Abstract
The default mode network (DMN) is associated with the occurrence of mind-wandering or task-unrelated thought. In contrast, the frontal-parietal network (FPN) and visual network (VS) are involved in tasks with external stimuli. However, it is not clear how these functional network interactions support these two different processes – mind-wandering and on-task – especially with regard to individual variation in the mind-wandering experience. In this study, we investigated the functional connectivity and modular structure among the DMN, FPN, and VS. Our results showed that, compared to the on-task period, mind-wandering was associated with increased DMN activity and increased DMN-VS connectivity. Moreover, mind-wandering was accompanied by a large number of transitional nodes, which expressed a diversity of brain regions. Intriguingly, the functional connectivity of the FPN and VS was strongly correlated with individual behavioral performance. Our findings highlight the individual variation of mind-wandering, which implies the importance of other complementary large-scale brain networks.
Electronic supplementary material
The online version of this article (10.1007/s12264-018-0278-7) contains supplementary material, which is available to authorized users.
Keywords: Mind wandering, Default mode network, Modularity, Functional connectivity
Introduction
Mind-wandering is defined as a spontaneous thought that shifts the focus away from a current on-going task to inner mind-flow [1]. This mind-flow often occupies a considerable portion of waking time among people everywhere engaged in thoughts unrelated to the here-and-now, and exploring mind-wandering has substantial academic and practical significance [2–4]. Evidence from neuroimaging has suggested that mind-wandering is associated with the activity of the default mode network (DMN) [5–8]. More importantly, the blood oxygen level-dependent (BOLD) signal of the DMN can positively predict individuals’ daydream frequency [5], and studies using online neuroimaging samples have confirmed that the DMN is activated during mind-wandering [6,7].
Sustained attention to a response task (SART) is widely used to investigate mind-wandering [6,9–11]. In this paradigm, participants are instructed to respond as rapidly and accurately as possible to a non-target stimulus and to withhold the response when a target stimulus appears. Essentially, SART is a simple visual task requiring a go/no-go response, and this simplicity is helpful in shifting attention away from the current task. This type of task involving cognitive control processing activates the frontal-parietal network (FPN) to allow people to regulate habitual responses for optimizing behavioral performance [12]. Both the FPN and visual network (VS) are task-evoked networks that correspond to a SART stimulus. According to the decoupling hypothesis, spontaneous thought decouples the mind from an external stimulus, and task-relevant activity may be inhibited [13]. The association between VS and posterior cingulate cortex is positively associated with perspective thought, emphasizing the interaction between the VS and DMN during imagination [14]. Thus, inhibitory activity from the task-related VS and cooperation between the VS and DMN are expected during mind-wandering. In addition, the executive failure hypothesis attributes poor performance to mind-wandering [15], and the link between the FPN and other networks may reflect this change. That is to say, decreased communication among the FPN and other networks may indicate poor task performance. Therefore, we chose SART as a task to induce mind-wandering, and we considered the DMN, FPN, and VS to be the key brain networks.
The predicament confronted by researchers of task-unrelated thought or mind-wandering lies in the state differences or individual differences of mental activity during an individual’s internal experience [16]. Mittner et al. [17] suggested that task-unrelated thought can be divided into 2 states, off-focus and mind-wandering. Alternatively, individual intention creates intentional and unintentional mind-wandering [18]. Moreover, there are huge variations in mind-wandering among individuals, such as different moods, time directions (past or future), and other concerns [1, 4, 19]. Recent resting-state studies have investigated the association between the ongoing experience of mind-wandering and the functional connectivity of the DMN. Peorio et al. [20] revealed that the connectivity between subsystems of the DMN is linked to poor performance, and also linked to mind-wandering. And Wang et al. [21] also found that functional connectivity within the DMN can be divided into two components correlated with poor performance and high creativity. However, functional connectivity during mind-wandering in the ongoing task context remains unknown. Furthermore, to explore the individual variability in brain responses, subject-based modularity analysis is necessary, as this approach focuses on individual differences by establishing the greatest variation in connectivity between brain regions [22, 23].
To examine the individual differences in mind-wandering, we first used independent component analysis (ICA) to identify and select the DMN, FPN, and VS and thus to explore whether the functional connectivity of each factor is responsible for the on-task or mind-wandering state. Subsequently, the time courses of the DMN, FPN, and VS were extracted and then we evaluated the activity and connective intensity of these networks during each state. We predicted that activation of the DMN suppressed by the external attention task would be recruited more during the mind-wandering than the on-task state. The analysis of individual differences was based on the functional connectivity of a single participant. We hypothesized that functional connectivity among the DMN, FPN, and VS would lead to mind-wandering and that interactions that supported external orientation tasks would be restrained. Moreover, we expected that functional connectivity would be associated with individual behavioral performance. We also conducted modularity analysis at the subject- and group-levels to explore the modularity corresponding to individual differences. We set out to characterize the key role that each brain region plays in the reconfiguration of functional organization concerning functional integration of the DMN, FPN, and VS.
Materials and Methods
Participants
Twenty-four healthy, right-handed participants (19–26 years old, mean ± SD = 21.7 ± 2.1 years, 12 males) were randomly recruited from the local community through advertisement. They were non-smokers and had no history of psychiatric, neurological, or sleep disorders as confirmed by psychiatric assessment. All participants had normal or corrected-to-normal vision. They did not consume any caffeinated drinks during the scan day and had good sleep habits of between 6.5 h/day and 9 h/day (sleeping before 00:30 and rising before 09:00). Written informed consent was given after a detailed explanation of the study protocol. The experimental procedure was endorsed by the Ethics Committee of Southwest University, and all procedures involved were in accordance with the sixth revision of the Declaration of Helsinki.
