Abstract
The whiskey industry is dominated by whiskey styles with recipes that contain corn as the primary grain. However, little research has been conducted to investigate whiskey specific distinctions arising from different corn varieties and growing environments (i.e. terroir). Further, no studies have investigated the aroma or flavor impacts of different varieties and terroirs. Here, three different commodity yellow dent hybrid corn varieties were grown on different farms in Texas, spanning from the Texas Panhandle to the Mexico-United States border. Using novel small-batch mashing techniques, a newly developed new-make (i.e. unaged whiskey,immediate by-product of distillation) bourbon sensory lexicon, a trained sensory panel, high-performance liquid chromatography, and gas chromatography-mass spectrometry/olfactometry (GC-MS/O), we report for the first time a method for evaluating sample effects on alcohol yield and flavor in new-make bourbon whiskey. We discover that variety, terroir and their interactions, previously ignored, can substantially affect valuable sensory aspects of whiskey, suggesting the importance of scientifically evaluating corn genetics and agronomy for developing better whiskey. Excitingly, our data suggest milled corn with higher levels of benzadehyde, readily measured by GC-MS/O, correlates with improved sensory aspects of distillate, which must be expensively evaluated using a trained human sensory panel.
Introduction
The United States (US) whiskey industry is dominated by whiskey styles that by law must contain corn (Zea mays L.; commonly maize in much of the world) as the main fermentable substrate, or that by choice use corn as a substantial secondary ingredient. “Bourbon whiskey” (or simply “bourbon”), per the Standards of Identity for Distilled Spirits (Title 27, Part 5, Subpart C of the US Code of Federal Regulations), must contain at least 51% corn. However, most “bourbon” brands utilize 70–80% corn. “Corn whiskey”—a much less popular yet still important style—must contain at least 80% corn, with the barrel maturation process differentiating “bourbon” and “corn whiskey”. “Rye whiskey” was the most popular style during in the US throughout the 18th century, and it has seen a recent resurgence—largely due to the recent rise in Prohibition-era cocktails, which often utilized rye whiskey—after almost going extinct. This style must contain at least 51% rye, and many “rye whiskey” brands do indeed utilize near the minimum rye requirement, with corn making up anywhere from 30 to 40% of the recipe. “Wheat whiskey” follows the same trend as rye, in that wheat must be the majority grain, but corn is still present at a fairly high percentage.
Corn is a vital ingredient in many of the US’s most popular whiskeys, and the Canadian whiskey industry is similar in this aspect. Even though rye is often championed, 90% of the grain used by the Canadian whiskey industry is corn [1]. Being that corn is a grain native to North America, domesticated in Mexico [2,3], it is fitting that both the US and Canadian whiskey industries rely primarily on it as the fermentable substrate. In Scotland and Ireland, two of the largest national producers in the whiskey industry, barley grows favorably. Consequently, raw barley is the dominant grain in the Irish style known as “pot still whiskey”; and barley’s downstream derivative barley malt is the dominant grain for Scotch and Irish “malt whiskeys”. However, corn still has a place in these industries. Scotch and Irish “grain whiskeys”, which are the main component styles used to create Scotch and Irish “blended whiskeys”, were previously made primarily with corn. In the 1980s, wheat replaced corn in this facet [4]. However, the North British Distillery Company Ltd in Scotland—whose whiskey product is the main component of Johnnie Walker Scotch blended whiskeys (top selling Scotch whiskey worldwide) and Famous Grouse (top selling whiskey in Scotland, and top 10 worldwide)—still utilizes corn as their base ingredient (www.thenorthbritish.co.uk [obtained: June 2018]). Also, the Irish “blended whiskey” Jameson (top selling Irish whiskey worldwide) uses corn as the base for its grain whiskey component (www.jamesonwhiskey.com [obtained: June 2018]). Ultimately, although it might only be marketed in “bourbon” and “corn whiskey”, corn is one of the most prevalent grains in international whiskey production.
Although corn is such an important ingredient in whiskey production, there are few previous reports on how genetics (i.e. variety) and environmental factors (soil conditions, climate, topography, agronomic management, seasonal fluctuations; i.e. terroir) of corn impact alcohol yield and flavor in whiskey. An extensive literature search only resulted in the following reports, where [5] focused on agronomic yield relevant to whiskey distillation; and [6,7,8,9] focused on alcohol yield. To our knowledge, no studies have yet been conducted that investigate how corn variety and terroir impact whiskey flavor. In contrast, barley (and wheat, to a lesser extent) has been a more frequent subject of research, often with support from the Scotch whiskey industry (for a review on barley: [10]; for a review on wheat: [11]). Many of the past barley and wheat studies have focused on how variety and terroir impact agronomic yield. There are a few examples in the literature where alcohol yield was investigated [4,12,13,14,15,16] but none that we know of that have addressed flavor (although [17,18,19,20] did address flavor in regards to beer that was to be consumed before distillation). Further, there are some barley and wheat cultivars that were developed for (either solely or partly) the whiskey industry [10,11]. To date, there are no corn cultivars that have been developed or highlighted for whiskey production; however, the craft distilling movement has revitalized the use open-pollinated heirloom variesties, although this has not been based on science, these heirloom cultivars were not bred solely for alcoholic beverages.
Current protocol among nearly all large-scale bourbon distilleries is to utilize commodity yellow dent hybrid corn [1], which is commonly referred to as field corn. While large-scale distillers will specify a certain grade (at least #2 food grade in the US, which is a grade that requires certain quality standards set buy the United States Department of Agriculture) to ensure acceptable test weight, moisture level, foreign material, and broken/damaged kernels, they will not request a certain variety or a certain terroir. This is in part due to the fact that the logistics of large grain elevators—the main suppliers of grain for large-scale whiskey distilleries—do not readily allow one variety or terroir to be separated and stored until requested [21]. It is also, as previously explained, because a lack of scientific information on end-use differences of corn sources. Comparing this disregard for variety and terroir consideration to the wine industry, it would be analogous to winemakers deciding to make a red wine, and instead of requesting or growing a certain red grape cultivar (e.g. merlot, syrah, pinot noir, etc) and/or terroir (e.g. Napa, Bordeaux, Sonoma, etc.), they would only concern themselves with the color of the grape (red) and some general (but not flavor related) quality specifications. Winemakers, of course, do concern themselves with grape variety and terroir, and they label their wines accordingly. The diversity of flavors among wine grape cultivars is extensive, and therefore many wines are categorized and labeled as a varietal based on their grape cultivar (e.g. merlot). Those that are not labeled as a varietal are usually labeled by their terroir (e.g. Napa Valley, and perhaps even more specific, such as the St. Helena appellation within Napa Valley). And some wines are labeled by both the varietal and the terroir (e.g. Cabernet sauvignon from Napa Valley).
Even if whiskey distilleries did wish to utilize specific corn varieties from specific terroirs in an effort to achieve greater and more consistent alcohol yield and flavor, there has been no reported scientific evidence that the effort would produce desirable or meaningful results. Moreover, the scientific literature on the reduced genetic diversity of modern corn varieties might suggest the opposite, as they would not be expectedto harbor enough genetic variation for distinctions caused by variety and terroir to be realized. As desired agronomic performance traits—such as yield—were pursued in corn, the genetic variability of the species declined [22]. Reports indicate that the majority of recently developed corn inbred lines utilized in American breeding programs are products of a small, stratified, and closed germplasm base [23,24,25]. Additionally, US Corn Belt germplasm can be traced to a narrow range of populations from only two races—the Northern Flint and the Southern Dent [26,27].
Alcohol yield and flavor are quantitative traits [28,29], with many different genes and environmental stimuli influencing the final phenotype. Alcohol yield is primarily correlated with grain starch concentration, the starch composition (i.e. ratio and composition of amylose and amylopectin), and the starch’s propensity to by hydrolyzed by amylases into sugar during mashing [16]. Grain-derived flavors in whiskey can be introduced through multiple pathways. Different sugar, amino acid, and nutrient concentrations and compositions will impact the production of flavor compounds (referred to as congeners in the distilled spirits industry) by yeast during fermentation. Also, grain-derived compounds can undergo reactions (such as the Maillard reaction and Strecker degradation) during whiskey processing, which will ultimately deliver flavor compounds to whiskey. Lastly, secondary metabolites (such as pyrrolines, thiazolines, sulfides, lactones, esters, ketones, aldehyhdes, organic acids, indols, and other phytochemicals [30,31]) produced by grain can potentially impact whiskey flavor directly.
If genetic diversity is limited in the relevant pathways among modern yellow dent hybrids, then variety and terroir might not greatly influence alcohol yield and flavor in commodity yellow dent hybrid corn. Conversely, if there is still sufficient genetic diversity among these varieties, then both variety and terroir could have an impact on alcohol yield and flavor, as the relevant genes and how they respond to environmental stimuli would vary. Furthermore, it would be logical that the greater genetic diversity among varieties—for instance, from the other nearly 100 recognized races of corn that exist throughout the Americas [32] or 20,739 accessions in the USDA-ARS National Germplasm Repository [33]—might contain novel flavor profiles far beyond what is currently available in commodity yellow dent hybrid corn.
Ultimately, a specific variety of corn grown in a specific terroir will increase cost and require additional logistics if a distillery identified and wished to utilize it. It would require a distillery to identify a farmer(s) and identity preserve a silo(s), be it one that they build and operate, or one that is managed by a grain elevator. To justify such an endeavor, there must be ample evidence to show that corn variety and terroir can impact alcohol yield and whiskey flavor. This report investigates the variation in alcohol yield and whiskey flavor among three commodity yellow dent hybrids (commercially available varieties in 2016) grown in three to four different experimental field plots in Texas. Only terroirs within Texas (the 11th largest producer of corn in the U.S., USDA-NASS) were considered for this research because of the funder’s interest in sourcing local, Texas-grown corn. However, four very different environments across different regions within Texas were chosen (Table 1).
Table 1. Characteristics of different growing locations (i.e. terroirs).
| Farm Operation | County | Extension Districts | Soil Type | Planting date | Harvesting date | Plants hectare-1 | Irrigation | RW | Crop Rotation |
|---|---|---|---|---|---|---|---|---|---|
| Texas AgriLife Extension, Port Lavaca |
Calhoun | Coastal bend | Livia silt loam | 2/26/2016 | 8/3/2016 | 53,987 | Dryland | 38in | Grain sorghum |
| Rio Farms, Monte Alto | Hidalgo | South | Raymond-ville clay loam | 2/18/2016 | 7/21/2016 | 57,027 | Three times | 30 in | Soybeans |
| Sawyer Farms | Hill | Central | Houston black clay | Middle February | Middle August | 64,218 | Dryland | 76.2 | Wheat |
| Texas AgriLife Extension | Hansford | Panhandle | Perryton silty clay | 5/11/2016 | 10/11/2016 | 75,012 | Yes | 30in | Soybeans |
Ppop = Average plant population (Ppop) per hectare. RW = average row width in centimeters between rows. Sawyer Farms is the only commercial grower, with other locations being sites of the Texas A&M (TAMU) Corn Variety Testing Program [34].
The goal of this study was to understand the extent to which variety, terroir, and their interaction can impact alcohol yield and flavor across a wide range of commodity yellow dent varieties and terroirs. This would be infeasible to evaluate at a distillery scale so a repeatable small batch evaluation prodcedure first needed to be developed. Variety, terroir, and the interaction of these factors were treated as random effects so that the results can be extrapolated to more situations than just the three varieties and four terroirs considered here.
Materials and methods
Mash, beer, and new-make bourbon production and analyses
New-make samples (i.e. unaged whiskey that is the immediate by-product of distillation) were produced from three varieties of commodity yellow dent hybrid corn obtained from the Texas A&M Corn Variety Testing Program and also from one commercial grower. The three varieties (D57VP51—Dyna-Gro; 2C797—Mycogen Seed; REV25BHR26—Terral Seed) were grown in three different locations in 2016 (Texas AgriLife Extension, Calhoun County, Texas; Rio Farms, Hidalgo County, Texas; Sawyer Farms, Hill County, Texas); an additional location (Texas AgriLife Extension, Hansford County, Texas) was selected to grow one of the varieties (REV25BHR26—Terral Seed). The four terroirs were chosen in an attempt to highlight the diversity of environments in Texas, all within different districts of the Texas A&M AgriLife Extension Service, consisting of varying soil types and agronomic techniques (Table 1).
For the lab-scale milling, mashing, fermentation, and distillation processes, methods were aligned with a laboratory procedure previously developed by the Scotch Whisky Research Institute (SWRI), known to produce a new-make spirit that is comparable to that produced via industrial instrumentation and processes [35,6,36]. Where SWRI methods were created to mimic typical Scotch whisky grain distillery operations, our methods were adapted to more closely simulate typical bourbon whiskey distillery operations.
