Abstract
The stimulants methylphenidate and amphetamine are used to treat children with attention deficit/hyperactivity disorder over important developmental periods, prompting concerns regarding possible long-term health impact. This study assessed the effects of such a regimen in male, peri-adolescent rhesus monkeys on a variety of cognitive/behavioral, physiological, and in vivo neurochemical imaging parameters. Twice daily (0900 and 1200 hours), for a total of 18 months, juvenile male monkeys (8 per group) consumed either an unadulterated orange-flavored solution, a methylphenidate solution, or a dl-amphetamine mixture. Doses were titrated to reach blood/plasma levels comparable to therapeutic levels in children. [11C]MPH and [11C]raclopride dynamic PET scans were performed to image dopamine transporter and D2-like receptors, respectively. Binding potential (BPND), an index of tracer-specific binding, and amphetamine-induced changes in BPND of [11C]raclopride were estimated by kinetic modeling. There were no consistent differences among groups on the vast majority of measures, including cognitive (psychomotor speed, timing, inhibitory control, cognitive flexibility), general activity, physiological (body weight, head circumference, crown-to-rump length), and neurochemical (ie, developmental changes in dopamine transporter, dopamine D2 receptor density, and amphetamine-stimulated dopamine release were as expected). Cytogenetic studies indicated that neither drug was a clastogen in rhesus monkeys. Thus, methylphenidate and amphetamine at therapeutic blood/plasma levels during peri-adolescence in non-human primates have little effect on physiological or behavioral/cognitive development.
Keywords: ADHD, amphetamine, CANTAB, methylphenidate, monkey, PET
INTRODUCTION
The psychomotor stimulants methylphenidate (MPH) and amphetamine (AMPH) have been successful treatments for attention deficit/hyperactivity disorder (ADHD) in children (MTA Cooperative Group, 1999, 2004a, 2004b). Understanding the long-term effects of extended exposure to such medications, especially when treatment occurs across important developmental periods, has been a source of concern for physicians and parents alike. Effects on physiological development, in particular, have been noted in children undergoing treatment for ADHD. For example, growth rates of children medicated for ADHD were reduced compared with population norms or un-medicated children (Mattes and Gittelman, 1983; MTA Cooperative Group, 2004b), although the mechanism and duration of the effect are unclear (Poulton and Cowell, 2003; Rapport and Moffitt, 2002).
Certain side effects of daily exposure also have been of concern. Sleep disturbances in those with ADHD are well documented, although their exact nature and severity remain disputed (Cohen-Zion and Ancoli-Israel, 2004; Spruyt and Gozal, 2011). Although stimulant administration itself can affect sleep, depending upon dose and time of administration (Efron et al, 1997; Williamson et al, 1997), two studies reported no difference in nocturnal activity in medicated and un-medicated children with ADHD, suggesting that when stimulant therapy is not administered late in the day, sleep is neither improved nor impaired (Cohen-Zion and Ancoli-Israel, 2004).
Both MPH and AMPH increase synaptic dopamine (DA) either by blocking DA transporter (DAT) uptake of DA (MPH and AMPH) or promoting DA release (AMPH), suggesting that the dopaminergic system plays a critical role in the neuropharmacology of ADHD. Despite the benefit of stimulant medications for ADHD treatment, stimulants can produce long-term changes in DA function and in behavioral responses to stimulants (Robinson and Becker, 1986; Segal et al, 1981; Spear and Alderton, 2003). For example, decreases in neurotransmitter receptors or uptake proteins were reported when low to moderate stimulant doses were administered chronically in monkeys and children (Ginovart et al, 1999; Vles et al, 2003). Chronic stimulant administration also can modify the amount of DA released into the synapse. Castner et al (2000) showed that chronic low-dose AMPH exposure resulted in reduced DA released by an acute AMPH challenge in monkeys. Similar reductions in MPH-stimulated DA release were reported in detoxified cocaine users (Volkow et al, 1997), suggesting a general effect of long-term stimulant administration. Such data on long-term effects of chronic stimulant administration on the DA system raise concerns regarding developmental effects of such a regimen on the DA system.
Certain types of cognitive deficits, particularly in executive function, which encompasses planning and execution of complex behavioral sequences, are characteristic of ADHD. Performance on tasks that measure aspects of executive function, such as time perception/estimation, response inhibition, working memory, and attentional set formation, are impaired in children diagnosed with ADHD, and performance improves with stimulant medication (Baldwin et al, 2004; Kempton et al, 1999; Mehta et al, 2004; Tannock et al, 1989).
Finally, there have been concerns raised regarding possible genetic toxicity of MPH in children (El-Zein et al, 2005). In that report, there were increases in chromosomal aberrations (CAs) in peripheral lymphocytes of children treated with MPH for 3 months. In addition, in 11 of those children, there were increases in sister chromatid exchanges (SCEs) and micronuclei (MN). Later clinical and pre-clinical studies have failed to support the conclusions of that report (Morris et al, 2009; for a review see, Morris et al (2012), Ponsa et al (2009), Tucker et al (2009), and Witt et al (2008)), but concerns for parents and physicians remain.
This study evaluated the effects of chronic oral MPH or AMPH administration in pre-adolescent male macaques on a variety of physiological, neurological, and behavioral measures to address a range of concerns regarding the impact of chronic stimulant administration to juveniles. Macaques are useful as developmental models because non-human primate cortical structures are similar to humans in the frontal cortical and striatal regions important in ADHD (Mostofsky et al, 2002; Sowell et al, 2003) and are shown to mediate psychomotor and executive function (Haber, 2003; Middleton and Strick, 2002). Onset of adolescence in macaques is at 3–4 years of age and thus allows study of the effects of a lengthy period of drug exposure before puberty. The effects of twice-daily oral doses of either AMPH or MPH, 7 days per week, were evaluated, compared with a vehicle control condition, across a total of 18 months of drug administration and again 6 months after dosing ended to determine whether there were any lasting effects of the extended exposure to stimulant medication.
MATERIALS AND METHODS
Subjects
Male rhesus monkeys (Macaca mulatta) (N=24) of Chinese origin, purchased as yearlings, served as subjects. Reverse osmosis (RO) water was continuously available. Access to food (Harlan Teklad) was relatively constant until behavioral training sessions began around 24 months of age. Biscuits consumed were counted daily, and the total delivered was adjusted such that at least one remained uneaten daily. Once-daily dosing sessions began, food was delivered around 1600 hours along with a piece of fresh fruit. Any remaining food was removed at 0900 h, before sessions in which a drug solution was orally available and/or behavioral testing was to be conducted. The procedures in this study were approved by the Johns Hopkins University Animal Care and Use Committee.
Equipment
Each cage was equipped with a custom-made, stainless-steel ‘intelligence' panel, which was equipped with all components needed for the behavioral procedures except for the intra-dimensional (ID)/extra-dimensional (ED) set-shifting task, which used custom-made portable devices with touch screens for implementing procedures from the Cambridge Neuropsychological Testing Automated Battery (Weed et al, 1999, 2008a) and the object retrieval and detour task, which used a custom-made device for positioning a clear Plexiglas box with one open side in front of the monkey's cage (Gray et al, 2006).
Study Design
An overview of the study timeline is provided in Table 1. During baseline, all monkeys were trained on the behavioral tasks and were introduced to the oral self-dosing procedure with the drug vehicle. Once trained, monkeys were assigned to one of three experimental groups (n=8 per group) matched on body weight and baseline drinking behavior. During the subsequent 6-month treatment period, the control, AMPH, and MPH groups engaged in twice-daily oral self-dosing sessions with, respectively, vehicle, AMPH, and MPH 7 days per week. This initial treatment period was followed by an approximately 2-month break, during which oral dosing was temporarily suspended. Following the break, an uninterrupted 12-month treatment period ensued, after which oral self-dosing was discontinued permanently (‘post-treatment'). Table 1 also shows the periods in the study in which the various assessments, described below, were conducted.
