Abstract
Cinacalcet, a type II calcimimetic agent that interacts with the calcium-sensing receptor on the parathyroid gland and increases its sensitivity to calcium, has proved an effective therapy for the treatment of the biochemical derangements that comprise uraemic secondary hyperparathyroidism. These patients experience high cardiovascular attrition with evidence that this is associated with vascular calcification, arterial stiffening and increased pulse wave velocity, and with some of the disturbances of bone and mineral metabolism in uraemia. Thus, it is possible that improved biochemical control in calcimimetic-treated patients might lead to better clinical outcomes. This hypothesis was investigated by retrospective analyses of randomized placebo-controlled phase 3 studies. The addition of cinacalcet to standard therapy with active vitamin D and phosphate binders was found to result in a 93% reduction in the rate of parathyroidectomy, a 54% reduction in fracture rate and 39% reduction in the rate of cardiovascular hospitalization, as well as improvements in some measures of quality of life. These encouraging results point to the need for a more robust assessment of the impact of cinacalcet on cardiovascular and skeletal outcomes.
Keywords: cinacalcet, morbidity, mortality, outcomes, secondary hyperparathyroidism
Introduction
Uraemic secondary hyperparathyroidism (SHPT) is an adaptive response to reduced glomerular filtration rate, impaired phosphate excretion and failure to complete the bioactivation of vitamin D [1]. These disturbances of mineral metabolism are also associated with abnormal bone morphology and turnover [2], and with vascular and other soft tissue calcification [3–6]. Important skeletal sequelae of uraemic bone disease include increased fracture rate [7] and increased mortality associated with fracture [8]. In addition, bone pain and failure of growth in children are important and potentially preventable complications [9]. The sustained elevations of serum parathyroid hormone (PTH), calcium, phosphorus and calcium--phosphorus product (Ca × P) characteristic of these patients are associated with increased cardiovascular (CV) disease [10,11], CV mortality [12] and increased rates of hospitalization [13]. SHPT itself is associated with increased rates of parathyroidectomy [14], long-bone fractures [13,15], CV hospitalization [13], death [13] and compromised quality of life (QOL) [16]. Here, we review the consequences of SHPT, its associated derangements and the potential effects of calcimimetics on these outcomes.
Consequences of SHPT
Cardiovascular effects
Vascular calcification occurs in patients with chronic kidney disease (CKD) undergoing dialysis [3,17]. In a study investigating the mechanism by which calcification occurs, Yang et al. [18] (using an in vitro human vascular smooth muscle cell [VSMC] model) demonstrated that elevated calcium concentrations increased mineralization. In separate studies, accelerated and increased VSMC calcification occurred in response to elevations in both calcium and phosphorus concentrations [18,19]. It was also shown that calcium-induced mineralization was dependent in part on the sodium-dependent phosphorus cotransporter-dependent pathway [18], previously described in these cells [20].
Various studies have shown that patient age [17,21,22], duration of dialysis [21,22] and Ca × P levels [18] are positively associated with vascular/valvular calcification. The compromised vascular compliance associated with vascular calcification in haemodialysis patients increases pulse wave velocity, pulse pressure (Figure 1) and wave reflexion [10] and probably contributes importantly to left ventricular hypertrophy and to increased rates of mortality [23]. Advancing age also is strongly correlated with increased aortic pulse wave velocity in patients with stage 5 CKD compared with the general population [24]. The association of CV survival in patients with stage 5 CKD and aortic pulse wave velocity is shown in Figure 2 [25]. These data demonstrate a strong association between CV mortality rates and increased pulse wave velocity caused by increasing vascular calcification, which in turn is a predictor of all-cause mortality in long-term dialysis patients [26].
Fig. 1.
Correlation between arterial calcification score and pulse pressure (P < 0.001; ANOVA). SD, standard deviation. Adapted with permission from Guerin et al. [22].
Fig. 2.
Correlation between CV survival and aortic pulse wave velocity in patients with end-stage renal disease. The cohort was divided into tertiles based on pulse wave velocity (<9.7 m/s, >9.7 m/s and >12 m/s). CV, cardiovascular. Adapted with permission from Pannier et al. [25].
Vascular calcification
Arterial calcification occurs at the media and intima of the vascular wall [27], the former associated with abnormal stiffness and the latter with increased atherosclerotic load. In a recent study in uraemic patients undergoing haemodialysis (n = 716), carotid artery thickness was measured using ultrasonic scanning to determine whether serum phosphorus concentration was associated with carotid artery thickening [28]. It was demonstrated that, in addition to advanced age, increased serum phosphorus concentration was a significant independent factor associated with vascular calcification (advanced arteriosclerosis) [28]. These results suggest that good control of serum phosphorus concentration may help prevent vascular calcification.
