model. Given that the data show spatial autocorrelation (as shown by Moran's I values), and that this can influence the statistical significance tests (Legendre, 1993), a conservative value (P < 0·01, although most of the results yielded values of P < 0·001) was chosen to determine whether the relationships between plant traits and climatic factors are significant. The model selection and statistical analysis were conducted using R (R Development Core Team, 2008).
Canonical Correspondence Analysis (CCA; ter Braak, 1987) was used to identify the sequence of individual and composite plant traits along the climatic gradients. CCA is an appropriate analysis tool when some or all traits are likely to show unimodal rather than monotonic relationships to the underlying gradients (ter Braak and Prentice, 1988). The CCA was carried out on the combined trait–site and climate–site matrices. Only those traits significantly correlated with climate were considered.
RESULTS
Analysis of individual traits and climate
Life forms
Trees, shrubs, forbs and grasses are present across virtually all of the climate range represented in northern China, and show coherent changes in relative abundance along the gradients of α and GDD0 (Fig. 2). Trees are present throughout the range but reach their maximum abundance (>25 %) in two regions: where α is moderately high (>0·53) and in hot, dry regions (α < 0·2, GDD0 > 3700 °Cd). The maximum at the hot, dry end of the range reflects the dominance of one tree species that unusually has C4 photosynthesis (see below). Shrubs reach maximum abundance when α is <0·35. Annual forbs are most abundant in dry climates (α < 0·3) whereas perennial forbs become more abundant (>50 %) as α increases above this value. There may be a similar pattern with grasses, with perennial grasses reaching maximum abundance in wetter environments than annual grasses (Fig. 2). Unfortunately, there are relatively few species of annual grass present in the data set and they are derived from a limited number of sites (Table 1), so that the expression of climate-determined patterns in the abundance of this life form is not strong.
Fig. 2.
Abundance of life forms (tree, shrub, perennial forb, annual forb, perennial grass and annual grass) as a function of aridity (α) and accumulated temperature sum during the growing season (GDD0). All the statistical significances were very high (P < 0·001).
Geophytes and sedges/rushes are also widely distributed across the climate range in northern China, but do not show any changes in abundance associated with the gradients in α and GDD0. In the case of sedges/rushes, this is probably because their presence is determined by local hydrology. In the case of geophytes, this may be because there are only 18 species in the data set. Other life forms (lianas/vines, ferns, parasites/saprophytes and aquatics) are also represented by only a few species and at relatively few sites (Table 1). Thus, in illustrating the relationships between climate gradients and specific composite traits within each life form (see below), only trees, shrubs, forbs and grasses are considered (i.e. a total of 801 species) although all species were included in the statistical analyses.
Photosynthetic pathway
Most of the species in the data set are C3 plants (796 species), and C3 photosynthesis is common at all sites within the region. However, there are patterns in the abundance of plants using the C4 or CAM photosynthetic pathways with respect to the gradient both in aridity and in growing-season warmth. In woody species (trees and shrubs), C4 photosynthesis becomes the dominant form of photosynthesis (>50 %) when α is <0·3 (Fig. 3). There is only one species of C4 tree in the data set (Haloxylon ammodendron, Chenopodiaceae); this tree is not present at sites where α is >0·3, but is the only tree species present at drier sites. C4 shrubs are present in moderate abundance in sites where α is <0·45, although they reach maximum abundance (sometimes 100 % of all shrubs) in drier sites (α < 0·3). There are no discernible gradients in the abundance of C4 photosynthesis with aridity in perennial grasses or annual forbs, but in perennial grasses C4 photosynthesis is more common in the warmer sites with higher GDD0. There are only 14 species of annual grass. Mixed C3/C4 grasslands are apparently not sampled in this data set; sites are recorded as having either 100 % C3 or 100 % C4 annual grasses (this is true whether there are several species of grass present or not, and is not a result of incomplete sampling of species).
Fig. 3.
Expression of photosynthetic pathway (C3, C4, CAM) within each life form as a function of aridity (α) and accumulated temperature sum during the growing season (GDD0). All statistical significances were very high (P < 0·001), except for the C3 pathway in perennial forbs (P < 0·01).
Most of the perennial forbs are characterized by C3 photosynthesis. Species with C4 photosynthesis were recorded at 29 sites but at only one site do they exceed 15 % of the total number of perennial forbs present. Similarly, species with CAM photosynthesis were recorded at 58 sites but comprise <15 % of the perennial forbs at all but four sites. The maximum abundance of C4 photosynthesis in perennial forbs does not conform to the pattern shown by other groups as it occurs at wetter sites where α is between 0·25 and 0·6; there are no examples of perennial forbs with C4 photosynthesis when α is <0·25 (Fig. 3). The abundance of perennial forbs with CAM photosynthesis shows the same pattern (Fig. 3). The distribution patterns of CAM perennial forbs appear to reflect rainfall seasonality: all of the sites where CAM is present have >66 % of the total rainfall occurring in June–August. The relatively moist sites with C4 perennial forbs are also characterized by the dominance of summer rain.