Table 1. Timeline of Chronic Drug or Vehicle Treatment and the Months in which Physiological Development, Cytogenetic, Cognitive-Behavioral (SSRT, DE/MP, ID/ED, and/or ORD tasks), and PET Assessments were Conducted.
| Assessment | Baseline | 6-Month treatment | Break | 12-Month treatment | Post-treatment | ||||||||||||||||||||||
|---|---|---|---|---|---|---|---|---|---|---|---|---|---|---|---|---|---|---|---|---|---|---|---|---|---|---|---|
| Month in study | 1 | 2 | 3 | 4 | 5 | 6 | 7 | 8 | 9 | 10 | 11 | 12 | 13 | 14 | 15 | 16 | 17 | 18 | 19 | 20 | 21 | 22 | 23 | 24 | 25 | 26 | 27 |
| Cumulative months of treatment | 1 | 2 | 3 | 4 | 5 | 6 | 7 | 8 | 9 | 10 | 11 | 12 | 13 | 14 | 15 | 16 | 17 | 18 | |||||||||
| Physiol. develop. | X | X | X | X | X | X | X | X | X | X | X | X | X | X | X | X | X | X | X | X | X | X | X | X | X | X | X |
| Cytogenetic | X | X | X | X | X | X | |||||||||||||||||||||
| Activity | X | X | X | X | X | X | X | X | X | X | X | X | X | X | X | X | X | X | X | X | X | X | X | X | X | X | X |
| SSRT | X | X | X | X | X | X | X | X | X | X | X | X | X | X | X | X | X | X | X | X | X | X | X | X | X | X | X |
| DE/MP | X | X | X | X | X | X | X | X | X | X | X | X | X | X | X | X | X | X | X | X | X | X | X | X | X | X | X |
| ID/ED | X | X | X | X | |||||||||||||||||||||||
| ORD | X | X | X | ||||||||||||||||||||||||
| PET | X | X | X | X | |||||||||||||||||||||||
General activity level was collected continuously throughout all conditions. Each block in the body of the table represents 1 month.
Oral Self-Dosing Procedure
Oral self-dosing training involved a phase of habituation to drinking a bitter solution as has been reported previously (Weed and Hienz, 2006; Weed et al, 2008b). It involved providing signaled 15-min access through a drinkometer on the intelligence panel to 100 ml of orange drink at 0900 and 1200 hours daily. Across days, quinine was added gradually until a concentration of 0.32 mg/ml was being consumed reliably. Once the experimental groups were formed, quinine was removed and MPH or AMPH was added at a low concentration for the drug groups. The control monkeys continued drinking unadulterated Tang solution. MPH and AMPH concentrations were increased gradually over, respectively, 4–6 and 12–14 weeks of the 6-mnth treatment period. Blood was sampled periodically at 1000 or 1300 hours to determine the mg/kg per session intake that produced blood levels in the therapeutic range (ie, MPH: 15–25 ng/ml (Patrick and Markowitz, 1997; Swanson and Volkow, 2003); AMPH: 50–60 ng/ml of d-AMPH and 15–25 ng/ml l-AMPH (Brown et al, 1978; Greenhill et al, 2003; Tulloch et al, 2002)). For blood sampling, monkeys were sedated with ketamine hydrochloride+midazolam hydrochloride, intramuscularly. Samples were analyzed for drug levels by National Medical Services (NMS) Labs (Willow Grove, PA) using gas chromatography/mass spectrometry. Lower level of quantification for d- and l-AMPH was 20 ng/ml, and lower level of quantification for MPH was 2 ng/ml. Blood sampling occurred 5–6 times per group over the course of the drug exposure periods. Dose targets, based on blood/plasma results, were 12–16 mg/kg per session for MPH and 0.7–0.8 mg/kg per session for AMPH.
Physiological Development
Monkeys were sedated, as described above, once a month to enable measurement of body weight, rump–crown lengths, and head circumference. Blood samples drawn after 12 months of exposure were analyzed for testosterone levels as described previously (Mattison et al, 2011).
Cytogenetic Changes
Blood was sampled at baseline; after 3, 6, 12, and 18 months of treatment (2 h after the 0900-hour dose); and 6 months after treatment ended to determine if exposure to MPH or AMPH induced increased frequency of CAs and MN (%MN is reported from 1000 cells counted per subject), or increased the number of SCEs in peripheral blood lymphocytes. These studies were conducted under contract with SRI International (Menlo Park, CA), using standard assays with methods similar to those reported previously (El-Zein et al, 2005; Ponsa et al, 2009; Tucker et al, 2009; Witt et al, 2008). Frequency of cells with CA and MN were analyzed using Fisher's exact test (significance level of α=0.05, one-tailed) because of the dichotic nature of these data. SCE data were analyzed with two-way ANOVA described below.
Monitoring General Activity
Actical accelerometer monitors (Mini Mitter, Bend, OR) for continuously recording activity were mounted to collars (Primate Products, Woodside, CA) fitted to each monkey before collection of the behavioral baseline data. Data were downloaded each month while the monkeys were sedated for growth measurements.
Behavioral Models of Executive Function
Stop signal reaction time: The stop signal reaction time (SSRT) procedure is considered to measure the ability to inhibit an action. Each trial began with a blinking light over the lever. Inserting one hand into the pellet receptacle, while depressing the lever with the other, changed the blinking to continuous illumination (the ‘hold' signal). After 1 to 7 s, the yellow ‘hold' light changed to white (the ‘release' signal); and simultaneously, one of the two response keys was illuminated white. Releasing the lever and pressing the response key within 1.5 s resulted in food pellet delivery and a 10-s inter-trial interval. Withdrawing the hand from the pellet receptacle terminated the trial and initiated a 10-s timeout, during which no lights were illuminated and responses had no programmed consequences. To promote stimulus control of the monkey's behavior, some trials (20%) were ‘catch' trials in which the release stimulus was never presented and the trial ended after the monkey held the lever for 7 s (Weed et al, 2003). Of the non-catch trials, 25% were ‘stop' trials in which the usual response key changed from white to red and the second response key was trans-illuminated white. Touching the white key resulted in pellet delivery, while touching the red key ended the trial with no reward. The interval before the key turned from white to red was manipulated to determine the time at which a monkey successfully avoided pressing the red key and pressed the white key on 50% of those trials. To achieve this 50% success rate, the interval between the release of the lever and the onset of the red light started at 250 ms. If the monkey successfully inhibited pressing the red key at this delay, the interval lengthened by 50 ms in the next trial, making it harder for the monkey to stop in time. If the monkey then failed to inhibit pressing the key, the interval was shortened by 50 ms in the next trial to make it easier to inhibit the response. The SSRT was conducted from 1000 to 1100 hours, 3 days per week.
Delay estimation/motor preparation: This task, considered to measure time/delay estimation, was similar to the SSRT. Briefly, the blinking light became continuous after 1–3 s, and a pellet was delivered when the lever was released within 1.5 s of that change. There were no catch or stop trials. Reaction time was evaluated as a function of the length of the interval before the stimulus change. The delay estimation/motor preparation (DE/MP) task compares reaction time with no temporal cues (1-s release stimulus) with reaction time when the timing of the release stimulus is 100% predictable 3-s release stimulus; Decamp and Schneider, 2004). The DE/MP task was conducted from 1300 to 1400 hours, 3 days per week.
ID/ED set-shifting task: This task assesses attentional set shifting (Dias et al, 1996; Weed et al, 2008a; Weed et al, 1999). A portable device with a touch screen was positioned in front of the monkey's cage. Training and testing was as described previously (Weed et al, 2008a). The IE/ED task was conducted at the same time of day for each animal (1100 h or 1400 hours) and took 4.7 days, on average, to complete the entire sequence of stimuli. All other behavioral testing was suspended during ID/ED testing. The dependent measure was the number of errors until criterion performance at each stage (12 correct responses in 15 trials).
Object retrieval detour: This task is used to measure inhibitory control. It involved positioning a clear Plexiglas box with a single open side in front of the cage, providing the opportunity for the monkey to retrieve a miniature marshmallow positioned within the box. On different trials, the box was positioned with the open side facing the cage, facing left, or facing right and the marshmallow was placed either at the front of the box near the opening or back of the box (for more details, see Gray et al (2006)). A trial was considered ‘hard' when the box opening was not directly facing the monkey and the marshmallow was placed deep inside the box (Gray et al, 2006; Jentsch et al, 2000; Rutten et al, 2008). Performance of the task was tested at baseline and after 6, 12, and 18 total months of treatment. Two habituation sessions were conducted during the week before five acquisition sessions in the following week. The task was conducted at the same time of day for each animal (1100 or 1400 hours). Dependent measures were the percentage of trials in which the food item was retrieved on the first reach, errors due to touching closed sides of box (barrier reaches), and latency to initiate a reach, which were analyzed for all trials and for the subset of trials defined as hard.
