Abstract
Background:
Disruption of metabolic and bioenergetic homeostasis related to mitochondrial dysfunction is a key driver of aging biology. Therefore, targeting mitochondrial function would be a rational approach to slowing aging. Elamipretide (Elam, a.k.a. SS-31) is a peptide known to target mitochondria and suppress mammalian signs of aging. The present study was designed to examine the phenotypic effects of long-term Elam treatment on aging in C57BL/6 mice starting at 18 months of age.
Methods:
Mice were fed regular chow (RC diet) or a diet high in fat and sugar (HF diet) and treated with 3 mg/kg of Elam or saline subcutaneously 5 days per week for 10 months. Physiological performance assessments were conducted at 28 months of age.
Results:
Elam improved the physical performance of males but not females, while in females Elam improved cognitive performance and enhanced the maintenance of body weight and fat mass. It also improved diastolic function in both males and females, but to a greater extent in males. The HF diet over 10 months had a negative effect on health span, as it increased body fat and decreased muscle strength and heart function, especially in females.
Conclusions:
Elam enhanced healthy aging and cardiac function in both male and female mice, although the specific effects on function differed between sexes. In females, the treatment led to better cognitive performance and maintenance of body composition, while in males, performance on a rotating rod was preserved. These overall observations have translational implications for considering additional studies using Elam in therapeutic or preventive approaches for aging and age-related diseases.
Keywords: Aging, mitochondria, elamipretide, C57BL/6 mice, high fat and sugar diet
Introduction
Enhancing mitochondrial function can delay or reverse some of the untoward effects of aging by targeting metabolic and bioenergetic processes [1, 2, 3]. Several reports have focused on mitochondrial-targeted catalase, a reactive oxygen species (ROS) scavenger that was found to be protective of a number of aging phenotypes [4, 5, 6, 7]. These studies led to a more translational pharmacotherapeutic approach involving the peptide elamipretide (Elam), previously known as SS-31 or MTP-131 [8]. Elam has been found to reverse mitochondrial dysfunction associated with aging. It has now been shown that Elam can reverse the preexisting loss of function in multiple organ systems of aging mice, including skeletal muscle, heart, and brain [7, 9, 10], organs with the greatest energy demands. Progress on understanding how to deliver these benefits in clinical settings could substantially enhance the human health span, as loss of cardiac and skeletal muscle function, and cognitive impairment are great contributors to frailty in the elderly, resulting in numerous lifestyle consequences, including increased susceptibility to inactivity, social isolation, and falls.
Healthspan is the length of life during which one is generally healthy and free from serious disease. Importantly, the end of the health span limits the ability to perform regular activities of daily living and signals a progression to frailty and inability to maintain a high quality of life. It is becoming increasingly evident that lifespan and health span are not necessarily correlated [11, 12, 13], creating substantial social and economic consequences. Therefore, the overall goal is to achieve an extended health span along with an extended lifespan. In mice, health span is determined by the onset of pathology and loss of physiologic performance. Increasing age and unhealthy diets are strongly associated with susceptibility to metabolic conditions such as obesity, diabetes, dyslipidemia, and liver disease, as well as comorbid conditions such as heart disease, cancer, infertility, neurodegeneration, and deficits in cognitive and executive functioning. With the growing elderly population and the increasingly early age of exposure to unhealthy diets that increase susceptibility to later-onset metabolic disease, there is an urgent and unmet need to understand the long-term consequences of pathologic changes during high-risk diet exposure, as well as preventive and treatment-related approaches.
The efficacy of Elam has been previously described in studies of mice, rats, pigs, sheep, guinea pigs, and rabbits [8]. Several phases I studies have also found Elam to be safe and well tolerated in healthy human subjects when administered as an intravenous infusion [14, 15, 16]. However, previous studies have been relatively short-term in nature, with some studies in mice lasting as long as two months using subcutaneous infusion pumps. We report here on the extended health span effects of subcutaneous Elam in mice treated 5 days per week, over a 10-month period starting at 18 months of age.
