Abstract
A synthesis of new 2,6-disubstituted and 2,6,8-trisubstituted 7-methylpurines as well as 8-substituted 3,7-dimethylxanthines containing a triple bond chain have been worked out. Purinethiones and xanthinethiones were converted into propynylthio derivatives, which were then further transformed via a Mannich reaction into aminobutynylthio derivatives (amine = pyrrolidine, piperidine, morpholine, and diethylamine). The products thus obtained represent various types of the purine and xanthine structure: 8-mono-, 2,6- and 6,8-dipropynylthio, 6- and 8-monoaminobutynylthio, 2,6- and 6,8-diaminobutynylthio derivatives. All of these compounds were tested for their anticancer activity against human glioblastoma SNB-19, human adenocarcinoma MDA-MB-231, and melanoma C-32 cell lines. The anticancer activity depends on the nature of the substituent and its localization in the purine and xanthine framework. Generally, compounds possessing two alkynylthio groups (propynylthio or aminobutynylthio) were more active than those possessing only one group. Some compounds exhibited stronger or similar anticancer activity to cisplatin. All compounds were also tested for their cytotoxic activity against normal human fibroblasts (HFF-1). The most promising anticancer compounds were found to be 2,6-dipropynylthio-7-methylpurine 4, 2-chloro-6,8-dipropynylthio-7-methylpurine 14, and 2-chloro-6,8-di(N-morpholinylbutynylthio)-7-methylpurine 15c acting selectively on glioblastoma SNB-19, melanoma C-32, and adenocarcinoma MDA-MB-231 with the IC50 = 0.07–4.08 μg/mL.
Keywords: Propynylthiopurines, Aminobutynylthiopurines, Aminobutynylthioxanthines, Anticancer activity, Structure–activity relationship
Introduction
Purine is a privileged heterocyclic nucleus existing in the chemical architecture of various bioactive compounds. It is an important pharmacophore interacting with the synthesis and function of nucleic acids and enzymes. Synthetically modified purines are inhibitors of protein kinase, fructose biphosphatase, adenylation enzyme, and adenosine receptor modulators (Bliman et al. 2014; Sharma et al. 2016).
The physicochemical properties of many substituted purine derivatives provide the potential for tight binding to deep hydrophobic folds of physiologically disease relevant proteins, such as thyrosine kinases, sulfatases, and phosphorylases. Purines could be the selectively target of these protein hydrophobic folds, influencing the progression of a disease (Riva-Toniolo et al. 2003).
Conventional thiopurines (6-mercaptopurine, 6-thioguanine, and azathioprine) are incorporated into the structure of natural biomolecules—they modify nucleic acid synthesis and are commonly used as effective anticancer and immunosuppressive drugs in the treatment of acute leukemia and autoimmune hepatitis (Prima et al. 2013; Deswal and Srivastava 2017). Thiopurines remain the first line of therapy in inflammatory bowel disease, Crohn’s disease, ulcerative colitis, and autoimmune hepatitis (Herreras and Iborra 2017; Ward et al. 2017; Warner et al. 2016).
6-Thiopurine derivatives containing the 1,2,3-triazole moiety present higher values regarding the inhibition of parasite multiplication than chloroquine and show antimalarial and antileishmanial activities (Corrales et al. 2011).
The pharmacologically active xanthines are commonly used for their effects as stimulants, bronchodilators, phosphodiesterase inhibitors, CFTR chloride-channel activators, and adenosine receptor antagonists. The selectivity of caffeine analogs for A2A adenosine receptors was increased by the replacement of one or two methyl groups of caffeine with a propyl or propynyl substituent. 3,7-Dimethyl-1-propynylxanthine has been used as a selective A2 antagonist. 1-Propynyltheobromine and 1,3-dipropynyl-7-methylxanthine are approximately fourfold more potent than caffeine at the ryanodine sensitive calcium release channels, and fivefold more potent than caffeine as GABAA receptor modulators. The range of clinical applications for xanthines has continued to widen and currently includes their use as anticonvulsants, nootropics, and therapeutics for the treatment of migraine (Daly et al. 2007; Thomas et al. 2013; Zagorska et al. 2015).
The introduction of substituents in positions 2, 6, and 9 of the purine ring enhances both binding affinity and selectivity regarding kinases. This enzyme family plays a critical role in the proliferation of human tumor cells, as well as in the survival and migration of neoplasia. There was an observed selectivity of 2-acetylenyl-6,9-disubstituted purine analogs regarding the inhibition of cyclin-dependent kinase (CDK1-cyclin B) (Legraverend et al. 2000; Sharma et al. 2016). The inhibitors of this enzyme play an important role in cell cycle regulation in a number of disease conditions, in particular cancer, and have been characterized as tumor suppressors. It is highly notable that the 2-nitrogen atom, which is characteristic of all other purine-based cyclin-dependent kinase inhibitors (CKIs), can be replaced by an sp-hybridized carbon atom, which effectively occupies the ribose binding pocket (Sharma et al. 2016).
Some substituents in positions 2 and 6 of the purine modulate both the affinity and selectivity of adenosine agonists for the different receptor subtypes. The 2-alkynyl adenosine and their N-ethylcarboxamide analogs, such as 2-hexynyl (HENECA) and 2-(R,S)-phenylhydroxypropynyl (R,S-PHPNECA), have proven to be highly potent A2A adenosine receptor agonists (Volpini et al. 2002, 2005; Endo et al. 2014). The type of alkynyl chain in the 2 position seems to be very important for the potency at the A2A receptor. Selective A2A receptor subtype antagonists have emerged as an attractive target for Parkinson’s disease therapy as well as other neurodegenerative disorders such as schizophrenia and epilepsy. They are also effective as hypoglycemic agents (Baraldi et al. 1998; Endo et al. 2014). Apadenoson (ATL-146e) has entered phase III clinical trials as a pharmacologic stress agent for use in myocardial perfusion imaging (Foitzik et al. 2009).
Alkynyl chains in the 8 position of adenosine comprise a very selective ligand for the A3 receptor subtype. Thus, it is possible to modulate the activity at the adenosine receptor subtype by introduction of alkynyl chains in either the 2 or 8 positions of 9-ethyladenine (Volpini et al. 2001, 2005). 8-Substituted 2-alkynyl-N9-propynyladenine derivatives were found to antagonize the receptor and may be effective in the treatment of Parkinson’s disease (Endo et al. 2014; Ivachtchenko et al. 2013). 2-Propynyladenosinyl phenyl ether compositions as A2A receptor agonists stimulate mammalian coronary vasodilatation and can be useful as therapeutics for coronary artery disease (Zablocki et al. 2001).
The presence of the alkynyl chain in 2-substituted adenosines is also very important for purinergic receptor pharmacology. Purine ionotropic receptors could serve as attractive targets for pharmacological interventions in various diseases. 2-Alkynyl derivatives of adenine, adenosine, N-alkylcarboxamidoadenosine, and adenine nucleotide are selective ligands for P2X ionotropic receptors (Koles et al. 2007; Dal Ben et al. 2011). 2-Hexynyl and 2-phenylethynyladenosine mono-, di-, and triphosphates are P2Y1 and P2Y12 receptor agonists and adenylyl cyclase modulators. Through interaction with P2Y1 and P2Y12 receptors, they effectively inhibit platelet aggregation and may be used in the prevention and treatment of arterial thrombosis as highly potent antithrombotic agents (Cristalli et al. 2005; Dal Ben et al. 2011).
Most 6-alkynyl-2-oxopurines and 6-phenylalkynylpurine nucleoside analogs exhibit cytotoxicity against a human chronic myelogenous leukemic cell line, K-562, that is comparable to or better than the known anticancer drugs, such as 6-mercaptopurine and fludarabine (Andersen et al. 2002; Brathe et al. 2003). The alkynyl-modified nucleosides substituted specifically in the 8 position, such as 8-alkynyladenosines and 2′-deoxyadenosines, proved to be very selective ligands for the A3 adenosine receptor subtype, and showed moderate anti-HCV and anti HIV-1 activity in cell culture (Kuchar et al. 2008; Dimopoulou et al. 2015). Oligonucleotides containing the alkynyl group in the 1 position of 6-thiopurine or 6-thioguanine moiety have demonstrated potent antiviral activity in several assays, including the human immunodeficiency virus (Broom et al. 1997). Some of the 2- or 6-alkynylpurine derivatives were prepared for use in antibacterial prevention and therapy (Atamanyuk et al. 2012). 6-Alkynylpurines also show profound inhibitory activity against human 15-lipoxygenase. The inhibitors of these enzymes have been implicated in the oxidation of low density lipoproteins, and could have potential as drugs against artherosclerosis and other major diseases, such as for instance cancer, Parkinson’s, Altzheimer’s disease, heart infraction, and rheumatoid arthritis, which are also linked to free radicals (Brathe et al. 2002; Berg et al. 2005). 6-Alkynylpurines as cytokine analogs also possess a profound plant growth stimulation effect (Brathe et al. 2003).