PET Procedures
Each monkey received two dynamic PET scans 1 week before baseline ended, after 6 and 18 total months of treatment, and 6 months after treatment ended. PET scans occurred no earlier than 1 week after discontinuation of treatment to allow drug to be cleared from the body so that self-dosed drug did not compete with PET radiotracers. One scan used [11C]MPH to determine DAT binding, and the other used [11C]raclopride to determine DA D2 receptor binding. Magnetic resonance imaging (MRI) sessions were conducted for each monkey approximately 1 month before each round of PET scans so that regions of interest (ROIs) for quantification of radioligand binding could be manually determined from those MRIs. Anesthesia during the PET scan was maintained using propofol (titrated to 15–30 mg/kg/h) (Wilcox et al, 2008). The dynamic PET scans were performed on a high-resolution research tomography PET scanner, a state-of-the-art three-dimensional-only dedicated brain tomography with <2 mm spatial resolution and a bore length sufficient to view the entire monkey brain (de Jong et al, 2007; Horti et al, 2006; Sossi et al, 2005) as described previously (Rahmim et al, 2005; Wilcox et al, 2008). The [11C]MPH scans were conducted first and [11C]raclopride scans were conducted approximately a week later. For DAT imaging studies, a bolus of [11C]MPH (average injected dose 6.8 mCi±0.14 (SEM); average specific activity 6775 mCi/μmol±304 (SEM)) was injected intravenously and dynamic images of 30 frames were reconstructed for the 90 min of data acquisition in each study. The binding potential (BPND) of [11C]MPH was estimated by fitting a simplified reference tissue model (SRTM) (Lammertsma and Hume, 1996). ROI of the cerebellum was used as reference tissue input in fitting ROI time–activity curves (TACs). For D2-like receptor imaging studies, a bolus injection of high-activity [11C]raclopride was followed by continuous infusion (average injected dose 18.8 mCi±0.27 (SEM); average specific activity 9816 mCi/μmol±677 (SEM)) as described previously (Guilarte et al, 2006; Zhou et al, 2006). An intravenous bolus of d-AMPH (2 mg/kg in 1 ml/kg, administered over 2 min) was given 45 min after initiation of the scan. The BPNDs of [11C]raclopride pre- and post-d-AMPH bolus were estimated by fitting an extended SRTM (Zhou et al, 2006) to ROI TACs. The d-AMPH-induced DA release (DAR%) was estimated as the percentage change in BPND by taking the percentage difference in BPND obtained before [BPND(baseline)] and after [BPND(AMPH)] d-AMPH administration: DAR%=100[BPND(baseline)−BPND(AMPH)]/BPND(baseline). PET measures of BPND values and DAR% were compared across baseline, 6, and 18 months of treatment, and 6 months after treatment ended.
Drugs
dl-MPH hydrochloride was obtained from Mallinckrodt Pharmaceuticals (St Louis, MO); d-AMPH sulfate and l-AMPH sulfate were obtained from Sigma-Aldrich (St Louis, MO); and quinine sulfate was obtained from Sigma-Aldrich. d-AMPH used in PET studies was dissolved in 0.9% saline and filter-sterilized before intravenous administration. Otherwise, all compounds were taken via the oral route. The two forms of AMPH were mixed to produce a 75% d-AMPH and 25% l-AMPH mixture, comparable to that contained in prescription Adderall. All were dissolved in RO water for stock solutions. Quinine and the MPH and AMPH solutions were added to an orange drink prepared with Tang powder (23 g/l) in RO water. Drug doses and concentrations refer to the salts.
Statistical Analysis
Unless otherwise noted, dependent measures from behavioral, PET, and cytogenetic assessments were analyzed using repeated-measures ANOVAs with the within-subjects factor of time point (eg, baseline, following 6, 12, and 18 months of treatment, and 6 months after treatment was permanently discontinued) and the between-groups factor of treatment (control, AMPH, MPH). The Holm–Sidak method was used for α-adjusted (family-wise α=0.05) post-hoc comparisons (Sigmaplot 11; Systat Software). Post-hoc comparisons were conducted comparing control animals to the drug-treated animals overall (ie, across time points) and within each time point, and comparing baseline to later time points overall (ie, across treatment groups) and within treatment groups.
RESULTS
Oral Self-Dosing
Consistent volumes of Tang or drug+Tang mixtures were consumed. Monkeys in the AMPH group reached or exceeded 90% of their final target doses on an average of 83% of days (range: 64–94%) and on average consumed 0.99 mg/kg per session of dl-AMPH (range 0.81–1.15 mg/kg per session). Monkeys in the MPH group reached or exceeded 90% of their final target doses on 86% of days (range: 77–94%); on average, they consumed 10.7 mg/kg per session when the target was 12 mg/kg per session and 16.5 mg/kg per session (range 8.89–13.1 mg/kg per session) when the target was 15 mg/kg per session (range 15.5–18.7 mg/kg per session). Mean MPH plasma levels were 18 and 22–32 ng/ml following the 0900 and 1200 hours drinking sessions, respectively. Mean AMPH plasma levels were 64–97 and 93–124 ng/ml following the 0900 and 1200 hours drinking sessions, respectively.
Physiological Development
Measures of head circumference, crown-to-rump length, and weight were consistent with normative growth rates for rhesus monkeys reported by Rawlins et al. (1984), and observed in monkeys trained on similar behavioral tasks in which responding was motivated by a food reinforcer (MR Weed, unpublished observation). There was no statistically significant difference in the number of biscuits consumed among the groups over the duration of the study (AMPH: min=12.8±0.51, max=13.7±0.36; MPH: min=13.2±0.30, max=15.3±0.41; control: min=11.7±0.41, max=14.5±0.30). There was no effect of chronic drug ingestion for either AMPH or MPH on any growth measure across the 18 total months of exposure, or 6 months after drug was no longer available (Figure 1).
Figure 1.
Physiological development for control, amphetamine (AMPH), and methylphenidate (MPH) groups over the duration of the study. Growth measures were taken for head circumference (left panel), crown-to-rump length (center panel), and weight (right panel). Data are the mean±SEM, and n=8 for each treatment group. ‘Post-Tx'=post-treatment period.
There was a significant group difference in testosterone levels at 12 months of treatment (F2, 20=3.72, p=0.042; 263.1±61.14, 496.4±80.20, 624.5±131.1 for control, AMPH, and MPH monkeys, respectively). Testosterone levels for MPH monkeys were higher than those for control monkeys according to post-hoc comparisons. The differences in age of testes descent were not statistically significant (38.6±0.84, 37.5±0.48, 36.4±0.30 for control, AMPH, and MPH groups, respectively).
Cytogenetic Changes
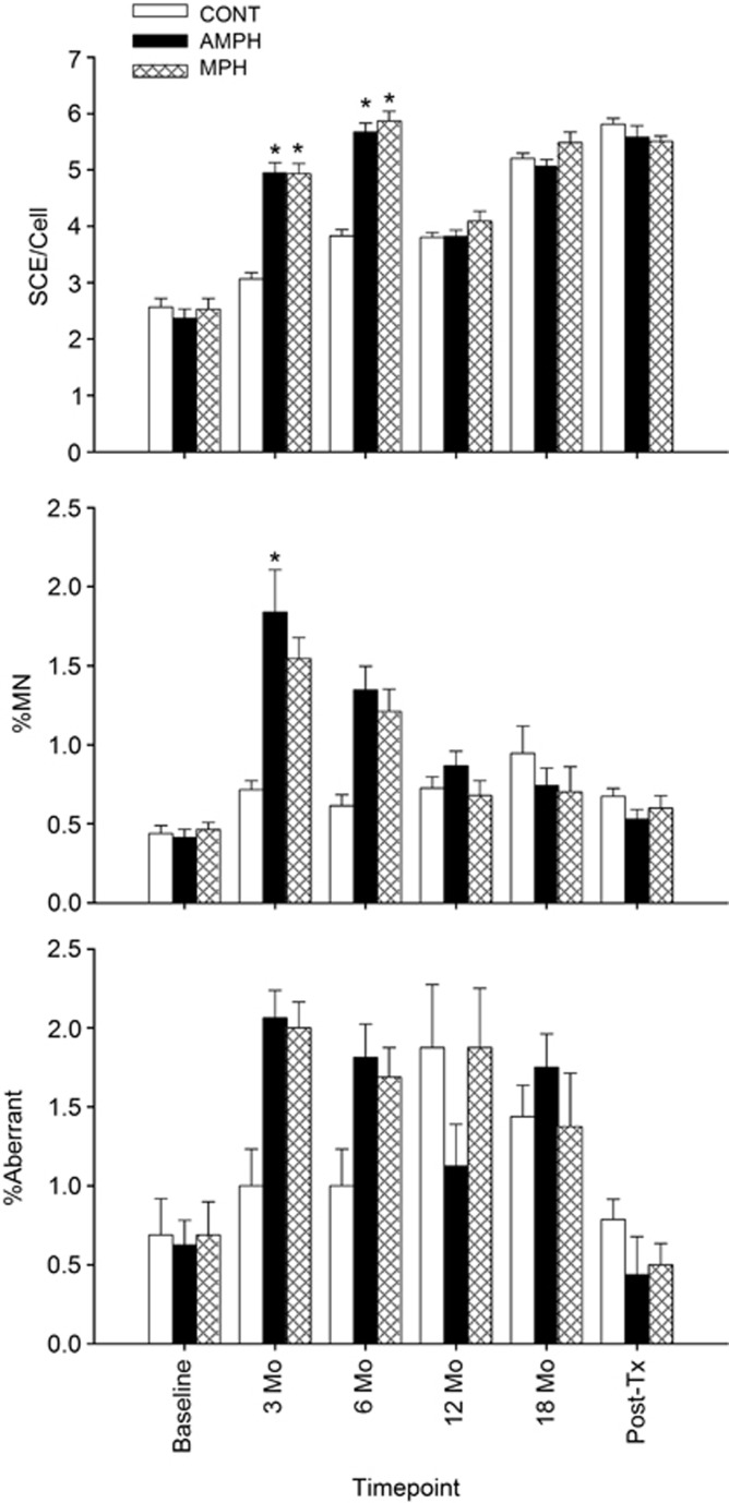
Transient effects on SCE were noted at 3 and 6 months, but not at any time afterward (Figure 2, top), as confirmed by repeated-measures ANOVA on the factor of time (F5, 105=177, p<0.0001) and treatment (F2, 105=33.8, p<0.0001), and their interaction (F10, 105=15.6, p<0.0001). Post-hoc tests indicated differences from control monkeys for only the 3- and 6-month time points (p<0.001 for both), but not other time points (p>0.05 for others). Similarly, transient changes in the percentage of cells with MN in the AMPH group with the control group were detected at 3 months (Fisher's exact p=0.028), with no differences at any time afterward (Figure 2, middle). There was no significant effect of AMPH or MPH on the percentage of cells with CA compared with control monkeys for each time point (Fisher's exact p>0.05; Figure 2, bottom).
