Summary
Background
Addressing the causes of low engagement in health care is a prerequisite for reducing health inequalities. People who miss multiple appointments are an under-researched group who might have substantial unmet health needs. Individual-level patterns of missed general practice appointments might thus provide a risk marker for vulnerability and poor health outcomes. We sought to ascertain the contributions of patient and practice factors to the likelihood of missing general practice appointments.
Methods
For this national retrospective cohort analysis, we extracted UK National Health Service general practice data that were routinely collected across Scotland between Sept 5, 2013, and Sept 5, 2016. We calculated the per-patient number of missed appointments from individual appointments and investigated the risk of missing a general practice appointment using a negative binomial model offset by number of appointments made. We then analysed the effect of patient-level factors (including age, sex, and socioeconomic status) and practice-level factors (including appointment availability and geographical location) on the risk of missing appointments.
Findings
The full dataset included information from 909 073 patients, of whom 550 083 were included in the analysis after processing. We observed that 104 461 (19·0%) patients missed more than two appointments in the 3 year study period. After controlling for the number of appointments made, patterns of non-attendance could be differentiated, with patients who were aged 16–30 years (relative risk ratio [RRR] 1·21, 95% CI 1·19–1·23) or older than 90 years (2·20, 2·09–2·29), and of low socioeconomic status (Scottish Index of Multiple Deprivation decile 1: RRR 2·27, 2·22–2·31) significantly more likely to miss multiple appointments. Men missed fewer appointments overall than women, but were somewhat more likely to miss appointments in the adjusted model (1·05, 1·04–1·06). Practice factors also substantially affected attendance patterns, with urban practices in affluent areas that typically have appointment waiting times of 2–3 days the most likely to have patients who serially miss appointments. The combination of both patient and practice factors to predict appointments missed gave a higher pseudo R2 value (0·66) than models using either group of factors separately (patients only R2=0·54; practice only R2=0·63).
Interpretation
The findings that both patient and practice characteristics contribute to non-attendance of general practice appointments raise important questions for both the management of patients who miss multiple appointments and the effectiveness of existing strategies that aim to increase attendance. Addressing these issues should lead to improvements in provision of services and public health.
Funding
Scottish Government Chief Scientist Office and Data Sharing and Linkage Service of the Scottish Government.
Introduction
Missed appointments have obvious financial implications for health-care systems around the world, but their prevalence and health impact also need to be understood to develop effective interventions to increase patient engagement and to help health services contribute towards tackling health inequalities.1, 2, 3 Missing multiple medical appointments could be seen as a manifestation of poor engagement,3 and missed appointments for preventive care might have a substantial public health impact. Previous research has focused on single instances of non-attendance rather than on patients who miss multiple appointments. These episode-based designs analysed missed appointments across an entire patient population rather than at an individual patient level. Factors reported to be associated with missing a single appointment include age, sex, transport logistics, and clinic or practitioner factors such as booking efficiency and the rapport between staff and patients.4, 5, 6, 7, 8, 9 Whether these factors are also associated with patients who do not attend multiple appointments remains unclear.10 At present, little agreement exists on what works in practice to reduce missed appointments.11
Information about patients who miss multiple appointments is limited. Preliminary research did confirm that a small core group of patients who miss multiple appointments was likely to exist, with the odds of missing a subsequent appointment increasing among patients who had missed at least one appointment in the previous 12 months.5 A larger audit of National Health Service (NHS) England hospital outpatient (secondary care) appointments concluded that one in 50 patients (65 590 of 3·5 million) who missed one appointment went on to miss three or more further appointments within 3 months.12 These numbers suggest that this effect is likely to have significant implications for patients, practitioners, and service managers. Findings from a 2017 focus group analysis of general practitioners showed that clinicians make clear distinctions between patients who miss a few appointments and those who miss many.10 Patients who miss multiple general practice appointments are postulated to differ from the general population and are more likely to have complex social and health needs.10, 13
Research in context.
Evidence before this study
We searched MEDLINE and PubMed for studies published in English between Jan 1, 1950, and May 1, 2017, using keywords “missed appointment” and “primary care”. This search included MeSH terms for both sets of keywords. Previous studies examined single missed appointments in primary-care and secondary-care settings in patients with index conditions such as diabetes and HIV. Several studies also analysed interventions to reduce missed appointments such as text reminders. Two studies, one published in 2016 and the other in 2008, suggested appointment wait time might contribute to the likelihood of attending appointments. Clinicians in the UK report that some patients who repeatedly miss appointments are socially vulnerable and have poor health; a topic, which, until now, has not previously been researched.
Added value of this study
This 3 year retrospective cohort study examines more than 13 million appointments from more than 100 general practices across Scotland, representing 11 of 14 health boards and a tenth of all practices in Scotland. This study is the first to provide empirical evidence that an important minority of patients have a pattern of missing multiple general practice appointments. The study uses patient-level data to investigate which patient and practice characteristics can indicate increased risks for repeatedly missing appointments. Patient and practice factors remain important, with people of low socioeconomic status and aged 16–30 years or older than 90 years being significantly more likely to miss multiple appointments. Urban practices in more affluent areas that predominantly offer appointments with a delay of 2–3 days are most likely to have registered patients who miss multiple appointments. These results might point to some recommendations on how health-care systems can effectively manage these patients and maximise attendance; for example, practices might consider increasing access to on-the-day appointments for patients who are already at high risk of becoming serial non-attenders.
