Abstract
In this chapter, a comprehensive overview of the most significant and interesting contributions published from 2000 until now, concerning the preparation of novel β-lactam structures is presented. Among the different synthetic strategies available, either novel or already known but efficient and versatile methodologies are covered. The simple modifications of one or more substituents linked to the nitrogen N-1, the C-3, and the C-4 carbon atoms of the β-lactam nucleus were considered as an alternative synthetic protocol of more complex and polyfunctionalized molecules. Indeed, it is well known and extensively reviewed that the biological activity of this strained four-membered heterocycle is strictly dependent on the nature of the substituent groups that affect the reactivity towards the molecular active sites, increasing or lowering the possibility of interaction with the substrates. Finally, a synthetic survey of the most significant biological and pharmacological applications of the 2-azetidinones is reported.
Keywords: Beta-lactam, Cyclization reaction, Enzyme inhibitor
Introduction
β-Lactam nucleus is the core of the biological activity of a large class of antibiotics characterized by the presence of this four-membered ring and differentiated by side chains, unsaturations, heteroatoms, and, in many cases, by the presence of five-or six-membered rings.
After the discovery of penicillins and cephalosporins as classical β-lactam antibiotics and clinically useful active agents, the past few decades have witnessed a remarkable growth in the field of β-lactam chemistry [1, 2]. The need for potentially effective β-lactam antibiotics as well as more effective β-lactamase inhibitors has motivated synthetic organic and medicinal chemists to design new functionalized 2-azetidinones. Besides their clinical use as antibacterial agents, these compounds have also been used as synthons in the preparation of various heterocyclic compounds of biological significance [3–7]. The potential use of some β-lactams as therapeutic agents for lowering plasma cholesterol levels has been documented as well [8, 9]. Extensive studies of the human leukocyte elastase (HLE) inhibitory mechanism and the biological activity of this class of compounds have also been published [10].
As a result, considerable attention is paid by the synthetic organic and medicinal chemists to continue updating their knowledge about novel β-lactam synthesis, based either on new or well established methodologies, or on the modification of preexisting groups linked to the four-membered ring.
In this chapter, we present a comprehensive overview of the most significant and interesting contributions on the preparation of the β-lactam structures published in various journals since 2000. The synthetic methodologies covered are based either on new or well established methodologies. As an alternative protocol, the simple structural modification of preexisting groups linked to the nitrogen N-1, the C-3, or the C-4 carbon atoms was also examined. Moreover, a synthetic survey of the literature on the biological and pharmacological applications of the 2-azetidinone compounds is included, focusing attention on the structure-activity relationships (SARs) studies, which can be employed to design new and more efficient molecules.
Biological Activity
In this paragraph, a synthetic survey of the most significant biological and pharmacological applications of β-lactam derivatives is reported. A more detailed survey of the current literature in this field is given in Sect. 4.3
Antibacterial Activity: Inhibitors of β-Lactamases
The emergence of pathogenic microorganisms resistant to multiple classes of antibiotics is a serious clinical challenge [11–16]. Among these classes of antibacterials, β-lactam antibiotics are still the most commonly used, over 50 years after their initial introduction. The most common mechanism for resistance to β-lactam antibiotics is the ability of bacteria to produce β-lactamases [17–21]. These enzymes hydrolyze the β-lactam moiety in the drugs, inactivating the antibiotics. Studies of amino acid sequence homology have identified four distinct classes of β-lactamase: A, B, C, and D [22]. Among these, classes A and C are currently the most important in human disease [21]. A successful approach to overcoming the adverse action of these enzymes has been the coadministration of β-lactamase inhibitors together with the typical β-lactam antibiotics, such as pennicillins [21–24]. Unfortunately, this approach has been compromised by the discovery of new variants of β-lactamases, resistant to the inhibition afforded by known inhibitors [25–30]. Therefore, the development of novel β-lactam inhibitors to withstand inactivation by the ever-increasing diversity of β-lactamases has thus been a continuous and still on-going battle.
Several monocyclic β-lactams variously substituted have also been reported to have antibacterial activity against different strains of bacteria and with different mechanisms of action.
Inhibitors of Various Enzymes
Leukocyte elastase (LE) is a serine protease, expressed by polymorphonuclear (PMN) leukocytes, mainly neutrophils, which acts both intracellularly to kill engulfed pathogens and extracellularly to mediate coagulation, immune responses, and wound debridement [31]. Because LE has the potential to degrade some structural proteins of the extracellular matrix (ECM) such as elastin, fibronectin, and collagens, excess of LE activity has been involved in a number of pathological conditions that lead to the impairment of ECM organization, including rheumatoid arthritis, emphysema, cystic fibrosis, and tumor progression [32]. LE also activates the proenzymatic form of matrix metalloproteinase (MMP)-9 [31], massively released by the PMN leukocytes and instrumental to their extravasation [33, 34]. A number of β-lactams, compounds widely used as antimicrobial drugs, have been identified as inhibitors of these serine enzymes, in particular LE [35]. Inhibitors of LE, and in particular of HLE, have a core structure of a four-membered β-lactam ring. Most of them are based on the cephem nucleus or are bicyclic compounds, such as clavams and cephalosporins. More recently, monocyclic β-lactams variously substituted have also been studied.
Among the inhibition of other types of enzymes, several representatives of the class of β-lactams have been found to effectively inhibit proteases. 2-Azetidinones tetrasubstituted have also been identified as powerful and selective inhibitors of thrombin, a serine protease involved in both venous and arterial thrombotic episodes. Analogous compounds have also been found to display inhibition towards tryptase.
Azetidin-2-Ones as Vasopressin V1a Antagonists
The neurohypophysical hormones vasopressin and oxytocin exert a wide range of physiological effects through binding to specific membrane receptors belonging to the G protein-coupled receptor superfamily [36]. To date, three vasopressin receptor subtypes and one oxytocin receptor have been pharmacologically and functionally described [36]. Although vasopressin is perhaps best-known for its role in the cardiovascular system, it also has actions in the central nervous system (CNS). Arginine vasopressin functions as a neurochemical signal in the brain to affect social behavior. There is an expanding literature from animal and human studies showing that vasopressin, through the vasopressin 1A receptor (V1a), can stimulate aggressive behavior. The β-lactam structure, prepared by different research groups, is the essential scaffold of several antagonists directed to the vasopressin V1a receptor.
Hypocholesterolemic and Antihyperglycemic Activity
Atherosclerotic coronary artery disease (CAD) is one of the major causes of death. Although reducing dietary fat and cholesterol is still considered the appropriate first-line therapy, the advent of more effective pharmacological agents has led to an increased use of drug therapy to control serum cholesterol [37, 38]. Serum cholesterol can be reduced by inhibiting endogenous cholesterol biosynthesis, promoting hepatic cholesterol clearance from the plasma, and inhibiting the absorption of dietary and biliary cholesterol from the intestines (for a review of pharmacological approaches to the treatment of atherosclerosis see [39]). 2-Azetidinones with various substituents have been studied as effective inhibitors of cholesterol absorption.
Monocyclic β-lactams tetrasubstituted have been reported for antidiabetic activity, as they are able to control diabetic hypercholesterolemia. Induction of diabetes was confirmed by a significant rise in serum glucose and a depression in hepatic glycogen contents that control the cholesterol metabolism.
Anticancer Activity
Recently discovered antitumor monocyclic and bicyclic β-lactam systems [40–42] are, in general, in good agreement with the phenomenon of azetidin-2-one pharmacophore of inexhaustible pharmacological potential on account of the specific ability of its numerous derivatives to inhibit not only bacterial transpeptidase, but also mammalian serin and cystein proteases [43]. As a measure of cytotoxicity, some compounds have been assayed against nine human cancer cell lines.
A family of novel β-lactam antibiotics based on N-methyltio substituted 2-azetidinones have also shown the apoptosis-inducing properties against human solid tumor cell lines such as breast, prostate, and head-and-neck [44].
Antiviral Activity
Human cytomegalovirus (HCMV) is a ubiquitous member of the herpes virus family. Although most infections are asymptomatic, severe manifestations of HCMV can be seen in individuals whose immune system has been weakened by disease such as late-stage cancers and AIDS, or by immunosuppressive therapy following organ transplantation [45–47]. Due to its critical role in capsid assembly and viral maturation, HCMV serine protease has become an attractive target for the development of anti-HMCV drugs [48]. Among the latter, a series of monocyclic β-lactams have resulted in highly potent inhibitors.
General Synthetic Methodologies of β-Lactam’s Preparation
Considering the large pharmacological potential and use of the β-lactam systems, intensive research has generated numerous methods for synthesizing this skeleton, and the topic has been amply documented and reviewed several times [49, 50]. Moreover, as documented in the subsequent Sect. 4, the chemical reactivity of the β-lactam ring depends strongly on the substitution at the N-1, the C-3, and the C-4 positions.
The synthetic methodologies covered are either new or already known and they are classified, in this paragraph, by the kind of reaction. The most efficient and used class of synthetic reactions for preparing the β-lactam ring are reported as follows:
Staudinger-reaction. The Staudinger reaction consists in the coupling of ketenes with imines. The ketene could be also prepared in situ in different ways (Scheme 1).

Scheme 1
Scheme 12.

Synthesis of 4-substituted amino-trans-β-lactams by cycloaddition reaction
Gilman–Speeter reaction. The Gilman–Speeter reaction is the coupling of anion enolates with imines (Scheme 2).

Scheme 2
Alper reaction. The Alper reaction corresponds to the ring expansion of aziridines by metal-catalyzed CO insertion (Scheme 3).

Scheme 3
Mitsunobu reaction. The Mitsunobu reaction is an intramolecular cyclization of suitable amides (Scheme 4).

Scheme 4
Kinugasa reaction. The Kinugasa reaction consists in the coupling of nitrones with propargyl moieties catalyzed by copper salts (Scheme 5).

Scheme 5
Torii Reaction. The Torii reaction is a metal-catalyzed cyclocarbonylation of allyl derivatives with imines (Scheme 6).

Scheme 6
Intramolecular cyclization. The intramolecular cyclization of suitable substrates can afford 2-azetidinones under the following conditions:
Electrochemical induction
Photo-irradiation
Ultra-sound irradiation
Lewis-acid catalysis
Base catalysis
Heterocyclic rearrangement. Suitable heterocycles can rearrange to 2-azetidinones.
Other reactions. In this paragraph, the reactions not included above are reported.
Literature Survey
Synthesis of Novel Substituted β-Lactams
Staudinger Reaction
In 2000, the group of Banik et al. reported the enantiospecific synthesis of 3-hydroxy-2-azetidinones by microwave assisted Staudinger reaction [51]. Chiral imines, derived from chiral aldehydes and achiral amines, reacted with methoxy- or acetoxy-acetyl chloride to afford a single, optically pure cis-β-lactam, (Scheme 7).
Scheme 7.

Synthesis of optically pure cis-β-lactams
3-Unsubstituted β-lactams have instead been obtained, by the same authors, through indium-mediated reaction of imines with alkyl bromoacetates [52]. β-Lactams having a wide range of substituents linked to the nitrogen atom, such as aryl, aryl alkyl, or allyl groups, could be prepared by this pathway.
Microwave-induced organic reaction enhancement chemistry techniques have been reported to allow highly accelerated synthesis of variously substituted vinyl-β-lactams, using limited amounts of solvents and with efficient stereocontrol [3].
Enantiopure tricyclic β-lactams have been prepared by a stereoselective synthesis. The [2+2] cycloaddition of imine, obtained from the corresponding tricarbonyl chromium(0) 2-fluoro benzaldehyde and para-methoxyaniline [53], with acetoxyacetyl chloride at 0°C and Et3N in CH2Cl2 afforded the cis β-lactam as a single diastereoisomer in 94% yield (de>98%). Subsequent treatment of the cis β-lactam with hydrazine in CH3OH gave, in 85% yield, the corresponding cis 3-hydroxy β-lactam. The intramolecular displacement of the fluorine atom, with an equimolar amount of NaH at room temperature, produced the tricyclic β-lactam. Finally, the uncomplexed compound was obtained quantitatively by exposure of the complex to air and sunlight in CH2Cl2 solution (Scheme 8), [54]. This latter product was also synthesized in racemic and enantiopure form starting from the enantiomerically pure tricarbonyl chromium(0) complex.
Scheme 8.

Stereoselective synthesis of tricyclic β-lactams
The synthesis of penams has been reported to be conveniently prepared from Meldrum’s acid [55] and thiazoline [56]. The substrates were reacted in dry benzene containing dry HCl (gas) at reflux to afford a series of penam derivatives with aryl, n-hexyl, and cyclohexyl substituents (Scheme 9), [57].
Scheme 9.

Stereoselective synthesis of penam derivatives
The synthesis of enantiopure 4-unsubstituted 3-alkoxy- and 3-amino β-lactams has been reported to be performed in two steps: (a) and (b). (a) The [2+2] cycloaddition reaction of chiral formaldehyde N, N-dialkylhydrazones to alkoxy or aminoketenes. (b) The magnesium monoperoxyphthalate (MMPP)-promoted oxidative N–N bond cleavage of the resulting hydrazides (Scheme 10), [58].
Scheme 10.

Synthesis of 4-unsubstituted 3-alkoxy- and 3-amino-β-lactams from formaldehyde N,N-dialkylhydrazones
A protocol has been reported based on a cyclization procedure followed by hydrolysis and oxidation, which allowed the preparation of α-keto-β-lactams (Scheme 11), [59]. The cyclization of imines with acetylglyoxylic acid, in the presence of POCl3 and Et3N, gave 3-acetoxy-β-lactams in good yields as cis-isomers, prevalently. These latter were hydrolyzed to alcohols in excellent yields under very mild conditions. Subsequent oxidations were performed by treatment with dimethyl sulfoxide (DMSO) in the presence of phosphorous pentoxide to give α-keto-β-lactams. More 2-azetidinones were synthesized varying the substituent of the acetyl moiety.
Scheme 11.

Synthesis of α-keto-β-lactams
4-acylamino and 4-sulphonamido-trans-β-lactams have been reported to be synthesized from trisubstituted amidines via cycloaddition reaction with ketenes (Scheme 12), [60]. Amidines bearing an electron-withdrawing substituent on enamine nitrogen could increase the β-lactam stability. The starting trisubstituted amidines were prepared by reacting N′,N′-diarylamidines with aryloyl chloride in the presence of triethylamine.
d-xylose derivative has been reported to be an excellent chiral auxiliary in the Staudinger reaction for the construction of β-lactams (Scheme 13), [61].
Scheme 13.

Asymmetric synthesis of β-lactams by chiral auxiliary based on D-xylose derivative
Cyclic imines furnished trans products whereas acyclic imines possessing trans geometry gave cis products.
N-Ts-imines have been reported to react with ketenes in the presence of suitable nucleophilic catalysts to give rac-β-lactams in good chemical yields at room temperature [62]. The diastereomeric ratios were highly influenced by the kind of nucleophile involved. For instance, using chiral nucleophiles such as benzoylquinine (BQ) the synthesis became highly diastereo- and enantioselective (dr, cis/trans = 99:1; ee>95%).
In 2001, β-lactams have been reported to be obtained via Staudinger reaction with complete cis-diastereoselection starting from prochiral imine chromium complexes (Scheme 14), [63].
Scheme 14.

cis-Diastereoselective synthesis of β-lactams using prochiral imine chromium complexes
Enantioselective synthesis of analogous β-lactams has been also reported [63]. If the starting imine complex was prepared from the corresponding chiral amine in enantiomerically pure form (Fig. 1), two separable diastereomers were obtained. Using, then, one of the two diastereomers, cis-β-lactams were isolated as single enantiomers.

Scheme 1
In 2002, the asymmetric synthesis of 3-substituted 3-hydroxy-β-lactams has been reported to be realized by metal-mediated 1,3-butadien-2-ylation reactions between 1,4-dibromo-2-butyne and optically pure azetidine-2,3-diones [64]. This latter starting material was prepared via Staudinger reaction followed by sequential transesterification and Swern oxidation (Scheme 15), [65].
Scheme 15.

Asymmetric synthesis of 3-substituted 3-hydroxy-β-lactams
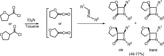
An efficient synthesis of tetrahydrofuran-derived spiro-β-lactams has been reported to be performed by a Staudinger-type reaction of either 2- or 3-tetrahydrofuroyl chloride with imines [66]. The reaction was carried out by adding Et3N to the acyl chloride in refluxing toluene and adding then the imine. A mixture of cis- and trans-spiro-β-lactams in good to moderate yield was obtained (Scheme 16).
Scheme 16.

Synthesis of tetrahydrofuran-derived spiro-β-lactams
The Staudinger reaction of imines derived from 7-oxanorbornenone with 2-alkoxyacetyl chlorides has been reported to afford spiro-β-lactams with an unexpected exo stereochemistry [67].
The chiral glycine derivatives, having the oxazolidinone moiety as a chiral auxiliary [68], have been reported to give the asymmetric Staudinger reaction on solid support with different resin bound aldimines in the presence of triethylamine [69]. Optically active substituted β-lactams were obtained, after cleaving from the resin, in good to high overall yields with high diastereoselectivity (Scheme 17).
Scheme 17.

Solid phase synyhesis of 3,4-substituted azetidinones
Rink resin derived imines have been reported to give cycloaddition reactions with acetyl chlorides (or equivalent) using triethylamine as the base and dichloromethane as the solvent at temperature ranging from 0°C to room temperature [70]. The resin-bound β-lactam could be cleaved by using 50% trifluoroacetic acid (TFA) in dichloromethane, to afford the N-unsubstituted β-lactam.
N,N-Dialkylhydrazones as the imine component in the Staudinger-like [2+2] cycloaddition to benzyloxyketene have been reported [71, 72]. The reaction led to the desired β-lactams in excellent yields (84–98%), moderate to good selectivities(3R,4S > 3S,4R), and only traces of trans isomers (3R, 4R) were detected in some cases.
The coupling of ketenes and imines has been reported to be catalyzed by a bifunctional system in which a chiral nucleophile was paired with an achiral Lewis acid metal salt [73, 74]. Optically enriched β-lactam products were isolated in high yields, (Scheme 18). Among the various Lewis acids studied, such as Mg(OTf)2, Cu(MeCN)4ClO4, YbCl3, La(OTf)3, AgOTf, Al(OTf)3, Sc(OTf)3, Zn(OTf)2,and In(OTf)3, this latter was the best overall cocatalyst for promoting the reaction. The best chiral nucleophiles used are reported in Scheme 18.
Scheme 18.

Bifunctional Lewis acid/nucleophile catalyzed synthesis of β-lactams
Planar-chiral derivatives of 4-(pyrrolidino)pyridine (PPY) have been reported as efficient catalysts for enantioselective Staudinger reactions [75]. These chiral derivatives catalyzed the reactions between a range of symmetrical and unsymmetrical disubstituted ketenes and a wide imine array leading to β-lactams with good stereoselections and yields.
A methodology for the catalytic asymmetric synthesis of β-lactams has also been reported, resulting from the development of a catalyzed reaction of ketenes (or their derived zwitterionic enolates) and imines [76]. Despite the fact that simple tertiary amines such as triethylamine usually catalyzed the reaction in a nonselective fashion, bifunctional catalyst, such as A and B (Scheme 19), may lead to a potentially rigid activated complex affording products in a cis/trans ratios of 3/97 and 98/2, respectively.
Scheme 19.

Diastereoselectivity in the nucleophile-catalyzed reaction of methylphenylketene and imine
The use of a chiral catalyst such as benzoylquinine in this reaction allowed the obtaining of a high enantioselectivity with ee > 95%.
A multistep solid phase synthesis of β-lactams with imines of benzaldehyde coming out from commercially available fluorinated α-amino acids has been reported in 2003 [77]. Using the Merrifield resin-bound imine [78, 79] in dichloromethane, the cycloaddition was carried out between –78°C and rt by addition of benzyloxyacetyl chloride in the presence of triethylamine. The resin cleavage using sodium methylate resulted in the two cis β-lactam derivatives (Scheme 20).
Scheme 20.

Solid phase synthesis of cis β-lactams
Alkylideneamido complex [Re(N=CPh2)(CO)3(bpy)] [80] has been reported to react with ketene to afford, via Staudinger reaction, a single β-lactam complex whose structure was determined by X-ray diffraction [75]. The β-lactam complex reacted with methyl triflate (CH3OTf), affording the free N-methyl-β-lactam and the complex used as precursor (Scheme 21), [81].
Scheme 21.

Synthesis of β-lactams from N-rhenaimine
Instead, complexes with chiral chelates of the 2,2′-bipyridine (bpy) ligand could lead to asymmetric induction in the synthesis of chiral β-lactams.
The use of Mukaiyama’s salt for the Staudinger reaction in a solid-phase synthesis of β-lactams has been reported to produce the ring construction in a stereoselective manner [82, 83]. The cycloaddition reaction was carried out adding 2,5 equiv. of aryloxylacetic acid and 6 equiv. of triethylamine to a suspension of the resin-bound aldimine in chloroform, followed by 3 equiv. of Mukaiyama’s salt and stirring at reflux temperature for 2 h. After cleavage and esterification, β-lactam was obtained in good yield (50–85%), and fairly good stereoselectivity (cis > trans), (Scheme 22).
Scheme 22.

Stereoselective synthesis of β-lactams using Mukaiyama’s salt
The synthesis of an enantiopure β-lactam as advanced precursor of thrombin and tryptase inhibitor, has been centered on the condensation between S-2-pyridylthio 5-(4-methoxyphenoxy)pentanoate and the N-4-methoxyphenylimine derived from O,O-cyclohexylidene d-glyceraldehyde (Scheme 23), [84].
Scheme 23.

Synthesis of an enantiopure β-lactam as precursor of thrombin and tryptase inhibitor
Chiral imines derived from d-(+)-glucose have allowed an asymmetric synthesis of β-lactams by the [2+2] cycloaddition with ketenes [85]. cis-β-Lactams were formed with very high diastereoselectivity and the stereochemistry at the C-3 and the C-4 was established as 3S and 4R from the known absolute configuration of the sugar moiety (Scheme 24).
Scheme 24.

Asymmetric synthesis of cis-β-lactams starting from chiral imines derived from D-(+)-glucose
The stereochemistry of the Staudinger reaction was highlighted [86] using as substrates polyaromatic imines and acetoxy, phenoxy, or phthalimido acid chloride. The stereochemistry of the resulting β-lactams seemed to vary depending on the substituents present in the imines and the acid chlorides. For instance, if the polyaromatic moiety was linked to the iminic nitrogen, the reaction produced trans-β-lactams; if the same moiety was linked to the iminic carbon, cis-β-lactams were isolated.
In 2004, bis-(cyclophanyldiol)AlOTf complex has been reported to catalyze the enantio- and diastereoselective synthesis of β-lactams via Staudinger reaction (Scheme 25), [87].
Scheme 25.

Catalytic synthesis of β-lactams by a dimeric cyclophane ligand
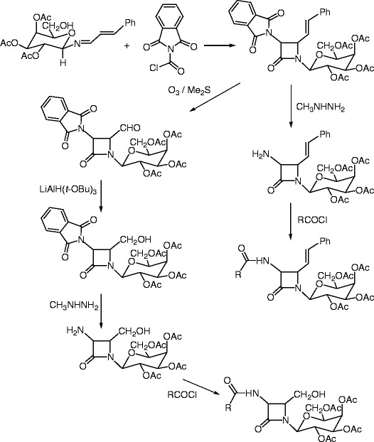
The Staudinger [2+2] cycloaddition of chiral carbohydrate Schiff base with phthalimidoacetyl chloride has yielded the sugar-based monocyclic β-lactam as a single isomer [88]. This latter could be transformed in several β-lactams variously functionalized through ozonolysis, reduction, hydrolysis, and acetylation reactions, (Scheme 26).
Scheme 26.

Synthesis of sugar-based monocyclic β-lactams by Staudinger [2+2] cycloaddition reaction
A chiral group at the C-4 of the acid chloride of proline directed the stereoselectivity of Staudinger reaction and later was sacrified to obtain optically active 5,4-spiro-β-lactams [89]. The Staudinger reaction between an in-situ generated ketene, derived from optically active acid chloride, and imines was conducted in CH2Cl2 using Et3N as base at rt (Scheme 27). The chromatography purification of the crude products afforded two diastereomerically pure β-lactams (single enantiomers in each case) in good yields. Proline-derived spiro-β-lactams were obtained eliminating the methansulfonic acid and the N-Cbz-group (with K2CO3/MeOH), and hydrogenating by Pd.
Scheme 27.

Synthesis of 5,4-spiro-β-lactams by Staudinger reaction
A collection of 4-(C-galactosyl)- and 4-(C-ribosyl)-β-lactams featuring different substituents at C-3 and N-1 has been prepared by combining in a one-pot procedure a formyl C-glycoside, a primary amine, and a substituted acetyl chloride in the presence of a base (Scheme 28), [90].
Scheme 28.

Synthesis of 4-(C-galactosyl)- and 4-(C-ribosyl)-β-lactams
The synthesis of 1,3-disubstituted-4-trichloromethyl azetidin-2-ones by the Staudinger cycloaddition of ketenes with imines derived from chloral has been described to occur with high stereoselectivity [91]. The cis-isomer was obtained almost always as the major or the single product.
Reaction of d-phenylalanine ethyl ester with cinnamaldehyde has been reported to give a chiral Schiff base, that underwent an asymmetric Staudinger [2+2] cycloaddition reaction with phthalimidoacetyl chloride to give the monocyclic β-lactam as a single stereoisomer. Ozonolysis of this latter followed by reduction with lithium aluminum tri(tert-butoxy)hydride has produced the hydroxymethyl-β-lactam, that was converted to the bicyclic β-lactam upon treatment with metansulfonyl chloride and 1,8-diazabicyclo[5.4.0]undec-7-ene (DBU), (Scheme 29), [92].
Scheme 29.

Synthesis of mono- and bicyclic β-lactams starting from D-phenylalanine ethyl ester
α-Amino-β-lactams have been reported to be prepared via Staudinger-like [2+2] cycloaddition of N,N-dialkylhydrazones to α-aminoketenes [93]. The reaction was stereoselective leading to trans-3-amino-4-alkylazetidin-2-ones as single diastereomers (Scheme 30).
Scheme 30.

Stereoselective synthesis of trans 3-amino-4-alkylazetidin-2-ones
A solid-phase strategy for the synthesis of trans 3-alkyl β-lactams has been reported to start from 9-fluorenylmethoxycarbonyl(Fmoc)-glycine thethered to Wang resin [94]. The amine group was deprotected by treatment with 30% piperidine in N,N-dimethylformamide (DMF) and condensed with p-anisaldehyde in 1% acetic acid in DMF to give the corresponding aldimine. The subsequent [2+2] cycloaddition between the in situ generated ketene and the imine has produced the β-lactamic product. The resin cleavage followed by the esterification afforded the β-lactam as a single product with excellent trans selectivity.
Benzodiazepines [95, 96] and triethylamine in CH2Cl2 treated with acetoxyacetyl chloride or phthalimidoacetyl chloride at 0°C afforded exclusively the β-lactam-fused 1,4-benzodiazepines [97]. In all the cases studied, the reaction provided the final tricyclic systems in very good yields. A high level of diastereoselectivity was achieved and the final products were isolated as single diastereomers, with a cis relationship between the aryl group from the benzodiazepine and the substituent of the ketene.
In 2005, reactions of ketenes generated from α-diazoketones with acyclic and cyclic imines have been investigated under both microwave and photoirradiation conditions [98]. The reported results indicated that the zwitterionic azabutadiene-type intermediates yielded from imines and ketenes underwent a conrotatory ring closure to produce exclusively β-lactams (Scheme 31).
Scheme 31.

