Abstract
The climate characteristics of the islands in the Nansha Islands of China are a typical marine climate including high temperature, high relative humidity, high salt content, strong solar radiation, and long sunshine. These can provide suitable conditions for mold reproduction on the surface of the wall in a building. Therefore, mildew pollution on the wall for a long time can easily damage the building’s structure. It does not only directly affect the appearance of the building, but also indirectly affects the indoor environment and human health. In this paper, dominant fungi in the residential buildings on thee Nansha Islands of China are Aspergillus, Penicillium, and Cladosporium. Critical lines of temperature and relative humidity for mould growth on the interior surfaces of island residential building envelopes have been given and discussed. The results show that the risk of mould growth on the wall with different materials, from low to high, is reinforced concrete, aerated concrete block, coral aggregate, brick, and wood. Furthermore, in order to prevent the room regulated by air conditioner from being contaminated by mould, indoor air temperature should be set variable and controlled between 26 °C and 28 °C, the relative humidity should be changed between 50% and 80%.
Keywords: island residential buildings, dominant fungi, design parameters of air conditioner, mold-prevention and antibacterial
1. Introduction
Several hundred species of fungal and bacterial can usually be found in indoor environments [1,2]. Moisture accumulation can lead to mold growth on the surface of building envelopes. Mold spores are generated inside a room and on the surface of the walls of different building materials, and can be transferred by the flowing air and the activities of personnel. However, spores can germinate and produce mycelium in a dormant state, and then reproduce under appropriate conditions. On one hand, the structure of building envelopes can be damaged by mold growth, which could cause a dark color or obvious color change on the surface of the wall. However, there is no obvious pigmentation when effective mold grows and it is not easily found, even if the number of molds is very rich. On the other hand, existing studies have shown that respiratory tract infections, asthma, dermatitis and other allergies, and even infectious diseases can be caused by exposure to or the inhalation of mold and its metabolites for a long time, as confirmed by the Institute of Medicine (IOM) and the World Health Organization (WHO) [3,4,5]. In Northern Europe and North America, according to the estimation, 20% to 40% of buildings are contaminated by indoor mold [6], which has a significant impact socially and economically [7,8]. For example, costs related to indoor mold pollution have been estimated by the United States and Scandinavia, where the results show that annual social and economic costs caused by high humidity and mold growth are 2.3–4.7 billion US dollars for allergic rhinitis and 1.1–2.3 billion US dollars for acute rhinitis [5]. Furthermore, the municipal annual costs for repairing public property damaged by high humidity and mold growth reached 5 billion euro, accounting for 1.9% of Finland’s GDP in 2012, and the annual cost of health problems caused by severe dampness and mold damage reached 450 million euro [9]. When mold grows on the wall, it is almost impossible to eradicate [10] as mold spores always exist in the air, whose content is directly related to the seasonal changes and specific conditions of outdoor climate [11]. The reproduction ability of mold spores is extremely strong, which can germinate and produce hyphae under a suitable condition. Therefore, the environmental parameters should be controlled before mold can germinate [12]. The affecting environmental parameters include temperature [13], relative humidity [14,15,16], nutrients [17], pH value [18], surface roughness, etc. [19]. Among them, temperature and relative humidity are the main factors impact on mold growth [20,21,22]. Therefore, indoor air temperature and relative humidity should be controlled before spores are germinated.
The Nansha Islands are located in the south of China, and the geographical location is shown in Figure 1. Due to the typical Tropical Ocean monsoon climate and significant meteorological characteristics of high temperature and relative humidity, mold can grow on the surface of the wall effectively. In this paper, the dominant species of indoor mold in island residential buildings was determined by literature searches. The critical temperature and humidity for mold growth on the surface were found for when different materials were utilized on the building envelopes of residential buildings on Nansha Island. Finally, the indoor air design parameters and selection criteria of air conditioner for residential buildings on the Nansha Islands, China are proposed to prevent mold and bacteria. These results can be proposed and fill in the gaps in the design code for the heating, ventilation, and air conditioning of civil buildings.
Figure 1.
Countries and regions near the Nansha Islands, China.
2. Materials and Methods
2.1. Investigations and Measurements
Mold growth is affected by many factors such as air temperature, relative humidity, pH value, and operation of the air conditioner. Furthermore, other important factors in indoor mold contamination include geographical location, meteorological conditions, the materials and structures of the building envelopes, the phenomenon of moisture, personnel activities on the utilization of air conditioners, etc. The above factors were included in a questionnaire (shown in Appendix A) for investigation. A total of 224 questionnaires were effective in the Nansha Islands, China. A total of 138 out of 224 were in multi-story residential buildings and 106 out of 224 were in single family dwellings in some villages.
Measurements of indoor air environment parameters included temperature, relative humidity, air velocity, and CO2 concentration. Indoor air testing parameters were monitored at the breathing zone height (1.1 m above the floor) according to the National Indoor Air Quality Standard (GB/T 18883-2002) [23]. Characteristics of the above instruments are shown in Table 1. These measured data were recorded every five minutes.
Table 1.