Leaf traits
Within trees and shrubs, there are secondary gradients in abundance related to plant functional types (PFTs) defined by leaf type (broad, needle, scale or reduced leaves) and leaf phenology (deciduous, evergreen). Evergreen needle-leaved trees occur when GDD0 < 2500 °Cd (Fig. 4). There are no evergreen broad-leaved and scale-leaved trees in the data set. There is only one deciduous needle-leaved tree in the data set (Larix olgensis) and this only occurs in one site at the wetter site near Changbai Mountains. Deciduous trees occur across the climate range represented in the data set. Deciduous broadleaved trees are abundant when α > 0·38; deciduous trees with reduced or scale leaves (i.e. Tamarix chinensis, Casuarina equisetifolia, Haloxylon ammondendron) are abundant when α < 0·38. Evergreen shrubs are most abundant at intermediate values of α (0·15–0·45; Fig. 4). There are no needle-leaved shrubs in the data set, and only one species of evergreen scale-leaved shrub (Sabina vulgaris). Deciduous shrubs occur throughout the climate range. Broad-leaved deciduous shrubs are abundant across the whole climate region. Deciduous scale-leaved shrubs occur when α < 0·4 (at all but one site, α < 0·38) and reach the highest abundance when α < 0·25 (Fig. 4). Thus, the controls on leaf phenology differ between trees and shrubs: evergreen trees replace deciduous trees as conditions become colder, evergreen shrubs are confined to moderately wet environments, deciduous shrubs occur across the climate range but deciduous scale-leaved trees and shrubs are confined the regions where α is <0·38.
Fig. 4.
Expression of plant functional types defined by life form, leaf type (broad, needle, scale) and phenology (evergreen, deciduous) within trees and shrubs as a function of aridity (α) and accumulated temperature sum during the growing season (GDD0). All statistical significances were very high (P < 0·001).
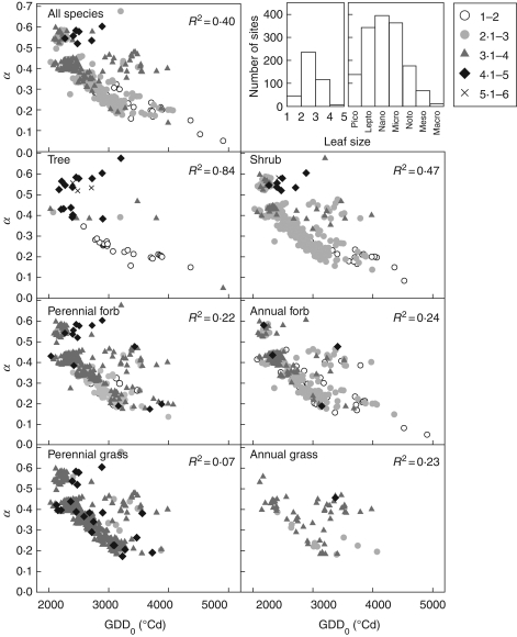
At the trait level, i.e. irrespective of presence/absence of any other plant traits, there are strong relationships between leaf size and climate (Fig. 5). The largest leaf size recorded is macrophyll, but the most common leaf size is nanophyll. In the weighted averages used in the trait analysis, this translates into largest leaf size of 4–5 and the most common leaf size is between 2 and 3. Plants with leaf sizes in the range 2–3 occur across the whole range of climate, except in hot, dry sites (α < 0·15, GDD0 > 4000 °Cd). Leaf size increases as α increases and GDD0 decreases. Leaf size is larger than 2 when α > 0·19, and generally larger than 3 in the sites where α > 0·3. Species with the largest leaves occur where 0·5 < α < 0·61 and 2250 < GDD0 < 2900 °Cd (Fig. 5). This pattern of increasing leaf size as aridity decreases is also displayed at the level of individual life forms in the case of trees, shrubs and annual forbs (Fig. 5). The pattern is not as clear in the other life forms. The largest leaved perennial forbs occur mainly at higher levels of α (>0·4). There is no discernible pattern in the leaf sizes of grasses (Fig. 5).
Fig. 5.
Expression of weighted average leaf size as a function of aridity (α) and accumulated temperature sum during the growing season (GDD0) across all life forms, and within different life forms. All statistical significances were very high (P < 0·001).
Analysis of composite traits and climate
CCA of individual traits in climate space confirms the results of the analyses of individual trait abundance. All the individual traits display an interpretable sequence in climate space as defined by α and GDD0, with α being more important in determining trait distribution than GDD0 (Fig. 6A). The analysis of composite traits (Fig. 6B) allows the relationship between traits within PFTs to be examined.
Fig. 6.
CCA ordination diagrams of (A) individual traits on leaf level and (B) composite traits in woody plant functional types. The arrows represent the gradients of aridity (α) and accumulated temperature sum during the growing season (GDD0). Each symbol represents the relative position of the trait in the climatic space defined by GDD0 and α, based on all the species showing that trait.
The composite traits are clustered (Fig. 6B), such that most of the traits displayed by deciduous broad-leaved trees occur in wetter environments than the traits displayed by deciduous broad-leaved shrubs, which in turn occur in colder and wetter environments than those traits displayed by deciduous scale-leaved shrubs. Evergreen trees occur in coldest and wettest environments; deciduous scale-leaved trees occur in drier and warmer environments than deciduous broad-leaved and evergreen trees. Within these broadly defined PFTs, the ordering of most morphological traits is the same as shown at the individual trait level: for example, the ordering of leaf size with respect to aridity is the same in both deciduous broad-leaved trees and deciduous broad-leaved shrubs. However, the ordering of some morphological traits is different when considered at the composite trait level. For example, in contrast to the observed relationship in the individual trait analysis, long petioles occur in warmer and drier climates than short petioles in the deciduous broad-leaved tree category. This indicates that, within that part of climate space occupied by a specific PFT, the abundance of leaf morphological traits may be determined by different aspects of the climate gradients.