Implications of all the available evidence
This study highlights the important effect in a UK setting of high socioeconomic deprivation on a person's ability to engage with general practice care, and the relative contributions of sex and age. In public health terms, these factors are likely to be particularly important for consultations involving preventive health care. General practice-level factors such as appointment delay contribute to missed appointments, and practices seeking to increase engagement in care could selectively offer same day appointments to patients at risk of not managing to attend. Practices whose patient populations are socioeconomically mixed or predominantly affluent should pay particular attention to this study's findings because patients from socioeconomically deprived backgrounds receiving care in these settings are at particularly high risk of low engagement in care. Our findings apply to the UK but are probably generalisable across other health-care settings. Future research will report on diagnoses, outcomes, social vulnerability, and health-care utilisation across the primary-care and secondary-care interface to allow further characterisation of patients, understanding of service provision, and development of appropriate interventions. Increasing engagement of disadvantaged populations with preventive health-care services could make an important contribution to the reduction of health inequalities.
This research seeks to investigate these issues empirically by studying individual patient attendance patterns. This will establish the validity of previous clinical evidence suggesting that patients who serially miss appointments are likely to have very poor health, be socially disadvantaged, and remain high users of unscheduled care compared with patients who occasionally miss appointments;3, 10, 14 if confirmed, the pattern of missed appointments for preventive care could amplify health inequalities. This research will also act as a first step towards developing future interventions for health-care systems to reduce levels of serial non-attendance and increase patient engagement. This study focuses on the patient demographic and practice factors that predict serial missed appointments in general practice. We hypothesise that both of these factors influence an individual's likelihood of attending general practice appointments.
Methods
Study design
For this national retrospective cohort analysis, we extracted NHS general practice data that were routinely collected across Scotland between Sept 5, 2013, and Sept 5, 2016. Albasoft provided the dataset, which we retrieved using the EScro system, software designed to assess performance against NHS service-level agreements. However, EScro also integrates data held in disparate clinical systems, which can then be provided to researchers via safe transfer. General practices were recruited to the study following written request to each practice detailing the project. Participation was specifically on an opt-in basis. Therefore all health boards in Scotland were requested to participate. Practices from 11 health boards agreed to take part. We did not do any sampling to ensure proportional representation, including in the study all practices that agreed to take part. We also invited deep-end practices (the 100 practices operating in the most deprived areas of Scotland) to take part. 21 of the 100 asked agreed to take part.
NHS general practice has almost universal coverage of the UK population. Patients are registered with one general practice, meaning a targeted sample of general practices can achieve population representation. Moreover, unlike most other parts of the UK NHS such as specialist hospital care, in which general practitioners or other clinicians gatekeep access to services via referral, a patient can schedule an appointment with the general practice team at their discretion. General practice appointments therefore provide a starting point when seeking to understanding serial non-attendance in the context of engagement in care.3
The data contained within this study did not require ethical approval due to it being regarded as a service evaluation. We obtained a letter of comfort from the West of Scotland NHS Ethics Committee and the University of Glasgow, College of Medical, Veterinary & Life Sciences Ethics Committee confirming that the full study did not need health service ethics permissions. We aggregated data where necessary to ensure individual patient privacy.
Due to the sensitive nature of NHS administrative data, the datasets generated or analysed during the present study will not be publicly available. Data have been made available only to the research team under controlled access and strictly for the purposes of this research study. Summary data, at the level of disclosure checked output from the National Safehaven and statistical code, can be requested from the corresponding author on reasonable request.
Outcomes
Our primary analysis aimed to understand what proportion of patients miss multiple primary-care appointments. Our secondary analysis investigated whether patients who miss multiple appointments can be differentiated from patients who miss a few on the basis of their age, sex, socioeconomic status, or practice-level factors (appendix).
Data analysis
Patient data included age, sex, socioeconomic status (measured using Scottish Index of Multiple Deprivation [SIMD]),15 and distance by road to the patient's registered medical practice. SIMD incorporates data collected by the Scottish Government on income, employment, education, health, access to services, crime, and housing to index areas from least deprived (SIMD10) to most deprived (SIMD1). Ethnicity was excluded from this analysis post hoc due to poor recording;16 only 2·69% of appointments could be associated with ethnicity data in the medical records due to low levels of recording by practices. Ethnicity was predominantly recorded in the small number of cases for which it seemed relevant to diagnosis.
Practice data included SIMD score for each practice based on a mean for all registered patients, time between an appointment being made by a patient and subsequently attended or missed (appointment delay), total number of appointments allocated by a practice divided by list size (number of appointments per patient), the total time available for all appointments divided by the total number of patients (median appointment time per patient), and the urban/rural classification score for each practice, which ranges from 1 to 8, with 8 being most remote or rural (appendix).
