Abstract
Totally 25 marine soil samples were collected from the region of Palk Strait of Bay of Bengal, Tamil Nadu, and were subjected to the isolation of actinomycetes. Sixty-eight morphologically distinct isolates were obtained and 37% (25) of them had antimicrobial activity. The potential producer was named as Streptomyces sp. VPTS3-1 and the phylogenetic evaluation on the basis of 16S rDNA sequence further categorized the organism as Streptomyces afghaniensis VPTS3-1. Further, the antimicrobial compound was extracted from the isolate using various solvents and the antimicrobial efficacies were tested against bacterial and fungal pathogens. In addition, in vitro optimization of parameters for the antimicrobial compound production revealed that the suitable pH as 7–8, the period of incubation as 9 days, temperature (30°C), salinity (2%), and starch and KNO3 as the suitable carbon and nitrogen sources respectively in starch–casein medium.
Keywords: Marine soils, Streptomyces afghaniensis VPTS3-1, Antimicrobial activity, Optimization
Introduction
Actinomycetes are well known for their economic importance as they produce biologically active substances such as antibiotics, vitamins and enzymes [1]. Actinomycetes form the source of three-fourth of all the known products, of which, Streptomyces spp. are promising candidates. There are 23,000 known secondary metabolites and around 80% of which are produced by streptomycetes [2]. A variety of pathways are associated with secondary metabolites generated by streptomycetes, including antimicrobial, antitumor and enzyme inhibitors [3]. In spite of the availability of new antimicrobial products, the frequent spread to epidemic diseases, incessant emergence of drug resistant pathogens, and the magnitude at which these pathogens transmitted among people necessitate continuous production of effective antibiotics. In this context, the actinomycetes of the marine ecosystems are viewed as a rich source of microorganisms capable of producing useful antimicrobial compounds [4] and compared to terrestrial species, marine actinomycetes are important sources of novel antibiotics [5]. Therefore, the marine actinomycetes are often screened for the production of novel metabolites and numerous metabolites have been isolated during the past decade. However, such screening protocols are still at their infantile and marine actinomycetes could still be exploited for production of novel antimicrobial compounds.
Complete knowledge of optimal conditions required for maximum fermentation activity leading to antimicrobial metabolite production by actinomycetes is required so as to standardize the different physical and physiological factors influencing the production of metabolites with antibiotic properties with particular reference to the strain used [6]. The present article deals with isolation of actinomycete strains from the marine soil samples collected from Palk Strait, East Coast of India and characterization of potent strains capable of synthesizing novel antimicrobial compounds, determination of the superior strain at species level and optimization of conditions required for the production of antimicrobial compound.
Materials and Methods
Isolation of Actinomycetes
Totally 25 marine soil samples were collected from the region of Palk Strait (Lat. 10°22′N and Long. 79°51′E), East Coast of India, and each sample was serially diluted up to 10−6. About 0.1 ml of the aliquot was spread over the starch–casein agar (SCA) plates and incubated at 28 ± 2°C for 7–10 days. The colonies of actinomycetes developed over the medium were purified and maintained in SCA medium.
Screening of Actinomycete Strains for the Production of Antimicrobial Compounds
Antimicrobial activity of the actinomycetes was screened by conventional cross-streak method [7]. In this, single streak of the actinomycetes was made on modified nutrient agar medium (g/l: yeast-extract 3; NaCl 5; peptone 5; glucose 5; agar 15; pH 7.1) and incubated at 28 ± 2°C for 4 days. After observing a good ribbon like growth of the actinomycetes, the human pathogens namely Bacillus subtilis (MTCC: 121),Escherichia coli (MTCC: 43) and Candida albicans (MTCC: 183), which were obtained from Microbial Type Culture Collection, Institute of Microbial Technology (IMTECH), Chandigarh, were streaked at right angles to the original streak of actinomycetes, and incubated at 37°C for bacteria and 27°C for yeast. The inhibition zone was measured after 24–48 h. Based on the inhibition zone, the antimicrobial compound producing actinomycetes were selected.