Figure 2.
Frequency of sister chromatid exchange (SCE) per cell (top graph), %micronuclei (%MN) (middle graph), and %aberrant (percentage of cells with chromosomal aberrations; bottom graph) over the duration of the study for control, amphetamine (AMPH), and methylphenidate (MPH) monkeys. ‘Post-Tx'=post-treatment period.
General Activity
General activity was analyzed in three ways. First, for each monkey, hourly (0–2300) averages were calculated across the 7 days of each week at the time periods of interest (ie, the last week of baseline and the week at the end of 6, 12, and 18 months of treatment; see Figure 3). Two-factor (group by hour) repeated-measures ANOVAs were conducted (note that post-treatment data were not analyzed due to loss of data from half of the control monkeys). There was a significant main effect of hour at each time period (F23, 46=106, p<0.001; F23, 46=96, p<0.001; F23, 46=22, p<0.001; F23, 46=33, p<0.001 for baseline, and after 6, 12, and 18 months of treatment, respectively). There was no significant effect of group at any time period. There was a significant interaction of group and hour during the last week of the 6-month treatment period (F46, 437=1.6, p<0.006). According to post-hoc comparisons, activity levels were higher in control monkeys compared to AMPH monkeys at 1200, 1400, and 1500 hours and higher in control monkeys compared to AMPH and MPH monkeys at 2100 hours. Other than the last week of the 6-month treatment period, there were no significant main effects of group or hroup × hour interactions.
Figure 3.
Hourly activity counts over 24 h for control, amphetamine (AMPH), and methylphenidate (MPH) groups at baseline, and after 6, 12, and 18 months of treatment. The x axis represents hour in the day and the y axis represents averaged total activity counts. Shaded areas on each graph represent the time when the room lights were off, and vertical dashed lines indicate the two daily drink sessions (0900 and 2400 hours). Data are the mean±SEM, and n=8 for each group.
In the second analysis of general activity, activity counts were grouped in 3-h time bins starting at midnight, resulting in eight bins (0000–0300 hours, 0300–0600 hours, etc). Thereafter, 7-day averages were calculated for each monkey for each of the 8 time bins for each of the 4 weeks comprising a period of interest (ie, baseline, 6 cumulative months of treatment, the first 4 weeks of the break period, and 12 and 18 cumulative months of treatment). Similar to the first activity analysis, this allowed a two-factor (group by time bin) repeated-measures ANOVA to be conducted for each week. The results of the statistical analyses are summarized in Table 2. There was a significant main effect of group in the 2nd and 3rd weeks of baseline and in the 2nd week of the break, and a significant group by time bin interaction in the 3rd week of the last month of treatment. Where significant differences were obtained, activity levels of control monkeys were higher than those of the AMPH or MPH groups or both.
Table 2. Summary of Statistical Analysis of General Activity in 3-h Bins, Averaged Across 7 Days of Each of Weeks 1–4 Comprising Each Time Point of Interest.
| Source | Week 1 | Week 2 | Week 3 | Week 4 |
|---|---|---|---|---|
| Baseline | ||||
| Group main effect | NS | F2, 19=3.7, p=0.044a | F2, 21=3.86, p=0.037 | NS |
| Group × time bin | NS | NS | NS | NS |
| 0000–0300 h | NA | NS | NS | NA |
| 0300–0600 h | NS | NS | ||
| 0600–0900 h | NS | NS | ||
| 0900–1200 h | NS | Cont>AMPH | ||
| 1200–1500 h | NS | Cont>AMPH | ||
| 1500–1800 h | NS | NS | ||
| 1800–2100 h | NS | NS | ||
| 2100–0000 h | NS | NS | ||
| 6th Month of cumulative treatment | ||||
| Group main effect | NS | NS | NS | NS |
| Group × time bin | NS | NS | NS | NS |
| First 4 weeks of the break | ||||
| Group main effect | NS | F2, 19=4.19, p=0.031 | NS | NS |
| Group × time bin | NS | F14, 133=2.98, p<0.001 | NS | NS |
| 0000–0300 h | NA | NS | NA | NA |
| 0300–0600 h | NS | |||
| 0600–0900 h | NS | |||
| 0900–1200 h | Cont>Amph | |||
| 1200–1500 h | Cont>AMPH; Cont>MPH | |||
| 1500–1800 h | Cont>AMPH; Cont>MPH | |||
| 1800–2100 h | Cont>Amph | |||
| 2100–0000 h | NS | |||
| 12th Month of cumulative treatment | ||||
| Group main effect | NS | NS | NS | NS |
| Group × time bin | NS | NS | NS | NS |
| 18th Month of Cumulative Treatment | ||||
| Group main effect | NS | NS | NS | NS |
| Group × time bin | NS | NS | F14, 105=1.97, p=0.027 | NS |
| 0000–0300 h | NS | NS | NS | NS |
| 0300–0600 h | NS | NS | NS | NS |
| 0600–0900 h | NS | NS | Cont>AMPH; Cont>MPH | NS |
| 0900–1200 h | NS | NS | NS | NS |
| 1200–1500 h | NS | NS | NS | NS |
| 1500–1800 h | NS | NS | Cont>AMPH; Cont>MPH | NS |
| 1800–2100 h | NS | NS | NS | NS |
| 2100–0000 h | NS | NS | NS | NS |
Abbreviatons: NA, not applicable (post-hoc comparisons not conducted if no main effect and no interaction); NS, not significant.
Post-hoc comparisons of MPH and control and AMPH and control monkeys were not significant.
In the third type of analysis, which focused only on daylight hours when AMPH and MPH likely would have had the largest acute effects, activity was totaled from 0900 to 1500 hours for each monkey for each day and averaged for all 4 weeks of baseline, the last 4 weeks of the 6-month treatment period, the first 4 weeks of the break period, the 4 weeks comprising the 12th month of treatment, the 4 weeks comprising the 18th month of treatment, and the first 4 weeks of the post-treatment period. Separate one-way (week) repeated-measures ANOVAS, one for each group (AMPH, MPH, and control) were conducted with post-hoc comparisons to the last week of baseline. For the AMPH group, there was a main effect of week (F27, 177=2.6, p<0.001). According to post-hoc comparisons, activity in the 2nd week of the break and each of the first 4 weeks of the post-treatment period was lower than activity during the 4th week of baseline. For the MPH monkeys, there was a main effect of week (F27, 176=2, p=0.004); and according to post-hoc analysis, activity during the 2nd week of the post-treatment period was lower than in the last week of baseline. For control monkeys, there was no main effect of week, but recall that post-treatment period data were excluded from analysis due to the loss of activity data in that group.
Behavioral Models of Executive Function
SSRT
All monkeys were successfully trained to perform the SSRT task. Three dependent measures were analyzed for 1 week of sessions (ie, three sessions) at each of the time points (baseline, and 6, 12, and 18 total months of treatment). The measures were: median reaction time (lever release latency once release light was illuminated), median touch latency (time from lever release till key press), and median stop latency (time from lever release till white, not red, key was pressed on stop trials). These measures represent, respectively, simple reaction time, gross motor speed, and ability to inhibit responding. There was a significant main effect of group for stop latency (F2, 21=5.1, p=0.01). Post-hoc analysis revealed that stop latency for the MPH group was significantly lower than for the control group under baseline conditions (ie, before the beginning of drug dosing; Figure 4, top). There were no statistically significant group differences in lever release latency (simple reaction time) or touch latency (gross motor speed) at any time point (data not shown).
Figure 4.