Using analysis criteria from the pilot study,10 we allocated patients into the following groups: zero missed appointments (none missed per year over the 3 year period); low missed appointments (less than one missed on average per year over the 3 year period); medium missed appointments (one to two missed on average per year over the 3 year period); and high missed appointments (more than two missed on average per year over the 3 year period).
We calculated missed appointments on a per-year basis for each of the years within our 3 year study period. We calculated the mean missed appointment rate over 3 years to take account of varying appointment scheduling activity by illness episodes and social crises.17 Furthermore, we report the relative contribution of patient and practice factors, both individually and collectively, to the variance in frequency of missed appointments.8, 10
Data were cleaned to ensure that each appointment was logged as attended or missed (did not attend). This was primarily based on the “in” and “out” time recorded for that appointment. If this was recorded as “0” then the appointment was classified as did not attend. Appointments regarded as non-face-to-face consultations were removed. These were defined in our dataset as “Administrator”, “Receptionist”, “Secretary”, “Other Admin and Clerical”, “Practice Manager”, and “Unknown”. In our original protocol design, we intended to analyse only appointments marked as general practice, but the recording of appointment specificity at this level was poor. Removal of all non-general practice-marked data left only 24% of all records available for analysis and therefore we included all appointments for a primary health-care professional except those removed after applying the other exclusion criteria. Any patients with a blank registration date were also removed along with those who were not registered as patients with the practice in the study period. Finally, appointments for which the waiting time was less than 0 (negative) and those that lasted less than 2 min were removed (appendix). We derived the 2 min distinction from the pilot study.10
We calculated the total number of appointments scheduled during the 3 year period for each patient in addition to their annual rate of non-attendance and number and percentage of appointments missed. We classified patients on the basis of their mean annual rate of non-attendance over 3 years (never, low, medium, or high). We created a data file containing the appointment history of each patient and merged it with individual anonymised patient information.
We first analysed demographic factors using cross tabulation to examine age, sex, and socioeconomic status (SIMD). Following this, we used a negative binomial regression model to measure risk of missing appointments, adjusting for patient and practice factors: age, sex, socioeconomic status (SIMD), distance between home and the practice, appointment delay, mean appointment time per patient, number of appointments per patient, rurality index, and mean practice socioeconomic status (SIMD). Additionally, the model was offset by number of appointments made per patient to account for variations in appointment scheduling.17 We excluded from the analysis any records that contained missing data for any patient or practice factors used in the regression model. We chose the negative binomial model because the variance in the number of missed appointments (33·83) was greater than the mean number of missed appointments (2·03). All statistical analyses were done in R software (version 3.4.0).
Role of the funding source
The study funders had no role in study design, data collection, data analysis, data interpretation, or writing of the report. DAE, RM, AM, and AEW had access to the raw data. The corresponding author had full access to all the data in the study and the final responsibility for the decision to submit for publication
Results
155 practices were recruited initially; however, 19 were excluded from the present analysis: one practice closed, two practices merged since the study commenced, and 16 had current issues with appointment data extraction due to NHS software updates. The full dataset included information from 909 073 patients. 358 990 (39·5%) patients who did not fit our inclusion criteria (appendix) were removed, leaving 550 083 patients in our analysis. A 3 year appointment history for each patient was uploaded to the NHS national secure safe haven (13 623 316 appointments). A total of 4 446 262 (32·6%) appointments were removed from our original dataset, leaving 9 177 054 appointments in our analysis. The mean age of included patients was 45 years (IQR 25–61), and 260 714 (47·4%) were men and 289 369 (56·2%) were women (table 1).
Table 1.