Methods
Animals and Elamipretide treatment
C57BL/6 male and female mice were obtained from the National Institute on Aging aged rodent colony at 18 months of age. Mice were group housed in a specific pathogen-free facility at the University of Washington under a 12-hour light and 12-hour dark cycle with a room temperature of 25 ± 4°C and reverse osmosis water in an automatic watering system. Body weight was measured weekly. Lean mass and fat mass were measured monthly by quantitative magnetic resonance imaging (EchoMRI). Blood glucose (CONTOUR®NEXT EZ meter) was tested from tail vein blood monthly. Food consumption in the first week of each month was recorded. All studies were approved by the University of Washington IACUC, protocol 2174–23. Elam was obtained from Stealth BioTherapeutics (Needham, MA). Mice were given 3 mg/kg Elam, or an equal volume of saline, subcutaneously 5 days per week, starting at 18 months of age and ending at 28 months of age (i.e., 10 months duration).
Diet
Mice were acclimated to their new environment for two weeks to avoid the stress that could potentially confound the results, then randomly assigned to a high fat, high sucrose (HF), or regular chow (RC) diet. The HF diet was obtained from Bioserv (S1850 Mouse Diet, Paste, Gamma Irradiated) and contained lard, sucrose, casein, maltodextrin, and a vitamin-mineral mixture with 20% protein, 36% carbohydrate, 36% fat, and 0% fiber. The RC diet (Picolab Rodent Diet 20, 5053, irradiated) consisted of corn, soybean, wheat, fish meal, and vitamin-mineral mixture with 20% protein, 65% carbohydrate, 11% fat, and 8% fiber. The caloric differences in the two diets are provided in Table 1. Each respective diet was placed in a wide-mouthed, flat-bottom porcelain container on the cage floor at a volume of 200 gm per cage and replenished weekly for 10 months. Caloric intake was determined monthly by multiplying the average daily amount of food consumed per mouse in each cage over 3 days by the Kcal per g (gram) of the respective diet received.
Table 1.
Dietary caloric values. The fat macronutrient added more caloric value to the high fat (HF) diet compared to the regular chow (RC) diet.
| Macronutrient component | HF diet Kcal/g | RC diet Kcal/g |
|---|---|---|
| Carbohydrate | 1.48 (all from sucrose) |
1.91 |
| Protein | 0.82 | 0.76 |
| Fat | 3.24 | 0.41 |
| Total | 5.54 | 3.07 |
Physical and behavioral assessments
Mice were put under 2% isoflurane anesthesia and tested for cardiac function before starting the study (baseline), at the midpoint (5 months after starting the study), and then again at the end of the 10-month feeding period when mice were 28 months of age. However, echocardiography was not able to be done in female mice at the last time point (after 10 months when mice were 28 months of age) because of laboratory access (COVID-19 restrictions). The Siemens Acuson CV-70 system was used with standard imaging planes, including M-mode conventional and Tissue Doppler imaging [17].
All other assessments were conducted at the end of the 10-month treatment period, when mice were 28 months old, with at least 2 days between each test, including grip strength, rotarod, and spatial navigation learning task. For grip strength, mice were stretched on a force meter rod [18] using their forelimb and pulled by the tail until the grasp was broken. Mice were tested 5 consecutive times, and the maximum force was recorded. For the rotarod test [19], mice were placed on a rotating rod with an increasing rate of acceleration, and their latencies to fall were recorded. Mice were tested one time for acclimatization and then three times on the second day. A spatial navigation task designated as the Box maze was used to assess changes in learning impairment [20]. Mice were placed in a square box with seven blocked exits and one escape hole leading to a dark non-stressful cage. In each trial, mice were given 120 seconds to escape. Mice were tested in four consecutive trials, and their escape times were recorded.