Characteristics of instruments for measuring indoor environmental parameters.
| Indicator | Instrument | Rang | Accuracy |
|---|---|---|---|
| Temperature | WSZY-2 Recorder | −40~100 °C | ±0.5 °C |
| Relative humidity | WSZY-2 Recorder | 0~100% RH | ±3% |
| Air velocity | WFWZY-1 Recorder | 0.05~30 m/s | ±0.05 m/s |
| CO2 concentration | WEZY-1S | 0~5000 ppm | ±50 ppm |
The characteristics of the outdoor environmental parameters in the Nansha Islands of China are shown in Figure 2. It can be seen that the daily average temperature exceeds 26 °C on 276 days, which accounts for 75.6% in a year. The lowest monthly average temperature is 22 °C in January, and the highest temperature is 29.6 °C in June. The annual temperature difference is 7.1 °C. The days with a temperature difference below five accounts for 90.1%.
Figure 2.
Climate analysis of Nansha Island. (a) Daily average temperature and relative humidity; (b) Frequency of daily average temperature; (c) Monthly average temperature and relative humidity; (d) Daily temperature variation; (e) Annual hourly wind rose; (f) Monthly solar radiation.
Monthly average relative humidity of the whole year is above 75%. The frequency of wind speed higher than 5 m/s accounts for 31%. The daily solar radiation on the horizontal plane is more than 4.5 (kw·h)/m2. Above all, the characteristics of outdoor climate are high temperature, high relative humidity, high salt content, strong solar radiation, and long sunshine time. In addition, typhoon and heavy rainfall always occur in the monsoon period.
2.2. Materials of Building Envelopes
According to the results of the investigation, the materials of building envelopes were reinforced concrete, aerated concrete block, brick and concrete, and wood in the Nansha Islands residential buildings of China. The moldy phenomenon of different types of walls is very serious. The mold growth risk on the surface of the wall from high to low was: wood wall, brick concrete, aerated concrete block, reinforced concrete, and coral aggregate wall [24,25,26,27,28]. According to the survey results, the structures of these five building envelopes and the layout of testing points are shown in Figure 3. The physical parameters of each material layer are listed in Table 2.
Figure 3.
Different structures of building envelopes. (a) Reinforced concrete; (b) Aerated concrete block; (c) Brick wall; (d) Wood wall; (e) Coral aggregate wall.
Table 2.
Each of the material property parameters of the above building envelopes [29].
| Material | Density kg/m3 |
Porosity m3/m3 |
Specific Heat Capacity J/(kg·K) |
Thermal Conductivity W/(m·K) |
|---|---|---|---|---|
| Cement mortar | 2000 | 0.28 | 850 | 0.930 |
| XPS | 40 | 0.95 | 1500 | 0.030 |
| Reinforced concrete | 1600 | 0.31 | 850 | 1.740 |
| Aerated concrete | 600 | 0.72 | 850 | 0.140 |
| Brick | 1890 | 0.28 | 860 | 0.955 |
| Oriented strand board | 600 | 0.60 | 1400 | 0.120 |
| Wood wall (containing fiber insulation cotton) | 30 | 0.97 | 800 | 0.047 |
| Unidirectional moisture-proof paper | 1800 | 0.25 | 1600 | 0.177 |
| Anticorrosive wood hanging board | 470 | 0.52 | 2000 | 0.150 |
| Coral aggregate hollow block | 1151 | 0.31 | 6300 | 0.590 |
| Internal mixed mortar | 1780 | 0.28 | 850 | 0.700 |
2.3. Use of Air Conditioner
The survey results showed that the indoor air temperature of the room with the air conditioner was between 22 °C and 28 °C, mainly concentrated at 25 °C. The operation period of air conditioners is from April to October. During other times, the main method is natural ventilation. A total of 86.1% of users preferred to turn off their air conditioners and open windows for ventilation at night, however, most people preferred to use air conditioners during the daytime.
2.4. Dominant Fungi
Among these 244 valid questionnaires, serious mold contamination accounted for 203 (83.2%), and the time of mold contamination was mainly from April to October. Asthma is one of the most common diseases, which accounts for 3.0%. In addition, respiratory diseases such as rhinitis, pharyngitis, symptoms of nasal and throat discomfort, and skin rash accounted for 52%. However, the results of other 41 questionnaires reflected that while there was no mold contamination in the buildings, 24 of them still reflected the above symptoms. These results show that there is a strong correlation between mold contamination and respiratory diseases.
Dominant fungi of indoor mold (on the surface or in the air) in island residential buildings on the Nansha Islands of China were investigated and the results are listed in Table 3, where the detection results of corresponding fungi are marked by “√”. Each detection rate percentage is given according to the reference [30,31,32,33,34,35]. According to these results, the dominant fungus in island residential buildings were Aspergillus and Penicillium, followed by Cladosporium. The growth trend of these fungus was isoline.