Extraction of Antimicrobial Compound Production
The broad spectrum of antimicrobial activity of selected strains was tested against five different human pathogenic bacteria namely B. subtilis; E. coli; Klebsiella pneumoniae (MTCC: 39); Proteus mirabilis (MTCC: 425); and Proteus vulgaris (MTCC: 426)] and one yeast namely C. albicans. The selected isolates were inoculated into SC broth, and shaken at 28 ± 2°C and 250 rpm for 7–10 days. After incubation, the staling substances were filtered through filter paper (Whatman No. 1) and through Seitz filter (G5). The filtrate was transferred aseptically into the conical flasks and an equal volume of five different solvents (alcohol, chloroform, distilled water, ethyl-acetate and methanol) was separately added to the cell-free culture filtrates and shaken for 2 h and the extracted filtrates were tested for their antimicrobial activity by using well-diffusion method [8]. The test bacteria and yeast were spread over Muller Hinton agar and Sabouraud’s dextrose agar medium respectively. Wells (6 mm) were made using sterile cork borer, and then 25 μl of the extract was added separately into each well and incubated as previously mentioned. The diameter of the inhibitory zone around the wells was measured. Each test was repeated three times and the antimicrobial activity was expressed as the mean of diameter of the inhibition zones (mm) produced by the secondary metabolite.
The active solvent extracts were combined and evaporated to dryness under reduced pressure. The crude extracts were dissolved in a small amount of methanol, then filtrated and precipitated with acetone–ether (10:1 v/v). The precipitate was left to stand for 24 h at 5–10°C, filtered and washed with acetone and ether. Five gram of crude powder was obtained from 5 l of culture broth. A methanolic solution of the powder (1.0 g) was chromatographed on silica gel 60 (70–325 mesh) columns. The compound was eluted with the lower phase of a mixture of chloroform/methanol/water (175:100:50). The active eluates were combined and evaporated in vacuum to dryness. A methanolic solution was precipitated with acetone–ether (10:1 v/v) and filtered to give 200 mg of the compound.
Purification of the Antimicrobial Compound
The obtained antimicrobial compound was purified by silica gel column chromatography. Two gram of crude powder was dissolved in 10 ml of ethyl acetate. The solution was passed through a silica gel column in benzene. The active fractions were pooled and subsequently subjected to analytical thin layer chromatography. About 200 g of silica gel was stirred into 500 ml of distilled water. The mixture was shaken mechanically for 0.5 h and then left to stand. Fifty ml of mixed slurry was used to coat the five 20 × 30 cm glass plates. The coated plates were left to stand until the slurry set. The coated plates were then oven dried. Using a capillary tube a row of spots of the sample was applied along a line, 1.5 cm above from the bottom of TLC plate. The spots were left to dry. The TLC plate was placed vertically in a trough containing the solvents (n-butanol–ethylacetate–water (9:9:1). When the solvents moved up to 80% of TLC, the plate was taken out and dried, then sprayed with ninhydrin [8].
Characteristics of Active Compound
The solubility, melting point, thermo stability and pH stability of the antimicrobial compound was analyzed and characterized by the standard methods of Harindran et al. [9]. The ultra violet spectral measurement of the pure compound was made 200–400 nm by using Shimadzu (UV1601) instrument, ethanol was used as a solvent. The FT-Infra Red spectrum of antimicrobial compound was analyzed by the methods of Fukuda et al. [10]. IR spectrum was recorded on a Bruker FT-IR instrument equipped with AT-XT Golden gate accessories. The mass spectrum was recorded using Finnigan MAT 8230 Mass spectrometer under the current (MA) 100 and the temperature at 90°C. 1H NMR spectra were analysed by Ivanova and Schlegel [11] method and measured in CDCI3 on a JEOL GSX-400 NMR spectrophotometer at 400 MHZ for 1H.
Characterization of Potential Producer
Microscopy
The SCA grown active strain was observed for the aerial and substrate mycelia and arrangement of spores on mycelia by slide culture technique [12]. Actinomycetes were grown for 5–10 days in cultivation broth shaken at 250 rpm at 28 ± 2°C. Cells were then fixed by adding formalin (3.7%) and were washed three times with two volumes deionized water. Resuspended cells were spotted on a glass slide, flash frozen in a bath of 2-methylbutane in liquid nitrogen, freeze-dried and sputter coated with gold–palladium under vacuum. Sample was visualized under scanning electron microscope [13].
Cultural Characteristics
Cultural characteristics of the strain was determined after incubation for 10–15 days at 28 ± 2°C on culture media as recommended by the International Streptomyces Project (ISP) [14] media such as yeast-extract malt-extract agar (ISP 2), inorganic salt starch agar (ISP 4), glycerol–asparagine agar (ISP 5), peptone–yeast extract iron agar (ISP 6), tyrosine agar (ISP 7), asparagine–mannitol agar, Kenknight agar, nutrient agar, starch–nitrate agar, SCA and potato–dextrose agar. After incubation, growth, color of the spore mass, reverse side colour and diffusible pigment production were observed.