Mechanism of the Staudinger reaction starting from ketenes generated from α-diazoketones under microwave and photoirradiation conditions
β-Lactams with polyaromatic substituents at C-4 have been reported to be synthesized, via Staudinger reaction [99]. The reaction of polyaromatic imines with acetoxy, phenoxy and phthalimido acid chloride in the presence of triethylamine at –78°C to rt produced exclusively trans-β-lactams in good yields, (Scheme 32). The domestic microwave irradiation on this type of substrates was utilized with good success. The effect of a peri hydrogen was found to be significant in controlling the stereochemistry of the resulting β-lactams.
Scheme 32.

Synthesis by microwave irradiation of β-lactams having polyaromatic substituents at the C-4 position
Spiro-β-lactams have been synthesized via [2+2] cycloaddition of cyclic ketenes with imines [100]. Opposite trans or cis diastereoselectivity was obtained using different imines with electron-donating or electron-withdrawing (R1) substituents at the N-atom, (Scheme 33).
Scheme 33.

Synthesis of spiro-β-lactams by [2+2] cycloaddition reaction
The cyclic ketenes were generated from N-acyl-1,3-thiazolidine-2-carboxylic acids by means of Mukaiyama’s reagent. The same reaction generated enantiomerically pure 1,3-thiazolidine-derived spiro-β-lactams, using optically active N-tert-butoxycarbonyl-1,3-thiazolidine-2-carboxylic acid derivatives as precursors of the asymmetrical chiral cyclic ketenes (tert-butoxycarbonyl: Boc) [101].
A comprehensive study on the solid-phase synthesis of β-lactam compounds has been reported [102]. In situ generated ketenes reacted with aldimines, immobilized on commercially available solid supports, under mild conditions to generate libraries of β-lactams in good to very good overall isolated yields. Different β-lactam derivatives with various substituents at the C-3 and the C-4 position were obtained. The utility of this protocol was also demonstrated by highlighting efficient asymmetric versions when homochiral ketenes or homochiral aldimines were used.
The Staudinger reaction, catalyzed by 4-(pyrrolidino)pyridine derivative, could be controlled through the appropriate choice of the N-protecting group of the imine [103]. Thus, ketenes coupled with N-tosyl imines predominantly generated cis-β-lactams, whereas reactions with N-triflyl imines preferentially furnished trans isomers.
A combined theoretical and experimental study has been reported for the formation of silylated β-lactams, via Staudinger [2+2] cycloaddition reaction from silylketenes and imines, in the presence or in the absence of a Lewis acid [104].
The experimental study was carried out with two different imines: a standard one, n-hesanaldimine, and an electron-poor one, n-butyl glyoxylate imine. The Scheme 34 shows that the formation of the β-lactam occurred only when the glyoxylate imime and BF3-Et2O reacted with (trimethylsilyl)ketene.
Scheme 34.

Synthesis of silylated-β-lactams via Staudinger [2+2] cycloaddition reaction
The β-lactam was formed in fair yield and in a 60:15:15:10 (cis:cis:trans:trans) mixture of four diastereoisomers.
In order to investigate the mechanism of the Staudinger reactions studied experimentally, the energy profiles for the formation of the cis and trans β-lactams were calculated. Theoretical results suggested that the reaction would proceed most favorably with the BF3 catalyst coordinated to the ketene.
Treatment of imines with ethyl bromodifluoroacetate and Et2Zn, in the presence of RhCl(PPh3)3 in anhydrous medium, has been reported to give via Reformasky-type reaction difluoro-β-lactams and 3-amino-2,2-difluorocarboxylic esters, [105]. Different product ratios were observed changing the reaction conditions (solvent, reaction time, addition of MgSO4).
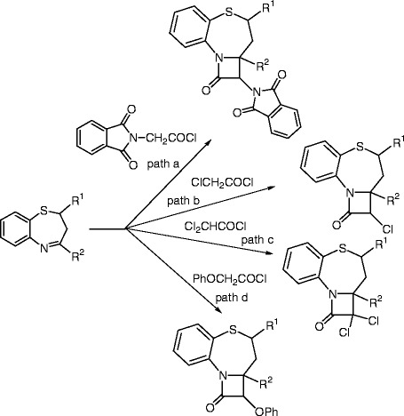
A benzothiazepine-fused β-lactam library has been reported to be obtained [106] via Staudinger cycloaddition of 2,3- dihydro-1,5-benzothiazepines and various acyl chlorides such as phthalimidoacetyl chloride (path a, Scheme 35), chloroacetyl chloride (path b, Scheme 35), dichloroacetyl chloride (path c, Scheme 35), and phenoxyacetyl chloride (path d, Scheme 35).
Scheme 35.

Synthesis of benzodiazepine-fused β-lactam library
The Schiff base obtained by (S)-(−)-tyrosine ethyl ester hydrochloride with 2-hydroxybenzaldehyde has been reported to be transformed, via Staudinger reaction, into the chiral monocyclic β-lactam by treatment with achiral ketene prepared in situ from phthaloylglycyl chloride and triethylamine [107].
Ketene-imine cycloaddition reactions of ethoxycarbonyl(phenylthio)ketene with various imines and subsequent desulfurization reactions have been reported in 2006 to synthesize 3-ethoxycarbonyl β-lactam derivatives [108].
The stereoselective synthesis of bis-β-lactams grafted macrocycles has been described [109]. Macrocyclic imine and phenoxy acetyl chloride in the presence of triethylamine produced a diastereomeric mixture of cis macrocyclic bis-β-lactams (Scheme 36) by the Staudinger reaction.
Scheme 36.

Stereoselective synthesis of cis macrocyclic bis-β-lactams
trans-β-Lactams have been reported to be regioselectively synthesized by [2+2] Staudinger cycloaddition reactions of imine such as (3,4-dimethoxybenzylidene)-(4-methoxyphenyl)-amine and ketenes derived from different acyl chlorides and triethylamine [110].
trans-β-Lactams have also been obtained by the Staudinger reaction carried out between divinylimine and N-acylimidazoles possessing an electron-withdrawing group (EWG) in α position [111]. This latter were prepared by treatment of α-EWG substituted carboxylic acids with 1,1-carbonyldiimidazole.
A stereocontrolled Staudinger cycloaddition reaction has been reported to be performed on vinylketenes, possessing a γ-heteroatom, and imines to produce trans-vinyl-β-lactams [112]. The vinyl side chain adopted stereoselectively the (Z) configuration in the transition state, stabilizing the vinyl ketene and leading, exclusively, to the trans-3-vinyl-β-lactam (Scheme 37).
Scheme 37.

Plausible mechanism for the formation of trans-β-lactams
The (Z) configuration, adopted by the RX-vinyl groups, was explained by the authors via participation of the γ-heteroatom ion pair of electrons. Although, the (E)-imine is more stable compared to the corresponding (Z)-imine, it is less reactive due to the severe steric interaction between the RX group and the aryl group of the imine in the transition state TS-2. This steric interaction is absent in TS-1 that arose from the exo attack of the (Z)-imine on the vinylketene. Therefore, TS-1 was preferentially formed, which by conrotatory ring closure gave trans-β-lactams.
Chiral imines have been prepared by reacting (R)-glyceraldehyde acetonide with different ω-haloalkylammonium halides. Treatment of the latter with 1.3 equiv. of benzyloxy-, phenoxy- or methoxy acetyl chloride in dichloromethane, in the presence of triethylamine afforded the optically active corresponding β-lactams (Scheme 38) in high yield and high diastereomeric excess [113].
Scheme 38.

Preparation of optically active β-lactams by the Staudinger reaction
The Staudinger reaction between enantiopure 5,6-dihydropyrazin-2-(1H)-ones and an excess of 2-heterosubstituted acetylchloride in the presence of triethylamine in dichloromethane at room temperature has been reported to produce in excellent yield and high diastereoselectivity fused oxopiperazino-β-lactams (Scheme 39), [114].
Scheme 39.

Synthesis of fused oxopiperazino-β-lactams by the Staudinger reaction
3-Spirocyclopropanated β-lactams have been prepared by a three-component cascade reaction [115]. A mixture of alkylhydroxylamine hydrochlorides, aldehydes, and bicyclopropylidene, under microwave heating in ethanol as solvent, furnished 3-spirocyclopropanated 2-azetidinones with good yields (Scheme 40).
Scheme 40.

Synthesis of 3-spirocyclopropanated 2-azetidinones by a cascade three-component reaction
cis/trans Mixture of β-lactams have been obtained in 2007, by a new protocol involving a catalytic, one-pot reaction carried out in the absence of solvent [115, 116]. The Scandium (III) triflate catalyzed, at room temperature the condensation between silyl ketene thioacetals, readily obtained from 2-pyridyl thioesters, and imines in fair to good yields (45–71%), (Scheme 41). This procedure could be applied also to the stereoselective synthesis of enantiomerically pure azetidinones.
Scheme 41.

Synthesis of β-lactams by catalytic one-pot reaction
Disubstituted β-lactams have been obtained with high trans diastereoselection in the reaction between N-phenylsulfenylimines, as nucleophilic partners in the Staudinger reaction, and acetoxyacetyl chloride (Scheme 42), [117].
Scheme 42.

Reaction between N-sulfenylimine and acetoxyacetyl chloride affording disubstituted β-lactams
The comparison of these results with those observed for the cycloaddition of alkoxyketene [118] suggested an exo approach of the ketene for the formation of the zwitterionic intermediate A (Scheme 43), that might directly affect ring closing to afford cis products. Alternatively, A might undergo a C=N bond isomerization to B prior to ring closing thus affording trans products.
Scheme 43.

Model for the relative stereoselectivity in the Staudinger reaction
The use of less electron-releasing acetoxy substituent reduced the direct ring closure rate sufficiently to allow a complete C=N isomerization, thus affording pure trans products.
β-Lactams have been obtained in 2008, by treatment of methyleneaziridines in THF with BnMgCl and CuI inducing ring opening of the aziridine at the C-3 to generate the metalloenamine, which was alkylated with BnBr. Subsequent addition of glacial acetic acid and then (benzyloxy)ketene (generated from BnOCH2COCl and Et3N) yielded β-lactam (Scheme 44), [119].
Scheme 44.

Synthesis of substituted β-lactams by four-component reaction
1-nosyl 3,3-dichloro-β-lactams were reported to be prepared using the Staudinger reaction between N-nosyl imines and dichloroketene [120].
N-Heterocyclic carbenes were demonstrated to be efficient catalysts for the Staudinger reaction of ketenes with N-aryl-, N-alkylcarbonyl imines [121]. Chiral N-heterocyclic carbenes gave the corresponding cis-β-lactams in good yields with good diastereoselectivities and excellent enantioselectivities (ee>99%).
A one-pot cascade approach to 4-alkylidene-β-lactams from aryl azides and aryloxyacetyl chlorides has been reported. (4-Methyloxyphenyl)azides reacted with triphenylphosphine in 1,2-dichloroethane to form triphenylphosphazene, which was treated with phenoxyacetyl chloride and Et3N to afford 4-phenoxymethylene-β-lactam (Scheme 45), [122].
Scheme 45.

Synthesis of 4-phenoxymethylene-β-lactam from (4-methyloxyphenyl)azides and phenoxyacetyl chloride
The synthesis of 4-aryl-3-(3-chloropropyl)azetidin-2-ones was reported to be performed by means of a Staudinger reaction between arylmethylideneamines and 5-chloropentanoyl chloride in the presence of 2,6-lutidine [123].
The [2+2] cycloaddition of aliphatic hydrazones derived from (2R,5R)-1-amino-2,5-dimethylpyrrolidine to N-benzyl-N-(benzyloxycarbonyl)aminoketene was reported to take place affording the corresponding β-lactams in good yields when iPr2EtN was used as the base (Scheme 46), [124].
Scheme 46.

Synthesis of 3-amino-4-alkyl-2-azetidinones by [2+2] cycloaddion of aliphatic hydrazones to N-benzyl-N-(benzyloxycarbonyl)aminoketene
The reaction proceeded in all cases with excellent stereocontrol to afford exclusively products having the (3R) configuration. Temperature was observed to exert a strong influence on the cis/trans selectivity, allowing the obtention of single trans or cis cycloadducts in most cases, simply by performing the reactions at 80°C or room temperature, respectively.
A new and efficient one-pot approach towards chiral 2-azetidinones has been reported to start from (2S)-chloro-1-propanol. The treatment of this latter with 5 equivalents of pyridinium chlorochromate in dichloromethane at room temperature afforded the (2S)-chloropropanal which treated with 1 equivalent of amine and 1.5 equivalents of MgSO4 yielded the (S)-N-(2-chloropropylidene)amines. Finally, treating the chloropropylideneamines with 1.3 equivalents of benzyloxyacetyl chloride, under Staudinger conditions, gave the corresponding β-lactams (Scheme 47), [125].
Scheme 47.

One-pot synthesis of chiral 4-(1-chloroethyl)-β-lactams from (2 S)-chloro-1-propanol
Although many attempts have been made to explain the Staudinger reaction, the nature of the relative stereoselectivity remains obscure. Several investigators have suggested different models to predict the stereoselectivity, but their proposals were in conflict to some extent [126–131]. An interesting contribution to the interpretation of the stereoselectivity in the β-lactam formation was done by Xu and coworkers [118]. They proposed a model based on a kinetic analysis of the cis/trans ratios of reaction product. Based on their results the origin of the relative stereoselectivity can be described as follows: a) the stereoselectivity is generated as a result of the competition between the direct ring closure and the isomerization of the imine moiety in the zwitterionic intermediate; b) the ring closure step is most likely an intramolecular nucleophilic addition of the enolate to the imine moiety, that is obviously affected by the electronic effect of the ketene and the imine substituents; c) electron-donating ketene substituents and electron-withdrawing imine substituents accelerate the direct ring closure, leading to a preference for cis-β-lactam formation, while electron-withdrawing ketene substituents and electron-donating imine substituents (EDG) slow the direct ring closure, leading to a preference for trans-β-lactam formation; d) the electronic effects of the substituents on the isomerization is a minor factor influencing the stereoselectivity (Scheme 48 and Fig. 2).
Scheme 48.

Suggested model for the relative stereoselectivity in the Staudinger reaction

Fig. 2
Gilman–Speeter Reaction
In a micro-review the group of Benaglia [132] reported in 2000 that S-thioesters could be used as versatile reagents for the efficient preparation of a variety of β-lactams by the enolate/imine condensation reaction. The stereocontrol was provided by the stereocenter on the S-thioester or by the one on the imine nitrogen. Notwithstanding the numerous attempts made, varying also the cyclization conditions, it appeared very difficult to predict the trans/cis stereoselectivity as many different factors could concur in determining the stereochemical results.
The condensation reaction of immobilized ester enolates with imines has been reported to give β-lactam resins in good yields and high diastereomeric excess (Scheme 49), [133]. Traceless cleavage from the linker system yielded the desired β-lactams.
Scheme 49.

Solid-phase synthesis of β-lactams via ester enolate-imine condensation
The cycloaddition of the N-2-methoxyphenyl aldimines with lithium ynolates (for a review see [134]) has been reported to give β-lactams enolates, that reacted with one more equivalent of the imine to give β-lactams in good yields (Scheme 50), [135].
Scheme 50.

Cycloaddition of ynolates with N-2-methoxyphenyl imines affording β-lactams
For activating the cyclization reaction a strategic role was played by the 2-position of the methoxy group linked to the imine and the R2 substituent should not be bulky. For instance, when the methoxy moiety was in 4-position and R2 = tert-butyl, the reaction proceeded very slowly or did not afford the desired product.
In 2001, Sierra and coworkers have reported that ethyl 3-ferrocenylpropanoate reacting with an excess of lithium diisopropylamide (LDA) afforded an enolate that condensed with imine: the resulting reaction mixture contained the expected 2-azetidinone as a cis/trans mixture (3:1), and the unexpected 3-hydroxy β-lactam [136]. The ferrocene moiety was linked to the β-lactam ring at the C-3 position, (Scheme 51).
Scheme 51.

Synthesis of C-3 ferrocene-substituted 2-azetidinones
In 2002, the condensation of the titanium enolate derived from 2-pyridylthio acetoxyacetate with N-4-methoxyphenylimine of (S)-O,O-cyclohexylidene protected glyceraldehyde has been reported to give (3S,4R,4′R)-β-lactam as a single product in 65% isolated yield (Scheme 52), [137]. A reactions sequence at C-3 and C-4 led in good yield to the β-lactam inhibitor of the serine protease prostate-specific antigen.
Scheme 52.

Stereoselective synthesis of β-lactam inhibitor of the serine protease prostate-specific antigen
The condensation of chiral furaldimines with lithium esther enolates has been reported as an efficient route to chiral furyl β-lactams [138]. The (4R)-β-lactam was formed with high diastereoselectivity.
The synthesis of β-lactams enantiomerically pure, via a multistep Gilman-Speeter type reaction [139] has been reported to be carried out with chiral oxazolidinones [140]. Titanium tetrachloride mediated condensation with imine gave an intermediate β-amino acyloxazolidinone, the major diastereomer of which could readily be purified by SiO2 chromatography. Silylation and fluoride catalyzed cyclization gave the final β-lactam (Scheme 53).
Scheme 53.

Synthesis of enantiomerically pure β-lactams
The synthesis of monocyclic β-lactams via the ester-enolate imine condensation route has been reported to be carried out utilizing triazene esters (Scheme 54), [141]. Esters were attached to benzylamine resin by a triazene linker employing the respective diazonium salts. Immobilized ester-enolates were reacted with various imines to give polymer-bound β-lactams in different substitution patterns. Traceless cleavage from the triazene linker yielded the desired β-lactams.
Scheme 54.

Solid phase synthesis of monocyclic β-lactam derivatives
Iridium-catalyzed reductive coupling of acrilates and imines has been reported to provide trans β-lactams with high diastereoselection [142]. The use of electron-deficient aryl acrylates resulted in improved product yields. The mechanism, proposed by the authors, started from an in situ generated iridium hydride reacting with the acrilate to provide an iridium enolate that, then, reacted with the imine to give a β-amido ester. Subsequent cyclization furnished the β-lactam and an iridium alcoxide.
In 2007, Boyer and coworkers developed a complete study of the parameters that can influence the selective synthesis of β-lactam or β-aminoester during Reformatsky reaction between ethyl bromodifluoroacetate and various imines. It clearly appeared that by modifying the nature of the amine or the reaction conditions, it was always possible to inverse the β-aminoester/β-lactam ratio (Scheme 55).
Scheme 55.

Synthesis of gem-difluoro-β-aminoesters and gem-difluoro-β-lactams from ethyl bromodifluoroacetate
Moreover, high levels of stereoselectivity were obtained for gem-difluoro-β-aminoesters and gem-difluoro-β-lactams using either (R)-phenylglycinol or (R)-methoxyphenylglycinol [143].
Alper Reaction
The ring expansion of aziridines has been reported in 2001 as a well established protocol [144] for preparing β-lactams in a regioselective manner [145]. A variety of aziridines with different substituents and stereochemistry was subjected to cobalt carbonyl-catalyzed carbonylation to give β-lactams. The ring expansion to β-lactams took place in the absence of an electron-withdrawing substituent and higher yields were always obtained for cis-aziridines, (Scheme 56). The regioselectivity of the reaction and then the β-lactam ratios, were affected by the nature of the substituents at the ring carbon atoms.
Scheme 56.

Regioselective synthesis of β-lactams by cobalt-catalyzed ring expansion of aziridines
A complete regioselectivity has been observed in 2002 in the carbonylative ring expansion of aziridines trimethylsilylsubstituted, using Co2(CO)8 as catalyst to give β-lactams (Scheme 57), [146].
Scheme 57.

Conversion of cis aziridines to trans β-lactams
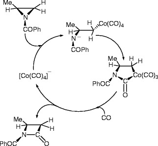
[Lewis acid]+[Co(CO)4]− complexes have been reported as a versatile class of catalysts for carbonylative ring expansion of aziridines to β-lactams [147]. For instance, catalysts such as [C5H5Ti(thf)2][Co(CO)4] and [(salph)Al(thf)2][Co(CO)4]12 [148] have been shown to efficiently carbonylate a variety of aziridines under mild conditions. Further, the authors proposed a mechanism for the CO insertion into aziridines. A theoretical investigation has been also reported for the [Co(CO)4]−-catalyzed carbonylative ring expansion of N-benzoyl-2-methylaziridine to β-lactams (Scheme 58), [149].
Scheme 58.

Proposed catalytic cycle for aziridine carbonylation
Rhodium-complexed dendrimers, supported on a resin, have been reported to show high activity for the carbonylative ring expansion of aziridines with carbon monoxide to give β-lactams (Scheme 59), [150].
Scheme 59.

Carbonylative ring expansion of aziridines with rhodium-complexed dendrimers
Theoretical studies have also been reported on the catalytic activity of the rhodium (I) in the carbonylative ring expansion of aziridines to β-lactams [151].
Mitsunobu Reaction
β-Lactams have been reported in 2001 to be prepared on solid phase starting from serine, threonine, or other β-hydroxyacids derived from naturally occurring amino acids and a resin bound hydroxylamine [152]. The ring closure was carried out under Mitsunobu conditions, (Scheme 60).
Scheme 60.

Solid phase synthesis of β-lactams under Mitsunobu conditions
In 2005, α-benzylserine derivative [153] was reported to be converted into the β-lactone using PPh3 and diethyl azodicarboxylate, giving an aza-peptide, which was then subjected to Mitsunobu conditions to afford the 3-benzyl-β-lactam azapeptidomimetic (Scheme 61), [154].
Scheme 61.

Synthesis of 3-benzyl-β-lactam azapeptidomimetic
N-Benzyloxy-4-aryl-3-(S)-hydroxybutanamide gave ring closure to β-lactam, via Mitsunobu reaction [155].
Kinugasa Reaction
In 2002, the coupling of alkynes with nitrones catalyzed by Cu(I)/bis(aza-ferrocene) has been reported to produce β-lactams enantioselectively [156]. The generation of the β-lactam proceeded with excellent cis diastereoselectivity irrespective of the nature of the substituents linked to the alkynes or the nitrones (Scheme 62).
Scheme 62.

Enantioselective catalyzed synthesis of cis β-lactams
In 2005, the Kinugasa reaction performed on N-propargyl nucleobases, such as adenine, uracil, and thymine derivatives, with diphenyl nitrone has been reported to produce cis- and trans-β-lactam nucleosides (Scheme 63), [157].
Scheme 63.

Synthesis of β-lactam nucleosides via Kinugasa reaction
The 3-exo-methylene β-lactam was isolated only using the di-Boc protected adenine as substrate.
The ynamide-Kinugasa reaction has been used for the highly stereoselective synthesis of chiral α-amino-β-lactams. The application of this reaction consists in the preparation of chiral α-amino-2-azetidinones starting from chiral ynamide (Scheme 64), [158].
Scheme 64.

Synthesis of α-amino-β-lactams via ynamide-Kinugasa reaction
Torii Reaction
In 2004, Troisi and coworkers have reported the palladium-catalyzed [2+2] carbonylative cycloaddition of imines to allyl halides of different structures to give β-lactams (Scheme 65), [159].
Scheme 65.

Stereoselective synthesis of allyl β-lactams
The carbonylative [2+2] cycloaddition was performed also on chiral imines with allyl halides affording β-lactams with good stereoselectivity [160].
These results were obtained by performing the reactions in slightly different conditions than those used by Torii and coworkers. For instance, they reported the palladium-catalyzed cyclocarbonylation of allyl phosphate with imines in a stereoselective manner, depending on the imine used for the coupling, (Scheme 66), but they could not obtain any reaction product starting from allyl halides [161].
Scheme 66.

Palladium-catalyzed cyclocarbonylation of allyl phosphate with imines
In 2006, the palladium-catalyzed carbonylative [2+2] cycloaddition of allyl bromide with heteroaryliden anilines was reported to afford 2-azetidinones N-phenyl substituted, with a heteroaryl moiety linked to the C-4 carbon, and an alkenyl group at the C-3 carbon [162]. The reaction proceeded with high stereoselectivity.
A similar reaction performed with allyl bromide and N-α-aza-heteroaryl substituted imines has been reported to give partially β-lactams. This latter, for instance, underwent isomerization to the more stable α,β-unsaturated carbonyl compounds, and variously substituted pyrimidinones were also isolated (Scheme 67), [163].
Scheme 67.

[2+2] Cyclocarbonylation of allyl bromide with N-α-aza-heteroaryl substituted imines
In 2008, the same authors reported the synthesis of polyfunctionalized N-alkyl-β-lactams with high stereoselectivity in an efficient manner performing the same reaction with allyl bromide and heteroarylidene N-alkyl-amines. Interestingly, by modulating the type of alkyl group linked to the nitrogen atom, it is possible to influence the reaction stereoselectivity [164].
Intramolecular Cyclization
Electrochemical Induction
In 2005, a diastereoselective synthesis of cis-3-alkyl-1-benzyl-4-ethoxycarbonyl-β-lactams has been reported to be developed by galvanostatic electrolysis of a solution of acetonitrile containing a tetraalkylammonium salt, as supporting electrolyte and N-(ethoxycarbonyl)methyl-N-benzyl-2-bromoalkylcarboxamides [165]. The electrogenerated cyanomethyl anion, at room temperature and under a nitrogen atmosphere, caused the cyclization of the substituted carboxamides. High cis/trans ratios were observed with all the substrates exploited, (Scheme 68).
Scheme 68.

Synthesis of disubstituted β-lactams by galvanostatic electrolysis
In 2006, electrochemically induced synthesis of β-lactams, by cyclization of haloamides, has been achieved in suitable solvent-supporting electrolyte solutions previously electrolyzed under galvanostatic control [166, 167]. The yields and the stereochemistry of the process were influenced by the nature of the R1–R4 substituents, by the solvent-supporting electrolyte solutions, and by the electrolysis conditions (Scheme 69).
Scheme 69.

Electrochemical synthesis of β-lactams
More recently, electrochemically induced cyclization of linear bromoamides to β-lactams has been reported to be achieved in room-temperature ionic liquids [168].
Photo-Irradiation
In 2001, diazoketones [169, 170] derived from suitably protected amino acids have been reported to be photochemically rearranged in the presence of imines leading exclusively to trans-substituted β-lactams with up to 84% yield [171]. Selectivities were dependent on the steric demand of the amino acid side-chain with dr ranging from 65:35 to 90:10, (Scheme 70).
Scheme 70.

Stereoselective synthesis of β-lactams by photochemical rearrangement
The photochemical reaction of alkoxychromium(0)carbene complexes and ferrocene mono- and disubstituted imines have been reported to form 2-azetidinones having one or two ferrocene moieties in good yields [136]. The chromium(0)carbene complex reacted smoothly with ferrocene imines that allowed to place ferrocene substituents at the N-1, and the C-4, or simultaneously at the N-1 and the C-4 positions of the β-lactam ring, with cis stereoselectivity (Scheme 71).
Scheme 71.

Synthesis of N-1 and C-4 ferrocene-substituted 2-azetidinones
By reacting the imine with the aminochromium(0)carbene complex, having the ferrocene group attached to the amino moiety, the corresponding 2-azetidinone was isolated as a cis-trans mixture (10:1), (Scheme 72).
Scheme 72.

Synthesis of C-3 ferrocene-substituted 2-azetidinones
In 2002, α-oxoamides have been reported to be transformed into β-lactams via photochemical rearrangement [172]. Good results were obtained via irradiation of ionic and covalent chiral auxiliary-containing reactants in the crystalline state and in the interior supercages of zeolites (Scheme 73).
Scheme 73.