Procedure
Participants performed the SART, a classical paradigm with a thought probe to detect mind-wandering. A mirror attached to the head coil allowed participants to see the stimuli. Each participant had 8 functional magnetic resonance imaging (fMRI) scanning sessions during SART, and each session consisted of 329 trials containing 16 thought probes, 16 targets, and 297 non-targets. One digit (0–9), a non-target, was presented every 2 s. Targets, consisting of the number “3”, occurred in ~ 5% of all the trials in each session. This relatively low target frequency was expected to help to establish an automatic response pattern and promote a relatively high induction rate of mind-wandering. The order of the 32 events (targets and thought probes) was pseudo-counterbalanced so that an artificial and variable distance between events (5–15 trials with non-targets) was uniformly distributed within each SART session (3 events appeared 5 trials apart, 3 events 6 trials apart, and so on until all events were completed). The number and distribution of targets, non-targets, and thought probes were as described in a previous study [6]. Thought probes consisted of 2 questions: “Did you focus on the task or mind-wandering before this probe?” and “Were you aware where your attention was?”. The bipartite responses, consisting of “on-task or mind-wandering” and “awareness or unawareness”, were dependent on the actual experience of the participants themselves. Before formal scans, a training session outside the fMRI scanner was performed in order to reduce the learning effects and enhance the probability of mind-wandering. Participants were asked to complete a psychomotor vigilance test task to assess their vigilance state and a series of scales – the Pittsburgh Sleep Quality Index (PSQI), the Morningness-Eveningness Questionnaire Self-Assessment (MEQ-SA), the Shortened NEO Five Factor Inventory, the Positive and Negative Affect Scale, the State Anxiety Inventory (SAI), and the Daydreaming Frequency Scale from the Imaginal Process Inventory – were used to measure their psychological state before formal scanning. Each formal scan consisted of 462 volumes. The present study focused on individual differences from the brain activity, modularity, and functional connectivity during mind-wandering; therefore, the analysis for different states of mind-wandering (according to probe 2) is not shown here.
Data Acquisition
High-resolution T1-weighted structural images were acquired from all participants using a 3-T Siemens Trio scanner (Siemens Medical, Erlangen, Germany). The 3-D spoiled gradient-recalled sequence used the following parameters: TR/TE = 8.5/3.4 ms, FOV = 240 × 240 mm2, flip angle = 12°, acquisition matrix = 512 × 512, thickness = 1 mm with no gap. The high-resolution T1-weighted structural images provided an anatomical reference for the functional scans. The functional volumes of each task-related fMRI were acquired using an echo-planar imaging sequence with the following parameters: TR/TR = 1500/29 ms, flip angle = 90°, acquisition matrix = 64 × 64, in-plane resolution = 3.0 × 3.0 mm2, FOV = 192 × 192 mm2, axial slices = 25, thickness = 5 mm with gap = 0.5 mm. Head movements were minimized by a cushioned head-fixation device.
fMRI Data Analysis
Functional Network Identification
First, all the fMRI data were pre-processed with SPM8 (http://www.fil.ion.ucl.ac.uk/spm/software/spm8/, Wellcome Department of Cognitive Neurology, University College London, UK). The pre-processing steps included slice-timing correction, head-motion correction, spatial normalization, and smoothing (6 mm full-width at half maximum Gaussian kernel).
Then, we performed group ICA using the GIFT toolbox (http://icatb.sourceforge.net/) to retrieve independent components and subsequently identified networks of interest [24]. ICA is a widely-used method for decomposing high-dimensional fMRI data into distinct signal and noise components, and it has been applied consistently to identify large-scale brain networks [25]. The ICA method has the advantage that it makes no a priori assumptions concerning the nature of BOLD responses evoked by task-related conditions, so it is a completely data-driven approach. This property is desirable for the present research as the neural networks had to be extracted automatically. After submitting the fMRI data to GIFT, the optimal number of components was set to 20, calculated using the GIFT dimensionality estimation tool. Briefly, data from each participant were reduced using principal component analysis according to the selected number of components. Then the data were separated by ICA using the Extended Infomax algorithm. Subsequently, spatial maps and representative time courses of each component were estimated for each participant through back-reconstruction. The output results were a series of spatial maps and representative time courses for each participant, each session, and each of the 20 estimated components. The mean spatial maps for all participants were transformed to z-scores for display purposes. We finally selected the DMN, FPN, and VS component maps that referred to one of our previous fMRI studies [26] as spatial templates. These selected neural networks corresponded to those components that had the strongest spatial correlations with the templates and at least twice the correlation value of all other networks. The spatial distributions of the 3 networks are presented in Fig. 1.
Fig. 1.
Spatial distributions of the DMN (red), FPN (blue), and VS (green). Brain areas with intensities at least two standard deviations above the mean are shown.
Activation and Functional Connectivity Analysis
For activation analyses, we assessed the mean episodes of hemodynamic responses associated with on-task and mind-wandering within each of the 3 networks. The time window for analysis was a separate 10-s interval before the on-task probes and a 10-s interval before the mind-wandering probes [6]. For functional connectivity analyses, the time courses of the selected components during the stages of on-task and mind-wandering were used as inputs for correlation calculations. We removed the effects of task-related design before subsequent correlation calculations that were based on the general linear model of SART. This model was then submitted to the CONN toolbox (http://www.nitrc.org/projects/conn) to remove the effects of SART conditions at each voxel to avoid connectivity driven by shared task-related responses and subsequently connectivity measures were computed. The model contained 10 regressors. First, the 10-s intervals before probes (each interval included 5 non-target trials) were separated into 2 types, depending on the participant’s response to each probe: mind-wandering, or on-task. We did not consider the different states of mind-wandering in this model. Thus, 2 regressors were used to model each kind of pre-probe interval. Second, 2 regressors were used to model the occurrence of the probes themselves (one for probe 1 and one for probe 2). The probes were modelled to dissociate the state of being on-task or mind-wandering from the effect of the thought probe itself. Third, the 10-s intervals before targets were separated into correct target responses (correct withholds) and incorrect target responses. Finally, 4 additional regressors were used to model correct responses to targets and non-targets and incorrect responses to targets and non-targets.
The correlation coefficients were normalized to z-scores with Fisher’s r-to-z transformation to increase the normality of the distribution, allowing further statistical analysis of correlation intensity. To explore the influence of functional connectivity on mind wandering, we further examined the relationship between the functional interaction of networks and individual performance (percentage of lapses) during mind-wandering.