Chemotaxonomy
Isomers of diaminopimelic acid (DAP) in whole-cell hydrolysates and characteristics sugars of actinomycete were determined following the standard methods of Lechevalier and Lechevalier [15].
Molecular Characterization of the Producer Organism
Genomic DNA of highly active isolate was extracted by the methods as described earlier [16]. Both universal and genus specific primers were used for the amplification of DNA through 35 cycles [17] in Eppendrof PCR Thermal cycler. Ten μl of PCR products with 2 μl of loading dye was mixed and loaded on a 1.2% agarose gel and was analyzed. The PCR products (16S ribosomal RNA gene) were purified using Microcon PCR centrifugal filter device and sequenced (Applied Biosystems). Comparison of 16S ribosomal RNA gene sequence of the actinomycete isolates and other bacterial sequences was done using NCBI BLASTn, and the 16S rDNA sequences of actinomycete, was deposited in NCBI, EMBL and DDBJ, and the sequences accession number was obtained. The reference sequences required for comparison were down loaded from the EMBL database using the site http://www.ncbi.nlm.nih.gov/genebank. All the sequences were aligned using the multiple sequence alignment program CLUSTAL W [18]. The aligned sequences were then checked for gaps manually and arranged in a block of 250 bp in each row and saved as a format in software MEGA v 2.1. The pair wise evolutionary distances were computed using the Kimura2-parameter model [19]. To obtain the confidence values the original data set was re-sampled 1,000 times using Boot strap program of PHYLOGENY and subjected to ‘bootstrap analysis’. The bootstrapped data set was used directly for constructing the phylogenetic tree by using the MEGA program. The multiple distance matrix obtained was then used to construct phylogenetic trees using Neighbour-Joining method of Saitou and Nei [20].
Optimization of Antimicrobial Compound Production: Effect of Media
Eight different media namely, asparagines–mannitol medium, ISP medium 2, ISP medium 4, ISP medium 5, Kenknight medium, nutrient medium, starch–nitrate medium and SC medium were inoculated with culture in conical flasks and incubated at shaker for 7 days. After incubation, ethyl-acetate extract was prepared and evaluated for antimicrobial effects by well-diffusion method against previously mentioned test pathogens.
Effect of Incubation Periods
The SC broth was inoculated with actinomycetes and incubated for 15 days. After every 3 days, the extracts were tested for antimicrobial activities by well-diffusion method against test pathogens.
Effect of Temperature
The particular strain of the actinomycete was inoculated into SC broth and incubated at different temperatures viz. 5, 10, 20, 30, 40 and 50°C for 7 days. After incubation, the extracts were analyzed for antimicrobial activity by well diffusion method.
Effect of pH
The pH of the SC broth was adjusted to 5, 6, 7, 8 and 9 with 0.1 N NaOH/0.1 N HCL. All the flasks were inoculated with the strain of the actinomycete culture and incubated at 28 ± 2°C for 7 days. The antimicrobial activity of the extract was evaluated.
Effect of Salinity
SC broth was prepared with different salinity concentrations (1, 2, 4, 8, 16 and 32%) by adding NaCl. The strain of actinomycete was inoculated and incubated at 28 ± 2°C for 7 days. The antimicrobial activity of the extract was tested.
Effect of Carbon Sources
Effect of different carbon sources namely, dextrose, glucose, maltose, mannitol, starch and sucrose (10 g/l) on SC medium was tested for maximum antimicrobial compound production by actinomycete.
Effect of Nitrogen Sources
Effect of different nitrogen sources namely, alanine, glycine, phenylalanine, tyrosine and KNO3 (2 g/l) on SC medium was assessed for the maximum antimicrobial compound production.
Determination of Minimum Inhibitory Concentration (MIC)
The minimum inhibitory concentrations (MIC) of antimicrobial compound of actinomycete was determined against all the six test pathogens by well diffusion method. The antimicrobial compound was dissolved in DMSO in the concentration of 50 μg/ml, mixed thoroughly before testing for antimicrobial activity. Four different (volume) concentrations viz. 5, 10, 15 and 20 μl were used to evaluate the efficiency of antimicrobial activity against all the pathogens tested. After incubation, MIC was defined as the lowest concentration that produced maximum zone of inhibition against test pathogens [21].