Table 3.
| Kinds of Fungi | Countries and Regions | |||||
|---|---|---|---|---|---|---|
| Guangzhou in China (Ratio %) |
Shenzhen in China (Ratio %) |
Hongkong in China (-) |
Malaysia (-) |
Cambodia (Ratio %) |
Singapore (-) |
|
| Asperaillus | √ (30.2%) |
√ (15.58%) |
√ | √ | √ (76.3%) |
√ |
| Penicillium | √ (28.6%) |
√ (29.7%) |
√ | √ | √ (74.9%) |
√ |
| Cladosporium | √ (26.7%) |
- | √ | - | - | √ |
| Rhizopus | √ (5.6%) |
- | - | √ | - | - |
| Bipolar Fungi | - | - | - | - | - | √ |
| Fusarium | - | - | - | √ | - | √ |
| Zygomycetes | - | - | - | √ | - | - |
| Saccharomyces | - | - | - | - | - | √ |
2.5. Numerical Modeling
2.5.1. Heat and Moisture Transfer Model of the Wall
Model and Grid
The mathematical models used for simulation were based on the energy equilibrium and moisture equilibrium. The critical curve model of mold growth is the isopleth model [36]. In this paper, the computational domain was from the outside to the inside of the wall and included the inner surface of the wall. The method used for dividing the mesh was inner node. Compared to the outer node method, the nodes at the interface between layers contain only one material, so it is easy to discretize the mesh. In addition, the mass equation and energy equation can be discretized by the control volume method. The time format is implicit. As a result, the average absolute errors of temperature and relative humidity were 0.06 °C and 0.11%, respectively [35,36].
Assumptions
Heat transfer and moisture transfer are a coupled process in the state of gas diffusion.
Water molecules are attached on the wet side and fixed on the polymer, which is then transported through the expansion.
Liquid water is transported in the porous materials of building envelopes.
The hysteresis curve of moisture can be ignored.
Under total pressure difference, the impact of air flowing and water freezing on the transport of enthalpy and moisture should be considered.
Boundary
Boundary conditions were considered and are listed in Table 4. In this study, the results of the simulation were for one year. The time step for calculation was set up one hour until the variation of temperature and relative humidity were stable.
Table 4.
Boundary conditions.
| Equation | Heat and Humidity Transfer Mechanism | Expression of Boundary Conditions | Required Data | Input Data |
|---|---|---|---|---|
| Equilibrium Equation | Vapor diffusion | Vapor diffusion coefficient | Indoor and outdoor air temperature and relative humidity (steam partial pressure) | 1. Typical meteorological year data (hourly temperature, relative humidity, solar radiation, rainfall, wind direction, wind speed, etc.). 2. Indoor design air parameters and air-conditioning use behavior. 3. Ventilation rate of air-conditioning is 0.5 times/h 4. Initial temperature was 20 °C and relative humidity was 80%. |
| Rain | Rainwater model and applied flux | Rainwater flow density of horizontal plane, rainwater flow density perpendicular to the wall, outdoor wind direction and wind speed | ||
| Water film | Surface value and applied flux | Water pressure, flow rate, flow temperature, outdoor air temperature | ||
| Heat conduction | Heat conductivity coefficient | Indoor and outdoor air temperature and relative humidity | ||
| Energy Equation | Solar short-wave radiation | Solar radiation model and applied flux | Direct solar radiation, scattered solar radiation, shielding | The outer surface absorption rate of short-wave radiation was set at 0.6, and the emissivity of long wave radiation was set at 0.9. |
| Solar long wave radiation | Boltzmann calculation | Outdoor air temperature and relative humidity, cloud cover | Typical meteorological year data. |
Initial Conditions
The initial temperature on the surface of the wall was 20 °C, and moisture content on the surface of the wall was 80%. Annual variation of indoor air parameters are shown in Figure 4. The average temperature of indoor air in one year was 27.3 °C. Relative humidity of one year exceeded 80%.
Figure 4.
Indoor air temperature and relative humidity of a room under condition of natural ventilation. (a) Temperature; (b) Relative humidity.
Simulation Conditions
According to the results of the 244 questionnaire surveys, the period of air conditioner operation in one year was from April to October. Simulation conditions included: natural ventilation, air conditioner operating at night, air conditioner operating in the daytime, and air conditioner operating 24 h a day.
2.5.2. Prediction Model of Mold Growth
Series of WUFI software was developed by the Fraunhofer Institute of Building Physics (IBP). WUFI-Bio, an additional software of the WUFI series software, was applied to estimate the risk of mold growth to the wall. The heat and moisture transfer process of the wall can be simulated by WUFI-Plus. Then, the calculated results by WUFI-Plus can be taken as the boundary condition and input into WUFI-Bio to simulate the mold growth process of the wall.
Calculation Process
The calculation process of the WUFI-Bio software is shown in Figure 5.
Figure 5.
Calculation process via WUFI-Bio.
Simplified Conditions
This model was used to simulate mold growth inside the wall or on the surface of the wall. The model of heat and moisture transfer can only be used to evaluate mold growth. The simplifications were as follows:
According to the literature investigation, the spatial and temporal distribution of the pH value of the Nansha Islands’ marine climate showed that the general surface layer (0–10 m) on the building surface was 8.2–8.5 [37]. After sedimentation, the pH value was between 6.5 and 7.2 [38], which is neutral. Therefore, it was considered that the pH range in the salt fog environment of Nansha Islands of China was from 6.5 to 8.5. As shown in Figure 6, suitable pH values for mold growth are given [39,40,41,42,43,44,45,46]. It can be seen that Penicillium and Aspergillus are the most suitable for growth.
