Abstract
We consider the joint decision problem of renting three types of warehouses and allocating products among the warehouses in an E-commerce supply network, which are supplier, regional, and local warehouses. The research is motivated by a real-world emerging problem in an open warehouse platform (OWP) environment. We focus on the distinct characteristics of a network using an OWP and its underlying cost drivers and propose a nonlinear mixed integer programming model that reflects the interdependencies among inbound transportation, warehousing, delivery, and return, as well as time-sensitive demand. Our nonlinear model with multiple products is converted into a linear form so that it can be solved by a solver. The application of the model to a real-world case of a leading E-commerce company in China demonstrates a significant potential to increase profit, and our sensitivity analysis provides insights for operations managers into warehouse rent and inventory decisions.
Keywords: E-commerce, Warehouse rent, Supply network, Inventory, Open warehouse platform
Introduction
In China, millions of people are employed by small manufacturers that produce clothes, such as kitchen appliances, furniture, and toys. Many manufacturers are also sellers whose business model is called “Front shop—back factory” (Meyer et al., 2012). E-commerce has become the main sales channel for some of the sellers. A few E-commerce agglomeration areas are even called “Taobao Villages” (Leong et al., 2016). A third-party logistics (3PL) service is used to play a significant role in product delivery from the seller's warehouse directly to the consumer in E-commerce. The process from order to delivery may take 2–7 days and the delivery costs depend on the characteristics of the product and the distance between the seller and consumer (Tan et al., 2014). Direct online selling channels are increasing for many manufactures and farms worldwide. This growth in e-commerce has been given a major boost by the COVID-19 pandemic.
Despite the exponential growth that E-commerce has enjoyed and its potential for further rapid gains, the logistics sector develops at a slower pace and becomes a restriction on e-commerce sales, especially during festive periods of high demand (Zhou, 2013). Although E-commerce and logistics have been heavily studied during the past decades, there are still few empirical studies that explore how logistics services and infrastructure impact the business-to-consumer (B2C) markets (Tan et al., 2014).
Warehouses play a critical role in fulfilling online customer orders by coordinating supply and demand throughout the supply chain. Renting a warehouse is more cost-effective than buying and gives more flexibility for many e-commerce businesses. Based on the observation of CBRE, demand for smaller warehouses is soaring due to e-commerce and online shopping drivers up rent for the warehouse in U.S. (Smith 2019).
Since 2012, several large-scale open warehouse platforms (OWP) have been built to improve E-commerce logistics in China. Figure 1 shows the OWP built by JD.com Inc (Chan et al., 2018). Sellers can rent storage capacity and purchase warehouse services from OWP. Their products are stored at decentralized warehouses across the country until those products are picked according to orders and shipped to the consumer through a 3PL service. OWP has become a big business for several companies in China. They encourage sellers to rent warehouses in their OWP by offering the following competitive advantages:
Improving delivery efficiency and consumer service
Decreasing the cost of transportation, warehousing, and delivery
Locating products close to many consumers through hundreds of warehouses scattered across the country
Flexible renting options and professional warehousing service
Other value-added services, such as, kitting services, labeling, repackaging, and returns processing.
Renting warehouses from OWP is an attractive choice for small sellers, who have no capital to build distributed warehouses by themselves. However, a wide range of factors, such as diversity between products, consumer service requirements and demand variability, influence the most appropriate supply chain segmentation (SCS) (Lovell et al. 2005). Therefore, sellers are eager to know the answer to the following issues:
Should they rent space capacity from an OWP?
If they do, how much space capacity should we rent?
How do they decide the inventory at each warehouse, i.e., allocate their multiple products among the rented warehouses, considering different types of warehouses?
The purpose of this research is to answer these issues. With the COVID-19 pandemic, the shift from traditional shopping to online buying is accelerating. This research focuses on the allocation of inventory among online order fulfillment warehouses to gain insights for small or medium-sized sellers who engage in direct online selling.
Fig. 1.

OWP built by JD.com Inc. in China
A large body of literature is devoted to the problem of traditional warehouse rental, instead of E-commerce. Lim et al. (2018) analyze warehouse rental market segmentation and provide a systematic framework to empirically derive warehouse rental submarkets. Holzapfel et al. (2018) study product allocation to different types of distribution centers (DC) in retail distribution networks, where the retail company operates the DC. Yu (2019) develop an inventory model for deteriorating items in a two-echelon two-warehouse system: an enterprise’s own warehouse and a rented warehouse. Recently, attention has turned to third-party logistics provider (Domingues et al., 2015; Ren et al., 2020) or third-party shipping internet platform (Chen et al., 2019). However, none of those research focuses on warehouse rental under e-commerce.
The research is to aid optimal decisions on the selection and rent of online fulfillment warehouses and on the multi-echelon inventory optimization problem. The problem is different from existing research in the following three aspects: First, the sellers need to decide which warehouse will be selected and determine the size of rented space from an OWP. Second, the time sensitivity of demand is considered, which affects both warehouse rent and product allocation. Third, the decisions about space rental, inventory levels, and transshipment to meet time-sensitive demand are considered simultaneously. To the best of our knowledge, it is the first research to study multi-echelon online fulfillment warehouse rent and inventory decisions under the E-commerce supply network.
Our main contributions include the following:
We present a mixed-integer model for multi-type warehouse selection and multi-echelon inventory decisions under E-commerce. To our knowledge, it is the first such model that accounts for online fulfilling warehouse rent and inventory decisions in an E-commerce supply network structure. Our model is nonlinear but can be converted into a linear one, which can be solved by a Mixed Integer Linear Programming (MILP) solver.
We analyze the applicability of our model using a real-world case of a leading E-commerce supply network in China and conduct a comprehensive sensitivity analysis.
We reach several meaningful managerial insights that are helpful for sellers to make decisions on the issues listed above.
The remainder of this paper is organized as follows. Section 2 presents an overview of the related literature. The problem background is discussed in Sect. 3. After formulating the mathematical optimization model in Sect. 4, we derive managerial insights by applying sensitivity analyses in Sect. 5. Finally, we conclude the study and give an outlook on opportunities for future research in Sect. 6.
Related literature
There are three streams of literature related to this study. First, we analyze related research on online order fulfillment warehouse rental and related platforms. Second, we draw parallels with research on multi-echelon inventory management that a provide methodological context for our research problem. Third, we describe a few publications that are highly relevant to our product allocation decision problem.