For processing each batch, whole corn kernel samples were initially sieved through a 0.48 cm round commodity hand sieve (Seedburo Equipment Company) to remove broken kernels. Foreign material and heat-damaged kernels were manually removed via inspection against white paper. The remaining kernels were then milled using a Victoria Plate Mill, and then sieved 3X through a 2000 micrometer screen to ensure that the milled grain was fine and consistent from batch-to-batch. A 3 L beaker was filled with 1750 g of carbon-filtered municipal water. A mechanical mixer (100W-LAB-SM, Gizmo Supply Co.) was used for agitation, and the temperature of the water was brought to 65°C using a 120V hot plate with infinite heat controls (CSR-3T, Cadco) set to medium. Then 448 g of milled corn and 2 mL of high-temperature alpha amylase (AHA-400, FermSolutions Inc.) were added to the beaker. A cover slip that still allowed the mechanical mixer to operate was placed on top of the beaker to prevent excessive evaporation. The temperature of the mash was brought to 85°C and held for 1.5 h. After incubation, an ice bath was used to indirectly cool the temperature of the mash to 32°C. Once 32°C was achieved, 1.5 mL of glucoamylase (GA-150, FermSolutions Inc.) was added. Immediately after, 0.26 g of active dry yeast (Species: Saccharomyces cerevisiae; Strain: RHB-422, F&R Distilling Co.’s proprietary strain) was added. The same strain was used for all batches, and the concentration of yeast used was based on standard inoculation rates for the whiskey industry, ensuring the role of other microbial organisms was minimal. The mash was further cooled to 24°C using an indirect ice bath and mixed for an additional 10 min. Using aseptic techniques, pH was recorded with a digital pH meter (pH 220C, EXTECH) and specific gravity was recorded using a digital density meter (SNAP 50 density meter, Anton Paar). Further, a 25 mL sample was removed and stored at -20°C for high performance liquid chromatography (HPLC) processing. Mixing was then halted, the mash was transferred to a 2.7 L Fernback flask that had been sanitized with Star-San (phosphoric acid based, no rinse sanitizer), and the flask was covered with flame sterilized aluminum foil. Fermentation proceeded for 120 h at room temperature, with pH and specific gravity recorded twice during fermentation, and also at the end of fermentation. Further, 25 mL samples were removed at the same time points and stored at -20°C for HPLC processing. Measurements for all 30 treatments were only recorded for Day 0 and Day 5. The treatments recorded for Day 1 (n = 17), Day 3 (n = 15), and Day 4 (n = 27) were chosen at random (Day 2 is not shown due to insufficient data). Three Day 5 outliers were identified based on discrepancies between alcohol yield and ethanol concentration. These outliers were removed from a portion of the analyses. The fermented mash, now called “beer”, was frozen at -20°C.
Specific gravity, a measure of density, provides an estimate of fermentable substrate (monosaccharides, disaccharaides, and trisaccharides) and unfermentable substrate (dextrin and starch) yielded via the mashing process (Day 0), the level of attenuation (i.e. the conversion of sugars into alcohol and carbon dioxide by yeast) throughout fermentation (Day 1–4), and the level of attenuation at the end of fermentation (Day 5). The specific gravity (or other corresponding measures of density, such as brix and plato) is one of the most common measurements taken in a distillery, and it is especially important to measure after mashing and during fermentation, as it provides quick and robust insight into process efficiencies. However, specific gravity is ultimately tied to soluble dextrins and sugars, which is why we also conducted follow-up HPLC analyses to quantify these compounds individually.
Beer was rapidly thawed, and 1.65 L was added to the stripping still, which was a stainless steel still with an air fan cooled condenser and an electric, indirect heating element (Air Still, Still Spirits). Distillation proceeded until 550 mL of distillate (termed “low-wines”) was collected in a grade A volumetric flask. The alcohol concentration by volume of the low-wines was measured using a density meter (DMA 5000 M, Anton Paar). Using weight, low-wines were diluted to the desired alcohol concentration with the addition of water. The spirit still, which was a copper alembic style still with a worm coil condenser and no innate heating element (heat was be supplied using the Cadco CSR-3T 120V hot plate with infinite heat controls and set to medium for the spirit run), was charged with 500 mL of low-wines. The condenser was filled with ice water. Distillation commenced, and the first 25 mL of distillate (termed the “heads”) was collected using a grade A volumetric flask. Using a different grade A volumetric flask, the next 100 mL of distillate (termed the “hearts”) was then collected. The condenser was monitored to ensure the temperature of the distillate was consistent from batch-to-batch. The hearts distillate was then stored in Boston round glass bottles with inert caps at room temperature until further processing.
Both stills were cleaned throughout the experiment according to the following methods in order to ensure that the organic residue was not carried-over from batch-to-batch, as well as to ensure that the impact of copper would be consistent from batch-to-batch. These methods were also developed with guidance from the Scotch Whisky Research Institutue. Before experiment commencement and after at least every 3rd distillation, the stainless stripping still was cleaned by distilling 2% (80 mL of 50% caustic topped off to 2 L) caustic solution (50286, Chemstation) for 30 min, then scrubbed with an abrasive pad, and finally washed thoroughly with RO water. Before commencement and after at least every 3rd distillation, the copper spirit still was cleaned by distilling 2% (40 mL of 50% caustic topped off to 1 L) caustic solution (50286, Chemstation) for 15 min. The heat was then turned off and the caustic was soaked for an additional 15 min, after which the still pot and swan neck were scrubbed with an abrasive pad and washed thoroughly with RO water.
This experimental design resulted in ten treatments (3 corn varieties x 3 terroirs + 1 corn variety/1 terroir [REV25BHR26 from Hansford County, TX]), and each treatment was processed in biological triplicates, creating 30 batches total.
HPLC analysis of mash and beer
HPLC was used to detect compounds DP4+ (dextrins), DP3 (maltotriose), maltose, glucose, lactic acid, glycerol, acetic acid, and ethanol in mash and beer samples at various time points. Each of the 30 batchs were analyzed at various timepoints with HPLC, with each timepoint being analyzed in triplicates. The HPLC triplicates were assessed to ensure the relative standard deviation was below 0.5%, and then averaged to achieve a final value for statistical analysis. Standards were run before every monitored timepoint. The standard for the HPLC was Ethanol Industry HPLC Standard (Midland Scientific Inc., La Vista, NE, USA), and includes the following compounds: DP4+ (dextrins), DP3 (maltotriose), maltose, glucose, lactic acid, glycerol, acetic acid, and ethanol.
All HPLC analyses in this study were executed as described previously [37]. Briefly, samples were centrifuged at 4000 x g using a desktop centrifuge, and then filtered through a 0.22-μm membrane filter. An autosampler vial containing at least 0.5 mL of the sample was analyzed by HPLC using a Shimadzu LT-20AT (Shimadzu USA, Canby, OR). The separations were carried out using a Rezex ROA-Organic Acid H+ 8% (300×7.8 mm, 5 μm, Phenomenex, Torrance, CA, USA). The HPLC analysis was performed in isocratic mode with a mobile phase of 0.005 N sulfuric acid using vacuum sealed, pre-made solvent (Chata Biosystems). The analytes were detected by refractive index (RID-20A, Shimadzu USA, Canby, OR).
New-make bourbon and corn kernel descriptive sensory analysis
A human sensory panel was used in this research. All participants signed a written consent form after being walked through their rights as participants, and the Texas A&M institutional review board specifically approved the study (IRB Number: IRB2016-0842M).
A whiskey lexicon was developed based on 28 commodity spirits (14 whiskeys from different grain origins, 15 miscellaneous spirits) and 21 new-make spirits. The focus was on whiskey and new-make whiskey, but other miscellaneous spirts (cachaça, vodka, rum, ouzo, vermouth, gin, Sambuca, flavored liqueurs, triple sec, and amaretto) were used to cover attributes not commonly found in whiskey or new-make spirits. Other sources used to develop attributes were from new-make spirit published literature [38,39,40,41,42,43, 44,45,46,47,48,49,50,51,52,53] and existing, published lexicons [54,55] to encompass alcohol and spirits, but the developed lexicon focused on flavors and aromas found in new-make bourbon. New-make bourbon and corn were evaluated by a 7-member, expert trained whiskey aroma descriptive attribute panel that has over 20 years of experience in descriptive sensory attribute evaluation across food products. Aroma analysis allows for a nearly full assessment of a whiskey’s flavor, negating any effects of alcohol ingestion, and therefore is the main form of sensory evaluation used in the industry [56]. This panel helped develop and was trained using the new-make bourbon lexicon for 31 days, on various attributes as described in Table 2, followed by a validation trial prior to testing. Following the completion of the new-make bourbon samples, panelists trained for 3 days on corn samples using the new-make bourbon lexicon. Whiskey and corn aroma attributes were measured using a new-make bourbon lexicon (0 = none and 15 = extremely intense) that was specifically developed for this research. After training was complete, panelists were presented three to four new-make samples per day for 8 days, and six corn samples a day for 5 days in a two-hour session. Panelists evaluated new-make samples individually, and reached consensus on attributes and intensities. Prior to the start of each trained panel corn evaluation day, panelists were calibrated using one orientation or “warm up” sample that was evaluated and discussed orally. After evaluation of the orientation sample, panelists were served the first sample of the session and asked to individually rate the sample for each corn/new-make bourbon aroma lexicon attribute. References were available at all times during training and evaluation. Steamed cotton towels were available for cleansing the nasal palette during evaluation of samples. New-make samples were prepared no more than 30 minutes prior to serving by diluting the new-make bourbon (~125 proof, 62.5% alcohol by volume) with double-distilled water to testing strength used in the industry (40 proof, 20% alcohol by volume [56]). Each panelist was served 8 mL of the diluted sample in a nosing glass (grappa or tulip glass), with a watch glass to concentrate volatiles. Corn samples were ground one hour prior to serving. Each panelist was served 10 g of milled corn sample in a medium snifter glass covered with a watch glass to concentrate volatiles. Samples were identified with random three-digit codes and served in random order.
Table 2. New-make bourbon lexicon.