Some factors should be considered such as illumination, oxygen content, and surface roughness. Most molds grow both in anaerobic and aerobic environments. Molds cannot synthesize organic matter by itself, so the condition of light cannot significantly affect mold growth [47,48,49].
The influence of sediment or pollutants on the surface of building envelopes was not considered.
The diffusion resistance of mold spores cannot be measured. Actually, the balance difference of water vapor inside the spore is very small under unsteady conditions. In addition, the value was as the same as the isoline model under steady conditions.
Figure 6.
Assumptions
Through WUFI-Bio simulation calculation, the annual growth diameter variation of bacteria was influenced by the structures and materials of different walls, and the utilization behavior of the air conditioner, and the temperatures and relative humidity of indoor air can be obtained. Surface roughness of different building materials directly affects the performance of moisture storage, then indirectly affects mold growth [47]
3. Results
3.1. Annual Growth Diameter of Bacteria
3.1.1. Natural ventilation
Under the condition of natural ventilation, the diameter variation of mold growth on each monitoring point of building envelope, constructed by reinforced concrete, is discussed. The results are shown in Figure 7, where the growth diameter of each monitoring point exceeds the limit value (50 mm one year), and the result at monitoring point D exceeded 200 mm a year. Furthermore, the risk of mold contamination exists at every monitoring point, and the risk from high to low was point D, point C, point B, and point A.
Figure 7.
Annual growth diameter of bacteria at each monitoring point layer under the natural ventilation condition.
3.1.2. Use of Air Conditioner in the Daytime
In Figure 8, Zone I refers to a thermal comfort area with the risk of mold contamination; Zone II refers to a thermal discomfort area with the risk of mold contamination; Zone III refers to a thermal comfort area without the risk of mold contamination; and Zone IV refers to a thermal discomfort area without the risk of mold contamination. The vertical dash line was 70% of the maximum relative humidity to meet the thermal comfort area, and the horizontal dash line was the critical value of 50 mm per year of growth diameter with mold contamination. Therefore, the graph was divided into four parts.
Figure 8.
Annual growth diameter of bacteria at each monitoring point by using air conditioning in the daytime. (a) Point A; (b) Point B; (c) Point C; (d) Point D.
As shown in Figure 8, when the air conditioner was operated in the daytime, the annual growth diameter of bacteria at each monitoring point under different conditions of temperature and relative humidity are given. In addition, the risk of mold contamination was analyzed combined with the thermal comfort area. As the temperature variation was from 24 °C to 28 °C and the relative humidity variation was from 40% to 80%, the growth length of mycelium on each monitoring point was directly proportional to the indoor air temperature and relative humidity. Furthermore, the risk of mold contamination was always generated on monitoring point D, which was not affected by any indoor environmental factors. However, under the same temperature and relative humidity, the order of mycelium growth diameter from large to small was point D, point C, point B, and point A, and the order of risk from high to low was point D, point C, point B, and point A.
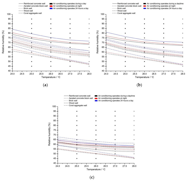
3.2. Critical Line of Temperature and Relative Humidity
The annual growth diameter of mold is 50 mm, and the critical lines of temperature and relative humidity of each monitoring point under different conditions are given in Figure 9. Above the critical line, it illustrates that there is a risk of mold contamination in the room. In contrast, it illustrates that there is no risk of mold contamination in the room under the same indoor environment. By comparing these critical lines of five building materials, it can be seen that the indoor air temperature and relative humidity of air conditioners for preventing mold and bacteria in residential buildings on Nansha Islands can be given (Figure 9). By comparing three working conditions of the air conditioner, the risk of mold contamination in the room using the air conditioner in the daytime was the highest. The order of annual bacteria growth diameter from large to small was air conditioner operated in the daytime, at night, and 24 h a day. In addition, risk of mold growth on the wall, constructed with different five materials, from low to high was reinforced concrete, aerated concrete block, coral aggregate, brick, and wood.
Figure 9.
Critical lines of temperature and humidity of an air conditioner for mold prevention on the internal surface of wall. (a) Point A; (b) Point B; (c) Point C.
Therefore, our suggestions are as follows. First, materials of the residential buildings should be reinforced concrete and aerated concrete block. Second, the air conditioner should be turned on all day, especially the dehumidification function. Third, the indoor air temperature should be kept at 26 °C, and the indoor air relative humidity should be maintained at 50% by the air conditioner.
