Abstract
The solution thermodynamics of water soluble complexes formed between Ce(III), Ce(IV), Th(IV) and the octadentate chelating agent 3,4,3-LI(1,2-HOPO) were investigated. Several techniques including spectrofluorimetric and automated spectrophotometric titrations were used to overcome the slow spontaneous oxidation of Ce(III) complexes yielding to stability constants of log β110 = 17.4 ± 0.5, log β11-1 = 8.3 ± 0.4 and log β111 = 21.2 ± 0.4 for [Ce(III)(3,4,3-LI(1,2-HOPO))]−, [Ce(III)(3,4,3-LI(1,2-HOPO)(OH)]2− and [Ce(III)(3,4,3-LI(1,2-HOPO)H], respectively. Using the spectral properties of the hydroxypyridinonate chelator in ligand competition titrations against nitrilotriacetic acid, the stability constant log β110 = 41.5 ± 0.5 was determined for [Ce(IV)(3,4,3-LI(1,2-HOPO))]. Finally, the extraordinarily stable complex [Ce(IV)(3,4,3-LI(1,2-HOPO))] was used in Th(IV) competition titrations, resulting in a stability constant of log β110 = 40.1 ± 0.5 for [Th(IV)3,4,3-LI(1,2-HOPO))]. These experimental values are in excellent agreement with previous estimates, they are discussed with respect to the ionic radius and oxidation state of each cationic metal and allow predictions on the stability of other actinide complexes including [U(IV)(3,4,3-LI(1,2-HOPO))], [Np(IV)(3,4,3-LI(1,2-HOPO))] and [Pu(IV)(3,4,3-LI(1,2-HOPO))]. Comparisons with the standard ligand diethylenetriamine pentaacetic acid (DTPA) provide a thermodynamic basis for the observed significantly higher efficacy of 3,4,3-LI(1,2-HOPO) as an in vivo actinide decorporation agent.
Keywords: Competition titration, decorporation agent, hydroxypyridinonate ligand, actinide complexes, cerium complexes
INTRODUCTION
The only practical treatment after a large-scale internal contamination by radioactive materials such as actinides (An) and lanthanides (Ln) would be the use of chelating agents. So far, the only approved drugs for the removal of An or Ln from the body, namely trisodium salts of calcium- and zinc diethylenetriamine pentaacetate (CaNa3DTPA and ZnNa3DTPA, referred to as DTPA hereafter) (Figure 1), are not potent when administered orally, moderately effective for the removal of trivalent ions such as Am3+, less efficient for Pu4+, and barely active for removing UO22+ and NpO2+ from the body.1,2 On the other hand, one of the most promising candidates for new decorporation therapies, ideally of low toxicity, orally available and active for Ln(III), An(III) and An(IV), is the linear octadentate 1-hydroxy-2-pyridinonate ligand 3,4,3-LI(1,2-HOPO) (Figure 1).2
Figure 1.

Structures of the ligands discussed in this study: diethylenetriaminepentaacetic acid (DTPA, left) and 3,4,3-LI(1,2-HOPO) (right); metal-coordinating atoms are highlighted in grey.
This ligand has been extensively studied since the early 1980’s for its extraordinary ability to bind Ln and An ions and is currently undergoing advanced development as a candidate therapeutic for the treatment of individuals contaminated with f-elements.2,3 The low toxicity of this chelating agent and the gain in efficacy in comparison to DTPA have been demonstrated in a number of animal experimental studies4 but the solution thermodynamics of 3,4,3-LI(1,2-HOPO) still need to be further investigated. Even though stability constants for 3,4,3-LI(1,2-HOPO) complexes formed with UO2(VI) as well as with all ions from the Ln series (except for Ce and Pm) have been published,5,6 the stability constants of the complexes [U(IV)(3,4,3-LI(1,2-HOPO)], [Np(IV)(3,4,3-LI(1,2-HOPO))], and [Pu(IV)(3,4,3-LI(1,2-HOPO))] are still unknown. Prior to this work, stability constants had never been determined for a 3,4,3-LI(1,2-HOPO) complex formed with an An(IV) ion, due to various constraints, including the lack of adequate methods to monitor the formation of such strong complexes in solution. Thermodynamic evaluation of the corresponding Ce(III) complex had also been dismissed due to its instability in aqueous media.
In contrast to 3,4,3-LI(1,2-HOPO), the binding constants between DTPA and Ce(IV), all Ln(III) (except Pm), U(VI), all An(III) from Pu to Es and all An(IV) ions have been published.7 Since DTPA is the reference drug in terms of An decorporation, the knowledge of log β values for 3,4,3-LI(1,2-HOPO) complexes is necessary to understand and model in vivo chelation mechanisms as well as to support the preclinical and clinical development paths. Using spectrophotometric methods, fluorescence spectroscopy, and competition titrations, this work represents the first experimental determination of the binding constants between 3,4,3-LI(1,2-HOPO) and Ce(III), Ce(IV) and Th(IV) ions. Moreover, the strategies developed in this study to probe the solution thermodynamics of [Ce(IV)(3,4,3-LI(1,2-HOPO))] and [Th(IV)(3,4,3-LI(1,2-HOPO))] represent new ways to determine the formation constants of species of interest in terms of decorporation therapies, namely, [U(IV)(3,4,3-LI(1,2-HOPO))], [Np(IV)(3,4,3-LI(1,2-HOPO))] and [Pu(IV)(3,4,3-LI(1,2-HOPO))].