In vivo muscle function
Maximal torque and fatigue of ankle plantar flexors were performed as described [21] using an Aurora Scientific 305C servomotor (Aurora, Ontario, Canada). Briefly, each mouse was anesthetized with isoflurane (4% for induction and ~2% for maintenance) and laid on its side on a temperature-controlled platform maintained at 37°C. The right knee was clamped in place and the foot was secured to a footplate with the ankle positioned at 90°. The tibial nerve was stimulated with a Grass Instruments S88X stimulator (Astro-Med, Inc., West Warwick, Rhode Island, USA) at an optimal voltage (1.5 V) using percutaneous electrodes. Maximal tetanic torque was assessed by a force-frequency curve, where the muscle was stimulated every other minute at frequencies from 10 Hz to 200 Hz. Maximal tetanic torque was assessed at baseline and study endpoint. Muscle fatigue was assessed at the endpoint. After two minutes of rest following force frequency, fatigue was induced by repeated contractions (100 Hz) every 5 seconds for 120 contractions. Fatigue was assessed by the ratio of torque of the last contraction to the initial contraction (% initial). Analyses of muscle contractions were performed using DMA software (Aurora, ON) to quantify torque.
Statistical analysis
Significance analysis was done by students via T-test and one- and two-way ANOVA. Mean values ± standard error of the mean (SEM) were used. Statistical difference was identified as p ≤ 0.05.
Results
Elamipretide treatment altered body composition and caloric intake in a sex- and diet-dependent manner
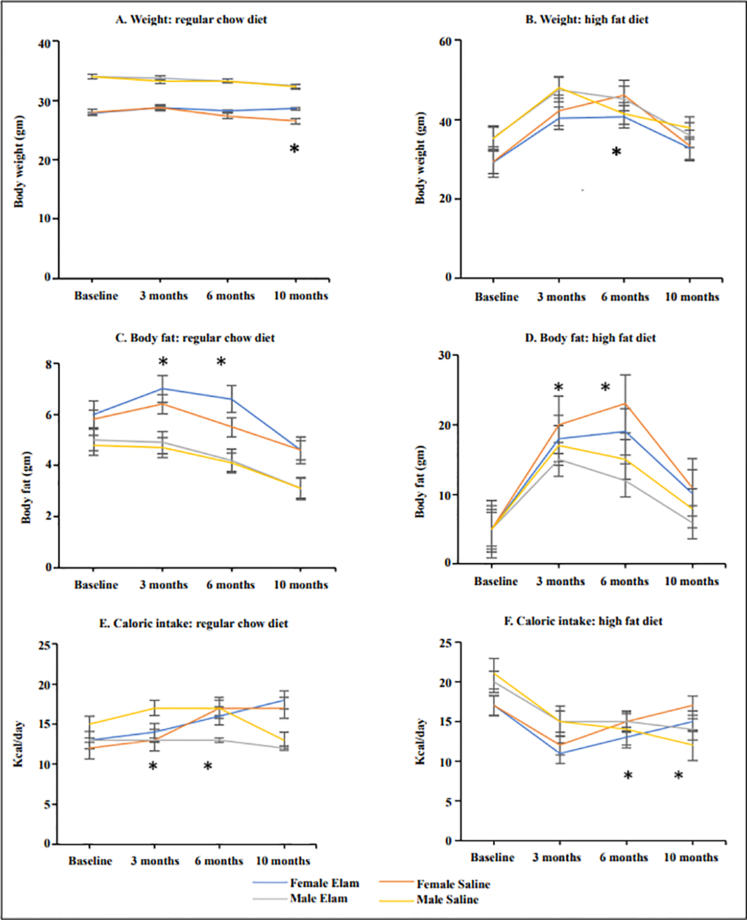
Female mice fed the RC diet and treated with Elam maintained body weight throughout the 10-month study, while those in the saline group lost weight (Figure 1A). There was no difference in body weight observed in males. All groups (males and females, Elam- and saline-treated) fed HF diet showed an increase in body weight after three months (Figure 1B). After six months on the HF diet, Elam-treated female mice maintained the same body weight they attained at three months, whereas body weight in saline-treated female mice continued to increase (Figure 1B). At the end of 10 months, body weight was decreased to near baseline levels in all cohorts. Changes in body fat mirrored changes in body weight, except for earlier in the study period (Figure 1D). Elam prevented the decrease in body fat in female mice fed the RC diet and the increase in body fat in females fed the HF diet (Figure 1C, 1D). Elam treatment had no effect on body fat in males fed either diet.
Figure 1.