| Aroma | Description | Reference Scale | Reference Preparation |
|---|---|---|---|
| AROMA FACTORS | |||
| Alcohol | A colorless, pungent, chemical-like aromatic associated with distilled spirits or grain products. | 5.0: Absolut Vodka (40% ABV) | Dilute 16 mL of Absolut Vodka in 64 mL of distilled water. Serve 15 mL in a snifter. Cover. |
| 8.0: Barsol Pisco (41.3% ABV) |
Serve 15 mL of Barsol Pisco Spirit in a snifter. Cover. | ||
| 10.0: Grain Neutral Spirit (60%) | Dilute 100 g of 190 proof neutral spirit in 77.25 g of distilled water. Serve 15 mL in snifter. Cover. | ||
| 12.0: Grain Neutral Spirit (90% ABV) |
Serve 15 mL of 190 proof neutral spirit in snifter. Cover. | ||
| Anise | A colorless, pungent, chemical-like aromatic associated with distilled spirits or grain products. | 7.5: Anise Seed | Place ½ teaspoon of McCormick’s anise seed in a snifter. Cover. |
| Banana | Aromatic characteristic of ripe bananas. | 10.0: Banana Extract | Place 1 drop of banana extract on a cotton ball. Serve in snifter glass. Cover. |
| Barnyard | Aromatic characteristic of livestock animal housing. | 6.0: McCormick’s Ground White Pepper | Place ½ teaspoon of white pepper in 1 ounce of distilled water. |
| Blended | The melding of individual sensory notes such that the products present a unified overall sensory experience as opposed to spikes or individual notes. | 3.0: Absolut Vodka (40% ABV) |
Dilute 16 mL of Absolut Vodka in 64 mL of distilled water. Serve 15 mL in a snifter. Cover. |
| 5.0: McCormick Gin (40% ABV) |
Serve 15 mL of McCormick Gin in a snifter. Cover. | ||
| 10.0 Tanqueray Gin (47.3% ABV) |
Serve 15 mL Tanqueray Gin in a snifter. Cover. | ||
| Brown Spice Complex | The sweet, brown aromatic associated with spices such as cinnamon, clove, nutmeg, and allspice. | 3.0: Cinnamon Stick | Place 1 cinnamon stick (1/2 teaspoon) in a 2-ounce glass jar with screw-on type lid. |
| 7.0: Whole Nutmeg & Clove Bud | Place 1 whole nutmeg (2 teaspoons) and 3 clove buds (1/4 teaspoon) in a 2-ounce glass jar with screw-on type lid. | ||
| Brown Sugar | A rich, full, round, sweet aromatic impression characterized by some degree of darkness. | 6.0: C&H Pure Cane Sugar, Golden Brown |
Place 1 teaspoon brown sugar in a snifter. Cover. |
| Burnt | The dark brown impression of an over-cooked or over-roasted product that can be sharp, bitter, and sour. | 4.5: Benzyl Disulfide |
Place 0.1 gram of benzyl disulfide in a covered soufflé cup. |
| 8.0: Puffed Wheat Cereal | Serve 1 tablespoon of cereal in a covered soufflé cup. | ||
| Buttery | Aromatic associated with fresh butter fat, sweet cream. | 5.0: McCormick Extract | Place 1 drop of coconut extract on a cotton ball. Serve in snifter glass. Cover. |
| 7.0: Land O’Lakes Unsalted Butter | Place ½ tablespoon in a covered snifter. | ||
| Butyric | An aroma associated with butyric acid, cheesy, also sickly. | 6.0: Butyric Acid | Place 1 drop of butyric acid to a cotton ball. Serve in a snifter glass. Cover. |
| Caramel | A round, full-bodied, medium brown, sweet aromatic associated with cooked sugars and other carbohydrates. Does not include burnt or scorched notes. | 8.0: Le Nez du Café no.25 “caramel” | Place 1 drop of essence on a cotton ball in a soufflé cup. Cover. |
| Cardboard/Paper-like | The aromatic associated with cardboard or paper packaging. | 3.0: White Napkin | Place a 2-inch napkin piece in a soufflé cup. |
| 7.5: Cardboard |
Cut a 2-inch square of cardboard. Place in a covered soufflé cup. | ||
| Coconut | The slightly sweet, nutty, somewhat woody aromatic associated with coconut. | 7.5: McCormick Extract | Place 1 drop of coconut extract on a cotton ball. Serve in snifter glass. Cover. |
| Coffee | An aroma note associated with coffee. | 3.0: Werther’s Coffee | Place a single, unwrapped Werther’s Coffee Flavored Caramel in a snifter. Cover. |
| 8.0: Folgers Instant Coffee Crystals | Place 1/8 of a teaspoon of Folgers Instant Coffee Crystals. | ||
| Corn | An aroma note associated with corn. | 5.0: Canned corn | Drain and rinse canned corn and serve in soufflé cup. |
| 8.0: Amoretti Sweet Corn Essence | Place 1 drop of Amoretti Sweet Corn Essence on cotton ball and place in soufflé cup. | ||
| Fermented/Yeasty | The pungent, sweet, slightly sour, sometimes yeasty, alcohol-like aromatic characteristic of fermented fruits or sugar or over-proofed dough. | 5.0: Guinness Extra Stout Beer | Serve 15 mL Guinness Extra Stout Beer in a covered glass. |
| Fruity-Berry | The sweet, sour, floral, sometimes heavy aromatic associated with a variety of berries such as blackberries, raspberries, blueberries, or strawberries. | 3.0: Captain Morgan Rum | Serve 15 mL in a covered glass. |
| 6.0: Tropicana Berry Juice | Serve 15 mL in a covered glass. | ||
| 10.0: Private Selection Triple Berry Preserves | Place 1 teaspoon of jelly in a medium snifter. Cover. | ||
| Fruity-Citrus | A citric, sour, astringent, slightly sweet, peely, and somewhat floral aromatic that may include lemons, limes, grapefruits, or oranges. | 4.5: Lemon peel + lime peel | Put 0.5 grams lemon peel and 0.5 grams lime peel in a medium snifter. Cover. |
| 7.5: Grapefruit peel | Put 0.25 grams grapefruit peel in a medium snifter. Cover. | ||
| Fruity-Dark | An aromatic impression of dark fruit that is sweet and slightly brown and is associated with dried plums and raisins. | 3.0: Sunsweet Amaz!n Prune Juice | Mix 1 part juice with 2 parts water. This may be prepared 24 hours in advance and refrigerated. Bring to room temperature. |
| 4.5: Sun-Maid Prunes | Chop 1/2 cup prunes. Add ¾ cup of water and cook in microwave on high for 2 minutes. Filter with a sieve. Place 1 tablespoon of juice in a medium snifter. Cover. | ||
| 6.0: Sun-Maid Raisins | Chop 1/2 cup of raisins. Add ¾ cup water and cook in microwave on high for 2 minutes. Filter with a sieve. Place 1 tablespoon of liquid juice in a medium snifter. Cover. | ||
| Fruity-Other | A sweet, light, fruity, somewhat floral, sour, or green aromatic that may include apples, grapes, peaches, pears, or cherries. | 5.0: Le Nez du Café n. 17 “apple” | Place 1 drop on a cotton ball in large snifter. Cover. |
| 9.0: Effen Black Cherry Vodka | Serve 15 mL in a covered glass. | ||
| Fishy | Aromatic associated with trimethylamine and old fish. | 7.0: Canned tuna | Place 1 gram of tuna from can in a covered soufflé cup. |
| Floral | A sweet, light, slightly fragrant aromatic associated with flowers. | 6.0: Welch’s 100% White Grape Juice | Mix 1 part water and 1 part juice. Place 15 mL of mixture in a snifter. Cover. |
| 8.0: Le Nez du Café n.12 “coffee blossom” | Place 1 drop of Le Nez du Café essence on a cotton ball in a snifter. Cover. | ||
| Grain Complex | The light brown, dusty, musty, sweet aromatic associated with grains. | 5.0: Rice & Wheat | Blend ½ cup of Rice Chex and ½ cup of Post Shredded Wheat in a food processor. Serve 1 tablespoon in a snifter. Cover. |
| 8.0: Georgia Moon Corn Whiskey | Serve 15 mL in a snifter. Cover. | ||
| Green | An aromatic characteristic of fresh, plant-based material. Attributes may include leafy, viney, unripe, grassy, and peapod. | 9.0: Parsley water | Rinse and chop 25 grams of fresh parsley. Add 300 milliliters of water. Let sit for 15 minutes. Filter out the parsley. Serve 1 tablespoon of the water in a snifter. Cover. |
| Hay-like | The lightly sweet, dry, dusty aromatic with slight green character associated with dry grasses. | 7.5: McCormick Parsley Flakes | Place 1 teaspoon of flakes in a medium snifter. Cover. |
| Herb-like | The aromatic commonly associated with green herbs that may be characterized as sweet, slightly pungent, and slightly bitter. May or may not include green or brown notes. | 3.0: McCormick Bay Leaves, ground thyme, basil leaves | Mix together 0.5 grams of each herb. Break the bay leaves into smaller pieces with your hands first, and then grind all the herbs together using a mortar and pestle. Add 100 milliliters of water. Mix well. Put 5 milliliters of herb water in a medium snifter, and add 200 milliliters of water. Serve 1 oz. in soufflé cup. |
| 10.0: McCormick Bay Leaves, ground thyme, basil leaves | Mix together 0.5 grams of each herb. Break the bay leaves into smaller pieces with your hands first, and then grind all the herbs together using a mortar and pestle. Add 100 milliliters of water. Mix well. Serve 1 oz. in soufflé cup. | ||
| Honey | Sweet, light brown, slightly spicy aromatic associated with honey. | 6.0: Busy Bee Pure Clover Honey | Dissolve 1 tablespoon of honey in 250 mL of distilled water. Serve 15 mL in snifter. Cover. |
| Lactic Acid | A sour aroma note associated with lactic acid. | 5.0: Buttermilk | Serve 1 oz. buttermilk in soufflé cup. |
| 8.0: Sauerkraut | Serve 5 g sauerkraut in soufflé cup. | ||
| Leather | An aromatic associated with tanned animal hides. | 3.0: Leather Shoe Lace | Place a 3-inch length of leather shoe lace in a covered snifter. |
| 10.0: Hazels Gifts Leather Essence | Place 2 drops on a cotton ball in a covered snifter. | ||
| Malt | The light brown, dusty, musty, sweet, sour and or slightly fermented aromatic associated with grains. | 3.5: Post Grape Nut Cereal | Serve Post Grape-Nut Cereal in a covered snifter. |
| 6.0: Carnations Malted Milk | Place ½ teaspoon in a covered snifter. | ||
| Medicinal | A clean, sterile aromatic characteristic of antiseptic-like products such as Band-Aids, alcohol, and iodine. | 6.0: Le Nez du Café no. 35 “medicinal” | Place 1 drop of essence on a cotton ball in a soufflé cup. |
| 8.0: Tanqueray Gin | Serve 15 mL of Tanqueray Gin in covered glass. | ||
| 12.0: Iodine | Serve 1:1 iodine and distilled water solution in a covered glass (50 mL iodine tincture, 50 mL distilled water. | ||
| Mint | An aromatic with mint family (sweet, green, and menthol). | 4.0: Absolut Vodka/Mint Gum | Place 3 stick of mint gum in 150 mL of Absolut Vodka and let steep for 30 minutes. Serve 15 mL Absolut Vodka in covered glass. |
| 8.0: Listerine | Serve in a covered snifter. | ||
| Molasses | An aromatic associated with molasses; has a sharp, slight sulphur and/or caramelized character. | 6.5: Black Strap Molasses |
Mix 2 teaspoons of molasses in 250 milliliters of water. Serve ¼ cup in a mason jar. Cover. |
| Musty/Dusty | The aromatic associated with dry, closed-air spaces such as attics and closets. May have elements of dry, musty, papery, dry soil, or grain. | 5.0: Kretschmer Wheat Germ | Serve 1 tablespoon wheat germ in a medium snifter. Cover. |
| 10.0: 2,3,4-Trimethoxybenzaldehyde | Place 0.1 gram in a medium snifter. Cover. | ||
| Musty/Earthy | The somewhat sweet, heavy aromatic associated with decaying vegetation and damp, black soil. | 3.0: Mushrooms | Place 2, washed 1/2 –inch cubes in a covered snifter. |
| 9.0: Miracle Gro Potting Soil | Fill a 2-ounce glass jar half full with potting soil and seal tightly with screw-on type lid. | ||
| 12.0: Le Nez du Café no. 1 “earthy” | Place 1 drop of essence on a cotton ball in a large snifter. Cover. | ||
| Nutty | A slightly sweet, brown, woody, oily, musty, astringent, and bitter aromatic commonly associated with nuts, seeds, beans, and grains. | 7.5: Le Nez du Café no. 29 “roasted hazelnut” | Place 1 drop of essence on a cotton ball in a covered glass. |
| 9.0: Almont/Walnut Puree | Puree the almonds and walnuts separately in blenders for 45 seconds on high speed. Combine equal amounts of the chopped nuts. Serve in a covered glass. | ||
| Oily | An overall flavor term for the aroma and flavor notes reminiscent of vegetable oil or mineral oil products. | 9.0: Vegetable Oil | Serve vegetable oil in a covered glass. |
| Overall Sweet/Sweet Aromatics | The perception of a combination of sweet substances and aromatics. | 3.0: Vanillin | Mix 0.5 g of vanillin into 250 mL of water in covered snifter. |
| 5.0: Vanillin | Mix 2 g of vanillin into 250 mL of water in covered snifter. | ||
| Overall Sour/Sour Aromatics | An aromatic associated with the impression of a sour product. | 2.0: Bush’s Pinto Beans, canned | Drain and rinse with distilled water, 1 tbsp. placed in covered snifter. |
| 5.0: Buttermilk | Serve 1 oz. buttermilk in a covered glass. | ||
| Pepper | The spicy, pungent, musty, and woody aromatic characteristic of ground black pepper. | 13.0: McCormick Ground Black Pepper | Place ½ teaspoon pepper in a medium snifter. Cover. |
| Rancid | Aromatic associated with oxidized fats and oils. | 5.0: Vegetable oil (oxidized/rancid) | Keep oil in an open container or a warm storage place for 1 week. Place 1 oz. rancid oil in covered glass. |
| Roast | Dark brown impression characteristic of products cooked to a high temperature by dry heat. Does not include bitter or burnt notes. | 6.0: Le Nez du Café no. 34 “Roasted Coffee” | Place one drop on cotton ball. Place in covered glass. |
| Smokey | An acute, pungent aromatic that is a product of the combustion of wood, leaves, or a non-natural product. | 6.0: Diamond Smoked Almonds | Place 5 almonds in a covered snifter. |
| Soapy | An aroma associated with unscented soap. | 6.5: Ivory Soap Flakes | Place 0.5 g bar soap in 100 ml of room temperature water. Serve in large snifter, covered snifter. |
| Solvent-like | General term used to describe many classes of solvents, such as acetone, turpentine, chemical solvents, etc. | 5.0: Acetone solution | Dilute 10 mL acetone in 100 mL distilled water until dissolved, and serve in 2 oz. soufflé cup. Cover. |
| 8.0: Lighter fluid solution | Dilute 10 mL of lighter fluid in 100 mL distilled water until dissolved, and serve in 2 oz. soufflé cup. Cover. | ||
| Stale | The aromatic characterized by a lack of freshness. | 4.5: Mama Mary’s Gourmet Original Pizza Crust | Serve cut a 2-inch square of crust and serve in soufflé cup. Cover. |
| Sulphur | Aromatic associated with hydrogen sulfide, rotten egg. | 3:0: Bush’s Pinto Beans | Drain and rinse the beans. Serve 1 tbsp. in a covered glass. |
| 11.0: Dimethyl Trisulfide | Dilute 1 ml of dimethyl trisulfide in 100 ml distilled water until dissolved, and serve in 2 oz. soufflé cup. Cover. | ||
| 15.0: Dimethyl Trisulfide | Place 1 drop of dimethyl trisulfide on a cotton ball. Serve in a soufflé cup. Cover. | ||
| Tobacco | The brown, slightly sweet, slightly pungent, fruity, floral, spicy aromatic associated with cured tobacco. | 5.0: Le Nez du Café no. 33 “pipe tobacco” | Place 1 drop of essence on a cotton ball in a large snifter. Cover. |
| 7.0: Marlboro Cigarettes, southern cut | Break cigarette and place 0.1 grams tobacco in a medium snifter. Cover. | ||
| Vanilla | A woody, slightly chemical aromatic associated with vanilla bean, which may include brown, beany, floral, and spicy notes. | 2.5: Le Nez du Café no.10 “vanilla” | Place 1 drop of Le Nez du Café essence on a cotton ball in a snifter glass. Cover. |
| 5.5: Spice Islands Bourbon Vanilla Bean | Place 0.5 gram chopped vanilla beans in a snifter glass. Cover. | ||
| Vinegar | A sour, astringent, slightly pungent aromatic associated with vinegar or acetic acid. | 2.0: 0.5% acetic acid solution | Dilute 5 mL distilled white vinegar in 1000 mL distilled water. Serve in soufflé cup. Cover. |
| 3.0: 2.0% acetic acid solution | Dilute 20 mL of white distilled vinegar in 1000 mL distilled water. Serve in soufflé cup. Cover. | ||
| Woody | The sweet, brown, musty, dark aromatic associated with a bark of a tree. | 4.0: Diamond Shelled Walnuts | Serve 1 tablespoon of chopped walnuts in a snifter. Cover. |
| 7.5: Popsicle Sticks | Break popsicle sticks in two and place in snifter. Cover. | ||
| NASAL FEELING FACTORS | |||
| Nose Cooling | The chemical feeling factor or sensation of cooling in the nasal passages when sniffing. | 6.0: Tanqueray Gin | Serve 15 mL in covered glass. |
| 8.0: Listerine solution |
Mix 1:1 dilution Listerine and distilled water; serve in soufflé cups. | ||
| 12.0: Listerine | Serve 1 oz. in a covered glass. | ||
| Nose Drying | The chemical feeling factor or sensation of drying in the nasal passages when sniffing. | 4.0: Barrelstone Cellars Merlot, 2013 | Serve 15 mL Barrelstone Cellars Merlot 2013 in covered glass |
| 6.0: Grain Neutral Spirit (60% ABV) | Add 100 g of Grain Neutral Spirit to 77.25 g distilled water; serve in covered glass. | ||
| 8.0: Unscented Hand Sanitizer | Serve 1 oz. in a covered glass. | ||
| Nose Warming | Chemical feeling factor described as a warmth or burning sensation in the nasal passages occurring when sniffing. | 3.0: Barrelstone Cellars Merlot, 2013 | Serve 15 mL Barrelstone Cellars Merlot 2013 in covered glass. |
| 7.0: TX Blended Whiskey (41% ABV) | Serve 15 mL F&R TX Whiskey Blend in covered glass. | ||
| 9.0: Grain Neutral Spirit (60% ABV) | Add 50 g of Grain Neutral Spirit to 79.8 g distilled water; serve in covered glass. | ||
| 12.0: Grain Neutral Spirit (60% ABV) | Add 100 g of Grain Neutral Spirit to 77.25 g distilled water; serve in covered glass. | ||
| Prickle/Pungent | A feeling factor that can range from tingling or irritating, sharp, physically penetrating sensation of the nasal cavity. | 5.0: Horse Radish Solution | Serve 1/8 teaspoon in a covered glass. |
| 7.0: Captain Morgan Rum | Serve 15 mL Captain Morgan in a covered snifter. | ||
| 9.0: McCormick Ground Black Pepper | Serve ½ teaspoon cracked pepper in a covered glass. | ||
| 10.0: Horse Radish Sauce solution | Mix 5 g horseradish sauce in 30 mL distilled water; serve 1 oz. in labeled soufflé cups. | ||
New-make bourbon and corn congener identification and quantification
Volatiles were captured from the same new-make bourbon and corn samples evaluated by the expert, trained descriptive panel. After samples were prepared for panelists, approximately 80 g of new-make bourbon and 40 g of corn were placed in glass jars (473 mL, new-make; 236 mL, corn) with a Teflon lid under the metal screw-top to avoid off-aromas. The headspace was collected with a solid-phase micro-extraction (SPME) portable field sampler (Supelco 504831, 75 μm Carboxen/ polydimethylsiloxane, Sigma-Aldrich, St. Louis, MO, USA). The headspace above each new-make and corn sample in the glass jar was collected for 2 hours for each sample at room temperature at approximately 21°C; new-make samples were mixed at low speeds on a laboratory stirrer hot plate (Model P.C.- 351,120 V, Corning Glass Works, Corning, NY, USA).