Node Selectivity
To define the regions of interest (ROIs) in the DMN, FPN, and VS, the spatial maps for each participant were entered into a single sample t test to identify voxels with activity that was significantly different from zero. The threshold for significance was set using a false-discovery rate correction (P < 0.0001, cluster extent of 20 voxels). Finally, 13 clusters (or nodes) were identified for the DMN and they became the entry for the subsequent modular analysis. The procedure described above was also applied to extract the clusters for the FPN (11 clusters or nodes) and VS (6 clusters or nodes). Table 1 shows the peak points with clusters and voxels.
Table 1.
Peak foci for the DMN, FPN, and VS defined by ICA.
| Regions | Abbreviation | x | y | z | T | Voxels |
|---|---|---|---|---|---|---|
| DMN | ||||||
| R Cerebellum, posterior lobe | R CPLa | 9 | −51 | −48 | 10.9522 | 121 |
| R Cerebellum, posterior lobe | R CPLb | 45 | −72 | −42 | 9.2748 | 93 |
| L Cerebellum, posterior lobe | L CPL | −33 | −81 | −36 | 9.3142 | 187 |
| R Inferior temporal gyrus | R ITG | 63 | −6 | −30 | 7.3043 | 54 |
| R Precuneus | R PCUN | 9 | −57 | 18 | 23.9036 | 297 |
| L Fusiform gyrus | L FUG | −27 | −39 | −18 | 8.1298 | 37 |
| R Medial prefrontal cortex | R mPFC | 3 | 54 | 21 | 17.2806 | 801 |
| L Thalamus | L THA | −3 | −9 | 3 | 8.2242 | 70 |
| R Angular gyrus | R ANG | 48 | −66 | 27 | 14.3227 | 208 |
| L Angular gyrus | L ANG | −45 | −72 | 24 | 12.5822 | 105 |
| R Middle cingulate cortex | R MCC | 3 | −3 | 39 | 8.2264 | 43 |
| R Precentral gyrus | R PG | 57 | −15 | 42 | 10.2356 | 85 |
| R Medial frontal gyrus | R MFG | 3 | −24 | 54 | 11.9443 | 53 |
| FPN | ||||||
| L Inferior temporal lobe | L ITL | −51 | −48 | −12 | 8.474 | 121 |
| L Inferior frontal gyrus | L IFG | −45 | 6 | 33 | 15.2375 | 913 |
| R Inferior frontal gyrus | R IFG | 54 | 12 | 30 | 18.5865 | 1027 |
| L Ventral posterior cingulate cortex | L vPCC | −6 | −51 | 3 | 10.9036 | 231 |
| R Cuneus | R CUN | 12 | −102 | −6 | 9.8744 | 265 |
| R Middle temporal gyrus | R MTG | 60 | −45 | 6 | 7.4866 | 43 |
| L Middle occipital lobe | L MOL | −39 | −78 | 30 | 12.2563 | 172 |
| R Supramarginal gyrus | R SMG | 57 | −27 | 48 | 14.6565 | 382 |
| l Supramarginal gyrus | L SMG | −63 | −27 | 36 | 21.8165 | 214 |
| R Occipital lobe | R OL | 33 | −87 | 39 | 9.8709 | 133 |
| L Superior frontal sulcus | L SFS | −18 | 24 | 42 | 7.6898 | 25 |
| VS | ||||||
| R Lingual gyrus | R LG | 9 | −75 | −6 | 29.0072 | 1102 |
| R Precentral gyrus | R PRG | 45 | −15 | 66 | 13.5702 | 232 |
| L Precentral gyrus | L PG | −30 | −21 | 78 | 17.0981 | 433 |
| R Anterior cingulate cortex | R ACC | 9 | 42 | 15 | 13.7224 | 375 |
| L Middle temporal gyrus | L MTG | −60 | −42 | 0 | 6.8367 | 57 |
| R Posterior cingulate gyrus | R PCG | 6 | −21 | 27 | 12.1143 | 95 |
L left hemisphere, R right hemisphere.
The 30 regions in the DMN, FPN, and VS (Table 1) were spherical ROIs (radius 5 mm). The time courses of these ROIs were extracted from the fMRI data after smoothing and then removing the signals of white matter, cerebrospinal fluid, head movement, and the effects of task conditions as confounding effects; this was performed using CONN 16b [27], a functional connectivity toolbox (http://www.nitrc.org/projects/conn). The normalized functional connectivity matrix of each participant during stages of on-task and mind-wandering was also collected using the CONN toolbox. Modularity analysis was performed using the free brain connectivity toolbox (BCT, https://sites.google.com/site/bctnet/) for MatLab (Math Works, Natick, MA) with functional connectivity matrices as inputs.
Subject-Based Module Analysis
To account for individual variability in the number and structure of modules across participants, we identified the optimal modular architecture for the entire sample for both on-task and mind-wandering networks. Briefly, 2 module matrices were constructed separately for the state of on-task and mind-wandering in accordance with the functional connectivity matrix of each participant. To construct a module allegiance matrix that represented the frequency of co-classification, each pair of nodes was assigned to the same module, and these matrices were then submitted to a second-level modular decomposition. By this procedure, 2 regions that consistently co-classified in the same module across participants were assigned to the same module in the second-level partition.
For the module allegiance matrix of on-task and mind-wandering, F, each element Fij gave the relative frequency (across participants) with which regions i and j were assigned to the same functional community [22, 23]. The module allegiance of 2 nodes would be 1 if they were always in the same functional community and therefore tended to be functionally coherent with another node. It would be 0 if they were never in the same community. We iterated the algorithm 10,000 times for each dataset to account for any potential degeneracy in our data, following the procedure of a previous study [22]. For all datasets, we chose the most frequent partition with the maximal Q value. These data strongly suggested that this partition represented the optimum modular decomposition for each dataset of states. We computed the module allegiance separately for the on-task and mind-wandering phases.
To understand the functional roles played by each module and its constituent nodes, we used the consistency (z) and diversity (h) across participants to compare the on-task and mind-wandering periods [22]. The classification consistency and diversity of each node were estimated by computing the within-module strength and diversity coefficient of each node separately in the modular allegiance matrices of on-task and mind-wandering. Here, consistency (z) quantified the degree to which each region was classified in the same module relative to other nodes within modules among the participants. The regions with high consistency represented core roles of their module and acted as stable module hubs. The diversity (h) quantified the variability of modular allocation of each region among the participants. High diversity of regions suggests that they probably joined different modules across participants, because of dispersed alignment between modules from one individual to another. These regions, therefore, are transitional nodes that facilitate functional integration between modules [22, 28].