Mice treated with Elamipretide for 10 months showed selected alterations in body conformation and caloric intake. (A). Body weight in mice fed regular chow diet; (B). Body weight in mice fed high-fat diet; (C). Body fat in mice fed regular chow diet; (D). Body fat in mice fed high-fat diet; (E). Caloric intake in mice fed regular chow diet; (F). Caloric intake in mice fed a high-fat diet. N = 9–14/cohort; *p ≤ 0.05.
Changes in caloric intake were also different in the two sexes. Male mice treated with Elam and fed RC diet maintained a constant caloric intake over the 10-month study, while treatment with saline resulted in increased caloric intake through 6 months, which then decreased back toward baseline levels at 10 months (Figure 1E). Caloric intake for females fed the RC diet gradually increased over 10 months with no treatment effect. Interestingly, both males and females fed the HF diet had a significant decrease in caloric intake over the first three months of the study regardless of treatment, and this continued in males, but females showed an increase over the remaining study period (Figure 1F).
Elamipretide enhanced physical performance in males but not females
Physical performance was assessed by grip strength and rotarod tests, as well as plantarflexion torque and fatigue. Elam treatment had no effect on grip strength in either males or females fed RC diet (Figure 2A). HF diet decreased grip strength in both males and females; however, Elam treatment resulted in significant improvements in grip strength in males, which approached test levels seen in males fed RC diet. Male mice treated with Elam and fed an RC diet were able to stay on the rotating rod longer than saline-treated animals, but no effect was seen in females (Figure 2B). The differences seen in these two tests were not related to changes in lean muscle mass, as this was not altered in any of the cohorts over the study period as determined by QMRI (data not shown). It is of interest to note that Elam treatment in males had no effect on body fat, so the increase in grip strength and rotarod agility may be associated with other metabolic or nonmetabolic factors.
Figure 2.

Male mice but not female mice treated with Elamipretide for 10 months showed enhanced physical performance. (A). Grip strength test results, N=8–17/cohort; (B). Rotarod test results, N=8–16/cohort; (C). Loss in maximal plantarflexion torque, N = 4–14/cohort; Female HF and Elam HF N=4/cohort; (D). Plantarflexion fatigue, N=3–14/cohort; Female Elam HF N=4 and HF N=3. *p ≤ 0.05.
The loss in maximal torque of plantar flexors was tested by stimulating the tibial nerve using electrodes in anesthetized animals. Maximal torque of plantar flexors was not affected by diet or Elam treatment. However, females had a greater decline in maximal torque throughout the 10-month intervention period compared to males. Fatigue of plantar flexors was assessed by the torque of the final contraction compared to the initial contraction and was also not affected by diet or Elam treatment.
Elamipretide prevented cognitive decline in females but not males
The Box maze is a spatial navigation task that is used to assess the ability to learn new tasks with increasing age by measuring the time it takes to find an escape hole in a novel environment [20]. Female mice treated with Elam and fed RC diet were able to find the escape hole more quickly in trials 3 and 4 compared to mice treated with saline (Figure 3A), indicating improved cognitive ability. Female mice fed HF diet and treated with Elam also found the escape hole more quickly than saline-treated mice but only at trial 4, suggesting that Elam may be less effective in improving age-related cognitive decline under conditions of metabolic stress. Elam treatment in males fed either diet had no effect on cognitive function (Figure 3B).
Figure 3.

Female mice but not male mice treated with Elamipretide for 10 months showed improved cognition. (A). Female spatial navigation task results, N=8–13/cohort; (B). Male spatial navigation task results, N=11–17/cohort. *p ≤ 0.05.
Elamipretide enhanced selective parameters of cardiac function
Echocardiography was used to assess three aspects of cardiac health: diastolic function, myocardial performance index (MPI), and left ventricular mass (LVM). Diastolic function is measured by Ea/Aa, the ratio between the early (E) and late (A) diastolic filling velocities, with increased values indicating improved diastolic performance [22]. MPI is an indication of the proportion of the cardiac cycle in which no volume change occurs. An increase in this parameter indicates reduced performance. LVM measures changes in muscle mass of the left ventricle, the major compartment for pumping oxygenated blood to systemic organs and the brain. Increased LVM would suggest cardiac hypertrophy, either due to increased functional demand or pathological conditions specifically within the heart or in combination with other organs.