Experimental
All commercially available organic solvents and reagents were from Sigma-Aldrich and Chempur and were used without further purification.
The melting points were determined in open capillary tubes on a Boetius melting point apparatus and were uncorrected. The 1H NMR and 13C NMR spectra were recorded on a Bruker AscendTM 600 spectrometer operating at 600 MHz and 150 MHz for 1H and 13C nuclei, respectively, in deuterochloroform and dimethyl sulphoxide-d6 with tetramethylsilane as internal standard. Shifts were given in ppm, coupling constant (J) values was presented in hertz (Hz), and the abbreviations were as follows: s (singlet), d (doublet), t (triplet), and m (multiplet). High resolution mass spectral analysis (HR ESIMS) was performed on a Bruker Impact II spectrometer (in the acetonitrile: 1% formic acid, 8:2 v/v). The reactions were monitored by thin layer chromatography (TLC) using sheets coated with silica gel 60F254 (Merck) and chloroform, ethanol (9:1 and 5:1) as the solvents. Purity of the synthesized compounds was confirmed by TLC on the same way. Spots were detected by their absorption under UV light (λ = 254 nm) and the chromatograms were further visualized by iodine vapor. Column chromatography separations were carried out with Merck Kieselgel 60 or aluminum oxide 90 (Merck) using a mixture of chloroform–ethanol (99:1, v/v) as an eluent.
2-Chloro-6-propynylthio-7-methylpurine 1, (Kowalska et al. 2015), 7-methylpurine-2,6-dithione 3 (Kowalska 2007), and 2,6-dichloro-7-methylpurine 11 (Kowalska et al. 1985) were obtained according to the previously described method. Theobromine was commercially available from Sigma-Aldrich.
Synthesis of 2-chloro-6-aminobut-2-ynyltio-7-methylpurines 2a-c
2-Chloro-6-alkylaminobut-2-ynylthio-7-methylpurines 2a-c were prepared from 6-propynylthio derivative 1 (0.12 g, 0.5 mmol) and amine (piperidine, morpholine, and diethylamine, 0.7 mmol) according to the previously described procedure (Kowalska et al. 2015).
2-Chloro-6-(4-N-piperidinylbut-2-ynylthio)-7-methylpurine 2a
It was obtained as a pale yellow solid (0.14 g, 82%); mp 122–124 °C (EtOH); 1H NMR (CDCl3), δ: 1.44 (m, 2H, CH2), 1.65 (m, 4H, 2CH2), 2.54 (m, 4H, 2NCH2), 3.33 (s, 2H, SCH2), 4.13 (s, 3H, NCH3), 4.24 (t, J = 2.1 Hz, 2H, CCH2), 8.03 (s, 1H, H-8); (DMSO-d6), δ: 1.23 (m, 2H, CH2), 1.41 (m, 4H, 2CH2), 2.28 (m, 4H, 2NCH2), 3.20 (s, 2H, SCH2), 4.05 (s, 3H, NCH3), 4.25 (t, J = 2.4 Hz, 2H, CCH2), 8.60 (s, 1H, H-8), 13C NMR (DMSO-d6), δ: 18.86 (CH2, SCH2CC), 23.88 (CH2), 25.81 (2CH2), 34.87 (CH3, NCH3), 47.44 (CH2, CCH2), 52.68 (2CH2, NCH2), 79.22 (C, SCH2CC), 80.34 (C, SCH2CC), 123.21 (C, C-5), 151.09 (CH, C-8), 152.38 (C, C-2), 154.27 (C, C-6), 160.55 (C, C-4); HR ESIMS m/z [M + H]+ calcd. for C15H19ClN5S 336.1050 found 336.1051.
2-Chloro-6-(4-N-morpholinylbut-2-ynylthio)-7-methylpurine 2b
It was obtained as a pale yellow solid (0.16 g, 94%); mp 168–169 °C (EtOH); 1H NMR (CDCl3), δ: 2.62 (m, 4H, 2NCH2), 3.36 (s, 2H, SCH2), 3.78 (m, 4H, 2OCH2), 4.13 (s, 3H, NCH3), 4.25 (s, 2H, CCH2), 8.03 (s, 1H, H-8); (DMSO-d6), δ: 2.36 (m, 4H, 2NCH2), 3.24 (t, J = 2.4 Hz, 2H, SCH2), 3.52 (m, 4H, 2OCH2), 4.05 (s, 3H, NCH3), 4.27 (t, J = 2.4 Hz, 2H, CCH2), 8.59 (s, 1H, H-8); 13C NMR (DMSO-d6), δ: 18.74 (CH2, SCH2CC), 34.86 (CH3, NCH3), 46.96 (CH2, CCH2), 51.95 (2CH2, NCH2), 66.45 (2CH2, OCH2), 78.82 (C, SCH2CC), 80.58 (C, SCH2CC), 123.12 (C, C-5), 151.09 (CH, C-8), 152.35 (C, C-2), 154.24 (C, C-6), 160.53 (C, C-4); HR ESIMS m/z [M + H]+ calcd. for C14H17ClN5OS 338.0842 found 338.0840.
2-Chloro-6-(4-diethylaminobut-2-ynylthio)-7-methylpurine 2c
It was obtained as a pale yellow solid (0.14 g, 86%); mp 117–118 °C (EtOH); 1H NMR (CDCl3), δ: 1.06 (t, J = 7.2 Hz, 6H, 2CH3), 2.54 (q, J = 7.2 Hz, 4H, 2NCH2), 3.44 (s, 2H, SCH2), 4.13 (s, 3H, NCH3), 4.24 (t, J = 2.1 Hz, 2H, CCH2), 8.02 (s, 1H, H-8); (DMSO-d6), δ: 0.87 (t, J = 7.2 Hz, 6H, 2CH3), 2.32 (q, J = 7.2 Hz, 4H, 2NCH2), 3.33 (s, 2H, SCH2), 4.05 (s, 3H, NCH3), 4.24 (s, 2H, CCH2), 8.59 (s, 1H, H-8), 13C NMR (DMSO-d6), δ: 12.84 (2CH3, CH2CH3), 18.93 (CH2, SCH2CC), 34.86 (CH3, NCH3), 40.74 (CH2, NCH2), 46.85 (2CH2, CCH2), 78.66 (C, SCH2CC), 80.10 (C, SCH2CC), 123.22 (C, C-5), 151.09 (CH, C-8), 152.38 (C, C-2), 154.26 (C, C-6), 160.55 (C, C-4); HR ESIMS m/z [M + H]+ calcd. for C14H19ClN5S 324.1050 found 324.1053.
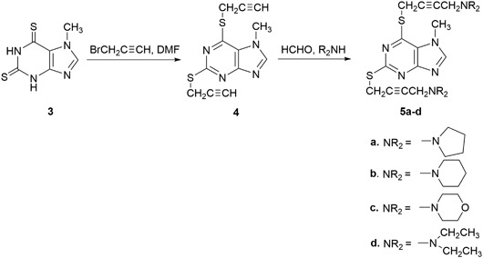
Synthesis of 2,6-di(prop-2-ynylthio)-7-methylpurine 4
The mixture of 7-methylpurine-2,6-dithione 3 (0.10 g, 0.5 mmol) and potassium tert-butoxide (0.16 g, 1.44 mmol) in 10 mL of DMF was stirred at room temperature for 0.5 h. Then, 80% solution of propargyl bromide (0.17 g, 1.44 mmol) in dry toluene (0.25 mL) was added. The reaction mixture was stirred for an additional 24 h at room temperature and then poured into 25 mL of water. The resulted solid was filtered off and washed with water to give compound 4.
It was obtained as a pale yellow solid (0.11 g, 79%); mp 162–164 °C (EtOH); 1H NMR (CDCl3), δ: 2.21 (t, J = 2.7 Hz, 1H, CH), 2.28 (t, J = 2.7 Hz, 1H, CH), 4.04 (d, J = 2.7 Hz, 2H, SCH2), 4.11 (s, 3H, NCH3), 4.22 (d, J = 2.7 Hz, 2H, SCH2), 8.09 (s, 1H, H-8); (DMSO-d6), δ: 3.14 (t, J = 2.4 Hz, 1H, CH), 3.26 (t, J = 2.4 Hz, 1H, CH), 4.02 (s, 3H, NCH3), 4.06 (d, J = 2.4 Hz, 2H, SCH2), 4.27 (d, J = 2.4 Hz, 2H, SCH2), 8.47 (s, 1H, H-8); 13C NMR (DMSO-d6), δ: 17.82 (CH2, SCH2CCH), 19.50 (CH2, SCH2CCH), 34.62 (CH3, NCH3), 73.56 (CH, SCH2CCH), 74.52 (CH, SCH2CCH), 80.09 (C, SCH2CCH), 81.24 (C, SCH2CCH), 121.42 (C, C-5), 149.92 (CH, C-8), 152.16 (C, C-2), 159.87 (C, C-6), 161.61 (C, C-4); HR ESIMS m/z [M + H]+ calcd. for C12H11N4S2 275.0425 found 275.0417.