Results and Discussion
In the present study, a total of 68 isolates of actinomycetes were isolated from the marine soils of Palk Strait Coast, Tamil Nadu. It was found that 25 (37%) isolates among 68 isolates showed antimicrobial activity. They also showed variations in relations to different strains and test organisms. It was also found that the isolate VPTS3-1 showed comparatively more antimicrobial activity than other actinomycetes. Interestingly, the strain VPTS3-1 showed more antifungal activity against C. albicans than antibacterial activity. Morphological characteristics such as ash colored aerial spore mass and blackish reverse side colour were recorded (Table 1). On the basis of the aerial and substrate mycelia, development of spiral spore chains and smooth spore surface of the strain, they are placed under the genus Streptomyces. Chemotaxonomic studies of the strain showed that the presence of LL-diaminopimelic acid (DAP) and the absence of characteristic sugars in their cell convincingly categorized the cell wall of this strain belonged to the cell wall type-I. The strain VPTS3-1 developed various colours of aerial mycelium and the reverse side of the media became yellow to white in most of the media tested (Table 2). In this study, the 16S rDNA sequence of the Streptomyces sp. VPTS3-1 was processed (GC content 57%) and deposited (accession number: DQ845201) in the Genbanks namely NCBI/EMBL/DDBJ. The phylogenetic analyses revealed that the 691 bp sequence of the isolate was closely similar (98.5%) to that of the existing species of Streptomyces afghaniensis AJ399483. Thus, on the basis of 16S rDNA sequence and phylogenetic relatedness, the potential producer has been named as S. afghaniensis (VPTS3-1).
Table 1.
Phenotype properties of S. afghaniensis VPTS3-1
| Morphological characteristics | |
|---|---|
| (i) Sporophore morphology | Spiral |
| (ii) Spore surface | Smooth |
| Colour of aerial mycelium | Ash |
| Colour of substrate mycelium | Black |
| Spore mass | Ash |
| Gram’s staining | Gram-positive |
| Acid-fast staining | Non-acid fast |
| Chemotaxonomic properties | |
|---|---|
| Characteristic sugars | Absent |
| Cell-wall amino acids | Di-aminopimelic acid |
Table 2.
Cultural characteristics of S. afghaniensis VPTS3-1 on different culture media
| Name of the media | Growth | Sporulation | Colony colour | |
|---|---|---|---|---|
| Aerial mycelium | Substrate mycelium | |||
| ISP media 2 | Good | Good | Grey | Yellow |
| ISP media 4 | Poor | Poor | White | Colourless |
| ISP media 5 | Good | Good | Black | Black |
| ISP media 6 | Poor | Poor | White | White |
| ISP media 7 | Good | Good | White | Yellow |
| Asparagine–mannitol agar | Good | Good | Grey | Yellow |
| Kenknight agar | Moderate | Moderate | White | Yellow |
| Nutrient agar | Excellent | Excellent | Brown | Yellow |
| Potato–dextrose agar | Good | Good | Grey | Yellow |
| SC agar | Excellent | Excellent | Grey | Black |
| Starch–nitrate agar | Good | Good | Grey | Yellow |
The antimicrobial efficacy of the solvent extracts of the strain VPTS3-1 revealed that the ethyl-acetate extract was highly active against C. albicans and P. mirabilis and produced a maximum inhibitory zone of 20 and 19 mm respectively. The other solvent extracts showed moderate to minimum inhibition effect (Table 3; Fig. 1). Notably, a variation was observed depending upon the actinomycetes strain and the bacterial/fungal isolates against which their antimicrobial activities were tested. It has been reported earlier that the antimicrobial activity of the compounds from actinomycetes varied depending on the strains from which the compound obtained, the solvent used for the extraction and the nature of the pathogens tested against such compound [22–24].
Table 3.
Antimicrobial efficacy of crude extracts of S. afghaniensis VPTS3-1
| Test pathogens | Inhibition zone (mm) | ||||
|---|---|---|---|---|---|
| Alcohol | Chloroform | Distilled water | Ethyl-acetate | Methanol | |
| B. subtilis | 6 | 11 | 10 | 16 | 11 |
| E. coli | 9 | 7 | 10 | 15 | 10 |
| K. pneumoniae | 9 | 5 | 6 | 15 | 12 |
| P. mirabilis | 7 | 10 | 11 | 19 | 10 |
| P. vulgaris | 8 | 7 | 6 | 16 | 13 |
| C. albicans | 5 | 7 | 7 | 20 | 6 |
Fig. 1.