DISCUSSION
Validity of the data set and methods
The present analyses have been based on species lists from quadrat sampling of different vegetation types represented in northern China and the compilation of plant trait data for these species based on floras and similar literature sources. There are advantages and disadvantages of this approach. Using quadrat data collected by other scientists over the last decade provides a more extensive data set, covering a larger gradient in key climate parameters, than might otherwise have been possible. This has allowed us to establish relationships between many individual traits and climate. However, reliance on pre-existing quadrat data meant that some basic information about sites and samples was unavailable. For example, quadrat size was not available for some sites and information on sampling methods was missing from others. This necessitated a careful screening of the data prior to analysis. The lack of information on the abundance of individual species in each quadrat is a further limitation. The present analyses were necessarily based on the relative proportion of species exhibiting a given trait in the assemblage, rather than the overall abundance of the trait.
Collection of trait information in the field is time-consuming. The use of floras to allocate traits to individual species could make the collection of trait information much quicker and thus permit comparisons between different regions and across floristic domains. As many more regional floras are digitized (e.g. African Plants Initiative: http://apps.kew.org/herbcat/gotoApi.do; Australian Virtual Herbarium: http://www.chah.gov.au/avh/avh.html), making automatic searching for key traits faster, we anticipate that this source of information will be more widely used. This will not obviate the need for field studies, as floras cannot provide quantitative information on, for example, leaf economic traits or leaf biochemistry. However, it will facilitate the investigation of morphometric traits that represent other aspects of plant physiology and functioning (Lavorel et al., 2007).
Modulation of traits by climate
Although most of the life forms examined are present throughout the study area, trees, shrubs, forbs and grasses all have their maximum abundance in discrete parts of the climate space. Thus, forbs, and to a lesser extent grasses, show changes in abundance related to aridity with the highest abundance of perennial forbs/grasses occurring in relatively moist areas and the highest abundance of annual forbs/grasses occurring in dry areas. The annual habit allows forbs/grasses to make use of sporadic rainfall events during the growing season (Larcher, 1995) and thus is suited to the driest environments in the summer-dominated rainfall regime of northern China. We have also shown that trees are abundant in moist environments and shrubs reach maximum abundance in drier environments, a pattern that has also been observed in the Mediterranean region (Barboni et al., 2004) and conforms to the general pattern of a reduction in the height of woody plants with increasing aridity. However, there is a second maximum of trees in hot, dry climates reflecting the presence of the C4 tree Haloxylon ammodendron. The C4 photosynthetic pathway, as discussed below, is generally associated with high water-use efficiency and is found in climates characterized by high temperature and marked aridity – environments not typically associated with the growth of trees. However, a limited number of trees exhibiting C4 photosynthesis have been identified in the flora of the Middle East (Winter, 1981) and Hawaii (Pearcy and Troughton, 1975) as well as China (Pyankov et al., 1999), including Haloxylon ammodendron, H. aphyllum, H. persicum (Chenopodiaceae), Euphorbia olowaluana var. gracilis and E. forbesii (Euphorbiaceae). Although most of these species are confined to relatively dry environments, E. forbesii occurs in rainforest sites in Hawaii. This suggests that there may be other factors influencing the distribution of C4 trees. In both the Middle East and China, tolerance of saline soils, extreme temperatures, ability to tap groundwater resources and highly seasonal rainfall have been invoked as potential explanations for the occurrence of C4 trees (Winter, 1981; Pyankov et al., 1999). However, we are not aware of any systematic investigations of the environmental controls on the occurrence of C4 trees and further investigation of this group seems warranted.
Plants using the C4 photosynthetic pathway have higher water-use efficiencies than those with C3 photosynthesis, and CAM plants have higher water-use efficiencies than C4 plants (Polley et al., 1992; Ehleringer and Monson, 1993). Increasing frequency of plants with C4 photosynthesis is generally associated with increasing aridity (e.g. Wentworth, 1983; Archer, 1984) and CAM photosynthesis with extreme aridity (e.g Shreve and Wiggins, 1964). In northern China, trees and shrubs with C4 photosynthesis are indeed confined to dry environments, and C4 perennial grasses also increase in abundance with increasing aridity. However, in annual forbs, C4 photosynthesis occurs across the whole aridity gradient. In the present data set, only perennial forbs (mostly Crassulaceae) exhibit CAM photosynthesis and these are not found in the driest environments as measured in terms either of total rainfall or of plant-available moisture as measured by the aridity index (α). Rather, CAM photosynthesis only occurs in sites with relatively high α (0·25–0·6). In South Africa, it has been shown that C4 plants become more abundant in regions with summer rainfall (Werger and Ellis, 1981). In contrast, it has been suggested that CAM photosynthesis represents an important ecological advantage in arid and semi-arid ecosystems with erratic precipitation (Sayed, 2001). The distribution of CAM photosynthesis in northern China suggests a link to both summer-season and erratic rainfall. More CAM plants occur at sites where >66 % of the annual rainfall falls in summer. Furthermore, 85 % of the sites where CAM plants occur lie in the Inner Mongolia temperate steppe where photosynthesis, respiration and productivity show a significant response to rain pulses (Chen et al., 2009).