General procedure for synthesis of 2,6-di(aminobut-2-ynylthio)-7-methylpurines 5a-d
To a mixture of propynylthio derivative 2 (0.137 g, 0.5 mmol) and paraformaldehyde (0.067 g, 1.4 mmol) in 10 mL of dry dioxane, appropriate amines (pyrrolidine, piperidine, morpholine, or diethylamine, 1.4 mmol) and CuCl (0.01 g) were added. The reaction mixture was stirred at temperature 80 °C for 4 h. In the case of dimethylamine, the reaction was performed at 50 °C for 24 h. After cooling, the small amount of solid was filtered off and residue was extracted with chloroform (3 × 5 mL), dried with anhydrous Na2SO4, and evaporated in vacuo. The dried residue was dissolved in CHCl3 and purified by thin layer preparative chromatography (silica gel, CHCl3 – EtOH, 5:1 v/v) to give compound 5a-d.
2,6-Di(4-N-pyrrolidinylbut-2-ynylthio)-7-methylpurine 5a
It was obtained as a dark yellow solid (0.175 g, 79.5%); mp 97–99 °C (EtOH); 1H NMR (CDCl3), δ: 1.85 (m, 8H, 4CH2), 2.64 (m, 8H, 4NCH2), 3.44 (t, J = 2.1 Hz, 2H, SCH2), 3.47 (t, J = 2.1 Hz, 2H, SCH2), 3.98 (s, 3H, NCH3), 4.06 (m, 2H, CCH2), 4.21 (m, 2H, CCH2), 7.92 (s, 1H, H-8); (DMSO-d6), δ: 1.61 (m, 8H, 4CH2), 2.43 (m, 8H, 4NCH2), 3.36 (s, 4H, SCH2), 4.01 (s, 3H, NCH3), 4.10 (t, J = 1.8 Hz, 2H, CCH2), 4.30 (t, J = 1.8 Hz, 2H, CCH2), 8.46 (s, 1H, H-8); 13C NMR (DMSO-d6), δ: 18.41 (CH2, SCH2CC), 19.97(CH2, SCH2CC), 23.72 (4CH2), 34.64 (CH3, NCH3), 42.70 (CH2, CCH2), 42.81 (CH2, CCH2), 52.01 (2CH2, NCH2), 52.07 (2CH2, NCH2), 78.36 (C, SCH2CC), 79.30 (C, SCH2CC), 80.23 (C, SCH2CC), 81.23 (C, SCH2CC), 121.42 (C, C-5), 149.85 (CH, C-8), 152.28 (C, C-2), 159.86 (C, C-6), 161.88 (C, C-4); HR ESIMS m/z [M + H]+ calcd. for C22H29N6S2 441.1895 found 441.1886.
2,6-Di(4-N-piperidinylbut-2-ynylthio)-7-methylpurine 5b
It was obtained as a dark yellow solid (0.18 g, 77%); mp 130–132 °C (EtOH); 1H NMR; (CDCl3), δ: 1.40 (m, 4H, 2CH2), 1.60 (m, 8H, 4CH2), 2.47 (m, 8H, 4NCH2), 3.28 (m, 4H, 2SCH2), 4.07 (s, 3H, NCH3), 4.07 (t, J = 2.1 Hz, 2H, CCH2), 4.23 (t, J = 2.1 Hz, 2H, CCH2), 7.92 (s, 1H, H-8); (DMSO-d6), δ: 1.23 (m, 4H, 2CH2), 1.43 (m, 8H, 4CH2), 2.30 (m, 8H, 4NCH2), 3.21 (m, 4H, 2SCH2), 4.01 (s, 3H, NCH3), 4.10 (s, 2H, CCH2), 4.32 (s, 2H, CCH2), 8.46 (s, 1H, H-8); 13C NMR (DMSO-d6), δ: 18.49 (CH2, SCH2CC), 20.05 (CH2, SCH2CC), 23.89 (CH2), 23.90 (CH2), 25.78 (2CH2), 25.80 (2CH2), 34.62 (CH3, NCH3), 47.48 (CH2, CCH2), 47.53 (CH2, CCH2), 52.80 (4CH2, NCH2), 78.22 (C, SCH2CC), 79.15 (C, SCH2CC), 80.72 (C, SCH2CC), 81.72 (C, SCH2CC), 121.42 (C, C-5), 149.82 (CH, C-8), 152.31 (C, C-2), 159.86 (C, C-6), 161.90 (C, C-4); HR ESIMS m/z [M + H]+ calcd. for C24H33N6S2 469.2208 found 469.2205.
2,6-Di(4-N-morpholinylbut-2-ynylthio)-7-methylpurine 5c
It was obtained as a dark yellow solid (0.175 g, 74%); mp 121–123 °C (EtOH); 1H NMR (CDCl3), δ: 2.55 (m, 8H, 4NCH2), 3.30 (m, 4H, 2SCH2), 3.73 (m, 8H, 4OCH2), 4.08 (s, 3H, NCH3), 4.08 (t, J = 2.1 Hz, 2H, CCH2), 4.23 (t, J = 2.1 Hz, 2H, CCH2), 7.93 (s, 1H, H-8); (DMSO-d6), δ: 2.35 (m, 8H, 4NCH2), 3.23 (s, 2H, SCH2), 3.25 (s, 2H, SCH2), 3.52 (m, 8H, 4OCH2), 4.01 (s, 3H, NCH3), 4.11 (s, 2H, CCH2), 4.32 (s, 2H, CCH2), 8.46 (s, 1H, H-8); 13C NMR (DMSO-d6), δ: 18.39 (CH2, SCH2CC), 19.99 (CH2, SCH2CC), 34.63 (CH3, NCH3), 47.03 (CH2, CCH2), 47.06 (CH2, CCH2), 52.00 (2CH2, NCH2), 52.09 (2CH2, NCH2), 66.47 (4CH2, OCH2), 77.77 (C, SCH2CC), 78.76 (C, SCH2CC), 80.95 (C, SCH2CC), 82.08 (C, SCH2CC), 121.43 (C, C-5), 149.83 (CH, C-8), 152.32 (C, C-2), 159.86 (C, C-6), 161.82 (C, C-4); HR ESIMS m/z [M + H]+ calcd. for C22H29N6O2S2 473.1793 found 473.1795.
2,6-Di(4-diethylaminobut-2-ynylthio)-7-methylpurine 5d
It was obtained as a dark yellow solid (0.173 g, 78%); mp 77–79 °C (EtOH); 1H NMR (CDCl3), δ: 1.06 (m, 12H, 4CH3), 2.54 (m, 8H, 4NCH2), 3.45 (m, 4H, 2SCH2), 4.07 (t, J = 2.1 Hz, 2H, CCH2), 4.08 (s, 3H, NCH3), 4.22 (t, J = 2.1 Hz, 2H, CCH2), 7.92 (s, 1H, H-8); (DMSO-d6), δ: 0.91 (m, 12H, 4CH3), 2.37 (m, 8H, 4NCH2), 3.35 (m, 4H, SCH2), 4.01 (s, 3H, NCH3), 4.09 (m, 2H, CCH2), 4.29 (m, 2H, CCH2), 8.46 (s, 1H, H-8); 13C NMR (DMSO-d6), δ: 12.80 (4CH3, CH2CH3), 17.80 (CH2, SCH2CC), 20.01 (CH2, SCH2CC), 34.62 (CH3, NCH3), 40.84 (4CH2, NCH2), 46.92 (2CH2, CCH2), 74.52 (2C, SCH2CC), 80.03 (2C, SCH2CC), 121.42 (C, C-5), 149.91 (CH, C-8), 152.02 (C, C-2), 159.89 (C, C-6), 161.86 (C, C-4); HR ESIMS m/z [M + H]+ calcd. for C22H33N6S2 445.2208 found 445.2204.
Synthesis of 8-bromo-3,7-dimethylxanthine 7
To a stirred suspension of theobromine 6 (2.00 g, 10 mmol) in 4 mL of carbon tetrachloride and 12 mL of nitrobenzene, bromine (2.90 g, 0.9 mL, 18 mmol) dissolved in 1.5 mL of nitrobenzene was added dropwise. When the addition was completed, the reaction mixture was refluxed with stirring for 5 h. The suspension was then carefully poured with stirring into 40 mL of acetone. The resulting white precipitate was filtered, washed with acetone and ether, and dried in vacuo (Koppel et al. 1962). The crude product was purified by column chromatography (silica gel, CHCl3 - EtOH, 99:1, v/v) to give compound 7.