Warehouses are critical to online selling. However, a large body of literature is devoted to the problem of traditional warehouse rental (Lim et al., 2018; Yu, 2019). A two-warehouse system usually includes an enterprise’s own warehouse and a rented warehouse, which is one of the strategies to resolve the issue of warehouse space shortage (Gupta et al., 2020; Tiwari et al., 2017; Yu, 2019). In recent years for offline companies persuaded to be e-commerce, choosing a suitable and competitive warehousing provider has become more important than ever. Wu (2016) explores the features of "overseas warehouse" based on the analysis of the development of cross-border e-commerce and make recommendations for building an "overseas warehouse" platform. On the other hand, warehousing providers also face great pressure to meet their customers’ needs: a high level of time and place value for their deliveries, lower prices, the last mile problem (Domingues et al., 2015). Gu (2017) set up an assessment system for 3rd warehousing provider under the environment of e-commerce, and find a strategy to promote service quality.
The challenge of selecting warehouses and the quantities of products to stock has some similarities with the multi-echelon inventory problem (Clark & Scarf, 1960). A multi-echelon inventory system is commonly observed in many business environments. After decades of research, many articles are focusing on the system in the field of operations management, including two notable reviews (Agrawal & Smith, 2015; Gümüs & Güneri, 2007). While more than two echelons are sometimes used in practice, most retailers, including Amazon.com, now prefer a two-echelon system (Agrawal & Smith, 2015). Such supply chain structures are similar to that of our case, but the difference is that the product allocation decisions are made by different actors with different business considerations.
The fundamental decision problem to be solved in multi-echelon inventory systems is the appropriate division of inventory among warehouses. Mathematical models are presented to make unique inventory decisions in different scenarios, for example, bricks-and-mortar retail (Axsäter & Zhang, 1999; Grahl et al., 2016; Guo & Li, 2014), online sales (Min et al., 2006), combined brick-and-mortar and online retailer (Bretthaueret al., 2010), and manufacturing (Pan & Nagi, 2013; Shankar et al., 2018). However, in these studies, product allocation among warehouses is treated as a given, and it is generally assumed that these decisions are taken at an upper planning level (Holzapfel et al., 2018). Additionally, although our case is in an e-commerce scenario, the structure of supply network is dual-channel. To our knowledge, few models focus on our particular scenario, and very few consider delivery time sensitivity issues.
Holzapfel et al. (2018) consider the problem of assigning multi SKUs to warehouses belonging to different types available to retail companies, which is highly related to our problem. They propose a MIP model that accounts for interdependencies between inbound transportation, outbound transportation, and in-store logistics, for capital tied up in inventories, and for differences in picking costs between the warehouses, which extends the dependences considered by Lovell et al. (2005). The warehouse network is similar to ours, but the problem is not under E-commerce and the company operates a warehouse, instead of renting. Furthermore, we consider time- sensitive demand, which is important in the E-commerce environment. Guerriero et al. (2013) address the product allocation problem in a multi-layer warehouse with compatibility constraints, and present a linear model to reduce delivery times, inventories and total logistics costs, while also raising service levels. Similar studies include Tsiakis et al., Scott et al. (Fay & Xie, 2014; Tsiakis & Papageorgiou, 2008).
Our literature review indicates the following findings. First, the problems of warehouse selection and allocating products to specific warehouses are essential planning tasks and an optimal allocation will lower costs. Second, although E-commerce dominates warehouse lease business, very few quantitative models are available for studying warehouse rent under E-commerce. To the best of our knowledge, there is no directly related quantitative decision model available in the literature that considers the scenario that we focus on. Therefore, we develop a model that accounts for various interdependencies among factors in the multiple-product allocation problem in rented online fulfillment warehouses and conduct sensitivity analyses to obtain strategic managerial insights. Our research is intended to support operations managers in making decisions on product allocation to specific warehouses of different types, and in finding the answer to the questions raised in Sect. 1.
Problem background and OWP
In this section, we provide the OWP background and describe the decision problem. First, we describe the sales network structure using a real-world case. Second, we describe the processes that are affected by the multiple-product allocation decision and focus on the underlying dependencies and cost drivers.
Characterization of the supply network structure
In traditional retail supply networks, large batches of products flow from various warehouses to bricks-and-mortar retailers, who sell to end consumers (Kuhn & Sternbeck, 2013). In E-commerce supply networks, single or smaller batches of products flow from supplier warehouses to consumers directly by third-party logistic services, thereby shortening the intermediate links of supply networks between suppliers and consumers (Johnson & Whang, 2002). One of the links in the supply network can be the rental of a warehouse from an OWP.
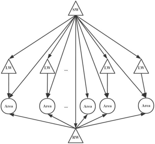
In our case, three different types of warehouses that service different sizes of geographic areas, namely, the supplier, the regional and the local warehouse. A supplier warehouse (SW, e.g., manufacturers, industrial warehouses or wholesale warehouses) might serve all of the consumers in a large country, such as China. A regional warehouse (RW) serves consumers in a region, which may consist of several provinces in the country. A local warehouse (LW) serves consumers in a smaller area, such as a single province or an agglomeration. Regional warehouses (RW) and local warehouses (LW) are similar to warehouses in some retail supply networks (Kuhn & Sternbeck, 2013). The underlying structure of the supply network in a specific region is shown in Fig. 2.
Fig. 2.

The underlying network structure of the supply network
A LW usually takes less than 24 h to deliver the product, while for a RW and a SW, the time is 2–3 days and 4–7 days, respectively. When consumers place orders, they are shown from which type of warehouse the product will be shipped and an estimated delivery time. Unlike e-commerce retailers that offer the consumer an option to pay more for faster shipping, for example, Amazon.com (Ma, 2017), the sellers in our case do not offer the consumer such shipping options.
Shortages at RWs and LWs are permitted. The consumer demand from a specific area is first met by the LW, if there is no LW or its inventory is in shortage, the demand will decrease according to consumer time sensitivity and the remaining demand will be met by a RW. Further, if there is no RW or its inventory is in shortage, the demand will drop again, and the remaining demand will be met by the SW eventually. A shortage at the SW is not permitted, because that means the total production capacity would not be capable of meeting the demand.
Processes involved in the product allocation decision
In the supply network, processes include transportation, shelving products, storing products, picking orders, delivery and return. Each process belongs to a particular subsystem, i.e., (1) inbound transportation, (2) warehousing, (3) outbound transportation and delivery, and (4) return. We examine the cost drivers in each subsystem, as well as the interactions of the subsystems and their related decisions. These subsystems are analyzed next.