The reduction in leaf size with increasing aridity can be explained as a mechanism that reduces overheating of the leaf under a combination of high solar radiation, high ambient temperature and low water availability such that evaporative cooling is restricted (Werger and Ellenbroek, 1978; Westoby et al., 2002). Observations suggest that small-leaved plants are characteristic of hot, dry climates (Skarpe, 1986; Fonseca et al., 2000) as well as cold regions and highlands (e.g. Morecroft and Woodward, 1996; Tang and Ohsawa, 1999). Small-leaved plants in extremely cold (tundra) and dry summer (Mediterranean) climates often exhibit other leaf morphological adaptations to limit water loss, including waxy coatings, curling and/or the presence of leaf hairs (e.g. Jefferson et al., 1989; Barboni et al., 2004). In initial analyses of the present data set a weak correlation was found between leaf size and pubescence. However, there is a stronger correlation between petiole length and aridity. In general, petiole length increases with decreasing aridity, and thus there is a positive correlation between leaf size and petiole length, probably reflecting the need for mechanical strengthening to support large leaves (Niinemets et al., 2006, 2007; Poorter and Rozendaal, 2008). However, within the deciduous broadleaved trees, the opposite relationship was found: petiole length increased with aridity. Increased petiole length, in this case, is probably a mechanical device to promote leaf cooling. However, strong relationships between leaf size and other traits characteristic of sclerophylly are rare and there is generally a wide variation in the degree of sclerophylly associated with specific leaf sizes at the species level (Ackerly and Reich, 1999; Fonseca et al., 2000; Ackerly et al., 2002). This may be because several other characteristics contribute to minimizing the impact of high evaporative demand, including increased rooting depth (e.g. Canadell et al., 1996), the ability to store water in stems or leaves (e.g. Cowling and Campbell, 1980; Sayed, 1998) and facultative or obligate leaf removal (e.g. Mooney and Dunn, 1970).
Although the relationships between climate and the abundance of morphometric traits in non-woody species might be expected to be stronger in more arid climates, the present analyses have shown that the relationships between traits and climate parameters are more strongly expressed in tree and shrub life forms than in non-woody groups. Leaf size variation, for example, is most strongly expressed in trees, shrubs and annual forbs and there are no clear gradients in the other life forms. Forbs and grasses in sites from the wettest end of our climate gradient are understorey components, and could therefore be influenced by below-canopy microclimates (e.g. see Santiago and Wright, 2007). This may explain why forbs and grasses show somewhat weaker relationships between traits and climate than trees and shrubs. In future studies, it would be useful to differentiate canopy and understorey species in trait–climate analyses.
Modulation of trait–climate relationships by PFT
Previous studies have indicated that the response of individual morphometric traits to climate can be different between PFTs (e.g. see Barboni et al., 2004). Reich and Oleksyn (2004) have also shown that the relationship between annual mean temperature and leaf economic traits, specifically the leaf nitrogen/phosphorus (N:P) ratio, differs between evergreen and deciduous trees. The present study shows that whereas leaf size shows similar relationships between different PFTs, petiole length displays different relationships with climate according to PFT. This finding supports the idea that different PFTs respond to environmental conditions through different combinations of traits (Reich et al., 1999, 2001, 2003; He et al., 2006).
Comparison with previous flora-based studies
Most analyses of the relationships between traits and environmental parameters, including climate, have been based on field observations or meta-analyses of field studies. An alternative approach, first used by Barboni et al. (2004), of using trait information derived from floras was adopted here. As in the present study, Barboni et al. (2004) studied trait–climate relationships along aridity gradients but in a winter-wet/summer-dry climate. There are important differences in the methodologies employed here and by Barboni et al. (2004). Barboni et al. (2004) used modern pollen samples as a means of identifying the spatial distribution of plant taxa rather than species lists from field surveys as in this study. Pollen is frequently only identifiable to genus level (or even family level) and thus the use of pollen data involves a loss of taxonomic resolution. On the other hand, Barboni et al. (2004) were able to use pollen abundance as a measure of the abundance of taxa at each site, and hence the relative importance of individual traits. In this study, we have been able to identify plants to species level but we only have presence/absence information not abundance. Despite these differences in methodology, some traits emerge as diagnostic of climate gradients in the two studies, including life form, leaf type, phenology, photosynthetic pathway and leaf size. Life form plays a role in determining the relationship between certain plant traits and climate in both studies.
Although similar traits were identified as having diagnostic value for climate gradients, the relationships identified in northern China are different from those identified in the Mediterranean region by Barboni et al. (2004). There is agreement that shrubs occur in relatively dry environments but, in contrast to the situation in the Mediterranean, trees do not increase in abundance as aridity decreases in northern China; rather, C4 trees are replaced by C3 trees as aridity decreases. Evergreen broad-leaved shrub species occur in dry regions with warm winters in the Mediterranean but in relatively wet regions with cold summers in northern China. These findings emphasize the need to understand trait gradients not simply as a function of plant-water availability expressed in terms of mean annual state but to take seasonality into account.