Antimicrobial efficacy of Streptomyces VPTS3-1 in different solvent extracts 1, control; 2, alcohol; 3, ethyl acetate; 4, chloroform; 5, methanol; 6, distilled water. aC. albicansbK. pneumoniacB. subtilis and dE. coli
Single separated band was observed in thin layer chromatography. The Rf value of Streptomyces sp. VPTS3-1 compound was 0.38 cm. The separated VPTS3-1 compound was brownish in colour and the melting point was 180°C. The compound was stable at pH from 7.0 to 8.0 and at temperatures ranging from 20 to 40°C. The antimicrobial compound revealed that the absorption maximum was 200 and 205 nm in ethyl acetate. The UV spectrum of the compound was shown in Fig. 2a IR spectrum of the compound showed two absorption peaks in the region of 3400 and 2911 cm−1. The spectrum indicates that the compound had NH2 and O–H group. Another two absorption peaks were also recorded in the region of 1655.5 and 1111.1 cm−1. This peaks indicate that the compound had C=C– (alkenes) and R–O–R– (aliphatic) group. The absence of carboxylic acid (COOH) and ester (COOR), alkynes (C ≡ C–) was confirmed by the lack of bands in the region of 1670–1740 and 1700–1750 cm−1 respectively (Fig. 2b). The mass spectrum showed that the molecular ion peak at 326 m/z (Fig. 3a). The large number of peaks throughout the δ of 1–4 was observed in 1H NMR spectrum of purified compound from Streptomyces sp. VPTS3-1 (Fig. 3b). Based on the spectral studies, the compound was identified as highly oxygenated and derivatives of carbohydrates. The similar type of work has been reported by many workers including Wu et al. [3]; Dhanasekaran et al. [8]; Bordoloi et al. [21].
Fig. 2.
Spectral analysis of antimicrobial compound from Streptomyces VPTS3-1. a UV spectrum and b IR spectrum
Fig. 3.
Spectral analysis of antimicrobial compound from Streptomyces VPTS3-1. a Mass spectrum and b1H NMR spectrum
Optimization of conditions required for antibiotic compound production necessitates the complete knowledge on optimal fermentation conditions [25]. In the present study, the required conditions had been optimized for the production of antimicrobial compound using Streptomyces sp. VPTS3-1. Among the eight media tested, the strain Streptomyces sp. VPTS3-1 grown on SC medium showed good antimicrobial activity against all the test pathogens. Maximum activity was recorded against P. vulgaris (20 mm) followed by K. pneumoniae (19 mm). Asparagine–mannitol broth extract had moderate antimicrobial activity and all other extracts showed minimum activity (Fig. 4) and the variation in the antimicrobial metabolite production among media could possibly be related to the composition of the medium in which the strain was grown. It has already been reported that Actinopolyspora sp. (AH1) grown on tyrosine agar had good antibacterial activity against Staphylococcus aureus compared to maltose yeast extract agar, SCA agar and glucose–asparagine agar [26].
Fig. 4.
Effect of media on antimicrobial activity
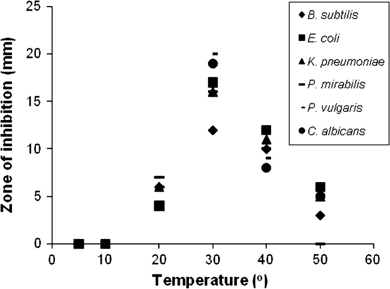
The maximum and minimum antimicrobial activity was recorded against K. pneumoniae (20 mm) and B. subtilis (13 mm) respectively over a period of nine days with Streptomyces sp. VPTS3-1. Precisely, the activity of the strain was observed from the third day of incubation and increased and reached a maximum after ninth day in SC broth (Fig. 5). Kathiresan et al. [27] optimized the required time courses such as 48, 96, 120 and 160 h for the antifungal effect of the actinomycetes against phytopathogen, Fusarium solani and found that it was suppressed with the increase in incubation period in the production medium, and also maximum inhibition was found with cultures incubated for 120 h. Temperature has profound effect on the physiology, morphology, biochemistry and metabolites production of organisms. The present study identified that the culture filtrate of Streptomyces sp. VPTS3-1 had highest antimicrobial activity at 30°C and practically there was no activity at 5 and 10°C. The extract of the strain was obtained from the isolate grown at 30°C showed maximum activity against P. vulgaris (20 mm) and minimum against B. subtilis (12 mm) (Fig. 6). In a similar report, the culture filtrates of three antagonistic Streptomyces spp. had highest antifungal activity at 30°C against phytopathogenic fungi namely Helminthosporium oryzae and F. solani [28].
Fig. 5.
Effect of incubation periods on antimicrobial activity
Fig. 6.