Volatiles were evaluated using a gas chromatograph/mass spectrometer system with dual sniff ports for characterization of aromas (GC-MS/O). This technology provided the opportunity to separate individual volatile compounds, identify their chemical structure and characterize the aroma/flavor associated with the compound. Upon completion of collection, the SPME was injected in the injection port of an Agilent Technologies (Santa Clara, CA, USA) 7920 series GC where the sample was desorbed at 280°C. The sample was then loaded onto the multi-dimensional gas chromatograph into the first column (30m X 0.53mm ID/ BPX5 [5% Phenyl Polysilphenylene-siloxane] X 0.5 μm, SGE Analytical Sciences, Austin, TX, USA). The temperature started at 40°C and increased at a rate of 7°C/minute until reaching 260°C. Upon passing through the first column, compounds were sent to the second column ([30m X 0.53mm ID; BP20- Polyethylene Glycol] X 0.50 μm, SGE Analytical Sciences, Austin, TX, USA). The gas chromatography column then split into three different columns at a three-way valve with one going to the mass spectrometer (Agilient Technologies 5975 Series MSD, Santa Clara, CA) and two going to the two humidified sniff ports with glass nose pieces heated to 115°C. The sniff ports and software for determining flavor and aroma were part of the AromaTrax program (MicroAnalytics-Aromatrax, Round Rock, TX, USA). The GC-MS/O set-up could host two operators, and to keep a human variable constant, the same two operators always evaluated the volatiles. These two flavor chemistry research technicians underwent sensory training using the lexicon developed here; were trained on aroma identification, quantification, and GC-MS/O operation; and had previously analyzed over 500 hours of GC-MS/O samples. Each operator was trained to accurately use the Aromatrax software to indicate where an aroma event was present. Only those volatile compounds that were present during an aroma event (where any detectable aroma was present at the sniff port) were kept for analysis. Aroma identity was not collected for each of the volatile compounds.
The MS detected ions within 35–300 m/z range in the electron impact mode at 70 eV. Chromatography data was collected in the scan mode (Agilent MSD Chemstation E.02.02.1431 software, Agilent Technologies, Santa Clara, CA, USA). Volatile compounds with at least 1200 total ion counts (area under the curve) and a quality score above 75 (based on its match to the NIST library) and were present during an aroma event were kept for analysis. Units of measure were total ion count (TIC) area under the curve and compound identity was based on the NIST library. For verification of volatile compound identification (via retention times) and quantification, alkane standards (C7 to C30; Catalog #49451-U; Sigma Aldrich, St. Louis, MO, 63103) were run prior to and after experimental samples to verify the retention times and concentrations were consistent among samples.
Proximate analysis of corn kernels
Proximate analysis of corn samples were determined from each variety x terroir treatment. Fourier Transform Near-Infrared Reflectance (FT-NIR) Spectroscopy was used for predicted values of protein, starch, and lipid of the corn samples. Whole kernels and ground corn samples were evaluated with a Thermo Scientific Antaris II FT-NIR (Thermo Fischer Scientific) using a sample spinner cup that held approximately 175g of whole kernel corn. Preparation of ground samples was as described previously [57]. Approximately 175 grams of each corn sample were ground to 2 mm using a Polymix PX-MFC 90 D mill (Kinematica Ag, Eschbach, Germany) and further ground using a Cyclone sample mill (UDY Corporation, Fort Collins, CO, USA) to 1-mm fineness. The first set of 10 whole corn samples were run in triplicate with 128 scans and 10 ground corn samples were run in triplicate with 64 scans at ambient temperature. Reflectance measurements were taken by using a rotating cup that holds approximately 175g of corn over the instrument’s integrating sphere module. Approximately, 3000 points across the spectrum, every 4 wave numbers, were collected for each sample scanned at a spectral range between 10,000 to 4,000 cm-1. The predictions were made with calibrations created using primarily Texas grown corn and wet chemistry performed by Ward Laboratories (Kearny, NE, USA). Whole and ground kernel calibrations were developed using the same samples, ground kernel calibrations are better but are also destructive to the grain.
Statistical analyses
The goal was to attribute variability to variety, terroir, the interaction of these effects, as we were attempting to draw conclusions for possible levels of Texas terroirs and possible levels of commercial yellow dent hybrids. Our interest was not solely concerned with the levels of Hansford County, Hidalgo County, Hill County, and Calhoun County for terroir; or the levels of D57VP51—Dyna-Gro, 2C797—Mycogen Seed, and REV25BHR26—Terral Seed for variety. Therefore, the data was analyzed as a completely randomized design, using variety, terroir, and their interaction as random effects for all Restricted Maximum Likelihood (REML) models using JMP12 (SAS Institute, Inc. Cary, NC, USA). Variance components and percent of total variance were obtained from these REML analyses, which were used to explain the impact of variety and terroir on variation. Correlation probabilities, analysis of variance (ANOVA), and regression analyses were obtained using JMP12 (SAS Institute, Inc. Cary, NC, USA).
Results and discussion
Corn analysis
Protein, fat, and starch
FT-NIR was used to measure the percentage of protein, fat, and starch (dry basis) in both whole and ground corn kernels. Whole kernel analysis is the most common method used by distillers when analyzing kernels after harvest, before loading into a silo for storage, and upon delivery to the distillery.
Whole corn analysis showed that nearly 85% of the experimental variation in protein among the treatments was due to variety, terroir, and interaction effects (Table 3); the rest of the variation was residual, also known as unexplained error variance, and here reported as replicates nested within variety and terroir. However, terroir was responsible for 0% of the variation in, and instead variety and interaction effects accounted for over 75% of fat and starch variation.
Table 3. Percent of total variance for proximate analysis of corn kernels as determined through REML.
| Effect | Whole Corn | Milled Corn | ||||
|---|---|---|---|---|---|---|
| Protein % | Fat (Oil) % | Starch % | Protein % | Fat (Oil) % | Starch % | |
| Terroir | 39.1% | 0% | 0% | 60.8% | 49.9% | 2.7% |
| Variety | 26.5% | 61.6% | 28% | 17.4% | 32.8% | 9.4% |
| Variety*Terroir | 19.1% | 16.6% | 48.4% | 21.5% | 15.5% | 85.6% |
| Replicate[Variety,Terroir] | 15.3% | 21.8% | 23.6% | 0.3% | 1.8% | 2.3% |
| Sum Total Variance | 100% | 100% | 100% | 100% | 100% | 100% |
| Units | Mg g-1 | Mg g-1 | Mg g-1 | Mg g-1 | Mg g-1 | Mg g-1 |
| Mean Value +/- SE | 7.86 +/- 0.46 | 4.30 +/- 0.14 | 68.02 +/- 0.41 | 9.35 +/- 0.38 | 3.21 +/- 0.19 | 69.01 +/- 0.20 |
| Observations (n) | 30 | 30 | 30 | 30 | 30 | 30 |
Distillers grind kernels in a mill to create a grist prior to mashing. Nearly 100% of the experimental variation in milled corn protein was due to variety, terroir, and interaction effects, with residual variation having essentially no role (Table 3). The reduced residual is almost certainly due to greater precision of the milled corn. Unlike with whole corn analysis, terroir was responsible for variation in fat, with variety and interaction effects having a lesser but still substantial role. Variation in starch was largely due to interaction effects, with terroir, variety, and residual effects playing a small role in variation.
These results for milled corn analysis were not well aligned with whole corn analysis. It is well known that grinding helps to homogenize samples, improving results in near infrared reflectance spectroscopy, and that these particular FT-NIRS calibrations and predictions work better in ground samples than whole samples [57]. While discrepancies in variance components between whole corn and milled corn exist, the proximate analysis results indicate that variety, terroir, and interaction effects are responsible for most of the variation in protein, fat, and starch levels. Given that starch ultimately dictates the amount of alcohol that can be produced, and that protein and fat are potentially important for flavor (e.g., amino acids are important for fusel alcohol production via the Ehrlich pathway [58]), these results suggest that alcohol yield and flavor could be impacted by variety and terroir in our samples.
Congeners and aromas in milled corn kernels
Milled corn samples were exposed to GC-MS/O and descriptive sensory analysis techniques. The GC-MS/O detected 52 different congeners that registered an aroma event via olfactometric detection by a trained operator. Descriptive sensory analysis utilized a trained sensory panel to detect and quantify up to 49 different corn kernel aromas. The percent of total variance is reported for congeners (Table 4) and aromas (Table 5) where the residual effect was responsible for no more than ~80% of the variation. For the 44 compounds and 37 aromas detected but not shown (S1 Table), random residual error was responsible for most of the variation suggesting a low importance of terroir or variety.
Table 4. Percent of total variance for milled corn kernel congener concentrations as determined through REML.
| Effect | GC-MS/O | |||||||
|---|---|---|---|---|---|---|---|---|
| Acetic Acid | Benzaldehyde | Hexanal | Methane, thio-bis | 1-Hexanol | Ethyl decanoate | 3-Dodecen-1-al | Decanal | |
| Terroir | 0% | 11.9% | 0% | 4% | 25.1% | 4% | 5.5% | 0% |
| Variety | 19.1% | 19.9% | 0% | 0% | 0% | 17% | 6.4% | 8% |
| Variety*Terroir | 0% | 37.5% | 24.4% | 30% | 1.6% | 1% | 10.1% | 49.3% |
| Replicate[Variety,Terroir] | 80.9% | 30.7% | 75.6% | 66% | 73.3% | 78% | 78% | 42.7% |
| Sum Total Variance | 100% | 100% | 100% | 100% | 100% | 100% | 100% | 100% |
| Units | Ion Count | Ion Count | Ion Count | Ion Count | Ion Count | Ion Count | Ion Count | Ion Count |
| Mean Value +/- SE | 65197.7 +/- 19981.3 | 6877.6 +/- 2900.2 | 280095.9 +/- 78261.2 | 60219.4 +/- 38995.7 | 18681.67 +/- 12727.3 | 62152.3 +/- 47293.6 | 27218.5 +/- 14948.6 | 4989.4 +/- 3947.3 |
| Observastions (n) | 30 | 30 | 30 | 30 | 30 | 30 | 30 | 30 |
Ion Count = Total ion count (TIC) area under the curve and compound identity was based on the NIST library.