4. Discussions
The occurrence of asthmatic symptoms is higher in most island residential buildings. The impacts of environmental parameters including temperature, relative humidity, nutrients, pH value, surface roughness, ventilation rate, etc., on mold growth have been researched in [50,51,52,53,54]. Temperature and relative humidity are the most important factors in the room regulated by an air conditioner. Fungi is more suitable for growth in the range of 15~40 °C [55]. Some investigations have studied the impact of temperature and relative humidity on the mold growth and reproduction in the building with an air conditioning system. It was found that a higher RH level is the main factor impacting on mold growth while the indoor air temperature was between 24 °C and 28 °C by air conditioner [56]. However, a reduction could be found in bacteria viability when temperatures were above 24 °C [57]. According to the design code for the design of heating, ventilation and air conditioner of civil buildings (GB 50736-2016) [58], the air design temperature and relative humidity only combine with the human comfort zone. Therefore, on the particularity of island buildings, the critical indoor air design temperature and relative humidity of the air conditioner to prevent mold and bacteria should be taken into careful consideration. In addition, results in this research are similar to results in [56,57]. Indoor air design temperature should be variable, and controlled between 24 °C and 28 °C, while relative humidity is between 40% and 80%.
5. Conclusions
Through literature reviews, field surveys, and numerical simulations, dominant species of mold in island residential buildings in Nansha Islands of China were obtained. The dominant species were Aspergillus, Penicillium, and Cladosporium.
Mold growth risk on the wall with different materials from low to high was reinforced concrete, aerated concrete block, coral aggregate, brick, and wood.
Indoor air design parameters for air conditioners for island residential buildings on the Nansha Islands of China were proposed to prevent mold and act as an antibacterial. The indoor air design temperature should be variable, and controlled between 26 °C and 28 °C, with the relative humidity between 50% and 80%.
The influence of local microclimate formed by wind speed, wind direction, rainfall, and other meteorological characteristics on mold growth needs to be further studied. The development of new envelope materials could also be further researched.
Acknowledgments
The work was supported by the National Key R&D Program (2018yfc0704055), and the NSFC Programs (No.91743102, 51308088, 52078098, 51608092, 51978118).
Appendix A
Questionnaire on structure, humidity, and mold of island residential buildings on the Nansha Islands of China
I. Personal information
Gender: Age:
II. Residential building information
1. What is the built time of your building?
□ Before 1980 □ 1980~1990 □ 1991~2000 □ 2001~2010 □ Since 2011
2. What is the material of the building envelope?
![]() |
![]() |
![]() |
![]() |
| □ Rubble brick wall | □ Red brick wall | □ Dust brick wall | □ Hollow brick wall |
![]() |
![]() |
![]() |
![]() |
| □ Reinforced concrete | □ Aerated concrete block | □ Wood | □ Coral Aggregate |
3. What is the material on the inner surface of the wall?
□ Wooden board □ Lime mortar □ Latex paint □ Cement □ Wall paper □ Ceramic tile □ Other
4. How about the natural ventilation in your building? □ Best □ Better □ General □ Bad □ Worse
5. How is your building after ventilation? □ No obvious smell at all, fresh air □ No obvious smell, good air □ Peculiar smell, common air quality □ Obvious smell, need ventilation for a long time □ Other
III. Moisture feeling and physical condition
1. How do you feel during the day time? □ Very dry □ Dry □ Moderate □ Wet □ More wet
2. How do you feel at night? □ Very dry □ Dry □ Moderate □ Wet □ More wet
3. Have you ever suffered from asthma during your stay? □ Yes □ No
IV. Moisture and mold conditions
1. How about water leakage or water seepage in your building? (Single or multiple choice)
□ Water seepage on the roof □ Water seepage on the wall
□ Water seepage through doors and windows □ No water seepage or leakage
2. Where is the water leakage or water seepage in your building? (Single or multiple choice)
□ Floor □ Floor corner □ Ceiling □ Ceiling corner □ Wall □ Other □ No moisture
3. When does moisture regain or water droplets appear during one year? (Single or multiple choice)
□ January □ February □ March □ April □ May □ June □ July □ August
□ September □ October □ November □ December □ No resurgence
V. Use of air conditioner
1. What is the set temperature of air conditioner in your home?
□ ≤18 °C □ 19 °C □ 20 °C □ 21 °C □ 22 °C □ 23 °C □ 24 °C □ 25 °C □ 26 °C □ 27 °C □ ≥28 °C
2. When do you use air conditioner during a year? (Single or multiple choice)
□ January □ February □ March □ April □ May □ June □ July □ August
□ September □ October □ November □ December
3. When do you use air conditioner in a day? (Single or multiple choice)
□ 7 a.m.~9 a.m. □ 9 a.m.~11 a.m. □ 11 a.m.~1 p.m. □ 1 p.m.~3 p.m. □ 3 p.m.~5 p.m. □ 5 p.m.~7 p.m.
□ 7 p.m.~9 p.m. □ 9 p.m.~11 p.m. □ 11 p.m.~7 a.m. in the next day
4. When do you turn off the air conditioner and open the windows for ventilation during the year? (Single or multiple choice)
□ January □ February □ March □ April □ May □ June □ July □ August
□ September □ October □ November □ December
5. When do you turn off the air conditioner and open the windows for ventilation in a day? (Single or multiple choice)
□ 7 a.m.~9 a.m. □ 9 a.m.~11 a.m. □ 11 a.m.~1 p.m. □ 1 p.m.~3 p.m. □ 3 p.m.~5 p.m. □ 5 p.m.~7 p.m.