EXPERIMENTAL SECTION
General Considerations
Chemicals were obtained from commercial suppliers and were used as received. The ligand 3,4,3-LI(1,2-HOPO) was synthesized by Synthetech, Inc. (Albany, OR, USA), following previously reported procedure, and used as received.8,9 All solutions were prepared using deionized water purified through a Millipore Milli-Q reverse osmosis cartridge system, and special care was taken to adjust the pH as needed with concentrated HCl, H2SO4, KOH or NaOH. All thermodynamic measurements were conducted at room temperature (unless otherwise indicated).
Ligand and Metals Stock Solutions
Aqueous stock solutions of 3,4,3-LI(1,2-HOPO) were freshly prepared by direct dissolution of a weighed portion of ligand in purified Milli-Q water prior to each set of experiments. A Ce(III) stock solution was prepared in 0.01 M HCl from CeCl3•6H2O, and a stock solution of Ce(IV) was assembled in 0.1 M H2SO4 from Ce(SO4)2•4H2O. The presence of Ce(III) in the Ce(IV) stock solution was verified using fluorescence spectroscopy, by comparison of the emission intensity (λexc = 352 nm, λem = 347 nm) with a CeCl3 reference solution; a 0.03% [Ce(III)]/[Ce(IV)]total (mol/mol) ratio was determined in the Ce(IV) stock solution. A Th(IV) stock solution was prepared in 0.1 M H2SO4 from 232ThCl4•8H2O.
Solution Thermodynamics
All titrant solutions were degassed by boiling for 1 h while being purged under Ar. Carbonate-free 0.1 M KOH was prepared from Baker Dilut-It concentrate and was standardized by titrating against 0.1 M HCl. Solutions of 0.1 M HCl were similarly prepared and were standardized by titrating against TRIS. A Micro Combi Electrode (Metrohm) glass electrode (response to [H+] was calibrated before each titration)10 was used with a Metrohm Titrando 907 (Metrohm) to measure the pH of the experimental solutions. In the incremental titration setup, the Metrohm autoburet was used to add incremental volumes of acid or base standard solutions to the titration cell, and the instruments were fully automated and controlled using the Tiamo software from Metrohm.
Incremental Spectrophotometric Titrations
This method was used to monitor the direct complexation of Ce(III) by 3,4,3-LI(1,2-HOPO) and determine the corresponding thermodynamic constants. The experimental titration setup is similar to previously described systems.6 Solutions were assembled from a stock solution of 3,4,3-LI(1,2-HOPO), a measured aliquot of the Ce(III) stock solution and the supporting electrolyte solution (0.1 M KCl), with resulting ligand and metal concentrations of 50 μM, and were incrementally perturbed by the addition of carbonate-free 0.1 M KOH titrant, followed by a minimum time delay for equilibration of 30 seconds. Buffering of the solution was assured by the addition of acetic acid and HEPES buffer (10 mM). An average of 115 data points were collected in each direct complex titration, each data point consisting of a pH measurement and UV-Vis spectra (250–410 nm) over the pH range 1.4 to 11.4. All spectra were corrected for dilution. Each titration was performed at least three times, in less than 1 h and under positive Ar gas pressure to prevent the oxidation of the [Ce(III)(3,4,3-LI(1,2-HOPO))]− complex.
Direct Batch Spectrofluorimetric Titrations
This method was used to monitor the direct formation of the [Ce(III)(3,4,3-LI(1,2-HOPO))]− complex and determine the corresponding thermodynamic stability constant. The experimental titration setup is similar to previously described systems.5 Varying amounts of HCl were added to solutions assembled from stocks of 3,4,3-LI(1,2-HOPO), a measured aliquot of the Ce(III) stock solution and the supporting electrolyte solution (0.1 M KCl), with resulting ligand and metal concentrations of 20 μM. Each series was repeated independently three times and included 13 samples to cover a pH range of 1.0 to 4.4. Spectrofluorimetric measurements were performed on each sample no longer than 10 min after the assembly of solutions to ensure the uptake of Ce(III) by the ligand and to prevent the slow air oxidation of [Ce(III)(3,4,3-LI(1,2-HOPO))]− into [Ce(IV)(3,4,3-LI(1,2-HOPO)]. Ce(III) emission spectra were recorded at 20°C between 300 and 475 nm after excitation at 252 nm.
Ligand Competition Batch Titrations
This method was used to determine the formation constant of the [Ce(IV)(3,4,3-LI(1,2-HOPO))] complex. The experimental titration setup is similar to previously described systems.5 Varying amounts of competing ligand (nitrilotriacetic acid, NTA) were added to solutions assembled from stocks of 3,4,3-LI(1,2-HOPO), a measured aliquot of the Ce(IV) stock solution and the supporting electrolyte solution (0.4 M KCl), with resulting ligand and metal concentrations of 30 μM. Samples were buffered at pH 10 using the CHES buffer (10 mM). Each batch titration included 12 data points and the range of [NTA]:[3,4,3-LI(1,2-HOPO)] ratios used was 0:1 to 2,400:1. Three independent titrations were carried out. All samples were equilibrated for 24 h at room temperature before pH and UV-Vis measurements. The UV-Vis spectrum of each solution was measured (230–700 nm) using a 1-cm quartz cell.
Metal Competition Batch Titrations
This method was used to determine the formation constant of the [Th(IV)(3,4,3-LI(1,2-HOPO))] complex. The experimental titration setup is similar to previously described systems.6 Varying amounts of competing metal (Th(IV)) were added to solutions assembled from stocks of 3,4,3-LI(1,2-HOPO), a measured aliquot of the Ce(IV) stock solution and the supporting electrolyte solution (0.15 M Na2SO4), with resulting ligand and metal concentrations of 30 μM. Each batch titration was performed independently at least three times and included 11 data points with the ratio [Th(IV)]:[Ce(IV)] comprised between 0 and 50. All samples were equilibrated for 24 h at room temperature before pH and UV-Vis measurements. The UV-Vis spectrum of each solution was measured (230–700 nm) using a 1-cm quartz cell.