Statistical Analysis
To evaluate the behavioral results, the paired-samples t test was conducted on reaction time and percentage of lapses, to compare the statistical differences between mind-wandering periods and on-task periods. For neuroimaging data, the paired-samples t test was used to determine significant differences in the percentage of BOLD signal changes for each network in the episodes of mind-wandering and on-task. Three additional paired-samples t tests also compared the normalized correlation coefficients between networks. The differences were considered to be significant if the associated probability was < 0.05. Classification consistency (z) and classification diversity (h) for different states (on-task and mind-wandering) were also tested by paired-samples t tests. To understand the relationship between individual behavioral variation and the interaction of functional networks, we also used Pearson correlations to assess the correspondence between interactions of DMN-FPN/FPN-VS/DMN-VS and the performance of the participants. The Bonferroni correction was used when performing multiple statistical tests simultaneously in all the functional networks.
Results
Behavioral Results
Participants reported that they had been mind-wandering in an average of 34.5 probes (range 7–73) and on-task in an average of 89.8 probes (range 51–125), corresponding to 27.97% and 72.03% of the available probes, respectively. During the intervals before mind-wandering probes, more lapses occurred than during the intervals before on-task probes (t = 4.14, P < 0.001, Table 2). There was no significant difference in the reaction time of non-targets during mind-wandering and on-task periods. Probes with no immediate response were invalid and were excluded from further analysis. The mean and standard deviation (SD) results of the psychomotor vigilance test were 335.4 ± 25.8 mm before the fMRI scans. Questionnaire results contained scores of 4.4 ± 1.8 on the PSQI, 49.2 ± 11.8 on the MEQ-SA, and 40.4 ± 9.5 on the SAI. No score on each scale exceeded 3 times the SD. The PSQI, MEQ-SA and SAI results showed that the participants were normal in psychological terms.
Table 2.
Behavioral information during each period.
| On-task (mean, SD) | Mind-wandering (mean, SD) | T | P | |
|---|---|---|---|---|
| Number of probes | 89.8 (22.5) | 34.5 (20.7) | 6.3288 | < 0.001 |
| Available probes (%) | 72.03 (16.81) | 27.97 (16.81) | 6.4212 | < 0.001 |
| Reaction time | 388.81 (51.02) | 391.72 (50.15) | −0.4941 | 0.63 |
| Lapses (%) | 2.57 (2.69) | 8.45 (8.80) | −4.14 | < 0.001 |
Altered Activation and Connectivity Among DMN, FPN, and VS
The spatial distributions and time courses of DMN, FPN, and VS were identified and extracted using the ICA method (Fig. 1). We compared the percentage signal changes among the 3 networks between on-task and mind-wandering. Activity in these brain networks (Fig. 2A) showed that activation in the DMN during mind-wandering was significantly stronger than that during on-task (P < 0.05). Within the FPN and VS, there were significant decreases in BOLD signals during mind-wandering relative to the on-task state (both P < 0.001). All P values passed the Bonferroni correction with 0.05/3. An overall decreased intensity of activity in DMN, FPN. and VS is shown in Fig. 2A.
Fig. 2.
Mean and standard error of activation (A) and functional connectivity (B) among the DMN, FPN, and VS during mind-wandering (M) and on-task (T) (*P < 0.05; **P < 0.001).
We examined the paired-samples t test for each connectivity of DMN-VS/FPN-DMN/FPN-VS to compare on-task and mind-wandering (Fig. 2B). Relative to the on-task period, the functional connectivity (z-scores) within DMN-VS was significantly increased during mind-wandering (P < 0.001). Within the FPN-VS, however, a significant decrease was observed when compared to the on-task period (P < 0.001). The P value of these items passed the Bonferroni correction with 0.05/3. There was no significant difference between on-task and mind-wandering in the FPN-DMN and only a declining trend for mind-wandering. An overall decreased intensity of functional connectivity among the DMN, FPN, and VS is shown in Fig. 2B.
Modularity
Thirty brain regions were selected by constraining the spatial distributions of ICA components: 13 from the DMN, 11 from the FPN, and 6 from the VS (Table 1). The module organization of each network was generally consistent with the ICA outputs; however, it has been shown to reorganize depending on tasks [22]. Our results on the comparison between mind-wandering and on-task showed a significant difference in the module Q values between the on-task and mind-wandering periods (P < 0.05). For on-task networks, the optimal decomposition also identified 3 modules. Some regions, however, were relocated when compared with the structure revealed by ICA (Fig. 3A). For example, for mind-wandering networks, the optimal modular decomposition for interaction during mind-wandering was identified as 2 modules (Fig. 3B). Reconfiguration of the network occurred during mind-wandering. Only 4 regions of the DMN (left thalamus, right middle cingulate cortex, right precentral gyrus, and right medial frontal gyrus) in the ICA regions were absent from mind-wandering. This implied that the DMN has a stable distribution pattern during different states, although it may capture and abandon some regions to adapt to the incoming demands in various states. However, the DMN, FPN, and VS also reorganized their sub-regions during mind-wandering, and formed a new module during the period of mind-wandering.
Fig. 3.
Illustration of node-specific functional roles mediating the functional interactions of on-task and mind-wandering among the DMN, FPN, and VS. The boundaries between modules are represented by solid black lines. Module allegiance matrices for on-task (A) and mind wandering (B) re-ordered to emphasize the optimal modular structure.
We examined consistency and diversity to investigate the functional roles played by each module and its constituent nodes (Fig. 4). Consistency describes the importance of each region relative to other nodes within a module. Here, the regions with high classification consistency represented core nodes of a module, for example, the right precuneus in the DMN (Fig. 4). Diversity represents a region’s variability or individual differences in modular assignment. The regions with high diversity combined different modules across participants. For the network during both on-task and mind-wandering, regional z and h values showed a negative correlation trend. For classification diversity, nodes during mind-wandering moved toward the right side (Fig. 4C, D), which meant that nodes had a significantly higher h index relative to those during the period of on-task (paired-sample t test, P < 0.001). A large number of transitional nodes were composed using the new FPN-VS module. There was no significant difference in the z index. These results suggested that new module patterns during mind-wandering are more variable. In other words, different individuals had different patterns of the module, which also implied that undisciplined brain organization is characteristic of mind-wandering.