□ 7 p.m.~9 p.m. □ 9 p.m.~11 p.m. □ 11 p.m.~7 a.m. in the next day
Author Contributions
Methodology, X.Z. and Y.L.; Software, J.L. and B.W.; Validation, X.Z., J.L., and B.W.; Investigation, J.X., X.Z., and J.L.; Resources, X.Z., J.L., and J.X.; Data curation, X.Z. and J.L.; Writing—original draft preparation, X.Z., J.L., and B.W.; Writing—review and editing, X.Z. and J.L.; Project administration, Y.L. and X.Z.. All authors have read and agreed to the published version of the manuscript.
Funding
This research received no external funding.
Conflicts of Interest
The authors declare no conflict of interest.
References
- 1.Arif M., Katafygiotou M., Mazroei A., Kaushik A., Elsarrag E. Impact of indoor environmental quality on occupant well-being and comfort: A review of the literature. Int. J. Sustain. Built Environ. 2016;5:1–11. doi: 10.1016/j.ijsbe.2016.03.006. [DOI] [Google Scholar]
- 2.Gutarowska B., Akowska Z. Elaboration and application of mathematical model for estimation of mold contamination of some building materials based on ergosterol content determination. Int. Biodeterior. Biodegr. 2002;49:299–305. doi: 10.1016/S0964-8305(02)00063-X. [DOI] [Google Scholar]
- 3.Dillon H.K., Heinsohn P.A., Miller J.D. Field Guide for the Determination of Biological Contaminants in Environmental Samples. 2nd ed. A Publication of the American Industrial Hygiene Association; Detroit, MN, USA: 2005. [(accessed on 18 September 2020)]. pp. 4–17. Available online: https://www.researchgate.net/publication/246181889. [Google Scholar]
- 4.Chameera U., Himahansi G., Ariyarathne I.S. Mold growth and moss growth on tropical walls. Build. Environ. 2018;137:268–279. [Google Scholar]
- 5.Mudarri D.H. Valuing the economic costs of allergic rhinitis, acute bronchitis, and asthma from exposure to indoor dampness and mold in the US. J. Environ. Public Health. 2016;2016:2386596. doi: 10.1155/2016/2386596. [DOI] [PMC free article] [PubMed] [Google Scholar]
- 6.Srikanth P., Sudharsanam S., Steinberg R. Bio-aerosols in indoor environment: Composition, health effects and analysis. Indian J. Med. Microbiol. 2008;26:302–312. doi: 10.4103/0255-0857.43555. [DOI] [PubMed] [Google Scholar]
- 7.Gutarowska B., Piotrowska M. Methods of mycological analysis in buildings. Build. Environ. 2007;42:1843–1850. doi: 10.1016/j.buildenv.2006.02.015. [DOI] [Google Scholar]
- 8.Mudarri D., Fisk W.J. Public health and economic impact of dampness and mold. Indoor Air. 2007;17:226–235. doi: 10.1111/j.1600-0668.2007.00474.x. [DOI] [PubMed] [Google Scholar]
- 9.Department for Communities and Local Government . Housing Health and Safety Rating System Guidance for Landlords and Property Related Professionals. 1st ed. Department for Communities and Local Government; London, UK: 2006. [Google Scholar]
- 10.Gottfried D.A., Schoichet E.A., Hart M. Green building environmental control: A case study. Heat. Pip. Air Cond. 1997;69:71–78. [Google Scholar]
- 11.Adan O.C.G. On the Fungal Defacement of Interior Finishes. Doctor-Eindhoven University of Technology; Eindhoven, The Netherlands: 1994. [Google Scholar]
- 12.Molhave L. Volatile organic compounds, indoor air quality, and health. Indoor Air. 1991;1:357–376. doi: 10.1111/j.1600-0668.1991.00001.x. [DOI] [Google Scholar]
- 13.Baughman A.V., Arens E.A. Indoor humidity and human health-part I: Literature review of health effects of humidity-influences indoor pollutants. Ashrae Trans. 1996;102:193–211. [Google Scholar]
- 14.Griffin D.H. Fungal Physiology. 2nd ed. John Wiley and Sons; New York, NY, USA: 1981. p. 25. [Google Scholar]
- 15.Burch D.M. An analysis of moisture accumulation in walls exposed to hot and humid climates. Ashare Trans. 1993;99:1013–1022. [Google Scholar]
- 16.Tenwolde A. Steady-state one-dimensional water vapor movement by diffusion and convection in a multilayer wall. Ashare Trans. 1985;91:322–342. [Google Scholar]
- 17.Cunningham M.J. The moisture performance of framed structures-a mathematical model. Build. Environ. 1988;23:123–135. doi: 10.1016/0360-1323(88)90026-1. [DOI] [Google Scholar]
- 18.Klaus S. Prediction of Mold Fungus Formation on the Surface of and Inside Building Components. Doctor-Fraunhofer Institute for Building Physics; Holzkirchen, Germany: 2001. [Google Scholar]