Stopping time data from the stop signal reaction time (SSRT) procedure for control, amphetamine (AMPH), and methylphenidate (MPH) groups at baseline, and after 6, 12, and 18 months of treatment (top). The x axis represents time on drug, and the y axis represents stopping time in milliseconds, calculated as touch latency minus stop latency. Data are the mean±SEM, n=8 for each group. Difference between release latencies (RLs) at 1 and 3 s in the delay estimation/motor preparation (DE/MP) task for control, AMPH, and MPH groups at baseline, and after 6, 12, and 18 months of treatment (bottom). The x axis represents time on drug, and the y axis represents RL1–RL3 in ms. Data are the mean±SEM, and n=8 for each group.
DE/MP
All animals in the control group acquired the DE/MP task by the end of baseline; that is, they demonstrated timing behavior by releasing more quickly after 3-s hold times than after 1-s hold times. In the MPH group, all but one animal acquired the task, and in the AMPH group, five of the eight monkeys acquired the task. Only those animals that acquired the task were used for analysis. The dependent measure was the difference in lever release latency when the hold light was on for 3 s relative to 1 s. Data were compared for 1 week of sessions (ie, 3 sessions) at baseline and after 6, 12, and 18 months of treatment. Figure 4 (bottom) shows the difference between latencies 1 and 3 s after the release stimulus was presented. Two-way (group and time period) repeated-measures ANOVA indicated no significant main effect of group or a group-by-time period interaction. There was a main effect of time period (F3, 6=3.3, p=0.03), and post-hoc comparisons revealed that DE/MP performance at 6-month treatment differed significantly from baseline for the AMPH group only.
ID/ED
All animals successfully performed the ID/ED task. Each administration of the ID/ED used a different stimulus set and, as previously reported (Weed et al, 1999), there were differences in the gross number of errors as a function of the stimulus sets (Figure 5a and b). Repeated-measures ANOVA indicated a significant main effect of ID/ED stage at all time points: baseline (F7, 14=14.93, p<0.001); 6 (F7, 14=30.56, p<0.001), 12 (F7, 14=8.91, p<0.001), and 18 total months of treatment (F7, 14=16.00, p=0.001). Overall, the pattern of errors was as expected, the numbers of errors differed from stage to stage, and there were differences between overall performance at each time point (most likely due to intrinsic differences in difficulty of the stimulus sets and/or experience with the testing, rather than differences in the animals). Within each stage, there were no statistically significant differences in the number of errors made between the groups at any time point. Attentional set shifting is measured in the ID/ED task by the increase in errors on the ED shift (the ED stage) relative to the ID stages. Figure 5b presents raw errors at these stages for each time point. Errors were generally higher on the ED than the ID stage; however, there were no significant differences among the groups in the measure of attentional set shifting at any time point. Neither was there any statistically significant effect of group in the size of the difference between errors in the ED and ID stages.
Figure 5.
Errors to criterion for the different stages of the intra-dimensional/extra-dimensional (ID/ED) task for control, amphetamine (AMPH), and methylphenidate (MPH) groups at baseline, and after 6, 12, and 18 months of treatment. The top panel (a) shows performance under baseline conditions for all of the stages of the ID/ED task. The bottom panel (b) shows performance on the ID and ED stages of the ID/ED task at all time points studied. Data are the mean±SEM, and n=8 for each group.
Object retrieval detour
Figure 6 presents the data from the object retrieval detour (ORD) task at each time point for each group. Data were collected for three parameters: the percentage of trials in which food was retrieved on the first reach, barrier reaches (ie, errors), and latency to initiate a reach into the box. Data are presented for all trials (left graphs) and ‘hard' trials (as previously defined; right graphs). There was a significant main effect of time point on the percentage of hard trials where the food reinforcer was retrieved on the first reach (F2, 4=3.73, p=0.03), but no significant effect of group or a group by time point interaction. Post-hoc comparisons revealed that there were fewer trials on which food was retrieved on the first reach after 6 months compared to 12 months of treatment and 18 total months of treatment.
Figure 6.
Performance on the object retrieval detour (ORD) task for control, amphetamine (AMPH), and methylphenidate (MPH) groups after 6, 12, and 18 months of treatment. Data are presented for all trials (left panels) and trials defined as ‘hard' (eg, when the box opening was not directly facing the monkey and the food reinforcer was placed far inside the box; right panels). Data from three measures are presented: percent of trials where the food reinforcer was retrieved on the first reach (top panels), average errors/trial or ‘barrier reaches' (middle panels), and latency to initiate a reach (bottom panels). Data are the mean±SEM, and n=8 for each group.
PET Measures of DAT, D2-like Receptors, and %DAR
Figure 7 presents the data from the PET studies evaluating DAT ([11C]MPH BPND; top graph), DA D2 receptor ([11C]raclopride BPND; middle graph), and AMPH-stimulated %DAR (bottom graph) in the striatum at baseline, after 6 months of treatment and after 18 total months of treatment, and after 6 months of post-treatment. There was a significant main effect of time point (F3, 6=9.31, p<0.001) for DAT BPND in the striatum, but no main effect of group or a group by time point interaction. DAT BPND values for control monkeys were higher during baseline than 6 months after then end of treatment according to post-hoc comparisons. DAT BPND values were higher for MPH monkeys after 18 total months of treatment compared with baseline values, according to post-hoc comparisons. Post-hoc comparisons of group DAT BPND were not significant at any time point.
Figure 7.
Dopamine transporter (DAT) binding potential (top graph), dopamine D2 receptor binding potential (middle graph), and %change in D2 receptor binding potential following intravenous (i.v.) bolus infusion of d-amphetamine (bottom graph) in the striatum for control, amphetamine (AMPH), and methylphenidate (MPH) groups at baseline, after 6 and 18 months of treatment, and 6 months after treatment ended. Data are the mean±SEM, and n=8 for each group. ‘Post-Tx'=post-treatment period.
Similar to DAT binding, there was a significant main effect of time point for binding of [11C]raclopride to D2 receptors in the striatum (F3, 6=5.89, p=0.001). Overall there was a decrease in D2 receptor BPND values, compared to baseline, across groups after 18 months of dosing and 6 months after treatment ended, (Figure 7, middle graph). There were no statistically significant differences between treatment Groups at any time point.
There was also a main effect of time point (F3, 6=5.56, p=0.002) for AMPH-stimulated DA release (%DAR; Figure 7, bottom graph). Overall, there was an increase in the percentage change in D2 receptor BPND following injection of d-AMPH after 18 months of treatment and 6 months after treatment ended, compared to baseline. The main effect of group and the interaction between group and time point were not statistically significant.
DISCUSSION
The results of this study clearly show that prolonged exposure to therapeutically relevant doses of AMPH or MPH in peri-adolescent rhesus monkeys had little effect on development in terms of growth, activity, executive/cognitive function, DAT and D2 BPND values, or d-AMPH-induced %DAR. These results are similar to a previous study with juvenile macaques and chronic MPH in an operant test battery that showed no change in many behavioral/cognitive measures with a low dose of MPH (Rodriguez et al, 2010).
Given the lack of effects found in these studies, it is important to reiterate that the blood levels produced by the oral self-dosing procedures were in the clinically relevant range. Drug exposure levels were on the higher side of the clinically relevant range with both compounds. The plasma levels of dl-AMPH and MPH achieved in this study were above peak concentrations reported in children treated with those compounds (Greenhill et al, 2003; Patrick and Markowitz, 1997). One important caveat is that the oral self-dosing procedure in this study resulted in lower bioavailability of MPH than did the oral dosing procedure used by Rodriguez et al. (2010) (40.84–134.55 ng/ml in their study and 18–32 ng/ml in this study). The cause of this difference in exposure is not clear, but likely related to the large difference in dosing volume used in the two procedures (approximately 100 ml in this study vs 0.5 ml/kg in the study by Rodriguez et al. (2010)), with the lower volume likely encouraging retention in the monkey's cheek pouch resulting in more efficient buccal absorption. Most importantly, our previous PET study indicated that oral doses of MPH similar to these resulted in roughly 50% occupancy of the DAT by MPH in rhesus macaques (Wilcox et al, 2008), an occupancy level shown to result from therapeutic doses of oral MPH in humans (Volkow et al, 1998).
The major advantage of the oral self-dosing procedure was that it enabled an automated, reliable, non-stressful administration of both MPH and AMPH, with all animals in the study receiving their treatments at exactly the same time. Models such as these that use voluntary consumption will naturally have some variability in dosing. Overall the ‘compliance' in drinking typically exceeded estimates of compliance in ADHD patients (eg, 74.11% at 1 week and 72.75% at 3 months; Ibrahim et al, 2002). Therefore, the level of consistent exposure of the monkeys to AMPH or MPH throughout the study can be considered therapeutically relevant.