Fig. 4.
A Fruchterman-Reingold force-directed projections showing intra- and inter-modular connectivity for the on-task network. The colored nodes represent the DMN (green), FPN (purple), and VS (blue). Red arrows: R PCUN with high classification consistency and low classification diversity. Gray lines: connectivities between modules. B Force-directed projection of the mind-wandering network. Purple nodes: FPN-VS network. C Scatterplots of classification consistency, z, and classification diversity, h, of each region during the on-task state. D Consistency-diversity scatterplot of mind-wandering. The abbreviated node labels are listed in Table 1.
Association Between Brain Network Interactions and Individual Behavioral Performance
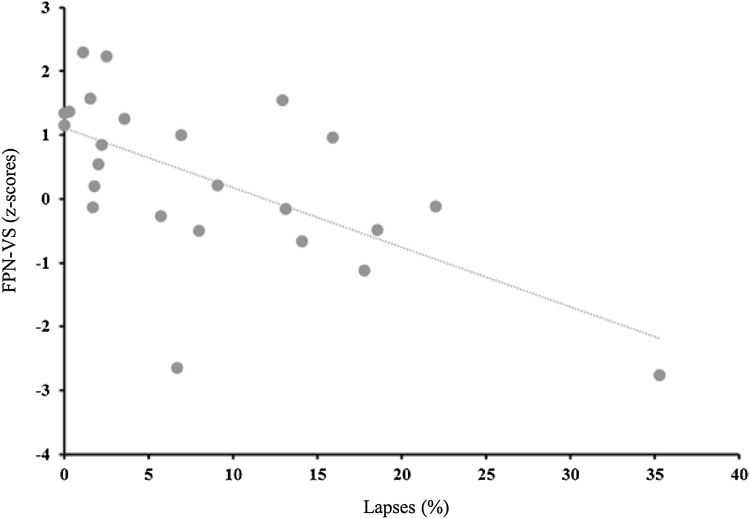
We examined the association between the number of lapses and the interactions among brain networks during mind-wandering (Fig. 5), and found a significant negative correlation between the FPN-VS connectivity and the percentage of lapses during mind-wandering (r = −0.6273, P = 0.001). In addition, there was a positive correlation between DMN-VS connectivity and the percentage of lapses during mind-wandering (r = 0.4275, P = 0.0372). However, there was no significant correlation between DMN-FPN and lapses during mind-wandering (r = −0.0606, P = 0.7784). We found that both the increased DMN-VS cooperation and FPN-VS inverse correlation corresponded to more lapses during mind-wandering. After Bonferroni correction with 0.05/3, only FPN-VS passed the threshold. There were no statistically significant differences during the on-task period.
Fig. 5.
Significant negative correlation between FPN-VS and percentage of lapses in mind-wandering (r = − 0.6273, P < 0.01, Bonferroni correction).
Discussion
In the present study, we mainly focused on individual differences in mind-wandering. First, at the behavioral level, we found the percentage of lapses during the intervals of mind-wandering significantly increased relative to on-task. Second, we found an overall decreased response in the intensity of activation and functional connectivity among the DMN, FPN, and VS. That is, there was a significant increase in negative activation (in the DMN) and a significant decrease in positive activation (in the FPN and VS) during mind-wandering. Similarly, there was a significant increase in the negative functional connectivity (of the DMN-VS) and a significant decrease in positive functional connectivity (of the FPN-VS). Third, there was a significant difference between module number and module allegiance between the on-task and mind-wandering periods. This suggested that during mind-wandering brain regions are not always in the same functional community, and there are more transitivity nodes during mind-wandering than on-task periods. Finally, the functional connectivity between FPN and VS was significantly correlated with individual lapses during mind-wandering. These results illustrate the individual variation of mind-wandering.
It is an undeniable fact that the DMN plays an important role during mind-wandering [7, 16, 29], and this is also consistent with our finding that recruitment of the DMN increased during mind-wandering. More importantly, our data implied that the individual variation during mind-wandering might be related to the activation of the DMN (Fig. 2A), which had a larger variance during mind-wandering (0.36) than on-task (0.10). These findings are in line with the multiple functions of the DMN, involving introspective and adaptive mental activities [16, 30]. Andrews-Hanna [30] divided the DMN into 3 subsystems. The medial temporal subsystem, engaged in providing materials to compose the various contents of mind-wandering, is associated with episodic memory and contextual retrieval depending on individual experience. Another subsystem, the dorsal medial subsystem, provides the rules of communication and mentalization depending on personal constructs. The core hubs, the medial prefrontal cortex and precuneus/posterior cingulate cortex, are associated with self-related processing. The variability in functional connectivity among the subsystems of the DMN promotes the probability of mind-wandering [31]. In our opinion, the variances of functional connectivity and activation within the DMN correspond to a wide variety of contents during mind-wandering. Thus, mind-wandering is a complex and heterogeneous phenomenon and the DMN is the primary source [1, 7, 16]. In addition, dysfunction of the DMN occurs in a number of psychiatric and neurological diseases [32]; thus abnormal mind-wandering, accompanied by abnormal activity in the DMN, is characteristic of mental disorders [33–36].