Although extracellular fluids are supersaturated with calcium and phosphorus, under normal physiological conditions only bone undergoes calcification, suggesting that mineralization is inhibited in soft tissues. Loss of these inhibitors may play a critical role in the development of calcification [29]. Studies have identified matrix γ-carboxyglutamic acid (Gla) protein (MGP), fetuin-A, osteopontin and osteoprotegerin in or around VSMC, as potentially having a role in the prevention of vascular calcification [27,30–34]. In CKD, the VSMC may lose their inhibitors of calcification, form matrix vesicles for calcium deposition [19,32] and adopt an osteoblast-like phenotype [30,35] associated with reduced expression of Gla proteins [35]. Matrix Gla protein is a potent inhibitor of calcification and targeting this calcium-binding protein may help regulate vascular calcification in patients with CKD. In addition, progressive VSMC damage with apoptosis is directly associated with increasing time on dialysis [21,22] and would favour calcification, especially if calcium and phosphorus are elevated [18,19].
By increasing sensitivity of the calcium-sensing receptor (CaR) to serum calcium, calcimimetics enhance signal transduction by the CaR and suppress PTH production. Agonists of the CaR also have been shown to up-regulate MGP expression [36]. In VSMC, it was demonstrated that MGP was up-regulated in response to high concentrations of calcium to prevent further calcification through a mechanism similar to the CaR [36]. Calcimimetics, therefore, may also have a role in inhibiting calcification through control of MGP expression, but further studies are required to support this notion.
Effect of calcimimetics on vascular calcification
To investigate the effects of the phenylalkylamine calcimimetic R-568 on vascular calcification, uraemic rats (5/6 nephrectomized) with SHPT received vehicle (control), calcitriol (active vitamin D), R-568, or calcitriol and R-568 in combination [37]. The doses of calcitriol and R-568 given to the rats were those required to reduce the PTH level to normal. Thus, although both calcitriol and R-568 reduced serum PTH concentrations, calcitriol also increased serum calcium and phosphorus. Rats treated with calcitriol alone had significantly increased aortic calcium and phosphorus compared with controls, whereas aortic calcium and phosphorus content were not increased in R-568-treated rats compared with controls. Treatment with R-568 in combination with calcitriol reduced the extent of calcitriol-induced calcium and phosphorus accumulation. Similarly, von Kossa staining of aortic sections showed deposits of calcium in nephrectomized rats receiving calcitriol for 14 days that were absent in those receiving a calcimimetic or the combination of calcitriol and calcimimetic. Consistent with the increased calcification observed, expression of MGP mRNA was significantly up-regulated in calcitriol-treated rats (P < 0.05).
In addition to these observations, mortality was significantly (P < 0.001) increased in calcitriol-treated uraemic rats and decreased (P = 0.01) in rats receiving R-568 in addition to calcitriol [37]. All control and R-568-treated rats survived. This study demonstrated that R-568 reduced elevated PTH levels without inducing vascular calcification and prevented calcitriol-induced vascular calcification and mortality.
In another study investigating the effects of calcitriol and calcimimetics on vascular calcification and the effect of calcimimetics on calcitriol-mediated calcification, Henley et al. [38] administered cinacalcet, calcitriol or cinacalcet in combination with calcitriol for 26 days in a rat model of SHPT. Using von Kossa staining, calcitriol-treated rats exhibited calcification, whereas vehicle- and cinacalcet-treated groups did not. Both cinacalcet and calcitriol treatment groups had significantly reduced serum PTH concentrations. It was also demonstrated that calcitriol significantly elevated serum calcium, phosphorus and Ca × P above the levels observed before treatment or observed in the vehicle- or cinacalcet-treated group.
These promising findings clearly warrant further investigation to determine whether the use of calcimimetics could ameliorate vascular calcification in humans.
Outcomes with cinacalcet treatment
Biochemical and metabolic outcomes
By increasing the sensitivity of the CaR receptor to calcium, cinacalcet treatment predictably results in simultaneous reduction of both calcium and PTH in patients with primary or secondary hyperparathyroidism [39]. In SHPT, the clinical utility of cinacalcet treatment has been evaluated in a series of controlled studies in which patients with moderate and severe SHPT, despite receiving standard care with active vitamin D compounds and phosphate binders as appropriate, were randomized to receive either cinacalcet or a placebo in addition to standard care [40–43]. The results of these studies were substantially consistent and showed a marked reduction in serum PTH, with moderate (although still highly significant) reductions in serum calcium, phosphate and Ca × P. These biochemical changes led to striking increases in the proportion of patients who became compliant with National Kidney Foundation Kidney Disease Outcomes Quality Initiative (KDOQI) targets for serum PTH, calcium, phosphorus and Ca × P (Figure 3) [44].
Fig. 3.