Effect of temperature on antimicrobial activity
The change in pH of the culture medium induces the production of new products that adversely affect antibiotic production, and it is a well known fact that each strain has an optimum, minimum and maximum pH at which it will grow. The present study revealed that the optimal pH of antimicrobial compound production was ranged between 7 and 8. The highest antimicrobial activity of the strain was found at pH 7.0 against B. subtilis (20 mm) and lowest was against E. coli (10 mm). Accordingly, in our previous report [29] pH 7 was found to be optimum for maximum antimicrobial metabolite production for isolates Nocardiopsis spp. TE1 and APA1. Further, maximum inhibitory effect of Streptomyces sp. VPTS3-1 was found when it was grown at 4% salinity against B. subtilis and P. mirabilis (16 mm), and minimum was at 1 and 16% and did not show antimicrobial activity at 32% of salinity (Fig. 7). Kathiresan et al. [27] reported a higher and lower antifungal activity against fungi when the actinomycetes grown at 17.5 and 30 ppt of NaCl respectively.
Fig. 7.
Effect of salinity on antimicrobial activity
It was found that the antimicrobial activity of actinomycete was maximum when grown in starch containing medium. Highest activity against P. vulgaris (19 mm) and the lowest against B. subtilis and K. pneumonia (10 mm) were recorded. Nevertheless, the strain did not show antimicrobial activity in glucose containing medium although other carbon sources containing media showed moderate activity towards all the pathogens tested. Similar type of work has been reported by Gupte and Kulkarni [30] which stated that glucose concentration 5% in the basal fermentation medium produced the maximum zone diameter with respect to C. albicans (24 mm). The nature and the amount of the nitrogen sources and amino acids are considered as direct precursors for antibiotic synthesis. In the present study, it was found that the maximum production of antimicrobial compound by Streptomyces sp. VPTS3-1 was observed in KNO3 containing medium against P. mirabilis (16 mm). Other nitrogen sources containing media showed moderate activity. The l-asparagine was reported to be the most effective nitrogen source for the maximal production of fossomycin antimicrobial compound by Streptomyces fradiae [31]. Kokare et al. [32] studied the optimization of bioemulsifier production by a marine isolate Streptomyces sp. S1.
The minimum inhibitory concentration (MIC) for the antimicrobial compound extracted from Streptomyces sp. (VPTS3-1) was 10 μl. The zone of inhibition was found maximum in the extract concentration of 10 μl, the activity was almost stable when the concentration increased. At the concentration of 10 μl, the compound produced inhibition zone against B. subtilis (16 mm), E. coli (15 mm), K. pneumonia (14 mm), P. mirabilis (15 mm), P. vulgaris (19 mm) and C. albicans (21 mm) (Table 4). Correspondingly, Gandhimathi et al. [7] reported that the MIC of sponge associated marine actinomycetes compound against C. tropicalis was 10 μg protein/ml. The present and previous studies concluded that there are various factors affecting the antimicrobial activity of Streptomyces isolates. The MIC is not constant for a given agent, because it is affected by the nature of the organism used, the inoculum size, concentration of extract and the aeration.
Table 4.
Minimum inhibitory concentration of antimicrobial compound of the actinomycete VPTS3-1
| Minimum inhibitory concentration (μl) | Zone of inhibition (mm) | |||||
|---|---|---|---|---|---|---|
| B. subtilis | E. coli | K. pneumoniae | P. mirabilis | P. vulgaris | C. albicans | |
| 5 | 9 | 6 | 7 | 8 | 10 | 12 |
| 10 | 16 | 15 | 14 | 15 | 19 | 21 |
| 15 | 16 | 15 | 14 | 15 | 19 | 21 |
| 20 | 16 | 15 | 14 | 14 | 19 | 20 |
The results of present investigation revealed that the Palk Strait (East Coast of India) marine actinomycetes could be a potential source of novel antibiotics. Nevertheless, a multi center study can be implemented as to screen the soil samples from the remaining regions of East Coast of India including West Coast of India and the other major marine regions of the country in order to isolate potent actinomycetes producing valuable and novel antimicrobial compounds. Further, the success of studies would also depend upon the development of appropriate fermentation conditions and downstream processing technologies as to bring out new classes of antibiotics.
Acknowledgment
The authors would like to thank the Director, Indian Institute of Technology, Chennai, India for providing spectral analysis.