The FPN and VS are associated with cognitive control and visual processing, respectively [37]. We found that activation of the FPN/VS during the on-task period was increased. In our results, we did not observe activation of the FPN during mind-wandering, which is inconsistent with previous studies [7]. Though they found that some frontal regions are activated by mind-wandering and related spontaneous thought, these regions could not be due to the FPN because of the module restructuring, just as we found. Our results suggested that the role of the whole FPN may be more reflected in the interaction with other networks during mind-wandering. With regard to functional connectivity, the inverse correlation between the DMN and the FPN/VS is consistent with many previous reports about competition or antagonism between introspective and extrospective processing functional networks [38]. They are parallel to the phenomenon that participants focusing on the current task need to use externally-directed cognition [39]. Intriguingly, this relationship was not connected with the current task during mind-wandering. The intensity declined both in the amplitude of activation and functional connectivity. Our results showing decreased visual activity during task-relevant processes conform to inferences from the decoupling hypothesis [13]. In particular, the cooperative interaction between the FPN and the VS was attenuated during mind-wandering, implying a dynamic transformation from the on-task state. Moreover, this reflects the escape of control from external sensory input. The attenuated anti-correlation between the DMN and VS also adversely affected the maintenance of the on-task state. Imagination involved in mind-wandering may recruit the VS to cooperate with the DMN [14]. Our data suggested that the DMN does not operate in isolation during mind-wandering and the complementarity of other networks during self-generated thought should be evaluated as well.
Our modular analysis showed that the optimal number of modules, consisting of the DMN, FPN and VS, was 2 during mind-wandering but 3 during on-task. The modular pattern of mind-wandering contained new DMN modules with numerous original regions, some of which were from the FPN and VS, while the new FPN-VS module contained the remaining regions. Both modules were totally different from the on-task period (Figs. 3, 4). Moreover, the index concerning module allegiance showed that the functional coherence during mind-wandering was not as strong as that during on-task. It has been suggested that regions with increased individual modular variability are not always in the same functional community and are recombined depending on the mental context that tasks demand [22, 23]. In addition, regions during mind-wandering were more diverse than on-task. The increase in regions with high diversity demonstrated that they are important for functional integration between modules [22]. They act as transitional hubs that could play different roles when coupled with different nodes of different modules among participants. In addition, this reflected the influence of individual differences during mind-wandering, for which the different contents of mind-wandering among individuals probably demanded diversified functions from variant module patterns with transitional nodes.
The brain regions composing the new DMN module were characterized by higher h in the wandering than in the on-task state of mind (Fig. 3C, D). The integration between FPN and VS, however, was more fascinating and the FPN-VS module was more diversified than the newly-emerged DMN. Correlative analysis further revealed a significant correlation between behavioral performance and the functional connectivity between the module of the FPN and VS. Our behavioral results are in line with previous evidence [6] and the probability and extent of mind-wandering are associated with behavioral lapses [8, 15, 40]. The FPN-VS module (Fig. 4D), consisting of regions with high h, represents a transitional module for promoting the integration between FPN and VS, facilitating mind-wandering (Fig. 5). Our results suggested that the FPN gradually suppresses the VS with more lapses, which is also favorable for mind-wandering, accompanied by more transitional nodes. The FPN released the constraints on spontaneous thought [29].
In light of previous studies, we highlighted that functional brain modules with more diversity among individuals could be a key factor in explaining why the contents during mind-wandering can be different for different individuals across time. Numerous studies have assessed multiple types of content of mind-wandering involving large samples, illustrating the characteristics of complexity. These studies have suggested that mind-wandering is characterized by multiple dimensions, including temporal orientation, affective valence, personal significance, and self-reference, among others [19, 41, 42]. In summary, although group analysis claims that the DMN is the core neural mechanism to support mind-wandering, our results suggest that the DMN cannot independently support the variety of mind-wandering produced by different combinations of these diverse elements of content. The diversification of mind-wandering is guaranteed by interactions among multiple large-scale networks with increased diversity of regions. Wandering brain networks undertake mind wandering.
Further exploration is needed, especially in the analysis of fMRI data and the collection of mind-wandering data. SART is a traditional paradigm to induce and probe mind-wandering. However, the probing of mind-wandering is dependent on self-reports; thus, the time window is not precise. This inaccurate data would affect the results of analysis. Future research should make more efforts in investigating the objective acquisition of mind-wandering data [43]. It is not sufficient to gain an understanding of individual differences in mind-wandering simply by asking participants 2 probes. Then, there were more on-task trials than mind-wandering trials, and this unbalanced number could lead to unreliable results. To mitigate the consequences of this problem, we did some complementary analyses: the on-task trials were randomly sampled at the individual level to equilibrate the numbers of trials between on-task and mind-wandering. We found similar results for activation, functional connectivity, and correlation (see Supplemental Information for details).
Conclusions
In this study, we depicted a relatively comprehensive picture of mind-wandering from the perspective of behavioral performance, brain activity, functional interaction, and the modular organization of brain networks. We explored the phenomenon of mind-wandering using a classical paradigm, SART. Consistent with previous studies, positive activation of the DMN and negative activation in the FPN and VS occurred during mind-wandering. Interestingly, the correlation between functional connectivity and behavioral performance indicated a key role in the interaction among functional networks. We found that the brain pattern was reconfigured with shifting from the state of on-task to that of mind-wandering. This is a recombined pattern of brain function with increased transitivity after turning attention from the external attention task. These results suggest that brain function is a process of regional integration in the brain, and this reassignment of brain function also occurs in a state-dependent manner that works in different situations. Mind-wandering has its own form of functional brain tissue.
Electronic supplementary material
Below is the link to the electronic supplementary material.
Acknowledgements
This research was supported by grants from the National Natural Science Foundation of China (31571111), the Chongqing Research Program of Basic Research and Frontier Technology (cstc2017jcyjAX0110) and the Fundamental Research Funds for the Central Universities (SWU1609109).
Compliance with Ethical Standards
Conflict of interest
The authors declare that the research was conducted in the absence of any commercial or financial relationships that could be construed as a potential conflict of interest.