Effect of treatment with cinacalcet in addition to standard therapy on achievement of KDOQI targets for serum PTH, calcium, phosphorus and calcium × phosphorus product. For serum PTH, a target of ≤300 pg/mL was used in the analysis, instead of the KDOQI range of 150–300 pg/mL. All comparisons between control and cinacalcet were significant (P < 0.001). Adapted with permission from Moe et al. [44].
Clinical outcomes
Ideally, clinical outcomes in relation to a new therapy should be assessed by means of a prospective randomized intervention study designed specifically to evaluate the particular clinical outcome(s) under scrutiny. This has not yet been done with respect to any treatment for SHPT. However, the randomized, placebo-controlled Evaluation of Cinacalcet HCl Therapy to Lower CV Events (EVOLVE) trial, currently in progress, is investigating the effect of treatment with cinacalcet on all-cause mortality and CV events in approximately 4000 haemodialysis patients around the world [45]. A second randomized clinical trial (ADVANCE) is investigating the ability of cinacalcet in combination with reduced-dose vitamin D to attenuate the progression of coronary artery calcification in haemodialysis patients.
An alternative, if less robust, way of approaching this issue is by retrospective analysis of prospectively acquired data from relevant intervention studies. Evaluation of pooled data from four randomized double-blind studies of similar design was undertaken. In these studies, patients with SHPT, despite receiving standard care, were randomized to receive either cinacalcet in addition to standard care (n = 697) or standard care alone (n = 487) [46]. The following safety outcomes were assessed at 6 to 12 months: parathyroidectomy (considered treatment failure and a reason for discontinuation), fractures, hospitalization, mortality and self-reported health-related QOL (HR-QOL) [46]. HR-QOL outcomes were captured in all studies with the Medical Outcomes Study Short Form-36 General Health Survey (SF-36) and the Cognitive Functioning scale of the Kidney Disease Quality of Life instrument. Although the number of patients was fairly large, it should be noted that the number of events was quite small and some occurred late or in the extension phase of the study in question.
Parathyroidectomy
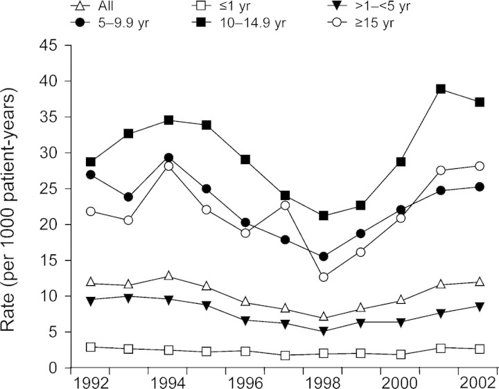
In a study investigating parathyroidectomy rates and associated mortality in patients undergoing haemodialysis between 1992 and 2002 [14], it was observed that rates progressively declined from 11.6 per 1000 patient-years in 1992 to 6.8 per 1000 patient-years in 1998 and successively increased thereafter, reaching 11.8 per 1000 patient-years in 2002. Parathyroidectomy rates were much higher in patients who had received dialysis for a long time (Figure 4). Parathyroidectomy was associated with an increased relative risk (RR) of death in the 3 to 6 months following surgery.
Fig. 4.
Parathyroidectomy rates by year for subgroups according to duration of previous haemodialysis. Adapted with permission from Foley et al. [14]
In uraemia, PTH secretion is increased in response to low serum calcium and it is likely that calcimimetics lessen the need for parathyroidectomy by rendering parathyroid cells more calcium sensitive, thus decreasing PTH synthesis and parathyroid cell proliferation [47]. Cunningham et al. [46] demonstrated that the probability of a parathyroidectomy was substantially diminished in patients treated with cinacalcet. The RR for parathyroidectomy was 0.07 in the cinacalcet group. Event rates per 100 patient-years fell from 4.1 with standard care to 0.3 with cinacalcet (a 93% reduction; Figure 5) [46].
Fig. 5.
Effect of treatment with cinacalcet in addition to standard therapy on the relative risk of parathyroidectomy, fracture, hospitalization, cardiovascular hospitalization and mortality. *P < 0.05; **P < 0.01 versus standard therapy. Adapted with permission from Cunningham et al. [46].
Long-bone fractures
Uraemia is associated with increased long-bone fracture rate and increased mortality in relation to such fractures [7,8]. Increased calcium, phosphorus and PTH concentrations are directly related to a significantly greater risk of fracture [13,15]. Block et al. [13] reported that the RR of fracture-associated hospitalization (n = 257) was 1.12 per mg/dL increase in serum phosphorus concentration and that increased PTH concentration was also significantly associated with fracture-related hospitalization (P = 0.035).
Fracture is an important clinical outcome, and the available surrogates are relatively poor. Measurements to evaluate bone health in SHPT patients are normally limited to bone mineral density (BMD). However, although a measure of bone quantity is obtained, bone quality cannot be evaluated unless a bone biopsy is performed [2]. There are wide variations in bone quality among patients with uraemia, and it is not surprising that BMD in isolation is a poor predictor of fracture risk in advanced CKD [48]. Bone strength and fracture risk are what matter to patients, and fracture outcomes in clinical trials remain highly relevant for assessing effects of new interventions on bone strength.