β-Lactams synthesis via photochemical rearrangement of α-oxoamides
The group of Podlech has reported that trans-substituted β-lactams (dr 70:30) can be prepared treating an Fmoc-protected leucine-derived diazoketone with a benzylidene-protected glycine ester in a photochemically induced Staudinger-type reaction [173]. Separation of the isomers, deprotection, and attachment of Fmoc-proline using the pentafluorphenyl ester activation protocol yielded the protected peptidomimetic in 93% yield, (Scheme 74). Deprotection and amidation resulted in formation of the trans-substituted β-lactam.
Scheme 74.

trans-Substituted β-lactams synthesis by photochemically induced Staudinger reaction
In 2003, irradiation of isoxazolium anhydrobase in acetonitrile has been reported to give a novel β-lactam system such as a 4,5-dihydrofuroazetidinone (yield 60%) [174]. The mechanistic interpretation of this result involved a photochemical N–O bond cleavage, followed by the formation of a cyclopropanone intermediate (Scheme 75).
Scheme 75.

Synthesis of β-lactam system by photorearrangement of isoxazolium anhydrobase
In 2004, Podlech and coworkers have reported some further advances in the photochemical treatment of Fmoc-protected diazoketones A and B, (Scheme 76), derived from leucine and alanine, respectively, with N-(benzylidene)glycine and leucine methyl ester to produce a mixture of the corresponding diastereomeric trans-substituted β-lactams [175].
Scheme 76.

Synthesis of β-lactam-containing dipeptide analogs
The moderate selectivity was in accordance with the bulkiness of the diazo ketone’s side-chains.
α-Silylketoamides and α-stannylketoamides, irradiated in MeOH or MeCN with pyrex glass filtered light (λ > 290 nm), have been converted into β-lactams along with other products, including oxazolidinones and α-hydroxamides (Scheme 77), [176].
Scheme 77.

β-Lactam-forming photochemical reaction starting from α-silyl- and α-stannylketoamides
Two mechanisms were proposed for the β-lactam-forming photoreactions, one radical involving excited-state H-atom abstraction while the other following a sequential single-electron-transfer (SET)-proton-transfer route.
In 2008, Sakamoto and coworkers have reported the synthesis of optically active β-lactams via photochemical intramolecular γ-hydrogen abstraction reaction of thioimides [177]. This reaction provides the first example of a chiral-memory effect for the photochemical γ-hydrogen abstraction reaction of thiocarbonyl or carbonyl compounds, and a useful synthetic methodology for preparing optically active β-lactams (Scheme 78).
Scheme 78.

Photochemical β-lactam synthesis by γ-hydrogen abstraction by a thiocarbonyl group
Ultra-Sound Irradiation
In 2004, the Reformatsky reactions of imine, α-bromoester, zinc dust, and a catalytic amount of iodine in dioxane under high intensity ultrasound (HIU) irradiation have been reported to afford β-lactam and the corresponding β-aminoester [178]. The reactions were performed in short reaction times and high yields of both products or a mixture of the two products were obtained, depending on the starting imine and on the α-bromoester (Scheme 79).
Scheme 79.

Reformatsky reaction of imines and α-bromoesters affording β-lactams and β-aminoesters
Lewis-Acid Catalysis
A Lewis acid-catalyzed cyclization of 2-aza-3-trimethylsilyloxybuta-1,3-diene has been reported in 2003 and the stereochemical differences with the uncatalyzed cyclization have been discussed [179]. The data reported showed that in analogy to the uncatalyzed reaction, diastereomeric trans-azetidinones were obtained (Scheme 80).
Scheme 80.

Lewis acid-catalyzed synthesis of trans-β-lactams
Base Catalysis
In 2001, 3-unsubstituted 4-alkyl-4-carboxy-2-azetidinones have been reported to be prepared by base-assisted intramolecular alkylation of N-benzyl-N-chloroacetyl amino acid derivatives [180]. N-benzyl or N-(p-methoxybenzyl) amino acid derivatives in THF, treated with propylene oxide and chloroacetyl chloride afforded the N-chloroacetyl amino acid derivatives. The treatment of the latter in CH3CN with Cs2CO3 (or NaH) produced the intramolecular cyclization of 4,4-disubstituted β-lactams, (Scheme 81).
Scheme 81.

Synthesis of 4,4-disubstituted β-lactams by base-assisted intramolecular alkylation
An asymmetric synthesis of α,β-disubstituted β-amino esters and β-lactams has been reported [181]. Chiral β-amino esters were prepared by a stereocontrolled Mannich reaction with enolizable imines using an enolate derived from (S,S)-(+)-pseudoephedrine propionamide as chiral auxiliary. The obtained β-amino esters were subjected to a reported base-promoted cyclization [182, 183] affording the β-lactams in good yields and as unique detectable stereoisomer (Scheme 82).
Scheme 82.

Asymmetric synthesis of β-lactams by base-promoted cyclization of β-amino esters
Bromo-enamides have been reported to give radical cyclization in excellent yields (82–99%) to β-lactams using catalytic amounts (30%) of tripyridylamine (TPA) copper(I) halide complex [184]. The β-lactam developed under mild conditions via 4-exo bromine atom transfer and subsequent elimination of the tertiary bromide that could be readily achieved by reaction with DBU (Scheme 83).
Scheme 83.

Synthesis of β-lactams by bromo-enamides radical cyclization
In 2002, 3,5-trans-(+)-(3R,5R)-3-carbomethoxycarbapenam has been reported to be prepared via a known cyclization reaction [185] starting from enantiopure carboxy pyrrolidine with di(2-pyridyl)disulfide, triphenylphosphine, and triethylamine in refluxing acetonitrile for 8 h (Scheme 84), [186].
Scheme 84.

Synthesis of 3,5-trans-(+)-(3R,5R)-3-carbomethoxycarbapenam starting from an enantiopure amino acid
The starting enantiopure pyrrolidine was prepared from 3-hydroxypyridine following the five-step sequence of the established route [187–189] and the piperidine-pyrrolidine ring-contraction reaction [190, 191].
A general approach towards the asymmetric synthesis of amino acid derived 4-alkyl-4-carboxy-2-azetidinones has been described [192]. The (+)- or (−)-10-(N,N-dicyclohexylsulfamoyl)isoborneol was used as chiral auxiliary in the intramolecular cyclization of N-(p-methoxybenzyl)-N-chloroacetyl Phe and Ala derivatives for the stereocontrolled base-catalyzed construction of the β-lactam ring (Scheme 85).
Scheme 85.

Stereocontrolled construction of the β-lactam ring
In 2003, dicarboxamides E and Z derived from fumaric and maleic acids, respectively, were reported to yield the same product, a single syn diastereomer of the β-lactam, when treated with LDA at 0°C (Scheme 86), [193].
Scheme 86.

Selective synthesis of syn β-lactams from E and Z dicarboxamides
The N-alkyl-N-chloroacetyl amino acid derivatives [180] have been reported to undergo the base-promoted cyclization to β-lactams [194]. The stereoselectivity, due to memory of chirality, was highly dependent on the substituents of the starting amino acids. The amino acid side-chain (R3) appeared to be the principal stereodirecting element, offering additional support for the explanation that the memory of chirality was caused by a hindered rotation around the C–N bond (Scheme 87).
Scheme 87.

Stereoselective synthesis of β-lactams from amino acid derivatives
Treatment of isonicotinamide with LDA at −40°C and addition of an acylating or alkylating agent were reported in 2005 to form in good yield, a dearomatized product with spirocyclic β-lactam structure (Scheme 88), [195]
Scheme 88.

Synthesis of spirocyclic β-lactams by dearomatizing cyclization reaction
In 2007, the desulfinylation and deprotonation of chiral 1′-aminodioxolanones followed by the based-induced cyclization was reported to afford the corresponding chiral tetrasubstituted 3-hydroxy-2-azetidinones (Scheme 89), [196, 197].
Scheme 89.

Deprotection of 1′-aminodioxolanones to give the corresponding β-lactam
In 2008 Yang and coworkers have reported an efficient synthesis of substituted α-alkilidene-β-lactams via a NaOH- promoted intramolecular aza-Michael addition of α-carbamoyl, α-(1-chlorovinyl) ketene-S,S-acetals and subsequent nucleophilic vinylic substitution reaction in alcoholic media (Scheme 90), [198].
Scheme 90.

Synthesis of α-alkilidene-β-lactams from α-acyl, α-carbamoyl ketene-S,S-acetals
Heterocyclic Rearrangement
In 2002, alicyclic cis-β-amino acids have been reported to react with cyclohexyl isocyanide and substituted benzaldehyde via a liquid-phase Ugi four-center three-component reaction to afford β-lactams derivatives [199]. The products were isolated after 24 h at room temperature from the mixture in methanol, in moderate to good yields. Plausible reaction intermediates have been proposed (Scheme 91).
Scheme 91.

Liquid-phase synthesis of alicyclic β-lactams via Ugi three-component reaction
A β-lactam ring substituted by a thiazole moiety has been reported to be formed simultaneously and under mild condition during the course of a multicomponent reaction [200]. When the 3-dimethylamino-2-isocyanoacrylate was reacted with the aldehyde in the presence of a β-aminothiocarboxylic acid, substituted 1-thiazole-2-yl-methyl-azetidin-2-one was smoothly formed (Scheme 92). Plausible reaction intermediates have been proposed.
Scheme 92.

Simultaneous assembly of β-lactam and thiazole moiety by a multicomponent reaction
In 2003, the thermolysis of 3,4-cis ring-fused 5-spirocyclopropane isoxazolidines, in the presence of a protic acid (TFA) at 70–110°C, has been reported to yield 3,4-cis ring-fused azetidin-2-ones with concomitant extrusion of ethylene, in good yields (Scheme 93), [201].
Scheme 93.

Selective ring contraction of 5-spirocyclopropane isoxazolidines mediated by acids
Analogously, in 2004, it has been reported that the treatment of bis-spirocyclopropanated isoxazolidines [202–207] with TFA in acetonitrile furnished the 3-spirocyclopropanated β-lactams in 75–96% yields [208].
The β-lactamic ring was also formed by the acidic thermal rearrangement of spiro[cyclopropane-1,5′-isoxazolidines], [209]. The rearrangement was almost instantaneous at 90°C, as the starting material was completely converted after 2 min.
In 2008, a very mild reductive N–O bond cleavage of fluorinated isoxazolidines was reported to provide a novel and general entry to β-lactams and ester of β-amino acids containing a trifluoromethyl group (Scheme 94), [210].
Scheme 94.

Synthesis of α-trifluoromethyl-β-lactams via reductive cleavage of isoxazolidines
Other Reactions
In 2000, the metal-mediated carbonyl propargylation or allenylation of enantiomerically pure azetidine-2,3-diones [211] has been reported to afford stereoselectively functionalized 3-substituted 3-hydroxy-β-lactams (Scheme 95), [212].
Scheme 95.

Metal-mediated carbonyl propargylation or allenylation of pure azetidine-2,3-diones
A new protocol for the stereoselective synthesis of β-lactams [213] has been reported to be performed by a conrotatory ring closure of 1-halo-3-aza-4-alkyl-1, 3-dienes, previously prepared by Staudinger methodology, (for the synthesis and chemistry of N-silyl imines see [214]; for [2+2] cycloaddition of N-silyl imines and ketenes see [215]) in refluxing toluene (Scheme 96).
Scheme 96.

Stereoselective synthesis of 3-unsubstituted β-lactams by conrotatory ring closure of 1,3-diene derivatives
When R was a stereogenic center, of the four possible stereoisomers only the two trans-3-halo-isomers were obtained. A modification of the so-obtained β-lactams [216] has been also reported consisting in a dehalogenation procedure giving rise to 3-unsubstituted β-lactams, (Scheme 96).
The Mn(III)-mediated 4-exo-trig cyclization of enamides to β-lactams has been reported to be carried out with good diastereoselection by placing suitable chiral substituents on the nitrogen atom (Scheme 97), [217].
Scheme 97.

Mn(III)-mediated cyclization of enamides to β-lactams
β-Lactam structures have been reported to be constructed by treatment of substituted β-amino acids with dicyclohexylcarbodiimide (DCC) in refluxing acetonitrile (Scheme 98), [218]. The substrates were prepared by a multistep synthetic protocol previously reported [219].
Scheme 98.

Synthesis of β-lactams from substituted β-amino acids
In 2001, 3-(benzylamino)-3-phenylpropanoic acid [220] has been reported to give β-lactam in good yield, by cyclization reaction in the presence of phenylphosphonic dichloride and triethylamine in refluxing benzene (Scheme 99), [221].
Scheme 99.

Synthesis of β-lactam by β-amino acid cyclization
β-Enaminoketoesters [222] have been reported to be used for preparing (±)-2-azetidinones by a simple route (Scheme 100), [223].
Scheme 100.

Synthesis of (±)-2-azetidinones starting from β-enaminoketoesters
β-Enaminoketoesters were reacted with benzyl chloroformiate in the presence of sodium hydride to furnish the N-protected enaminoketoesters. The reduction of the carbonyl group with NaBH4 in methanol was followed by transformation of the derived hydroxyl group into the corresponding tert-butyl dimethylsilyl ether by reaction with tert-butyl dimethylsilyl chloride (TBDMSCl) in the presence of imidazole. The reduction of the carbon-carbon double bond was easily achieved by catalytic hydrogenation in the presence of Raney Nickel W-2. Finally, treatment with trimethylsilyl chloride (TMSCl) and triethylamine involved the formation in situ of the N-trimethylsilyl derivatives which, treated with tert-butyl magnesium chloride, gave the expected (±)-2-azetidinones.
A methodology was reported in 2002 for the synthesis of β-lactam fused enediynes [224]. When a solution of a diazo enediyne [225] was treated with a catalytic amount of rhodium acetate for 30 min, the β-lactam fused enediyne was obtained as the only product, (Scheme 101). The yield in the carbene insertion step was about 50%, the rest being decomposition products.
Scheme 101.

Catalytic synthesis of β-lactam fused enediynes
Chiral vinyl ethers attached to a Wang resin through the p-oxyphenylsulfonyl linker, have been reported to give the [2+2] cycloaddition reaction with chlorosulfonyl isocyanates (CSI) [226]. The intramolecular alkylation of the β-lactam nitrogen atom gave mixtures of the corresponding diastereomeric clavams or oxacephams, (Scheme 102).
Scheme 102.

Solid-phase synthesis of clavams and oxacephams trough β-lactam intermediate
In 2003, β-hydroxyacetyl-α-thioalkylamides have been reported to give a cyclization reaction to β-lactams through an intramolecular SN2 mechanism (Scheme 103), [227]. The β-lactams were obtained in a diastereomerically pure form.
Scheme 103.

Synthesis of β-lactams by intramolecular SN2 reaction
Starting from the commercially available (+)-3-carene, the cycloaddition of chlorosulfonyl isocyanate [228] has been reported to furnish the enantiomeric β-lactam in a regio- and stereoselective manner [229]. Treatment of the β-lactam with di-tert-butyl dicarbonate resulted in N-Boc β-lactam, that could be readily opened under mild conditions (Scheme 104).
Scheme 104.

Regio- and stereoselective synthesis of β-lactams by cycloaddition reaction
The reactions of 1,3-thiazolium-4-olates with aliphatic aldehydes carried out in refluxing benzene or dichloromethane, have been reported to produce a series of highly functionalized β-lactams and thiiranes at the same time [230]. The critical issue of the stereoselection was discussed in terms of the endo and exo approaches (respective to the aldehyde substituent) to any enantiotopic face of the heterocyclic dipole. Such orientations involved either the Re or the Si faces of the prochiral aldehydes (Scheme 105).
Scheme 105.

Mechanism suggested for the formation of highly functionalized β-lactams
In 2004, β-lactams were obtained by the cyclization of β-amino esters [231]. The treatment of the latter with 10% Pd-C in the presence of ammonium formiate for 3 h, followed by silylation of the resulting hydroxyl esters gave the silyloxy esters that were subjected to cyclization using the Breckpot reaction [232, 233] to give the β-lactams (Scheme 106).
Scheme 106.

Synthesis of β-lactams by cyclization of β-amino esters
Quaternary β-formyl α-amino acid derivatives have been converted into spiro β-lactams in excellent yield, using oxidation followed by simple base and acid treatment (Scheme 107), [234].
Scheme 107.

Synthesis of spiro β-lactams starting from formyl amino acid derivatives
The Baylis-Hillman reaction of optically pure azetidine-2,3-diones [235, 236] with methyl vinyl ketone in the presence of 1,4-diazabicyclo[2.2.2]octane (DABCO) in acetonitrile at –20°C for 1 h have been reported to give functionalized allylic alcohols, having the β-lactam scaffold, in good yields (80%) and complete diastereoselectivity [237]. In terms of achieving good yields with a reasonable rate of reaction, 50 mol% of DABCO seemed to be the catalyst amount of choice for this reaction. No significant solvent effect was observed in the overall yield (Scheme 108).
Scheme 108.

Baylis-Hillman reaction of enantiopure azetidine-2,3-diones
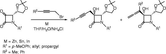
α-Allenols, containing the 2-azetidinone ring, have been reported to be obtained by reacting the same azetidine-2,3-diones with propargyl bromides in the presence of Indium as catalyst (Scheme 109), [238].
Scheme 109.

Synthesis of α-allenols from enantiopure azetidine-2,3-diones
In 2005, the group of Choi has reported a catalytic system based on [RuCl2 (p-cymene)2] that produced the stereoselective cyclization of α-diazoacetamides by intramolecular carbenoid C-H insertion and afforded β-lactams in excellent yield (>97%) with cis-stereoselectivity (>99%), (Scheme 110), [239].
Scheme 110.

cis-Stereoselective synthesis of β-lactams by catalytic systems
The reaction became enantioselective in the presence of a chiral pyridine-bis-(oxazoline) ligand yielding trans-β-lactam with ee of 50%.
In 2007, 1,3,4,4-tetrasubstituted β-lactams have been synthesized with exceptional stereoselectivity from amino acids [240]. The stereochemical control of the cyclization to the four-membered ring was fully dictated by the configuration of the N-2-chloropropionyl group in the linear precursor (Scheme 111).
Scheme 111.

Synthesis of 1,3,4,4-tetrasubstituted β-lactams from different amino acids
In 2008, Zhao and coworkers have reported a general and highly efficient method for the synthesis of 4-alkyliden-2-azetidinones via copper-catalyzed intramolecular C–N coupling of 3-bromobut-3-enamides [241]. Under Cu(I) catalysis the 4-exo ring closure was found to be fundamentally preferred over other modes of cyclization (Scheme 112).
Scheme 112.

Synthesis of 4-alkylidene-2-azetidinones
Li and coworkers have previously found that in the presence of an N-heterocyclic carbene catalyst cis-4-formyl-β-lactams underwent the ring expansion reaction to afford succinimide derivatives [242]. More recently, they reported the kinetic resolution version of this transformation attempted with a chiral N-heterocyclic carbene (Scheme 113), leading to cis-4-formyl-β-lactams with moderate ee of 64% [243].
Scheme 113.

Chiral N-heterocyclic carbene-catalyzed kinetic resolution of cis-4-formyl-β-lactams
An unprecedent skeletal rearrangement of O-propargyl oximes has been reported to go via copper complex catalysis, involving cleavage of five different covalent bonds (C=N, N–O, C–O, C–C, and C≡C) and leading to reorganization into β-lactams in good to excellent yields (Scheme 114), [244].
Scheme 114.

Five-bond-cleavage rearrangement of O-propargyl oximes to β-lactams
Structural Modifications to the N-1, the C-3, and the C-4 Positions
The modification of the substituents linked to the 2-azetidinone ring can afford a new family of β-lactams having, often, a stronger and more efficient biological and pharmacological activity. A brief list of the more significant modifications performed on the groups linked at the N-1, the C-3, and/or the C-4 positions are reported in this paragraph, with the figures related to the new structures obtained.
In 2000, a route to novel C-3 substituted 2-azetidinones (I, Fig. 3) has been reported involving a reaction of a β-lactam carbocation equivalent with active aromatic nucleophiles in the presence of a Lewis acid [245].

Fig. 3
3-halo-3-(phenylsulfonyl)-4-phenylazetidinones (II, Fig. 3) have been obtained by N-halosuccinimides [246].
The radical cyclization of N-acrylate-4-(2-bromoethyl)azetidin-2-ones [247] has been reported to form a bicyclic β-lactam (III, Fig. 3).
The synthesis of α-branched 3-amino-4-unsubstituted β-lactams (IV, Fig. 3) could be performed efficiently via an asymmetric alkylation of a single 3-oxazolidinyl azetidin-2-one [248].
The addition of lithium bis(methylenecyclopropyl)cuprates to acetoxy azetidinones has been reported to give methylenecyclopropyl azetidinones (Fig. 4) which could be further converted into various N-functionalized β-lactams [249].

Fig. 4
4-Alkenyl-2-azetidinone systems could be converted to bicyclic β-lactam carboxylic esters and hence carboxylic acids (Fig. 5) via tandem Ireland-Claisen rearrangement and subsequent alkene metathesis [250].

Fig. 5
The addition of nucleophiles to azetidinones has been reported to afford penems, carbapenems, and aza analogs of cephem (I, II and III, respectively, Fig. 6), [251].

Fig. 6
In 2001, tetracyclic 3.6.6.4 ring systems fused to a β-lactam (IV, Fig. 6) have been reported to form via 6-exo-trig radical cyclization [252].
Carbapenams (V, Fig. 6) have been produced by warming a solution of β-lactams having a propargyl carbonate moiety linked at the C-4 position [253].
Carbapenems (VI Fig. 6) have been, instead, obtained when a solution of β-lactams having an allyl carbonate substituent at the C-4 was warmed [254].
(R)-4′-Alkoxy-azetidin-2-one has been reported to be transformed into 5-oxa-cepham (VII, Fig. 6) by intramolecular alkylation of the β-lactam nitrogen atom [255].
β-Lactams like structures VIII and IX of Fig. 6 have been obtained from α-benzyloxy α-CF3-β-lactams by the enolate [1, 2]- and the ortho-[2, 3]-Wittig rearrangements, respectively [256].
Optically pure cis-2-azetidinone-tethered dienes have been reported to undergo intermolecular Diels-Alder reaction with a variety of symmetric and unsymmetric dienophiles [257] providing a synthetic entry to various types of racemic and homochiral 1,3,4-trisubstituted 2-azetidinones (I, Fig. 7).

Fig. 7
Starting from substituted 2-azetidinones, a family of tribactams (II, Fig. 7) has been reported to be prepared by using two main steps: an intramolecular metathesis reaction and a Diels-Alder cyclization [258].
The combination of Baylis-Hillman reaction and tandem radical addition/cyclization sequences [259], has been reported as a useful synthetic tool for the asymmetric synthesis of functionalized monocyclic and bicyclic β-lactams (III and IV, Fig. 7).
1,3,3-Trisubstituted β-lactams have been reported to be obtained through oxidative removal of the N-alkyl group from more complex β-lactams by treatment with cerium ammonium nitrate [260]. Anologous methodology was employed for a general synthesis of cis- and trans-β-lactams bearing a quinone moiety at the N-1, the C-3, or the C-4 position (I, II and III, respectively, Fig. 8), [261].

Fig. 8
2-Substituted penam (I, Fig. 9) has been reported to be obtained by coupling of thioaldehyde with azomethine ylide which was derived from the β-lactam based oxazolidinone [262].

Fig. 9
The preparation of 4-alkenyl β-lactams (II, Fig. 9) has been reported through either Horner-type olefination of a common 4-formyl β-lactam or the Corey-Winter alkene synthesis applied to 4-dihydroxyalkyl β-lactams [263].
Alcaide and coworkers have reported in 2002 the synthesis of various types of racemic and homochiral 1,3,4-trisubstituted- or fused polycyclic β-lactams (III and IV, respectively, Fig. 9) via intermolecular 1,3-dipolar cycloaddition reaction of 2-azetidinone-tethered nitrones with a variety of alkenes or alkynes [264].
The same authors have also reported the direct preparation of β-chlorovinyl alcohols (I, Fig. 10) by the coupling reaction of enantiopure 4-oxoazetidine-2-carbaldehydes with a variety of propynyl-, and allenylmetal reagents [265].

Fig. 10
The synthesis of tricyclic β-lactams (II, Fig. 10) has been reported to be promoted by titanoncene (III) chloride (Cp2TiCl) on the epoxymonobactams in the presence of intramolecular π systems (i.e., conjugated alkenes and lactones and amide carbonyls) [266, 267].
The reaction of the β-lactam-based oxazolidinone with N-sulfonylimines has been reported to provide the exo and endo azapenams (III, Fig. 10), whereas the reaction with azirines provided cycloadducts (IV, Fig. 10) that are precursors of azacephams [268].
The synthesis of new “selectively activated” enediyne prodrugs (I, Fig. 11) has been reported to start from suitably substituted β-lactams [269].

Fig. 11
The group of Palomo has reported in 2003 the preparation of short pseudopeptides containing enantiopure α-substituted α-amino-β-lactam fragments (II, Fig. 11) by α-alkylation of suitable N-[bis(trimethylsilyl)methyl]-β-lactams through a totally stereocontrolled way [270].
3-Alcoxycarbonyl-1β-methylcarbapenem and 3-alcoxycarbonyl-1α-methylcarbapenem (III and IV, respectively, Fig. 11) have been reported to be prepared by using a palladium-catalyzed C–N bond-forming coupling of vinyl halide and β-lactam nitrogen [271].
Using a similar methodology but starting from a β-lactam having a propargyl moiety, the synthesis of 1β-methylcarbapenem and 1α-methylcarbapenem (V and VI, respectively, Fig. 11) has also been reported [272].
Alcaide and coworkers have reported the thermolysis of β-lactam-tethered enallenyl alcohols to give tricyclic ring structures (Fig. 12) via a formal [2+2] cycloaddition of the alkene with the distal bond of the allene [273].

Fig. 12
The same authors have also reported the preparation of tricyclic β-lactams containing eight, nine, and 10 medium-sized central rings and four-, five-, and six-membered distal rings (I, II and III, respectively, Fig. 13) starting from conveniently substituted bis-β-lactams, pyrrolidinyl-β-lactams, and piperidinyl-β-lactams, which underwent ring-closing methatesis using Grubbs’carbene, Cl2(Cy3P)2Ru=CHPh [274].

Fig. 13
Furthermore, they have reported the preparation of aza-Diels-Alder cycloadducts (I and II, Fig. 14) arising from a useful dual Diels-Alder behavior. Imines derived from 4-oxoazetidine-2-carbaldehydes have been found to behave as azadienophiles with the Danishefsky’s reagent, and as azadiene with alkenes [275].

Fig. 14
Using enantiopure 4-oxoazetidine-2-carbaldehydes, the same authors have also reported the coupling reaction with various activated alkenes, in the presence of a Lewis acid, leading to homoallyl β-lactams (III, Fig. 14), [276].
Cainelli and coworkers have reported the synthesis of a class of 4-(2-oxoethylidene)azetidin-2-ones (IV, Fig. 14) that could be carried out by a novel Lewis acid mediated reactions of 4-acetoxyazetidin-2-ones with α-diazocarbonyl compounds [277].
The same authors have also reported that the (E)- and (Z)-4-alkylidene-β-lactams have shown a different reactivity in the acylation reactions under basic conditions [278]. For instance, the E isomer formed readily the N-acyl-4-alkylidene-β-lactam, while the Z isomer reacted sluggishly rearranging to the corresponding oxazin-6-one (I and II, respectively, Fig. 15).

Fig. 15
Lee and coworkers reported in 2004 the preparation of a key 1-β-methylcarbapenem intermediate (III, Fig. 15) by condensation of 4-acetoxy-β-lactam with a titanium enolate of 2′-hydroxypropiophenone [279]. The resulting ketone was converted into the corresponding carboxylic acid (IV, Fig. 15) by a dry ozonation method.
A simple synthetic protocol for the production of β-lactams fused to a sultam moiety (I and II, Fig. 16) using a ring closure metathesis has been developed [280].