References
- 1.Smallwood J, Schooler JW. The science of mind wandering: empirically navigating the stream of consciousness. Annu Rev Psychol. 2015;66:487–518. doi: 10.1146/annurev-psych-010814-015331. [DOI] [PubMed] [Google Scholar]
- 2.Song X, Wang X. Mind wandering in Chinese daily lives–an experience sampling study. PLoS One. 2012;7:e44423. doi: 10.1371/journal.pone.0044423. [DOI] [PMC free article] [PubMed] [Google Scholar]
- 3.Kane MJ, Brown LH, McVay JC, Silvia PJ, Myin-Germeys I, Kwapil TR. For whom the mind wanders, and when: an experience-sampling study of working memory and executive control in daily life. Psychol Sci. 2007;18:614–621. doi: 10.1111/j.1467-9280.2007.01948.x. [DOI] [PubMed] [Google Scholar]
- 4.Killingsworth MA, Gilbert DT. A wandering mind is an unhappy mind. Science. 2010;330:932. doi: 10.1126/science.1192439. [DOI] [PubMed] [Google Scholar]
- 5.Mason MF, Norton MI, Van Horn JD, Wegner DM, Grafton ST, Macrae CN. Wandering minds: the default network and stimulus-independent thought. Science. 2007;315:393–395. doi: 10.1126/science.1131295. [DOI] [PMC free article] [PubMed] [Google Scholar]
- 6.Christoff K, Gordon AM, Smallwood J, Smith R, Schooler JW. Experience sampling during fMRI reveals default network and executive system contributions to mind wandering. Proc Natl Acad Sci U S A. 2009;106:8719–8724. doi: 10.1073/pnas.0900234106. [DOI] [PMC free article] [PubMed] [Google Scholar]
- 7.Fox KC, Spreng RN, Ellamil M, Andrews-Hanna JR, Christoff K. The wandering brain: meta-analysis of functional neuroimaging studies of mind-wandering and related spontaneous thought processes. Neuroimage. 2015;111:611–621. doi: 10.1016/j.neuroimage.2015.02.039. [DOI] [PubMed] [Google Scholar]
- 8.Kucyi A, Esterman M, Riley CS, Valera EM. Spontaneous default network activity reflects behavioral variability independent of mind-wandering. Proc Natl Acad Sci U S A. 2016;113:13899–13904. doi: 10.1073/pnas.1611743113. [DOI] [PMC free article] [PubMed] [Google Scholar]
- 9.Smallwood J, Schooler JW. The restless mind. Psychol Bull. 2006;132:946–958. doi: 10.1037/0033-2909.132.6.946. [DOI] [PubMed] [Google Scholar]
- 10.Smallwood J, Beach E, Schooler JW, Handy TC. Going AWOL in the brain: mind wandering reduces cortical analysis of external events. J Cogn Neurosci. 2008;20:458–469. doi: 10.1162/jocn.2008.20037. [DOI] [PubMed] [Google Scholar]
- 11.Axelrod V, Rees G, Lavidor M, Bar M. Increasing propensity to mind-wander with transcranial direct current stimulation. Proc Natl Acad Sci U S A. 2015;112:3314–3319. doi: 10.1073/pnas.1421435112. [DOI] [PMC free article] [PubMed] [Google Scholar]
- 12.van Gaal S, Ridderinkhof KR, Scholte HS, Lamme VA. Unconscious activation of the prefrontal no-go network. J Neurosci. 2010;30:4143–4150. doi: 10.1523/JNEUROSCI.2992-09.2010. [DOI] [PMC free article] [PubMed] [Google Scholar]
- 13.Smallwood J. Distinguishing how from why the mind wanders: a process-occurrence framework for self-generated mental activity. Psychol Bull. 2013;139:519–535. doi: 10.1037/a0030010. [DOI] [PubMed] [Google Scholar]
- 14.Villena-Gonzalez M, Wang HT, Sormaz M, Mollo G, Margulies DS, Jefferies EA, et al. Individual variation in the propensity for prospective thought is associated with functional integration between visual and retrosplenial cortex. Cortex. 2018;99:224–234. doi: 10.1016/j.cortex.2017.11.015. [DOI] [PubMed] [Google Scholar]
- 15.McVay JC, Kane MJ. Conducting the train of thought: working memory capacity, goal neglect, and mind wandering in an executive-control task. J Exp Psychol Learn Mem Cogn. 2009;35:196–204. doi: 10.1037/a0014104. [DOI] [PMC free article] [PubMed] [Google Scholar]
- 16.Andrews-Hanna JR, Smallwood J, Spreng RN. The default network and self-generated thought: component processes, dynamic control, and clinical relevance. Ann N Y Acad Sci. 2014;1316:29–52. doi: 10.1111/nyas.12360. [DOI] [PMC free article] [PubMed] [Google Scholar]
- 17.Mittner M, Hawkins GE, Boekel W, Forstmann BU. A neural model of mind wandering. Trends Cogn Sci. 2016;20:570–578. doi: 10.1016/j.tics.2016.06.004. [DOI] [PubMed] [Google Scholar]
- 18.Seli P, Risko EF, Smilek D, Schacter DL. Mind-wandering with and without intention. Trends Cogn Sci. 2016;20:605–617. doi: 10.1016/j.tics.2016.05.010. [DOI] [PMC free article] [PubMed] [Google Scholar]
- 19.Andrews-Hanna JR, Kaiser RH, Turner AE, Reineberg AE, Godinez D, Dimidjian S, et al. A penny for your thoughts: dimensions of self-generated thought content and relationships with individual differences in emotional wellbeing. Front Psychol. 2013;4:900. doi: 10.3389/fpsyg.2013.00900. [DOI] [PMC free article] [PubMed] [Google Scholar]
- 20.Poerio GL, Sormaz M, Wang HT, Margulies D, Jefferies E, Smallwood J. The role of the default mode network in component processes underlying the wandering mind. Soc Cogn Affect Neurosci. 2017;12:1047–1062. doi: 10.1093/scan/nsx041. [DOI] [PMC free article] [PubMed] [Google Scholar]
- 21.Wang HT, Poerio G, Murphy C, Bzdok D, Jefferies E, Smallwood J. Dimensions of experience: exploring the heterogeneity of the wandering mind. Psychol Sci. 2018;29:56–71. doi: 10.1177/0956797617728727. [DOI] [PMC free article] [PubMed] [Google Scholar]