Conclusions
Ecologically interpretable trends in the expression of plant traits along climate gradients in northern China have been demonstrated using presence/absence species data from quadrat records and flora/literature-based trait assignments. Life form, leaf size, photosynthetic pathway, petiole length, leaf type and leaf phenology appear to reflect climate gradients in northern China, as do individual leaf traits such as leaf size. Nevertheless, and in common with other studies, many leaf-level traits show different trends in the gradient of abundance with respect to climate, depending on life form. This finding confirms the idea that plant life form is central to the definition of a functional hierarchy of plant traits (e.g. see Lavorel et al., 1997). In general, the success of these analyses opens the possibility of using flora-based trait analyses, which considerably widens the scope of such analyses and makes it possible to contemplate global-scale analyses of climate–trait relationships.
SUPPLEMENTARY DATA
Supplementary data are available online at www.aob.oxfordjournals.org and consist of the following. Table S1: quadrat survey methods for sites from which species lists were originally derived. Table S2: assignment of composite traits to identified species in analyses.
ACKNOWLEDGEMENTS
We thank the many scientists who provided original quadrat data, especially Chi Yang from Inner Mongolia University, Xinrong Li from Cold and Arid Regions Environmental and Engineering Research Institute, Chinese Academy of Sciences (CAS), Haijiang Liu and Minghua Song from Institute of Geographical Sciences and Natural Resources Research, CAS, and Guohong Wang, Haibao Ren, Ke Guo, Linghao Li, Meizhen Liu, Yongfei Bai, Yonggeng Li, Yu Chu and Zhengwen Wang from Institute of Botany, CAS. We thank Colin Prentice for comments on an earlier version of the manuscript. This work was supported by the National Natural Science Foundation of China (30590383). The manuscript was completed while T.-T.M. was a visiting scholar at the University of Bristol, supported by the Chinese Scholarship Council.
LITERATURE CITED
- Ackerly DD, Reich PB. Convergence and correlations among leaf size and function in seed plants: a comparative test using independent contrasts. American Journal of Botany. 1999;86:1272–1281. [PubMed] [Google Scholar]
- Ackerly DD, Knight CA, Weiss SB, Barton K, Starmer KP. Leaf size, specific leaf area and microhabitat distribution of chaparral woody plants: contrasting patterns in species level and community level analyses. Oecologia. 2002;130:449–457. doi: 10.1007/s004420100805. [DOI] [PubMed] [Google Scholar]
- Adler PB, Milchunas DG, Lauenroth WK, Sala OE, Burke IC. Functional traits of graminoids in semi-arid steppes: a test of grazing histories. Journal of Applied Ecology. 2004;41:653–663. [Google Scholar]
- Archer S. The distribution of photosynthetic pathway types on a mixed-grass prairie hillside. American Midland Naturalist. 1984;111:138–142. [Google Scholar]
- Barboni D, Harrison SP, Bartlein PJ, et al. Relationships between plant traits and climate in the Mediterranean region: a pollen data analysis. Journal of Vegetation Science. 2004;15:635–646. [Google Scholar]
- ter Braak CJF. The analysis of vegetation environment relationships by canonical correspondence analysis. Vegetatio. 1987;69:69–77. [Google Scholar]
- ter Braak CJF, Prentice IC. A theory of gradient analysis. Advances in Ecological Research. 1988;18:271–317. [Google Scholar]
- Canadell J, Jackson RB, Ehleringer JR, Mooney HA, Sala OE, Schulze ED. Maximum rooting depth for vegetation types at the global scale. Oecologia. 1996;108:583–595. doi: 10.1007/BF00329030. [DOI] [PubMed] [Google Scholar]
- Chen SP, Lin GH, Huang JH, Jenerette GD. Global Change Biology. 2009. Dependence of carbon sequestration on the differential responses of ecosystem photosynthesis and respiration to rain pulses in a semiarid steppe. (in press) doi:10.1111/j.1365-2486.2009.01879.x. [Google Scholar]
- Cornelissen JHC, Lavorel S, Garnier E, et al. A handbook of protocols for standardised and easy measurement of plant functional traits worldwide. Australian Journal of Botany. 2003;51:335–380. [Google Scholar]
- Cowling RM, Campbell BM. Convergence in vegetation structure in the Mediterranean communities of California, Chile and South Africa. Vegetatio. 1980;43:191–197. [Google Scholar]
- Defries RS, Hansen MC, Townshend JRG, Janetos AC, Loveland TR. A new global 1-km dataset of percentage tree cover derived from remote sensing. Global Change Biology. 2000;6:247–254. [Google Scholar]
- Díaz S, Cabido M. Plant functional types and ecosystem function in relation to global change. Journal of Vegetation Science. 1997;8:463–474. [Google Scholar]
- Díaz S, Cabido M, Casanoves F. Plant functional traits and environmental filters at a regional scale. Journal of Vegetation Science. 1998;9:113–122. [Google Scholar]
- Díaz S, Noy-Meir I, Cabido M. Can grazing response of herbaceous plants be predicted from simple vegetative traits? Journal of Applied Ecology. 2001;38:497–508. [Google Scholar]
- Editorial Board of Flora Intramongolica. 1989–1998. Flora Intramongolica. 2nd edn. Hohhot: Typis Intramongolicae Popularis; [Google Scholar]