Inbound transportation
Inbound transportation comprises transportation tasks between the SW and the RW or LW. The source–destination links are a result of the product assignment. For the manufacturers in our case, inbound transportation is mainly fulfilled by third-party logistics services, which are slower, but much cheaper than standard express services. Logistic companies have similar charging rules.
Shipment of products under the standard physical volume (SPV, a function of length, width, height, and weight) is charged by weight and distance
Shipment of products over the SPV is charge by volume and distance
Small products, such as clothes, that are well under the SPV, may have the same shipping cost for one or several. However, for products over the SPV, such as a refrigerator, the shipping cost scales with the number of products. Consequently, transportation costs are most efficient for products with high sales and low physical volumes.
When choosing to rent space from RW or LW, there are minimum rental costs for space and for holding inventory. Rentals are not cost efficient when sales volume is low for products with low physical volumes and value. To simplify our case, we assume that transportation from the manufacturer to each RW or LW is in batches. We also assume that the cost per product and quantity of product shipped are independent of each other.
Warehousing
After products are received in the RW or LW warehouse, they are labeled and stored in a storage space rented by sellers until an order comes. Then they are picked, packed and sent to the sorting center for outbound transportation and delivery. In this subsystem, the following cost drivers should be considered.
Rentals are charged by cubic meters per period. There is a minimum size of rentals.
The service of receiving products is charged per-unit to cover counting, labeling, carrying to the storage space, and shelving.
Holding inventory is charged per-unit of product in inventory at the beginning of the period. There is a minimum charge for holding inventory.
The service of order fulfilment is charged by per-order to cover order printing, invoicing, picking, packing, and sending to the sorting center. Order picking is often responsible for more than 50% of the total warehouse cost (De Koster et al., 2007).
Differences in the warehousing costs may occur due to different technologies applied, labor costs and geographical areas. In addition, we only consider orders with a single product. For orders with several different products or a batch product, the order picking cost per-product would be lower.
Outbound transportation and delivery
This subsystem comprises transportation and delivery tasks between warehouse and consumer. Since LW serves a specific area, RW and SW serve all areas in the region, the outbound relations are predetermined. The transportation volumes depend on sales and inventory. Shipping from a LW usually takes one day and costs the least which improves consumer service (Keh & Shieh, 2001). In contrast, shipping from a SW located far away from the consumer would take 4–7 days and cost the most for delivery. The cost of outbound transportation and delivery is the greatest of the four subsystems, and the delivery time has a significant influence on consumer satisfaction (Ma, 2017). Thus, the cost and time of outbound transportation including last-mile delivery are highly relevant to the distribution of warehouses. The primary purpose of supply network segmentation is to decrease the cost and time spent on outbound transportation and delivery.
Online sellers present two different charging policies for outbound transportation and delivery: shipping fees or shipping free (Gümüş et al., 2013). Shipping fees mean the consumer would pay for the cost, which is especially significant for products with low value and high weight and volume. Free shipping is frequently offered by online sellers when the total value of the order is above a certain threshold price. In our case, we only consider orders with a single product, so free shipping will be offered when the price of the product is above the threshold.
Return
E-commerce presents much higher return rates than traditional trade, especially with the generous return policies offered by online sellers (de Araújo et al., 2018). Although return rates have been steadily rising in recent years, it is treated as a certain proportion of sales in one period by many analytical models of e-commerce (Altug & Aydinliyim, 2016; Bonifield et al., 2010; Shang et al., 2017). In this paper, we also follow this mode. For simplicity, we require that the return is sent back to the original warehouse where the product is shipped out and the return request is initiated in the same cycle.
The cost of a return covers services of logistics from consumer to warehouse, including the inbound services of receiving products at the warehouse (“product re-inbound”). Generally, online consumers are granted a full refund or partial refund (Shang et al., 2017). Consumers enjoy a full refund when the return reasons are the seller’s mistakes, such as, product quality issues, logistics damage, missing parts, and mis-matches with descriptions. Following improvements in product quality and service, most product returns are now due to consumer behavior-related reasons. For example, consumers may not be satisfied with the purchased products, may not understand how to use the products, or may regret an impulsive purchase (Li et al., 2014). In such cases, the consumer bears the cost of logistics service back to the warehouse and sellers cover the cost of product re-inbound, and we assume such arrangements for returns in our model.
Modeling
In the present section, we develop a decision support model for product allocation to specific warehouses of the different types (SW, RW, and LW). Section 4.1 describes problem description and model assumptions, and then Sect. 4.2 defines indices, parameters and decision variables. The objective function and constraints of the model are finally outlined in Sect. 4.3.
Problem description and model assumptions
Based on our problem background, the problem is described as the follows: given the OWP environment, the online direct seller needs to solve the following problem simultaneously to maximize the profit: (1) which warehouse of three types in OWP will be chosen and how much space will be rented from the selected warehouses; (2) how does the seller allocate their multiple products among the rented warehouses, considering different warehouse rent and picking costs, inbound and outbound transportation cost; (3) how does the seller fulfill the demands from different regions/areas, taking into account of time-sensitive demands.
We make the following assumptions which are reasonable according to the real-world cases, such as JD.com Inc., Tmall.com Inc. in China.
There are no relationships among the regional warehouses in our real-world cases. Thus, to simplify our model and focus our problem, we consider the case with one supplier warehouse from an unspecified region, one regional warehouse and several local warehouses in the same region as the regional warehouse.
Warehouses are seller-managed inventories: replenishment decisions are made at the end of each period and fulfilled at the beginning of the next period.
Warehouses have enough space available for all our scenarios. There is no upper bound, but there is a lower bound on sizes of spaces for rent.
Transportation cost and lead time for the product are equal among warehouses at the same level, and therefore there is no need for optimizing for these costs. This assumption is following the policy of a real logistics company that charges for transportation based on regions of the origin and the destination, instead of an exact distance.
Demands for all products from each area are known in the period. The demands that are unsatisfied from a lower level warehouse can be partially fulfilled by an upper level warehouse, depending on the consumer’s time sensitivity.
Notation
The parameters of the proposed model include given demand, lead time, transportation cost, order handling cost, and others listed in Table 1. The decision variables include whether to rent space in each warehouse, quantity of product to stock in each, and others listed in Table 1.
Table 1.