- 22.Fornito A, Harrison BJ, Zalesky A, Simons JS. Competitive and cooperative dynamics of large-scale brain functional networks supporting recollection. Proc Natl Acad Sci U S A. 2012;109:12788–12793. doi: 10.1073/pnas.1204185109. [DOI] [PMC free article] [PubMed] [Google Scholar]
- 23.Bassett DS, Yang M, Wymbs NF, Grafton ST. Learning-induced autonomy of sensorimotor systems. Nat Neurosci. 2015;18:744–751. doi: 10.1038/nn.3993. [DOI] [PMC free article] [PubMed] [Google Scholar]
- 24.Calhoun VD, Adali T, Pearlson GD, Pekar JJ. A method for making group inferences from functional MRI data using independent component analysis. Human Brain Mapping. 2001;14:140–151. doi: 10.1002/hbm.1048. [DOI] [PMC free article] [PubMed] [Google Scholar]
- 25.Smith SM, Fox PT, Miller KL, Glahn DC, Fox PM, Mackay CE, et al. Correspondence of the brain’s functional architecture during activation and rest. Proc Natl Acad Sci U S A. 2009;106:13040–13045. doi: 10.1073/pnas.0905267106. [DOI] [PMC free article] [PubMed] [Google Scholar]
- 26.Lei X, Zhao Z, Chen H. Extraversion is encoded by scale-free dynamics of default mode network. Neuroimage. 2013;74:52–57. doi: 10.1016/j.neuroimage.2013.02.020. [DOI] [PubMed] [Google Scholar]
- 27.Whitfield-Gabrieli S, Nieto-Castanon A. Conn: a functional connectivity toolbox for correlated and anticorrelated brain networks. Brain Connect. 2012;2:125–141. doi: 10.1089/brain.2012.0073. [DOI] [PubMed] [Google Scholar]
- 28.Rubinov M, Sporns O. Weight-conserving characterization of complex functional brain networks. Neuroimage. 2011;56:2068–2079. doi: 10.1016/j.neuroimage.2011.03.069. [DOI] [PubMed] [Google Scholar]
- 29.Christoff K, Irving ZC, Fox KC, Spreng RN, Andrews-Hanna JR. Mind-wandering as spontaneous thought: a dynamic framework. Nat Rev Neurosci. 2016;17:718–731. doi: 10.1038/nrn.2016.113. [DOI] [PubMed] [Google Scholar]
- 30.Andrews-Hanna JR. The brain’s default network and its adaptive role in internal mentation. Neuroscientist. 2012;18:251–270. doi: 10.1177/1073858411403316. [DOI] [PMC free article] [PubMed] [Google Scholar]
- 31.Kucyi A, Davis KD. Dynamic functional connectivity of the default mode network tracks daydreaming. Neuroimage. 2014;100:471–480. doi: 10.1016/j.neuroimage.2014.06.044. [DOI] [PubMed] [Google Scholar]
- 32.Buckner RL, Andrews-Hanna JR, Schacter DL. The brain’s default network: anatomy, function, and relevance to disease. Ann N Y Acad Sci. 2008;1124:1–38. doi: 10.1196/annals.1440.011. [DOI] [PubMed] [Google Scholar]
- 33.Hoffmann F, Banzhaf C, Kanske P, Bermpohl F, Singer T. Where the depressed mind wanders: Self-generated thought patterns as assessed through experience sampling as a state marker of depression. J Affect Disord. 2016;198:127–134. doi: 10.1016/j.jad.2016.03.005. [DOI] [PubMed] [Google Scholar]
- 34.Kanske P, Schulze L, Dziobek I, Scheibner H, Roepke S, Singer T. The wandering mind in borderline personality disorder: Instability in self- and other-related thoughts. Psychiatry Res. 2016;242:302–310. doi: 10.1016/j.psychres.2016.05.060. [DOI] [PubMed] [Google Scholar]
- 35.Strand J, Tidefors I. “If you’re not safe anywhere, you turn it inside yourself”: Narratives about childhood experiences told by 12 individuals diagnosed with psychosis. Psychosis. 2012;4:137–148. doi: 10.1080/17522439.2011.573084. [DOI] [Google Scholar]
- 36.Perkins AM, Arnone D, Smallwood J, Mobbs D. Thinking too much: self-generated thought as the engine of neuroticism. Trends Cogn Sci. 2015;19:492–498. doi: 10.1016/j.tics.2015.07.003. [DOI] [PubMed] [Google Scholar]
- 37.Miller EK. The prefrontal cortex and cognitive control. Nat Rev Neurosci. 2000;1:59–65. doi: 10.1038/35036228. [DOI] [PubMed] [Google Scholar]
- 38.Goulden N, Khusnulina A, Davis NJ, Bracewell RM, Bokde AL, McNulty JP, et al. The salience network is responsible for switching between the default mode network and the central executive network: replication from DCM. Neuroimage. 2014;99:180–190. doi: 10.1016/j.neuroimage.2014.05.052. [DOI] [PubMed] [Google Scholar]
- 39.Dixon ML, Fox KC, Christoff K. A framework for understanding the relationship between externally and internally directed cognition. Neuropsychologia. 2014;62:321–330. doi: 10.1016/j.neuropsychologia.2014.05.024. [DOI] [PubMed] [Google Scholar]
- 40.Phillips RC, Salo T, Carter CS. Distinct neural correlates for attention lapses in patients with schizophrenia and healthy participants. Front Hum Neurosci. 2015;9:502. doi: 10.3389/fnhum.2015.00502. [DOI] [PMC free article] [PubMed] [Google Scholar]
- 41.Ruby FJ, Smallwood J, Engen H, Singer T. How self-generated thought shapes mood–the relation between mind-wandering and mood depends on the socio-temporal content of thoughts. PLoS One. 2013;8:e77554. doi: 10.1371/journal.pone.0077554. [DOI] [PMC free article] [PubMed] [Google Scholar]
- 42.Stawarczyk D, Cassol H, D’Argembeau A. Phenomenology of future-oriented mind-wandering episodes. Front Psychol. 2013;4:425. doi: 10.3389/fpsyg.2013.00425. [DOI] [PMC free article] [PubMed] [Google Scholar]
- 43.Karapanagiotidis T, Bernhardt BC, Jefferies E, Smallwood J. Tracking thoughts: Exploring the neural architecture of mental time travel during mind-wandering. Neuroimage. 2017;147:272–281. doi: 10.1016/j.neuroimage.2016.12.031. [DOI] [PubMed] [Google Scholar]
Associated Data
This section collects any data citations, data availability statements, or supplementary materials included in this article.