- Editorial Board of Flora Qinghaiica. 1996–1999. Flora Qinghaiica. Xining: Qinghai People's Publishing House; [Google Scholar]
- Editorial Board of Flora Xinjiangensis. 1993–1999. Flora Xinjiangensis. Urumqi: Xinjiang Science and Technology and Hygiene Publishing House; [Google Scholar]
- Editorial Committee of Flora of China (ECFC). 1959–2004. Flora of China (Chinese Edition) Beijing: Science Press; [Google Scholar]
- Ehleringer JR, Monson RK. Evolutionary and ecological aspects of photosynthetic pathway variation. Annual Review of Ecology and Systematics. 1993;24:411–439. [Google Scholar]
- Farr TG, Rosen PA, Caro E, et al. The shuttle radar topography mission. Reviews of Geophysics. 2007;45 Art. No. RG2004, doi:10.1029/2005RG000183. [Google Scholar]
- Fonseca CR, Overton JM, Collins B, Westoby M. Shifts in trait-combinations along rainfall and phosphorus gradients. Journal of Ecology. 2000;88:964–977. [Google Scholar]
- Garnier E, Cortez J, Billes G, et al. Plant functional markers capture ecosystem properties during secondary succession. Ecology. 2004;85:2630–2637. [Google Scholar]
- Goldberg DE, Landa K. Competitive effect and response – hierarchies and correlated traits in the early stages of competition. Journal of Ecology. 1991;79:1013–1030. [Google Scholar]
- Haxeltine A, Prentice IC. BIOME3: an equilibrium terrestrial biosphere model based on ecophysiological constraints, resource availability, and competition among plant functional types. Global Biogeochemical Cycles. 1996;10:693–709. [Google Scholar]
- He JS, Fang JY, Wang ZH, Guo DL, Flynn DFB, Geng Z. Stoichiometry and large-scale patterns of leaf carbon and nitrogen in the grassland biomes of China. Oecologia. 2006;149:115–122. doi: 10.1007/s00442-006-0425-0. [DOI] [PubMed] [Google Scholar]
- Hutchinson MF. ANUSPLIN Version 4.36 User Guide. Canberra: The Australian National University; 2006. Centre for Resource and Environmental Studies. [Google Scholar]
- IAECAS (Institute of Applied Ecology, Chinese Academy of Sciences) Herbarium of Northeast China (IFP) 2002. http://www.sybbg.com .
- IBCAS (Institute of Botany, Chinese Academy of Sciences) Iconographia Cormophytorum Sinicorum. Beijing: Science Press; 1987. [Google Scholar]
- Jarvis PG, McNaughton KG. Stomatal control of transpiration: scaling up from leaf to region. Advances in Ecological Research. 1986;15:1–49. [Google Scholar]
- Jefferson PG, Johnson DA, Asay KH. Epicuticular wax production, water status and leaf temperature in Triticeae range grasses of contrasting visible glaucousness. Canadian Journal of Plant Science. 1989;69:513–519. [Google Scholar]
- Johnson JB, Omland KS. Model selection in ecology and evolution. Trends in Ecology and Evolution. 2004;19:101–108. doi: 10.1016/j.tree.2003.10.013. [DOI] [PubMed] [Google Scholar]
- Keddy PA. Assembly and response rules: two goals for predictive community ecology. Journal of Vegetation Science. 1992;3:157–164. [Google Scholar]
- Larcher W. Physiological plant ecology. 3rd edn. Berlin: Springer; 1995. [Google Scholar]
- Lavorel S, McIntyre S, Landsberg J, Forbes TDA. Plant functional classifications: from general groups to specific groups based on response to disturbance. Trends in Ecology & Evolution. 1997;12:474–478. doi: 10.1016/s0169-5347(97)01219-6. [DOI] [PubMed] [Google Scholar]
- Lavorel S, Díaz S, Cornelissen JHC, et al. Plant functional types: are we getting any closer to the Holy Grail? In: Canadell J, Pitelka LF, Pataki D, editors. Terrestrial ecosystems in a changing world. Berlin: Springer-Verlag; 2007. pp. 149–164. [Google Scholar]
- Legendre P. Spatial autocorrelation: trouble or new paradigm? Ecology. 1993;74:1659–1673. [Google Scholar]
- Liu XQ, Wang RZ, Li YZ. Photosynthetic pathway types in rangeland plant species from Inner Mongolia, North China. Photosynthetica. 2004;42:339–344. [Google Scholar]
- Luo TX, Luo J, Pan YD. Leaf traits and associated ecosystem characteristics across subtropical and timberline forests in the Gongga Mountains, Eastern Tibetan Plateau. Oecologia. 2005;142:261–273. doi: 10.1007/s00442-004-1729-6. [DOI] [PubMed] [Google Scholar]
- McIntyre S, Lavorel S, Landsberg J, Forbes TDA. Disturbance response in vegetation towards a global perspective on functional traits. Journal of Vegetation Science. 1999;10:621–630. [Google Scholar]
- Moles AT, Ackerly DD, Tweddle JC, et al. Global patterns in seed size. Global Ecology and Biogeography. 2007;16:109–116. [Google Scholar]
- Mooney HA, Dunn EL. Convergent evolution of mediterranean-climate evergreen sclerophyll shrubs. Evolution. 1970;24:292–303. doi: 10.1111/j.1558-5646.1970.tb01762.x. [DOI] [PubMed] [Google Scholar]
- Morecroft MD, Woodward FI. Experiments on the causes of altitudinal differences in the leaf nutrient contents, size and δ13C of Alchemilla alpina. New Phytologist. 1996;134:471–479. [Google Scholar]
- Niinemets Ü. Global-scale climatic controls of leaf dry mass per area, density, and thickness in trees and shrubs. Ecology. 2001;82:453–469. [Google Scholar]
- Niinemets Ü, Portsmuth A, Tobias M. Leaf size modifies support biomass distribution among stems, petioles and mid-ribs in temperate plants. New Phytologist. 2006;171:91–104. doi: 10.1111/j.1469-8137.2006.01741.x. [DOI] [PubMed] [Google Scholar]