Notations
| Indices | |
| The index of warehouse: SW; RW; LW | |
| The index of product, from 1 to | |
| Parameters | |
| The unit cost of inbound transportation for product from manufacturers to warehouse | |
| The unit cost of outbound transportation form warehouse to the corresponding area | |
| The unit cost of renting space in warehouse per-period | |
| The unit cost of holding inventory in warehouse per-period | |
| The unit cost of inbound services in warehouse | |
| The unit cost of order picking in warehouse | |
| The unit cost of returning product to warehouse | |
| Lead time from warehouse to the corresponding area, usually from 1 to 7 days | |
| Demand to warehouse for product per-period corresponding to lead time spent by local warehouse; is the total demand to the regional warehouse from areas without local warehouses in the region | |
| , represents lead time sensitivity of demand | |
| The minimum size of a rental unit in warehouse , usually an integer multiple of cubic meters | |
| , return rate, a proportion of order | |
| Unit volume of product | |
| The unit price of product that customers pay | |
| Unit ordering cost of product | |
| A big number, used for logic constraints | |
| Decision variables | |
| Inventory of product in warehouse at the beginning of the period | |
| Quantity of product fulfilled from warehouse | |
| Quantity of product returned to warehouse | |
| 1, if renting space in warehouse ; 0, otherwise | |
| The capacity of renting space in warehouse | |
| Logic binary variable | |
| Logic binary variable | |
| logic binary variable | |
Formulation
The integrated problem is formulated as the following mixed integer programming model.
Objective function
| 1 |
The objective function consists of four terms: the first term is the sales revenue. The second term is the transportation cost from the supplier to the warehouse and from the warehouse to the area. The third term is the warehousing cost associated with renting space, holding inventory, inbound services, order picking, and receiving returns. The fourth term is the total ordering cost of the product. The object is to find the optimal renting warehouse policy and inventory in order to maximize the total profit.
Constraints
| 2 |
Constraints (2) ensure that if space is rented in a warehouse, then the capacity will be equal to or greater than the minimum size of rentals in that warehouse.
| 3 |
The constraints ensure that warehouse has enough available space to store inventory at the beginning of the period.
| 4 |
Constraints (4) ensure that quantity of product fulfilled from warehouse in the period cannot exceed the inventory at the beginning of the period. Note that a shortage in the local or regional warehouse will happen if the demand for warehouse is higher than the inventory at warehouse
| 5 |
Constraints (5) ensure that warehouse has enough rental space available to store remaining inventory and return products at the end of the period.
| 6 |
In our case, as shown in constraints (6), we assume that the rate of returns for product is a proportion of the orders for warehouse .
The product price is equal for all consumers, which has no influence on order decisions in our case. The quantity of consumer orders is a function of demand and lead time. We assume that the function is Cobb–Douglas (Palaka et al., 1998; Ray & Jewkes, 2004):
This Cobb–Douglas function will help us to obtain qualitative insights without much analytical complexity. It also has the desirable property that the quantity of orders is higher at a shorter guaranteed lead time.
For local warehouses () and product , , the demand is . If , the sale is , and all demand is satisfied. Otherwise, if , the sale is , and the unsatisfied demand is , which can be transferred to the regional warehouse. The actual sale at warehouse i for product is , which should be equal to the fulfilled order :
| 7 |
and the remaining demand is .
For a regional warehouse and product , the total demand is
Due to time sensitivity, the actual demand for regional warehouse is
If , the sale is , and all demand is satisfied.Otherwise if , the sale is , and the unsatisfied demand is
The sale is , which should be equal to :
| 8 |
The unsatisfied demand is 0 (when ) or .
For the supplier warehouse, the total demand with time sensitivity is
which should be equal to :
| 9 |
The model formulated using the objective function with constraints (2) through (9) is a constrained nonlinear program. Constraints (6) are always satisfied. Constraints (5) are satisfied by (3) and (6) since . Constraints (4) are satisfied by (7), (8) and (9) which are also eliminated. All together implies the following simplified model.
Objective function
| 10 |
subject to constraints (2), (3), (7), (8) and (9).
Due to constraints (7), (8) and (9), the model is nonlinear, which cannot be solved by a MILP solver. Our approach to converting the model into a linear form is detailed in the next section.
Transition constraints
For constraints (7):
it can be transferred to the following linear constraints:
| 11 |
It is noted that can be replaced by and when the coefficient of in (10) is positive. Under certain situations, such as a seller offering a very low price of product j at a particular location i to increase market share, the coefficient may be negative. Thus, we use (11) for the general case.
For constraints (8):
We set which can be transferred to the following linear constraints:
| 12 |
is equal to , and constraints (8) can be rewritten as
It can be transferred to the following linear constraints, like constraints (10):
| 13 |
For constraints (9), it can be transferred to the following linear constraints:
| 14 |
After these transitions, the model is subject to constraints (2), (3), (11), (12), (13) and (14) which are all linear. Consequently, we can solve the model by MILP solver.
Case study and numerical results
In this section, we analyze the applicability of the model suggested for a real-world case of an E-commerce supply network in China. The critical data of the case study are provided in Sect. 5.1. Section 5.2 then describes the implementation of the model. Afterward, various sensitivity analyses in Sect. 5.3 are performed. Finally, Sect. 5.4 discusses several meaningful managerial insights.
Case study data
Warehouses and cost list
The real-world case considers the OWP operated by JD.com, a leading E-commerce service provider in China. We focus on the region of Northeast China. There is one RW located in the city of Shenyang at the center of this region where has a coexistent LW, and three other LWs in the cities of Dalian, Changchun, and Harbin.
For a product whose longest side is under 60 CM, and weight is under 2 KG (SPV), JD.com charged the shipping prices as shown in Table 2 in 2021, whether shipped from the SW, RW or LW. For large and overweight products, JD.com’s customer service staff will evaluate and decide the price, which would be discussed in Sect. 5.1.3.
Table 2.
Price list by JD.com (RMB)
| 7 | 4 | 0.01 | 0 | 3 | 3 |
Demand assumption
We assume the total demand for the region is and was determined by historical sales data. The demand for each warehouse is proportional to the population served by the warehouse (Bass, 1980; Berry, 1990), as shown in Table 3. According to the real-world case, we also set the return rate equal to 0.1.
Table 3.