Data Treatment
All thermodynamic data sets were imported into the refinement program HypSpec11,12 and analyzed by nonlinear least-squares refinement. All equilibrium constants were defined as cumulative formation constants, βmlh according to Equation 1, where the metal and ligand are designated as M and L, respectively. All metal and ligand concentrations were held at estimated values determined from the volume of standardized stock solutions. All species formed with the ligands L were considered to have significant absorbance to be observed in the UV-vis spectra and were therefore included in the refinement process. The refinements of the overall formation constants β included in each case with previously determined ligand protonation constants5 and the metal hydrolysis products, whose equilibrium constants were fixed to the literature values.7 The pM values13 were calculated using the modeling program Hyss.14,15
| Equation 1 |
UV-Visible Spectroscopy
Absorbance spectra for direct incremental spectrophotometric titrations were recorded on an Ocean Optics USB 4000 spectrophotometer (slit 50 nm, grating 600 grooves/mm, blaze 400 nm) equipped with a PX-2 pulsed xenon or HPX-2000 high-powered xenon light source. The UV-Vis spectra were directly measured with a peak sleeved 1 cm path dip probe (Ocean Optics, Inc.) to maintain low volume measurements and dilution factors. In batch spectrophotometric titrations, absorption spectra were recorded on a Varian Cary G5 double beam absorption spectrophotometer (Ce(IV)) or a Varian Cary 6000i double beam absorption spectrophotometer (Th(IV)), using quartz cells of 1.00 cm path length.
Fluorescence Spectroscopy
Fluorescence spectra were acquired on a HORIBA Jobin Yvon IBH FluoroLog-3 spectrofluorimeter, used in steady state mode. A continuous xenon lamp (450 W) was used as the light source. Spectral selection was achieved by passage through a double grating excitation monochromator (2.1 nm/mm dispersion, 1200 grooves/mm). Emission was monitored perpendicular to the excitation, again with spectral selection achieved by passage through a double grating excitation monochromator (2.1 nm/mm dispersion, 1200 grooves/mm). A thermoelectrically cooled single photon detection module (HORIBA Jobin Yvon IBH, TBX-04-D) was used as the detector. Signals were acquired using an IBH DataStation Hub photon counting module.
Electrochemical Measurements
Cyclic Voltammograms were acquired with a BAS100A electrochemical analyzer using a low-volume three-electrode cell composed of the following electrodes: Pt wire auxiliary (BAS), Ag/AgCl reference (BAS), and glassy carbon working (BAS). Aqueous solutions of the cerium complexes were prepared by mixing 0.5 mM Ce and 2.5 mM ligand in 0.1 M H2SO4 or 0.1 M HCl for Ce(IV) or Ce(III) complex formation, respectively. Ionic strength was adjusted to 1 M by addition of either Na2SO4 or NaCl and the pH was raised to 8.5 with KOH. The reduction potentials were calculated based on the following equations:
| Equation 2 |
| Equation 3 |
RESULTS
Ce(III) Complex Formation
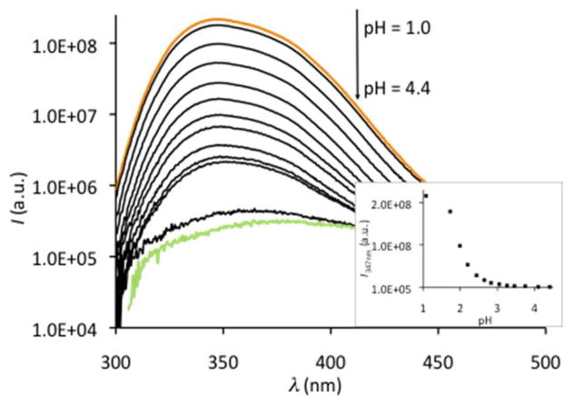
Knowing that the uptake of Ln(III) ions by 3,4,3-LI(1,2-HOPO) is relatively fast (at the second time scale) without any competitor in the system and that the oxidation of Ce(III) complexes of 3,4,3-LI(1,2-HOPO) into Ce(IV) complexes takes place over several hours, the fluorescence emission of Ce(III) and the silent fluorescence properties of [Ce(III)(3,4,3-LI(1,2-HOPO))]− were used to determine the binding constant of the complex [Ce(III)(3,4,3-LI(1,2-HOPO))]−. Spectrofluorimetric batch titrations were performed using the pH as a varying parameter: very acidic conditions (pH 1) ensured that Ce(III) remained unbound to 3,4,3-LI(1,2-HOPO). A slow decrease of the Ce(III) fluorescence emission intensity was then observed as the pH was raised to pH 4, corresponding to the gradual formation of metal-ligand complex (Figure 2). The hydroxypyridinone moieties of the ligand 3,4,3-LI(1,2-HOPO) quenched the fluorescence of Ce(III) by nonradiative pathways through OH vibrations so that the emission of Ce(III) was almost totally quenched above pH 3 (Figure 2, inset). Nonlinear least-squares fits of the spectra included the fully deprotonated complex [Ce(III)(3,4,3-LI(1,2-HOPO))]− and the neutral mono-protonated species [Ce(III)(3,4,3-LI(1,2-HOPO)H)]. While [Ce(III)(3,4,3-LI(1,2-HOPO))]− was found non fluorescent, a weak emission spectra (~1 % of Ce(III) intensity at 347 nm) is characteristic of [Ce(III)(3,4,3-LI(1,2-HOPO)H)]. The stability constants log β110 = 17.7 ± 0.2 and log β111 = 21.62 ± 0.04 were determined for [Ce(III)(3,4,3-LI(1,2-HOPO))]− and [Ce(III)(3,4,3-LI(1,2-HOPO)H)], respectively. A second direct method, using incremental spectrophotometric pH titrations, was implemented to confirm these thermodynamic constants in chloride media (Figure 3). Upon addition of carbonate-free KOH, a red shift in the UV-Vis spectrum, characteristic of the binding of metal ion to the ligand, was observed. The presence of two isosbestic points at 270 nm and 315 nm confirmed the presence of at least two species. The best fit of the data was obtained with the inclusion of three complexes, [Ce(III)(3,4,3-LI(1,2-HOPO))]−, [Ce(III)(3,4,3-LI(1,2-HOPO)H)], and [Ce(III)(3,4,3-LI(1,2-HOPO)(OH)]2−, in the refinement process. Above pH 10, a slight increase in absorbance at 320 nm and decrease at 305 nm indicated the presence of the hydroxide species (Figure 3, inset). The thermodynamic parameters obtained from these UV-Vis titrations were: log β110 = 17.1 ± 0.6, log β111 = 20.84 ± 0.04, and log β11-1 = 8.3 ± 0.4. These values were consistent with those obtained by fluorescence batch titration. The mean values from both sets of titrations were used for the pM calculation, as reported in Table 1.