Table 5. Percent of total variance for milled corn kernel aroma concentrations as determined through REML.
| Effect | Descriptive Sensory Analysis | |||||||||||
|---|---|---|---|---|---|---|---|---|---|---|---|---|
| Overall Sweet | Overall Sour | Corn | Woody | Oily | Rancid | Medicinal | Leather | Barnyard | Soapy | Solvent Like | Butyric | |
| Terroir | 1.8% | 10.8% | 20% | 31.9% | 31.2% | 34.2% | 0% | 0% | 53.2% | 37.1% | 23.6% | 21.3% |
| Variety | 24.6% | 0% | 0% | 0% | 0% | 4.6% | 0% | 22.1% | 0% | 0% | 0% | 0% |
| Variety*Terroir | 0% | 20.3% | 27.4% | 0% | 13.4% | 0% | 30.5% | 8.9% | 0% | 0% | 0% | 0% |
| Replicate[Variety,Terroir] | 73.6% | 68.9% | 51.6% | 68.1% | 55.4% | 61.2% | 69.5% | 69% | 46.8% | 62.9% | 76.4% | 78.7% |
| Sum Total Variance | 100% | 100% | 100% | 100% | 100% | 100% | 100% | 100% | 100% | 100% | 100% | 100% |
| Units | Intensity | Intensity | Intensity | Intensity | Intensity | Intensity | Intensity | Intensity | Intensity | Intensity | Intensity | Intensity |
| Mean Value +/- SE | 2.8 +/- 0.2 | 2.5 +/- 0.3 | 6.9 +/- 0.3 | 6.4 +/- 0.3 | 2.3 +/- 0.2 | 0.4 +/- 0.2 | 1.8 +/- 0.1 | 1.6 +/- 0.2 | 1.0 +/- 0.4 | 0.3 +/- 0.2 | 0.2 +/- 0.1 | 0.1 +/-0.1 |
| Observations (n) | 30 | 30 | 30 | 30 | 30 | 30 | 30 | 30 | 30 | 30 | 30 | 30 |
Intensity corresponds to an aroma intensity, with a scale of 0–15, and was determined by the trained sensory panel.
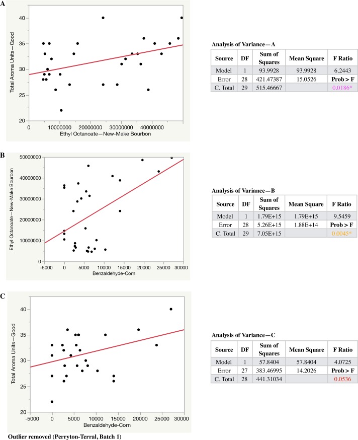
Two congeners where the variation was not largely due to a residual effect appeared especially important throughout the study—benzaldehyde and decanal. Benzaldehyde possesses a characteristic almond-like aroma [59], and decanal imparts fruity aromas [60]. Interaction effects were responsible for most of the variation found in these two aldehydes.
For the aromas detected via descriptive sensory analysis and highlighted in Table 5, residual effects on average accounted for the majority of the variation (a range of about 50–75%). That said, of the twelve aromas highlighted, the non-residual experimental variation was largely due to terroir in seven (Woody, Oily, Rancid, Barnyard, Soapy, Solvent Like, Butyric), variety in two (Overall Sweet, Leather), and the interaction in three (Overall Sour, Corn, Medicinal).
Overall, kernel analysis thus indicated that we might expect variety and terroir to influence alcohol yield and flavor. Next, we aimed to process each kernel treatment into mash, beer, and finally new-make bourbon, conducting relevant analyses at each step.
Mash and fermentation analysis
Specific gravity
Analysis of covariance (ANCOVA) was carried out with treatment, hours into fermentation, and the interaction as effects, and specific gravity as the response. A visual of fermentation growth curves, as measured as specific gravity, for each variety among the different terroirs (Fig 1, Table 6) shows that the different treatments displayed significantly different slopes (p = 0.0046). Table 7 shows the percent of total variance for specific gravity at different points during mashing and fermentation. At all timepoints, the terroir was the biggest driver of variation next to the residual variation. The variety in this case contributed meaningful but less overall variation than the terroir or replicate variation. This is likely due to the samples being from relatively narrow germplasm. It is important to note that the replicate variation was lowest when the samples were first mashed (Day 0) and highest at the end of fermentation (Day 5). This suggests that the fermentation process normalized the diverse samples, reducing differences due to variety or terroir between them.
Fig 1. Fermentation growth curves using specific gravity as the response factor.
Higher levels of specific gravity at the end of fermentation indicate lower attenuation, which will potentially lead to a lower alcohol yield.
Table 6. Effect tests from ANCOVA of specific gravity x hours of fermentation.
| Source | Nparm | DF | Sum of Squares | F Ratio | Prob > F |
|---|---|---|---|---|---|
| Treatment | 9 | 9 | 0.00094879 | 7.8261 | < .0001* |
| Hours | 1 | 1 | 0.08245726 | 6121.289 | < .0001* |
| Treatment*Hours | 9 | 9 | 0.00034847 | 2.8743 | 0.0046* |
Table 7. Percent of total variance for specific gravity measurements of mash and fermentation as determined through REML.
| Effect | Day 0 (Mash) | Day 1 | Day 3 | Day 4 | Day 5 |
|---|---|---|---|---|---|
| Terroir | 45.4% | 36.7% | 54.3% | 36.1% | 35% |
| Variety | 16.2% | 0% | 1.4% | 4.7% | 11.5% |
| Variety*Terroir | 9.5% | 9.3% | 0% | 9.5% | 0% |
| Batch[Variety,Terroir] | 28.9% | 54% | 44.3% | 49.7% | 53.5% |
| Sum Total Variance | 100% | 100% | 100% | 100% | 100% |
| Units | Specific Gravity | Specific Gravity | Specific Gravity | Specific Gravity | Specific Gravity |
| Mean Value +/- SE | 1.1 +/- 0.0 | 1.05 +/- 0.0 | 1.03 +/- 0.0 | 1.0 +/- 0.0 | 0.99 +/- 0.0 |
| Observations (n) | 30 | 17 | 15 | 27 | 30 |
Dextrins, sugars, and ethanol
While specific gravity is a rapid and informative measurement, it does not discriminate between the various types of sugars. Further, it does not provide a direct measurement of ethanol concentration. HPLC is able to effectively separate and quantify DP4+ (dextrins), DP3 (maltotriose), maltose, glucose, and ethanol. Table 8 shows the variance components for these compounds at Day 0 and Day 5.
Table 8. Percent of total variance for DP4+, DP3, maltose, glucose, and ethanol at Day 0 and Day 5 (with and without outliers removed) of fermentation as determined through REML.
| Effect | a) Day 0 |
||||
| DP4+ | DP3 | Maltose | Glucose | Ethanol | |
| Terroir | 0% | 12.1% | 0% | 0% | ND |
| Variety | 6% | 0% | 0% | 5% | ND |
| Variety*Terroir | 57% | 20.6% | 68.6% | 8.3% | ND |
| Batch[Variety,Terroir] | 37% | 67.3% | 31.4% | 86.7% | ND |
| Sum Total Variance | 100% | 100% | 100% | 100% | ND |
| Units | wt/vol | wt/vol | wt/vol | wt/vol | % ABW |
| Mean Value +/- SE | 2.5 +/- 0.2 | 0.1 +/- 0.0 | 2.9 +/- 0.2 | 7.9 +/- 0.2 | |
| Observations (n) | 26 | 26 | 26 | 26 | 26 |
| Effect | b) Day 5 (with outliers) |
||||
| DP4+ (wt/vol) | DP3 (wt/vol) | Maltose (wt/vol) | Glucose (wt/vol) | Ethanol (% ABW) | |
| Terroir | 21.6% | 0% | 38.9% | 40.1% | 5.5% |
| Variety | 0% | 0% | 5.1% | 10.6% | 0% |
| Variety*Terroir | 0% | 0% | 0 | 0% | 5.5% |
| Batch[Variety,Terroir] | 78.4% | 100% | 56% | 49.3% | 89% |
| Sum Total Variance | 0.000212 | 100% | 100% | 100% | 100% |
| Units | wt/vol | wt/vol | wt/vol | wt/vol | % ABW |
| Mean Value +/- SE | 0.1 +/- 0.0 | 0.03 +/- 0.0 | 0.2 +/- 0.0 | 0.9 +/- 0.4 | 6.7 +/- 0.2 |
| Observations (n) | 30 | 30 | 30 | 30 | 30 |
| Effect | c) Day 5 (outliers removed) |
||||
| DP4+ (wt/vol) | DP3 (wt/vol) | Maltose (wt/vol) | Glucose (wt/vol) | Ethanol (% ABW) | |
| Terroir | 45.8% | 0% | 45.9% | 36.8% | 38.9% |
| Variety | 7.7% | 0% | 1.2% | 10.3% | 19.7% |
| Variety*Terroir | 0% | 0% | 0% | 0% | 0% |
| Batch[Variety,Terroir] | 46.5% | 100% | 52.9% | 52.9% | 41.4% |
| Sum Total Variance | 100% | 100% | 100% | 100% | 100% |
| Units | wt/vol | wt/vol | wt/vol | wt/vol | % ABW |
| Mean Value +/- SE | 0.1 +-/ 0.0 | 0.03 +/- 0.0 | 0.2 +/- 0.0 | 0.9 +/- 0.4 | 6.8 +/- 0.2 |
| Observations (n) | 27 | 27 | 27 | 27 | 27 |
(a) Four batch replicates were not included for Day 0 HPLC analysis (Mycogen-Hidalgo Batch 2, Mycogen-Hidalgo Batch 3, Terral-Calhoun Batch 3, and Terral-Hansford Batch 3) due to loss of sample during HPLC analysis. ND = Not Detected. (c) Three Outliers were removed (Mycogen-Calhoun Batch 2, Mycogen-Hill Batch 2, and Terral-Hill Batch 3).
At Day 0, post-mashing, much of the variation in dextrins and maltose was due to the interaction effect. Maltotriose shows a similar result, although to a lesser extent. The residual was responsible for most of the variation in glucose (Table 8).
It was somewhat surprising that the ethanol concentration at Day 5, post-fermentation, did not show variation due to terroir or variety. As reported later alcohol yield did show variation due to variety and terroir. As explained in Materials & Methods, three outliers (Fig 2) were identified in the data. Removing these outliers (Table 8C), the results showed that terroir and variety were responsible for 39% and 20% of the experimental variation, respectively. This better aligns with the impact of terroir and variety on alcohol yield variation. Further, much of the variation in the concentrations of dextrins, maltotriose, and glucose at Day 5 was due to terroir. The results from mash and fermentation analysis suggest that variety and terroir do impact starting fermentable extract and attenuation, which can impact alcohol yield.
Fig 2. Ethanol % in beer vs. ethanol yielded after distillation.
Ethanol (%ABW) was measured in beer post fermentation via HPLC-RID. mL Ethanol/gram of grain was measured by distilling beer into new-make bourbon, collecting identical volumes per batch (550 mL), and measuring density with a density meter. Red boxes denote the three outlier data points that were removed for subsequent REML analysis (Table 8).
New-make bourbon analysis
Alcohol yield
While starch levels in corn, sugar yields during mashing, and alcohol production during fermentation are important measurements for assessing alcohol yield, distillers ultimately determine yield through measurement after distillation. As is described, each treatment was exposed to identical mashing, fermentation, and distillation procedures. After distillation, the milliliters of ethanol per gram of corn was measured (Table 9). Both terroir and variety were responsible for 32% and 24% of the experimental variation, respectively. The conservative REML best linear unbiased predictions ranged from 0.29 ml ethanol per gram of grain yield (Dyna-Gro, Monte Alto) to 0.34 (Terrel, Sawyer Farms), which would mean 17% more corn would need to be purchased for the same whiskey production.
Table 9. Percent of total variance for alcohol yield of new-make bourbon as determined through REML.
| Effect | mL EtOH / Gram Corn |
|---|---|
| Terroir | 32.3% |
| Variety | 24.1% |
| Variety*Terroir | 1.2% |
| Batch[Variety,Terroir] | 42.4% |
| Sum Total Variance | 100% |
| Units | mL |
| Mean Value +/- SE | 0.31 +/- 0.0 |
| Observations (n) | 30 |
Multivariate analsysis (Table 10, Table 11) shows that starch percentage, total extract (the sum of DP4+, DP3, maltose, and glucose), ethanol (%ABW), and the ultimate alcohol yield all possess statistically significant correlations. This is important, as it further supports the notion that variation from variety and terroir across starch percentage in the corn, total extract post-mashing, and ethanol (%ABW) post-fermentation can ultimately impact ethanol yield post-distillation.