Population served by warehouse (million)
| Warehouse | Population | Demand |
|---|---|---|
| Shenyang (RW) | 40.12 | |
| Shenyang (LW) | 8.29 | |
| Dalian (LW) | 6.98 | |
| Changchun (LW) | 11.89 | |
| Harbin (LW) | 13.59 |
Product selection
Lovell et al. elaborately described factors affecting product allocation in traditional retail networks (Lovell et al., 2005). After a more detailed consideration of these factors associated with foregoing cost drivers involved in the processes of product allocation decisions, we identify diversity between products is the important factor. Considering volume and price, we divide products into four types, as shown in Fig. 3.
Fig. 3.

Four types of product
In E-commerce, 3C (Computer and Communication and Consumer) and clothes are the main products. Although agricultural products with lower value and higher volume or weight are generally considered less suitable for online sales, they are nonetheless becoming more and more popular with the development of OWP in recent years. We select four examples of products from clothes, cellphone, agricultural products (AP), and household electrical appliances (HEA), as shown in Table 4. In each group, we would generate 50 Stock Keeping Units (SKUs) of the same type of products for one seller, with the random value among a typical range of price, volumes and weights respectively.
Table 4.
Products selection
| Type | Product | Origin | Price(RMB) | Volume (m3) | Weight (Kg) |
|---|---|---|---|---|---|
| 1 | Cloths | Zhejiang | 100–500 | 0.002–0.01 | 0.2–1 |
| 2 | Cellphone | Guangdong | 1000–5000 | 0.01–0.02 | 0.8–1.5 |
| 3 | AP | Xinjiang | 70–300 | 0.05–0.1 | 5–10 |
| 4 | HEA | Guangdong | 2000–9000 | 0.20–0.45 | 10–100 |
Shipping costs from an warehouse to area () charged by JD.com for cloths and cell phones follow the price list of Table 2 if their volume and weight are under the SPV. Shipping for a box of AP or a HEA would be charged by weight. For the first 2 KG, the price is 7 RMB, and for each additional KG, the price is 1 RMB. Shipping from the SW () would be charged by third-party express companies as follows: For Cloths and cellphones, 10 RMB for each piece, and for AP and HEA, the first KG is 10 RMB, then for each additional KG, the price is 2 RMB.
For shipping cost from manufacturers to warehouse (), where SW is usually located very near to the factory, would be much lower than , and thus we set . The northeast of China is a special region in which shipping of products originating there, , is charged according to the customer’s region, not by actual distance. We set the shipping cost to be 1 RMB per KG, although differences exist depending on where the shipment originates. These differences account for only a small part of the total cost and have little influence on outcomes.
Implementation of model and an illustrative example
A sensitivity analysis study applying the model proposed in Sect. 4 is presented here. The model was coded by Gams, solved using IBM CPLEX (12.8) and run on a PC with a six-core 3.3 GHz processor and 16 GB of RAM, operating 64-bit Windows 10. The total running time of the model including all pre-process steps is 10 to 20 s. It is thus applicable in reasonable time for real practical-sized problem instances.
To illustrate the results, we take cloths as an example and assume that one seller has 5 SKUs. The volume, weight, price, and demand of the 5 SKUs are shown in Table 5, where all parameters are randomly produced except demand because we want to observe the impact of the size of demand.
Table 5.
Volume, weight, price, and demand of 5 SKUs
| P1 | P2 | P3 | P4 | P5 | |
|---|---|---|---|---|---|
| volume | 0.006 | 0.009 | 0.008 | 0.007 | 0.006 |
| Weight | 0.998 | 0.663 | 0.993 | 0.810 | 0.305 |
| Price | 189 | 240 | 443 | 126 | 300 |
| Demand | 10 | 50 | 100 | 500 | 1000 |
The results about warehouse rent and inventory for the 5 SKUs in each warehouse are shown in Table 6. As we can see from the table, P1 and P4 are only carried by SW even the demand of P4 is very high, i.e., SW carries 40% of 5 SKUs. The reason for only SW carries the two products is that prices for both products are low, and the cost of renting RW and LWs cannot be justified. Note that the inventory quantities of P1 and P4 at SW are smaller than their demand because the partial demand is lost due to some customers are sensitive to the lead time. P2, P3 and P5 are carried by RW and LWs with no inventory in SW., i.e., both RW and LWs carry inventory for 60% of 5 SKUs. However, our other tests also show when their demands are less than 10, all inventory will be carried by SW for the three products. It shows that price and demand have influence on the decision of warehouse choice.
Table 6.
Inventory for 5 SKUs in each warehouse
| P1 | P2 | P3 | P4 | P5 | |
|---|---|---|---|---|---|
| SW | 8.12 | 406.13 | |||
| RW | 23.14 | 46.28 | 462.78 | ||
| LW_1 | 5.15 | 10.30 | 103.00 | ||
| LW_2 | 4.30 | 8.60 | 86.00 | ||
| LW_3 | 7.35 | 14.70 | 147.00 | ||
| LW_4 | 8.40 | 16.80 | 168.00 |
Sensitivity analyses of key factors
We assume one seller only sells one type of products with 50 SKUs. In the following sensitivity analyses, we observe the impacts of three factors on warehouse selection for each seller: the product demand, ordering price/sale price (O/S, i.e., c/p), and time sensitivity (TS). We would show the percent of SKUs carried in each warehouse. The objective of this study is to generate some managerial guidelines that can be used for making decisions by sellers in our case.
Impact of product demand
In the present case, we set the total demand for each SKU as a random number between 0 to a maximum possible demand (MPD) which increases from 10 to 1000, O/S is equal to 0.8 and TS is equal to 0.1. According to the real-world case, we also set the return rate is equal to 0.1. Figure 4 shows the percent of 50 SKUs of the same type of products to be carried in each warehouse. For example, 1 implies the warehouse will carry all 50 SKUs of the products. The percent of SKUs carried by each LWs is an approximate value, and the figure only shows one of the LWs. When MPD is over 100, the percent of SKUs carried by each warehouse is relatively stable. Thus, we set the maximal value of MPD in the figure to be 100.
Fig. 4.