Figure 2.
Direct batch spectrofluorimetric titration of [Ce(III)(3,4,3-LI(1,2-HOPO))]− in water. [Ce(III)] = [3,4,3(LI-1,2-HOPO)] = 20 μM, λexc = 252 nm, I = 0.1 (KCl), T = 20°C. Inlet: Fluorescence intensity loss at emission maximum (λem = 347 nm) showing complex formation upon increasing pH.
Figure 3.
Incremental spectrophotometric titration of [Ce(III)(3,4,3-LI(1,2-HOPO))]− (50 μM) by KOH in water. I = 0.1 (KCl), T = 20°C. Inlet: Absorbance change at 305 nm (diamonds) and 327 nm (triangles) versus pH with the corresponding fits (solid lines) from HypSpec.
Table 1.
Summary of the thermodynamic parameters determined for Ln and An complexes of 3,4,3-LI(1,2-HOPO) and comparison with corresponding DTPA complexes.
| Ligand | Cation | Log β110 | pMa | Ionic radius in pm (CN=8)22 | Reference |
|---|---|---|---|---|---|
| 3,4,3-LI(1,2-HOPO) | La3+ | 16.4(3) | 17.2(3) | 116 | 6 |
| Ce3+ | 17.4(5) | 18.3(4) | 114 | This work | |
| Pr3+ | 18.2(4) | 19.0(4) | 113 | 6 | |
| Ce4+ | 41.5(5) | 42.4(5) | 97 | This work | |
| > 40 | > 41 | 3 | |||
| Th4+ | 40.1(5) | 41.0(5) | 105 | This work | |
| > 38.5 | > 39.4 | 3 | |||
| U4+ | 40–41 | 41–42 | 100 | This workb | |
| Np4+ | 40–41 | 41–42 | 98 | This workb | |
| Pu4+ | > 41.5 | > 42.4 | 96 | This workb | |
|
| |||||
| DTPA | La3+ | 19.5 | 16.1 | 116 | 7 |
| Ce3+ | 20.4 | 16.9 | 114 | 7 | |
| Pr3+ | 21.1 | 17.6 | 113 | 7 | |
| Ce4+ | 34.04(4) | 30.59(4) | 97 | 18 | |
| Th4+ | 28.7 | 26.8 | 105 | 7 | |
pM is the negative logarithm of the free metal concentration in equilibrium with complexed and free ligand, at a fixed pH (pH 7.4 for physiological conditions) with 1 μM total metal concentration and 10 μM total ligand concentration. Hydrolysis constants of cations set to the values found in NIST data base7 at the lowest ionic strength available; pKa values for 3,4,3-LI(1,2-HOPO) set to 3.87, 5.01, 5.68, 6.64;5 pKa values for DTPA set to 1.5, 2.64, 4.27, 8.60, 10.58.25
Stability constants evaluated from ionic radius evolution compared to Ce(IV) and Th(IV).
Ce(IV) Complex Formation
Figure 4 shows a typical UV-Vis spectral data set for the batch competition titration of the in-situ formed [Ce(IV)(3,4,3-LI(1,2-HOPO))] complex against NTA as a competing ligand. The absorbance of the samples decreased at 305 nm while it increased at 327 nm (Figure 4, inset) upon addition of NTA. Furthermore, a continuous decrease of the large ligand-to-metal charge transfer (LMCT) band, characteristic of the red color of the [Ce(IV)(3,4,3-LI(1,2-HOPO))] complex, was observed between 400 and 600 nm. The red shift from 307 to 327 nm was due to the release of free deprotonated ligand from the [Ce(IV)(3,4,3-LI(1,2-HOPO))] complex, which increased the absorbance wavelength of the ligand aromatic groups. The occurrence of three isosbestic points at 275, 318 and 380 nm confirms the presence of at least 2 species in the system. Refinement of these spectrophotometric titrations, using the published stability constant for the complex [Ce(IV)(NTA)2]2− (log β110 = 38.6 ± 0.8),17 converged to a value of log β110 = 41.5 ± 0.2 for [Ce(IV)(3,4,3-LI(1,2-HOPO))]. The standard deviation between 3 independent titrations was 0.2 but because of the large reported uncertainty on log β110 for the NTA complex, the uncertainty of the method was estimated at 0.5 log units using the HypSpec software.
Figure 4.