References
- 1.Lazzarini A, Caveletti L, Toppo G, Marinelli F. Rare genera of actinomycetes as potential of new antibiotics. Antonie van Leuwenhoek. 2000;78:399–405. doi: 10.1023/A:1010287600557. [DOI] [PubMed] [Google Scholar]
- 2.Saisivam S, Kishan V. Taxonomy, fermentation and biological activities of a new strain of Streptomyces luridus from Indian soil. Ind J Microbiol. 2006;46:153–160. [Google Scholar]
- 3.Wu XC, Chen WF, Qian CD, Li O, Li P, Wen YP. Isolation and identification of newly isolated antagonistic Streptomyces sp. strain AP19-2 producing chromomycins. J Microbiol. 2007;45:499–504. [PubMed] [Google Scholar]
- 4.Lam KS. Discovery of novel metabolites from marine actinomycetes. Curr Opin Microbiol. 2006;9:245–251. doi: 10.1016/j.mib.2006.03.004. [DOI] [PubMed] [Google Scholar]
- 5.Imada C, Koseki N, Kamata M, Kobayashi T, Hamada-Sato N. Isolation and characterization of antimicrobial substances produced by marine actinomycetes in the presence of seawater. Actinomycetologica. 2007;21:27–31. doi: 10.3209/saj.SAJ210104. [DOI] [Google Scholar]
- 6.Venkateswarlu G, Murali PS, Sharma G, Venkateswarlu R. Improvement of rifamycin B production using mutant strains of Amycolatopsis mediterranei. Bioprocess Eng. 2000;23:315–318. doi: 10.1007/s004499900068. [DOI] [Google Scholar]
- 7.Gandhimathi R, Arunkumar M, Selvin J, Thangavelu T, Sivaramakrishnan S, Kiran GS, Shanmughapriya S, Natarajaseenivasan K. Antimicrobial potential of sponge associated marine actinomycetes. J Med Mycol. 2008;18:16–22. [Google Scholar]
- 8.Dhanasekaran D, Thajuddin N, Panneerselvam A. An antifungal compound: 4′phenyl-1-napthyl–phenyl acetamide from Streptomyces sp. DPTB16. Facta Universitatis Ser Med Biol. 2008;15:7–12. doi: 10.1016/j.compbiomed.2012.01.007. [DOI] [PubMed] [Google Scholar]
- 9.Harindran J, Gupte TE, Naik SR. HA-1-92, a new antifungal antibiotic produced by Streptomyces CDRIL-312: fermentation, isolation, purification and biological activity. World J Microbiol Biotechnol. 1999;15:425–430. doi: 10.1023/A:1008934808486. [DOI] [Google Scholar]
- 10.Fukuda DS, Mynderse JS, Baker PJ, Berry DM, Boeck LD, Yao RC, Mertz FP, Nakatsukasa WM, Mabe J, Ott J, Counter FT, Ensminger PW, Allen NE, Alborn W, Hobbs JN. A80915, a new antibiotic complex produced by Streptomyces aculeolatus. Discovery, taxonomy, fermentation, isolation, characterization and antibacterial evaluation. J Antibiot. 1990;43:623–633. doi: 10.7164/antibiotics.43.623. [DOI] [PubMed] [Google Scholar]
- 11.Ivanova V, Schlegel R. Structure elucidation of the antibiotic demalonylniphimycin by two-dimensional NMR techniques. Actinomycetes. 1997;8:1–9. [Google Scholar]
- 12.Vijayakumar R, Muthukumar C, Thajuddin N, Panneerselvam A, Saravanamuthu R. Studies on the diversity of actinomycetes in the Palk Strait region of Bay of Bengal, India. Actinomycetologica. 2007;21:59–65. doi: 10.3209/saj.SAJ210203. [DOI] [Google Scholar]
- 13.Lu Z, Wang L, Zhang Y, Shi Y, Liu Z, Quintana ET, Goodfellow M. Actinomadura catellatispora sp. nov. and Actinomadura glauciflava sp. nov., from a sewage ditch and soil in southern China. Int J Syst Evol Microbiol. 2003;53:137–142. doi: 10.1099/ijs.0.02243-0. [DOI] [PubMed] [Google Scholar]
- 14.Shirling EB, Gottlieb D. Methods for characterization of Streptomyces species. Int J Syst Bacteriol. 1966;16:312–340. doi: 10.1099/00207713-16-3-313. [DOI] [Google Scholar]
- 15.Lechevalier MP, Lechevalier HA. Chemical composition as a criterion in the classification of aerobic actinomycetes. Int J Syst Bacteriol. 1970;20:435–443. doi: 10.1099/00207713-20-4-435. [DOI] [Google Scholar]