The percent of SKUs carried in warehouses as MPD increases
For cloths, as shown in Fig. 4, when MPD is lower than 10, almost all SKUs were carried by SW. With the increase of MPD, SKUs carried by SW decrease, and SKUs carried by RW and LW will increase. When MPD is over 100, the percent of SKUs carried by each warehouse will be stable. Table 7 shows the percent of SKUs carried at each warehouse when MPD is set to 100: 9.8% and 14.8% of SKUs choose only either SW or RW to carry their products respectively; 27.2% of SKUs choose both SW and LWs, and 48.2% of SKUs rent both RW and LWs. Thus, LWs carry the inventory for 75.4% of SKUs, RW and SW carry inventory for 63% or 37% of SKUs respectively (the SKUs carried by RW will be not carried by SW). For cellphone and HEA, when MPD is less than 10, SW will carry all SKUs. With the increase of MPD even a small value, SKUs carried in SW will decrease dramatically. In this situation, renting RW and LWs to carry all SKUs in the two types of warehouses is a better choice for a seller. Because the unit profit of cellphone and HEA is much higher than other items, the cost of renting RW and LWs can be justified. For AP, MPD does not have a great influence on the results. Nearly 90% of SKUs were carried in SW, 10% by LWs and 5% by RW, even with much higher demand.
Table 7.
The percent of cloth SKUs carried by warehouses when MPD is 100
| % | SW | RW | LWs |
|---|---|---|---|
| 9.8 | ✓ | ||
| 14.8 | ✓ | ||
| 27.2 | ✓ | ✓ | |
| 48.2 | ✓ | ✓ | |
| 100 | 37% | 63% | 75.4% |
When O/S is equal to 0.8, the profit from sales for some SKUs of AP is less than zero, which may happen in some situations. However, usually the profit for all SKUs should be positive. To test the more realistic situation that ensures all profits are positive, we set O/S to be 0.5 for AP, 0.85 for cellphone and HEA, 0.8 for cloths. The outcomes of the simulation under this situation are shown in Fig. 5. The outcomes for cloths, cellphone and HEA are similar to the results in Fig. 4. For AP, it is very different from Fig. 4: the seller rents RW and LWs for SKUs with the increase of demand because the marginal profit is high and the cost for the rent can be justified.
Fig. 5.
The percent of SKUs carried in warehouses as MPD increases with different O/S
Impacts of ordering price/sale price
In the present case, we set the O/S ratio to change from 0.3 to 0.9, which means gross profit would decrease with increasing O/S. Additionally, we set MPD is equal to 100 and time sensitivity is equal to 0.1.
The outcome is shown in Fig. 6. For the 4 types of products in our case, when O/S is smaller than 0.5, RW and LWs would carry nearly 100% SKUs, none by SW. With the increasing of O/S, SW would carry more SKUs especially for cloths and AP; when O/S is equal to 0.9, SW carry over 98% of SKUs, and RW and LWs carry very few SKUs, which is reasonable because renting RW and LWs would be not beneficial for most sellers.
Fig. 6.
The percent of SKUs carried in warehouses with O/S increasing
Impacts of time sensitive demand
We observe the impacts of time sensitive demand by changing TS from 0 to 0.7, and setting MPD equal to 100, O/S equal to 0.8. The outcome is shown in Fig. 7. For cloths and cellphone, when TS is equal to zero, most SKUs are carried by SW. With the increase of TS, both RW and LWs will carry most SKUs. TS has no great significant influence on AP and HEA: SW carries most SKUs for AP, and both RW and LWs carry most SKUs for HEA. Besides, we also set O/S is equal to 0.5 for AP to ensure all SKUs have positive profit. The new outcome for AP is shown in Fig. 8. In the condition, AP is similar to cellphone about SKUs distribution. When TS is equal to zero, SW carries 90% of SKUs, RW and LWs carry 8% or 10% of SKUs. With the increase of TS, both RW and LWs carry inventory for over 98% of SKUs.
Fig. 7.
The percent of SKUs carried in warehouses with TS increasing
Fig. 8.

The percent of SKUs carried in warehouses for AP with TS increasing and O/S = 0.5
Managerial insights
Through the sensitivity analyses, we obtain the following strategic managerial insights and answer the questions raised in Sect. 1.
The product profit margin per unit is the critical factor for whether or not a small supplier should rent warehouse space through an OWP: the higher the profit margin, the better to rent warehouse space. Cellphone and HEA have a high profit margin, which is much higher than the cost of renting through an OWP, and therefore the advantages outweigh the cost, even when product demand and time sensitivity are very low.
Product demand is another significant factor considered. With the increase in demand, products with a lower value and smaller volume, such as cloths, will carry more SKUs in LW and increase the warehouse rental because the high demand can justify the warehouse rental.
The effect of time sensitivity is more evident for products with higher profit. Yet even if the sales of these products are not highly sensitive to delivery time, it always seems better to rent OWP than to lose sales. Fresh produce usually has high time sensitivity, because they lose value over the time spent in the supply chain (Blackburn & Scudder, 2009). Thus, even though produce has low profit margins, renting space in LWs and RWs helps sellers gain a competitive advantage by shortening delivery times to consumers.
Inventory in both the SW and the RW was not one of the optimal outcomes under any of the conditions we examined. In other words, if it is beneficial for the seller to rent a RW, then it is also beneficial for them to cease keeping inventory of the same product in the SW simultaneously. Generally, the cost of renting RW is similar to operating a SW, but being closer to consumers is an advantage for the RW. If sellers are hesitant about renting an OWP, we would suggest renting in RW first as a trial, before renting in LWs as well.
Conclusions and future research
We have studied multi-echelon online fulfillment warehouse rent and product allocation using an OWP in an E-commerce supply network. First, we elaborate on a real-world problem in a specific E-commerce context and investigate the underlying supply network structure, processes involved and factors affecting the product allocation decision. Based on this analysis, we then present a model that determines whether renting warehouses is beneficial, and the number of products that should be allocated to a specific warehouse. Our model maximizes the total profit, taking into account sales revenue, transportation cost, warehousing cost, ordering cost, and the time sensitivity of demand. Application of the model to a real-world case demonstrates significant potential for small suppliers to increase profit by renting space in an OWP. In addition, our sensitivity analyses provide managerial insights into multiple-product allocation decisions. The results also provide insights for OWP owners about the potential demand from different types of sellers who take advantage of the supply chain segmentation. Such insights can help enhance competitiveness in an ever-tougher E-commerce market environment.
There are some limitations in our research to be considered when applying the model. Further research can lead to further insights by considering the following:
Multi-period model. Our model assumes all processes involved need to be completed in one period. However, retail practice is repeated at regular intervals and returns usually arrive at warehouses in the next period. Demand can change during or between periods. Future research could focus on a long-term operational model that builds on a tactical approach and allocates products in a multi-period planning horizon.