Ligand competition batch titration for the complexation of Ce(IV). [Ce(IV)] = [3,4,3(LI-1,2-HOPO)] = 30 μM, [NTA]:[3,4,3-LI(1,2-HOPO)] = 0:1 to 2,400:1, [CHES] = 10 mM, pH 10.0, I = 0.4 (KCl), T = 20°C. Inlet: Absorbance change at 305 nm (squares), 327 nm (triangles) and 450 nm (diamonds) versus equivalents of NTA with the corresponding HypSpec fits (solid lines).
Cyclic voltammetry was applied to evidence the reversibility of the Ce(VI)/Ce(III) redox couple in the 3,4,3-LI(1,2-HOPO) complex system. Two sets of experiments were performed: the first set monitored the initial reduction of [Ce(IV)(3,4,3-LI(1,2-HOPO))] followed by a reverse oxidation in aqueous sulfate media. The second set of experiments was performed on [Ce(III)(3,4,3-LI(1,2-HOPO))]− in aqueous chloride media, with a first oxidation wave to form the Ce(IV) complex, followed by the reduction back to Ce(III) (Figure 5). The system was found reversible in both cases, and a reduction potential value E was determined as 175 ± 10 mV versus the Ag(I)/AgCl reference electrode (E° = −21 ± 10 mV).
Figure 5.
Cyclic Voltammograms for 0.5 mM 3,4,3-LI(1,2-HOPO) cerium complex in 1 M SO4−2 at pH 8.5 a) with a scan rate of 50 mV.s−1. b) voltammograms of the cathodic site (reduction wave) at different scan rates (20 mV.s−1 blue, 50 mV.s−1 red, 100 mV.s−1 green, 500 mV.s−1 violet). inlet) linear dependence of the current intensity at 95 mV vs. the square root of the scan rate, suggesting a diffusion controlled process.
Th(IV) Complex Formation
The stability constant corresponding to the formation of the [Th(IV)(3,4,3-LI(1,2-HOPO))] complex could be determined indirectly through metal competition titrations, using Ce(IV) as a competing metal. Figure 6 reflects the changes in UV-Vis absorbance upon the addition of up to 50 equivalents of Th(IV) to a solution of [Ce(IV)(3,4,3-LI(1,2-HOPO))]; the large LMCT band centered at 450 nm characteristic of [Ce(IV)(3,4,3-LI(1,2-HOPO))] slowly disappeared. Simultaneously, the sharp band characteristic of the 1,2-HOPO residues underwent a red shift from 302 nm to 310 nm, most likely due to the lesser acidity of Th(IV) compared to Ce(IV), which decreases the absorbance energy of the aromatic 1,2-HOPO rings. The competition titration was performed in sulfuric media at pH 1.0, to prevent hydrolysis of the metal ions and to avoid the reduction of Ce(IV) by Cl− after its release by the ligand. An initial titration attempt had been performed at pH 6 in the presence of DTPA (data not shown) to prevent hydrolysis of metal ions and benefit from the known formation constants of [Ce(IV)(DTPA)]− and [Th(IV)(DTPA)]−.18 However, the presence of Cl− ions favored to reduction of [Ce(IV)(DTPA)]− into [Ce(III)(DTPA)]2− over the 24h equilibration time precluding the successful determination of thermodynamic constants. Fortunately, Ce(IV) was found indefinitely stable in sulfuric media at pH lower than 2–3,19 which allowed a direct metal competition titration without additional ligand previously needed to prevent from hydrolysis or reduction of Ce(IV). The refinement of the titration data, using the [Ce(IV)(3,4,3-LI(1,2-HOPO))] stability constant determined as described above, yielded a log β110 value of 40.1 ± 0.5 for [Th(IV)(3,4,3-LI(1,2-HOPO))]. The standard deviation between three independent titrations was 0.1 but because of the larger uncertainty on the log β110 value obtained for [Ce(IV)(3,4,3-LI(1,2-HOPO))], the uncertainty of the method was evaluated at 0.5 log unit, using the HypSpec software.
Figure 6.
Metal competition batch titration of [Ce(IV)(3,4,3-LI(1,2-HOPO))] with Th(IV). [Ce(IV)] = [3,4,3(LI-1,2-HOPO)] = 30 μM, [Th(IV)]:[Ce(IV)] = 0 to 50, [H2SO4] = 0.05 M, pH 1.0, I = 0.15 (Na2SO4), T = 20°C. Inlet: Change of absorbance at 272 nm (squares) and 450 nm (triangles) versus equivalents of Th(IV) with the corresponding HypSpec fits (solid lines).