Reports of the physiological effects (eg, growth rates and sleep patterns) of ADHD treatment medications show variable results. For example, some studies reported that growth rates were reduced (Mattes and Gittelman, 1983; MTA Cooperative Group, 2004b) and that the effect may be transient or long lasting (Poulton and Cowell, 2003; Rapport and Moffitt, 2002). In this study, there were no differences between the control group and either the AMPH or the MPH groups on any growth rate measure (weight, head circumference, and crown-to-rump length). These results are consistent with another chronic MPH study using juvenile macaques where growth rates were not affected (Morris et al, 2009).
Interestingly, the increase in testosterone found in the MPH monkeys after 12 months of drug exposure compared with the control monkeys is opposite to that found in a recent study of chronic MPH exposure in rhesus monkeys, in which MPH-exposed monkeys exhibited lower testosterone levels (Mattison et al, 2011). The lack of baseline measurements and measurements across months of dosing is a limitation of the testosterone data set in this study; the study by Mattison and co-workers included many more time points. However, the reason for the discrepancy between the studies is unclear. Further research may be necessary to disentangle the effects of MPH on testosterone levels in male peri-adolescent rhesus monkeys.
There was no persistent induction of the markers of genetic toxicity (CA, MN, and SCE) with either drug. There were statistically significant but very small and transient increases in MN and SCE at the early time points (when blood was taken after 3 and 6 months of drug delivery). Following those changes, the measures were similar to the control Group for more than a year. In the case of the SCE changes, the transient increases were small enough as to be within the ranges seen between baseline and 18 months in the control Group. In the case of the MN changes, the magnitude was less than that expected from a diagnostic X-ray or angiography in humans (Norman et al, 2001). Overall, the absence of persistent effects indicates that these drugs are not clastogens in rhesus monkeys. The lack of clastogenic effects in this study is similar to one previous report in rhesus monkeys (Morris et al, 2009) and several reports in ADHD patients (Ponsa et al, 2009; Tucker et al, 2009; Witt et al, 2008).
When the data on general activity were analyzed in hourly time bins, only at the 6-month treatment period were there any statistically significant differences between groups, and the activity of control monkeys was higher than that of the AMPH and MPH monkeys. Similarly, when the data were analyzed in 3-h time bins, statistically significant effects of group or group by time bin interactions were obtained during the 3rd week of baseline, the 2nd week of the break, and the 3rd of the last 4 weeks of the 12-month treatment period. The time of day in which these between-group differences in activity level occurred varied; but in all cases, activity levels of control monkeys were higher than those of AMPH, MPH, or both groups of monkeys. The fact that such differences were obtained before any drug exposure, during drug exposure, and during time off drug, and were always in the same direction, suggest that the differences were not due to drug exposure or termination of that exposure. With respect to activity data, once drug delivery was stopped, within-group analyses of general activity for the AMPH monkeys suggested a decline in activity during the 2nd week of the break and also during all of the first 4 weeks of the post-treatment period relative to the last week of baseline. Within-group analysis for the MPH monkeys showed a decline in activity during the 2nd week of the post-treatment period relative to the last week of baseline. Although not conclusive, it is possible that the decreases in activity were the result of abrupt drug termination. Overall the lack of robust drug effects on activity is consistent with two previous studies that reported no difference in nocturnal activity between medicated and un-medicated children with ADHD, suggesting that stimulant therapy neither improved nor impaired sleep (Cohen-Zion and Ancoli-Israel, 2004).
The behavioral battery used in this study assessed a number of aspects of executive function, including inhibitory control (ORD and SSRT tasks), time estimation (DE/MP task), and cognitive flexibility (ID/ED task). Performance on all tasks was similar in the AMPH, MPH, and control groups under baseline conditions, and consistent with previous reports (Dias et al, 1996; Weed et al, 2003, 1999). All in all, there were no important or systematic effects of long-term exposure to these doses of AMPH or MPH on any cognitive measure. Previous reports have suggested that acute administration of psychomotor stimulants can affect performance on the cognitive tests used in these experiments; however, few studies have used a gradually escalating, chronically administered low dose. The very gradual increase in dose was employed in this study to eliminate rejection of the drinking solution, and it is possible that the slow increase altered the behavioral effects of AMPH and MPH relative to an acute oral administration in naïve animals.
It is important to note several caveats regarding these studies. The magnitude and length of these studies precluded the use of more than one dose group for these drugs. A dose–response function that included doses higher than the therapeutic range would have allowed determination of a safety margin for these treatments; however, this would have required doubling or tripling the current efforts. Similarly, studies of acute and chronic treatments would have improved the ability to interpret these data, but again would have required doubling the number of animals used. Fortunately, a growing body of literature for both compounds has investigated the acute and chronic effects of higher doses of these compounds—doses more typical of abused doses have significant effects (Castner et al, 2000; Morris et al, 2009). These studies are an important addition to this literature.
Another important caveat of these studies is that the animals used in this study were healthy normal monkeys and not intended to model the ADHD population. The overall goal of this study was to investigate the developmental effects of AMPH and MPH treatments per se. It remains a possibility that the effects of stimulant drugs such as AMPH and MPH may differ in humans and non-humans with biological characteristics indicative of ADHD. Nevertheless, these results demonstrate that chronic, 18 months exposure to therapeutically relevant, low doses of AMPH or MPH does not result in significant effects on growth rates, sleep patterns, cognitive/executive function, or on dopaminergic system development, including changes in DAT and DA D2 receptor densities and d-AMPH-evoked DA release. Consistent with other reports, cytogenetic studies suggested that neither AMPH nor MPH is a clastogen. Overall, these results are consistent with a growing body of evidence in laboratory animals and humans that suggest that at therapeutic doses, AMPH and MPH have little, if any, long-term detrimental effects.
Acknowledgments
We thank Virginia Bogdan, Stacey Perry, Danielle Pyle, and Raymond Smith for expert technical assistance throughout the project, and Lani Swarthout for assistance with PET scans. We thank Rex Denton for thoughtful discussions on the cytogenetic data. We also wish to express gratitude to our NIMH program officers for the many ways in which they provided invaluable support and important contributions to research design and discussion of emerging data in the course of this Cooperative Agreement (U01)-supported project. This work was financially supported by National Institute on Mental Health grant U01-MH075378.
The authors declare no conflict of interest.
In the past 3 years, the authors have received compensation for professional services as follows: Dr Ator's work has been funded by the NIH and she has received funding from Helsinn Healthcare to conduct an abuse liability evaluation of an unrelated compound. She has received compensation for consulting on abuse liability evaluation from Bristol Myers Squibb and F Hoffmann LaRoche. Dr Riddle's, Dr Wilcox's, and Dr Zhou's work has been funded by the NIH. Dr Soto's work has been funded by the NIH; he has received compensation, unrelated to his scientific work, for database/software consulting from Shands Hospital at the University of Florida. Dr Weed has been an employee of Bristol Myers Squibb since the end of the PET scans that occurred following the 18 months of treatment in this study. Bristol Myers-Squibb provided no financial support for these studies and had no scientific involvement. Dr Wong's work has been funded by the NIH, Avid, Biotie, GE, Intracellular, Johnson & Johnson, Eli Lilly, H Lundbeck, Merck, Orexigen, Otsuka, F Hoffmann LaRoche, and Sanofi-Aventis. He has received compensation for consulting from Amgen.