- 19.Moon H.J. Assessing Mold Risks in Buildings Under Uncertainty. Doctor-Georgia Institute of Technology; Atlanta, GA, USA: 2005. [Google Scholar]
- 20.Coppock J.B.M., Cookson E.D. The effect of humidity on mold growth on construction materials. J. Sci. Food Agric. 1951;2:534–537. doi: 10.1002/jsfa.2740021203. [DOI] [Google Scholar]
- 21.Grant C., Hunter C.A., Flannigan B., Bravery A.F. The moisture requirements of molds isolated from domestic dwelling. International Biodeterioration. 1989;25:259–284. doi: 10.1016/0265-3036(89)90002-X. [DOI] [Google Scholar]
- 22.Nielsen K.F., Holm G., Uttrup L.P., Nielsen P.A. Mold growth on building materials under low water activities. Influence of humidity and temperature on fungal growth and secondary metabolism. International Biodeterioration. 2004;54:325–336. doi: 10.1016/j.ibiod.2004.05.002. [DOI] [Google Scholar]
- 23.Inspection and Quarantine of the People’s Republic of China. National health commission of the People’s Republic of China . Indoor Air Quality Standard (GB/T 18883-2002) China Architecture & Building Press; Beijing, China: 2002. pp. 1–12. [Google Scholar]
- 24.Zhao X.D., Xie J.C., Wang J.P., Zhi X., Wang H.Y., Zhang X.J., Liu J.P. Thermal performance analysis of coral aggregate blocks suitable for island areas. New Build. Mater. 2020;47:62–66. [Google Scholar]
- 25.Wang Y.G. Feasibility of coral concrete in Harbor Engineering. Water Transp. Eng. 1988;12:46–48. [Google Scholar]
- 26.Yu Q., Jiang Z.C. Analysis on the durability of sea water coral reef sand concrete in Xisha Island. Constr. Technol. 2013;56:258–260. [Google Scholar]
- 27.Chai T., Draxler R.R. Root mean square error (RMSE) or mean absolute error (MAE)?—Arguments against avoiding RMSE in the literature. Geosci. Model Dev. 2014;7:1247–1250. doi: 10.5194/gmd-7-1247-2014. [DOI] [Google Scholar]
- 28.Viitanen H., Ritschkoff A.C. Doctor-Swedish University of Agricultural Sciences; Uppsala, Sweden: 1991. Mold growth in pine and spruce sapwood in relation to air humidity and temperature. [Google Scholar]
- 29.Yang S.M., Tao W.Q. Heat Transfer. 4th ed. High Education Process; Beijing, China: 2006. pp. 155–180. [Google Scholar]
- 30.Fang Z.G., Ouyang Z.Y., Hu L.F., Wang X.K., Miao H. Progresses of airborne microbial communities in urban ecosystem. Acta Ecol. Sin. 2004;24:315–322. [Google Scholar]
- 31.Hui K.W., Wong L.T., Hui P.S. Risks of unsatisfactory airborne bacteria level in air-conditioned offices of subtropical climates. Build. Environ. 2008;43:475–479. [Google Scholar]
- 32.Norbck D., Cai G. Fungal DNA in hotel rooms in Europe and Asia associations with latitude, precipitation, building data, room characteristics and hotel ranking. J. Environ. Monit. 2011;13:2895–2903. doi: 10.1039/c1em10439j. [DOI] [PubMed] [Google Scholar]
- 33.Wang X.Y., Liu W., Huang C., Cai J., Shen L., Zou Z.J., Lu R.C., Chang J. Associations of dwelling characteristics, home dampness, and lifestyle behaviors with indoor airborne culturable fungi: On-site inspection in 454 Shanghai residences. Build. Environ. 2016;102:159–166. doi: 10.1016/j.buildenv.2016.03.010. [DOI] [Google Scholar]
- 34.Hussin N.H.M., Sann L.M., Shamsudin M.N., Hashim Z. Characterization of Bacteria and Fungi Bioaerosol in the Indoor Air of selected Primary Schools in Malaysia. Indoor Built Environ. 2011;20:607–617. doi: 10.1177/1420326X11414318. [DOI] [Google Scholar]
- 35.Balasubramanian R., Nainar P., Rajasekar A. Airborne bacteria, fungi, and endotoxin levels in residential microenvironments: A case study. Aerobiologia. 2012;28:375–390. doi: 10.1007/s10453-011-9242-y. [DOI] [Google Scholar]
- 36.Lv Y., Liang J.Y., Wang B.B., Zhang X.Y., Xie J.C. Effect of Heat and Moisture Transfer on the Growth of Mould on the Inner Surface of Walls: A Case Study in Dalian of China, Building Simulation. 2020;13:1269–1279. [Google Scholar]
- 37.Ke D.S. Annual variation of PH in relation with temperature and sanility in south China sea. [(accessed on 18 September 2020)];Mar. Sci. Bull. 1990 19:23–37. Available online: http://en.cnki.com.cn/Article_en/CJFDTotal-HUTB199003004.htm. [Google Scholar]
- 38.Wu M.L., Yao Q.H. About change and control of Slat Liquid PH in salt mist test. Environ. Technol. 1998;41:2–5. [Google Scholar]