DISCUSSION
Stability Trends for Ln(III) Complexes of 3,4,3-LI(1,2-HOPO)
The log β110 values corresponding to the respective stabilities of 3,4,3-LI(1,2-HOPO) complexes formed with all Ln(III) ions, expect Ce and Pm, had been determined in a previous study.6 Promethium had not been studied due to its artificial nature and cerium could not be investigated using the described method because Ce(III) complexes of 3,4,3-LI(1,2-HOPO) undergo spontaneous oxidation into Ce(IV) complexes at the day time scale. The method we previously described for the series of Ln complexes6 comprised the direct spectrofluorimetric determination of the Eu(III) complexation, relying on the sensitization of Eu luminescence by the excited 3,4,3-LI(1,2-HOPO) ligand, followed by indirect metal competition titrations between Eu(III) and the other Ln(III) for the complexation reaction by 3,4,3-LI(1,2-HOPO). Such competition titrations require several hours to reach a thermodynamic equilibrium allowing sufficient time for the Ce(III) complexes of 3,4,3-LI(1,2-HOPO) to oxidize and distort the titration results. Hence, we took advantage of the fluorescence properties of Ce(III) and automated pH titrations to overcome the problem of the slow oxidation of Ce(III)-3,4,3-LI(1,2-HOPO) complexes, establishing log β110 = 17.4 ± 0.5, log β111 = 21.2 ± 0.4, and log β11-1 = 8.3 ± 0.4 for [Ce(III)(3,4,3-LI(1,2-HOPO))]−, [Ce(III)(3,4,3-LI(1,2-HOPO)H)], and [Ce(III)(3,4,3-LI(1,2-HOPO)(OH)]2−, respectively. The values obtained for the complex [Ce(III)(3,4,3-LI(1,2-HOPO))]− fit perfectly in the Ln(III) series published previously,6 even if these values were obtained through different methods (Table 1). From these titrations, three different Ce(III) complexes were detected, as highlighted in the speciation diagram (Figure 7). The occurrence of a hydroxide species implies a coordination number of 9 for Ce(III), which is common for the lighter lanthanides. The existence of [Ce(III)3,4,3-LI(OH)]2− is also a good indicator of the presence of one water molecule inside the complex [Ce(III)(3,4,3-LI(1,2-HOPO))]−, which would strengthen the non-radiative pathways for the decay of Ce(III), consistent with the lack of fluorescence emission for this complex. The water molecule inside the inner coordination sphere of Ce(III) also suggests the existence of hydrated complexes for the other lighter lanthanides, which could explain the rapid increase of log β110 and pM values from [La(III)(3,4,3-LI(1,2-HOPO))]− to [Nd(III)(3,4,3-LI(1,2-HOPO))]− and the leveling off for the heavier Ln(III) complexes,6 knowing that [Eu(III)(3,4,3-LI(1,2-HOPO))]− has a metal coordination number of 8.5
Figure 7.
Calculated speciation diagram for the Ce(III) titration of 3,4,3-LI(1,2-HOPO) at fixed concentrations of 1 μM metal and 10 μM ligand. Hydrolysis constants of Ce(III) were set to the values found in NIST data base7 at the lowest ionic strength available; pKa values for 3,4,3-LI(1,2-HOPO) were set to 3.87, 5.01, 5.68, 6.64.5
Extremely High Stability of An(IV) Complexes of 3,4,3-LI(1,2-HOPO)
Prior to this work,3 competition titrations against DTPA [log β110 = 28.7 for Th(IV)]7 and oxalic acid [log β110 = 9.8, log β120 = 17.5, log β130 = 25.7, log β140 = 29.6, for Th(IV)],20 or simulations using competing ligands such as citric acid [log β110 = 14.1, log β120 = 24.3, log β130 = 28.0 for Th(IV)]20 or catechol [log β110 = 18.1, log β120 = 34.9 for Th(IV)]7 failed to displace 3,4,3-LI(1,2-HOPO) from its complex with Th(IV). From these attempts, the stability constant of the [Th(IV)(3,4,3-LI(1,2-HOPO))] complex was evaluated to be higher than log β110 38.5, making all known available ligands weaker than 3,4,3-LI(1,2-HOPO), and thereby making usual ligand-competition titrations ineffective to determine the formation constant of such a stable complex. The metal ions most likely to exhibit affinities for 3,4,3-LI(1,2-HOPO) similar to Th(IV) are U(IV), Np(IV), Pu(IV), Zr(IV), Hf(IV) and Ce(IV). Cerium(IV) was chosen in this study due to the similarity of its ionic radius with those of An(IV) ions, and for its absorbance properties. Furthermore, a stability constant of log β120 38.6 for the complex [Ce(IV)(NTA)2]2− had recently been published by Suzuki et al.,17 while the thermodynamic parameters associated to the formation of known [(M(IV))(NTA)2]2− complexes21 of Ti, Zr, Hf, Th, U, and Pu have not yet been reported. The [Ce(IV)(NTA)2]2− complex has no absorbance in the visible region, which made NTA an ideal competitor to determine the stability constant of the red [Ce(IV)(3,4,3-LI(1,2-HOPO))] complex. The log β110 value of 41.5 obtained for [Ce(IV)(3,4,3-LI(1,2-HOPO))] in this study is the highest stability constant ever reported for a metal complex of 3,4,3-LI(1,2-HOPO). Such extraordinary stability illustrates the efficiency of this octadentate hydroxypyridinonate ligand at complexing M(IV) ions. More importantly, the high stability of [Ce(IV)(3,4,3-LI(1,2-HOPO))] was used to determine that of the corresponding Th(IV) complex, through competition between Ce(IV) and Th(IV) for binding to 3,4,3-LI(1,2-HOPO). This titration took advantage of the colorful chemistry of Ce(IV) while [Th(IV)(3,4,3-LI(1,2-HOPO))] is silent in the visible range. A stability constant of log β110 40.1 was found for [Th(IV)(3,4,3-LI(1,2-HOPO)], which reflects a relatively low stability in comparison to others An(IV) ions, due the ionic radius and electronic configuration of Th(IV). Based on the trend in M(IV) ionic radius22 and the increase in complex stability observed along the Ln(III) series,6 only Pu(IV), Zr(IV) and Hf(IV) should exhibit stability constants higher than Ce(IV) with the ligand 3,4,3-LI(1,2-HOPO). Likewise, [U(IV)(3,4,3-LI(1,2-HOPO))] and [Np(IV)(3,4,3-LI(1,2-HOPO))] should display formation constants between those of [Ce(IV)(3,4,3-LI(1,2-HOPO))] and [Th(IV)(3,4,3-LI(1,2-HOPO))]. However, Ce(IV) has no f-electron in contrary to U(IV) and Np(IV), which could make [Ce(IV)(3,4,3-LI(1,2-HOPO))] less stable than [U(IV)(3,4,3-LI(1,2-HOPO))] and [Np(IV)(3,4,3-LI(1,2-HOPO))], despite the larger ionic radius of Ce(IV).