A small study (n = 14) showed that after 6 months of treatment with cinacalcet, femur BMD was increased in patients with SHPT. In contrast, BMD was decreased in patients receiving placebo [49]. Fracture outcomes were not collected in this short-term study but were evaluated in the analysis of the combined database reported by Cunningham et al. [46]. The fractures were those identified and recorded during the studies and, although not independently adjudicated, were verified individually by review of medical records. This analysis demonstrated that the rate of fractures fell significantly in patients receiving cinacalcet in addition to standard care (from 6.9 per 100 patient-years to 3.2 per 100 patient-years; RR = 0.46) compared with standard care alone (Figure 5).
Hospitalizations
Elevated concentrations of PTH and Ca × P have been shown to be associated with an increased number of hospitalizations in haemodialysis patients [13]. As CKD progresses, the need for hospitalizations increases because of the associated complications of advancing disease. In a study evaluating associations among disorders of mineral metabolism, mortality and morbidity, Block et al. [13] demonstrated that during the 12- to 18-month follow-up period, 60% of patients had at least one hospitalization. Approximately 24% of these hospitalizations were related to CV events. The risk of hospitalization, all cause or CV, was significantly increased in those with a Ca × P ≥50 mg2/dL2.
In the combined database analysis, hospitalizations were categorized as having been precipitated by either CV or non-CV reasons. Cunningham et al. [46] reported that hospitalizations due to CV disease fell significantly in patients receiving cinacalcet in addition to standard care for SHPT (15.0 versus 19.7 hospitalizations per 100 patient-years, respectively, for cinacalcet versus standard care; RR = 0.61). CV disease hospitalizations included ischaemic heart disease (including myocardial infarction and angina pectoris), heart failure, arrhythmia, peripheral vascular disease and stroke. There were no significant differences between treatment groups for hospitalizations for non-CV reasons (RR = 1.16) or for hospitalizations not related to CV disease, fracture, or parathyroidectomy (RR = 1.18) (Figure 5) [46].
Mortality
Observational data suggest that mortality rates are related to the achievement of KDOQI targets, with the greatest increase in mortality occurring when patients have not achieved Ca × P and PTH goals [13]. As reported by Block et al. [13], the RR increased from 1.08 in patients with PTH 600–900 pg/mL to 1.24 in patients with PTH ≥1200 pg/mL. A similar trend was seen with Ca × P: RR values of 1.06 and 1.14 with Ca × P of 45–50 mg2/dL2 and 50–55 mg2/dL2, respectively.
In a pooled analysis of three similarly designed, placebo-controlled, double-blind, 26-week studies, Moe et al. [44] demonstrated that significantly more cinacalcet-treated dialysis patients with SHPT achieved KDOQI targets for intact PTH (≥300 pg/mL instead of the KDOQI range of 150–300 pg/mL), calcium, phosphorus and Ca × P (P < 0.001 for each) compared with patients receiving standard therapy. It remains unknown whether control within targets will reduce the risk of mortality. The analysis of the safety database reported by Cunningham et al. [46] (n = 1184) did not provide evidence for an effect of cinacalcet treatment on mortality (5.2 versus 7.4 deaths per 100 patient-years for cinacalcet and standard care, respectively; P = NS).
HR-QOL
CKD has a significant negative impact on HR-QOL [50,51]; there are significant differences in many domains of the SF-36 between patients with CKD and the general population. QOL scores for patients with CKD are low [16] and SF-36 scores in CKD patients have been reported to be one standard deviation below the mean of the general population for physical role, physical function and general health [51]. A significant difference between these populations was also observed for the vitality score.
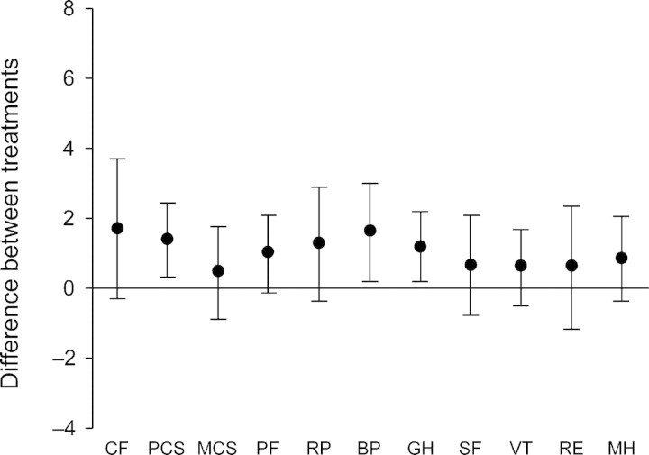
In the combined database study of patients with CKD, baseline HR-QOL scores were similar between treatment groups and were one half to one standard deviation below the population mean, indicating reduced HR-QOL [46]. As shown in Figure 6, data from the SF-36 indicated that there were significantly greater improvements with cinacalcet compared with standard care for the Physical Component Summary, Bodily Pain and General Health Perception domains [46]. A significantly greater proportion of patients receiving cinacalcet (26%) versus standard care (20%; P = 0.03) had a large (>5 points) improvement in physical function. No significant differences were seen in the other HR-QOL domains evaluated.