Stochastic demand. In our research, demand is known and deterministic. Although demand can be forecasted using historical data, there is always some error in the forecast. Extending the model to the situation where the demand follows a stochastic distribution would make it more realistic.
Product combination in ordering. One order frequently contains multiple products from a specific seller, which leads to the multi-product transportation problem (Klose & Drexl, 2005). Future research could consider extending the model to include the effects of multiple products in a single order. The model would be more complex, requiring a more advanced approach to solve it.
Different supply network structures. For example, there is no option for transportation among local warehouses in our model. In reality, local warehouses in the same region are often located near enough to each other to make some transportation among local warehouses practical. Additionally, we assumed that products must return to the warehouse where it is shipped out, but in future research our model could be adjusted to cope with a supply network in which products could be returned to the warehouse that is selected by the seller to maximize profit.
Acknowledgements
This research was supported by Natural Sciences and Engineering Research Council of Canada Discovery grants (RGPIN-2014-03594, RGPIN-2019-07115). The first author is also partially supported by the National Natural Science Foundation of China (71671034).
Footnotes
Publisher's Note
Springer Nature remains neutral with regard to jurisdictional claims in published maps and institutional affiliations.
References
- Agrawal, N. & Smith, S. A., (2015). Multi-location inventory models for retail supply chain management. In: Retail supply chain management (pp. 319–347). New York: Springer.
- Altug MS, Aydinliyim T. Counteracting strategic purchase deferrals: The impact of online retailers’ return policy decisions. Manufacturing and Service Operations Management. 2016;18(3):376–392. doi: 10.1287/msom.2015.0570. [DOI] [Google Scholar]
- Axsäter S, Zhang WF. A joint replenishment policy for multi-echelon inventory control. International Journal of Production Economics. 1999;59(1):243–250. doi: 10.1016/S0925-5273(98)00018-8. [DOI] [Google Scholar]
- Bass FM. The relationship between diffusion rates, experience curves, and demand elasticities for consumer durable technological innovations. Journal of Business. 1980;53:51–67. doi: 10.1086/296099. [DOI] [Google Scholar]
- Berry ST. Airport presence as product differentiation. The American Economic Review. 1990;80(2):394–399. [Google Scholar]
- Blackburn J, Scudder G. Supply chain strategies for perishable products: The case of fresh produce. Production and Operations Management. 2009;18(2):129–137. doi: 10.1111/j.1937-5956.2009.01016.x. [DOI] [Google Scholar]
- Bonifield C, Cole C, Schultz RL. Product returns on the internet: A case of mixed signals? Journal of Business Research. 2010;63(9–10):1058–1065. doi: 10.1016/j.jbusres.2008.12.009. [DOI] [Google Scholar]
- Bretthauer KM, Mahar S, Venakataramanan M. Inventory and distribution strategies for retail/e-tail organizations. Computers and Industrial Engineering. 2010;58(1):119–132. doi: 10.1016/j.cie.2009.09.005. [DOI] [Google Scholar]
- Chan AK, Chen HY, Zhao L. JD.com: Leveraging the edge of e-business. Emerald Emerging Markets Case Studies. 2018;8(3):1–30. doi: 10.1108/EEMCS-06-2016-0109. [DOI] [Google Scholar]
- Chen Y, Zhang Q, Chen S, Wan Z. Chinese third-party shipping internet platforms: Thriving and surviving in a two-sided market (2013–2016) Transport Policy. 2019;82(Oct.):117–126. doi: 10.1016/j.tranpol.2018.10.003. [DOI] [Google Scholar]
- Clark AJ, Scarf H. Optimal policies for a multi-echelon inventory problem. Management Science. 1960;6(4):475–490. doi: 10.1287/mnsc.6.4.475. [DOI] [Google Scholar]
- de Araújo AC, Matsuoka EM, Ung JE, Massote A, Sampaio M. An exploratory study on the returns management process in an online retailer. International Journal of Logistics Research and Applications. 2018;21(3):345–362. doi: 10.1080/13675567.2017.1370080. [DOI] [Google Scholar]
- De Koster R, Le-Duc T, Roodbergen KJ. Design and control of warehouse order picking: A literature review. European Journal of Operational Research. 2007;182(2):481–501. doi: 10.1016/j.ejor.2006.07.009. [DOI] [Google Scholar]
- Domingues ML, Reis V, Macário R. A comprehensive framework for measuring performance in a third-party logistics provider. Transportation Research Procedia. 2015;10:662–672. doi: 10.1016/j.trpro.2015.09.020. [DOI] [Google Scholar]
- Fay S, Xie J. Timing of product allocation: Using probabilistic selling to enhance inventory management. Management Science. 2014;61(2):474–484. doi: 10.1287/mnsc.2014.1948. [DOI] [Google Scholar]
- Grahl J, Minner S, Dittmar D. Meta-heuristics for placing strategic safety stock in multi-echelon inventory with differentiated service times. Annals of Operations Research. 2016;242(2):489–504. doi: 10.1007/s10479-014-1635-1. [DOI] [Google Scholar]
- Gu YJ. The third-party logistics service quality assessment and promotion strategy research based on electric business. Value Engineering. 2017;29:52–59. [Google Scholar]
- Guerriero F, Musmanno R, Pisacane O, Rende F. A mathematical model for the multi-levels product allocation problem in a warehouse with compatibility constraints. Applied Mathematical Modelling. 2013;37(6):4385–4398. doi: 10.1016/j.apm.2012.09.015. [DOI] [Google Scholar]
- Gupta M, Tiwari S, Jaggi CK. Retailer’s ordering policies for time-varying deteriorating items with partial backlogging and permissible delay in payments in a two-warehouse environment. Annals of Operations Research. 2020;295:139–161. doi: 10.1007/s10479-020-03673-x. [DOI] [Google Scholar]
- Gümüs AT, Güneri AF. Multi-echelon inventory management in supply chains with uncertain demand and lead times: Literature review from an operational research perspective. Proceedings of the Institution of Mechanical Engineers, Part B: Journal of Engineering Manufacture. 2007;221(10):1553–1570. doi: 10.1243/09544054JEM889. [DOI] [Google Scholar]