Assuming Ce(IV)/Ce(III) reversibility in the 3,4,3-LI(1,2-HOPO) complex system, the thermodynamic cycle depicted in Figure 8 was used to calculate a red-ox potential for the [Ce(IV)(3,4,3-LI(1,2-HOPO))]/[Ce(III)(3,4,3-LI(1,2-HOPO))]− couple of −0.14 ± 0.06 V vs SHE. While the variation in ionic strength from 0.1 to 0.4 M between titrations should not influence this calculation significantly, we should note that the difference of activity coefficients for Ce(III) and Ce(IV) in the different media used in the described experiments remains unaccounted for. Nonetheless, this estimated potential correlates relatively well with the value determined experimentally by cyclic voltammetry (−0.021 ± 0.010 V). The red-ox potential for the [Ce(IV)(3,4,3-LI(1,2-HOPO))]/[Ce(III)(3,4,3-LI(1,2-HOPO))]− couple is remarkably low compared to that of uncomplexed Ce(IV)/Ce(III) (E°= +1.28 V in HCl media),23 which explains the spontaneous oxidation of [Ce(III)(3,4,3-LI(1,2-HOPO)]− in aqueous solutions. Given that the coordination chemistry features of Ce(IV) and Pu(IV) are close, a strong stabilization of the oxidation state +IV is also expected in the case of Pu. Going one step further, we can calculate the standard potential of the couple [U(VI)O2(3,4,3-LI(1,2-HOPO))]2−/[U(IV)(3,4,3-LI(1,2-HOPO))] after adjustment of the thermodynamic cycle, with log β110 values of 18 and 41 for [U(VI)O2(3,4,3-LI(1,2-HOPO))]2− and [U(IV)(3,4,3-LI(1,2-HOPO))], respectively.3 Such calculation resulted into ΔG = −193 kJ mol−1 and E° = +1.00 V, compared to +0.32V for the UO22+/U4+ couple,24 which means that 3,4,3-LI(1,2-HOPO) might potentially change the oxidation state of U in acidic aqueous solution, favoring the oxidation state +IV similarly to the cerium complex. Corresponding calculations for DTPA complexation yielded respective red-ox potentials of +0.47 V and +0.84 V for the [Ce(IV)(DTPA)]−/[Ce(III)(DTPA)]2− and [U(VI)O2(DTPA)]3−/[U(IV)(DTPA)]− couples in HCl media, favoring stabilization of the Ce(III) and U(IV)O2 oxidation states. These approximate calculations emphasize the special behavior of the hydroxypyridinonate ligand 3,4,3-LI(1,2-HOPO) in comparison to DTPA. The Ln and An complexes of DTPA may potentially undergo spontaneous reduction in aqueous solution, resulting in weaker complexes, whereas 3,4,3-LI(1,2-HOPO) complexes may be oxidized or reduced to yield more stable +IV complexes under similar conditions. Whether changes in oxidation states induced by the complexation of Ce, U, Np and Pu by 3,4,3-LI(1,2-HOPO) take place in vivo remains an open question, as some of these reactions may be kinetically hindered.
Figure 8.

Thermodynamic cycle for the complexation of 3,4,3-LI(1,2-HOPO) with Ce(III) and Ce(IV) in HCl media. The complex red-ox potential E° was calculated from equations ΔG1 = −ΔG2 + ΔG3 + ΔG4 and ΔG1 = −nFE0.
In comparing the stability constants of Ln(III) complexes formed with the decorporation agents 3,4,3-LI(1,2-HOPO) and DTPA (Table 1), complexes involving the hydroxypyridinonate ligand appear to be less stable than their counterparts with DTPA by about 3 orders magnitude. However, the relevant parameter to compare efficacy of ligands for decorporation purpose, is the pM value, which is defined as the negative logarithm of the free metal concentration in equilibrium with complexed and free ligand, at a fixed pH 7.4 (for physiological conditions) and for fixed ligand and metal concentrations of 10 μM and 1 μM, respectively. Analysis of the pM(Ln(III)) values emphasizes that with 3,4,3-LI(1,2-HOPO) fewer free Ln(III) ions remain in solution (about 1 order of magnitude) than with DTPA, which means that less Ln fission products would be available for endogenous ligands when administering 3,4,3-LI(1,2-HOPO) instead of DTPA as a treatment after an internal contamination. The discrepancy between these two ligands is even more important in the case of M(IV) ions: Comparisons between the 3,4,3-LI(1,2-HOPO) and DTPA Th(IV) complex conditional stabilities constants [pM(Th(IV))] suggest that DTPA leaves 1014 times more free Th(IV) in solution than 3,4,3-LI(1,2-HOPO). In the cases of Ce(IV) and Th(IV), both log β and pM values illustrate the higher efficacy of the 3,4,3-LI(1,2-HOPO) for metal sequestration. Finally the formation of extremely stable complexes with Ce(IV) and Th(IV) over a large range of pH (down to pH 1 for [Th(IV)(3,4,3-LI(1,2-HOPO))] and up to pH 10 for [Ce(IV)(3,4,3-LI(1,2-HOPO))]) raises the question whether such water soluble ligand could be used in separation processes or for nuclear waste remediation.
CONCLUSIONS
The hydroxypyridinonate octadentate ligand 3,4,3-LI(1,2-HOPO) forms highly stable complexes in aqueous solution with Ln(III) ions, including Ce(III). The pM value of the Ce complex doubles upon oxidation of the +III form to a +IV state. Stability constants determined or predicted in this work for 3,4,3-LI(1,2-HOPO) complexes of An(IV) ions highlight the gain in terms of ligand-driven complex stability compared to their counterparts with DTPA and corroborate the observations made in in vivo studies.2 The methods implemented here to probe the solution thermodynamics of [Ce(IV)(3,4,3-LI(1,2-HOPO))] and [Th(IV)(3,4,3-LI(1,2-HOPO))] will be applied to characterize the corresponding U(IV), Np(IV) and Pu(IV) complexes.