Fig. 6.
Differences in mean score changes (cinacalcet-treated minus control patient scores) of combined phase 3 data on KDQOL-CF scale and SF-36. Cinacalcet (n = 697); control (n = 487). CF, cognitive functioning (scale of the Kidney Disease Quality of Life instrument); PCS, physical component summary; MCS, mental component summary; SF-36 domains: PF, physical functioning; RP, role limitations-physical; BP, bodily pain; GH, general health perception; SF, social functioning; VT, vitality; RE, role limitation-emotional; MH, mental health). A positive score represents a greater improvement with cinacalcet treatment compared to control treatment. Bars represent 95% confidence interval. Adapted with permission from Cunningham et al. [46]
Summary
As yet, there is no prospectively acquired clinical evidence regarding the effect of compliance with biochemical targets on markers of CV disease, such as vascular calcification or pulse wave velocity. Similarly, despite observational data showing associations between compliance with SHPT treatment goals and survival, there is no prospectively acquired evidence that demonstrates management of hyperparathyroidism with vitamin D or cinacalcet improves survival. Treatment with cinacalcet enables much higher compliance with KDOQI biochemical targets than standard care. In addition, extensive analyses of safety-related outcomes data suggest that the addition of cinacalcet to standard care may have a striking salutary effect on parathyroidectomy rate and fracture rates, CV hospitalization and some aspects of HR-QOL. Nevertheless, it would be premature to draw more than tentative conclusions from the positive components of these results. Adequately powered prospective studies are clearly needed to resolve this issue and determine whether improved adherence to biochemical targets using cinacalcet is associated with reduction of some of the morbidities associated with CKD.
Acknowledgments
The authors wish to thank Nancy Sheridan and Ali Hassan for providing medical writing assistance in the preparation of this manuscript. This supplement is sponsored by Amgen Inc.
Conflict of interest statement. John Cunningham has received grants and honoraria from Amgen and honoraria from Shire. He has also participated in advisory boards for Amgen, Abbott and Genzyme. Jürgen Floege has acted as a consultant for Amgen and has received honoraria from Amgen, Genzyme, Shire and Abbott. He has also participated in advisory boards for Amgen. Gérard London has given lectures at symposia supported by Amgen, Genzyme, Shire and Servier. He has also participated in advisory boards for Amgen and Genzyme. Mariano Rodriguez has received honoraria and grants from Amgen and Shire. He has also participated in advisory boards for Amgen and Shire. Cathy Shanahan has received honoraria from Amgen and Genzyme.
References
- 1.Rodriguez M, Nemeth E, Martin D. The calcium-sensing receptor: a key factor in the pathogenesis of secondary hyperparathyroidism. Am J Physiol. 2005;288:F253–F264. doi: 10.1152/ajprenal.00302.2004. [DOI] [PubMed] [Google Scholar]
- 2.Elder G. Pathophysiology and recent advances in the management of renal osteodystrophy. J Bone Miner Res. 2002;17:2094–2105. doi: 10.1359/jbmr.2002.17.12.2094. [DOI] [PubMed] [Google Scholar]
- 3.Goodman WG, Goldin J, Kuizon BD, et al. Coronary-artery calcification in young adults with end-stage renal disease who are undergoing dialysis. N Engl J Med. 2000;342:1478–1483. doi: 10.1056/NEJM200005183422003. [DOI] [PubMed] [Google Scholar]
- 4.Tokuyama T, Ikeda T, Sato K, Mimura O, Morita A, Tabata T. Conjunctival and corneal calcification and bone metabolism in hemodialysis patients. Am J Kid Dis. 2002;39:291–296. doi: 10.1053/ajkd.2002.30548. [DOI] [PubMed] [Google Scholar]