Table 10. Correlation probabilities (Prob > F) among starch concentration in corn, ethanol (%ABW) post-fermentation, and ethanol yield post-distillation.
| Starch % Dry Basis | Ethanol (%ABW) | mL EtOH/Gram Corn | |
|---|---|---|---|
| Starch % Dry Basis | < .0001 | 0.1751 | 0.0273 |
| Ethanol (%ABW) | 0.1751 | < .0001 | < .0001 |
| mL Ethanol/Gram Grain Yield | 0.0273 | < .0001 | < .0001 |
Observations (n) = 60
Table 11. Correlation probabilities (Prob > F) among starch concentration in corn, total extract post-mashing (Day 0), ethanol (%ABW) post-fermentation (Day 5), and ethanol yield post-distillation.
| Starch % Dry Basis | Total Extract | Ethanol (%ABW) | mL Ethanol/Gram Grain Yield | |
|---|---|---|---|---|
| Starch % Dry Basis | < .0001 | 0.0118 | 0.1926 | 0.1204 |
| Total Extract | 0.0118 | < .0001 | 0.0289 | 0.0033 |
| Ethanol (%ABW) | 0.1926 | 0.0289 | < .0001 | 0.0003 |
| mL Ethanol/Gram Grain Yield | 0.1204 | 0.0033 | 0.0003 | < .0001 |
| Obersvations (n) = 56 |
Four batch replicates were not included for total extract post-mashing (Day 0) HPLC analysis (Mycogen-Hidalgo Batch 2, Mycogen-Hidalgo Batch 3, Terral-Calhoun Batch 3, and Terral-Hansford Batch 3) due to loss of sample during HPLC analysis.
Congeners and aromas
Samples of new-make bourbon were exposed to GC-MS/O and descriptive sensory analysis techniques. GC-MS/O detected 68 different compounds (16 more than the milled corn) that registered an aroma event via olfactometric detection by a trained operator. Sensory analysis utilized a trained panel to detect and quantify up to 54 different new-make whiskey aromas. Table 12 and Table 13 below provide the percent of total variance for those congeners and aromas where the residual effect was responsible for no more than ~80% of the variation.
Table 12. Percent of total variance for new-make bourbon congener concentrations as determined through REML.
| Effect | GC-MS/O | ||||||||
| Isoamyl acetate | 2-methylbutyl decanoate | Ethyl 2-nonenoate | 2-tridecanone | 2,4-decadienal | Ethyl sorbate | Isopentyl hexanoate | Ethyl acetate | 4-vinylanisole | |
| Terroir | 9.8% | 0% | 67.9% | 0.9% | 29.7% | 1.2% | 21.8% | 24.6% | 47.9% |
| Variety | 3.6% | 0% | 0% | 25.6% | 0% | 2.5% | 0.7% | 0% | 15.1% |
| Variety*Terroir | 23.2% | 49.2% | 0% | 0% | 0% | 15% | 0% | 2.8% | 16.1% |
| Batch[Variety,Terroir] | 63.4% | 50.8% | 32.1% | 73.5% | 70.3% | 81.3% | 77.5% | 72.6% | 20.9% |
| Sum Total Variance | 100% | 100% | 100% | 100% | 100% | 100% | 100% | 100% | 100% |
| Units | Ion Count | Ion Count | Ion Count | Ion Count | Ion Count | Ion Count | Ion Count | Ion Count | Ion Count |
| Mean Value +/- SE | 189638.3 +/- 56844.9 | 38039.0 +/- 38039.0 | 96846.9 +/- 55953.4 | 30039.3 +/- 20075.5 | 126750.6 +/- 35235.9 | 32691.29 +/- 5571.4 | 30471.4 +/- 17721.7 | 679113.7 +/- 122738.8 | 445662.2 +/- 114215.8 |
| Observations (n) | 30 | 30 | 30 | 30 | 30 | 30 | 30 | 30 | 30 |
| Effect | GC-MS/O | ||||||||
| Ethyl decanoate | Ethyl dodecanoate | Acetal | Styrene | Ethyl undecanoate | (E)-2-heptenal | 2-methyl-5-isopropenylfuran | Ethyl (E)-2-octenoate | Ethene, ethoxy- | |
| Terroir | 43.1% | 3.1% | 29.4% | 6.7% | 64.4% | 18.1% | 0% | 49.4 | 0% |
| Variety | 21.8% | 3.6% | 17.6% | 35.3% | 8% | 22.4% | 20.8% | 0% | 1.5% |
| Variety*Terroir | 0% | 17.1% | 0% | 1.5% | 4.5% | 0% | 1.7% | 0% | 35.5% |
| Batch[Variety,Terroir] | 35.1% | 76.2% | 53% | 56.5% | 23.1% | 59.5% | 77.5% | 50.6% | 63% |
| Sum Total Variance | 100% | 100% | 100% | 100% | 100% | 100% | 100% | 100% | 100% |
| Units | Ion Count | Ion Count | Ion Count | Ion Count | Ion Count | Ion Count | Ion Count | Ion Count | Ion Count |
| Mean Value +/- SE | 51696255 +/- 10687333 | 3899065.2 +/- 1024933 | 131682.7 +/- 66275.5 | 1013993.7 +/- 436857.9 | 183871.0 +/- 83917.6 | 67719.8 +/- 38377.9 | 10263.4 +/- 8670.2 | 196254.5 +/- 79899.0 | 3746.1 +/- 3654.0 |
| Observations (n) | 30 | 30 | 30 | 30 | 30 | 30 | 30 | 30 | 30 |
| Effect | GC-MS/O | ||||||||
| Ethyl trans-4-decenoate | Ethyl heptanoate | Ethyl hexanoate | Napthalene | Nonanal | Ethyl nonanoate | (E)-2-nonenal | Isoamyl octanoate | Ethyl octanoate | |
| Terroir | 68.6% | 21.2% | 21.6% | 21.8% | 6.9% | 39.1% | 9.6% | 34.6% | 7.4% |
| Variety | 5.2% | 11.5% | 10.4% | 0% | 24.1% | 12.2% | 18.5% | 9.9% | 32.2% |
| Variety*Terroir | 0% | 0% | 0% | 10.9% | 8.9% | 0% | 0% | 0% | 4.3% |
| Batch[Variety,Terroir] | 26.2% | 67.3% | 68% | 67.3% | 60.1% | 48.7% | 71.9% | 55.5% | 56% |
| Sum Total Variance | 100% | 100% | 100% | 100% | 100% | 100% | 100% | 100% | 100% |
| Units | Ion Count | Ion Count | Ion Count | Ion Count | Ion Count | Ion Count | Ion Count | Ion Count | Ion Count |
| Mean Value +/- SE | 2335925.5 +/- 705858.2 | 275450.2 +/- 83277.6 | 897135.5 | 19611.0 +/- 17922.4 | 350703.97 +/- 118026.4 | 2551498.7 +/- 743395.8 | 303987.0 +/- 72030.9 | 1104644.7 +/- 289180.2 | 22363759 +/- 6611977 |
| Observations (n) | 30 | 30 | 30 | 30 | 30 | 30 | 30 | 30 | 30 |
| Effect | GC-MS/O | ||||||||
| Ethyl hept-2-enoate | 2-Nonanone | 2-octenal, (E)- | 2-undecanone | Phenylethyl alcohol | Acetophenone | 2-pentylfuran | Ethyl (E)-4-hexenoate | Cedr-8-ene | |
| Terroir | 32.1% | 5% | 26.2% | 23.2% | 16.2% | 9.1% | 37.3% | 0% | 72.5% |
| Variety | 0% | 17.1% | 0% | 1.4% | 0% | 0% | 8% | 19% | 0% |
| Variety*Terroir | 4.5% | 10% | 0% | 63.1% | 27.5% | 42% | 0% | 28.2% | 0% |
| Batch[Variety,Terroir] | 63.4% | 67.9% | 73.8% | 12.3% | 56.3% | 48.9% | 54.7% | 52.8% | 27.5% |
| Sum Total Variance | 100% | 100% | 100% | 100% | 100% | 100% | 100% | 100% | 100% |
| Units | Ion Count | Ion Count | Ion Count | Ion Count | Ion Count | Ion Count | Ion Count | Ion Count | Ion Count |
| Mean Value +/- SE | 52677.9 +/- 20017.3 | 11597.9 +/- 7730.7 | 102855.3 +/- 41003.2 | 19602.0 +/- 20491.3 | 307577.2 +/- 87401.5 | 5469.8 +/- 4026.9 | 117483.8 +/- 61497.9 | 15337.2 +/- 8193.0 | 117628.7 +/- 116189.1 |
| Observations (n) | 30 | 30 | 30 | 30 | 30 | 30 | 30 | 30 | 30 |
Ion Count = Total ion count (TIC) area under the curve and compound identity was based on the NIST library.
Table 13. Percent of total variance for new-make bourbon aroma concentrations as determined through REML.
Intensity corresponds to an aroma intensity, with a scale of 0–15, and was determined by the trained sensory panel.
| Effect | Descriptive Sensory Analysis | ||||||||||||
|---|---|---|---|---|---|---|---|---|---|---|---|---|---|
| Alcohol | Sweet | Sour | Grain Complex | Corn | Malt | Woody | Musty Earthy | Molasses | Anise | Lactic Acid | Stale | Prickle Pungent | |
| Terroir | 0.% | 4.7% | 0% | 0% | 0% | 35.9% | 8.8% | 0% | 0% | 63% | 0.6% | 14.4% | 5.8% |
| Variety | 25.9% | 21.9% | 20.8% | 26.6% | 2.6% | 0.4% | 34.2% | 14.6% | 19.6% | 0% | 0% | 0.9% | 32.2% |
| Variety*Terroir | 24.4% | 0% | 12% | 0% | 42.5% | 0% | 0% | 8% | 0% | 0% | 48.6% | 9% | 7.2% |
| Batch[Variety,Terroir] | 69.7% | 73.4% | 67.2% | 73.4% | 54.9% | 63.7% | 57% | 77.4% | 80.4% | 37% | 50.8% | 75.7% | 54.8% |
| Sum Total Variance | 100% | 100% | 100% | 100% | 100% | 100% | 100% | 3.44E-01 | 100% | 100% | 100% | 100% | 100% |
| Units | Intensity | Intensity | Intensity | Intensity | Intensity | Intensity | Intensity | Intensity | Intensity | Intensity | Intensity | Intensity | Intensity |
| Mean Value +/- SE | 6.6 +/- 0.2 | 2.6 +/- 0.2 | 3.1 +/- 0.3 | 5.3 +/- 0.2 | 5.1 +/- 0.2 | 3.6 +/- 0.2 | 3.9 +/- 0.3 | 2.9 +/- 0.2 | 1.2 +/- 0.3 | 0.3 +/- 0.2 | 1.9 +/- 0.2 | 2.4 +/- 0.1 | 4.0 +/- 0.2 |
| Observations (n) | 30 | 30 | 30 | 30 | 30 | 30 | 30 | 30 | 30 | 30 | 30 | 30 | 30 |
Intensity corresponds to an aroma intensity, with a scale of 0–15, and was determined by the trained sensory panel.
Of the thirty-six congeners identified in Table 12 where the concentration showed substantial variance beyond the residual (i.e. more than ~20% of the total variance), 50% were esters, 14% were aldehydes, and 11% were ketones. The fact that such a large percentage of esters displayed variation due to variety and terroir is encouraging, as esters are also important flavor contributors in new-make whiskey, usually contributing fruity characteristics. Aldehydes and ketones are also important flavor contributors, providing fruity, floral, grassy, and fatty aromas.
Thirteen aromas were detected via Spectrum sensory analysis where the residual effect was not responsible for more than ~80% of the total variance component (Table 13). Variance was largely due to terroir in three (Malt, Anise, Stale), variety in seven (Sweet, Sour, Grain Complex, Woody, Musty Earthy, Molasses, Prickle Pungent), and the interaction of terroir and variety in three (Alcohol, Corn, Lactic Acid).
Many of the congeners identified in Table 12 have been reported previously as being important contributors to flavor in bourbon. Poisson and Schieberle utilized aroma extract dilution analysis (AEDA), quantitative measurements, aroma recombination, and omission studies to identify the most odor-active congeners in whiskey [51,52]. From the compounds they identified, the following were also identified in this report (Table 12), grouped according to compound class: esters—isoamyl acetate, ethyl acetate, ethyl hexanoate, ethyl octanoate; aldehydes—(E)-2-heptenal, nonanal, (E)-2-nonenal, 2,4-decadienal; fusel alcohol—phenylethyl alcohol; and acetal. According to Poisson and Schieberle, the esters listed contribute fruity flavors. The aldehydes (E)-2-heptenal, (E)-2-nonenal, and 2,4-decadienal contribute fatty and green flavors, and nonanal contributes soapy flavors. Phenylethyl alcohol is known for imparting rose and floral aromas. Acetal (also called 1,1-diethoxyethane) contributes fruity and ethereal flavors.
The only congener found in both milled corn and new-make from Table 4 and Table 12 where the respective concentrations showed substantial variance beyond the residual was ethyl decanoate. Ethyl decanoate has previously been identified in bourbon [61], described as having a fruity, apple aroma. Importantly, combined among all new-make samples, ethyl decanoate had the highest peak area value (averaged 48 million across samples, more than double the next highest ethyl octanoate with 22 million) out of the sixty-eight congeners detected. Combined among all corn samples, ethyl decanoate had the ninth highest peak area value (averaged 60,421 across samples, hexanal was the highest with 280,095) out of fifty-two congeners detected. However, ethyl decanoate concentration in corn did not show significant correlation to ethyl decanoate concentrationin in new-make. This might suggest that ethyl decanoate present in corn might be concentrated, created or altered during the mashing, fermentation, or distillation processes of whiskey production. Another possibility is that yeast production of deacoic acid and/or ethyl decanoate is impacted by other compositional aspects of corn, and these aspects can negate varying contributions from the corn kernels themselves.