- 39.Long Q.Z., Xiong Y., Liu X., He Q.Q. Effects of environmental factors on growth characteristics of amorp hotheca resinae. [(accessed on 15 January 2020)];J. Logist. Eng. Univ. 2015 31:73–76. Available online: http://en.cnki.com.cn%20/Article_en/CJFDTOTAL-HQGC%20201501014.htm. [Google Scholar]
- 40.Jiang H.F. Effects of culture media pH on the happening of trichoderma. Edible Fungi. 1997;19:36–76. [Google Scholar]
- 41.Xiao C.L. Effects of culture media pH on the happening of penicillium. J. Jinggangshan Norm. Coll. 2001;22:32–33. [Google Scholar]
- 42.Chen S.H. Molecular identification of seven Trichoderma strains and detection of their temperature adaptability and growth pH conditions; Proceedings of the 2008 Annual Meeting of Chinese Society of Plant Pathology; Beijing, China. 21–25 July 2008; p. 623. [Google Scholar]
- 43.Luo X.M. Effects of growth conditions on the growth state of Rhizopus. Acad. Period. Farm. Prod. Process. 2014;13:19–22. [Google Scholar]
- 44.Hou H.F., Qi Y.X., Li Q.W. Interaction of temperature and pH on toxin production of penicillium citreoviridin. Chin. J. Public Health. 2007;26:52–53. [Google Scholar]
- 45.Deacon J.W. Modern Mycology. 3rd ed. Publisher Blackwell Science, Verlag; Berlin, Germany: 1997. [(accessed on 18 September 2020)]. p. 10. Available online: https://www.nature.com/articles/048224a0. [Google Scholar]
- 46.Fries N. Effects of volatile organic compounds on the growth and development of fungi. Trans. Br. Mycol. Soc. 1973;60:1–2. doi: 10.1016/S0007-1536(73)80055-5. [DOI] [Google Scholar]
- 47.Sedlbauer K. Prediction of mould growth by hygrothermal calculation. J. Therm. Envelope Build. 2002;25:321–336. doi: 10.1177/0075424202025004093. [DOI] [Google Scholar]
- 48.Vereecken E., Roels S. Review of mould prediction models and their influence on mould risk evaluation. Build. Environ. 2012;51:296–310. doi: 10.1016/j.buildenv.2011.11.003. [DOI] [Google Scholar]
- 49.Gradeci K., Labonnote N., Time B., K€ohler J. Mould growth criteria and design avoidance approaches in wood-based materials—A systematic review. Construct. Build. Mater. 2017;150:77–88. doi: 10.1016/j.conbuildmat.2017.05.204. [DOI] [Google Scholar]
- 50.Paula L.A., Hecto A.M., James B. Building moisture diagnosis: Processing, assessing and representation of environmental data for root cause analysis of mould growth. Build. Simul. 2020;13:999–1008. [Google Scholar]
- 51.Asimina S., Pyrri I., Asimakopoulos D.N. Indoor air quality and dustborne biocontaminants in bedrooms of toddlers in Athens, Greece. Build. Environ. 2020;173:1067556. [Google Scholar]
- 52.Liu Z.J., Ma S.Y., Cao G.Q., Meng C., He B.J. Distribution characteristics, growth, reproduction and transmission modes and control strategies for microbial contamination in HVAC systems: A literature review. Energy Build. 2018;177:77–95. doi: 10.1016/j.enbuild.2018.07.050. [DOI] [Google Scholar]
- 53.Brambilla A., Sangiorgio A. Mould growth in energy efficient buildings: Causes, health implications and strategies to mitigate the risk. Renew. Sustain. Energy Rev. 2020;132:110093. doi: 10.1016/j.rser.2020.110093. [DOI] [Google Scholar]
- 54.Brambilla A., Gasparri E., Aitchison M. Building with Timber across Australian Climatic Contexts: An Hygrothermal Analysis. International Conference of the Architectural Science Association; Australia, RMIT University, Melbourne: 2018. [(accessed on 7 October 2020)]. pp. 11–18. Available online: https://www.researchgate.net/publication/329519935. [Google Scholar]
- 55.Cooke R.C., Whipps J.M. University of Chicago Press; Chicago NJ, USA: 1993. Ecophysiology of Fungi, Blackwell Scientific Publica-Tions. [Google Scholar]
- 56.Foarde K., VanOsdell D., Chang J. Evaluation of fungal growth on fiberglass duct materials for various moisture, soil, use, and temperature conditions. In-Door Air. 1996;6:83–92. doi: 10.1111/j.1600-0668.1996.t01-2-00004.x. [DOI] [Google Scholar]
- 57.Tang J.W. The effect of environmental parameters on the survival of airborne infectious agents. J. R. Soc. Interface. 2009 doi: 10.1098/rsif.2009.0227.focus. [DOI] [PMC free article] [PubMed] [Google Scholar]
- 58.Inspection and Quarantine of the People’s Republic of China. National health commission of the People’s Republic of China . Design Code for Design of Heating, Ventilation and Air Conditioner of Civil Buildings (GB 50736-2016) China Architecture & Building Press; Beijing, China: 2002. pp. 1–12. [Google Scholar]



