Participant demographics between missed appointment groupings
| Zero (n=297 002) | Low (n=148 620) | Medium (n=63 535) | High (n=40 926) | Total (n=550 083) | |
|---|---|---|---|---|---|
| Age (years) | |||||
| 0–15 | 56 612 (19·1%) | 22 320 (15·0%) | 6819 (10·7%) | 2113 (5·2%) | 87 864 (16·0%) |
| 16–30 | 44 974 (15·1%) | 26 076 (17·5%) | 11 750 (18·5%) | 5618 (13·7%) | 88 418 (16·1%) |
| 31–45 | 59 582 (20·1%) | 28 803 (19·4%) | 12 306 (19·4%) | 8018 (19·6%) | 108 709 (19·8%) |
| 46–60 | 73 962 (24·9%) | 34 166 (23·0%) | 14 431 (22·7%) | 10 283 (25·1%) | 132 842 (24·1%) |
| 61–75 | 47 619 (16·0%) | 25 871 (17·4%) | 11 410 (18·0%) | 8209 (20·1%) | 93 109 (16·9%) |
| 76–90 | 13 522 (4·6%) | 10 595 (7·1%) | 6229 (9·8%) | 5873 (14·4%) | 36 219 (6·6%) |
| ≥90 | 731 (0·2%) | 789 (0·5%) | 590 (0·9%) | 812 (2·0%) | 2922 (0·5%) |
| Total | 297 002 (100%) | 148 620 (100%) | 63 535 (100%) | 40 926 (100%) | 550 083 (100%) |
| Sex | |||||
| Female | 147 440 (49·6%) | 79 268 (53·3%) | 36 722 (57·8%) | 25 939 (63·4%) | 289 369 (52·6%) |
| Male | 149 562 (50·4%) | 69 352 (46·7%) | 26 813 (42·2%) | 14 987 (36·6%) | 260 714 (47·4%) |
| Total | 297 002 (100%) | 148 620 (100%) | 63 535 (100%) | 40 926 (100%) | 550 083 (100%) |
| SIMD* | |||||
| 1·00 | 19 724 (7·2%) | 14 380 (10·6%) | 8232 (14·3%) | 6664 (18·3%) | 49 000 (9·7%) |
| 2·00 | 19 253 (7·0%) | 13 044 (9·6%) | 7080 (12·3%) | 5018 (13·8%) | 44 395 (8·8%) |
| 3·00 | 22 354 (8·2%) | 13 398 (9·9%) | 6524 (11·4%) | 4250 (11·7%) | 46 526 (9·2%) |
| 4·00 | 24 083 (8·8%) | 13 522 (10·0%) | 6166 (10·7%) | 4245 (11·7%) | 48 016 (9·5%) |
| 5·00 | 23 772 (8·7%) | 13 069 (9·6%) | 6307 (11·0%) | 4376 (12·0%) | 47 524 (9·4%) |
| 6·00 | 31 806 (11·6%) | 14 562 (10·7%) | 5438 (9·5%) | 2678 (7·4%) | 54 484 (10·8%) |
| 7·00 | 38 270 (14·0%) | 17 067 (12·6%) | 5985 (10·4%) | 3273 (9·0%) | 64 595 (12·8%) |
| 8·00 | 29 952 (10·9%) | 13 573 (10·0%) | 4908 (8·5%) | 2715 (7·5%) | 51 148 (10·2%) |
| 9·00 | 29 918 (10·9%) | 11 569 (8·5%) | 3869 (6·7%) | 2231 (6·1%) | 47 587 (9·5%) |
| 10·00 | 34 571 (12·6%) | 11 627 (8·6%) | 2896 (5·0%) | 908 (2·5%) | 50 002 (9·9%) |
| Total | 273 703 (100%) | 135 811 (100%) | 57 405 (100%) | 36 358 (100%) | 503 277 (100%) |
Data are n (%). Missed appointment groupings are based on age and annual rate of non-attendance: zero is no appointments missed over the 3 year period; low is less than one appointment missed on average per year over the 3 year period; medium is one to two appointments missed on average per year over the 3 year period; and high is more than two appointments missed on average per year over the 3 year period. p<0·01 for all variables measured. SIMD=Scottish index of multiple deprivation.
Missing data on SIMD for patients resulted in 46 806 fewer records for this variable.
During the 3 year period, 297 002 (54·0%) of 550 083 patients missed no appointments, 253 081 (46·0%) missed one or more appointments, and 104 461 (19·0%) missed more than two appointments (figure 1). 1 648 421 (12·1%) of all 13 623 316 appointments were not attended. Of these, 1 498 414 (90·9%) were by patients who missed more than one appointment over the 3 year examination period.
Figure 1.
Distribution of patients' total number of missed appointments over 3 years
The smaller histogram shows the same dataset for patients who miss two or more appointments.
The highest frequencies of medium or high missed appointment status were among patients aged 76–90 years (12 102 [33·4%] of 36 219 patients) and patients older than 90 years (1402 [48·0%] of 2922; table 1). Female patients in in each of the non-zero missed appointment categories showed more missed appointments than male patients, with 147 440 (51·0%) of 289 369 women shown as non-missers compared with 149 562 (57·4%) of 260 714 men. The results also showed an association between socioeconomic status and frequency of missed appointments, with the impact of increasing socioeconomic deprivation being apparent for all missed appointment categories. Collectively, in our unadjusted cross tabulation models, these results suggest that patients who miss multiple appointments are substantially more likely to be older, female, and have low socioeconomic status.