While the presence and concentration of certain congeners can correlate with aroma flavors and concentrations, this is not always the case. As pointed out by Poisson and Schieberle, more than 300 compounds have been identified in whiskey, yet only a subset of these (likely 30 to 60) are important for flavor. Therefore, we aimed to determine if there were any important correlations between congeners and aroma in new-make. First, looking at each relationship between congeners and aroma individually, moderate to no correlations were found in most cases and nothing was identified that warrented discussion. However, instead of considering each aroma individually, we grouped them into two categories, denoted as “good” and “bad” aromas and summed the individual aroma concentrations generated by the Spectrum method. These good and bad catagories corresponded to aromas that are typically deemed desirable and undesirable (S10 Table), respectively, in new-make bourbon. Further, we considered all detected congeners and aromas, not just those reported in Table 12 and Table 13.
Of the 68 new-make bourbon congeners identified by GC-MS/O, seven were found to possess both statistical (i.e. p-values) and practical (i.e. effect sizes) significance with the summed value Total Aroma Units—Good (Table 14). Four of these seven congeners were esters (isoamyl acetate, ethyl nonanoate, ethyl octanoate, and ethyl (E)-4-hexenoate), known to impart desirable fruity flavors to whiskey. Nonanal imparts soapy characteristics, which is typically deemed a desirable aroma contributor to a whiskey’s flavor. Acetaldeyhyde was the only congener that showed a negative correlation to Total Aroma Units—Good. This is not surprising, as high-levels of acetaldehyde impart astringent, solventy, and green apple flavors. The majority of this compound is typically discarded during distillation, at the discretion of the distiller’s judgment. Styrene is usually attributed to phenolic and plastic flavors. While in isolation these flavors are negative, a certain level for phenolic nuances are usually desired in whiskey.
Table 14. Significant correlation probabilities (Prob > F) of new-make bourbon congeners with Total Aroma Units—Good and Total Aroma Units—Bad.
| Isoamyl acetate | Acetaldehyde | Nonanal | Ethyl Nonanoate | Ethyl Octanoate | Styrene | Ethyl (E)-4-hexenoate | (E)-2-nonenal | |
|---|---|---|---|---|---|---|---|---|
| Total Aroma Units—Good | 0.3352* | -0.3846** | 0.3734** | 0.3182* | 0.4270** | 0.4542** | 0.5067*** | 0.2991NS |
| Total Aroma Units—Bad | 0.1558NS | 0.0309NS | 0.1100NS | 0.2194NS | 0.2282NS | 0.1019NS | 0.0061NS | 0.4669*** |
n = 30
Values reported are strength and direction of correlation (R).
*, **, *** indicate statistical significance at the 10%, 5%, and 1% level respectively. Given the limited sample size (n = 30), we consider the 10% level to be practically useful and significant. NS indicate non-significant differences.
Likewise, of the 68 new-make bourbon congeners identified by GC-MS/O, only (E)-2-nonenal was found to possess both statistical and practical significance with the summed value Total Aroma Units—Bad (Table 14). Given that it is known to harbor aromas of cardboard, staleness, and body odor [62], it is not surprising that increased levels of (E)-2-nonenal led to undesirable aromas in the new-make bourbon samples considered here.
All of the bourbon new-make congeners listed in Table 14 were also highlighted in Table 12, with their concentrations showing substantial variance beyond the residual. This indicates that certain new-make bourbon congeners that are significantly correlated with overall desireable and undesirable flavors in new-make bourbon also show concentration variations due to variety and terroir. Further, of the eight bourbon new-make congeners listed in Table 14, only three of them (ethyl nonanoate, styrene, and ethyl (E)-4-hexenoate) were not listed by Poisson & Schieberle as being important contributors in bourbon.
Next, we aimed to determine if any milled corn congeners correlated with the new-make bourbon congeners identified in Table 14. We found benzaldehyde concentration in milled corn correlated with both statistical and practical significance to isoamyl acetate (R = 0.5148***), nonanal (R = 0.4790***), styrene (R = 0.4221**), and ethyl octanoate (R = 0.5042***) concentrations in new-make bourbon. Ethyl octanoate is especially interesting, due to it’s strong correlation to Total Aroma Units—Good in new-make bourbon. Further, among the 68 congeners identified in new-make bourbon, ethyl octanoate had the second highest total peak area value for the sum of all measured samples (n = 30). In general, benzaldehyde concentration in corn statistically and practically correlated with a number of other congener concentrations in new-make bourbon, such as: isoamyl alcohol (R = 0.3850**), Benzene, 1-ethenyl-4-methoxy (R = 0.4494**), ethyl-trans-4-decenoate (R = -0.4261**), and phenylethyl alcohol (R = 0.4380**), some of which were noted in Table 12 and highlighted by Poisson and Schieberle to be important controbutors to flavor in bourbon. Importantly, benzaldehyde concentration in corn kernel did not correlate with (E)-2-nonenal concentation in new-make bourbon.
Benzaldehyde concentration in milled corn was, however, not significantly correlated with Total Aroma Units—Good in new-make bourbon (R = 0.2837NS). However, once a single outlier was removed, the correlation improved (R = 0.3620*). Given that benzaldehyde concentration in corn is greatly influenced by variety and terroir (Table 4), and is readily measured by GC-MS without the expense of creating new-make or conducting sensory analysis, it might have practicle use in selecting improved corn for whiskey.
In recent years, it has become common for chefs, bakers, maltsters, and brewers to collaborate with plant breeders in an effort to breed and select for crop varieties that deliver new or forgotten flavors [63,64,65,66]. It is our belief that breeding and better selecting corn growing locations for specific compounds, such as increased benzaldehyde concentrations, has potential to deliver improved corn that possess heightened and desirable flavors in new-make bourbon. In this study, 2C797—Mycogen Seed benzaldehyde concentration was found to be significantly higher than the other two varieties (Fig 3B). Here we found corn from the Hill county terroir contained significantly higher concentrations of benzaldehyde than the other three terroirs (Fig 3A).
Fig 3. ANOVA and mean comparisons of benzaldehyde concentrations in corn.
The dependent variable is peak area. (A) Individual peak areas for each terroir, accompanied with ANOVA and mean comparison analyses. (B) Individual peak areas for each variety, accompanied with ANOVA and mean comparison analyses.
To show the progression of analyses that elucidate how desirable aromas in new-make bourbon can be linked to congeners in new-make bourbon and corn, Fig 4. Shows the indivudal linear regressions and ANOVA results.
Fig 4. Benzaldehyde in corn and ethyl octanoate new-make bourbon are linked to desirable aromas in new-make.
(A) Ethyl octanoate concentration in new-make is positively correlated with Total Aroma Units—Good concentration. (B) Benzaldehyde concentration in corn is positively correlated with ethyl octanoate concentration in new-make bourbon. (C) Benzaldehyde concentration in corn is positively correlated with Total Aroma Units—Good concentration.
Conclusions
To our knowledge, this is the first report to investigate the impact of variety and terroir on flavor and alcohol yield in new-make bourbon. Our findings suggest that even among commodity yellow dent corn hybrid varieties, there variations in flavor and alcohol yield potential still occur and can be targeted. Further, we showed that the different Texas terroirs impacted both flavor and alcohol yield. Lastly, our results suggests that benzaldehyde might be an important chemical marker in corn for plant breeders and distillers to consider, as it is linked to the increase of desirable congeners and aromas in new-make bourbon. Based on these findings, if distillers are searching for improved flavor and yield via corn, or if they simply wish to maintain greater consistency in their whiskey, then both variety and terroir need to be considered.
In the future it will be important to confirm that flavor differences in new-make are maintained during and after oak barrel maturation. Experiences from a large two-variety batch study suggest that flavor nuances due to variety and terroir are not masked during or after maturation in oak, and in fact may be greater, but this will need to be confirmed in future replicated trials. Lastly, while this study found terroir to, in general, have a greater impact on variation, only commodity yellow dent corn hybrids were investigated. Commodity hybrid varieties contain limited genetic diversity as compared to the varieties that exist as heirlooms, open pollinated varieties, and tropical hybrids. Such a study is currently underway by the authors.
Supporting information
(XLSX)
(XLSX)
(XLSX)
(XLSX)
(XLSX)
(XLSX)
(XLSX)
(XLSX)
(XLSX)
(XLSX)
Acknowledgments
This research was directly funded by the Firestone & Robertson Distilling Co. Resources leveraged in this study were made possible by USDA-NIFA, the Texas Corn Producers Board, and Texas A&M AgriLife support. Thanks to Dennis Pietsch, Katrina Horn and the TAMU Crop Testing Program for corn samples; thanks to David Rooney for FT-NIRS support. Thank you to the Scotch Whisky Research Institute for guidance on the lab-scale whiskey production methods. Thank you to Kayley Wall for guidance with MS statistical analysis.
Data Availability
All relevant data are within the manuscript and its Supporting Information files.
Funding Statement
The funder of this study (Firestone & Robertson Distilling Co.) provided support in the form of salaries for authors RA, AO, but did not have any additional role in the study design, data collection and analysis, decision to publish, or preparation of the manuscript. The specific roles of these authors are articulated in the ‘author contributions’ section.
References
- 1.Jacques KA, Lyons TP, Kelsall DR. The alcohol textbook: a reference for the beverage, fuel and industrial alcohol industries. Nottingham University Press; 2003. October 15. [Google Scholar]
- 2.Long A, Benz BF, Donahue DJ, Jull AT, Toolin LJ. First direct AMS dates on early maize from Tehuacán, Mexico. Radiocarbon. 1989;31(3):1035–40. [Google Scholar]
- 3.Doebley John F., Gaut Brandon S., and Smith Bruce D.. "The molecular genetics of crop domestication." Cell 1277 (2006): 1309–1321. 10.1016/j.cell.2006.12.006 [DOI] [PubMed] [Google Scholar]
- 4.Swanston JS, Newton AC, Brosnan JM, Fotheringham A, Glasgow E. Determining the spirit yield of wheat varieties and variety mixtures. Journal of Cereal Science. 2005. July 1;42(1):127–34. [Google Scholar]
- 5.Belsito A. Open pollinated corn variety trials and a discussion of the practical implications for open pollinated corn in small scale whiskey production. M.Sc. Thesis. Cornell University. 2004. Available from: https://hdl.handle.net/1813/162
- 6.Agu RC, Bringhurst TA, Brosnan JM. Production of grain whisky and ethanol from wheat, maize and other cereals. Journal of the Institute of Brewing. 2006;112(4):314–23. [Google Scholar]
- 7.Agu RC, Bringhurst TA, Brosnan JM, Jack FR. Effect of process conditions on alcohol yield of wheat, maize and other cereals. Journal of the Institute of Brewing. 2008;114(1):39–44. [Google Scholar]
- 8.Zoeller KM. Comparative evaluation of ethanol yield from HTF corn varieties in the whisky production process. M.Sc. Thesis, University of Louisville. 2008. Available from: 10.18297/etd/1652 [DOI]
- 9.Green DI, Agu RC, Bringhurst TA, Brosnan JM, Jack FR, Walker GM. Maximizing alcohol yields from wheat and maize and their co‐products for distilling or bioethanol production. Journal of the Institute of Brewing. 2015. July;121(3):332–7. [Google Scholar]
- 10.Bringhurst TA. 125th Anniversary Review: Barley research in relation to Scotch whisky production: a journey to new frontiers. Journal of the Institute of Brewing. 2015. February;121(1):1–8. [Google Scholar]
- 11.Bringhurst TA, Agu RC, Brosnan JM, Fotheringham AL. Wheat for Scotch whisky production: broadening the horizon. Production, Technology and Innovation. 2008:51–8. [Google Scholar]
- 12.Swanston JS, Thomas WT, Powell W, Young GR, Lawrence PE, Ramsay L, Waugh R. Using molecular markers to determine barleys most suitable for malt whisky distilling. Molecular breeding. 1999. May 1;5(2):103–9. [Google Scholar]
- 13.Swanston JS, Thomas WT, Powell W, Meyer R, Bringhurst TA, Pearson SY, Brosnan JM, Broadhead A. Assessment of spirit yield in barley breeding lines. Journal of the Institute of Brewing. 2000;106(1):53–8. [Google Scholar]
- 14.Swanston JS, Smith PL, Gillespie TL, Brosnan JM, Bringhurst TA, Agu RC. Associations between grain characteristics and alcohol yield among soft wheat varieties. Journal of the Science of Food and Agriculture. 2007. March;87(4):676–83. [Google Scholar]
- 15.Swanston JS, Smith PL, Thomas WT, Sylvester‐Bradley R, Kindred D, Brosnan JM, Bringhurst TA, Agu RC. Stability, across environments, of grain and alcohol yield, in soft wheat varieties grown for grain distilling or bioethanol production. Journal of the Science of Food and Agriculture. 2014. December;94(15):3234–40. 10.1002/jsfa.6675 [DOI] [PubMed] [Google Scholar]
- 16.Kindred DR, Verhoeven TM, Weightman RM, Swanston JS, Agu RC, Brosnan JM, Sylvester-Bradley R. Effects of variety and fertiliser nitrogen on alcohol yield, grain yield, starch and protein content, and protein composition of winter wheat. Journal of Cereal Science. 2008. July 1;48(1):46–57. [Google Scholar]
- 17.Vanbeneden N, Gils F, Delvaux F, Delvaux FR. Variability in the release of free and bound hydroxycinnamic acids from diverse malted barley (Hordeum vulgare L.) cultivars during wort production. Journal of agricultural and food chemistry. 2007. November 27;55(26):11002–10. 10.1021/jf072340a [DOI] [PubMed] [Google Scholar]
- 18.Herb D, Filichkin T, Fisk S, Helgerson L, Hayes P, Meints B, Jennings R, Monsour R, Tynan S, Vinkemeier K, Romagosa I. Effects of barley (Hordeum vulgare L.) variety and growing environment on beer flavor. Journal of the American Society of Brewing Chemists. 2017. September 1;75(4):345–53. [Google Scholar]
- 19.Herb D, Filichkin T, Fisk S, Helgerson L, Hayes P, Benson A, Vega V, Carey D, Thiel R, Cistue L, Jennings R. Malt modification and its effects on the contributions of barley genotype to beer flavor. Journal of the American Society of Brewing Chemists. 2017. September 1;75(4):354–62. [Google Scholar]
- 20.Bettenhausen HM, Barr L, Broeckling CD, Chaparro JM, Holbrook C, Sedin D, Heuberger AL. Influence of malt source on beer chemistry, flavor, and flavor stability. Food research international. 2018. November 1;113:487–504. 10.1016/j.foodres.2018.07.024 [DOI] [PubMed] [Google Scholar]
- 21.Mason SC. Environment and production practice influence on grain quality of maize and sorghum. InProceedings. 47th Croatian and 7th International Symposium on Agriculture. Opatija. Croatia 2012 (Vol. 24, p. 31).