Fig. 16
Using suitable acylating agents and under the right conditions, different 1-acyl-β-lactams (III, Fig. 16) have been reported to be prepared from phenyl-derived 2-azetidinones [281].
An efficient route to 4/5/6 polycyclic β-lactams (IV, Fig. 16) by enzyme metathesis and Diels-Alder reactions has been described starting from 4-acetoxy-3-substituted-2-azetidinones [282].
Selenopenams (V, Fig. 16) have been reported to be prepared in good to moderate yields in processes that presumably involved intramolecular homolytic substitution at selenium, starting from 2-azetidinone derivatives [283, 284].
The asymmetric hydroformylation of N-substituted 4-vinyl β-lactams, catalyzed by rhodium(I) complexes, leading to 1-β-methylcarbapenem precursors (VI, Fig. 16) has been reported [285].
In 2005, the group of Alcaide has reported the regiocontrolled preparation of biaryl-2-azetidinones (I and II, Fig. 17), via aryl-aryl radical cyclization and/or rearrangement of β-lactam-tethered haloarenes [286].

Fig. 17
Moreover, using the same starting materials, they have reported the regio- and stereoselective synthesis of enantiopure or racemic benzofused tricyclic β-lactams such as benzocarbapenems and benzocarbacephems (III and IV, Fig. 17) via intramolecular aryl radical cyclization [287].
The same authors have reported the conversion of 4-oxoazetidine-2-carbaldehydes into thiazolyl derivatives, firstly (I, Fig. 18), and subsequently into α-alcoxy β-lactam acetaldehydes (II, Fig 18), through a three-step reaction [288].

Fig. 18
They have also reported a direct route to optically pure, fused, or bridged tricyclic β-lactams (III and IV, Fig. 18) as further advances in the intramolecular nitrone-alkene cycloaddition reactions of monocyclic 2-azetidinone-tethered alkenylaldehydes [289].
A series of 4-alkyliden-β-lactams (I and II, Fig. 19) has been reported to be prepared combining the β-lactam with a polyphenol scaffold [290].

Fig. 19
A mixture of diastereomeric azides (E/Z) in fast equilibrium (III, Fig. 19) has been obtained by treatment of 3-alkenyl-3-bromoazetidin-2-ones with NaN3 [291]. The subsequent hydrogenation and the following protection with CBz derivatives afforded 3-(2′-amino)-β-lactams as single diastereomers (IV, Fig. 19).
A procedure based on Ru-catalyzed metathesis sequences with oxanorbornene precursors (I, Fig. 20), obtained by the Staudinger [2+2] cycloaddition of related imines, has been reported to lead to spiro-β-lactams tethered to tetrahydrofuran rings (II, Fig. 20), [292].

Fig. 20
A method has been developed for obtaining the N-alkylation of bicyclic β-lactams (III, Fig. 20) using silica supported cesium carbonate under solvent free conditions [293].
Cainelli and coworkers have reported in 2006, some further advances in the preparation of 4-alkyliden-β-lactams starting from 4-acetoxy azetidinones and diazoesters [294].
A new class of glycoconjugated β-lactams (IV, Fig. 20) has been reported to be obtained by direct glycosidation of a suitable 4-alkylidenazetidin-2-one acceptor with several glycosyl donors activated by catalytic Yb(OTf3) [295].
Two classes of structures containing azido- and aziridino-hydroxyl-β-lactam (I and II, respectively, Fig. 21) have been prepared by means of a stereo- and regioselective epoxide ring opening reaction [296].

Fig. 21
The treatment of cis-3-(prop-2-ynyloxy)- or cis-3-(enyloxy)-β-lactam with one equiv. of iodine in dichloromethane at room temperature has been reported to produce two types of spiro-β-lactam (III and IV, respectively, Fig. 21) [297].
The same authors have also investigated the stereoselective synthesis of unsymmetrically disubstituted azetidin-2-ones (V, Fig. 21) by using Lewis acid mediated functionalization of β-lactams with various active aromatic substrates [298].
The preparation of novel, strained tricyclic β-lactams (Fig. 22) containing a cyclobutane ring has been developed to be performed by intramolecular [2+2] cycloaddition reactions of 2-azetidinone-tethered enallenols [299].

Fig. 22
The group of Cainelli has reported in 2007, the direct vinylic substitution of 4-alkylidenazetidin-2-ones to give the corresponding chloro, bromo, iodo, and nitro derivatives (I, Fig. 23), [300].

Fig. 23
The reductive radical cyclization of δ- and ε-epoxynitrile has been reported to be achieved using titanocene monochloride affording fused bi- and tricyclic β-lactams (II and III, respectively, Fig. 23), [301].
As an advancement of previous work, the group of Alcaide has reported the preparation of fused bi- and tricyclic β-lactams by a two step reaction: the carbonyl allenylation of substituted 4-oxoazetidine-2-carbaldehydes, followed by the tin-promoted radical cyclization of the resulting allene-β-lactams (I and II, Fig. 24), [302].

Fig. 24
Benfatti and coworkers have reported further advancements in the intramolecular ring-opening reaction of β-hydroxy epoxides affording spiro-oxetanes and tetrahydrofurans (III and IV, respectively, Fig. 24), [303].
The reaction of chlorosulfonyl isocyanate with 1,4-cycloesadiene [304] was previously reported to provide β-lactams in quantity. More recently, these CSI-derived building blocks have been reported to be modified in various β-lactams bearing at C-3 and C-4 protected polar substituents (I, II and III, Fig. 25), [305].

Fig. 25
Moreover, the C-3 and the C-4 positions of the azetidinone ring have been reported to be stereoselectively functionalized inserting various groups through the generation of a stable azetidinyl carbanion which can be captured by various electrophiles [164].
The Diels-Alder cycloaddition reaction of both cis- and trans-dienyl-2-azetidinones with unsymmetrical dienophiles in the presence of Lewis acid catalysts has been reported to give in regio-, stereo-, and remarkably high π-facial selectivity novel 1,3,4-trisubstituted-2-azetidinone derivatives in good yields (I and II, Fig. 26), [306].

Fig. 26
Cu(OAc)2 in combination with a solid base such as K2CO3 has been reported to be an extremely efficient system in promoting the homocoupling of 2-azetidinones-tethered alkynes, whereas the cross-coupling of bromoalkynyl-β-lactams with terminal alkynyl-β-lactams could be easily achieved by a copper-catalyzed Cadiot-Chodkiewicz reaction. These methodologies offered a convenient method for the preparation of both racemic and enantiopure C2-symmetrical and unsymmetrical bis(-β-lactam)-1,3-diyne hybrids (I and II, Fig. 27), [307].

Fig. 27
Electron-poor α-methylene-β-lactams were reported to undergo cross-metathesis more rapidly and efficiently than more electron-rich analogs. Significantly, tetrasubstituted alkenes have for the first time been accessed by cross-metathesis reactions (III, Fig. 27), [308].
Biological Activity
The most significant biological and pharmacological applications of the 2-azetidinones are reported in this paragraph, highlighting the SAR studies applied for the design of new and more efficient molecules.
Antibacterial Activity: Inhibitors of β-Lactamases
Three of the four classes of β-lactamases, A, C, and D are serine nucleophile-based enzymes, while the fourth, class B, contains zinc metallo-β-lactamases. Among the serine β-lactamases, classes A and C are currently the most intensely studied. However, extended spectrum class D enzymes have, of late, been growing in clinical importance [309–314].
The action mechanism of a novel class of monobactams, inhibitors for the class A β-lactamases has been reported in 1999 and is showed in Scheme 103 [310–313]. As exemplified by structure I, the inhibitor acylated rapidly the active site serine of β-lactamase and the tosylate was released from species II. The acyl-enzyme underwent fragmentation, resulting in enzyme inhibition by formation of three distinct products, depending on the type of functionality linked to the inhibitor (III, IV, or V, Scheme 115).
Scheme 115.

The action mechanism of a novel class of monobactams, inhibitors for the class A β-lactamases
The presence of a phenyl group at the C-4 position of the azetidinone ring favored a specific hydrophobic interaction with the active site of class A β-lactamases. Instead, the stereochemistry of the C-4 position appeared to be not important for the inhibition [310]. Studies recently reported for the structure-function analyses of the sulfonate moiety have argued for the requirement of a hydrophobic functionality, but its size did not appear to be restrictive. The absence of any hydrophobic functionality at this position lowered the ability of the molecules to inhibit β-lactamases [314].
Many serine-based β-lactamases are susceptible to inhibition by compounds containing a β-lactam nucleus such as clavulanic acid and sulbactam. Moreover, β-lactams that contain large substituents at the C-6 position, such as imipenem, moxalactam, and cefoxitin, inhibit both class A and class C β-lactamases. Previous studies have shown that conformational changes induced by large C-6 substituents destabilized these enzymes upon binding [315, 316]. The group of Beadle, in 2002, has reported crystallographic data of these inhibitors suggesting a different mechanism of action towards class A and class C enzymes, respectively [317].
Known inhibitors of the class A, C, and D serine β-lactamases acylate the active site serine. The commercial inhibitors showed in Fig. 28 are selective for class A enzymes, since they structurally resemble penicillins more closely than they resemble cephalosporins.

Fig. 28
As in penicillin, the carboxylates of these commercial inhibitors are bonded to an sp3-hybridized carbon. Therefore, Buynak and coworkers in 2005 have hypothesized that a C-3-homologated penam-derived β-lactamase inhibitor might have broader specificity for both the A and C classes of β-lactamase than that performed by current commercial inhibitors [318]. The enhanced conformational flexibility of the carboxylate of the homologated penam derivative could enable the molecule to fulfill the geometric requirements of both A and C classes of serine β-lactamase. The longer chain might also enable the carboxylate to penetrate deeper into the positively charged pocket. In the second instance, they have hypothesized that placing a double bond in direct conjugation with the nitrogen, but exocyclic to the five membered ring, might also enhance acylation efficacy. The same group has reported the synthesis of these prospective inhibitors (Fig. 29) together with a preliminary investigation of their ability to inactivate serine β-lactamases.

Fig. 29
The inhibitory data obtained indicated that the homologated sulbactam analog I (Fig. 29), had a 10-fold improved inhibitory activity against the class C β-lactamase enzyme, as compared with sulbactam itself. The additional carbon could allow greater conformational flexibility, thus allowing the carboxylate of structure I to occupy a space similar to that occupied in a typical cephalosporin substrate. It may be noted, however, that the compounds having the exocyclic unsaturation (II and III, Fig. 29) did not display a significant ability to inactivate either class A or class C serine β-lactamases. This could be due to the conformational rigidity imposed by the exocyclic unsaturation. These compounds were slowly hydrolyzed in buffered aqueous media and this hydrolysis was accelerated in the presence of the class A serine β-lactamase, thus indicating that they were good substrates. As in the penems and carbapenems, the unsaturation present on the five-membered ring (endocyclic or exocyclic) presumably further activated the β-lactam moiety towards hydrolysis. This could explain the reduced hydrolytic stability of structures II and III (Fig. 29).
As far as the metallo-β-lactamases (class B) are concerned, their emergence posed a new challenge as they are not susceptible to known inhibitors, and the newer generation of these enzymes acts on a broad variety of β-lactam structures-penicillins, cephalosporins, and carbapenems. Further, the 2-azetidinone nucleus has been employed in 2004 by Ruddle and Smyth to prepare β-lactamase-dependent prodrugs which have hidden or latent reactivity that is triggered by scission of the β-lactam ring [319]. Thus, the penam nucleus could be modified to behave as a β-lactamase-dependent “prodrug” by incorporation of a vinyl ester side chain at the C-6 position. β-Lactamase-catalyzed hydrolysis of the β-lactam ring uncovered the thiazolidine-ring nitrogen as a nucleophile that drove a rapid intramolecular displacement on the side chain (Scheme 116).
Scheme 116.

Suggested mechanism of action ofa β-lactamase-dependent prodrug
Attachment of 7-hydroxy-4-methylcoumarin as the releasable group of this side chain generated a penicillin structure that can function as a fluorescence-based reporter substance/diagnostic for the presence of low levels of β-lactamase enzyme in solution (Scheme 117), [320].
Scheme 117.

Fluorescence-based penicillin structure having a 7-hydroxy-4-methylcoumarin as releasable group
Clavulanic acid, a naturally occurring powerful inhibitor of bacterial β-lactamases is a major β-lactam antibiotic produced by organism Streptomyces clavuligerus and is active against a wide spectrum of Gram-pos. and Gram-neg. bacteria. The biosynthetic pathway, the fermentative production, the downstream processing, and applications of clavulanic acid has been reviewed in 2008 [321].
Another interesting review has been reported on Meropenem which is a broad-spectrum antibacterial agent of the carbapenem family. It is indicated as empirical therapy prior to the identification of causative organisms, or for disease caused by single or multiple susceptible bacteria in both adults and children with a broad range of serious infections. Meropenem has a broad spectrum of in vitro activity against Gram-pos. and Gram-neg. pathogens, including extended-spectrum β-lactamase- and AmpC-producing Enterobacteriaceae [322].
Antibacterial Activity: Inhibitors for Pilus Formation
Bacteria need to adhere to host tissue in order to cause disease. Many pathogenic bacteria assemble pili, i.e., extracellular protein organelles, to mediate attachment to host epithelial cells. Pilus assembly is performed by periplasmic chaperones, which bring subunits to the outer cell membrane where they are incorporated in the growing pilus [323]. A drug inhibiting pilus formation, termed a pilicide, would therefore have the potential of being an effective antibiotic. It has been shown, both by nuclear magnetic resonance (NMR) spectroscopy [324] and by X-ray crystallography [325, 326], that synthetic peptides from the conserved C-termini of the pilus proteins are bound by the PapD chaperone (found in uropathogenic Escherichia Coli, which is the main cause of urinary tract infections). Thus, it has been found that PapD binds polypeptides by anchoring the peptide carboxyl terminus to the side chains of Arg8 and Lys112 (Fig. 30), two residues that are invariant in all periplasmic chaperones and are required for pilus assembly. On the basis of the crystal structures of peptide-PapD complexes [325, 326], β-lactams have been selected as potential chaperone inhibitors with the requirement of having different stereochemistry than the original penicillin’s, thus having a chance to withstand enzymatic degradation by penicillin-resistant bacteria. The overall strategy consisted in creating small organic molecules with a rigid framework, which would locate the pharmacophores in the right position in the space [57]. In addition, this class of compounds allowed hydrophobic substituents (indicated by R) to interact with the chaperone while maintaining the important anchoring to Arg8 and Lys112. Moreover, the crystal structures showed that the C-terminal carboxyl group was within such a distance from Lys112 that replacing it with an aldehyde would allow an imine to be formed with Lys112.

Fig. 30
Antibacterial Activity: Various Inhibitors
In 2000, a new family of N-methylthio-substituted β-lactams having promising antibacterial properties has been identified by Turos and coworkers. Curiously, most of this activity is directed towards Staphylococcus bacteria, including methicillin-resistant strains of Staphylococcus aureus (MRSA). These β-lactams showed a different behavior compared to all other β-lactam antibiotics [327]. Rather than interfering directly with cell wall biosynthesis, through irreversible acylation of penicillin binding transpeptidases, these compounds seemed to affect cellular processes through transfer of the N-organothio group to a bacterial thiol. It has been also noted that these lactams exert antiproliferative properties against only a narrow range of bacterial genera, most significantly, Staphylococcus (including MRSA), Micrococcus, and Neisseria. This selectivity seems to be related to the levels and types of cellular thiols present in each microbe that is sensitive to the lactams, not to whether the microbes are Gram positive or Gram negative classes. The anti-Bacillus properties of a selected number of differentially substituted β-lactams based on the structure of Fig. 31 were also investigated by the same authors in 2006 [328].

Fig. 31
The β-lactams have been individually tested for antibacterial activity against Bacillus anthracis and six other species of Bacillus by the well known Kirby-Bauer method on agar plates [329]. In general, lipophilic acyloxy or alkoxy groups at the C-3 carbon of the lactam ring led to the strongest growth inhibition properties against each of the seven Bacillus microbes examined. The most important substituent influencing the anti-Bacillus activity, as in the case of MRSA, was found to be the N-organothio moiety, with the sec-butylthio group having the best overall bioactivity. The mechanism of action of these lactams in Bacillus most likely paralleled that in Staphylococcus, with transfer of the N-organothio substituent from the lactam to a cellular thiol occurring within the cytoplasm of the bacterium [328]. Recent findings in 2007 indicated that N-thiolated-β-lactams react rapidly within the bacterial cell with CoA through in vivo transfer of the N-thio group to produce an alkyl-CoA mixed disulfide species, which then interferes with fatty acid biosynthesis. The studies on CoA disulfide reductase showed that the CoA thiol-redox buffer was not perturbed by these compounds; however, the lactams appeared to act as prodrugs. The evidence that these β-lactams inhibit fatty acid biosynthesis in bacteria, and the elucidation of CoA as a primary cellular target, offers opportunities for the discovery of other small organic compounds that can be developed as therapeutics for MRSA and anthrax infections [330]. The same authors have found in 2008 that these lactams also possess antifungal activity against Candida and other fungi by exerting powerful cytostatic effects that disrupt the structural integrity of cytoplasmic membranes. The mode of action and structure-activity trends of these lactams as antifungals parallel that previously seen in their antibacterial studies [331].
Jarrahpour and coworkers in 2004 have prepared and tested some new sugar-based monocyclic β-lactams possessing several other functionalities, in addition to the carbohydrate moiety [88]. The presence of a carbohydrate moiety side chain in a drug may also overcome the frequently observed water insolubility problem [332]. Moreover, the bacteria may utilize a carbohydrate uptake mechanism, which allows for a better transport of the monocyclic β-lactams across the membrane. The antibacterial activities of compounds depicted in Fig. 32 have been tested against one strain each of a Gram positive bacteria (Staphylococcus citrus), a Gram negative bacteria (Escherichia coli), a Gram negative containing capsule (Klebsiella), and a Gram positive spore (Bacillus subtilis). The antimicrobial activity tests have been performed according to the disk diffusion method [333], using Ampicillin and Gentamycin as reference compounds. The inhibition zones caused by the various compounds on the microorganisms have been measured and the activity rated on the basis of the size of the inhibition zone.

Fig. 32
The data obtained have shown that compound II (Fig. 32) was highly active against Staphylococcus citrus, Klebsiella pneumoniae, Escherichia coli, and Bacillus subtilis while β-lactams Ib and Ic were moderately active against these four microorganisms. Compound IIIb was highly active against Bacillus subtilis, while compound IIId was moderately active against Bacillus subtilis. Compounds IIIa–d were slightly active against Staphylococcus citrus [88].
The same group of Jarrahpour has also synthesized a few mono and bicyclic β-lactams (Fig. 33) and tested their antimicrobial activity [92].

Fig. 33
These compounds have been tested against one strain each of Gram positive bacteria (Staphylococcus citrus), Gram negative bacteria (Escherichia coli), a Gram negative containing capsule (Klebsiella), and a Gram positive spore (Bacillus subtilis). Monocyclic β-lactams with R = PhtN, PhCH2COHN, PhOCH2COHN were highly active against Bacillus subtilis and moderately active against Staphylococcus citrus. Other compounds were all inactive against these four pathogenic microorganisms [92].
Broccolo and coworkers in 2006 have reported the synthesis and antibacterial activity of a new class of monocyclic β-lactams substituted at the C-4 position with an alkyliden carboxy side chain [294]. Preliminary results of the antibacterial activity of some of these 4-alkyliden-β-lactams have disclosed the opportunity for the application of molecular modeling to relate chemical structures to antibiotic activity and to point out structural modifications that might increase antibiotic potency. Despite significant advances in the elucidation of the structures of penicillin-binding proteins (PBPs), the overall structural basis for multidrug bacterial resistance has not been clarified. PBPs are a heterogeneous family of enzymes with transpeptidase and transcarboxylase activities involved in the synthesis and cross-linking of the peptidoglycan component of bacterial cell walls, which is fundamental for the maintenance of bacterial cell morphology and integrity. On the basis of these considerations, the authors adopted a molecular modeling approach to identify attractive drug candidates and to contribute to the rationalization of functional group effects on the SARs. Thus, a series of β-lactams have been synthesized such as compounds of Fig. 34, that exhibited an inhibitory effect, generally more marked against Gram positive pathogens, although the spectrum of activity varied.

Fig. 34
Interestingly, the undifferentiated antibacterial activity against both methicillin-susceptible and -resistant strains of Staphylococcus aureus was suggestive of an alternative mechanism of action compared to that of typical β-lactams. The molecular modeling approach allowed the identification of interactions through oxygenated functions such as phenolic OH, which are valuable for the antibacterial activity [294].
Bactericidal effects have been reported for two β-lactams: amoxicillin and its combination with clavulanic acid. They showed in vitro effects on the oxidative metabolism of PMN neutrophils. These cells play the major role in the “respiratory burst” as they produce superoxide anion to kill the infectious agent. An activation of this process by the injected antibiotics could enhance the bactericidal action or explain some of the adverse effects. Amoxicillin could either activate PMN neutrophils NADPH-oxidase or cause its activation by a membrane effect, or interfere with the zymosan activation way [334].
Amoxicillin has been reported among the amino-β-lactams like cefadroxil, and ampicillin as aminating agent of catechols to obtain novel cephalosporins, penicillins, and carbacephems using fungal laccase. All isolated monoaminated products inhibited the growth of several Gram pos. bacterial strains in the agar diffusion assay, among them methicillin-resistant Staphylococcus aureus strains and vancomycin-resistant Enterococci [335].
Antifungal and antibacterial activity have also been reported for bile acid dimers linked through 1,2,3-triazole and bis-β-lactam [336].
Investigations towards novel glycopeptide/β-lactam heterodimers were reported in 2008. Employing a multivalent approach to drug discovery, vancomycin and cephalosporin synthons were chemically linked to yield heterodimer antibiotics. These novel compounds were designed to inhibit Gram-pos. bacterial cell wall biosynthesis by simultaneously targeting the principal cellular targets of both glycopeptides and β-lactams. The positional attachment of both the vancomycin and the cephalosporin central cores has been explored and the SAR was reported. This novel class of bifunctional antibiotics all displayed remarkable potency against a wide range of Gram-pos. organisms, including methicillin-resistant Staphylococcus aureus [337].
Inhibitors of Human Leukocyte Elastase
The first β-lactams LE inhibitors were naturally occurring bicyclic compounds, such as clavams and cephalosporins [338], but more recently, synthetic monocyclic β-lactams have been developed. Time-dependent inhibitors of enzyme HLE, based on the cephem nucleus, have been reported. A series of cephalosporin tert-butyl esters have been examined, and the activity of these compounds has been found to be very sensitive to the C-7 substituents, the greatest activity being showed by small, α-oriented, and electron-withdrawing groups. Additionally, the oxidation state of the sulphur atom has been found to play a strategic role in strengthening molecular activity. For instance, sulfones showed considerably greater activity than the corresponding sulfides or β-sulfoxides, resulting the latter inactives [339]. The mechanisms thought to be at work when molecules of this type inhibit HLE have been studied (Scheme 118), [339].
Scheme 118.

Action mechanism of inhibitors for the HLE
Two types of inhibited complexes can be formed, at least, with HLE. The starting step, in all cases, is considered to be the β-lactam ring-opening performed by the OH of the Ser-195 belonging to the enzyme catalytic triad (Ser-195, His-57, Asp-102), to form the complex I. If the C-7 substituent is a chlorine atom, the expulsion of the 3′-acetate, followed by loss of HCl and Michael addition of His-57 imidazole ring to the N-1 nitrogen, led to the inhibited complex II. However, when the C-7 substituent is a poorer leaving group, such as methoxide (III, Scheme 118), crystallographic data suggested that this group is not lost but the thiazoline ring-opening reaction generated an inhibited species. At this point, it is not possible to discern if there is a second covalent linkage between the inhibitor and the enzyme (IV, Scheme 118) or, alternatively, if a critical salt bridge between the released sulfinate and the His-57 imidazole is formed. In this latter case, the hydrolysis of the intermediate V is presumably slowed as the imidazole moiety is not properly aligned to deliver water to the serine carbonyl ester.
In 2003, Cainelli and coworkers have shown that monocyclic β-lactams substituted at the C-3, the C-4, and the N-1 positions are the most active in inhibiting LE and gelatinases MMP-2 and MMP-9 [340]. They have also reported that C-4 unsaturation on the β-lactam ring raised the inhibitory activity towards these proteases, with selectivity over LE by 3-[1-(tert-butyldimethylsilyloxy)ethyl] derivatives, and over the gelatinase MMP-2 by C-3-unsubstituted 4-[1-ethoxycarbonyl]ethylidene-β-lactams. Some catechins (vegetable secondary metabolites of the flavonoid family), and in particular those with a galloyl group (I, Fig. 35), have been shown previously by the same authors, to exert a very powerful inhibition of LE activity [341–343], but their absorption, bioavailability, and metabolic fate awaited full clarification. Thus, in 2005 a number of monocyclic β-lactam derivatives with a galloyl moiety-like group in different positions were synthesized and tested [290]. Some of these, such as the N-galloxy-4-alkyliden-β-lactam (II, Fig. 35) appeared to exert an improved anti-LE activity.

Fig. 35
In 2002 Gérard and coworkers have studied two series of compounds, namely, 3-halide- [344, 345] and 4-alkoxycarbonyl-1-alkoxycarbonyl-2-azetidinones [346], (Scheme 119). These β-lactams behaved as reversible inhibitors of porcine pancreatic elastase (PPE) [347–350], which are considered good models of HLE and more readily available than HLE. The action mechanism of these 2-azetidinone derivatives was different, depending on the C-3/C-4 substitution. Indeed, after a transient inhibition of PPE, enzyme hydrolysis of structure I (Scheme 119) led to the β-lactam bond cleavage without expulsion of OR leaving group, while PPE processing of structure II led to the OR1 ester cleavage, without the β-lactam ring opening.
Scheme 119.

Different action mechanism of 2-azetidinone derivatives depending on the C-3/C-4 substitution
Thus, the group of Gerard has designed structural modifications of the β-lactams II in two directions: a) decreasing the reactivity of the C-4 carbonyl substituent, b) increasing the β-lactam carbonyl reactivity and the consequent N-1 substituent expulsion, after C2–N1 bond cleavage. A series of 4-alkylaminocarbonyl-1-alkoxycarbonyl-2-azetidinones and 4-(alkoxycarbonyl)-2-azetidinones, bearing various carbonyl and thiocarbonyl functionalities at the N-1 position, have been prepared [351]. The results showed the potential interest towards N-thiocarbonyl-2-azetidinones as reactive structures for the design of novel elastase inhibitors. However, an electron-withdrawing substituent (activating group) placed at the C-4 position (or the C-3) was systematically required to reach a good level of enzyme inhibition. For instance, compound I of Fig. 36 was a good reversible inhibitor of PPE and HLE, acting most probably like 3-halide-1-alkoxycarbonyl-2-azetidinones (I, Scheme 119). Compound II (Fig. 36) was more active against PPE and HLE, but behaved in the same way as 1,4-bis(alkoxycarbonyl)-2-azetidinones (II, Scheme 119) [351].

Fig. 36
Inhibitors of Cysteine Protease
The cysteine proteases cathepsin B, L, K, and S are involved in diseases such as osteoporosis, cancer metastasis, rheumatoid arthritis, and infectious diseases [352–357]. Thus, the proteases became an important target for developing inhibitors as therapeutic agents [358–363].
Recently, a series of 4-substituted-3-Cbz-phenyl-β-lactams (Fig. 37) has been identified as a novel class of cysteine protease inhibitors [364].