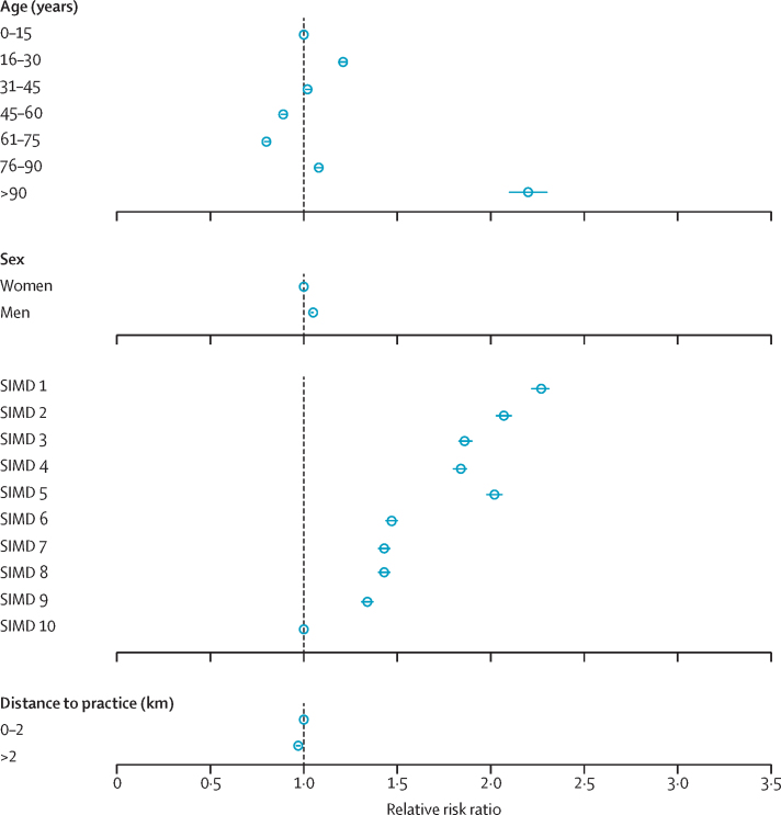
We did regressions using a negative binomial distribution to model discrete counts of non-attendance in patients across the four appointment groups. Patients who are the most deprived (SIMD 1) are most likely to miss appointments (relative risk ratio [RRR] 2·27, 95% CI 2·22–2·31; figure 2, table 2). Men are more likely to miss multiple appointments than women, but only when this is offset to account for the proportion of appointments made (1·05, 1·04–1·06), accounting for the change in effects seen between the regression modelling and the descriptive statistics shown in table 1. Patients aged 16–30 years (1·21, 1·19–1·23) and patients older than 90 years (2·20, 2·09–2·29) are more likely to miss multiple appointments than the reference group (patients aged 0–15 years).
Figure 2.
Adjusted forest plot of relative risk ratios for patient factors offset for the number of appointments made
Relative risk ratios are shown for patient age categories, sex, SIMD score, and distance to practice. Bars represent 95% CIs. SIMD=Scottish Index of Multiple Deprivation.
Table 2.
Patient and practice factors-offset negative binomial modelling of patient's risk of missing appointments
| Relative risk ratio (95% CI) | ||
|---|---|---|
| Age (years) | ||
| 0–15 | 1 (ref) | |
| 16–30 | 1·21 (1·19–1·23) | |
| 31–45 | 1·02 (1·01–1·04) | |
| 46–60 | 0·89 (0·88–0·91) | |
| 61–75 | 0·80 (0·79–0·81) | |
| 76–90 | 1·08 (1·06–1·09) | |
| 90≥ | 2·20 (2·09–2·29) | |
| Sex | ||
| Female | 1 (ref) | |
| Male | 1·05 (1·04–1·06) | |
| SIMD | ||
| 1 | 2·27 (2·22–2·31) | |
| 2 | 2·07 (2·03–2·11) | |
| 3 | 1·86 (1·83–1·90) | |
| 4 | 1·84 (1·80–1·87) | |
| 5 | 2·02 (1·98–2·06) | |
| 6 | 1·47 (1·44–1·50) | |
| 7 | 1·43 (1·40–1·46) | |
| 8 | 1·43 (1·40–1·46) | |
| 9 | 1·34 (1·31–1·38) | |
| 10 | 1 (ref) | |
| Practice distance (km) | ||
| 0–2 | 1 (ref) | |
| >2 | 0·97 (0·96–0·98) | |
| Appointment delay (days) | ||
| <1 | 1 (ref) | |
| 1–2 | 2·46 (2·38–2·54) | |
| 2–3 | 2·54 (2·46–2·62) | |
| 3–4 | 2·51 (2·43–2·59) | |
| 4–5 | 2·43 (2·35–2·51) | |
| 5–6 | 2·41 (2·30–2·46) | |
| 6–7 | 2·38 (2·24–2·40) | |
| 7–14 | 2·15 (2·09–2·22) | |
| >14 | 2·01 (1·93–2·09) | |
| Mean appointment time per patient | 1·00 (1·00–1·00)* | |
| Number of appointments per patient | 1·08 (1·08–1·08) | |
| Rurality Rur8 | ||
| 1 | 1 (ref) | |
| 2 | 0·88 (0·87–0·89) | |
| 3 | 0·78 (0·77–0·79) | |
| 4 | 0·48 (0·46–0·49) | |
| 5 | 0·38 (0·37–0·39) | |
| 6 | 0·55 (0·53–0·56) | |
| 7 | 0·47 (0·45–0·48) | |
| 8 | 0·37 (0·36–0·38) | |
| Mean practice SIMD | ||
| 2–3 | 1 (ref) | |
| 3–4 | 0·84 (0·80–0·89) | |
| 4–5 | 1·00 (0·96–1·05)* | |
| 5–6 | 1·32 (1·25–1·38) | |
| 6–7 | 1·14 (1·09–1·20) | |
| 7–8 | 1·65 (1·57–1·74) | |
| 8–9 | 1·39 (1·31–1·48) | |
Practice factors include the SIMD score for each practice based on a mean from all patients registered in that practice, the duration between when an appointment is made by a patient and subsequently attended or missed (appointment delay), the total number of appointments allocated by a practice divided by list size (number of available appointments per patient), the total time of all appointments divided by the total number of patients (mean appointment length per patient), and the urban/rural classification score for each practice, which ranges from 1–8, with 8 being more rural. Practice SIMD derived from the mean of all patients' SIMD within each practice. All p values were less than 0·001 unless otherwise stated. SIMD=Scottish index of multiple deprivation. Rur8=urban/rural classification score.