References
- Baldwin RL, Chelonis JJ, Flake RA, Edwards MC, Feild CR, Meaux JB, et al. Effect of methylphenidate on time perception in children with attention-deficit/hyperactivity disorder. Exp Clin Psychopharmacol. 2004;12:57–64. doi: 10.1037/1064-1297.12.1.57. [DOI] [PubMed] [Google Scholar]
- Brown GL, Ebert MH, Hunt RD. Plasma d-amphetamine absorption and elimination in hyperactive children. Psychopharmacol Bull. 1978;14:33–35. [PubMed] [Google Scholar]
- Castner SA, al-Tikriti MS, Baldwin RM, Seibyl JP, Innis RB, Goldman-Rakic PS. Behavioral changes and [123I]IBZM equilibrium SPECT measurement of amphetamine-induced dopamine release in rhesus monkeys exposed to subchronic amphetamine. Neuropsychopharmacology. 2000;22:4–13. doi: 10.1016/S0893-133X(99)00080-9. [DOI] [PubMed] [Google Scholar]
- Cohen-Zion M, Ancoli-Israel S. Sleep in children with attention-deficit hyperactivity disorder (ADHD): a review of naturalistic and stimulant intervention studies. Sleep Med Rev. 2004;8:379–402. doi: 10.1016/j.smrv.2004.06.002. [DOI] [PubMed] [Google Scholar]
- de Jong HW, van Velden FH, Kloet RW, Buijs FL, Boellaard R, Lammertsma AA. Performance evaluation of the ECAT HRRT: an LSO-LYSO double layer high resolution, high sensitivity scanner. Phys Med Biol. 2007;52:1505–1526. doi: 10.1088/0031-9155/52/5/019. [DOI] [PubMed] [Google Scholar]
- Decamp E, Schneider JS. Attention and executive function deficits in chronic low-dose MPTP-treated non-human primates. Eur J Neurosci. 2004;20:1371–1378. doi: 10.1111/j.1460-9568.2004.03586.x. [DOI] [PubMed] [Google Scholar]
- Dias R, Robbins TW, Roberts AC. Primate analogue of the Wisconsin Card Sorting Test: effects of excitotoxic lesions of the prefrontal cortex in the marmoset. Behav Neurosci. 1996;110:872–886. doi: 10.1037//0735-7044.110.5.872. [DOI] [PubMed] [Google Scholar]
- Efron D, Jarman F, Barker M. Side effects of methylphenidate and dexamphetamine in children with attention deficit hyperactivity disorder: a double-blind, crossover trial. Pediatrics. 1997;100:662–666. doi: 10.1542/peds.100.4.662. [DOI] [PubMed] [Google Scholar]
- El-Zein RA, Abdel-Rahman SZ, Hay MJ, Lopez MS, Bondy ML, Morris DL, et al. Cytogenetic effects in children treated with methylphenidate. Cancer Lett. 2005;230:284–291. doi: 10.1016/j.canlet.2005.01.003. [DOI] [PubMed] [Google Scholar]
- Ginovart N, Farde L, Halldin C, Swahn CG. Changes in striatal D2-receptor density following chronic treatment with amphetamine as assessed with PET in nonhuman primates. Synapse. 1999;31:154–162. doi: 10.1002/(SICI)1098-2396(199902)31:2<154::AID-SYN9>3.0.CO;2-K. [DOI] [PubMed] [Google Scholar]
- Gray RA, Wilcox KM, Zink MC, Weed MR. Impaired performance on the object retrieval-detour test of executive function in the SIV/macaque model of AIDS. AIDS Res Hum Retroviruses. 2006;22:1031–1035. doi: 10.1089/aid.2006.22.1031. [DOI] [PubMed] [Google Scholar]
- Greenhill LL, Swanson JM, Steinhoff K, Fried J, Posner K, Lerner M, et al. A pharmacokinetic/pharmacodynamic study comparing a single morning dose of Adderall to twice-daily dosing in children with ADHD. J Am Acad Child Adolesc Psychiatry. 2003;42:1234–1241. doi: 10.1097/00004583-200310000-00015. [DOI] [PubMed] [Google Scholar]
- Guilarte TR, Chen MK, McGlothan JL, Verina T, Wong DF, Zhou Y, et al. Nigrostriatal dopamine system dysfunction and subtle motor deficits in manganese-exposed non-human primates. Exp Neurol. 2006;202:381–390. doi: 10.1016/j.expneurol.2006.06.015. [DOI] [PubMed] [Google Scholar]
- Haber SN. The primate basal ganglia: parallel and integrative networks. J Chem Neuroanat. 2003;26:317–330. doi: 10.1016/j.jchemneu.2003.10.003. [DOI] [PubMed] [Google Scholar]
- Horti AG, Fan H, Kuwabara H, Hilton J, Ravert HT, Holt DP, et al. 11C-JHU75528: a radiotracer for PET imaging of CB1 cannabinoid receptors. J Nucl Med. 2006;47:1689–1696. [PubMed] [Google Scholar]
- Ibrahim el SR. Rates of adherence to pharmacological treatment among children and adolescents with attention deficit hyperactivity disorder. Hum Psychopharmacol. 2002;17:225–231. doi: 10.1002/hup.406. [DOI] [PubMed] [Google Scholar]
- Jentsch JD, Roth RH, Taylor JR. Object retrieval/detour deficits in monkeys produced by prior subchronic phencyclidine administration: evidence for cognitive impulsivity. Biol Psychiatry. 2000;48:415–424. doi: 10.1016/s0006-3223(00)00926-4. [DOI] [PubMed] [Google Scholar]
- Kempton S, Vance A, Maruff P, Luk E, Costin J, Pantelis C. Executive function and attention deficit hyperactivity disorder: stimulant medication and better executive function performance in children. Psychol Med. 1999;29:527–538. doi: 10.1017/s0033291799008338. [DOI] [PubMed] [Google Scholar]
- Lammertsma AA, Hume SP. Simplified reference tissue model for PET receptor studies. NeuroImage. 1996;4 (Part 1:153–158. doi: 10.1006/nimg.1996.0066. [DOI] [PubMed] [Google Scholar]
- Mattes JA, Gittelman R. Growth of hyperactive children on maintenance regimen of methylphenidate. Arch Gen Psychiatry. 1983;40:317–321. doi: 10.1001/archpsyc.1983.01790030087011. [DOI] [PubMed] [Google Scholar]
- Mattison DR, Plant TM, Lin HM, Chen HC, Chen JJ, Twaddle NC, et al. Pubertal delay in male nonhuman primates (Macaca mulatta) treated with methylphenidate. Proc Natl Acad Sci USA. 2011;108:16301–16306. doi: 10.1073/pnas.1102187108. [DOI] [PMC free article] [PubMed] [Google Scholar]
- Mehta MA, Goodyer IM, Sahakian BJ. Methylphenidate improves working memory and set-shifting in AD/HD: relationships to baseline memory capacity. J Child Psychol Psychiatry. 2004;45:293–305. doi: 10.1111/j.1469-7610.2004.00221.x. [DOI] [PubMed] [Google Scholar]
- Middleton FA, Strick PL. Basal–ganglia ‘projections' to the prefrontal cortex of the primate. Cereb Cortex. 2002;12:926–935. doi: 10.1093/cercor/12.9.926. [DOI] [PubMed] [Google Scholar]
- Morris SM, Dobrovolsky VN, Shaddock JG, Mittelstaedt RA, Bishop ME, Manjanatha MG, et al. The genetic toxicology of methylphenidate hydrochloride in non-human primates. Mutat Res. 2009;673:59–66. doi: 10.1016/j.mrgentox.2008.12.001. [DOI] [PubMed] [Google Scholar]
- Morris SM, Petibone DM, Lin WJ, Chen JJ, Vitiello B, Witt KL, et al. 2012The genetic toxicity of methylphenidate: a review of the current literature J Appl Toxicole-pub ahead of print 15 February 2012. [DOI] [PubMed]
- Mostofsky SH, Cooper KL, Kates WR, Denckla MB, Kaufmann WE. Smaller prefrontal and premotor volumes in boys with attention-deficit/hyperactivity disorder. Biol Psychiatry. 2002;52:785–794. doi: 10.1016/s0006-3223(02)01412-9. [DOI] [PubMed] [Google Scholar]
- MTA Cooperative Group A 14-month randomized clinical trial of treatment strategies for attention-deficit/hyperactivity disorder. The MTA Cooperative Group. Multimodal Treatment Study of Children with ADHD. Arch Gen Psychiatry. 1999;56:1073–1086. doi: 10.1001/archpsyc.56.12.1073. [DOI] [PubMed] [Google Scholar]
- MTA Cooperative Group National Institute of Mental Health Multimodal Treatment Study of ADHD follow-up: 24-month outcomes of treatment strategies for attention-deficit/hyperactivity disorder. Pediatrics. 2004a;113:754–761. doi: 10.1542/peds.113.4.754. [DOI] [PubMed] [Google Scholar]
- MTA Cooperative Group National Institute of Mental Health Multimodal Treatment Study of ADHD follow-up: changes in effectiveness and growth after the end of treatment. Pediatrics. 2004b;113:762–769. doi: 10.1542/peds.113.4.762. [DOI] [PubMed] [Google Scholar]
- Norman A, Cochran ST, Sayre JW. Meta-analysis of increases in micronuclei in peripheral blood lymphocytes after angiography or excretory urography. Radiat Res. 2001;155:740–743. doi: 10.1667/0033-7587(2001)155[0740:maoiim]2.0.co;2. [DOI] [PubMed] [Google Scholar]