Fig. 37
Several studies have suggested the importance of the (3S) stereoconfiguration of the C-3 carbon atom on the enzyme interactions, which is equivalent to the natural L-amino acids configuration. The different substitution at the C-4 position has shown significant effect on the inhibitory power: substituents such as –OR′, –OCOR′ (R′ = generic aliphatic group), –OPh, –SPh and –S(O)2Ph appeared to be necessary for a good inhibitory activity. However, the C-4 substituents might not behave only as a leaving group, but they were involved also in the interactions with the enzyme S′ subsite. The C-4 stereo-configuration requirements depended, then, on the nature of the substituents [364].
In 2005 highly potent and selective inhibitors of cathepsin K were reported based on the 3,4-disubstituted azetidin-2-one which seemed to transiently acylate the sulfhydrile of cathepsin K [365].
Inhibitors of Thrombin and Tryptase
Several representatives of the class of the β-lactams can effectively inhibit proteases [366, 367]. For instance, the 2-azetidinone I of Fig. 38 has been identified [368] as a powerful and selective inhibitor of thrombin, a serine protease involved in both venous and arterial thrombotic episodes [369]. More recently, β-lactam II (Fig. 38) has been found to display inhibition of tryptase at the subnanomolar level and suppress induced inflammation in animal lungs [370]. These compounds featured an ω-guanidyl-substituted n-propyl side chain at the C-3 position and a carboxylic residue at the C-4, both essential for biological activity.

Fig. 38
In 2003, Annunziata and coworkers [84] have reported an efficient synthesis of the stereoisomerically pure trans compound III (Fig. 38) which represented a convenient, advanced precursor of structures I and II and differently N-substituted derivatives thereof. The new synthesis of compound III (R = Boc) started from readily available and inexpensive d-glyceraldehyde and opened access to both enantiomers of the target molecules in enantiopure form. Since the thrombin inhibitor I has been described so far only in the racemic form, and no stereochemistry/activity relationship has been reported, the possibility of obtaining both enantiomers of compound III was worth investigating.
β-Lactam compounds variously substituted at C-3, C-4, and N-1 were reported, more recently, as useful inhibitors of tryptase, and thrombin [371, 372].
Azetidinones as Vasopressin V1a Antagonists
Several research groups have prepared antagonists directed to the vasopressin V1a receptor [373–378]. Vasopressin, through the vasopressin 1a receptor (V1a), can stimulate aggressive behavior. Using a novel monocyclic beta lactam platform, a series of orally active vasopressin V1a antagonists was developed, by the group of Guillon, showing high affinity for the human receptor. SRX251 was chosen from this series of V1a antagonists to screen for effects on serenic activity in a resident-intruder model of offensive aggression. The data obtained from this investigation corroborate previous studies showing a role for vasopressin neurotransmission in aggression and suggest that V1a receptor antagonists may be used to treat interpersonal violence co-occurring with such illness as autism, bipolar disorder, and substance abuse [379].
While V1a antagonists have been synthesized, none of these have been reported to penetrate the central nervous system efficiently. In 2007, the same authors have identified the azetidinone LY307174 (I, Fig. 39), for a screening based on 59% molecular similarity to ketoconazole (II, Fig. 39), a marketed antifungal agent known to cause reproductive side-effects due to antagonism of the luteinizing hormone releasing hormone receptor [380]. Some features of structure II, such as the dioxolane ring and the terminal phenyl moiety were conserved in structure I, while others group were totally replaced.

Fig. 39
Beyond the simple issue of affinity, compound I has been considered an attractive lead for several reasons. First of all, LY307174 is a monocyclic β-lactam (monobactam). Unlike fused-ring β-lactams, such as penicillins and cephalosporins, simple monobactams such as structure I are highly stable to chemical or enzymatic hydrolysis of the azetidinone. The cis geometry of the rigid four-membered ring forces the three side-chains together into a fixed geometric configuration, enabling, presumably, the complementarity with subpockets of the receptor. Although the molecular weight of compound I is relatively high, its compactness provided some hope that the series might show significant oral absorption [381]. Thus, SAR studies have been performed, based on the modification of the four zones A–D of the azetidinone molecule, as depicted in Fig. 40.

Fig. 40
Further, a novel series of vasopressin V1a antagonists has been synthesized, and subnanomolar affinities at the human V1a receptor have been achieved. On oral dosing, two members of the series, structures I and II of Fig. 41, reached brain levels ~100 times their in vitro receptor affinities. These molecules have been further developed for human clinical evaluation [381].

Fig. 41
Hypocholesterolemic Activity
Burnett and coworkers have described the synthesis of a very potent class of cholesterol absorption inhibitors (CAI) typified by the original lead compound in this series: the compound I showed in Fig. 42 (SCH 48461). This 2-azetidinone has resulted as an effective inhibitor of cholesterol absorption in a cholesterol-fed hamster model [9]. Subsequently, the same molecule has been shown to reduce serum cholesterol in human clinical trials [382]. Although this class of compounds has been initially designed as acyl coenzyme A cholesterol transferases (ACAT) inhibitors, early structure-activity studies demonstrated a striking divergence of in vitro ACAT inhibition and in vivo activity in the cholesterol-fed hamster. A detailed examination of this molecule indicated that the hypocholesterolemic activity was exerted at the intestinal wall by inhibiting the cholesterol absorption [383].

Fig. 42
Reported studies on the structure I of Fig. 42 and analogs of this class have shown that the azetidinone nucleus is a critical element for in vivo activity [384]. On the basis of these findings, an investigation on SAR around the 2-azetidinone nucleus has been performed. The results have revealed a clear SAR for cholesterol absorption inhibition which is different from the modest ACAT inhibitory activity shown by these compounds. Thus, these molecules appeared to be acting via a mechanism which might be fundamentally important in the intestinal absorption of cholesterol [8]. Moreover, structurally related 2-azetidinones (II and III Fig. 42) containing hydroxyl groups on the phenylalkyl substituent at the C-3, have been reported as CAIs more active than their deshydroxy analogs [9, 385]. β-Lactams having a substituent containing a ketonic moiety at the C-3 have also been reported as good inhibitors for cholesterol absorption [386].
A summary of the basic SARs in the 2-azetidinone compounds is shown in Scheme 120. The presence of a 4-methoxyphenyl or similar hydrogen bonding moiety and a proper absolute stereochemistry at the C-4 carbon atom, are both critical in producing the activity. The phenylalkyl group at the C-3 and the monosubstitution at the C-3 and the C-4 positions seem to be less critical. A N-aryl group seems to be required, but there is considerable tolerance for the substitution at the phenyl ring. The azetidinone ring is required, but there is no evidence that it acts as anything more than a scaffold to correctly position the pharmacophore groups [384].
Scheme 120.

Summary of the basic SARs in the 2-azetidinone compounds
More development on the SAR studies have revealed the importance of side-chain metabolic hydroxylation to activity and led to the synthesis of compound I of Fig. 43 (SCH 58235), [387, 388]. While this 2-azetidinone together with compound I of Fig. 42 (SCH 48461) are extremely potent inhibitors of cholesterol absorption in vivo, the precise biological mechanism by which this inhibition takes place has yet to be discovered [383]. Data presented previously have suggested that there was a molecular target for these compounds, which has been designated as the CAI binding protein (CAIBP). The initial approach of Burnett and coworkers has been to use radiolabeled binding compounds for the identification of subcellular localization sites in intestinal cells [140, 389]. Having some knowledge of where the compounds were binding, they hoped to identify any specific proteins that had high affinity for this class of CAIs using other techniques. Based on their extensive SAR developments of the azetidinone CAI series, in 2002 the same authors have found that the two best structural sites for elaboration, while maintaining in vivo activity, were the N-aryl ring and the pendant aryl ring. For sensitivity reasons, their initial binding studies required radioiodinated analogs and thus, targets II and III (Fig. 43) came to the fore [140].

Fig. 43
In the cholesterol fed hamster assay, these compounds were both active in vivo, with the N-iodophenyl analog III having slightly better potency. The derivatives bearing a benzylic hydroxyl moiety displayed a significant potency advantage over compounds II and III while the N-iodophenyl analog V was slightly more potent than the pendent iodophenyl derivative IV. Since it has been discovered that compound I (SCH 58235) in vivo exists predominantly as its glucuronide [388], in the absence of a clear understanding of the mechanism of action, neither the free phenol nor the glucuronide could be precluded as the bioactive species. Therefore, the corresponding iodinated glucuronide of derivative V was required. This compound, depicted as VI in Fig. 43, has shown significant reduction of hepatic cholesterol esters. Thus, the same group of researchers has designed and prepared a number of potent CAIs with fluorescent absorption and emission properties making them suitable for use as biological tools in the investigation of the mechanism of action of this important class of new pharmacological agents [139].
Antihyperglycemic Activity
Goel and coworkers in 2004 have examined the effect of some monocyclic β-lactams for antihyperglycemic activity against alloxan-induced diabetes in rats (Fig. 44), as these 2-azetidinones have been shown to control disturbances in cholesterol metabolism induced by diabetes. The antihyperglycemic effect of test compounds was evaluated by monitoring their effect on blood glucose and liver glycogen contents [390]. In the diabetic rats, high glucose levels and depression in hepatic glycogen contents could be attributed to less availability of the active form of enzyme glycogen synthetase, which in turn has been reported to be responsible for incorporation of glucose moieties in pre-existing glycogen chain [391, 392].

Fig. 44
Test compounds significantly lowered the serum glucose levels indicating their antihyperglycemic activity. This activity may be due to increased utilization of glucose, as indicated by decreased serum glucose levels, and increase in the activity of glycogen synthetase enzyme, as evidenced by augmented liver glycogen contents in test groups. Concerning the antidiabetic activity of test compounds the following structure activity relationships were observed:
At the C-3 position, the phthalimido substitution showed the best activity followed by phenyl and phenoxy substitution, while 1,3-butadienyl substitution resulted in total loss of activity
At the N-1 position, cyclohexyl and isopropyl group favored activity more than the phenyl and the 4-methoxyphenyl substitution
At the C-4 position, styryl and 4-methoxy-phenyl substitution were more favorable than the phenyl group
This study has revealed that 2-azetidinones are effective as antihyperglycemic agents and might act either through increased utilization of glucose or through increased insulin activity or induction of glycogen synthetase enzyme.
Anticancer Activity
In 2002, Turos and coworkers have discovered and characterized the apoptosis-inducing properties of a family of novel β-lactam antibiotics against human solid tumor cell lines such as breast, prostate, and head-and-neck [44]. They have found a lead compound (structure I, Fig. 45), with an N-methylthio group, which was able to induce DNA damage, inhibit DNA replication, and activate the apoptotic death program in human leukemic Jurkat T cells within a 2 h treatment. Several important SARs have been observed. First and most significantly, the N-methylthio group was required for the apoptosis-inducing activity of β-lactam I, (Fig. 45). In the second instance, an increase in the number of carbons on the N-alkylthio group was inversely proportional to the apoptosis-inducing ability of these β-lactams. Moreover, replacement of the N-methylthio moiety with an N-benzylthio group (IV, Fig. 45) also decreased the apoptosis inducing activity by ~70%. Another SAR was found for the chlorophenyl group in β-lactam I. Among the isomers I, II, and III, having a chlorine group in ortho-, meta-, and para-positions, respectively, on the phenyl ring, β-lactams II and III were less potent than β-lactam I (by ~20%). Because of their simple synthesis and their easy structurally manipulation for selective studies, these β-lactams may have great potential to be developed into anticancer drugs [44].

Fig. 45
In 2008 the same authors reported two N-thiolated-β-lactam analogs, both containing a branched-chain moiety at C3 of the lactam ring exhibiting potent apoptosis-inducing activity. Furthermore, the branched β-lactams were able to inhibit growth of mice bearing breast cancer xenografts, associated with induction of DNA damage and apoptosis in tumor tissues [393, 394].
In 2003, the group of Banik has assayed some 2-azetidinones against nine human cancer cell lines as a measure of cytotoxicity [86]. Structure-activity studies have revealed that N-chrysenyl- and N-phenantrenyl-3-acetoxy-4-aryl-2-azetidinones (Fig. 46), respectively, have potent anticancer activity. The comparable N-anthracenyl, N-pyrenyl, and N-naphthalenyl derivatives became inactive. It is evident that the minimal structural requirement of the aromatic moiety for cytotoxicity is at least three aromatic rings in an angular configuration. The presence of the acetoxy group at the C-3 position of the β-lactams has proved to be obligatory for their antitumor activity [86].

Fig. 46
Moreover, potent inhibiting properties exhibited by 7-alkylidene substituted cephalosporanate sulfones against tumor strains, both in vitro and in vivo [42], motivated researchers to subject penicillanate sulfones, together with 4-heteroaryldithio- and 4-methylsulfonylazetidin-2-ones, containing alkylidene side-chain, respectively, at the C-6 and the C-3 positions, to similar biological investigations. Veinberg and coworkers in 2004 have tested in vitro the cytotoxic properties of these compounds [395]. Their analysis has evidenced that the incorporation of tert-butoxycarbonylmethylene, benzylidene, and 4-nitrobenzylidene structures at the C-6 position of penicillanate sulfoxides and sulfones and at the C-3 position of 4-heteroaryldithio- and 4-methylsulfonylazetidin-2-ones, in many cases provided antitumor effect.
Salinosporamide A and omuralide (I and II, respectively, Fig. 47), are potent naturally derived substances that inhibit proteasome function with very high selectivity [396–402].

Fig. 47
Proteasome inhibition offers considerable promise in the therapy of a number of types of cancer and is already used for multiple myeloma [403–405]. A potential problem with the use of compounds I or II as therapeutic agents, is their short half-life in solution at pH 7 or in serum (estimated as 5–10 min).
Because of this potential shortcoming, in 2005 Hogan and coworkers have developed a synthesis of the β-lactam III of Fig. 47, which is expected to be much more stable than the corresponding β-lactone (I or II, Fig. 47), [406]. The pathway of proteasome inhibition by the β-lactam III followed that of omuralide and salinosporamide A, that consisted in the acylation of a catalytically active threonine of a proteolytic β-subunit. This acylation was made irreversible by ring closure involving the chloroethyl group as an electrophile, as in the case of salinosporamide A [407], since treatment of III with methanolic base afforded the bicyclic pyrrolidine IV (Fig. 47). These results, together with the observation of proteasome inhibition in vitro, and the indefinite stability in neutral aqueous solution suggested that compound III was a worthy candidate for further biological evaluations.
In 2006 the preparation of simplified analogs of natural occurring enediynes, e.g. antitumor antibiotic dynemicin, was reported by Banfi and coworkers. They succeeded in synthesizing two different classes of such compounds where the embedded 10-membered enediyne system is fused either with a β-lactam ring (lactenediynes) or with an epoxide. Biological tests on these molecules have demonstrated that some representatives are able to cleave the double strand of DNA even at very low concentrations [408].
In 2007 a series of β-lactam derivatives was designed and synthesized to inhibit the chymotrypsin-like activity of the human 20S proteasome. The most potent compounds of this new structural class of β-subunit exhibit good selectivity over the trypsin-like and post-glutamyl-peptide hydrolytic activities of the enzyme [409].
In 2008 a series of novel β-lactam containing compounds were described as antiproliferative agents and potential selective modulators of the estrogen receptor. The compounds were designed to contain three aryl ring substituents arranged on the heterocyclic azetidin-2-one (β-lactam), thus providing conformationally restrained analogs of the triarylethylene arrangement exemplified in the tamoxifen type structure. These molecules showed high antiproliferative effects on human breast cancer cell line at low micromolar to nanomolar concentrations with low cytotoxicity and moderate binding affinity to the estrogen receptor. The effect of a number of aryl and amine functional group substitutions on the antiproliferative activity of the β-lactam products was reported and a brief computational SAR with molecular simulation was investigated [410].
Antiviral Activity
HCMV, a β-herpesvirus, is an opportunistic pathogen in immunocompromised individuals such as AIDS patients and organ transplant recipients [411]. Thus HCMV protease has become a viable target for antiviral chemotherapy [412, 413].
Several monobactams incorporating a benzyl side-chain at the C-4 carbon atom, such as compounds of Fig. 48, have been reported to be selective inhibitors of HCMV protease [367].

Fig. 48
Substitution at the C-3 position was tolerated and gave small increases in stability and enzymatic activity. These compounds were much less selective however, than the corresponding inhibitors that were unsubstituted at the C-3 position. Substitution of the urea moiety suggested that benzyl groups were the best choice at this position. Both tri- and tetra-substituted ureas were effective, with tetra substitution giving a slight stability advantage. Modification of the benzyl function indicated that strong electron-withdrawing groups at the para position had the best activity. Moreover, mechanistic investigations indicated that these compounds are reversible and competitive inhibitors of HCMV protease and that inhibition involved the formation of an acyl-enzyme species [367].
Among these latter inhibitors, a series of monocyclic β-lactams I (compound Ia being the prototype, Fig. 49), has resulted in highly potent derivatives in the isolated enzyme assay, but their efficacy in cell culture was quite limited, as described for all inhibitors of this enzyme [367, 414–416].

Fig. 49
Gerona-Navarro and coworkers in 2004 have reported the synthesis and the evaluation of a series of new 2-azetidinones (Fig. 50), derived from phenylalanine [281], which were designed on the basis of the structure of the reported β-lactam inhibitors [367] and the residues implicated in the active site of the HCMV protease [417]. These compounds have been evaluated against HCMV in human embryonic lung cells [418], and the results compared to those obtained for the reference compounds, which were the model β-lactam Ia of Fig. 49, the viral DNA polymerase inhibitors DHPG (ganciclovir), and HPMPC (cidofovir).