It was obtained as a pale yellow solid (2.98 g, 69%), mp 298–300 °C, dec (EtOH), 298 °C dec (Koppel et al. 1962) 1H NMR (DMSO-d6), δ: 3.31 (s, 3H, N3CH3), 3.82 (s, 3H, N7CH3), 11.28 (s, 1H, N1H); 13C NMR (DMSO-d6), δ: 28.96 (CH3, N3CH3), 34.10 (CH3, N7CH3), 109.58 (C, C-5), 128.84 (CH, C-8), 149.48 (C, C-2), 151.04 (C, C-6), 154.58 (C, C-4); HR ESIMS m/z [M + H]+ calcd. for C7H8BrN4O2 258.9831 found 258.9834.
Synthesis of 3,7-dimethylxanthine-8-thione 8
To the suspension of 8-bromo derivative 7 (0.26 g, 1 mmol) in 40 mL of anhydrous ethanol, sodium hydrosulfide (NaSH × 2 H2O, 0.92 g, 10 mmol) was added and the mixture was stirred and refluxed for 2 h. After cooling the alcohol was evaporated in vacuo and dry residue was dissolved in 5% NaOH solution. The reaction product was precipitated with 15% hydrochloric acid to give compound 8.
It was obtained as a dark yellow solid (0.20 g, 95%), mp 322–324 °C (EtOH), 319–320 °C (Carson et al. 1998); 1H NMR (DMSO-d6), δ: 3.30 (s, 3H, N3CH3), 3.64 (s, 3H, N7CH3), 11.34 (s, 1H, N1H), 13.64 (s, 1H, N9H); 13C NMR (DMSO-d6), δ: 30.39 (CH3, N3CH3), 32.29 (CH3, N7CH3), 104.66 (C, C-5), 140.91 (CH, C-8), 150.12 (C, C-2), 153.11 (C, C-6), 164.19 (C, C-4); HR ESIMS m/z [M + H]+ calcd. for C7H9N4O2S 213.0446 found 213.0438.
Synthesis of 8-(prop-2-ynylthio)-3,7-dimethylxanthine 9
8-(Prop-2-ynylthio)-3,7-dimethylxanthine 9 was obtained from xanthine-8-thione 8 (0.11 g, 0.5 mmol) with propargyl bromide in DMF according to the previously described procedure (Kowalska et al. 2015).
It was obtained as a pale yellow solid (0.100 g, 80%); mp 252–253 °C (EtOH); 1H NMR (DMSO-d6), δ: 3.29 (t, J = 2.4 Hz, 1H, CH), 3.36 (s, 3H, N3CH3), 3.79 (s, 3H, N7CH3), 4.07 (d, J = 2.4 Hz, 2H, SCH2), 11.17 (s, 1H, NH); 13C NMR (DMSO-d6), δ: 21.64 (CH2, SCH2CCH), 28.99 (CH3, N3CH3), 32.79 (CH3, N7CH3), 75.26 (C, SCH2CCH), 79.93 (C, SCH2CCH), 109.21 (C, C-5), 148.19 (CH, C-8), 149.80 (C, C-2), 151.12 (C, C-6), 154.69 (C, C-4); HR ESIMS m/z [M + H]+ calcd. for C10H11N4O2S 251.0603 found 251.0600.
Synthesis of 8-(aminobut-2-ynylthio)-3,7-dimethylxanthine 10a-d
8-(Aminobut-2-ynylthio)-3,7-dimethylxanthines 10a-d were obtained from 8-propynylthio derivative 9 (0.125 g, 0.5 mmol) and appropriate amines (pyrrolidine, piperidine, morpholine, and diethylamine, 0.7 mmol) in dry dioxane according to the described procedure (Kowalska et al. 2015).
8-(4-N-pyrrolidinylbut-2-ynylthio)-3,7-dimethylxanthine 10a
It was obtained as a pale yellow solid (0.139 g, 84%); mp 195–197 °C (EtOH); 1H NMR (DMSO-d6), δ: 1.56 (m, 4H, 2CH2), 2.32 (m, 4H, 2NCH2), 3.33 (s, 2H, SCH2), 3.33 (s, 3H, N3CH3), 3.80 (s, 3H, N7CH3), 4.07 (t, J = 2.4 Hz, 2H, CCH2), 11.19 (s, 1H, NH); 13C NMR (DMSO-d6), δ: 22.36 (CH2, SCH2CC), 23.65 (2CH2), 28.95 (CH3, N3CH3), 32.83 (CH3, N7CH3), 42.48 (CH2, CCH2), 51.73 (2CH2, NCH2), 80.10 (C, SCH2CC), 80.15 (C, SCH2CC), 109.11 (C, C-5), 148.28 (CH, C-8), 149.82 (C, C-2), 151.11 (C, C-6), 154.68 (C, C-4); HR ESIMS m/z [M + H]+ calcd. for C15H20N5O2S 334.1338 found 334.1343.
8-(4-N-piperidinylbut-2-ynylthio)-3,7-dimethylxanthine 10b
It was obtained as a pale yellow solid (0.120 g, 69%); mp 223–225 °C (EtOH); 1H NMR (DMSO-d6), δ: 1.23 (m, 2H, CH2), 1.39 (m, 4H, 2CH2), 2.19 (m, 4H, 2NCH2), 3.18 (t, J = 1.8 Hz, 2H, SCH2), 3.32 (s, 3H, N3CH3), 3.81 (s, 3H, N7CH3), 4.08 (t, J = 1.8 Hz, 2H, CCH2), 11.19 (s, 1H, NH); 13C NMR (DMSO-d6), δ: 22.42 (CH2, SCH2CC), 23.90 (CH2), 25.81 (2CH2), 28.95 (CH3, N3CH3), 32.87 (CH3, N7CH3), 47.37 (CH2, CCH2), 52.57 (2CH2, NCH2), 79.92 (C, SCH2CC), 80.62 (C, SCH2CC), 109.12 (C, C-5), 148.25 (CH, C-8), 149.84 (C, C-2), 151.11 (C, C-6), 154.69 (C, C-4); HR ESIMS m/z [M + H]+ calcd. for C16H22N5O2S 348.1494 found 348.1489.
8-(4-N-morpholinylbut-2-ynylthio)-3,7-dimethylxanthine 10c
It was obtained as a pale yellow solid (0.126 g, 72%); mp 174–176 °C (EtOH); 1H NMR (DMSO-d6), δ: 2.24 (m, 4H, 2NCH2), 3.24 (t, J = 1.8 Hz, 2H, SCH2), 3.33 (s, 3H, N3CH3), 3.81 (s, 3H, N7CH3), 4.09 (t, J = 1.8 Hz, 2H, CCH2), 4.47 (t, J = 1.8 Hz, 4H, 2OCH2), 11.15 (s, 1H, NH); 13C NMR (DMSO-d6), δ: 22.30 (CH2, SCH2CC), 28.96 (CH3, N3CH3), 32.86 (CH3, N7CH3), 46.80 (CH2, CCH2), 51.53 (2CH2, NCH2), 66.43 (2CH2, 2OCH2), 79.28 (C, SCH2CC), 81.15 (C, SCH2CC), 109.18 (C, C-5), 148.13 (CH, C-8), 149.86 (C, C-2), 151.15 (C, C-6), 154.73 (C, C-4); HR ESIMS m/z [M + H]+ calcd. for C15H20N5O3S 350.1287 found 350.1279.
8-(4-diethylaminobut-2-ynylthio)-3,7-dimethylxanthine 10d
It was obtained as a pale yellow solid (0.131 g, 78%); mp 186–188 °C (EtOH); 1H NMR (DMSO-d6), δ: 0.86 (t, J = 7.2 Hz, 6H, 2CH3), 2.24 (q, J = 7.2 Hz, 4H, 2NCH2), 3.30 (s, 2H, SCH2), 3.30 (s, 3H, N3CH3), 3.80 (s, 3H, N7CH3), 4.07 (s, 2H, CCH2), 11.18 (s, 1H, NH); 13C NMR (DMSO-d6), δ: 12.82 (2CH3,), 22.43 (SCH2CC), 28.94, (CH3, N3CH3), 32.85 (CH3, N7CH3), 40.69 (CH2, CCH2), 46.71 (2CH2, NCH2), 79.33 (C, SCH2CC), 80.36 (C, SCH2CC), 109.10 (C, C-5), 148.26 (CH, C-8), 149.85 (C, C-2), 151.12 (C, C-6), 154.67 (C, C-4); HR ESIMS m/z [M + H]+ calcd. for C15H22N5O2S 336.1494 found 336.1491.