Not significant.
Practice factors also contribute significantly to the likelihood of patients missing multiple appointments (figure 3, table 2). Practices with appointment delays of 2–3 days were at highest risk (RRR 2·54, 95% CI 2·46–2·62) of having more missed appointments when compared with on-the-day appointments. This risk is reduced with appointment delays extending beyond 3 days. Urban practices were also more likely to face a higher risk of missed appointments, with a reduction as practices become more rural. Finally, practices with a higher mean patient SIMD (less socioeconomically deprived) showed an increased risk of containing patients who missed multiple appointments. Although median appointment time available per patient over 3 years did not affect risk of missing appointments (170·78 min [IQR 54·97]), the median number of appointments per patient offered over 3 years had a small effect on risk of missing appointments (21·8 appointments [IQR 6·03]; RRR 1·08 [95% CI 1·08–1·08]).
Figure 3.
Forest plot of relative risk ratios for practice factors
Odds ratios are shown for appointment delay, rurality, and mean practice SIMD. Bars represent 95% CIs. SIMD=Scottish Index of Multiple Deprivation. Rur8=urban/rural classification score.
However, these patient and practice factors can be compared both individually and additively using a measure of pseudo R2 (Cox-Snell). Comparing models consisting of patients and practices alone via this pseudo R2 model, we found that practice factors have a larger effect than patient factors with regard to the prediction of the number of appointments patients are likely to miss. However, a model combining both patient and practice factors to predict the number of appointments missed gave a higher pseudo R2 value (0·66) than models using either group of factors separately (patients only R2=0·54; practice only R2=0·63; figure 4).
Figure 4.
Separate comparison of patient, practice, and combined models
Comparisons are based on pseudo R2 values (Cox-Snell).
Discussion
In a large dataset, we have reported for the first time that non-attendance rates in primary care are partly driven by a significant number of patients missing multiple appointments. Nearly 20% of patients did not attend more than two appointments in the 3 year study period.
Clear differences exist between patients who miss no appointments, patients who miss a few, and patients who miss multiple appointments. Patients in the age groups 16–30 years and older than 90 years are more likely to miss multiple appointments. Women use general practice services more often than men and are more likely to miss multiple appointments. However, when controlling for the number of appointments made, men miss a higher proportion of all appointments.5 Despite this, the most important patient-level factor to predict likelihood of serially missing general practice appointments remains high levels of socioeconomic deprivation. At a practice level, appointment delays of 2–3 days, practices offering a high number of appointments per patient, urban practices, and higher average practice SIMD were all factors driving increased risk of non-attendance.
The patterns recorded provide clear demographic evidence to support the concerns raised by clinicians that patients who serially miss appointments are likely to be socially disadvantaged.3 To make the most of primary care administrative data, predictions regarding specific patient's attendance patterns can be maximised when combined with patient and practice characteristics. This analysis was aided by the number of patient records in our dataset. The retrospective cohort study design has allowed us to include patients who might be otherwise challenging to recruit. In view of the size and representative nature of our sample, proportions, as recorded in our analysis, are likely to be consistent across Scotland and generalisable to the UK NHS primary care system. This finding is relevant globally for other primary-care-focused health systems that are comprehensively delivered free at the point of care.18
Ethnicity, a potential factor in ability to attend appointments, was poorly recorded by practices and therefore could not be analysed. Similarly, appointment allocation to general practitioners, nurses, or other health-care providers could have an effect on likelihood to miss appointments, but we were unable to study these effects because of inconsistent recording by practices. Because of limitations driven by data confidentiality, we were unable to measure continuity of care with specific general practitioners in this dataset. Patients might attend other health-care services, such as accident and emergency departments, in place of attending general practice appointments. This alternate attendance might account for a proportion of patients' non-attendance at general practice appointments. Future research analysing patients' health-care use along with secondary-care linkage data is planned to ascertain whether this hypothesis is correct.
With many patients regularly attending multiple appointments, these results give weight to the argument that, for health service-focused activity on tackling health inequalities, future interventions in universal health-care systems need to take patients' engagement patterns into account. Subsequent interventions are likely to become more successful if they are targeted, instead of adopting a one-size-fits-all approach.19
The effect of age is partly in line with previous research, which shows that younger adults are more likely to miss a higher proportion of appointments.11 The increased levels of non-attendance in patients older than 90 years was unexpected, although one previous study has shown transportation barriers are more likely to affect an older user's ability to attend non-emergency medical treatment.20 An analysis of rates of recorded frailty and cognitive impairment is planned to further investigate the role that older age might have on appointment attendance patterns.