Fig. 50
The obtained results have shown that the trisubstituted β-lactams a–e of Fig. 50 exhibited some antiviral activity, slightly higher than that reported for the prototype 2-azetidinone Ia of Fig. 49. No appreciable influence of the absolute configuration, either at the C-4 or at the 1-phenylethyl substituent, on the inhibition of viral replication, was observed. The presence of an aromatic group at the 1-acyl substituent seemed to be important for the antiviral activity, as deduced from the lack of activity of the tert-butoxycarbonyl derivative g and the presence of activity of the benzyloxycarbonyl analog f, (Fig. 50). This latter compound showed the highest anti-HCMV activity within the β-lactam series, but with a very narrow therapeutic window, having a cell toxicity value close to the IC50 data for viral inhibition [263]. Interestingly, removal of the carbonyl group from the β-lactam ring, most likely acting as the serine trap, resulted in an azetidine derivative with anti-HCMV activity comparable to that of the reference compound ganciclovir [281, 419].
Concluding Remarks
A comprehensive overview of the most significant and interesting developments on the synthesis of novel β-lactam compounds has been presented. The contributions examined are those published from 2000 till date; the literature survey was organized by type of reaction, and, among them, by year. The synthetic strategies reported are based either on novel methodologies or on already known but efficient and versatile protocols. An alternative methodology, reported in a separate paragraph, was the modification of preexisting groups linked at the different positions of the 2-azetidinone ring. Considering that the core structure of four-membered cyclic amide is the common feature of the antibacterial compounds, and that their biological and pharmacological activity are strictly related to the substituents linked to this small heterocycle, the modification of these linked groups not only afford new β-lactam derivatives, more complex and polyfunctionalized, but can produce molecules even more efficient in their activity. For this reason, a single paragraph of this chapter was focused on the studies reported in literature concerning the SARs of the β-lactams examined, with the aim of highlighting the possibility of designing new and even more efficient β-lactam compounds.
We believe that this chapter can become an essential part of the knowledge of organic chemists who can plan the synthesis of novel substituted 2-azetidinones. Moreover, medicinal chemists can have an overview, covering the latest developments in the biological and pharmacological applications of these 2-azetidinone compounds, thereby giving focus to their future investigations.
Abbreviations
- ACAT
Acyl coenzyme A cholesterol transferases
- Bn
Benzyl
- Boc
tert-butoxycarbonyl
- bpy
2,2′-bipyridyl
- BQ
Benzoylquinine
- BSA
Bis-trimethylsilylacetamide
- BTPP
tert-butylimino-tri(pyrrolidino)phosphorane
- n-BuLi
normal-butyllithium
- s-BuLi
sec-butyllithium
- CAD
Coronary artery disease
- CAI
Cholesterol absorption inhibitor
- CAIBP
Cholesterol absorption inhibitor binding protein
- Cbz
Benzyloxycarbonyl
- CH3OTf
Methyl triflate
- CNS
Central nervous system
- CSI
Chlorosulfonyl isocyanate
- DABCO
1,4-diazabicyclo[2.2.2]octane
- DBU
1,8-diazabicyclo[5.4.0]undec-7-ene
- DCC
Dicyclohexylcarbodiimide
- DEAD
Diethyl azodicarboxylate
- DIPEA
N,N-diisopropylethylamine
- DME
1,2-dimethoxyethane
- DMF
N,N-dimethylformamide
- DMSO
Dimethyl sulfoxide
- ECM
Extracellular matrix
- EDG
Electron-donating group
- EWG
Electron-withdrawing group
- Fmoc
9-fluorenylmethoxycarbonyl
- GPCR
G protein-coupled receptor
- HCMV
Human cytomegalovirus
- HIU
High intensity ultrasound
- HLE
Human leukocyte elastase
- HMDA
Hexamethylendiamine
- LDA
Lithium diisopropylamide
- LE
Leukocyte elastase
- LHMDS
Lithium bis(trimethylsilyl)amide
- MCBA
meta-chloroperbenzoic acid
- MMP
Matrix metalloproteinase
- MMPP
Magnesium monoperoxyphthalate
- MRSA
Methicillin-resistant Staphylococcus aureus
- MW
Microwave
- NMP
N-methylpyrrolidone
- NMR
Nuclear magnetic resonance
- OMP
ortho-methoxyphenyl
- PBP
Penicillin-binding proteins
- Pmb
para-methoxybenzaldehyde
- PMN
Polymorphonuclear
- PMP
para-methoxyphenyl
- PPE
Porcine pancreatic elastase
- PPY
4-(pyrrolidino)pyridine
- SAR
Structure-activity relationship
- SET
Single-electron-transfer
- TBAF
Tetrabutylammonium fluoride
- TBDMSCl
tert-butyl dimethylsilyl chloride
- TBS
tert-butyldimethylsilyl
- TFA
Trifluoroacetic acid
- TIPS
Triisopropylsilyl
- TMEDA
N,N,N′,N′-tetramethyl-1,2-ethylenediamine
- TMSCl
Trimethylsilyl chloride
- TPA
Tripyridylamine
- TS
Transition state
- Ts
Tosyl, 4-toluenesulfonyl
Footnotes
Salph = N,N′-bis(3,5-di-tert-butylsalicylidene)phenylenediamine.
Contributor Information
Bimal K. Banik, Email: banik@panam.edu
Luigino Troisi, Email: luigino.troisi@unisalento.it.
References
- 1.Bose AK, Manhas MS, Banik BK, Srirajan V. In: The amide linkage: selected structural aspects in chemistry, biochemistry, and material science. Greenberg A, Breneman CM, Liebman JF, editors. New York: Wiley-Interscience; 2000. p. 157. [Google Scholar]
- 2.Singh GS. In: β-Lactams in the new millenium. Part. I: monobactams and carbapenems. Mini Rev Med Chem. 2004;4:69. doi: 10.2174/1389557043487501. [DOI] [PubMed] [Google Scholar]
- 3.Manhas MS, Banik BK, Mathur A, Vincent JE, Bose AK. Tetrahedron. 2000;56:5587. doi: 10.1016/S0040-4020(00)00409-9. [DOI] [Google Scholar]
- 4.Bose AK, Mathur C, Wagle DR, Manhas MS. Tetrahedron. 2000;56:5603. doi: 10.1016/S0040-4020(00)00410-5. [DOI] [Google Scholar]
- 5.Ojima I. Acc Chem Res. 1995;28:383. doi: 10.1021/ar00057a004. [DOI] [Google Scholar]
- 6.Banik BK, Manhas MS, Bose AK. J Org Chem. 1994;59:4714. doi: 10.1021/jo00096a004. [DOI] [Google Scholar]
- 7.Banik BK, Manhas MS, Bose AK. J Org Chem. 1993;58:307. doi: 10.1021/jo00054a007. [DOI] [Google Scholar]
- 8.Clader JW, Burnett DA, Caplen MA, Domalski MS, Dugar S, Vaccaro W, Sher R, Browne ME, Zhao H, Burrier RE, Salisbury B, Davis HR. J Med Chem. 1996;39:3684. doi: 10.1021/jm960405n. [DOI] [PubMed] [Google Scholar]
- 9.Burnett DA, Caplen MA, Davis HR, Burrier RE, Clader JW. J Med Chem. 1994;37:1733. doi: 10.1021/jm00038a001. [DOI] [PubMed] [Google Scholar]
- 10.Finke PE, Shan SK, Fletcher DS, Ashe BM, Brause KA, Chandler GO, Dellea PS, Hand KM, Maycock AL, Osinga DG, Underwood DJ, Weston H, Davies P, Doherty JB. J Med Chem. 1995;38:2449. doi: 10.1021/jm00013a021. [DOI] [PubMed] [Google Scholar]
- 11.Cohn ML. Science. 1992;257:1050. doi: 10.1126/science.257.5073.1050. [DOI] [PubMed] [Google Scholar]
- 12.Neu HC. Science. 1992;257:1064. doi: 10.1126/science.257.5073.1064. [DOI] [PubMed] [Google Scholar]
- 13.Davies J. Science. 1994;264:375. doi: 10.1126/science.8153624. [DOI] [PubMed] [Google Scholar]
- 14.Shlaes D, Levy S, Archer G. ASM News. 1991;57:455. [Google Scholar]
- 15.World Health Organization . In: The world health report 1996. Geneva: Switzerland; 1996. [Google Scholar]
- 16.Lederberg J, Shope RE, editors. Emerging infections: microbial threats to health in the United States. Washington DC: National Academy Press; 1992. [PubMed] [Google Scholar]
- 17.Bush K, Jacoby GA, Medeiros AA. Antimicrob Agents Chemother. 1995;39:1211. doi: 10.1128/AAC.39.6.1211. [DOI] [PMC free article] [PubMed] [Google Scholar]
- 18.Massova I, Mobashery S. Acc Chem Res. 1997;30:162. doi: 10.1021/ar960007e. [DOI] [Google Scholar]
- 19.Kuzin AP, Nukaga M, Nukaga Y, Hujer A, Bomono RA, Knox JR. Biochemistry. 2001;40:1861. doi: 10.1021/bi0022745. [DOI] [PubMed] [Google Scholar]
- 20.Yang Y, Rasmussen BA, Shales DM. Pharmacol Ther. 1999;83:141. doi: 10.1016/S0163-7258(99)00027-3. [DOI] [PubMed] [Google Scholar]
- 21.Bush K, Mobashery S. In: Resolving the antibiotic paradox: progress in understanding drug resistance and development of new antibiotics. Rosen BP, Mobashery S, editors. New York: Plenum Press; 1998. p. 71. [Google Scholar]
- 22.Ambler RP. Philos Trans R Soc London Ser B. 1980;289:155. doi: 10.1098/rstb.1980.0049. [DOI] [PubMed] [Google Scholar]
- 23.Bush K. Clin Microbiol Rev. 1988;1:109. doi: 10.1128/cmr.1.1.109. [DOI] [PMC free article] [PubMed] [Google Scholar]
- 24.Bush K. Antibiotic and chemotherapy. Edinburgh UK: Churchill Livingstone; 1997. p. 306. [Google Scholar]
- 25.Vedel G, Belaaouaj A, Gilly L, Labia R, Phillippon A, Nevot P, Paul GJ. Antimicrob Chemother. 1992;30:449. doi: 10.1093/jac/30.4.449. [DOI] [PubMed] [Google Scholar]
- 26.Sirot D, Chanal C, Henquell C, Labia R, Sirot J, Cluzel RJ. Antimicrob Chemother. 1994;33:1117. doi: 10.1093/jac/33.6.1117. [DOI] [PubMed] [Google Scholar]
- 27.Belaaouaj A, Lapoumeroulie C, Canica MM, Vedel G, Nevot P, Krishnamoorthy R, Paul G. FEMS Microbiol Lett. 1994;120:75. doi: 10.1111/j.1574-6968.1994.tb07010.x. [DOI] [PubMed] [Google Scholar]
- 28.Brun T, Péduzzi J, Canica MM, Paul G, Nevot P, Barthélémy M, Labia R. FEMS Microbiol Lett. 1994;120:111. doi: 10.1111/j.1574-6968.1994.tb07016.x. [DOI] [PubMed] [Google Scholar]
- 29.Stemmer WPC. Nature. 1994;370:389. doi: 10.1038/370389a0. [DOI] [PubMed] [Google Scholar]
- 30.Vakulenko SB, Geryk B, Kotra LP, Mobashery S, Lerner SA. Antimicrob Agents Chemother. 1998;43:1542. doi: 10.1128/aac.42.7.1542. [DOI] [PMC free article] [PubMed] [Google Scholar]
- 31.Sternlicht MD, Werb Z. In: Extracellular matrix, anchor and adhesion proteins. Kreis T, Vale R, editors. UK: Oxford University Press Oxford; 1999. p. 543. [Google Scholar]
- 32.Balckwill F, Mantovani A. Lancet. 2001;357:539. doi: 10.1016/S0140-6736(00)04046-0. [DOI] [PubMed] [Google Scholar]
- 33.Delclaux C, Delacourt C, D’Ortho MP, Boyer V, Lafuma C, Harf A. Am J Respir Cell Mol Biol. 1996;14:288. doi: 10.1165/ajrcmb.14.3.8845180. [DOI] [PubMed] [Google Scholar]
- 34.Esparza J, Kruse M, Lee J, Michaud M, Madri JA. FASEB J. 2004;18:1682. doi: 10.1096/fj.04-2445com. [DOI] [PubMed] [Google Scholar]
- 35.Konaklieva MI. Med Chem Rev. 2002;1:133. [Google Scholar]
- 36.Jard S, Elands J, Schmidt A, Barberis C. In: Progress in endocrinology. Imura H, Shizume K, editors. Amsterdam: Elsevier; 1998. p. 1183. [Google Scholar]
- 37.The Nutrition Committee of the American Heart Association (1988) In: Dietary guidelines for healthy american adults: a statement for physicians and health professionals Circulation 77:721A [PubMed]
- 38.The Expert Panel in summary of the second report of the National Cholesterol Education Program (NCEP) Expert Panel on detection, evalution, and treatment of high blood cholesterol in adults (adult treatment panel II) (1993) J Am Med Assoc 269:3015 [PubMed]
- 39.Krause BR, Sliskovic DR, Bocan TMA. Exp Opin Invest Drugs. 1995;4:353. doi: 10.1517/13543784.4.5.353. [DOI] [Google Scholar]
- 40.Otani T, Oie S, Matsumoto H, Tempest M, Micetich RG, Singh R, Yamashita T. WO 01,109, 1994 Chem Abstr. 1994;121:57497. [Google Scholar]
- 41.Alpegiani M, Bissolino P, Perrone E, Pesenti E. WO 02,603 1995 Chem Abstr. 1995;122:205179. [Google Scholar]
- 42.Veinberg G, Vorona M, Shestakova I, Kanepe I, Zharkova O, Mezapuke R, Turovskis I, Kalvinsh I, Lukevics E. Bioorg Med Chem. 2000;8:1033. doi: 10.1016/S0968-0896(00)00035-3. [DOI] [PubMed] [Google Scholar]
- 43.Finke PE, Dahlgren ME, Weston H, Maycock AL, Doherty JB. Bioorg Med Chem Lett. 1993;3:2277. doi: 10.1016/S0960-894X(01)80939-2. [DOI] [Google Scholar]
- 44.Smith DM, Kazi A, Smith L, Long TE, Heldreth B, Turos E, Dou QP. Mol Pharmacol. 2002;61:1348. doi: 10.1124/mol.61.6.1348. [DOI] [PubMed] [Google Scholar]
- 45.Field AK. Antiviral Chem Chemother. 1999;10:219. doi: 10.1177/095632029901000501. [DOI] [PubMed] [Google Scholar]
- 46.Holwerda BC. Antiviral Res. 1997;35:1. doi: 10.1016/S0166-3542(97)00012-0. [DOI] [PubMed] [Google Scholar]
- 47.Waxman L, Darke PL. Antiviral Chem Chemother. 2000;11:1. doi: 10.1177/095632020001100101. [DOI] [PubMed] [Google Scholar]
- 48.Déziel R, Malenfant E. Bioorg Med Chem Lett. 1998;8:1437. doi: 10.1016/S0960-894X(98)00240-6. [DOI] [PubMed] [Google Scholar]
- 49.For comprehensive general review see Koppel GA (1983) In: Hassner A (ed) Small ring heterocycles, vol 42. Wyley, New York, p 219
- 50.De Kimpe N. In: Comprehensive heterocyclic chemistry II. Katritzky AR, Rees CW, Scriven EFV, Padwa A, editors. Oxford: Pergamon; 1996. p. 507. [Google Scholar]
- 51.Bose AK, Banik BK, Mathur C, Wagle DR, Manhas MS. Tetrahedron. 2000;56:5603. doi: 10.1016/S0040-4020(00)00410-5. [DOI] [Google Scholar]
- 52.Banik BK, Ghatak A, Becker FF (2000) J Chem Soc Perkin Trans 1 2179
- 53.Baldoli C, Del Buttero P, Maiorana S, Jaouen G, Top S. J Organomet Chem. 1991;413:125. doi: 10.1016/0022-328X(91)80043-J. [DOI] [Google Scholar]
- 54.Del Buttero P, Baldoli C, Molteni G, Pilati T. Tetrahedron: Asymmetry. 2000;11:1927. doi: 10.1016/S0957-4166(00)00137-3. [DOI] [Google Scholar]
- 55.Yamamoto Y, Watanabe Y, Ohnishi S. Chem Pharm Bull. 1987;35:1860. doi: 10.1248/cpb.35.1860. [DOI] [Google Scholar]
- 56.Almqvist F, Guillaume D, Hultgren SJ, Marshall GR. Tetrahedron Lett. 1998;39:2293. doi: 10.1016/S0040-4039(98)00347-5. [DOI] [Google Scholar]
- 57.Emtenas H, Soto G, Hultgren SJ, Marshall GR, Almqvist F. Org Lett. 2000;2:2065. doi: 10.1021/ol0059899. [DOI] [PubMed] [Google Scholar]
- 58.Fernández R, Ferrete A, Lassaletta JM, Llera JM, Monge A. Angew Chem Int Ed. 2000;39:2893. doi: 10.1002/1521-3773(20000818)39:16<2893::AID-ANIE2893>3.0.CO;2-E. [DOI] [PubMed] [Google Scholar]
- 59.Mihovilovic MD, Feicht A, Kayser MM. J Prakt Chem. 2000;342:585. doi: 10.1002/1521-3897(200006)342:6<585::AID-PRAC585>3.0.CO;2-R. [DOI] [Google Scholar]
- 60.Thiagarajan K, Puranik VG, Deshmukh ARAS, Bhawal BM. Tetrahedron. 2000;56:7811. doi: 10.1016/S0040-4020(00)00699-2. [DOI] [Google Scholar]
- 61.Saul R, Kopf J, Köll P. Tetrahedron: Asymmetry. 2000;11:423. doi: 10.1016/S0957-4166(99)00506-6. [DOI] [Google Scholar]
- 62.Taggi AE, Hafez AM, Wack H, Young B, Drury WJ, Lectka T. J Am Chem Soc. 2000;122:7831. doi: 10.1021/ja001754g. [DOI] [PubMed] [Google Scholar]
- 63.Costa MF, Da Costa MRG, Curto MJM, Magrinho M, Damas AM, Gales L. J Organomet Chem. 2001;632:27. doi: 10.1016/S0022-328X(01)00806-3. [DOI] [Google Scholar]
- 64.Alcaide B, Almendros P, Rodríguez-Acebes R. J Org Chem. 2002;67:1925. doi: 10.1021/jo016247b. [DOI] [PubMed] [Google Scholar]
- 65.Alcaide B, Almendros P. Org Prep Proced Int. 2001;33:315. doi: 10.1080/00304940109356596. [DOI] [Google Scholar]
- 66.E Alonso, Del Pozo C, González J (2002) J Chem Soc Perkin Trans 1 571
- 67.Arjona O, Csákÿ AG, Murcia MC, Plumet J. Tetrahedron Lett. 2002;43:6405. doi: 10.1016/S0040-4039(02)01375-8. [DOI] [Google Scholar]
- 68.Boger DL, JBJr M. J Org Chem. 1991;56:5385. doi: 10.1021/jo00018a035. [DOI] [Google Scholar]
- 69.Delpiccolo CML, Mata EG. Tetrahedron: Asymmetry. 2002;13:905. doi: 10.1016/S0957-4166(02)00214-8. [DOI] [Google Scholar]
- 70.Dasgupta SK, Banik BK. Tetrahedron Lett. 2002;43:9445. doi: 10.1016/S0040-4039(02)02236-0. [DOI] [Google Scholar]
- 71.Fernández R, Ferrete A, Lassaletta JM, Llera JM, Martín-Zamora E. Angew Chem Int Ed. 2002;41:831. doi: 10.1002/1521-3773(20020301)41:5<831::AID-ANIE831>3.0.CO;2-6. [DOI] [PubMed] [Google Scholar]
- 72.Martín-Zamora E, Ferrete A, Llera JM, Munoz JM, Pappalardo RR, Fernández R, Lassaletta JM. Chem Eur J. 2004;10:6111. doi: 10.1002/chem.200400452. [DOI] [PubMed] [Google Scholar]
- 73.France S, Wack H, Hafez AM, Taggi AE, Witsil DR, Lectka T. Org Lett. 2002;4:1603. doi: 10.1021/ol025805l. [DOI] [PubMed] [Google Scholar]
- 74.France S, Shah MH, Weatherwax A, Wack H, Roth JP, Lectka T. J Am Chem Soc. 2005;127:1206. doi: 10.1021/ja044179f. [DOI] [PubMed] [Google Scholar]
- 75.Hodous BL, Fu GC. J Am Chem Soc. 2002;124:1578. doi: 10.1021/ja012427r. [DOI] [PubMed] [Google Scholar]
- 76.Taggi AE, Hafez AM, Wack H, Young B, Ferraris D, Lectka T. J Am Chem Soc. 2002;124:6626. doi: 10.1021/ja0258226. [DOI] [PubMed] [Google Scholar]
- 77.Le Roy I, Mouysset D, Mignani S, Vuilhorgne M, Stella L. Tetrahedron. 2003;59:3719. doi: 10.1016/S0040-4020(03)00553-2. [DOI] [Google Scholar]
- 78.Costero AM, Pitarch M, Cano ML, (1994) J Chem Res (S) 316
- 79.Look GC, Murphy MM, Campbell DA, Gallop MA. Tetrahedron Lett. 1995;36:2937. doi: 10.1016/0040-4039(95)00442-F. [DOI] [Google Scholar]
- 80.Hevia E, Pérez J, Riera V, Miguel D. Angew Chem Int Ed. 2002;41:3858. doi: 10.1002/1521-3773(20021018)41:20<3858::AID-ANIE3858>3.0.CO;2-J. [DOI] [PubMed] [Google Scholar]
- 81.Hevia E, Pérez J, Riera V, Miguel D, Campomanes P, Menéndez MI, Sordo TL, García-Granda S. J Am Chem Soc. 2003;125:3706. doi: 10.1021/ja034070s. [DOI] [PubMed] [Google Scholar]
- 82.Delpiccolo CML, Fraga MA, Mata EG. J Comb Chem. 2003;5:208. doi: 10.1021/cc020107d. [DOI] [PubMed] [Google Scholar]
- 83.Testero SA, Mata EG. Org Lett. 2006;8:4783. doi: 10.1021/ol061786u. [DOI] [PubMed] [Google Scholar]
- 84.Annunziata R, Benaglia M, Cinquini M, Cozzi F, Maggioni F, Puglisi A. J Org Chem. 2003;68:2952. doi: 10.1021/jo020617u. [DOI] [PubMed] [Google Scholar]
- 85.Arun M, Joshi SN, Puranik VG, Bhawal BM, Deshmukh ARAS. Tetrahedron. 2003;59:2309. doi: 10.1016/S0040-4020(03)00239-4. [DOI] [Google Scholar]
- 86.Banik I, Becker FF, Banik BK. J Med Chem. 2003;46:12. doi: 10.1021/jm0255825. [DOI] [PubMed] [Google Scholar]
- 87.Wack H, France S, Hafez AM, Drury WJ, III, Weatherwax A, Lectka T. J Org Chem. 2004;69:4531. doi: 10.1021/jo049804d. [DOI] [PubMed] [Google Scholar]
- 88.Jarrahpour AA, Shekarriz M, Taslimi A. Molecules. 2004;9:29. doi: 10.3390/90100029. [DOI] [PMC free article] [PubMed] [Google Scholar]
- 89.Khasanov AB, Ramirez-Weinhouse MM, Webb TR, Thiruvazhi M. J Org Chem. 2004;69:5766. doi: 10.1021/jo049430o. [DOI] [PubMed] [Google Scholar]
- 90.Dondoni A, Massi A, Sabbatini S, Bertolasi V. Adv Synth Catal. 2004;346:1355. doi: 10.1002/adsc.200404100. [DOI] [Google Scholar]
- 91.Govande VV, Deshmukh ARAS. Tetrahedron Lett. 2004;45:6563. doi: 10.1016/j.tetlet.2004.07.047. [DOI] [Google Scholar]
- 92.Jarrahpour AA, Shekarriz M, Taslimi A. Molecules. 2004;9:939. doi: 10.3390/91100939. [DOI] [PMC free article] [PubMed] [Google Scholar]
- 93.Diez E, Fernandez R, Marques-Lopez E, Martin-Zamora E, Lassaletta JM. Org Lett. 2004;6:2749. doi: 10.1021/ol0490328. [DOI] [PubMed] [Google Scholar]
- 94.Delpiccolo CML, Mata EG. Tetrahedron Lett. 2004;45:4085. doi: 10.1016/j.tetlet.2004.03.145. [DOI] [Google Scholar]
- 95.Sternbach LH, Reeder E. J Org Chem. 1961;26:4936. doi: 10.1021/jo01070a038. [DOI] [PubMed] [Google Scholar]
- 96.Sternbach LH, Fryer RI, Metlesics W, Reeder E, Sach G, Saucy G, Stempel A. J Org Chem. 1962;27:3788. doi: 10.1021/jo01058a010. [DOI] [Google Scholar]
- 97.Del Pozo C, Macias A, Lopez-Ortiz F, Maestro MA, Alonso E, Gonzalez J (2004) Eur J Org Chem 535 [DOI] [PubMed]
- 98.Liang Y, Jiao L, Zhang S, Xu J. J Org Chem. 2005;70:334. doi: 10.1021/jo048328o. [DOI] [PubMed] [Google Scholar]
- 99.Banik BK, Banik I, Becker FF. Bioorg Med Chem. 2005;13:3611. doi: 10.1016/j.bmc.2005.03.044. [DOI] [PubMed] [Google Scholar]
- 100.Cremonesi G, Dalla Croce P, La Rosa C. Helvetica Chimica Acta. 2005;88:1580. doi: 10.1002/hlca.200590125. [DOI] [Google Scholar]
- 101.Cremonesi G, Dalla Croce P, Fontana F, Forni A, La Rosa C. Tetrahedron: Asymmetry. 2005;16:3371. doi: 10.1016/j.tetasy.2005.08.054. [DOI] [Google Scholar]
- 102.Delpiccolo CML, Méndez L, Fraga MA, Mata EG. J Comb Chem. 2005;7:331. doi: 10.1021/cc049825l. [DOI] [PubMed] [Google Scholar]
- 103.Lee EC, Hodous BL, Bergin E, Shih C, Fu GC. J Am Chem Soc. 2005;127:11586. doi: 10.1021/ja052058p. [DOI] [PubMed] [Google Scholar]
- 104.Pelotier B, Rajzmann M, Pons J-M, Campomanes P, López R, Sordo TL (2005) Eur J Org Chem 2599
- 105.Sato K, Tarui A, Matsuda S, Omote M, Ando A, Kumadaki I. Tetrahedron Lett. 2005;46:7679. doi: 10.1016/j.tetlet.2005.09.031. [DOI] [Google Scholar]
- 106.Xu J. Mol Divers. 2005;9:45. doi: 10.1007/s11030-005-1306-x. [DOI] [PubMed] [Google Scholar]
- 107.Jarrahpour AA, Jahaniani AR (2005) Molbank M439
- 108.Jiao L, Zhang Q, Liang Y, Zhang S, Xu J. J Org Chem. 2005;71:815. doi: 10.1021/jo052135z. [DOI] [PubMed] [Google Scholar]
- 109.Arumugam N, Raghunathan R. Tetrahedron Lett. 2006;47:8855. doi: 10.1016/j.tetlet.2006.10.076. [DOI] [Google Scholar]
- 110.Jarrahpour A, Zarei M. Molecules. 2006;11:49. doi: 10.3390/11010049. [DOI] [PMC free article] [PubMed] [Google Scholar]
- 111.Nahmany M, Melman A. J Org Chem. 2006;71:5804. doi: 10.1021/jo0607010. [DOI] [PubMed] [Google Scholar]
- 112.Shaickh AL, Puranik VG, Deshmukh ARAS. Tetrahedron Lett. 2006;47:5993. doi: 10.1016/j.tetlet.2006.05.189. [DOI] [Google Scholar]
- 113.Van Brabandt W, Vanwalleghem M, D’Hooghe M, De Kimpe N. J Org Chem. 2006;71:7083. doi: 10.1021/jo0608319. [DOI] [PubMed] [Google Scholar]
- 114.Viso A, de la Pradilla RF, Flores A. Tetrahedron Lett. 2006;47:8911. doi: 10.1016/j.tetlet.2006.10.044. [DOI] [Google Scholar]
- 115.Zanobini A, Brandi A, de Meijere A (2006) Eur J Org Chem 1251
- 116.Benaglia M, Cozzi F, Puglisi A (2007) Eur J Org Chem 2865
- 117.Coantic S, Mouysset D, Mignani S, Tabart M, Stella L. Tetrahedron Lett. 2007;48:4301. doi: 10.1016/j.tetlet.2007.04.012. [DOI] [Google Scholar]
- 118.Jiao L, Liang Y, Xu J. J Am Chem Soc. 2006;128:6060. doi: 10.1021/ja056711k. [DOI] [PubMed] [Google Scholar]
- 119.Cariou CCA, Clarkson GJ, Shipman M. J Org Chem. 2008;73:9762. doi: 10.1021/jo801664g. [DOI] [PubMed] [Google Scholar]