Synthesis of 2-chloro-6,8-dibromo-7-methylpurine 12
To a stirred suspension of 2,6-dichloro-7-methylpurine 11 (2.00 g, 9.8 mmol) in 4 mL of carbon tetrachloride and 12 mL of nitrobenzene, bromine (4.90 g, 1.6 mL, 31 mmol) dissolved in 3.0 mL of nitrobenzene was added dropwise. When the addition was completed, the reaction mixture was refluxed with stirring for 5 h. The suspension was then carefully poured with stirring into 40 mL of acetone. The resulting white precipitate was filtered, washed with acetone and ether, and dried in vacuo. Crude product was purified by column chromatography (silica gel, CHCl3 - ETOH, 99:1, v/v) to give compound 12.
It was obtained as a pale yellow solid (2.15 g, 67%), mp 218–220 °C, (EtOH); 1H NMR (DMSO-d6), δ: 4.02 (s, 3H, N7CH3), 13C NMR (DMSO-d6), δ: 35.22 (CH3, NCH3), 127.07 (C, C-5), 133.88 (CH, C-8), 142.90 (C, C-2), 151.46 (C, C-6), 161.03 (C, C-4); HR ESIMS m/z [M + H]+ calcd. for C6H4Br2ClN4 324.8491 found 324.8489.
Synthesis of 2-chloro-7-methylpurine-6,8-dithione 13
A solution of 6,8-dibromo derivative 12 (0.326 g, 1 mmol) and sodium hydrosulfide (NaSH × 2H2O, 0.92 g, 10 mmol) in 40 mL ethanol was refluxed for 2 h. The alcohol was evaporated in vacuo and dry residue was dissolved in 5% NaOH solution. The reaction product was precipitated with 15% hydrochloric acid to give compound 13.
It was obtained as a dark yellow solid (0.225 g, 97%), mp 296–298 °C (EtOH); 1H NMR (DMSO-d6), δ: 4.03 (s, 3H, N7CH3), 13.88 (s, 1H, N1H), 13.91 (s, 1H, N9H); 13C NMR (DMSO-d6), δ: 34.62 (CH3, NCH3), 121.42 (C, C-5), 149.92 (CH, C-8), 152.16 (C, C-2), 159.87 (C, C-6), 161.61 (C, C-4); HR ESIMS m/z [M + H]+ calcd. for C6H6ClN4S2 232.9722 found 232.9720.
Synthesis of 2-chloro-6,8-di(prop-2-ynylthio)-7-methylpurine 14
2-Chloro-6,8-di(prop-2-ynylthio)-7-methylpurine 14 was obtained by alkylation of purine-6,8-dithione 13 (0.12 g, 0.5 mmol) with propargyl bromine in DMF according to the procedure described for the synthesis compound 4.
It was obtained as a pale yellow solid (0.105 g, 68%); mp 161–163 °C (EtOH), 1H NMR (DMSO-d6), δ: 3.26 (t, J = 2.4 Hz, 1H, CH), 3.31 (t, J = 2.4 Hz, 1H, CH), 3.88 (s, 3H, NCH3), 4.22 (d, J = 2.4 Hz, 2H, SCH2), 4.26 (d, J = 2.4 Hz, 2H, SCH2); 13C NMR (DMSO-d6), δ: 18.22 (CH2, SCH2CCH), 21.02 (CH2, SCH2CCH), 33.90 (CH3, NCH3), 74.68 (CH, SCH2CCH), 75.05 (CH, SCH2CCH), 79.61 (C, SCH2CCH), 79.68 (C, SCH2CCH), 125.50 (C, C-5), 150.98 (CH, C-8), 152.08 (C, C-2), 159.62 (C, C-6), 159.97 (C, C-4); HR ESIMS m/z [M + H]+ calcd. for C12H10ClN4S2 309.0035 found 309.0032.
Synthesis of 2-chloro-6,8-di(aminobut-2-ynylthio)-7-methylpurines 15a-d
2-Chloro-6,8-di(aminobut-2-ynylthio)-7-methylpurines 15a-d were obtained from 6,8-dipropynylthio derivative 14 (0.15 g, 0.5 mmol) and appropriate amines ((pyrrolidine, piperidine, morpholine, and diethylamine, 0.7 mmol) in dry dioxane according to the previously described procedure for the synthesis of 2,6-di(aminobut-2-ynylthio)-7-methylpurines 5a-d.
2-Chloro-6,8-di(4-N-pyrrolidinylbut-2-ynylthio)-7-methylpurine 15a
It was obtained as a pale yellow solid (0.183 g, 77%); mp 133–135 °C (EtOH); 1H NMR (DMSO-d6), δ: 1.58 (m, 8H, 4CH2), 2.38 (m, 8H, 4NCH2), 3.34 (t, J = 2.4 Hz, 2H, SCH2), 3.36 (t, J = 2.4 Hz, 2H, SCH2), 3.88 (s, 3H, NCH3), 4.22 (t, J = 2.4 Hz, 2H, CCH2), 4.27 (t, J = 2.4 Hz, 2H, CCH2); 13C NMR (DMSO-d6), δ: 18.93 (CH2, SCH2CC), 18.96 (CH2, SCH2CC), 21.70 (CH3, NCH3), 23.66 (2CH2), 23.71 (2CH2), 33.91 (CH2, CCH2), 33.92 (CH2, CCH2), 42.57 (CH2, NCH2), 42.63 (CH2, NCH2), 51.83 (CH2, NCH2), 51.95 (CH2, NCH2), 79.32 (C, SCH2CC), 79.38 (C, SCH2CC), 79.89 (C, SCH2CC), 80.03 (C, SCH2CC), 125.52 (C, C-5), 143.07 (CH, C-8), 151.20 (C, C-2), 152.19 (C, C-6), 159.84 (C, C-4); HR ESIMS m/z [M + H]+ calcd. for C22H28ClN6S2 475.1505 found 475.1491.
2-Chloro-6,8-di(4-N-piperidinylbut-2-ynylthio)-7-methylpurine 15b
It was obtained as a pale yellow solid (0.165 g, 74%); mp 108–110 °C (EtOH); 1H NMR (DMSO-d6), δ: 1.23 (m, 4H, 2CH2), 1.40 (m, 8H, 4CH2), 2.26 (m, 8H, 4NCH2), 3.19 (s, 4H, 2SCH2), 3.89 (s, 3H, NCH3), 4.23 (t, J = 2.4 Hz, 2H, CCH2), 4.28 (t, J = 2.4 Hz, 2H, CCH2); 13C NMR (DMSO-d6), δ: 18.97 (2CH2, SCH2CC), 21.77 (CH3, NCH3), 23.85 (CH2), 23.88 (CH2), 25.76 (2CH2), 25.81 (2CH2), 33.94 (CH2, CCH2), 33.95 (CH2, CCH2), 47.41 (CH2, NCH2), 47.43 (CH2, NCH2), 52.67 (CH2, NCH2), 52.71 (CH2, NCH2), 79.14 (C, SCH2CC), 79.75 (C, SCH2CC), 80.38 (C, SCH2CC), 80.43 (C, SCH2CC), 125.54 (C, C-5), 143.10 (CH, C-8), 151.24 (C, C-2), 152.22 (C, C-6), 159.81 (C, C-4); HR ESIMS m/z [M + H]+ calcd. for C24H32ClN6S2 503.1818 found 503.1814.
2-Chloro-6,8-di(4-N-morpholinylbut-2-ynylthio)-7-methylpurine 15c
It was obtained as a pale yellow solid (0.172 g, 70%); mp 112–113 °C (EtOH); 1H NMR (DMSO-d6), δ: 2.30 (m, 4H, 2NCH2), 2.35 (m, 4H, 2NCH2), 3.23 (m, 4H, SCH2), 3.47 (m, 4H, 2OCH2), 3.51 (m, 4H, 2OCH2), 3.89 (s, 3H, NCH3), 4.25 (t, J = 2.4 Hz, 2H, CCH2), 4.29 (t, J = 2.4 Hz, 2H, CCH2); 13C NMR (DMSO-d6), δ: 18.89 (CH2, SCH2CC), 18.91 (CH2, SCH2CC), 21.73 (CH3, NCH3), 33.93 (CH2, CCH2), 33.94 (CH2, CCH2), 46.90 (CH2, NCH2), 46.96 (CH2, NCH2), 51.85 (CH2, 2NCH2), 66.46 (CH2, 4OCH2), 78.83 (C, SCH2CC), 79.33 (C, SCH2CC), 80.62 (C, SCH2CC), 80.74 (C, SCH2CC), 125.51 (C, C-5), 143.05 (CH, C-8), 151.23 (C, C-2), 152.18 (C, C-6), 159.95 (C, C-4); HR ESIMS m/z [M + H]+ calcd. for C22H28ClN6O2S2 507.1404 found 507.1398.