- 5.Floege J. When man turns to stone: extraosseous calcification in uremic patients. Kidney Int. 2004;65:2447–2462. doi: 10.1111/j.1523-1755.2004.00664.x. [DOI] [PubMed] [Google Scholar]
- 6.Ketteler M, Schlieper G, Floege J. Calcification and cardiovascular health: new insights into an old phenomenon. Hypertension. 2006;47:1027–1034. doi: 10.1161/01.HYP.0000219635.51844.da. [DOI] [PubMed] [Google Scholar]
- 7.Alem AM, Sherrard DJ, Gillen DL, et al. Increased risk of hip fracture among patients with end-stage renal disease. Kidney Int. 2000;58:396–399. doi: 10.1046/j.1523-1755.2000.00178.x. [DOI] [PubMed] [Google Scholar]
- 8.Mittalhenkle A, Gillen DL, Stehman-Breen CO. Increased risk of mortality associated with hip fracture in the dialysis population. Am J Kid Dis. 2004;44:672–679. [PubMed] [Google Scholar]
- 9.Tejwani NC, Schachter AK, Immerman I, Achan P. Renal osteodystrophy. J Am Acad of Orthop Surg. 2006;14:303–311. doi: 10.5435/00124635-200605000-00006. [DOI] [PubMed] [Google Scholar]
- 10.London GM, Guerin AP, Marchais SJ, et al. Cardiac and arterial interactions in end-stage renal disease. Kidney Int. 1996;50:600–608. doi: 10.1038/ki.1996.355. [DOI] [PubMed] [Google Scholar]
- 11.De Boer IH, Gorodetskaya I, Young B, Hsu CY, Chertow GM. The severity of secondary hyperparathyroidism in chronic renal insufficiency is GFR-dependent, race-dependent, and associated with cardiovascular disease. J Am Soc Nephrol. 2002;13:2762–2769. doi: 10.1097/01.asn.0000034202.91413.eb. [DOI] [PubMed] [Google Scholar]
- 12.Ganesh SK, Stack AG, Levin NW, Hulbert-Shearon T, Port FK. Association of elevated serum PO4, Ca × PO4 product, and parathyroid hormone with cardiac mortality risk in chronic hemodialysis patients. J Am Soc Nephrol. 2001;12:2131–2138. doi: 10.1681/ASN.V12102131. [DOI] [PubMed] [Google Scholar]
- 13.Block GA, Klassen PS, Lazarus JM, Ofsthun N, Lowrie EG, Chertow GM. Mineral metabolism, mortality, and morbidity in maintenance hemodialysis. J Am Soc Nephrol. 2004;15:2208–2218. doi: 10.1097/01.ASN.0000133041.27682.A2. [DOI] [PubMed] [Google Scholar]
- 14.Foley RN, Li S, Liu J, et al. The fall and rise of parathyroidectomy in U.S. hemodialysis patients, 1992 to 2002. J Am Soc Nephrol. 2005;16:210–218. doi: 10.1681/ASN.2004020138. [DOI] [PubMed] [Google Scholar]
- 15.Kim J, Dylan M, Doan Q, et al. Association of elevated serum parathyroid hormone (PTH) and calcium with hip, vertebral, or pelvic fracture in hemodialysis patients [Abstract S026] Presented at: ERA-EDTA Congress, 15–18 May 2004, Lisbon, Portugal.
- 16.Gorodetskaya I, Zenios S, McCulloch CE, et al. Health-related quality of life and estimates of utility in chronic kidney disease. Kidney Int. 2005;68:2801–2808. doi: 10.1111/j.1523-1755.2005.00752.x. [DOI] [PubMed] [Google Scholar]
- 17.Braun J, Oldendorf M, Moshage W, Heidler R, Zeitler E, Luft FC. Electron beam computed tomography in the evaluation of cardiac calcification in chronic dialysis patients. Am J Kidney Dis. 1996;27:394–401. doi: 10.1016/s0272-6386(96)90363-7. [DOI] [PubMed] [Google Scholar]
- 18.Yang H, Curinga G, Giachelli CM. Elevated extracellular calcium levels induce smooth muscle cell matrix mineralization in vitro. Kidney Int. 2004;66:2293–2299. doi: 10.1111/j.1523-1755.2004.66015.x. [DOI] [PubMed] [Google Scholar]
- 19.Reynolds JL, Joannides AJ, Skepper JN, et al. Human vascular smooth muscle cells undergo vesicle-mediated calcification in response to changes in extracellular calcium and phosphate concentrations: a potential mechanism for accelerated vascular calcification in ESRD. J Am Soc Nephrol. 2004;15:2857–2867. doi: 10.1097/01.ASN.0000141960.01035.28. [DOI] [PubMed] [Google Scholar]
- 20.Jono S, McKee MD, Murry CE, et al. Phosphate regulation of vascular smooth muscle cell calcification. Circ Res. 2000;87:E10–E17. doi: 10.1161/01.res.87.7.e10. [DOI] [PubMed] [Google Scholar]