- 120.Tato F, Reboul V, Metzner P. J Org Chem. 2008;73:7837. doi: 10.1021/jo8014193. [DOI] [PubMed] [Google Scholar]
- 121.Zhang Y-R, He L, Wu X, Shao P-L, Ye S. Org Lett. 2008;10:277. doi: 10.1021/ol702759b. [DOI] [PubMed] [Google Scholar]
- 122.Yang Y-Y, Shou W-G, Hong D, Wang Y-G. J Org Chem. 2008;73:3574. doi: 10.1021/jo702733h. [DOI] [PubMed] [Google Scholar]
- 123.D’hooghe M, Dejaegher Y, De Kimpe N. Tetrahedron. 2008;64:4575. doi: 10.1016/j.tet.2008.03.006. [DOI] [Google Scholar]
- 124.Marques-Lopez E, Martin-Zamora E, Diez E, Fernandez R, Lassaletta JM. Eur J Org Chem. 2008;17:2960. doi: 10.1002/ejoc.200800194. [DOI] [Google Scholar]
- 125.D’hooghe M, Van Brabandt W, Dekeukeleire S, Dejaegher Y, De Kimpe N. Chem A Eur J. 2008;14:6336. doi: 10.1002/chem.200800845. [DOI] [PubMed] [Google Scholar]
- 126.Hegedus LS, Montgomery J, Narukawa Y, Snustad DC. J Am Chem Soc. 1991;113:5784. doi: 10.1021/ja00015a036. [DOI] [Google Scholar]
- 127.Georg GI, He P, Kant J, W ZJ. J Org Chem. 1993;58:5771. doi: 10.1021/jo00073a042. [DOI] [Google Scholar]
- 128.Cossio FP, Ugalde JM, Lopez X, Lecea B, Palomo C. J Am Chem Soc. 1993;115:995. doi: 10.1021/ja00056a026. [DOI] [Google Scholar]
- 129.Arrieta A, Ugalde JM, Cossio FP. Tetrahedron Lett. 1994;35:4465. doi: 10.1016/S0040-4039(00)73385-5. [DOI] [Google Scholar]
- 130.Arrieta A, Lecea B, Cossio FP. J Org Chem. 1998;63:5869. doi: 10.1021/jo9804745. [DOI] [PubMed] [Google Scholar]
- 131.Georg GI, Ravikumar VT. In: The Organic chemistry of β-lactams. Georg GI, editor. New York: Verlag Chemie; 1993. p. 295. [Google Scholar]
- 132.Benaglia M, Cinquini M, Cozzi F (2000) Eur J Org Chem 563 [DOI] [PubMed]
- 133.Schunk S, Enders D. Org Lett. 2000;2:907. doi: 10.1021/ol0055465. [DOI] [PubMed] [Google Scholar]
- 134.Shindo M. Chem Soc Rev. 1998;27:367. doi: 10.1039/a827367z. [DOI] [Google Scholar]
- 135.Shindo M, Oya S, Murakami R, Sato Y, Shishido K. Tetrahedron Lett. 2000;41:5943. doi: 10.1016/S0040-4039(00)00984-9. [DOI] [Google Scholar]
- 136.Sierra MA, Mancheno MJ, Vicente R, Gómez-Gallego M. J Org Chem. 2001;66:8920. doi: 10.1021/jo015961q. [DOI] [PubMed] [Google Scholar]
- 137.Annunziata R, Benaglia M, Cinquini M, Cozzi F, Puglisi A. Bioorg Med Chem. 2002;10:1813. doi: 10.1016/S0968-0896(02)00017-2. [DOI] [PubMed] [Google Scholar]
- 138.Arai Y, Yoneda S, Masuda T, Masaki Y. Chem Pharm Bull. 2002;50:615. doi: 10.1248/cpb.50.615. [DOI] [PubMed] [Google Scholar]
- 139.Burnett DA, Caplen MA, Browne ME, Zhau H, Altmann SW, HRJr D, Clader JW. Bioorg Med Chem Lett. 2002;12:315. doi: 10.1016/S0960-894X(01)00752-1. [DOI] [PubMed] [Google Scholar]
- 140.Burnett DA, Caplen MA, Dolmaski MS, Browne ME, HRJr D, Clader JW. Bioorg Med Chem Lett. 2002;12:311. doi: 10.1016/S0960-894X(01)00750-8. [DOI] [PubMed] [Google Scholar]
- 141.Schunk S, Enders D. J Org Chem. 2002;67:8034. doi: 10.1021/jo0261552. [DOI] [PubMed] [Google Scholar]
- 142.Townes JA, Evans MA, Queffelec J, Taylor SJ, Morken JP. Org Lett. 2002;4:2537. doi: 10.1021/ol020106u. [DOI] [PubMed] [Google Scholar]
- 143.Boyer N, Gloanec P, De Nanteuil G, Jubault P, Quirion J-C. Tetrahedron. 2007;63:12352. doi: 10.1016/j.tet.2007.09.058. [DOI] [Google Scholar]
- 144.Davoli P, Moretti I, Prati F, Alper H. J Org Chem. 1999;64:518. doi: 10.1021/jo981568h. [DOI] [Google Scholar]
- 145.Davoli P, Forni A, Moretti I, Prati F, Torre G. Tetrahedron. 2001;57:1801. doi: 10.1016/S0040-4020(00)01152-2. [DOI] [Google Scholar]
- 146.Aggarwal VK, Alonso E, Ferrara M, Spey SE. J Org Chem. 2002;67:2335. doi: 10.1021/jo016312h. [DOI] [PubMed] [Google Scholar]
- 147.Mahadevan V, Getzler YDYL, Coates GW. Angew Chem Int Ed. 2002;41:2781. doi: 10.1002/1521-3773(20020802)41:15<2781::AID-ANIE2781>3.0.CO;2-S. [DOI] [PubMed] [Google Scholar]
- 148.Getzler YDYL, Mahadevan V, Lobkovsky E, Coates GW. J Am Chem Soc. 2002;124:1174. doi: 10.1021/ja017434u. [DOI] [PubMed] [Google Scholar]
- 149.Ardura D, López R. J Org Chem. 2007;72:3259. doi: 10.1021/jo0625249. [DOI] [PubMed] [Google Scholar]
- 150.Lu S-M, Alper H. J Org Chem. 2004;69:3558. doi: 10.1021/jo030353r. [DOI] [PubMed] [Google Scholar]
- 151.Ardura D, López R, Sordo TL. J Org Chem. 2006;71:7315. doi: 10.1021/jo0610356. [DOI] [PubMed] [Google Scholar]
- 152.Meloni MM, Taddei M. Org Lett. 2001;3:337. doi: 10.1021/ol006779z. [DOI] [PubMed] [Google Scholar]
- 153.Calcagni A, Rossi D, Lucente G (1981) Synthesis 445
- 154.Broadrup RL, Wang B, Malachowski WP. Tetrahedron. 2005;61:10277. doi: 10.1016/j.tet.2005.08.029. [DOI] [Google Scholar]
- 155.Angelaud R, Zhong Y-L, Maligres P, Lee J, Askin D. J Org Chem. 2005;70:1949. doi: 10.1021/jo048249c. [DOI] [PubMed] [Google Scholar]
- 156.Lo MM-C FuGC. J Am Chem Soc. 2002;124:4572. doi: 10.1021/ja025833z. [DOI] [PubMed] [Google Scholar]
- 157.Bask A, Pal R. Bioorg Med Chem Lett. 2005;15:2015. doi: 10.1016/j.bmcl.2005.02.064. [DOI] [PubMed] [Google Scholar]
- 158.Zhang X, Hsung RP, Li H, Zhang Y, Johnson WL, Figueroa R. Org Lett. 2008;10:3477. doi: 10.1021/ol801257j. [DOI] [PMC free article] [PubMed] [Google Scholar]
- 159.Troisi L, De Vitis L, Granito C, Epifani E (2004) Eur J Org Chem 1357
- 160.Troisi L, De Vitis L, Granito C, Pilati T, Pindinelli E. Tetrahedron. 2004;60:6895. doi: 10.1016/j.tet.2004.05.079. [DOI] [Google Scholar]
- 161.Torii S, Okumoto H, Sadakane M, Hai AKMA, Tanaka H. Tetrahedron Lett. 1993;34:6553. doi: 10.1016/0040-4039(93)88102-O. [DOI] [Google Scholar]
- 162.Troisi L, Ronzini L, Granito C, De Vitis L, Pindinelli E. Tetrahedron. 2006;62:1564. doi: 10.1016/j.tet.2005.11.007. [DOI] [Google Scholar]
- 163.Troisi L, Ronzini L, Granito C, De Vitis L, Pindinelli E, Troisi A, Pilati T. Tetrahedron. 2006;62:12064. doi: 10.1016/j.tet.2006.09.075. [DOI] [Google Scholar]
- 164.Troisi L, Granito C, Pindinelli E. Tetrahedron. 2008;64:11632. doi: 10.1016/j.tet.2008.10.027. [DOI] [Google Scholar]
- 165.Feroci M, Lessard J, Orsini M, Inesi A. Tetrahedron Lett. 2005;46:8517. doi: 10.1016/j.tetlet.2005.10.008. [DOI] [Google Scholar]
- 166.Feroci M, Orsini M, Rossi L, Sotgiu G, Inesi A. Electrochim Acta. 2006;51:5540. doi: 10.1016/j.electacta.2006.02.026. [DOI] [Google Scholar]
- 167.Feroci M, Orsini M, Palombi L, Rossi L, Inesi A. Electrochim Acta. 2005;50:2029. doi: 10.1016/j.electacta.2004.09.011. [DOI] [Google Scholar]
- 168.Sotgiu G, Chiarotto I, Feroci M, Orsini M, Rossi L, Inesi A. Electrochim Acta. 2008;53:7852. doi: 10.1016/j.electacta.2008.05.054. [DOI] [Google Scholar]
- 169.Podlech J, Seebach D (1995) Liebigs Ann 1217
- 170.Podlech J, Seebach D. Helv Chim Acta. 1995;78:1238. doi: 10.1002/hlca.19950780516. [DOI] [Google Scholar]
- 171.Linder MR, Frey WU, Podlech J (2001) J Chem Soc Perkin Trans 1 2566
- 172.Natarajan A, Wang K, Ramamurthy V, Scheffer JR, Patrick B. Org Lett. 2002;4:1443. doi: 10.1021/ol025700i. [DOI] [PubMed] [Google Scholar]
- 173.Maier TC, Frey WU, Podlech J (2002) Eur J Org Chem 2686
- 174.Donati D, Fusi S, Ponticelli F. Tetrahedron Lett. 2003;44:9247. doi: 10.1016/j.tetlet.2003.10.079. [DOI] [Google Scholar]
- 175.Maier TC, Podlech J (2004) Eur J Org Chem 4379
- 176.Wang R, Chen C, Duesler E, Mariano PS. J Org Chem. 2004;69:1215. doi: 10.1021/jo030343q. [DOI] [PubMed] [Google Scholar]
- 177.Sakamoto M, Kawanishi H, Mino T, Fujita T. Chem Commun. 2008;18:2132. doi: 10.1039/b801524d. [DOI] [PubMed] [Google Scholar]
- 178.Ross NA, MacGregor RR, Bartsch RA. Tetrahedron. 2004;60:2035. doi: 10.1016/j.tet.2004.01.002. [DOI] [Google Scholar]
- 179.Bongini A, Panunzio M, Tamanini E, Martelli G, Vicennati P, Monari M. Tetrahedron: Asymmetry. 2003;14:993. doi: 10.1016/S0957-4166(03)00162-9. [DOI] [Google Scholar]
- 180.Gerona-Navarro G, Bonache MA, Herranz R, García-López MT, González-Muňiz R. J Org Chem. 2001;66:3538. doi: 10.1021/jo015559b. [DOI] [PubMed] [Google Scholar]
- 181.Vicario JL, Badía D, Carrillo L. J Org Chem. 2001;66:9030. doi: 10.1021/jo010697m. [DOI] [PubMed] [Google Scholar]
- 182.Guanti G, Narisano E, Banfi L. Tetrahedron Lett. 1987;28:4331. doi: 10.1016/S0040-4039(00)96501-8. [DOI] [Google Scholar]
- 183.Gennari C, Venturini I, Gislon G, Schimperna G. Tetrahedron Lett. 1987;28:227. doi: 10.1016/S0040-4039(00)95693-4. [DOI] [Google Scholar]
- 184.Clark AJ, Battle GM, Bridge A. Tetrahedron Lett. 2001;42:4409. doi: 10.1016/S0040-4039(01)00737-7. [DOI] [Google Scholar]
- 185.Kobayashi S, Iimori T, Izawa T, Ohno M. J Am Chem Soc. 1981;103:2405. doi: 10.1021/ja00399a043. [DOI] [Google Scholar]
- 186.Tanaka H, Sakagami H, Ogasawara K. Tetrahedron Lett. 2002;43:93. doi: 10.1016/S0040-4039(01)02073-1. [DOI] [Google Scholar]
- 187.Sakagami H, Kamikubo T, Ogasawara K (1996) Chem Commun 1433
- 188.Sakagami H, Ogasawara K (2000) Synthesis 521
- 189.Lindgren BO, Nolsson T. Acta Chem Scand. 1973;27:888. doi: 10.3891/acta.chem.scand.27-0888. [DOI] [Google Scholar]
- 190.Poitout L, Le Merrer Y, Depezay J-C. Tetrahedron Lett. 1996;37:1609. doi: 10.1016/0040-4039(96)00096-2. [DOI] [Google Scholar]
- 191.Sakagami H, Ogasawara K (2001) Synlett 45
- 192.Gerona-Navarro G, García-López MT, González-Muňiz R. J Org Chem. 2002;67:3953. doi: 10.1021/jo025571j. [DOI] [PubMed] [Google Scholar]
- 193.Clayden J, Watson DW, Helliwell M, Chambers M (2003) Chem Commun 2582 [DOI] [PubMed]
- 194.Bonache MA, Gerona-Navarro G, García-Aparicio C, Alìas M, Martìn-Martìnez M, García-López MT, López P, Cativiela C, González-Muňiz R. Tetrahedron: Asymmetry. 2003;14:2161. doi: 10.1016/S0957-4166(03)00398-7. [DOI] [Google Scholar]
- 195.Clayden J, Hamilton SD, Mohammed RT. Org Lett. 2005;7:3673. doi: 10.1021/ol051214u. [DOI] [PubMed] [Google Scholar]
- 196.Guerrini A, Varchi G, Samorì C, Rizzo D, Battaglia A. Tetrahedron Lett. 2007;48:5081. doi: 10.1016/j.tetlet.2007.05.087. [DOI] [Google Scholar]
- 197.Guerrini A, Varchi G, Rizzo D, Samorì C, Battaglia A. Tetrahedron. 2007;63:7949. doi: 10.1016/j.tet.2007.05.069. [DOI] [Google Scholar]
- 198.Yang Y, Xiang D, Zhao X, Liang Y, Huang J, Dong D. Tetrahedron. 2008;64:4959. doi: 10.1016/j.tet.2008.03.093. [DOI] [Google Scholar]
- 199.Gedey S, Van der Eycken J, Fulop F. Org Lett. 2002;4:1967. doi: 10.1021/ol025986r. [DOI] [PubMed] [Google Scholar]
- 200.Kolb J, Beck B, Dömling A. Tetrahedron Lett. 2002;43:6897. doi: 10.1016/S0040-4039(02)01621-0. [DOI] [Google Scholar]
- 201.Cordero FM, Pisaneschi F, Salvati M, Paschetta V, Ollivier J, Salaun J, Brandi A. J Org Chem. 2003;68:3271. doi: 10.1021/jo034003g. [DOI] [PubMed] [Google Scholar]
- 202.Brandi A, Cicchi S, Cordero FM, Goti A. Chem Rev. 2003;103:1213. doi: 10.1021/cr010005u. [DOI] [PubMed] [Google Scholar]
- 203.Goti A, Cordero FM, Brandi A. Top Curr Chem. 1996;178:1. doi: 10.1007/3-540-60495-2_1. [DOI] [Google Scholar]
- 204.Tamura O, Okabe T, Yamaguchi T, Gotanda K, Noe K, Sakamoto M. Tetrahedron. 1995;51:107. doi: 10.1016/0040-4020(94)00874-T. [DOI] [Google Scholar]
- 205.Cicchi S, Corsi M, Goti A. J Org Chem. 1999;64:7243. doi: 10.1021/jo990417r. [DOI] [Google Scholar]
- 206.Tokuyama H, Kuboyama T, Amano A, Yamashita T, Fukuyama T (2000) Synthesis 1299
- 207.Shimizu T, Ishizaki M, Nitada N. Chem Pharm Bull. 2002;50:908. doi: 10.1248/cpb.50.908. [DOI] [PubMed] [Google Scholar]
- 208.Zanobini A, Gensini M, Magull J, Vidovic D, Kozhushkov SI, Brandi A, De Meijere A (2004) Eur J Org Chem 4158
- 209.Cordero FM, Salvati M, Pisaneschi F, Brandi A (2004) Eur J Org Chem 2205 [DOI] [PubMed]
- 210.Jakowiecki J, Loska R, Makosza M. J Org Chem. 2008;73:5436. doi: 10.1021/jo800721w. [DOI] [PubMed] [Google Scholar]
- 211.Alcaide B, Almendros P, Aragoncillo C. Tetrahedron Lett. 1999;40:7537. doi: 10.1016/S0040-4039(99)01527-0. [DOI] [Google Scholar]
- 212.Alcaide B, Almendros P, Aragoncillo C. Org Lett. 2000;2:1411. doi: 10.1021/ol005736f. [DOI] [PubMed] [Google Scholar]
- 213.Bandini E, Favi G, Martelli G, Panunzio M, Piersanti G. Org Lett. 2000;2:1077. doi: 10.1021/ol005633x. [DOI] [PubMed] [Google Scholar]
- 214.Panunzio M, Zarantonello P. Org Process Res Dev. 1998;2:49. doi: 10.1021/op970036k. [DOI] [Google Scholar]
- 215.Bennet DM, Okamoto I, Danheiser RL. Org Lett. 1999;1:641. doi: 10.1021/ol9907217. [DOI] [PubMed] [Google Scholar]
- 216.Chatgilialoglu C. Acc Chem Res. 1992;25:188. doi: 10.1021/ar00016a003. [DOI] [Google Scholar]
- 217.D’Annibale A, Nanni D, Trogolo C, Umani F. Org Lett. 2000;2:401. doi: 10.1021/ol991363a. [DOI] [PubMed] [Google Scholar]
- 218.Mauduit M, Kouklovsky C, Langlois Y, Riche C. Org Lett. 2000;2:1053. doi: 10.1021/ol005596+. [DOI] [PubMed] [Google Scholar]
- 219.Dalcanale E, Montanari F. J Org Chem. 1986;51:567. doi: 10.1021/jo00354a037. [DOI] [Google Scholar]
- 220.Simpkins NS, Cain CM, Cousins RPC, Coumbarides G. Tetrahedron. 1990;46:523. doi: 10.1016/S0040-4020(01)87882-0. [DOI] [Google Scholar]
- 221.Escalante J, González-Tototzin MA, Avina J, Munoz-Muniz O, Juaristi E. Tetrahedron. 2001;57:1883. doi: 10.1016/S0040-4020(00)01169-8. [DOI] [Google Scholar]
- 222.Veronese AC, Gandolfi V, Longato B, Corain B, Basato M. J Mol Catal. 1989;54:73. doi: 10.1016/0304-5102(89)80140-3. [DOI] [Google Scholar]
- 223.De Risi C, Pollini GP, Veronese AC, Bertolasi V. Tetrahedron. 2001;57:10155. doi: 10.1016/S0040-4020(01)01036-5. [DOI] [Google Scholar]
- 224.Basak A, Mandal S. Tetrahedron Lett. 2002;43:4241. doi: 10.1016/S0040-4039(02)00724-4. [DOI] [Google Scholar]
- 225.Ghosh S, Datta I. Synth Commun. 1991;21:191. doi: 10.1080/00397919108020811. [DOI] [Google Scholar]
- 226.Lysek R, Furman B, Cierpucha M, Grzeszczyk B, Matyjasek L, Chmielewski M (2002) Eur J Org Chem 2377
- 227.Kamimura A, Morita R, Matsuura K, Mitsudera H, Shirai M. Tetrahedron. 2003;59:9931. doi: 10.1016/j.tet.2003.10.035. [DOI] [Google Scholar]
- 228.Kamal A, Sattur PB. Heterocycles. 1987;26:1051. doi: 10.3987/R-1987-04-1051. [DOI] [Google Scholar]
- 229.Gyónfalvi S, Szakonyi Z, Fülöp F. Tetrahedron: Asymmetry. 2003;14:3965. doi: 10.1016/j.tetasy.2003.10.001. [DOI] [Google Scholar]
- 230.Avalos M, Babiano R, Cintas P, Clemente FR, Gordillo R, Jimenez JL, Palacios JC. J Org Chem. 2003;68:6338. doi: 10.1021/jo034188r. [DOI] [PubMed] [Google Scholar]
- 231.Miyata O, Namba M, Ueda M, Naito T. Org Biomol Chem. 2004;2:1274. doi: 10.1039/b403694h. [DOI] [PubMed] [Google Scholar]
- 232.Tsubata SK, Okinaga N. J Org Chem. 1984;49:1056. doi: 10.1021/jo00180a020. [DOI] [Google Scholar]
- 233.Breckpot R. Bull Soc Chim Belg. 1923;32:412. [Google Scholar]
- 234.Chowdari NS, Suri JT, Barbas CF., III Org Lett. 2004;6:2507. doi: 10.1021/ol049248+. [DOI] [PubMed] [Google Scholar]
- 235.Alcaide B, Almendros P, Aragoncillo C, Rodriguez-Acebes R. J Org Chem. 2001;66:5208. doi: 10.1021/jo015704l. [DOI] [PubMed] [Google Scholar]
- 236.Alcaide B, Almendros P. Org Prepr Proced Int. 2001;33:315. doi: 10.1080/00304940109356596. [DOI] [Google Scholar]
- 237.Alcaide B, Almendros P, Aragoncillo C, Rodriguez-Acebes R. J Org Chem. 2004;69:826. doi: 10.1021/jo035472l. [DOI] [PubMed] [Google Scholar]
- 238.Alcaide B, Almendros P, Martinez-del Campo T, Rodriguez-Acebes R. Tetrahedron Lett. 2004;45:6429. doi: 10.1016/j.tetlet.2004.06.130. [DOI] [Google Scholar]
- 239.Choi MK-W YuW-Y, Che C-M. Org Lett. 2005;7:1081. doi: 10.1021/ol050003m. [DOI] [PubMed] [Google Scholar]
- 240.Pérez-Faginas P, O’Reilly F, O’Byrne A, García-Aparicio C, Martín-Martínez M, Pérez de Vega MJ, García-López MT, González-Muňiz R. Org Lett. 2007;9:1593. doi: 10.1021/ol070533d. [DOI] [PubMed] [Google Scholar]
- 241.Zhao Q, Li C. Org Lett. 2008;10:4037. doi: 10.1021/ol801545a. [DOI] [PubMed] [Google Scholar]
- 242.Li G-Q, Li Y, Dai L-X, You S-L. Org Lett. 2007;9:3519. doi: 10.1021/ol0713537. [DOI] [PubMed] [Google Scholar]
- 243.Li G-Q, Li Y, Dai L-X, You S-L. Adv Synth Catal. 2008;350:1258. doi: 10.1002/adsc.200800071. [DOI] [Google Scholar]
- 244.Nakamura I, Araki T, Terada M. J Am Chem Soc. 2009;131:2804. doi: 10.1021/ja900133m. [DOI] [PubMed] [Google Scholar]
- 245.Madan S, Arora R, Venugopalan P, Bari SS. Tetrahedron Lett. 2000;41:5577. doi: 10.1016/S0040-4039(00)00865-0. [DOI] [Google Scholar]
- 246.Freihammer PM, Detty MR. J Org Chem. 2000;65:7203. doi: 10.1021/jo000273c. [DOI] [PubMed] [Google Scholar]
- 247.Lee E, Kim SK, Kim JY, Lim J. Tetrahedron Lett. 2000;41:5915. doi: 10.1016/S0040-4039(00)00970-9. [DOI] [Google Scholar]
- 248.Palomo C, Aizpurua JM, Galarza R, Benito A, Khamrai UK, Eikeseth U, Linden A. Tetrahedron. 2000;56:5563. doi: 10.1016/S0040-4020(00)00406-3. [DOI] [Google Scholar]
- 249.Penfold DJ, Pike K, Genge A, Anson M, Kitteringham J, Kilburn JD. Tetrahedron Lett. 2000;41:10347. doi: 10.1016/S0040-4039(00)01860-8. [DOI] [Google Scholar]
- 250.Barrett AGM, Ahmed M, Baker SP, Baugh SPD, Braddock DC, Procopiou PA, White JP, Williams DJ. J Org Chem. 2000;65:3716. doi: 10.1021/jo991932s. [DOI] [PubMed] [Google Scholar]
- 251.Wasserman HH, Xia M, Carr AJ, Han WT, Siegel MG. Tetrahedron. 2000;56:5621. doi: 10.1016/S0040-4020(00)00411-7. [DOI] [Google Scholar]
- 252.Joshi SN, Puranik VG, Deshmukh ARAS, Bhawal BM. Tetrahedron: Asymmetry. 2001;12:3073. doi: 10.1016/S0957-4166(01)00550-X. [DOI] [Google Scholar]
- 253.Kozawa Y, Mori M. Tetrahedron Lett. 2001;42:4869. doi: 10.1016/S0040-4039(01)00870-X. [DOI] [Google Scholar]
- 254.Kozawa Y, Mori M. Tetrahedron Lett. 2001;43:111. doi: 10.1016/S0040-4039(01)02091-3. [DOI] [Google Scholar]
- 255.Borsuk K, Suwińska K, Chmielewski M. Tetrahedron: Asymmetry. 2001;12:979. doi: 10.1016/S0957-4166(01)00167-7. [DOI] [Google Scholar]
- 256.Garbi A, Allain L, Chorki F, Ourévitch M, Crousse B, Bonnet-Delpon D, Nakai T, Bégué J-P. Org Lett. 2001;3:2529. doi: 10.1021/ol016198p. [DOI] [PubMed] [Google Scholar]
- 257.Alcaide B, Almendros P, Salgado NR, Martínez-Alcázar MP, Hernández-Cano F (2001) Eur J Org Chem 2001
- 258.Duboc R, Hénaut C, Savignac M, Genet J-P, Bhatnagar N. Tetrahedron Lett. 2001;42:2461. doi: 10.1016/S0040-4039(01)00177-0. [DOI] [Google Scholar]
- 259.Alcaide B, Almendros P, Aragoncillo C. J Org Chem. 2001;66:1612. doi: 10.1021/jo005715z. [DOI] [PubMed] [Google Scholar]
- 260.Bull SD, Davies SG, Kelly PM, Gianotti M, Smith AD (2001) J Chem Soc Perkin Trans 1 3106
- 261.Alcaide B, Almendros P, Salgado NR. Tetrahedron Lett. 2001;42:1503. doi: 10.1016/S0040-4039(00)02298-X. [DOI] [Google Scholar]
- 262.Brown GA, Anderson KM, Large JM, Planchenault D, Urban D, Hales NJ, Gallagher T (2001) J Chem Soc Perkin Trans 1 1897
- 263.Palomo C, Oiarbide M, Landa A, Esnal A, Linden A. J Org Chem. 2001;66:4180. doi: 10.1021/jo001786m. [DOI] [PubMed] [Google Scholar]
- 264.Alcaide B, Almendros P, Alonso JM, Aly MF, Pardo C, Sáez E, Torres MR. J Org Chem. 2002;67:7004. doi: 10.1021/jo025924e. [DOI] [PubMed] [Google Scholar]
- 265.Alcaide B, Almendros P, Aragoncillo C. Chem Eur J. 2002;8:1719. doi: 10.1002/1521-3765(20020402)8:7<1719::AID-CHEM1719>3.0.CO;2-U. [DOI] [PubMed] [Google Scholar]
- 266.Ruano G, Grande M, Anaya J. J Org Chem. 2002;67:8243. doi: 10.1021/jo026066p. [DOI] [PubMed] [Google Scholar]
- 267.Anaya J, Fernández-Mateos, Grande M, Martiánez J, Ruano G, Rubio-González MR. Tetrahedron. 2003;59:241. doi: 10.1016/S0040-4020(02)01459-X. [DOI] [Google Scholar]
- 268.Brown D, Brown GA, Andrews M, Large JM, Urban D, Butts CP, Hales NJ, Gallagher T (2002) J Chem Soc Perkin Trans 1 2014
- 269.Banfi L, Guanti G (2002) Eur J Org Chem 3745
- 270.Palomo C, Aizpurua JM, Benito A, Miranda JI, Fratila RM, Matute C, Domercq M, Gago F, Martin-Santamaria S, Linden A. J Am Chem Soc. 2003;125:16243. doi: 10.1021/ja038180a. [DOI] [PubMed] [Google Scholar]
- 271.Kozawa Y, Mori M. J Org Chem. 2003;68:3064. doi: 10.1021/jo020584i. [DOI] [PubMed] [Google Scholar]
- 272.Kozawa Y, Mori M. J Org Chem. 2003;68:8068. doi: 10.1021/jo030123c. [DOI] [PubMed] [Google Scholar]
- 273.Alcaide B, Almendros P, Aragoncillo C. Org Lett. 2003;5:3795. doi: 10.1021/ol034995c. [DOI] [PubMed] [Google Scholar]
- 274.Alcaide B, Almendros P, Alonso JM, Redondo MC. J Org Chem. 2003;68:1426. doi: 10.1021/jo026112l. [DOI] [PubMed] [Google Scholar]
- 275.Alcaide B, Almendros P, Alonso JM, Aly MF. Chem Eur J. 2003;9:3415. doi: 10.1002/chem.200304712. [DOI] [PubMed] [Google Scholar]
- 276.Alcaide B, Almendros P, Pardo C, Rodríguez-Ranera C, Rodríguez-Vicente A. J Org Chem. 2003;68:3106. doi: 10.1021/jo0340509. [DOI] [PubMed] [Google Scholar]
- 277.Cainelli G, Giacomini D, Galletti P, Quintavalla A (2003) Eur J Org Chem 1765
- 278.Cainelli G, Giacomini D, Gazzano M, Galletti P, Quintavalla A. Tetrahedron Lett. 2003;44:6269. doi: 10.1016/S0040-4039(03)01533-8. [DOI] [Google Scholar]
- 279.Lee Y-S, Choung W-K, Kim KH, Kang TW, Ha D-C. Tetrahedron. 2004;60:867. doi: 10.1016/j.tet.2003.11.048. [DOI] [Google Scholar]
- 280.Freitag D, Schwab P, Metz P. Tetrahedron Lett. 2004;45:3589. doi: 10.1016/j.tetlet.2004.03.055. [DOI] [Google Scholar]
- 281.Gerona-Navarro G, Pérez de Vega MJ, García-López MT, Andrei G, Snoeck R, Balzarini J, De Clercq E, González-Muňiz R. Bioorg Med Chem Lett. 2004;14:2253. doi: 10.1016/j.bmcl.2004.02.010. [DOI] [PubMed] [Google Scholar]
- 282.Desroy N, Robert-Peillard F, Toueg J, Duboc R, Hénaut C, Rager M-N, Savignac M, Genêt J-P (2004) Eur J Org Chem 4840
- 283.Carland MW, Schiesser CH. Molecules. 2004;9:466. doi: 10.3390/90600466. [DOI] [PMC free article] [PubMed] [Google Scholar]
- 284.Carland MW, Martin RL, Schiesser CH. Org Biomol Chem. 2004;2:2612. doi: 10.1039/b409242b. [DOI] [PubMed] [Google Scholar]
- 285.Cesarotti E, Rimoldi I. Tetrahedron: Asymmetry. 2004;15:3841. doi: 10.1016/j.tetasy.2004.10.021. [DOI] [Google Scholar]