2-Chloro-6,8-di(diethylaminobut-2-ynylthio)-7-methylpurine 15d
It was obtained as a pale yellow solid (0.194 g, 81%); mp 88–90 °C (EtOH); 1H NMR (DMSO-d6), δ: 0.87 (m, 12H, 4CH3), 2.32 (m, 8H, 4NCH2), 3.33 (s, 4H, 2SCH2), 3.88 (s, 3H, NCH3), 4.22 (t, J = 2.4 Hz, 2H, CCH2), 4.27 (t, J = 2.4 Hz, 2H, CCH2); 13C NMR (DMSO-d6), δ: 12.76 (4CH3,), 19.06 (CH2, SCH2CC), 19.09 (CH2, SCH2CC), 21.82 (CH3, NCH3), 33.93 (CH2, CCH2), 33.94 (CH2, CCH2), 46.83 (CH2, 2NCH2), 46.85 (CH2, 2NCH2), 78.41 (C, SCH2CC), 79.17 (C, SCH2CC), 80.19 (C, SCH2CC), 80.36 (C, SCH2CC), 125.97 (C, C-5), 143.09 (CH, C-8), 151.22 (C, C-2), 152.22 (C, C-6), 159.81 (C, C-4); HR ESIMS m/z [M + H]+ calcd. for C22H32ClN6S2 479.1818 found 479.1813.
Antiproliferative assay in vitro
Cell culture
Compounds were evaluated for their anticancer activity using three cultured cell lines: SNB-19 (human glioblastoma, DSMZ - German Collection of Microorganisms and Cell Cultures, Braunschweig, Germany), C-32 (human amelanotic melanoma, ATCC-American Type Culture Collection, Manassas, VA, USA), MDA-MB-231 (human adenocarcinoma mammary gland, ATCC, Manassas, VA, USA), and HFF-1 (human fibroblast cell line, ATCC, Manassas, VA, USA). The cultured cells were kept at 37 °C and 5% CO2. The cells were seeded (1 × 104 cells/well/100 μL DMEM supplemented with 10% FCS and streptomycin and penicillin) using 96-well plates (Corning). The cells were counted in a hemocytometer (Burker’s chamber) using a phase contrast Olympus IX50 microscope equipped with Sony SSC-DC58 AP camera and Olympus DP10 digital camera.
Proliferation assay
The antiproliferative effect of the compounds obtained from both the cancer and the normal cells was determined using the Cell Proliferation Reagent WST-1 assay (Roche Diagnostics, Mannheim, Germany). This colorimetric assay is based on the viable cell’s ability to cause the bright red-colored stable tetrazolium salt (2-(4-iodophenyl)-3-(4-nitrophenyl)-5-(2,4-disulfophenyl)-2H-tetrazolium, monosodium salt) to cleave to the dark red soluble formazan by cellular enzymes. An expansion in the number of viable cells results in an increase in the overall activity of mitochondrial dehydrogenases in the sample. An increase in the amount of formazan dye formed correlates to the number of metabolically active cells in the culture. The formazan dye produced by metabolically active cells is quantified by a scanning ELISA reader that measures the absorbance of the dye solution at appropriate wavelengths. The examined cells were exposed to the tested compounds for 72 h at various concentrations between 0.1 and 100 μg/mL (prepared initially at a concentration of 1 mg/mL in DMSO). The control was performed in order to check that DMSO has no effect on the cells at the concentration used. The cells were incubated with WST-1 (10 μL) for 1 h and the absorbance of the samples was measured against a background control at 450 nm using a microplate reader with a reference wavelength at 600 nm. The results are expressed as the means of at least two independent experiments performed in triplicate. The antiproliferative activity of the tested compound was compared to cisplatin. The IC50 values (a concentration of a compound that is required for 50% inhibition) were calculated from the dose–response relationship with respect to control.
Result and discussion
Chemistry
2-Chloro-6-(prop-2-ynylthio)-7-methylpurine 1 was obtained via S-alkylation of the appropriate 6-purinethione with propargyl bromide (as solution in toluene) in DMF at room temperature in the presence of potassium tert-butoxide (Kowalska et al. 2015). Using this procedure, 2,6-dipropynylthio-7-methylpurine 4 was obtained from 2,6-purinethione 3. 2-Chloro-6-propynylthio-7-methylpurine 1 and 2,6-dipropynylthio-7-methylpurine 4, which were transformed via a Mannich reaction with paraformaldehyde and secondary amine (pyrrolidine, piperidine, morpholine, and diethylamine) in dry dioxane in the presence of catalytic amounts of CuCl into 2-chloro-6-aminobut-2-ynylthio-7-methylpurines 2a-c, as well as 2,6-di(aminobut-2-ynylthio)-7-methylpurines 5a-d in yields of 82–94% and 74–79.5%, respectively. Whereas 2- and 6-chloropurines are easily obtained from oxopurines, the introduction of the halogen atom in the 8 position requires halogenation with bromine (Koppel et al. 1962). Compounds 6 and 11 were brominated with bromine (as a solution in nitrobenzene) followed by a refluxing of the reaction mixture for 5 h. In the case of compound 11, the bromination proceeded not only in the 8 position but also in ipso in the 6 position. 8-Xanthinethione 8 and 8-purinethione 13 were obtained in the sodium hydrosulfide reaction. In order to obtain 8-aminobutynylthioxanthines 10a-d and 6,8-diaminobutynylthiopurines 15a-d, the same sequence of propynylation and a Mannich reaction was used.
Scheme 1
Scheme 1.

Synthesis of 2-chloro-6-aminobutynylthio-7-methylpurines 2a-c
Scheme 2
Scheme 2.

Synthesis of 2,6-dipropynylthio- and 2,6-diaminobutynylthio-7-methylpurines 4 and 5a-d
Scheme 3
Scheme 3.

Synthesis of 8-propynylthio- and 8-aminobutynylthio-3,7-dimethylxanthines 9 and 10a-d
Scheme 4
Scheme 4.

Synthesis of 2-chloro-6,8-dipropynylthio- and 2-chloro-6,8-diaminobutynylthio-7-methylpurines 14 and 15a-d
Anticancer activity
For the biological tests, 18 propynylthio- and aminobutynylthiopurines and xanthines of 4 types were selected:
a. 2-chloro-6-aminobutynylthio derivatives containing the piperidinyl, morpholinyl, and diethylamino groups (2a-c),
b. 2,6-dipropynylthio (4) and 2,6-diaminobutynylthiopurines containing the pyrrolidinyl, piperidinyl, morpholinyl, and diethylamino groups (5a-d),
c. 8-propynylthio (9) and 8-aminobutynylthioxanthines derivatives containing the pyrrolidinyl, piperidinyl, morpholinyl, and diethylamino groups (10a-d),
d. the 2-chloro-6,8-dipropynylthio (14) and 2-chloro-6,8-diaminobutynylthiopurines containing pyrrolidinyl, piperidinyl, morpholinyl, and diethylamino groups (15a-d),
The anticancer activity of the compounds obtained was investigated in vitro using cultured human glioblastoma SNB-19, human adenocarcinoma MDA-MB-231, and melanoma C-32 cell lines. Normal human fibroblasts (HFF-1) were used as a control and cisplatin was used as a reference drug. Table 1 shows the activity of alkynylthiopurines and xanthines 2a-c, 4, 5a-d, 9, 10a-d, 14, and 15a-d as the IC50 values. The tested compounds exhibited different activities against three cancer cell lines. The SNB-19 and C-32 lines were more sensitive than the MDA-MB-231 line for most compounds.
Table 1.