The increased risk that both elderly and socioeconomically deprived patients will miss multiple appointments is particularly important if these appointments would have included preventive activities such as screening or chronic disease monitoring. This pattern of non-attendance is likely to amplify health inequalities and thus deserves further attention.
Besides the factors mentioned, patients' likelihood to attend appointments might be driven in part by the number of long-term multimorbidity conditions they have. The effect of these conditions on attendance is out of the scope of the present study, but we plan to examine this in future.
The practice at which a patient is registered has an important role in generating patterns of missed appointments, and practice policies regarding appointment scheduling might be a useful future intervention target. Notably, practices where a high proportion of appointments are characterised by an interval of 2–3 days between booking and appointment time have high rates of serial non-attendance. Some of these appointment requests might be for new problems rather than for planned clinical review, and, in some cases, self-limiting symptoms will have resolved before the planned consultation time. Nevertheless, these delays could selectively disadvantage sick patients who are less able to negotiate earlier appointments, with resulting adverse health effects and potential impacts on other emergency services.
There might be a case for some practices selectively offering on-the-day appointments for patients at high risk of serial non-attendance. Practices in more affluent areas seem to be more poorly equipped to accommodate patients who repeatedly miss multiple appointments than practices in more deprived areas and could benefit most from similar adaptations to their existing appointment systems. Practices with a higher proportion of socioeconomically deprived patients might already have adjusted services accordingly. This strategy was reported in our pilot study.10 Our results suggest that socioeconomically deprived patients living in more affluent areas might have particularly high levels of unmet health need in primary-care settings.
The effect of existing strategies to reduce any appointment non-attendance has been varied,19 and this might be partly due to the conflation of single-episode and serial-missed appointments in the available evidence until now. Our study's conceptual framework is underpinned by a life-course approach to health: serial missed appointments are framed as a health-harming behaviour. Along with the rurality or urbanicity of a place of residence, higher socioeconomic deprivation is the strongest demographic predictor of serial missed appointments and therefore encourages further exploration. Ongoing analysis will investigate the role of adverse childhood experiences, other social vulnerabilities, and health diagnoses, including multimorbidity, on attendance patterns.21 This analysis will help inform further consideration of which interventions might be relevant (such as the use of text reminders). There is also scope to learn from interventions in health and other settings targeted at marginalised groups, such as the role of peer support or health navigators. Future research aims to further understand what distinguishes patients who miss multiple appointments from patients who do not, and will include health utilisation and engagement patterns across the wider health service, including unscheduled care using linked patient data from secondary care.10 This approach will extend our understanding of whether serially missing general practice appointments acts as a risk marker for social vulnerability and poorer health outcomes, and whether increased use of emergency services has an important economic impact.
This study focused on patient demographic and practice factors that describe whether patients are more likely to have patterns of missing general practice appointments. This evidence delineates a subgroup of patients who have a low engagement pattern within a universal, free-at-the-point-of-access, primary health-care system. The results of this study are important for both public health and health-care providers. We present evidence that both health-care system design and patient demographic factors drive low engagement in care. These findings should be taken into account in future development of universal and targeted health interventions in the UK and in other similar settings, and will make an important health service contribution towards tackling health inequalities.
Acknowledgments
Acknowledgments
We thank all practices who participated in this study. DAE, RM, PW, AM, and AEW acknowledge funding from the Scottish Government Chief Scientist Office (CZH/4/41118). We acknowledge strategic support from Ellen Lynch (Health and Social Care Analytical Services, Scottish Government) and the general practice data expertise of Dave Kelly (Albasoft).
Contributors
AEW, PW, and DAE developed the aim of this research. RM, DAE, and AM did the analysis. All authors contributed to the design and interpretation of the analysis, and to the direction of the discussion. DAE, RM, and PW contributed to writing the manuscript; AEW and PW led on manuscript development. All authors reviewed, edited, and commented on multiple versions of the manuscript.
Declaration of interests
We declare no competing interests.