- 21.Blacher J, Guerin AP, Pannier B, Marchais SJ, London GM. Arterial calcifications, arterial stiffness, and cardiovascular risk in end-stage renal disease. Hypertension. 2001;38:938–942. doi: 10.1161/hy1001.096358. [DOI] [PubMed] [Google Scholar]
- 22.Guerin AP, London GM, Marchais SJ, Metivier F. Arterial stiffening and vascular calcifications in end-stage renal disease. Nephrol Dial Transplant. 2000;15:1014–1021. doi: 10.1093/ndt/15.7.1014. [DOI] [PubMed] [Google Scholar]
- 23.Klassen PS, Lowrie EG, Reddan DN, et al. Association between pulse pressure and mortality in patients undergoing maintenance hemodialysis. JAMA. 2002;287:1548–1555. doi: 10.1001/jama.287.12.1548. [DOI] [PubMed] [Google Scholar]
- 24.Blacher J, Safar ME, Guerin AP, Pannier B, Marchais SJ, London GM. Aortic pulse wave velocity index and mortality in end-stage renal disease. Kidney Int. 2003;63:1852–1860. doi: 10.1046/j.1523-1755.2003.00932.x. [DOI] [PubMed] [Google Scholar]
- 25.Pannier B, Guerin AP, Marchais SJ, Safar ME, London GM. Stiffness of capacitive and conduit arteries: prognostic significance for end-stage renal disease patients. Hypertension. 2005;45:592–596. doi: 10.1161/01.HYP.0000159190.71253.c3. [DOI] [PubMed] [Google Scholar]
- 26.Rodriguez-Garcia M, Naves M, Cannata-Andia J. Bone metabolism, vascular calcifications and mortality: associations beyond mere coincidence. J Nephrol. 2005;18:458–463. [PubMed] [Google Scholar]
- 27.Shanahan CM, Proudfoot D, Farzaneh-Far A, Weissberg PL. The role of Gla proteins in vascular calcification. Crit Rev Eukaryot Gene Expr. 1998;8:357–375. doi: 10.1615/critreveukargeneexpr.v8.i3-4.60. [DOI] [PubMed] [Google Scholar]
- 28.Ishimura E, Taniwaki H, Tabata T, et al. Cross-sectional association of serum phosphate with carotid intima-medial thickness in hemodialysis patients. Am J Kidney Dis. 2005;45:859–865. doi: 10.1053/j.ajkd.2005.02.008. [DOI] [PubMed] [Google Scholar]
- 29.Speer MY, Giachelli CM. Regulation of cardiovascular calcification. Cardiovasc Pathol. 2004;13:63–70. doi: 10.1016/S1054-8807(03)00130-3. [DOI] [PubMed] [Google Scholar]
- 30.Giachelli CM, Speer MY, Li X, Rajachar RM, Yang H. Regulation of vascular calcification: roles of phosphate and osteopontin. Circ Res. 2005;96:717–722. doi: 10.1161/01.RES.0000161997.24797.c0. [DOI] [PubMed] [Google Scholar]
- 31.Shanahan CM, Cary NR, Salisbury JR, Proudfoot D, Weissberg PL, Edmonds ME. Medial localization of mineralization-regulating proteins in association with Monckeberg's sclerosis: evidence for smooth muscle cell-mediated vascular calcification. Circulation. 1999;100:2168–2176. doi: 10.1161/01.cir.100.21.2168. [DOI] [PubMed] [Google Scholar]
- 32.Wada T, McKee MD, Steitz S, Giachelli CM. Calcification of vascular smooth muscle cell cultures: inhibition by osteopontin. Circ Res. 1999;84:166–178. doi: 10.1161/01.res.84.2.166. [DOI] [PubMed] [Google Scholar]
- 33.Bucay N, Sarosi I, Dunstan CR, et al. Osteoprotegerin-deficient mice develop early onset osteoporosis and arterial calcification. Genes Dev. 1998;12:1260–1268. doi: 10.1101/gad.12.9.1260. [DOI] [PMC free article] [PubMed] [Google Scholar]
- 34.Schafer C, Heiss A, Schwarz A, et al. The serum protein α2-Heremans-Schmid glycoprotein/fetuin-A is a systemically acting inhibitor of ectopic calcification. J Clin Invest. 2003;112:357–366. doi: 10.1172/JCI17202. [DOI] [PMC free article] [PubMed] [Google Scholar]
- 35.Tyson KL, Reynolds JL, McNair R, Zhang Q, Weissberg PL, Shanahan CM. Osteo/chondrocytic transcription factors and their target genes exhibit distinct patterns of expression in human arterial calcification. Arterioscler Thromb Vasc Biol. 2003;23:489–494. doi: 10.1161/01.ATV.0000059406.92165.31. [DOI] [PubMed] [Google Scholar]
- 36.Farzaneh-Far A, Proudfoot D, Weissberg PL, Shanahan CM. Matrix gla protein is regulated by a mechanism functionally related to the calcium-sensing receptor. Biochem Biophys Res Commun. 2000;277:736–740. doi: 10.1006/bbrc.2000.3747. [DOI] [PubMed] [Google Scholar]