- Patrick KS, Markowitz JS. Pharmacology of methlyphenidate, amphetamine enantiomers and pemoline in attention-deficit hyperactivity disorder. Hum Psychopharmacol. 1997;12:527–546. [Google Scholar]
- Ponsa I, Ramos-Quiroga JA, Ribases M, Bosch R, Bielsa A, Ordeig MT, et al. Absence of cytogenetic effects in children and adults with attention-deficit/hyperactivity disorder treated with methylphenidate. Mutat Res. 2009;666:44–49. doi: 10.1016/j.mrfmmm.2009.03.014. [DOI] [PubMed] [Google Scholar]
- Poulton A, Cowell CT. Slowing of growth in height and weight on stimulants: a characteristic pattern. J Paediatr Child Health. 2003;39:180–185. doi: 10.1046/j.1440-1754.2003.00107.x. [DOI] [PubMed] [Google Scholar]
- Rahmim A, Cheng JC, Blinder S, Camborde ML, Sossi V. Statistical dynamic image reconstruction in state-of-the-art high-resolution PET. Phys Med Biol. 2005;50:4887–4912. doi: 10.1088/0031-9155/50/20/010. [DOI] [PubMed] [Google Scholar]
- Rapport MD, Moffitt C. Attention deficit/hyperactivity disorder and methylphenidate. A review of height/weight, cardiovascular, and somatic complaint side effects. Clin Psychol Rev. 2002;22:1107–1131. doi: 10.1016/s0272-7358(02)00129-0. [DOI] [PubMed] [Google Scholar]
- Rawlins RG, Kessler MJ, Turnquist JE. Reproductive performance, population dynamics and anthropometrics of the free-ranging Cayo Santiago rhesus macaques. J Med Primatol. 1984;13:247–259. [PubMed] [Google Scholar]
- Robinson TE, Becker JB. Enduring changes in brain and behavior produced by chronic amphetamine administration: a review and evaluation of animal models of amphetamine psychosis. Brain Res. 1986;396:157–198. doi: 10.1016/s0006-8993(86)80193-7. [DOI] [PubMed] [Google Scholar]
- Rodriguez JS, Morris SM, Hotchkiss CE, Doerge DR, Allen RR, Mattison DR, et al. The effects of chronic methylphenidate administration on operant test battery performance in juvenile rhesus monkeys. Neurotoxicol Teratol. 2010;32:142–151. doi: 10.1016/j.ntt.2009.08.011. [DOI] [PMC free article] [PubMed] [Google Scholar]
- Rutten K, Basile JL, Prickaerts J, Blokland A, Vivian JA. Selective PDE inhibitors rolipram and sildenafil improve object retrieval performance in adult cynomolgus macaques. Psychopharmacology (Berl) 2008;196:643–648. doi: 10.1007/s00213-007-0999-1. [DOI] [PMC free article] [PubMed] [Google Scholar]
- Segal DS, Geyer MA, Schuckit MA. Stimulant-induced psychosis: an evaluation of animal methods. Essays Neurochem Neuropharmacol. 1981;5:95–129. [PubMed] [Google Scholar]
- Sossi V, de Jong HWAM, Barker WC, Bloomfield P, Burbar Z, Camborde M-L, et al. The second-generation HRRT—a multi-centre scanner performance investigation. Nucl Sci Symp Conf Record. 2005;4:2195–2199. [Google Scholar]
- Sowell ER, Thompson PM, Welcome SE, Henkenius AL, Toga AW, Peterson BS. Cortical abnormalities in children and adolescents with attention-deficit hyperactivity disorder. Lancet. 2003;362:1699–1707. doi: 10.1016/S0140-6736(03)14842-8. [DOI] [PubMed] [Google Scholar]
- Spear J, Alderton D. Psychosis associated with prescribed dexamphetamine use. Aust N Z J Psychiatry. 2003;37:383. doi: 10.1046/j.1440-1614.2003.11723.x. [DOI] [PubMed] [Google Scholar]
- Spruyt K, Gozal D. Sleep disturbances in children with attention-deficit/hyperactivity disorder. Expert Rev Neurother. 2011;11:565–577. doi: 10.1586/ern.11.7. [DOI] [PMC free article] [PubMed] [Google Scholar]
- Swanson JM, Volkow ND. Serum and brain concentrations of methylphenidate: implications for use and abuse. Neurosci Biobehav Rev. 2003;27:615–621. doi: 10.1016/j.neubiorev.2003.08.013. [DOI] [PubMed] [Google Scholar]
- Tannock R, Schachar RJ, Carr RP, Chajczyk D, Logan GD. Effects of methylphenidate on inhibitory control in hyperactive children. J Abnorm Child Psychol. 1989;17:473–491. doi: 10.1007/BF00916508. [DOI] [PubMed] [Google Scholar]
- Tucker JD, Suter W, Petibone DM, Thomas RA, Bailey NL, Zhou Y, et al. Cytogenetic assessment of methylphenidate treatment in pediatric patients treated for attention deficit hyperactivity disorder. Mutat Res. 2009;677:53–58. doi: 10.1016/j.mrgentox.2009.05.005. [DOI] [PubMed] [Google Scholar]
- Tulloch SJ, Zhang Y, McLean A, Wolf KN. SLI381 (Adderall XR), a two-component, extended-release formulation of mixed amphetamine salts: bioavailability of three test formulations and comparison of fasted, fed, and sprinkled administration. Pharmacotherapy. 2002;22:1405–1415. doi: 10.1592/phco.22.16.1405.33687. [DOI] [PubMed] [Google Scholar]
- Vles JS, Feron FJ, Hendriksen JG, Jolles J, van Kroonenburgh MJ, Weber WE. Methylphenidate down-regulates the dopamine receptor and transporter system in children with attention deficit hyperkinetic disorder (ADHD) Neuropediatrics. 2003;34:77–80. doi: 10.1055/s-2003-39602. [DOI] [PubMed] [Google Scholar]
- Volkow ND, Wang GJ, Fowler JS, Gatley SJ, Logan J, Ding YS, et al. Dopamine transporter occupancies in the human brain induced by therapeutic doses of oral methylphenidate. Am J Psychiatry. 1998;155:1325–1331. doi: 10.1176/ajp.155.10.1325. [DOI] [PubMed] [Google Scholar]
- Volkow ND, Wang GJ, Fowler JS, Logan J, Gatley SJ, Hitzemann R, et al. Decreased striatal dopaminergic responsiveness in detoxified cocaine-dependent subjects. Nature. 1997;386:830–833. doi: 10.1038/386830a0. [DOI] [PubMed] [Google Scholar]
- Weed MR, Bryant R, Perry S. Cognitive development in macaques: attentional set-shifting in juvenile and adult rhesus monkeys. Neuroscience. 2008a;157:22–28. doi: 10.1016/j.neuroscience.2008.08.047. [DOI] [PubMed] [Google Scholar]
- Weed MR, Hienz RD. Effects of morphine on circadian rhythms of motor activity and body temperature in pig-tailed macaques. Pharmacol Biochem Behav. 2006;84:487–496. doi: 10.1016/j.pbb.2006.06.012. [DOI] [PubMed] [Google Scholar]
- Weed MR, Hienz RD, Brady JV, Adams RJ, Mankowski JL, Clements JE, et al. Central nervous system correlates of behavioral deficits following simian immunodeficiency virus infection. J Neurovirol. 2003;9:452–464. doi: 10.1080/13550280390218751. [DOI] [PubMed] [Google Scholar]
- Weed MR, Taffe MA, Polis I, Roberts AC, Robbins TW, Koob GF, et al. Performance norms for a rhesus monkey neuropsychological testing battery: acquisition and long-term performance. Brain Res Cogn Brain Res. 1999;8:185–201. doi: 10.1016/s0926-6410(99)00020-8. [DOI] [PubMed] [Google Scholar]
- Weed MR, Wilcox KM, Ator NA, Hienz RD. Consistent, high-level ethanol consumption in pig-tailed macaques via a multiple-session, limited-intake, oral self-dosing procedure. Alcohol Clin Exp Res. 2008b;32:942–951. doi: 10.1111/j.1530-0277.2008.00652.x. [DOI] [PubMed] [Google Scholar]
- Wilcox KM, Zhou Y, Wong DF, Alexander M, Rahmim A, Hilton J, et al. Blood levels and DA transporter occupancy of orally administered methylphenidate in juvenile rhesus monkeys measured by high resolution PET. Synapse. 2008;62:950–952. doi: 10.1002/syn.20565. [DOI] [PMC free article] [PubMed] [Google Scholar]
- Williamson S, Gossop M, Powis B, Griffiths P, Fountain J, Strang J. Adverse effects of stimulant drugs in a community sample of drug users. Drug Alcohol Depend. 1997;44:87–94. doi: 10.1016/s0376-8716(96)01324-5. [DOI] [PubMed] [Google Scholar]
- Witt KL, Shelby MD, Itchon-Ramos N, Faircloth M, Kissling GE, Chrisman AK, et al. Methylphenidate and amphetamine do not induce cytogenetic damage in lymphocytes of children with ADHD. J Am Acad Child Adolesc Psychiatry. 2008;47:1375–1383. doi: 10.1097/chi.0b013e3181893620. [DOI] [PMC free article] [PubMed] [Google Scholar]
- Zhou Y, Chen MK, Endres CJ, Ye W, Brasic JR, Alexander M, et al. An extended simplified reference tissue model for the quantification of dynamic PET with amphetamine challenge. NeuroImage. 2006;33:550–563. doi: 10.1016/j.neuroimage.2006.06.038. [DOI] [PubMed] [Google Scholar]