Supplementary Material
References
- 1.Cashman SB, Savageau JA, Lemay CA, Ferguson W. Patient health status and appointment keeping in an urban community health center. J Health Care Poor Underserved. 2004;15:474–488. doi: 10.1353/hpu.2004.0037. [DOI] [PubMed] [Google Scholar]
- 2.Mitchell AJ, Selmes T. A comparative survey of missed initial and follow-up appointments to psychiatric specialties in the United Kingdom. Psychiatr Serv. 2007;58:868–871. doi: 10.1176/ps.2007.58.6.868. [DOI] [PubMed] [Google Scholar]
- 3.Williamson AE, Mullen K, Wilson P. Understanding “revolving door” patients in general practice: a qualitative study. BMC Fam Pract. 2014;15:33. doi: 10.1186/1471-2296-15-33. [DOI] [PMC free article] [PubMed] [Google Scholar]
- 4.Nielsen KM, Faergeman O, Foldspang A, Larsen ML. Cardiac rehabilitation: health characteristics and socio-economic status among those who do not attend. Eur J Public Health. 2008;18:479–483. doi: 10.1093/eurpub/ckn060. [DOI] [PubMed] [Google Scholar]
- 5.Waller J, Hodgkin P. Defaulters in general practice: who are they and what can be done about them? Fam Pract. 2000;17:252–253. doi: 10.1093/fampra/17.3.252. [DOI] [PubMed] [Google Scholar]
- 6.Neal RD, Hussain-Gambles M, Allgar VL, Lawlor DA, Dempsey O. Reasons for and consequences of missed appointments in general practice in the UK: questionnaire survey and prospective review of medical records. BMC Fam Pract. 2005;6:47. doi: 10.1186/1471-2296-6-47. [DOI] [PMC free article] [PubMed] [Google Scholar]
- 7.Murdock A, Rodgers C, Lindsay H, Tham TC. Why do patients not keep their appointments? Prospective study in a gastroenterology outpatient clinic. J R Soc Med. 2002;95:284–286. doi: 10.1258/jrsm.95.6.284. [DOI] [PMC free article] [PubMed] [Google Scholar]
- 8.Martin C, Perfect T, Mantle G. Non-attendance in primary care: the views of patients and practices on its causes, impact and solutions. Fam Pract. 2005;22:638–643. doi: 10.1093/fampra/cmi076. [DOI] [PubMed] [Google Scholar]
- 9.Lawson VL, Lyne PA, Harvey JN, Bundy CE. Understanding why people with type 1 diabetes do not attend for specialist advice: a qualitative analysis of the views of people with insulin-dependent diabetes who do not attend diabetes clinic. J Health Psychol. 2005;10:409–423. doi: 10.1177/1359105305051426. [DOI] [PubMed] [Google Scholar]
- 10.Williamson AE, Ellis DA, Wilson P, McQueenie R, McConnachie A. Understanding repeated non-attendance in health services: a pilot analysis of administrative data and full study protocol for a national retrospective cohort. BMJ Open. 2017;7:e014120. doi: 10.1136/bmjopen-2016-014120. [DOI] [PMC free article] [PubMed] [Google Scholar]
- 11.Ellis DA, Jenkins R. Weekday affects attendance rate for medical appointments: large-scale data analysis and implications. PLoS One. 2012;7:e51365. doi: 10.1371/journal.pone.0051365. [DOI] [PMC free article] [PubMed] [Google Scholar]
- 12.Health and Social Care Information Centre England . NHS England; London: 2015. Provisional monthly topic of interest: outpatient did not attend (DNA) appointment. [Google Scholar]
- 13.Husain-Gambles M, Neal RD, Dempsey O, Lawlor DA, Hodgson J. Missed appointments in primary care: questionnaire and focus group study of health professionals. Br J Gen Pract. 2004;54:108–113. [PMC free article] [PubMed] [Google Scholar]
- 14.NHS Health Scotland . NHS Health Scotland; Edinburgh: 2015. Who is least likely to attend? An analysis of outpatient appointment ‘Did Not Attend’ (DNA) data in Scotland. [Google Scholar]
- 15.Scottish Government Scottish index of multiple deprivation. 2017. http://www.gov.scot/Topics/Statistics/SIMD (accessed June 11, 2017).
- 16.Bhopal R, Fischbacher C, Povey C. Cohort profile: Scottish health and ethnicity linkage study of 4.65 million people exploring ethnic variations in disease in Scotland. Int J Epidemiol. 2011;40:1168–1175. doi: 10.1093/ije/dyq118. [DOI] [PubMed] [Google Scholar]
- 17.Smits FT, Brouwer HJ, van Weert HC, Schene AH, ter Riet G. Predictability of persistent frequent attendance: a historic 3-year cohort study. Br J Gen Pract. 2009;59:e44–e50. doi: 10.3399/bjgp09X395120. [DOI] [PMC free article] [PubMed] [Google Scholar]
- 18.Schoen C, Osborn R, Doty MM, Bishop M, Peugh J, Murukutla N. Toward higher-performance health systems: adults' health care experiences in seven countries, 2007. Health Aff (Millwood) 2007;26:w717–w734. doi: 10.1377/hlthaff.26.6.w717. [DOI] [PubMed] [Google Scholar]
- 19.Guy R, Hocking J, Wand H, Stott S, Ali H, Kaldor J. How effective are short message service reminders at increasing clinic attendance? A meta-analysis and systematic review. Health Serv Res. 2012;47:614–632. doi: 10.1111/j.1475-6773.2011.01342.x. [DOI] [PMC free article] [PubMed] [Google Scholar]
- 20.Wallace R, Hughes-Cromwick P, Mull H. Cost-effectiveness of access to nonemergency medical transportation: comparison of transportation and health care costs and benefits. J Transp Res Board. 2006;1956:86–93. [Google Scholar]
- 21.Barnett K, Mercer SW, Norbury M, Watt G, Wyke S, Guthrie B. Epidemiology of multimorbidity and implications for health care, research, and medical education: a cross-sectional study. Lancet. 2012;380:37–43. doi: 10.1016/S0140-6736(12)60240-2. [DOI] [PubMed] [Google Scholar]
Associated Data
This section collects any data citations, data availability statements, or supplementary materials included in this article.