- 16.Wilson K. Preparation of genomic DNA from bacteria. In: Ausubel Kingstan RE, Moore DD, Smith JA, Seidman JG, Struhl K, editors. Current protocol in molecular biology, Chaps. 2–4. New York: Greene Publishing and Wiley Inter Science; 1990. [Google Scholar]
- 17.Weisburg WG, Barns SM, Pelletier DA, Lane DJ. 16S rDNA amplification for phylogenetic study. J Bacteriol. 1991;173:697–703. doi: 10.1128/jb.173.2.697-703.1991. [DOI] [PMC free article] [PubMed] [Google Scholar]
- 18.Higgins DG, Bleasby AT, Fuchs R. Clustal W: improved software for multiple sequence alignment. CABIOS. 1992;8:189–191. doi: 10.1093/bioinformatics/8.2.189. [DOI] [PubMed] [Google Scholar]
- 19.Kimura MA. Simple method for estimating evolutionary rates of base substitutions through comparative studies of nucleotide sequences. J Mol Evol. 1980;16:111–120. doi: 10.1007/BF01731581. [DOI] [PubMed] [Google Scholar]
- 20.Saitou N, Nei M. The neighbour joining method: a new method for reconstructing phylogenetic trees from evolutionary distance data. Mol Biol Evol. 1987;4:406–425. doi: 10.1093/oxfordjournals.molbev.a040454. [DOI] [PubMed] [Google Scholar]
- 21.Bordoloi GN, Kumarim B, Guha A, Bordoloi M, Yadav RN, Roy MK, Bora TC. Isolation and structure elucidation of a new antifungal and antibacterial antibiotic produced by Streptomyces sp. 201. Biosci Biotechnol Biochem. 2001;65:1856–1858. doi: 10.1271/bbb.65.1856. [DOI] [PubMed] [Google Scholar]
- 22.Narayana KJP, Ravikiran D, Vijayalakshmi M. Screening of Streptomyces species from cultivated soil for broad-spectrum antimicrobial compounds. Asian J Microbiol Biotechnol Environ Sci. 2005;7:121–124. [Google Scholar]
- 23.Remya M, Vijayakumar R. Isolation and characterization of marine antagonistic actinomycetes from West Coast of India. Facta Universitatis Ser Med Biol. 2008;15:13–19. [Google Scholar]
- 24.Sahin N, Ugur A. Investigation of the antimicrobial activity of some isolates. Turk J Biol. 2003;27:79–84. [Google Scholar]
- 25.Augustine SK, Bhavsar SP, Baserisallhi M, Kapadnis BP. Isolation, characterization and optimization of antifungal activity of actinomycetes of soil origin. Ind J Exp Biol. 2004;42:928–932. [PubMed] [Google Scholar]
- 26.Kokare CR, Mahadik KR, Kadam SS, Chopade BA. Isolation, characterization and antimicrobial activity of marine halophilic Actinopolyspora species AH1 from West Coast of India. Curr Sci. 2004;86:593–597. [Google Scholar]
- 27.Kathiresan K, Balagurunathan R, Masilamani Selvam M. Fungicidal activity of marine actinomycetes against phytopathogenic fungi. Ind J Biotechnol. 2005;4:271–276. [Google Scholar]
- 28.De K, Gupta MK, Pande A. Effect of physiological and physical factors on antifungal activities of Streptomyces spp. J Ind Bot Soc. 1992;72:157–159. [Google Scholar]
- 29.Vijayakumar R, Seethalakshmi V, Anitha S, Saravanamuthu R. Isolation and characterization of antagonistic actinomycetes from Coimbatore soils, Tamilnadu, India. J Sci Trans Environ Technol. 2009;2:191–201. [Google Scholar]
- 30.Gupte MD, Kulkarni PR. A study of antifungal antibiotic production by Streptomyces chattanoogensis MTCC 3423 using full factorial design. Lett Appl Microbiol. 2002;35:22–26. doi: 10.1046/j.1472-765X.2002.01119.x. [DOI] [PubMed] [Google Scholar]
- 31.Rogers TO, Birnbaum J. Biosynthesis of fosfomycin by Streptomyces fradiae. Antimicrob Agents Chemother. 1974;5:121–132. doi: 10.1128/AAC.5.2.121. [DOI] [PMC free article] [PubMed] [Google Scholar]
- 32.Kokare CR, Kadam SS, Mahadik KR, Chopade BA. Studies on bioemulsifier production from marine Streptomyces sp. S1. Ind J Biotechnol. 2007;6:78–84. [Google Scholar]