Antiproliferative activity of alkynylthiopurines and xanthines
| Compounds | Antiproliferative activity IC50 (μg/mL) | |||
|---|---|---|---|---|
| SNB-19 | C-32 | MDA-MB-231 | HFF-1 | |
| 2a | 28.80 | 21.01 | 33.40 | 35.42 |
| 2b | 35.40 | 125.00 | 66.28 | 20.09 |
| 2c | 17.40 | 11.88 | 48.06 | 8.65 |
| 4 | 15.01 | 1.77 | 1.00 | 10.00 |
| 5a | 19.41 | 6.81 | 19.95 | 10.00 |
| 5b | 4.64 | 6.39 | 7.35 | 3.98 |
| 5c | 21.54 | 0.35 | 50.80 | 0.37 |
| 5d | 48.93 | 23.86 | 38.49 | 5.95 |
| 9 | 191.10 | 103.46 | 169.34 | 153.65 |
| 10a | 176.62 | 51.08 | 471.50 | 34.26 |
| 10b | 166.17 | 355.00 | 363.50 | 30.39 |
| 10c | 1.69 | 222.72 | 6.54 | 5.87 |
| 10d | 1.48 | 26.36 | 68.12 | 3.68 |
| 14 | 0,07 | 270.35 | 10.00 | 20.09 |
| 15a | 0.52 | 4.55 | 3.83 | 3.63 |
| 15b | 11.62 | 19.08 | 38.07 | 5.50 |
| 15c | 26.10 | 4.08 | 74.05 | 36.38 |
| 15d | 2.91 | 5.33 | 10.00 | 1.00 |
| Cisplatin | 1.46 | 5.71 | 11.85 | 1.21 |
As shown in Table 1, 6,8-disubstituted derivatives 14 and 15a-d were the most active group of the tested compounds and in some cases were more or at least as active as cisplatin. 2-Chloro-6,8-dipropynylthiopurine 14 and its pyrrolidinylmethyl derivative 15a exhibited strong antiproliferative activity (IC50 values of <1 μg/mL) against the SBN-19 line. The last compound was also active against two other lines (IC50 = 3.8–4.5 μg/mL). Compounds 15c and 15d (containing two morpholinylbutynylthio and diethylaminobutynylthio groups) showed selective activity against the SNB-19 and C-32 lines (IC50 = 2.9–5.3 μg/mL).
The activity of 2,6-disubstituted compounds (4 and its aminomethyl derivatives 5a-c) were also selective. 2,6-Dipropynylthiopurine 4 was more active than cisplatin against the MDA-MB-231 and C-32 cell lines (IC50 ≤ 1.77 μg/mL). The introduction of the pyrrolidinylmethyl and piperidinylmethyl moieties to the propynylthio chain (compounds 5a and 5b) slightly decreased activity against selected lines. On the other hand, derivative 5c (the morpholinylmethyl moiety that was introduced) was very active (more so than cisplatin) with the IC50 value of 0.35 μg/mL against the C-32 cell line.
2-Chloro-6-aminobutynyltiopurines 2a-c were less active against all cell lines with IC50 values over 11.88 μg/mL.
The other monoalkynylthiosubstituted derivatives 9 and 10a-d containing the 3,7-dimethylxanthine framework showed very different activity. In contrast to the very active 2,6- and 6,8-dipropynylthio derivatives 4 and 14, 8-propynylthio derivative 9 was found inactive (IC50 > 100 μg/mL). Surprisingly, its derivatives 10d and 10c (containing the diethylaminobutynylthio and morpholinylbutynylthio groups) exhibited strong activity against the SBN-19 line (IC50 < 1.7 μg/mL). Two other derivatives (10a and 10b) were found rather inactive.
All the compounds were tested for their cytotoxicity on the normal human fibroblasts (HFF-1). Some compounds (5b-d, 10c-d, 15a-b, and 15d) as well as cisplatin also turned out to be cytotoxic for fibroblasts. Very active compounds 4 (against adenocarcinoma MDA-MB-231 and melanoma C-32), 14 (against glioblastoma SNB-19), and 15c (against melanoma C-32) were found to have relatively weak cytotoxicity.
Conclusion
While searching for alkynylthiopurines and aminoalkynylthiopurines and xanthines with the anticancer activity, we worked out a synthesis of 18 new multisubstituted 7-methylpurines and 3,7-dimethylxanthines containing one or two propynylthio groups (in 2, 6, and 8 positions), which were further transformed via a Mannich reaction with cyclic and open chain amines and formaldehyde into aminobutynylthio derivatives. The products obtained represent various types of the purine and xanthine structure containing the triple bond: 8-mono-, 2,6-, and 6,8-dipropynylthio derivatives 4, 9, and 14, 6- and 8-monoaminobutynylthio derivatives 2a-c and 10a-d, 2,6- and 6,8-diaminobutynylthio derivatives 5a-d and 15a-d. All tested compounds exhibited different anticancer activity against human glioblastoma SNB-19, human adenocarcinoma MDA-MB-231, and melanoma C-32 cell lines depending on the nature of the substituent and its localization in the purine framework. Some compounds exhibited stronger or similar anticancer activity to cisplatin. A small number of compounds were also cytotoxic against the normal human fibroblasts (HFF-1). The most promising compounds with strong anticancer activity and relatively low cytotoxicity turned out to be 2,6-dipropynylthio-7-methylpurine 4, 2-chloro-6,8-dipropynylthio-7-methylpurine 14, and 2-chloro-6,8-di(N-morpholinylbutynylthio)-7-methylpurine 15c.
Electronic supplementary material
Acknowledgements
The synthesis and the structure elucidation are supported by the Medical University of Silesia (grant KNW-1-006/K/6/O.
Compliance with ethical standards
Conflict of interest
The authors declare that they have no conflict of interest.
Footnotes
Electronic supplementary material
The online version of this article (10.1007/s00044-018-2155-3) contains supplementary material, which is available to authorized users.
References
- Andersen G, Gundersen LL, Nissen-Meyer J, Rise F, Spilberg B. Cytotoxic and antibacterial activity of 2-oxopurine derivatives. Bioorg Med Chem Lett. 2002;12:567–569. doi: 10.1016/S0960-894X(01)00803-4. [DOI] [PubMed] [Google Scholar]
- Atamanyuk D, Denis A, Gerusz V, Ledoussal B, Bonvin Y, Desroy N, Gold J, Moreau F, Oxoby M (2012) Purine derivatives and their use as pharmaceuticals for prevention or treatment of bacterial infections. European Patent WO2012172043 (A1)
- Baraldi PG, Cacciari B, de Las Infantas MJP, Romagnoli R, Spalluto G, Volpini R, Costanzi S, Vittori S, Cristalli G, Melman N, Park KS, Ji X, Jacobson KA. Synthesis and biological activity of a new series of N6-arylcarbamoyl, 2-(Ar)alkynyl- N6-arylcarbamoyl, and N6-carboxamido derivatives of adenosine-5’-N-ethyluronamide as A1 and A3 adenosine receptor agonists. J Med Chem. 1998;41:3174–3185. doi: 10.1021/jm980147p. [DOI] [PMC free article] [PubMed] [Google Scholar]
- Berg TC, Gundersen LL, Eriksen AB, Malterud KE. Synthesis of optically active 6-alkynyl- and 6-alkylpurines as cytokinin analogs and inhibitors of 15-lipoxygenase; studes of intramolecular cyclization of 6-(hydroxyalkyn-1-yl)purines. J Org Chem. 2005;23:4988–4994. [Google Scholar]
- Bliman D, Pettersson M, Bood M, Grotli M. 8-Bromination of 2,6,9-trisubstituted purines with pyridinium tribromide. Tetrahedron Lett. 2014;55:2929–2931. doi: 10.1016/j.tetlet.2014.03.084. [DOI] [Google Scholar]
- Brathe A, Andersen G, Gundersen LL, Malterud KE, Rise F. Antioxidant activity of synthetic cytokinin analogues: 6-alkynyl- and 6-alkenylpurines as novel 15-lipoxygenase inhibitors. Bioorg Med Chem. 2002;10:1581–1586. doi: 10.1016/S0968-0896(01)00427-8. [DOI] [PubMed] [Google Scholar]
- Brathe A, Gundersen LL, Nissen-Meyer J, Rise F, Spilsberg B. Cytotoxic activity of 6-alkynyl- and 6-alkenylpurines. Bioorg Med Chem Lett. 2003;13:877–880. doi: 10.1016/S0960-894X(03)00011-8. [DOI] [PubMed] [Google Scholar]
- Broom AD, Gall AA, Meyer RB (1997) Oligonucleotides containing n-methyl thiolated bases having antiviral activity. US Patent 5652359A
- Carson DA, Cottam HB, Wasson DB (1998) Compounds for inhibition of ceramide-mediated signal transduction. US Patent 5843943