Acknowledgments
We thank Prof. Kenneth N. Raymond for helpful discussions, and Tiffany Pham for assistance with the cyclic voltammetry experimental setup. This research was supported by the National Institutes of Health (National Institute of Allergy and Infectious Diseases, RAI087604Z) through the U.S. Department of Energy under Contract No. DE-AC02-05CH11231.
Footnotes
The authors declare no competing financial interest.
References
- 1.Durbin PW. Health Phys. 2008;95:465–492. doi: 10.1097/01.HP.0000326345.41816.c2. [DOI] [PubMed] [Google Scholar]
- 2.Abergel RJ, Durbin PW, Kullgren B, Ebbe SN, Xu J, Chang PY, Bunin DI, Blakely EA, Bjornstad KA, Rosen CJ, et al. Health physics. 2010;99:401. doi: 10.1097/HP.0b013e3181c21273. [DOI] [PMC free article] [PubMed] [Google Scholar]
- 3.Sturzbecher-Hoehne M, Deblonde GJ-P, Abergel RJ. Radiochim Acta. 2013 doi: 10.1021/ic4010246. in press. [DOI] [PMC free article] [PubMed] [Google Scholar]
- 4.Stradling GN, Hodgson SA, Pearce MJ. Radiat Protect Dosim. 1998;79:445–448. [Google Scholar]
- 5.Abergel RJ, D’Aléo A, Pak Ng, Leung C, Shuh DK, Raymond KN. Inorganic Chemistry. 2009;48:10868–10870. doi: 10.1021/ic9013703. [DOI] [PMC free article] [PubMed] [Google Scholar]
- 6.Sturzbecher-Hoehne M, Pak Ng, Leung C, D’Aléo A, Kullgren B, Prigent A-L, Shuh DK, Raymond KN, Abergel RJ. Dalton Transactions. 2011;40:8340. doi: 10.1039/c1dt10840a. [DOI] [PubMed] [Google Scholar]
- 7.Martell AE, Smith RM, Motekaitis RJ. NIST Standard Reference Database 46 [Google Scholar]
- 8.White DL, Durbin PW, Jeung N, Raymond KN. J Med Chem. 1988;31:11–18. doi: 10.1021/jm00396a005. [DOI] [PubMed] [Google Scholar]
- 9.Xu J, Kullgren B, Durbin PW, Raymond KN. J Med Chem. 1995;38:2606–2614. doi: 10.1021/jm00014a013. [DOI] [PubMed] [Google Scholar]
- 10.Gans P, O’Sullivan B. Talanta. 2000;51:33–37. doi: 10.1016/s0039-9140(99)00245-3. [DOI] [PubMed] [Google Scholar]
- 11.Gans P, Sabatini A, Vacca A. HypSpec. Leeds; U.K. Florence, Italy: 2008. [Google Scholar]
- 12.Gans P, Sabatini A, Vacca A. Talanta. 1996;43:1739–1753. doi: 10.1016/0039-9140(96)01958-3. [DOI] [PubMed] [Google Scholar]
- 13.pM is the −log [free M] for the specific set of conditions; [Metal] = 10-6 M, [Ligand] = 10-5 M, pH 7.4.
- 14.Alderighi L, Gans P, Ienco A, Peters D, Sabatini A, Vacca A. HYSS. Leeds; U.K. Florence, Italy: 2009. [Google Scholar]
- 15.Alderighi L, Gans P, Ienco A, Peters D, Sabatini A, Vacca A. Coord Chem Rev. 1999;184:311–318. [Google Scholar]
- 16.Bott A. Curr Sep. 1995;14:64–68. [Google Scholar]
- 17.Suzuki Y, Nankawa T, Francis AJ, Ohnuki T. Radiochim Acta. 2010;98:397–402. [Google Scholar]
- 18.Brown MA, Paulenova A, Gelis AV. Inorg Chem. 2012;51:7741–7748. doi: 10.1021/ic300757k. [DOI] [PubMed] [Google Scholar]
- 19.Gschneidner KA, Bunzli J-CG, Pecharsky VK. Handbook on the physics and chemistry of rare earths. North Holland Pub. Co.; Sole distributors of the U.S.A. and Canada, Elsevier North-Holland; Amsterdam; New York; New York: 2006. [Google Scholar]
- 20.Wickleder MS, Fourest B, Dorhout PK. In: The Chemistry of the Actinide and Transactinide Elements. Morss LR, Edelstein NM, Fuger J, editors. Springer; Netherlands: 2011. pp. 52–160. [Google Scholar]
- 21.Cartwright AJ, May CC, Worsfold PJ, Keith-Roach MJ. Anal Chim Acta. 2007;590:125–131. doi: 10.1016/j.aca.2007.03.010. [DOI] [PubMed] [Google Scholar]
- 22.Shannon RD. Acta Chryst A. 1976;32:751–767. [Google Scholar]
- 23.Wadsworth E, Duke FR, Goetz CA. Anal Chem. 1957;29:1824–1825. [Google Scholar]
- 24.Kihara S, Yoshida Z, Aoyagi H, Maeda K, Shirai O, Kitatsuji Y, Yoshida Y. Pure Appl Chem. 1999;71:1771–1807. [Google Scholar]
- 25.Anderegg G, Arnaud-Neu F, Delgado R, Felcman J, Popov K. Pure Appl Chem. 2005;77:1445–1495. [Google Scholar]