- 286.Alcaide B, Almendros P, Pardo C, Rodríguez-Vicente A, Ruiz MP. Tetrahedron. 2005;61:7894. doi: 10.1016/j.tet.2005.06.019. [DOI] [Google Scholar]
- 287.Alcaide B, Almendros P, Rodríguez-Vicente A, Ruiz MP. Tetrahedron. 2005;61:2767. doi: 10.1016/j.tet.2005.01.082. [DOI] [Google Scholar]
- 288.Alcaide B, Almendros P, Redondo MC, Ruiz MP. J Org Chem. 2005;70:8890. doi: 10.1021/jo051402y. [DOI] [PubMed] [Google Scholar]
- 289.Alcaide B, Sáez E (2005) Eur J Org Chem 1680
- 290.Cainelli G, Galletti P, Garbisa S, Giacomini D, Sartor L, Quintavalla A. Bioorg Med Chem. 2005;13:6120. doi: 10.1016/j.bmc.2005.06.041. [DOI] [PubMed] [Google Scholar]
- 291.Cardillo G, Fabbroni S, Gentilucci L, Perciaccante R, Piccinelli F, Tolomelli A. Org Lett. 2005;7:533. doi: 10.1021/ol047815n. [DOI] [PubMed] [Google Scholar]
- 292.Csákÿ AG, Medel R, Murcia MC, Plumet J. Helv Chim Acta. 2005;88:1387. doi: 10.1002/hlca.200590111. [DOI] [Google Scholar]
- 293.Nivsarkar M, Kaushik MP. Catal Commun. 2005;6:367. doi: 10.1016/j.catcom.2005.02.012. [DOI] [Google Scholar]
- 294.Broccolo F, Cainelli G, Caltabiano G, Cocuzza CEA, Fortuna CG, Galletti P, Giacomini D, Musumarra G, Musumeci R, Quintavalla A. J Med Chem. 2006;49:2804. doi: 10.1021/jm0580510. [DOI] [PubMed] [Google Scholar]
- 295.Adinolfi M, Galletti P, Giacomini D, Iadonisi A, Quintavalla A, Ravida A (2006) Eur J Org Chem 69
- 296.Benfatti F, Cardillo G, Gentilucci L, Perciaccante R, Tolomelli A, Catapano A. J Org Chem. 2006;71:9229. doi: 10.1021/jo0615652. [DOI] [PubMed] [Google Scholar]
- 297.Bhalla A, Venugopalan P, Bari SS (2006) Eur J Org Chem 4943
- 298.Bhalla A, Rathee S, Madan S, Venugopalan P, Bari SS. Tetrahedron Lett. 2006;47:5255. doi: 10.1016/j.tetlet.2006.05.160. [DOI] [Google Scholar]
- 299.Alcaide B, Almendros P, Aragoncillo C, Redondo MC, Torres MR. Chem Eur J. 2006;12:1539. doi: 10.1002/chem.200500807. [DOI] [PubMed] [Google Scholar]
- 300.Cainelli G, Galletti P, Giacomini D, Licciulli S, Quintavalla A (2007) Eur J Org Chem 2526
- 301.Monléon LM, Grande M, Anaya J. Tetrahedron. 2007;63:3017. doi: 10.1016/j.tet.2007.01.049. [DOI] [Google Scholar]
- 302.Alcaide B, Almendros P, Aragoncillo C, Redondo MC. J Org Chem. 2007;72:1604. doi: 10.1021/jo061828s. [DOI] [PubMed] [Google Scholar]
- 303.Benfatti F, Cardillo G, Gentilucci L, Tolomelli A (2007) Eur J Org Chem 3199
- 304.Graf R, Lohaus G, Borner K, Schmidt E, Bestian H. Angew Chem Int Ed. 1962;1:482. [Google Scholar]
- 305.Lee M-R, Stahl SS, Gellman SH. Org Lett. 2008;10:5317. doi: 10.1021/ol802274x. [DOI] [PubMed] [Google Scholar]
- 306.Bhargava G, Anand A, Mahajan MP, Saito T, Sakai K, Medhi C. Tetrahedron. 2008;64:6801. doi: 10.1016/j.tet.2008.04.087. [DOI] [Google Scholar]
- 307.Alcaide B, Almendros P, Carrascosa R, Rodriguez-Acebes R. Eur J Org Chem. 2008;9:1575. doi: 10.1002/ejoc.200701083. [DOI] [Google Scholar]
- 308.Liang Y, Raju R, Le T, Taylor CD, Howell AR. Tetrahedron Lett. 2009;50:1020. doi: 10.1016/j.tetlet.2008.12.060. [DOI] [Google Scholar]
- 309.Naas T, Nordmann P. Curr Pharm Des. 1999;5:865. [PubMed] [Google Scholar]
- 310.Bulychev A, O’Brien ME, Massova I, Teng M, Gibson TA, Miller MJ, Mobashery S. J Am Chem Soc. 1995;117:5938. doi: 10.1021/ja00127a005. [DOI] [Google Scholar]
- 311.Swarén P, Massova I, Bellettini JR, Bulychev A, Maveyraud L, Kotra LP, Miller MJ, Mobashery S, Samama J-P. J Am Chem Soc. 1999;121:5353. doi: 10.1021/ja990400q. [DOI] [Google Scholar]
- 312.Mourey L, Kotra LP, Bellettini J, Bulychev A, O’Brien ME, Miller MJ, Mobashery S, Samama J-P. J Biol Chem. 1999;274:25260. doi: 10.1074/jbc.274.36.25260. [DOI] [PubMed] [Google Scholar]
- 313.Teng M, Nicas TL, Grissom-Arnold J, Cooper RDG, Miller M. J Bioorg Med Chem. 1993;1:151. doi: 10.1016/S0968-0896(00)82113-6. [DOI] [PubMed] [Google Scholar]
- 314.Bulychev A, Bellettini JR, O’Brien ME, Samama CP, J-P MMJ, Mobashery S. Tetrahedron. 2000;56:5719. doi: 10.1016/S0040-4020(00)00427-0. [DOI] [Google Scholar]
- 315.Matagne A, Lamotte-Brasseur J, Dive G, Knox JR, Frere JM. Biochem J. 1993;293:607. doi: 10.1042/bj2930607. [DOI] [PMC free article] [PubMed] [Google Scholar]
- 316.Maveyraud L, Mourey L, Kotra LP, Pedelacq J, Guillet V, Mobashery S, Samama J. J Am Chem Soc. 1998;120:9748. doi: 10.1021/ja9818001. [DOI] [Google Scholar]
- 317.Beadle BM, Shoichet BK. Antimicrob Agents Chemother. 2002;46:3978. doi: 10.1128/AAC.46.12.3978-3980.2002. [DOI] [PMC free article] [PubMed] [Google Scholar]
- 318.Buynak JD, Ghadachanda VR, Vogeti L, Zhang H, Chen K. J Org Chem. 2005;70:4510. doi: 10.1021/jo050004s. [DOI] [PubMed] [Google Scholar]
- 319.Ruddle CC, Smyth TP (2004) Chem Commun 2332 [DOI] [PubMed]
- 320.Ruddle CC, Smyth TP. Org Biomol Chem. 2007;5:160. doi: 10.1039/b614758e. [DOI] [PubMed] [Google Scholar]
- 321.Saudagar PS, Survase SA, Singhal RS. Biotechnol Adv. 2008;26:335. doi: 10.1016/j.biotechadv.2008.03.002. [DOI] [PubMed] [Google Scholar]
- 322.Baldwin CM, Lyseng-Williamson KA, Keam SJ. Drugs. 2008;68:803. doi: 10.2165/00003495-200868060-00006. [DOI] [PubMed] [Google Scholar]
- 323.Hultgren SJ, Abraham S, Caparon M, Falk P, St. Geme JW, III, Normark S. Cell. 1993;73:887. doi: 10.1016/0092-8674(93)90269-V. [DOI] [PubMed] [Google Scholar]
- 324.Flemmer Karlsson K, Walse B, Drakenberg T, Roy S, Bergquist K-E, Pinkner JS, Hultgren SJ, Kihlberg J. Bioorg Med Chem. 1998;6:2085. doi: 10.1016/S0968-0896(98)00162-X. [DOI] [PubMed] [Google Scholar]
- 325.Kuehn MJ, Ogg DJ, Kihlberg J, Slonim LN, Flemmer K, Bergfors T, Hultgren SJ. Science. 1993;262:1234. doi: 10.1126/science.7901913. [DOI] [PubMed] [Google Scholar]
- 326.Soto GE, Dodson KW, Ogg D, Liu C, Heuser J, Knight S, Kihlberg J, Jones CH, Hultgren SJ. EMBO J. 1998;17:6155. doi: 10.1093/emboj/17.21.6155. [DOI] [PMC free article] [PubMed] [Google Scholar]
- 327.Turos E, Konaklieva MI, Ren RXF, Shi H, Gonzalez J, Dickey S, Lim D. Tetrahedron. 2000;56:5571. doi: 10.1016/S0040-4020(00)00407-5. [DOI] [Google Scholar]
- 328.Turos E, Long TE, Heldreth A, Leslie JM, Reddy GSK, Wang Y, Coates C, Konaklieva M, Dickey S, Lim D, Alonso E, Gonzalez J. Bioorg Med Chem Lett. 2006;16:2084. doi: 10.1016/j.bmcl.2006.01.070. [DOI] [PubMed] [Google Scholar]
- 329.Di Matthew JL, Stanley SR (1976) In: Saunders WB Co (eds) Lynch’s Medical Laboratory Technology. p 742
- 330.Revell KD, Heldreth B, Long TE, Jang S, Turos E. Bioorg Med Chem. 2007;15:2453. doi: 10.1016/j.bmc.2006.12.027. [DOI] [PMC free article] [PubMed] [Google Scholar]
- 331.O’Driscoll M, Greenhalgh K, Young A, Turos E, Dickey S, Lim D. Bioorg Med Chem. 2008;16:7832. doi: 10.1016/j.bmc.2008.06.035. [DOI] [PMC free article] [PubMed] [Google Scholar]
- 332.Kamel MM, Naser ME. Die Pharmazie. 1979;34:440. [Google Scholar]
- 333.Finegold SM, Martin WJ (1982) In: Louis S Diagnostic microbiology, 6th ed. London, p 450
- 334.Behra-Miellet J, Darchy A, Gressier B, Dine T, Luyckx M, Brunet C, Dubreuil L. Pathol Biol. 2007;55:390. doi: 10.1016/j.patbio.2007.06.009. [DOI] [PubMed] [Google Scholar]
- 335.Mikolasch A, Wurster M, Lalk M, Witt S, Seefeldt S, Hammer E, Schauer F, Juelich W-D, Lindequist U. Chem Pharm Bull. 2008;56:902. doi: 10.1248/cpb.56.902. [DOI] [PubMed] [Google Scholar]
- 336.Vatmurge N, Hazra B, Pore V, Shirazi F, Deshpande MV, Kadreppa S, Chattopadhyay S, Gonnade RG. Org Biomol Chem. 2008;6:3823. doi: 10.1039/b809221d. [DOI] [PubMed] [Google Scholar]
- 337.Long DD, Aggen JB, Chinn J, Choi S-K, Christensen BG, Fatheree PR, Green D, Hegde SS, Judice JK, Kaniga K, Krause KM, Leadbetter M, Linsell MS, Marquess DG, Moran EJ, Nodwell MB, Pace JL, Trapp SG, Turner SD. J Antibiot. 2008;61:603. doi: 10.1038/ja.2008.80. [DOI] [PubMed] [Google Scholar]
- 338.Knight WB, Maycock AL, Green BG, Ashe BM, Gale P, Weston H, Finke PE, Hagmann WK, Shah SK, Doherty JB. Biochemistry. 1992;31:4980. doi: 10.1021/bi00136a010. [DOI] [PubMed] [Google Scholar]
- 339.Doherty JB, Ashe BM, Barker PL, Blacklock TJ, Butcher JW, Chandler GO, Dahlgren ME, Davies P, Dorn CP, Finke PE, Firestone RA, Hagmann WK, Halgren T, Knight WB, Maycock AL, Navia MA, O’Grady L, Pisano JM, Shah SK, Thompson KR, Weston H, Zimmerman M. J Med Chem. 1990;33:2513. doi: 10.1021/jm00171a028. [DOI] [PubMed] [Google Scholar]
- 340.Cainelli G, Galletti P, Garbisa S, Giacobini D, Sartor L, Quintavalla A. Bioorg Med Chem. 2003;11:5391. doi: 10.1016/j.bmc.2003.09.035. [DOI] [PubMed] [Google Scholar]
- 341.Garbisa S, Sartor L, Biggin S, Salvato B, Benelli R, Albini A. Cancer. 2000;91:822. doi: 10.1002/1097-0142(20010215)91:4<822::AID-CNCR1070>3.0.CO;2-G. [DOI] [PubMed] [Google Scholar]
- 342.Sartor L, Pezzato E, Dell’Aica I, Caniato R, Biggin S, Garbisa S. Biochem Pharmacol. 2002;64:229. doi: 10.1016/S0006-2952(02)01069-9. [DOI] [PubMed] [Google Scholar]
- 343.Sartor L, Pezzato E, Garbisa S. J Leukoc Biol. 2002;71:73. [PubMed] [Google Scholar]
- 344.Gérard S, Nollet G, Vande Put J, Marchand-Brynaert J Bioorg Med Chem. 2002;10:3955. doi: 10.1016/S0968-0896(02)00304-8. [DOI] [PubMed] [Google Scholar]
- 345.Beauve C, Tjoens G, Touillaux R, Lamotte-Brasseur J, Marchand-Brynaert J, Fastrez J (1999) Eur J Org Chem 1441
- 346.Gérard S, Dive G, Clamot B, Touillaux R, Marchand-Brynaert J. Tetrahedron. 2002;58:2423. doi: 10.1016/S0040-4020(02)00112-6. [DOI] [Google Scholar]
- 347.Radhakrishnan R, Presta LG, EFJr M, Wildonger R. J Mol Biol. 1987;198:417. doi: 10.1016/0022-2836(87)90291-9. [DOI] [PubMed] [Google Scholar]
- 348.EFJr M, Cole G, Radhakrishnan R, Epp O. Acta Crystallogr. 1988;B44:26. doi: 10.1107/s0108768187007559. [DOI] [PubMed] [Google Scholar]
- 349.Bode W, EFJr M, Powers JC. Biochemistry. 1989;28:1951. doi: 10.1021/bi00431a001. [DOI] [PubMed] [Google Scholar]
- 350.Wurtele M, Hahn M, Hilpert K, Hohne W. Acta Crystallogr. 2000;D56:520. doi: 10.1107/s0907444900000299. [DOI] [PubMed] [Google Scholar]
- 351.Gérard S, Galleni M, Dive G, Marchand-Brynaert J. Bioorg Med Chem. 2004;12:129. doi: 10.1016/j.bmc.2003.10.009. [DOI] [PubMed] [Google Scholar]
- 352.Delaisse JM, Ledent P, Vales G. Biochem J. 1991;279:167. doi: 10.1042/bj2790167. [DOI] [PMC free article] [PubMed] [Google Scholar]
- 353.Maciewicz RA, Van der Stapper JWJ, Paraskewa C, Williams AC, Hague A. Biochem Soc Trans. 1991;19:362. doi: 10.1042/bst019362s. [DOI] [PubMed] [Google Scholar]
- 354.Esser RE, Angelo RA, Murphey MB, Watts LM, Thornburg LP, Palmer JT, Talhouk JW, Smith RE. Arthritis Rheum. 1994;37:236. doi: 10.1002/art.1780370213. [DOI] [PubMed] [Google Scholar]
- 355.Thomson SK, Halbert SM, Bossard MJ. Proc Natl Acad Sci USA. 1997;94:14249. doi: 10.1073/pnas.94.26.14249. [DOI] [PMC free article] [PubMed] [Google Scholar]
- 356.Semenov A, Olson JE, Rosental PJ. Antimicrobiol Agents Chemother. 1998;42:2254. doi: 10.1128/aac.42.9.2254. [DOI] [PMC free article] [PubMed] [Google Scholar]
- 357.Engel C, Doyle P, Hsieh I, McKerrow JH. J Exp Med. 1998;188:725. doi: 10.1084/jem.188.4.725. [DOI] [PMC free article] [PubMed] [Google Scholar]
- 358.Chapman HA, Riese RJ, Shi GP. Annu Rev Physiol. 1997;59:63. doi: 10.1146/annurev.physiol.59.1.63. [DOI] [PubMed] [Google Scholar]
- 359.Smith WW, Abdel-Meguid SS. Exp Opin Ther Pat. 1999;9:683. doi: 10.1517/13543776.9.6.683. [DOI] [Google Scholar]
- 360.Henkin J. Annu Rep Med Chem. 1993;28:151. doi: 10.1016/S0065-7743(08)60886-6. [DOI] [Google Scholar]
- 361.Michaud S, Gour BJ. Exp Opin Ther Pat. 1998;8:645. doi: 10.1517/13543776.8.6.645. [DOI] [Google Scholar]
- 362.Elliott E, Sloane BF. Exp Opin Ther Pat. 1996;6:12. [Google Scholar]
- 363.Veber DF, Thomson SK. Curr Opin Drug Disc Dev. 2000;3:362. [PubMed] [Google Scholar]
- 364.Zhou NE, Guo D, Thomas G, Reddy AVN, Kaleta J, Purisima E, Menard R, Micetich RG, Sing R. Bioorg Med Chem Lett. 2003;13:139. doi: 10.1016/S0960-894X(02)00831-4. [DOI] [PubMed] [Google Scholar]
- 365.Setti E, Davis D, Janc JW, Jeffery DA, Cheung H, Yu W. Bioorg Med Chem Lett. 2005;15:1529. doi: 10.1016/j.bmcl.2004.12.088. [DOI] [PubMed] [Google Scholar]
- 366.Wilmouth RC, Kassamally S, Westwood NJ, Sheppard RJ, Claridge TDW, Aplin RT, Wright PA, Pritchard GJ, Schofield CJ. Biochemistry. 1999;38:7989. doi: 10.1021/bi990098y. [DOI] [PubMed] [Google Scholar]
- 367.Yoakim C, Ogilvie WW, Cameron DR, Chabot C, Guse I, Haché B, Naud J, O’Meara JA, Plante R, Déziel R. J Med Chem. 1998;41:2882. doi: 10.1021/jm980131z. [DOI] [PubMed] [Google Scholar]
- 368.Han WT, Trehan AK, Wright JJK, Federici ME, Seiler SM, Meanwell NA. Bioorg Med Chem. 1995;3:1123. doi: 10.1016/0968-0896(95)00101-L. [DOI] [PubMed] [Google Scholar]
- 369.Talbot MD, Butler KD. Drug News Perspect. 1992;3:357. [Google Scholar]
- 370.Qian X, Zheng B, Burke B, Saindane MT, Kronental DR. J Org Chem. 2002;67:3595. doi: 10.1021/jo010757o. [DOI] [PubMed] [Google Scholar]
- 371.Bisacchi GS, Sutton JC, Slusarchyk WA, Treuner U, Zhao G (2004) US Pat Appl Publ 109
- 372.Bannister T, Celatka C, Chandrakumar NS, Deng H, Guo Z, Jin L, Lazarova T, Lin J, Moe ST, Nagafuji P, Navia M, Ripka A, Rynkiewicz MJ, Spear KL, Strickler JE, Xie R (2006) PCT Int Appl 348
- 373.Tahara A, Tsukada J, Tomura Y, Kusayama T, Wada K, Ishii N, Taniguchi N, Suzuki T, Yatsu T, Uchida W, Shibasaki M. Pharmacol Res. 2005;51:275. doi: 10.1016/j.phrs.2004.09.006. [DOI] [PubMed] [Google Scholar]
- 374.Xiang MA, Chen RH, Demarest KT, Gunnet J, Look R, Hageman W, Murray WV, Combs DW, Patel M. Bioorg Med Chem Lett. 2004;14:2987. doi: 10.1016/j.bmcl.2004.02.103. [DOI] [PubMed] [Google Scholar]
- 375.Derdowska I, Prahl A, Kowalczyk W, Janecki M, Melhem S, Trzeciak HI, Lammek B. Eur J Med Chem. 2005;40:63. doi: 10.1016/j.ejmech.2004.09.011. [DOI] [PubMed] [Google Scholar]
- 376.Serradeil-Le Gal C, Derick S, Brossard G, Manning M, Simiand J, Gaillard R, Griebel R, Guillon G. Stress. 2003;6:199. doi: 10.1080/1025389032000114524. [DOI] [PubMed] [Google Scholar]
- 377.Shimada Y, Taniguchi N, Matsuhisa A, Akane H, Kawano N, Suzuki T, Tobe T, Kakefuda A, Yatsu T, Tahara A, Tomura Y, Kusayama T, Wada K, Tsukada J, Orita M, Tsunoda T, Tanaka A. Bioorg Med Chem Lett. 2006;14:1827. doi: 10.1016/j.bmc.2005.10.035. [DOI] [PubMed] [Google Scholar]
- 378.Galanski ME, Erker T, Studenik CR, Kamyar M, Rawnduzi P, Pabstova M, Lemmens-Gruber R. Eur J Pharm Sci. 2005;24:421. doi: 10.1016/j.ejps.2004.12.008. [DOI] [PubMed] [Google Scholar]
- 379.Ferris CF, Lu S-F, Messenger T, Guillon CD, Heindel N, Miller M, Koppel G, Bruns FR, Simon NG. Pharmacology. Biochem Behav. 2006;83:169. doi: 10.1016/j.pbb.2006.01.001. [DOI] [PubMed] [Google Scholar]
- 380.De B, Plattner JJ, Bush EN, Jae HS, Diaz G, Johnson ES, Perun TJ. J Med Chem. 1989;32:2036. doi: 10.1021/jm00129a003. [DOI] [PubMed] [Google Scholar]
- 381.Guillon CD, Koppel GA, Brownstein MJ, Chaney MO, Ferris CF, Lu S, Fabio KM, Miller MJ, Heindel ND, Hunden DC, Cooper RDG, Kaldor SW, Skelton JJ, Dressman BA, Clay MP, Steinberg MI, Bruns RF, Simon NG. Bioorg Med Chem. 2007;15:2054. doi: 10.1016/j.bmc.2006.12.031. [DOI] [PMC free article] [PubMed] [Google Scholar]
- 382.Bergam M, Morales H, Mellars L, Kosoglou T, Burrier R, Davis HR, Sybertz EJ, Pollare T, (1995) 12th International Symposium on Drugs Affecting Metabolism, Houston TX, Nov 7–10
- 383.Salisbury B, Davis HR, Burrier RE, Burnett DA, Boykow G, Caplen MA, Clemmons AL, Compton DS, Hoos LM, McGregor DG, Schnitzer-Polokoff R, Smith AA, Weig BC, Zilli DL, Clader JW, Sybertz EJ. Atherosclerosis. 1995;115:45. doi: 10.1016/0021-9150(94)05499-9. [DOI] [PubMed] [Google Scholar]
- 384.Dugar S, Kirkup MP, Clader JW, Lin SI, Rizvi R, Snow ME, Davis HR, McColombie SW. Bioorg Med Chem Lett. 1995;5:2947. doi: 10.1016/0960-894X(95)00516-6. [DOI] [Google Scholar]
- 385.McKittrick BA, Ma K, Huie K, Yumibe N, HRJr D, Clader JW, Czarniecki M, McPhail AT. J Med Chem. 1998;41:752. doi: 10.1021/jm970676d. [DOI] [PubMed] [Google Scholar]
- 386.Altmann SW, Davis HR, Jr, Zhu L, Yao X, Hoos LM, Tetzloff G, Iyer SPN, Maguire M, Golovko A, Zeng M, Wang L, Murgolo N, Graziano MP. Science. 2004;303/5661:1201. doi: 10.1126/science.1093131. [DOI] [PubMed] [Google Scholar]
- 387.Rosenblum SR, Huynh T, Afonso A, HRJr D, Yumibe N, Clader JW, Burnett DA. J Med Chem. 1998;41:973. doi: 10.1021/jm970701f. [DOI] [PubMed] [Google Scholar]
- 388.Van Heek M, France CF, Compton DS, McLeod RL, Yumibe N, Alton KB, Sybertz EJ, HRJr D. J Pharmacol Ext Ther. 1997;283:157. [PubMed] [Google Scholar]
- 389.Van Heek M, Farley C, Compton DS, Hoos L, Alton KB, Sybertz EJ, HRJr D. J Pharmacol. 2000;129:1748. doi: 10.1038/sj.bjp.0703235. [DOI] [PMC free article] [PubMed] [Google Scholar]
- 390.Goel RK, Mahajan MP, Kulkarn SK. J Pharm Sci. 2004;7:80. [PubMed] [Google Scholar]
- 391.Goldstein S, Simpson A, Saenger P. Acta Endocrinologica. 1990;12:3550. doi: 10.1530/acta.0.1230550. [DOI] [PubMed] [Google Scholar]
- 392.Mathieu B, Willey S. Biochem J. 1984;21:7427. [Google Scholar]
- 393.Frezza M, Garay J, Chen D, Cui C, Turos E, Dou QP. Int J Mol Med. 2008;21:689. [PMC free article] [PubMed] [Google Scholar]
- 394.Chen D, Falsetti SC, Frezza M, Milacic V, Kazi A, Cui QC, Long TE, Turos E, Dou QP. Cancer Lett. 2008;268:63. doi: 10.1016/j.canlet.2008.03.047. [DOI] [PMC free article] [PubMed] [Google Scholar]
- 395.Veinberg G, Shestakova I, Vorona M, Kanepe I, Lukevics E. Bioorg Med Chem Lett. 2004;14:147. doi: 10.1016/j.bmcl.2003.09.078. [DOI] [PubMed] [Google Scholar]
- 396.Feling RH, Buchanan GO, Mincer TJ, Kauffman CA, Jensen PR, Fenical W. Angew Chem Int Ed. 2003;42:355. doi: 10.1002/anie.200390115. [DOI] [PubMed] [Google Scholar]
- 397.Corey EJ, Li W-DZ. Chem Pharm Bull. 1999;47:1. doi: 10.1248/cpb.47.1. [DOI] [PubMed] [Google Scholar]
- 398.Corey EJ, Reichard GA, Kania R. Tetrahedron Lett. 1993;34:6977. doi: 10.1016/S0040-4039(00)61575-7. [DOI] [Google Scholar]
- 399.Corey EJ, Reichard GA. J Am Chem Soc. 1992;114:10677. doi: 10.1021/ja00052a096. [DOI] [Google Scholar]
- 400.Fenteany G, Standaert RF, Reichard GA, Corey EJ, Schreiber SL. Proc Natl Acad Sci USA. 1994;91:3358. doi: 10.1073/pnas.91.8.3358. [DOI] [PMC free article] [PubMed] [Google Scholar]
- 401.Omura S, Fujimoto T, Otoguro K, Matsuzaki K, Moriguchi R, Tanaka H, Sasaki Y. J Antibiot. 1991;44:113. doi: 10.7164/antibiotics.44.113. [DOI] [PubMed] [Google Scholar]
- 402.Omura S, Matsuzaki K, Fujimoto T, Kosuge K, Furuya T, Fujita S, Nakagawa A. J Antibiot. 1991;44:117. doi: 10.7164/antibiotics.44.117. [DOI] [PubMed] [Google Scholar]
- 403.Richardson PG, Hideshima T, Anderson KC (2003) Bortezomib (Velcade), a peptidyl boronic acid which is a reversible (0.6 nM Ki) proteasome inhibitor is currently in use and approved for the treatment of multiple myeloma. In addition, there are numerous ongoing clinical trials on the use of this agent for treatment of other malignant diseases Cancer Control 10:361 [DOI] [PubMed]
- 404.Steinberg D. The Scientist. 2003;17:S18. [Google Scholar]
- 405.Adams J. Proteasome inhibitors in cancer therapy. New York: Human Press; 2004. [Google Scholar]
- 406.Hogan PC, Corey EJ. J Am Chem Soc. 2005;127:15386. doi: 10.1021/ja056284a. [DOI] [PubMed] [Google Scholar]
- 407.Reddy LR, Fournier J-F, Reddy BVS, Corey EJ. J Am Chem Soc. 2005;127:8974. doi: 10.1021/ja052376o. [DOI] [PubMed] [Google Scholar]
- 408.Banfi L, Basso A, Guanti G, Riva R. ARKIVOC. 2006;7:261. [Google Scholar]
- 409.Imbach P, Lang M, Garcia-Echeverria C, Guagnano V, Noorani M, Roesel J, Bitsch F, Rihs G, Furet P. Bioorg Med Chem Lett. 2007;17:358. doi: 10.1016/j.bmcl.2006.10.047. [DOI] [PubMed] [Google Scholar]
- 410.Meegan MJ, Carr M, Knox AJS, Zisterer DM, Lloyd DG. J Enzyme Inhib Med Chem. 2008;23:668. doi: 10.1080/14756360802469127. [DOI] [PubMed] [Google Scholar]
- 411.Alford CA, Britt WJ. In: The human herpesviruses. Roizman B, Whitley RJ, Lopez C, editors. New York: Raven Press; 1993. p. 227. [Google Scholar]
- 412.Welch AR, McNally LM, Gibson W. J Virol. 1991;6:4091. doi: 10.1128/jvi.65.8.4091-4100.1991. [DOI] [PMC free article] [PubMed] [Google Scholar]
- 413.Welch AR, Woods AS, McNally LM, Cotter RJ, Gibson W. Proc Natl Acad Sci USA. 1991;88:10792. doi: 10.1073/pnas.88.23.10792. [DOI] [PMC free article] [PubMed] [Google Scholar]
- 414.Yoakim C, Ogilvie WW, Cameron DR, Chabot C, Grand-Maitre C, Guse I, Haché B, Kawai S, Naud J, O’Meara JA, Plante R, Déziel R. Antiviral Chem Chemother. 1998;9:379. doi: 10.1177/095632029800900502. [DOI] [PubMed] [Google Scholar]
- 415.Ogilvie W, Yoakim C, Do F, Haché B, Lagacé L, Naud J, O’Meara JA, Déziel R. Bioorg Med Chem Lett. 1999;7:1521. doi: 10.1016/s0968-0896(99)00094-2. [DOI] [PubMed] [Google Scholar]
- 416.Bonneau P, Hasani F, Plouffe C, Malenfant E, Laplante SR, Guse I, Ogilvie WW, Plante R, Davidson WC, Hopkins JL, Morelock MM, Cordingley MG, Déziel R. J Am Chem Soc. 1999;121:2965. doi: 10.1021/ja983905+. [DOI] [Google Scholar]
- 417.Shieh H-S, Kurumbail RG, Stevens AM, Stegeman RA, Sturman EJ, Pak JY, Wittwer AJ, Palmier MO, Wiegand RC, Holwerda BC, Stallings WC. Nature. 1996;383:279. doi: 10.1038/383279a0. [DOI] [PubMed] [Google Scholar]
- 418.Snoeck R, Andrei G, Bodaghi B, Lagneaux L, Daelemans D, De Clercq E, Neyts J, Schols D, Naesens L, Michelson S, Bron D, Otto MJ, Bousseau A, Nemecek C, Roy C. Antiviral Res. 2002;55:413. doi: 10.1016/S0166-3542(02)00074-8. [DOI] [PubMed] [Google Scholar]
- 419.Gerona-Navarro G, Perez de Vega MJ, Garcia-Lopez MT, Andrei G, Snoeck R, De Clercq E, Balzarini J, Gonzalez-Muniz R. J Med Chem. 2005;48:2612. doi: 10.1021/jm0492812. [DOI] [PubMed] [Google Scholar]