- Corrales RCNR, de Souza NB, Pinheiro LS, Abramo C, Coimbra ES, da Silva AD. Thiopurine derivatives containing triazole and steroid: synthesis, antimalarial and antileishmanial activities. Biomed Pharmacother. 2011;65:198–203. doi: 10.1016/j.biopha.2010.10.013. [DOI] [PubMed] [Google Scholar]
- Cristalli G, Podda GM, Costanzi S, Lambertucci C, Lecchi A, Vittori S, Volpini R, Zighetti ML, Cattaneo M. Effects of 5’-phosphate derivatives of 2-hexynyl adenosine and 2-phenylethynyl adenosine on responses of human platelets mediated by P2Y receptors. J Med Chem. 2005;48:2763–2766. doi: 10.1021/jm0493562. [DOI] [PubMed] [Google Scholar]
- Daly JW. Caffeine analogs: biomedical impact. Cell Mol Life Sci. 2007;64:2153–2169. doi: 10.1007/s00018-007-7051-9. [DOI] [PMC free article] [PubMed] [Google Scholar]
- Dal Ben D, Buccioni M, Lambertucci C, Marucci G, Volpini R, Cristalli G. The importance of alkynyl chain presence for the activity of adenine nucleosides/nucleotides on purinergic receptors. Curr Med Chem. 2011;18:1444–1463. doi: 10.2174/092986711795328391. [DOI] [PubMed] [Google Scholar]
- Deswal S, Srivastava A. Role of allopurinol in optimizing thiopurine therapy in patients with autoimmune hepatitis. J Clin Exp Hepatol. 2017;7:55–62. doi: 10.1016/j.jceh.2017.01.115. [DOI] [PMC free article] [PubMed] [Google Scholar]
- Dimopoulou A, Manta S, Parmenopoulou V, Kollatos N, Christidou O, Triantakonstanti VV, Schols D, Komiotis D. An easy microwave-assisted synthesis of C8-alkynyl adenine pyranonucleosides as novel cytotoxic antitumor agents. Front Chem. 2015;3:21. doi: 10.3389/fchem.2015.00021. [DOI] [PMC free article] [PubMed] [Google Scholar]
- Endo K, Deguchi K, Matsunaga H, Tomaya K, Yamada K (2014) 8-Substituted 2-alkynyl-N9-propargyladenines as A2A adenosine receptor antagonists. Bioorg Med Chem 22:3072–3082 [DOI] [PubMed]
- Foitzik RC, Devine SM, Hausler NE, Scammells PJ. Linear and converrgent approaches to 2-substituted adenosine-5‘-N-alkylcarboxamides. Tetrahedron. 2009;65:8851–8857. doi: 10.1016/j.tet.2009.08.057. [DOI] [Google Scholar]
- Herreras J, Iborra M. When should thiopurine therapy during sustained remission in inflammatory bowel disease be stopped? Adv Res Gastroentero Hepatol. 2017;4:555647. [Google Scholar]
- Ivachtchenko AV, Mitkin OD, Kadieva MG, Okun IM (2013) Substituted phenoxyacetic acids and esters and amides thereof, comprising a 2,6-dioxo-2,3,6,7-tetrahydro-1H-purine-8-yl fragment and constituting A2A adenosine receptor antagonists, and the use thereof. European Patent WO2013058681
- Koles L, Furst S, Illes P. Purine ionotropic (P2X) receptors. Curr Pharm Des. 2007;13:2368–2384. doi: 10.2174/138161207781368747. [DOI] [PubMed] [Google Scholar]
- Koppel HC, Springer RH, Robins RK, Schneider FH, Cheng CC. Synthesis of some 8-substituted bis(β-chloroethyl)amino derivatives of naturally occurring N-methylated purines. J Org Chem. 1962;27:2173–2177. doi: 10.1021/jo01053a067. [DOI] [Google Scholar]
- Kowalska A. Synthesis of bis(7-methyl-2- or 6-purinyl) disulfides. Phosphorus Sulfur Silicon. 2007;182:2881–2890. doi: 10.1080/10426500701542734. [DOI] [Google Scholar]
- Kowalska A, Latocha M, Pluta K. Synthesis and anticancer activity of thiosubstituted purines. Med Chem Res. 2015;24:3107–3116. doi: 10.1007/s00044-015-1364-2. [DOI] [PMC free article] [PubMed] [Google Scholar]
- Kowalska A, Maślankiewicz A, Syrek B, Ciepliński P. 2,6-Dialkoxy-7-methylpurines. Mon Chem. 1985;116:341–351. doi: 10.1007/BF00799967. [DOI] [Google Scholar]
- Kuchar M, Hocek M, Pohl R, Votruba I, Shih I, Mabery E, Mackman R. Synthesis, cytostatic, and antiviral activity of novel 6-[2-(dialkylamino)ethyl]-, 6-(2-alkoxyethyl)-, 6-[2-(alkylsulfanyl)ethyl]-, and 6-[2-(dialkylamino)vinyl]purine nucleosides. Bioorg Med Chem. 2008;16:1400–1424. doi: 10.1016/j.bmc.2007.10.063. [DOI] [PubMed] [Google Scholar]
- Legraverend M, Tunnah P, Noble M, Ducrot P, Ludwig O, Grierson DS, Leost M, Meijer L, Endicott J. Cyclin-dependent kinase inhibition by new C-2 alkynylated purine derivatives and molecular structure of a CDK2- inhibitor compex. J Med Chem. 2000;43:1282–1292. doi: 10.1021/jm9911130. [DOI] [PubMed] [Google Scholar]
- Prima FD, Shenoy A, Moses SR, Shabaraya AR. Antitumor activity of mercaptopurine in combination with trikatu and gomutra on 20-methylcholantrene induced carcinogenesis. J Appl Pharm Sci. 2013;3:20–23. [Google Scholar]
- Riva-Toniolo C, Muller S, Schaub J, Brill WKD. Catalysis of nucleophilic aromatic substitutions in the 2,6,8-trisubstituted purines and application in the synthesis of combinatorial libraries. Mol Div. 2003;6:43–53. doi: 10.1023/A:1024895515316. [DOI] [PubMed] [Google Scholar]
- Sharma S, Singh J, Ojha R, Singh H, Kaur M, Bedi PMS, Nepali K. Design strategies, structure activity relationship and mechanistic insights for purines as kinase inhibitors. Eur J Med Chem. 2016;112:298–346. doi: 10.1016/j.ejmech.2016.02.018. [DOI] [PubMed] [Google Scholar]
- Thomas R, Lee J, Chevalier V, Sadler S, Selesniemi K, Hatfield S, Sitkovsky M, Ondrehen NJ, Jones GB. Design and evaluation of xanthine based adenosine receptor antagonists: potential hypoxia targeted immunotherapies. Bioorg Med Chem. 2013;21:7453–7464. doi: 10.1016/j.bmc.2013.09.043. [DOI] [PMC free article] [PubMed] [Google Scholar]
- Ward MG, Patel KV, Kariyawasam VC, Goel R, Warner B, Elliott TR, Blaker PA, Irving PM, Marinaki AM, Sanderson JD. Thioguanine in inflammatory bowel disease: long-term efficacy and safety. United Eur. Gastroenterol J. 2017;5:563–570. doi: 10.1177/2050640616663438. [DOI] [PMC free article] [PubMed] [Google Scholar]
- Warner B, Johnston E, Arenas-Hernandez M, Marinaki A, Irving P, Sanderson J. A practical guide to thiopurine prescribing and monitoring in IBD. Frontline Gastroenterol. 2016;0:1–6. doi: 10.1136/flgastro-2016-100738. [DOI] [PMC free article] [PubMed] [Google Scholar]
- Volpini R, Costanzi S, Lambertucci C, Vittori S, Klotz KN, Lorenzen A, Cristalli G. Introduction of alkynyl chains on C-8 of adenosine led to very selective antagonists of the A3 adenosine receptor. Bioorg Med Chem Lett. 2001;11:1931–1934. doi: 10.1016/S0960-894X(01)00347-X. [DOI] [PubMed] [Google Scholar]
- Volpini R, Costanzi S, Lambertucci C, Vittori S, Cristalli G (2002) Purine nucleosides bearing 1-alkynyl chains as adenosine receptor agonists. Curr Pharm Design 8:99–110 [DOI] [PubMed]
- Volpini R, Costanzi S, Lambertucci C, Vittori S, Martini C, Trincavelli ML, Klotz KN, Cristalli G. 2-And 8-alkynyl-9-ethyladenines: synthesis and biological activity at human and rat adenosine receptors. Purinergic Signal. 2005;1:173–181. doi: 10.1007/s11302-005-6216-y. [DOI] [PMC free article] [PubMed] [Google Scholar]
- Zablocki AJ, Palle VP, Elzein EO, Nudelman G (2001) Propargyl phenyl ether A2A receptor agonists. US Patent 6180615 B1
- Zagorska A, Kołaczkowski M, Bucki A, Siwek A, Kazek G, Satała G, Bojarski AJ, Partyka A, Wesołowska A, Pawłowski M. Structure-activity relationships and molecular studies of novel arylpiperazinylalkyl purine-2,4-diones and purine-2,4,8-triones with antidepressant and anxiolytic-like activity. Eur J Med Chem. 2015;97:142–154. doi: 10.1016/j.ejmech.2015.04.046. [DOI] [PubMed] [Google Scholar]
Associated Data
This section collects any data citations, data availability statements, or supplementary materials included in this article.