- Gümüş M, Li S, Oh W, Ray S. Shipping fees or shipping free? A tale of two price partitioning strategies in online retailing. Production and Operations Management. 2013;22(4):758–776. doi: 10.1111/j.1937-5956.2012.01391.x. [DOI] [Google Scholar]
- Guo C, Li X. A multi-echelon inventory system with supplier selection and order allocation under stochastic demand. International Journal of Production Economics. 2014;151:37–47. doi: 10.1016/j.ijpe.2014.01.017. [DOI] [Google Scholar]
- Holzapfel A, Kuhn H, Sternbeck MG. Product allocation to different types of distribution center in retail logistics networks. European Journal of Operational Research. 2018;264(3):948–966. doi: 10.1016/j.ejor.2016.09.013. [DOI] [Google Scholar]
- Johnson ME, Whang S. E-business and supply chain management: An overview and framework. Production and Operations Management. 2002;11(4):413–423. doi: 10.1111/j.1937-5956.2002.tb00469.x. [DOI] [Google Scholar]
- Keh HT, Shieh E. Online grocery retailing: Success factors and potential pitfalls. Business Horizons. 2001;44(4):73–73. doi: 10.1016/S0007-6813(01)80050-1. [DOI] [Google Scholar]
- Klose A, Drexl A. Facility location models for distribution system design. European Journal of Operational Research. 2005;162(1):4–29. doi: 10.1016/j.ejor.2003.10.031. [DOI] [Google Scholar]
- Kuhn H, Sternbeck MG. Integrative retail logistics: An exploratory study. Operations Management Research. 2013;6(1–2):2–18. doi: 10.1007/s12063-012-0075-9. [DOI] [Google Scholar]
- Leong CML, Pan SL, Newell S, Cui L. The emergence of self-organizing E-commerce ecosystems in remote villages of China: A tale of digital empowerment for rural development. Mis Quarterly. 2016;40(2):475–484. doi: 10.25300/MISQ/2016/40.2.11. [DOI] [Google Scholar]
- Li Y, Xu L, Choi TM, Govindan K. Optimal advance-selling strategy for fashionable products with opportunistic consumers returns. IEEE Transactions on Systems, Man, and Cybernetics: Systems. 2014;44(7):938–952. doi: 10.1109/TSMC.2013.2280558. [DOI] [Google Scholar]
- Lim H, Yoo EH, Park M. Warehouse rental market segmentation using spatial profile regression. Journal of Transport Geography. 2018;73(DEC):64–74. doi: 10.1016/j.jtrangeo.2018.10.007. [DOI] [Google Scholar]
- Lovell A, Saw R, Stimson J. Product value-density: Managing diversity through supply chain segmentation. The International Journal of Logistics Management. 2005;16(1):142–158. doi: 10.1108/09574090510617394. [DOI] [Google Scholar]
- Ma S. Fast or free shipping options in online and Omni-channel retail? The mediating role of uncertainty on satisfaction and purchase intentions. The International Journal of Logistics Management. 2017;28(4):1099–1122. doi: 10.1108/IJLM-05-2016-0130. [DOI] [Google Scholar]
- Meyer S, Schiller D, Diez JR. The localization of electronics manufacturing in the greater pearl river delta, China: Do global implants put down local roots? Applied Geography. 2012;32(1):119–129. doi: 10.1016/j.apgeog.2010.11.021. [DOI] [Google Scholar]
- Min H, Ko HJ, Ko CS. A genetic algorithm approach to developing the multi-echelon reverse logistics network for product returns. Omega. 2006;34(1):56–69. doi: 10.1016/j.omega.2004.07.025. [DOI] [Google Scholar]
- Palaka K, Erlebacher S, Kropp DH. Lead-time setting, capacity utilization, and pricing decisions under lead-time dependent demand. IIE Transactions. 1998;30(2):151–163. doi: 10.1080/07408179808966447. [DOI] [Google Scholar]
- Pan F, Nagi R. Multi-echelon supply chain network design in agile manufacturing. International Journal of Management Science. 2013;41(6):969–983. [Google Scholar]
- Ray S, Jewkes EM. Customer lead time management when both demand and price are lead time sensitive. European Journal of Operational Research. 2004;153(3):769–781. doi: 10.1016/S0377-2217(02)00655-0. [DOI] [Google Scholar]
- Ren S, Choi T, Lee K, Lin L. Intelligent service capacity allocation for cross-border-E-commerce related third-party-forwarding logistics operations: A deep learning approach. Transportation Research Part E Logistics and Transportation Review. 2020;134:101834. doi: 10.1016/j.tre.2019.101834. [DOI] [Google Scholar]
- Shang G, Pekgün P, Ferguson M, Galbreth M. How much do online consumers really value free product returns? Evidence from eBay. Journal of Operations Management. 2017;53:45–62. doi: 10.1016/j.jom.2017.07.001. [DOI] [Google Scholar]
- Shankar R, Bhattacharyya S, Choudhary A. A decision model for a strategic closed-loop supply chain to reclaim end-of-life vehicles. International Journal of Production Economics. 2018;195:273–286. doi: 10.1016/j.ijpe.2017.10.005. [DOI] [Google Scholar]
- Smith, J. (2019). E-Commerce driving bigger demand for smaller warehouses, CBRE says. The Wall Street Journal, Logistics Report, Oct. 10, 2019.
- Tiwari S, Jaggi CK, Bhunia AK, Shaikh AA, Goh M. Two-warehouse inventory model for non-instantaneous deteriorating items with stock-dependent demand and inflation using particle swarm optimization. Annals of Operations Research. 2017;254(1–2):401–423. doi: 10.1007/s10479-017-2492-5. [DOI] [Google Scholar]
- Tsiakis P, Papageorgiou LG. Optimal production allocation and distribution supply chain networks. International Journal of Production Economics. 2008;111(2):468–483. doi: 10.1016/j.ijpe.2007.02.035. [DOI] [Google Scholar]
- Tan WK, Yifei Z, Zhang D, Hilmola OP. State of third party logistics providers in China. Industrial Management and Data Systems. 2014;114(9):1322–1343. doi: 10.1108/IMDS-06-2014-0179. [DOI] [Google Scholar]
- Wu, G. M. (2016). Build cross-border E-commerce “Overseas warehouse” platform effectively. In: 2016 2nd International conference on social science and technology education (ICSSTE 2016), Atlantis Press.
- Yu JCP. Optimizing a two-warehouse system under shortage backordering, trade credit, and decreasing rental conditions. International Journal of Production Economics. 2019;209:147–155. doi: 10.1016/j.ijpe.2018.06.003. [DOI] [Google Scholar]
- Zhou S. Logistics bottleneck of online retail industry in China. Journal of Supply Chain and Operations Management. 2013;11(2):1–11. [Google Scholar]