- Niinemets Ü, Portsmuth A, Tena D, et al. Do we underestimate the importance of leaf size in plant economics? Disproportional scaling of support costs within the spectrum of leaf physiognomy. Annals of Botany. 2007;100:283–303. doi: 10.1093/aob/mcm107. [DOI] [PMC free article] [PubMed] [Google Scholar]
- Pausas JG, Bradstock RA, Keith DA, Keeley JE. Plant functional traits in relation to fire in crown-fire ecosystems. Ecology. 2004;85:1085–1100. [Google Scholar]
- Pearcy RW, Troughton J. C4 photosynthesis in tree form Euphorbia species from Hawaiian rainforest sites. Plant Physiology. 1975;55:1054–1056. doi: 10.1104/pp.55.6.1054. [DOI] [PMC free article] [PubMed] [Google Scholar]
- Polley HW, Johnson HB, Mayeux HS. Carbon dioxide and water fluxes of C3 annuals and C3 and C4 perennials at subambient CO2 Concentrations. Functional Ecology. 1992;6:693–703. [Google Scholar]
- Poorter L, Rozendaal D. Leaf size and leaf display of thirty-eight tropical tree species. Oecologia. 2008;158:35–46. doi: 10.1007/s00442-008-1131-x. [DOI] [PubMed] [Google Scholar]
- Priestley CHB, Taylor RJ. On the assessment of surface heat flux and evaporation using large-scale parameters. Monthly Weather Review. 1972;100:81–92. [Google Scholar]
- Prentice IC, Jolly D. Mid-Holocene and glacial-maximum vegetation geography of the northern continents and Africa. Journal of Biogeography. 2000;27:507–519. [Google Scholar]
- Prentice IC, Cramer W, Harrison SP, Leemans R, Monserud RA, Solomon AM. A global biome model based on plant physiology and dominance, soil properties and climate. Journal of Biogeography. 1992;19:117–134. [Google Scholar]
- Prentice IC, Bondeau A, Cramer W, et al. Dynamic vegetation modelling: quantifying terrestrial ecosystem responses to large-scale environmental change. In: Canadell J, Pitelka LF, Pataki D, editors. Terrestrial ecosystems in a changing world. Berlin: Springer-Verlag; 2007. pp. 175–192. [Google Scholar]
- Pyankov VI, Black CC, Artyusheva EG, Voznesenskaya EV, Ku MSB, Edwards GE. Features of photosynthesis in Haloxylon species of Chenopodiaceae that are dominant plants in Central Asian deserts. Plant Cell Physiology. 1999;40:125–134. [Google Scholar]
- R Development Core Team. R: A language and environment for statistical computing. Vienna: R Foundation for Statistical Computing; 2008. http://www.R-project.org . [Google Scholar]
- Reich PB, Oleksyn J. Global patterns of plant leaf N and P in relation to temperature and latitude. Proceedings of the National Academy of Sciences of the United States of America. 2004;101:11001–11006. doi: 10.1073/pnas.0403588101. [DOI] [PMC free article] [PubMed] [Google Scholar]
- Reich PB, Walters MB, Ellsworth DS. Leaf life-span in relation to leaf, plant, and stand characteristics among diverse ecosystems. Ecological Monographs. 1992;62:365–392. [Google Scholar]
- Reich PB, Ellsworth DS, Walters MB, et al. Generality of leaf trait relationships: a test across six biomes. Ecology. 1999;80:1955–1969. [Google Scholar]
- Reich PB, Tilman D, Craine J, et al. Do species and functional groups differ in acquisition and use of C, N and water under varying atmospheric CO2 and N availability regimes? A field test with 16 grassland species. New Phytologist. 2001;150:435–448. [Google Scholar]
- Reich PB, Buschena C, Tjoelker MG, et al. Variation in growth rate and ecophysiology among 34 grassland and savanna species under contrasting N supply: a test of functional group differences. New Phytologist. 2003;157:617–631. doi: 10.1046/j.1469-8137.2003.00703.x. [DOI] [PubMed] [Google Scholar]
- Santiago LS, Wright SJ. Leaf functional traits of tropical forest plants in relation to growth form. Functional Ecology. 2007;21:19–27. [Google Scholar]
- Sayed OH. Phenomorphology and ecophysiology of desert succulents in eastern Arabia. Journal of Arid Environments. 1998;40:177–189. [Google Scholar]
- Sayed OH. Crassulacean acid metabolism 1975–2000, a check list. Photosynthetica. 2001;39:339–352. [Google Scholar]
- Schulze E-D, Mooney HA. Biodiversity and ecosystem function. Berlin: Springer-Verlag; 1993. [Google Scholar]
- Shaw PJA. Multivariate statistics for the environmental sciences. London: Hodder-Arnold; 2003. [Google Scholar]
- Shreve F, Wiggins IL. Vegetation and flora of the Sonoran Desert. Stanford, CA: Stanford University Press; 1964. [Google Scholar]
- Skarpe C. Plant community structure in relation to grazing and environmental changes along a south-north transect in western Kalahari. Vegetatio. 1986;68:3–18. [Google Scholar]
- Swenson NG, Enquist BJ. Ecological and evolutionary determinants of a key plant functional trait: wood density and its community-wide variation across latitude and elevation. American Journal of Botany. 2007;94:451–459. doi: 10.3732/ajb.94.3.451. [DOI] [PubMed] [Google Scholar]
- Tang CQ, Ohsawa M. Altitudinal distribution of evergreen broad-leaved trees and their leaf-size pattern on a humid subtropical mountain, Mt. Emei, Sichuan, China. Plant Ecology. 1999;145:221–233. [Google Scholar]
- Watson L, Dallwitz MJ onwards. The families of flowering plants: descriptions, illustrations, identification and information retrieval. 1992. http://www.biologie.unihamburg.de/b-online/delta/angio/index.htm .