- 22.Teixeira JE, Weldekidan T, De Leon N, Flint-Garcia S, Holland JB, Lauter N, Murray SC, Xu W, Hessel DA, Kleintop AE, Hawk JA. Hallauer’s Tusón: a decade of selection for tropical-to-temperate phenological adaptation in maize. Heredity. 2015. February;114(2):229 10.1038/hdy.2014.90 [DOI] [PMC free article] [PubMed] [Google Scholar]
- 23.Jaradat AA, Goldstein W. Diversity of maize kernels from a breeding program for protein quality: I. physical, biochemical, nutrient, and color traits. Crop science. 2013. May 1;53(3):956–76. [Google Scholar]
- 24.Shiferaw B, Prasanna BM, Hellin J, Bänziger M. Crops that feed the world 6. Past successes and future challenges to the role played by maize in global food security. Food Security. 2011. September 1;3(3):307. [Google Scholar]
- 25.Singh AK, Coleman TK, Tollenaar MT, Lee EA. Nature of the genetic variation in an elite maize breeding cross. Crop science. 2011. January 1;51(1):75–83. [Google Scholar]
- 26.Doebley J, Wendel JD, Smith JS, Stuber CW, Goodman MM. The origin of cornbelt maize: the isozyme evidence. Economic botany. 1988. January 1;42(1):120–31. [Google Scholar]
- 27.Troyer AF. Background of US hybrid corn. Crop science. 1999;39(3):601–26. [Google Scholar]
- 28.Sylvester-Bradley R, Kindred D, Weightman R, Thomas B, Swanston S, Thompson D, Feuerhelm D, Creasy T, Argillier O, Melichar J, Brosnan J. Genetic reduction of energy use and emissions of nitrogen through cereal production: GREEN grain. HGCA Project Report. 2010(468). [Google Scholar]
- 29.Herb DW. Developing Flavorful and Sustainable Barley (Hordeum vulgare L.): Integrating Malting Quality and Barley Contributions to Beer Flavor within the Framework of Facultative Growth Habit. Ph.D. Dissertation, Oregon State University. 2017. Available from: https://ir.library.oregonstate.edu/downloads/jw827h57w
- 30.Buttery RG, Stern DJ, Ling LC. Studies on flavor volatiles of some sweet corn products. Journal of agricultural and food chemistry. 1994. March;42(3):791–5. [Google Scholar]
- 31.Buttery RG, Ling LC, Stern DJ. Studies on popcorn aroma and flavor volatiles. journal of Agricultural and Food Chemistry. 1997. March 17;45(3):837–43. [Google Scholar]
- 32.Goodman MM, Brown WL, Sprague G, Dudley J. Corn and corn improvement. 3rd ed American Society of Agronomy; 1988:33–79. [Google Scholar]
- 33.Kurtz B, Gardner CA, Millard MJ, Nickson T, Smith JS. Global access to maize germplasm provided by the US National Plant Germplasm System and by US plant breeders. Crop Science. 2016;56(3):931–41. [Google Scholar]
- 34.Schnell R., Pietsch D., Horn K., Moreno J., Hirst S., and Murray S.. 2016. Corn Performance Tests in Texas. Texas AgriLife Research publication. SCS-2016-30 [Google Scholar]
- 35.Brosnan JM, Makari S, Paterson L, Cochrane MP. What makes a good distilling wheat. InProceedings of the Fifth Aviemore Conference on Malting, Brewing and Distilling. I. Campbell, Ed., Institute of Brewing: London 1999 (pp. 225–228).
- 36.Harrison B, Fagnen O, Jack F, Brosnan J. The impact of copper in different parts of malt whisky pot stills on new make spirit composition and aroma. Journal of the Institute of Brewing. 2011;117(1):106–12. [Google Scholar]
- 37.Li Q, Heist EP, Moe LA. Bacterial community structure and dynamics during corn-based bioethanol fermentation. Microbial ecology. 2016. February 1;71(2):409–21. 10.1007/s00248-015-0673-9 [DOI] [PubMed] [Google Scholar]
- 38.Balcerek M, Pielech-Przybylska K, Dziekońska-Kubczak U, Patelski P, Strąk E. Fermentation results and chemical composition of agricultural distillates obtained from rye and barley grains and the corresponding malts as a source of amylolytic enzymes and starch. Molecules. 2016. October 1;21(10):1320. [DOI] [PMC free article] [PubMed] [Google Scholar]
- 39.Basso LC, Basso TO, Rocha SN. Ethanol production in Brazil: the industrial process and its impact on yeast fermentation. InBiofuel production-recent developments and prospects 2011. InTech. [Google Scholar]
- 40.Boothroyd E, Linforth RS, Jack F, Cook DJ. Origins of the perceived nutty character of new‐make malt whisky spirit. Journal of the Institute of Brewing. 2014. January;120(1):16–22. [Google Scholar]
- 41.Conner JM, Paterson A, Piggott JR. Release of distillate flavour compounds in Scotch malt whisky. Journal of the Science of Food and Agriculture. 1999. May 15;79(7):1015–20. [Google Scholar]
- 42.Conner J, Reid K, Richardson G. SPME analysis of flavor components in the headspace of Scotch whiskey and their subsequent correlation with sensory perception. InACS Symposium Series 2001 (Vol. 782, pp. 113–122). Washington, DC; American Chemical Society; 2001.
- 43.Donnell EM, Hulin‐Bertaud S, Sheehan EM, Delahunty CM. Development and learning process of a sensory vocabulary for the odor evaluation of selected distilled beverages using descriptive analysis. Journal of Sensory Studies. 2001. August;16(4):425–45. [Google Scholar]
- 44.Ferrari G, Lablanquie O, Cantagrel R, Ledauphin J, Payot T, Fournier N, Guichard E. Determination of key odorant compounds in freshly distilled cognac using GC-O, GC-MS, and sensory evaluation. Journal of agricultural and food chemistry. 2004. September 8;52(18):5670–6. 10.1021/jf049512d [DOI] [PubMed] [Google Scholar]
- 45.Franitza L, Granvogl M, Schieberle P. Characterization of the key aroma compounds in two commercial rums by means of the sensomics approach. Journal of agricultural and food chemistry. 2016. January 13;64(3):637–45. 10.1021/acs.jafc.5b05426 [DOI] [PubMed] [Google Scholar]
- 46.Lee KM, Paterson A, Piggott JR, Richardson GD. Measurement of thresholds for reference compounds for sensory profiling of Scotch whisky. Journal of the Institute of Brewing. 2000;106(5):287–94. [Google Scholar]
- 47.Lee KY, Paterson A, Piggott JR, Richardson GD. Perception of whisky flavour reference compounds by Scottish distillers. Journal of the Institute of Brewing. 2000;106(4):203–8. [Google Scholar]
- 48.Malfondet N, Gourrat K, Brunerie P, Le Quéré JL. Aroma characterization of freshly‐distilled French brandies; their specificity and variability within a limited geographic area. Flavour and Fragrance Journal. 2016. September;31(5):361–76. [Google Scholar]
- 49.Nykänen L, Suomalainen H. The aroma compounds of alcoholic beverages. Teknillisen kemian aikakauslehti. 1963;20:789–95. [Google Scholar]
- 50.Piggott JR, Jardine SP. Descriptive sensory analysis of whisky flavour. Journal of the Institute of Brewing. 1979. March 4;85(2):82–5. [Google Scholar]
- 51.Poisson L, Schieberle P. Characterization of the most odor-active compounds in an American Bourbon whisky by application of the aroma extract dilution analysis. Journal of agricultural and food chemistry. 2008. June 21;56(14):5813–9. 10.1021/jf800382m [DOI] [PubMed] [Google Scholar]
- 52.Poisson L, Schieberle P. Characterization of the key aroma compounds in an American Bourbon whisky by quantitative measurements, aroma recombination, and omission studies. Journal of agricultural and food chemistry. 2008. June 27;56(14):5820–6. 10.1021/jf800383v [DOI] [PubMed] [Google Scholar]
- 53.Willner B, Granvogl M, Schieberle P. Characterization of the key aroma compounds in Bartlett pear brandies by means of the sensomics concept. Journal of agricultural and food chemistry. 2013. September 25;61(40):9583–93. 10.1021/jf403024t [DOI] [PubMed] [Google Scholar]
- 54.Adhikari K, Chambers IV ED, Miller R, Vázquez-Araújo LA, Bhumiratana N, Philip C. Development of a lexicon for beef flavor in intact muscle. Journal of Sensory Studies. 2011. December 1;26(6):413–20. [Google Scholar]
- 55.World Coffee Research. 2016. World coffee research sensory lexicon: unabridged definitions and references. 1st ed College Station, Tex: World Coffee Research; in press. Available from: www.worldcoffeeresearch.org. [Google Scholar]
- 56.Jack F. Development of guidelines for the preparation and handling of sensory samples in the Scotch whisky industry. Journal of the Institute of Brewing. 2003;109(2):114–9. [Google Scholar]
- 57.Meng Q, Murray SC, Mahan A, Collison A, Yang L, Awika J. Rapid estimation of phenolic content in colored Maize by near-infrared reflectance spectroscopy and its use in breeding. Crop Science. 2015;55(5):2234–43. [Google Scholar]
- 58.Hazelwood LA, Daran JM, van Maris AJ, Pronk JT, Dickinson JR. The Ehrlich pathway for fusel alcohol production: a century of research on Saccharomyces cerevisiae metabolism. Applied and environmental microbiology. 2008. April 15;74(8):2259–66. 10.1128/AEM.02625-07 [DOI] [PMC free article] [PubMed] [Google Scholar]
- 59.Burdock GA. Fenaroli's handbook of flavor ingredients. 6th ed CRC press; 2016. April 19. [Google Scholar]
- 60.Flament I, Bessière-Thomas Y. Coffee flavor chemistry. John Wiley & Sons; 2002. [Google Scholar]
- 61.Martin GE, Dyer RH, Buscemi PC. Quantitative gas-liquid chromatographic determination of ethyl esters and isoamyl acetate in whiskies and rums and confirmation by mass spectrometry. J Assoc Off Anal Chem. 1974. [Google Scholar]
- 62.Haze S.; Gozu Y.; Nakamura S.; Kohno Y.; Sawano K.; Ohta H.; Yamazaki K. (2001). "2-Nonenal Newly Found in Human Body Odor Tends to Increase with Aging". Journal of Investigative Dermatology. 116 [DOI] [PubMed] [Google Scholar]
- 63.Brouwer BO, Murphy KM, Jones SS. Plant breeding for local food systems: A contextual review of end-use selection for small grains and dry beans in Western Washington. Renewable Agriculture and Food Systems. 2016. April;31(2):172–84. [Google Scholar]
- 64.Brouwer BO, Schwarz PB, Barr JM, Hayes PM, Murphy KM, Jones SS. Evaluating Barley for the Emerging Craft Malting Industry in Western Washington. Agronomy Journal. 2016;108(3):939–49. [Google Scholar]
- 65.Dawson JC, Healy GK. Flavour Evaluation for Plant Breeders. Plant Breeding Reviews. 2018. January 17;41:215–62. [Google Scholar]
- 66.Halloran A. The new bread basket: How the new crop of grain growers, plant breeders, millers, maltsters, bakers, brewers, and local food activists are redefining our daily loaf. Chelsea Green Publishing; 2015. June 26. [Google Scholar]
Associated Data
This section collects any data citations, data availability statements, or supplementary materials included in this article.
Supplementary Materials
(XLSX)
(XLSX)
(XLSX)
(XLSX)
(XLSX)
(XLSX)
(XLSX)
(XLSX)
(XLSX)
(XLSX)
Data Availability Statement
All relevant data are within the manuscript and its Supporting Information files.