- 37.Lopez I, Aguilera-Tejero E, Mendoza FJ, et al. Calcimimetic R-568 decreases extraosseous calcifications in uremic rats treated with calcitriol. J Am Soc Nephrol. 2006;17:795–804. doi: 10.1681/ASN.2005040342. [DOI] [PubMed] [Google Scholar]
- 38.Henley C, Colloton M, Cattley RC, et al. 1,25-Dihydroxyvitamin D3 but not cinacalcet HCl (Sensipar®/Mimpara®) treatment mediates aortic calcification in a rat model of secondary hyperparathyroidism. Nephrol Dial Transplant. 2005;20:1370–1377. doi: 10.1093/ndt/gfh834. [DOI] [PubMed] [Google Scholar]
- 39.Dong BJ. Cinacalcet: an oral calcimimetic agent for the management of hyperparathyroidism. Clin Ther. 2005;27:1725–1751. doi: 10.1016/j.clinthera.2005.11.015. [DOI] [PubMed] [Google Scholar]
- 40.Block GA, Martin KJ, de Francisco AL, et al. Cinacalcet for secondary hyperparathyroidism in patients receiving hemodialysis. N Engl J Med. 2004;350:1516–1525. doi: 10.1056/NEJMoa031633. [DOI] [PubMed] [Google Scholar]
- 41.Lindberg JS, Culleton B, Wong G, et al. Cinacalcet HCl, an oral calcimimetic agent for the treatment of secondary hyperparathyroidism in hemodialysis and peritoneal dialysis: a randomized, double-blind, multicenter study. J Am Soc Nephrol. 2005;16:800–807. doi: 10.1681/ASN.2004060512. [DOI] [PubMed] [Google Scholar]
- 42.Lindberg JS, Moe SM, Goodman WG, et al. The calcimimetic AMG 073 reduces parathyroid hormone and calcium × phosphorus in secondary hyperparathyroidism. Kidney Int. 2003;63:248–254. doi: 10.1046/j.1523-1755.2003.00720.x. [DOI] [PubMed] [Google Scholar]
- 43.Quarles LD, Sherrard DJ, Adler S, et al. The calcimimetic AMG 073 as a potential treatment for secondary hyperparathyroidism of end-stage renal disease. J Am Soc Nephrol. 2003;14:575–583. doi: 10.1097/01.asn.0000050224.03126.ad. [DOI] [PubMed] [Google Scholar]
- 44.Moe SM, Chertow GM, Coburn JW, et al. Achieving NKF-K/DOQI bone metabolism and disease treatment goals with cinacalcet HCl. Kidney Int. 2005;67:760–771. doi: 10.1111/j.1523-1755.2005.67139.x. [DOI] [PubMed] [Google Scholar]
- 45.Chertow GM, Block G, Correa-Rotter R, et al. Evaluation Of Cinacalcet HCl Therapy to Lower CardioVascular Events (EVOLVE) Trial [PUB359] Presented at: Renal Week, 14–19 November 2006, San Diego, CA.
- 46.Cunningham J, Danese M, Olson K, Klassen P, Chertow GM. Effects of the calcimimetic cinacalcet HCl on cardiovascular disease, fracture, and health-related quality of life in secondary hyperparathyroidism. Kidney Int. 2005;68:1793–1800. doi: 10.1111/j.1523-1755.2005.00596.x. [DOI] [PubMed] [Google Scholar]
- 47.Colloton M, Shatzen E, Miller G, et al. Cinacalcet HCl attenuates parathyroid hyperplasia in a rat model of secondary hyperparathyroidism. Kidney Int. 2005;67:467–476. doi: 10.1111/j.1523-1755.2005.67103.x. [DOI] [PubMed] [Google Scholar]
- 48.Urena P, Bernard-Poenaru O, Ostertag A, et al. Bone mineral density, biochemical markers and skeletal fractures in haemodialysis patients. Nephrol Dial Transplant. 2003;18:2325–2331. doi: 10.1093/ndt/gfg403. [DOI] [PubMed] [Google Scholar]
- 49.Lien YH, Silva AL, Whittman D. Effects of cinacalcet on bone mineral density in patients with secondary hyperparathyroidism. Nephrol Dial Transplant. 2005;20:1232–1237. doi: 10.1093/ndt/gfh829. [DOI] [PubMed] [Google Scholar]
- 50.Kurella M, Luan J, Yaffe K, et al. Validation of the Kidney Disease Quality of Life (KDQOL) cognitive function subscale. Kidney Int. 2004;66:2361–2367. doi: 10.1111/j.1523-1755.2004.66024.x. [DOI] [PubMed] [Google Scholar]
- 51.Perlman RL, Finkelstein FO, Liu L, et al. Quality of life in chronic kidney disease (CKD): a cross-sectional analysis in the Renal Research Institute-CKD study. Am J Kidney Dis. 2005;45:658–666. doi: 10.1053/j.ajkd.2004.12.021. [DOI] [PubMed] [Google Scholar]