- Wang GH. The western Ordos plateau as a biodiversity center of relic shrubs in arid areas of China. Biodiversity and Conservation. 2005;14:3187–3200. [Google Scholar]
- Wang GH. Leaf trait co-variation, response and effect in a chronosequence. Journal of Vegetation Science. 2007;18:563–570. [Google Scholar]
- Wang GH, Ni J. Plant traits and environmental condition along the Northeast China Transect (NECT) Ekologia-Bratislava. 2005;a 24:207–222. [Google Scholar]
- Wang GH, Ni J. Responses of plant functional types to an environment gradient on the Northeast China Transect. Ecology Research. 2005;b 20:563–572. [Google Scholar]
- Wang GH, Zhou GS, Yang LM, Li ZQ. Distribution, species diversity and life-form spectra of plant communities along an altitudinal gradient in the northern slopes of Qilianshan Mountains, Gansu, China. Plant Ecology. 2003;165:169–181. [Google Scholar]
- Wang RZ. Photosynthetic pathways and life forms in different grassland types from North China. Photosynthetica. 2002;40:243–250. [Google Scholar]
- Wang RZ. Photosynthetic pathway and morphological functional types in the steppe vegetation from Inner Mongolia, North China. Photosynthetica. 2003;41:143–150. [Google Scholar]
- Wang RZ. C4 species and their response to large-scale longitudinal variables along the Northeast China Transect (NECT) Photosynthetica. 2004;a 42:71–79. [Google Scholar]
- Wang RZ. Photosynthetic pathways and life form types for native plant species from Hulunbeier Rangelands, Inner Mongolia, North China. Photosynthetica. 2004;b 42:219–227. [Google Scholar]
- Wang T, Liang Y, Ren HB, Yu D, Ni J, Ma KP. Age structure of Picea schrenkiana forest along an altitudinal gradient in the central Tianshan Mountains, northwestern China. Forest Ecology and Management. 2004;196:267–274. [Google Scholar]
- Wentworth TR. Distribution of C4 plants along environmental and compositional gradients in southeastern Arizona. Vegetatio. 1983;52:21–34. [Google Scholar]
- Werger MJA, Ellenbroek GA. Leaf size and leaf consistence of a riverine forest formation along a climatic gradient. Oecologia. 1978;34:297–308. doi: 10.1007/BF00344908. [DOI] [PubMed] [Google Scholar]
- Werger MJA, Ellis RP. Photosynthetic pathway in the arid regions of South Africa. Flora. 1981;171:64–75. [Google Scholar]
- Westoby M, Falster DS, Moles AT, Vesk PA, Wright IJ. Plant ecological strategies: some leading dimensions of variation between species. Annual Review of Ecology and Systematics. 2002;33:125–159. [Google Scholar]
- Winter K. C4 plants of high biomass in arid regions of Asia-occurrence of C4 photosynthetsis in Chenopodiaceae and Polygonaceae from the Middle East and USSR. Oecologia. 1981;48:100–106. doi: 10.1007/BF00346994. [DOI] [PubMed] [Google Scholar]
- Woodward FI, Cramer W. Plant functional types and climatic change: introduction. Journal of Vegetation Science. 1996;7:306–308. [Google Scholar]
- Wright IJ, Westoby M. Leaves at low versus high rainfall: coordination of structure, lifespan and physiology. New Phytologist. 2002;155:403–416. doi: 10.1046/j.1469-8137.2002.00479.x. [DOI] [PubMed] [Google Scholar]
- Wright IJ, Reich PB, Westoby M, et al. The worldwide leaf economics spectrum. Nature. 2004;428:821–827. doi: 10.1038/nature02403. [DOI] [PubMed] [Google Scholar]
- Wright IJ, Reich PB, Cornelissen JHC, et al. Modulation of leaf economic traits and trait relationships by climate. Global Ecology and Biogeography. 2005;14:411–421. [Google Scholar]
- Xiong Y, Li QK. Soil of China. 2nd edn. Beijing: Science Press; 1987. [Google Scholar]
- Yin LJ, Li MR. A study on the geographical distribution and ecology of C4 plants in China: C4 plants distribution in climatic conditions. Acta Ecologica Sinica. 1997;17:350–363. (in Chinese with English abstract) [Google Scholar]
- Yin LJ, Wang P. Distribution of C3 and C4 photosynthetic pathways of plants on the steppe of Northeastern China. Acta Ecologica Sinica. 1997;17:113–123. (in Chinese with English abstract) [Google Scholar]
Associated Data
This section collects any data citations, data availability statements, or supplementary materials included in this article.