Male mice fed RC diet and treated with Elam showed enhanced diastolic function, i.e., increased Ea/Aa, at the 5-month midpoint (23 months old) and 10-month endpoint of the study (28 months old) compared to males treated with saline, where Ea/Aa values were unchanged over time (Figure 4A), consistent with our previous studies [9]. In male mice fed HF diet, diastolic function decreased at the end of the study with saline treatment, while this negative effect was prevented in males treated with Elam. For females, echocardiography was performed only at baseline and the 5-month midpoint because of COVID19 restrictions in place at the study endpoint. Diastolic function declined with age at the midpoint in female mice fed either diet and this decline was prevented in both diet cohorts treated with Elam but not saline (Figure 4B).
Figure 4.

Parameters of cardiac function were assessed by echocardiography. (A) and (B). Diastolic function measured as Ea/Aa values in males and females, respectively; (C) and (D). Myocardial performance index (MPI) values in males and females, respectively; (E) and (F). Left ventricular mass (LVM) values in males and females, respectively. N = 7–13/cohort; *p ≤ 0.05.
For the other two cardiac parameters, MPI increased significantly at the 10-month endpoint in male mice fed HF diet and treated with saline (Figure 4C). This increase was prevented by Elam treatment. No changes were seen over time in males fed RC diet treated with either Elam or saline. In females fed HF diet and treated with Elam, MPI at the 5-month midpoint showed a decrease, i.e., improvement (Figure 4D). No changes in MPI were seen in females fed RC diet and treated with Elam. For LVM measurements, no effect was seen with Elam treatment in males or females on either diet (Figures 4E and 4F). However, the HF diet did increase LVM at the 5-month midpoint in females and the 10-month endpoint in males.
Discussion
C57BL/6 mice treated with Elam for 10 months starting at 18 months of age and ending at 28 months of age showed selective delays in aging depending on sex, diet, and individual organs as determined by physiological performance tests. Elam-treated females were more responsive to maintaining body weight and fat mass homeostasis as well as improved cognitive performance than Elam-treated males, which showed increased physical performance. Mice that were metabolically stressed with a diet high in fat and sugar and treated with Elam, in general, showed similar but non-significant responses.
Elam is known to target and improve mitochondrial function, which, in turn, has been shown to improve resilience to aging in organ systems such as cardiac and skeletal muscle [9, 21]. This is supported in our study since Elam enhanced diastolic function in the heart in both sexes. In other studies, Elam has been shown to enhance heart function by improving left ventricle (LV) function, improving the rate of ATP synthesis, and reducing ROS formation [23, 24]. Elam interacts with cardiolipin and proteins on the inner mitochondrial membrane to enhance membrane structure and ATP production while decreasing mitochondrial oxidative stress in dysfunctional mitochondria [25, 26, 27]. One such interaction, with the adenine nucleotide transporter, has been demonstrated to reduce proton leak in aged cardiomyocytes [28]. This then improves energy production, which is linked to heart function. HF diets can cause an increase in triacylglycerol (TG) in cardiac myocytes where TG regulates fatty acid oxidation that feeds mitochondrial ATP production [29]. An excess of TG causes a dysregulation of this process, which can cause energy starvation and is linked to heart failure, potentially through elevated oxidant production and redox stress. Since Elam targets the mitochondrial inner membrane and the ATP production process, there would be an expectation that it should alleviate the negative effects of an HF diet on cardiac function [30]. The improved diastolic function and positive effect on MPI values support this hypothesis. It is important to note that the positive results may be affected by selection bias, with the least healthy mice dying during the 10-month study. This is especially important to consider for the female mice where we were not able to collect 10-month cardiac data. In contrast, the data for cardiac function showed no significant effect of Elam treatment on LVM measure of hypertrophy, although the HF led to elevated hypertrophy in the female mice.
Elam also had a positive effect on physical performance, increasing age-related muscle strength and agility, as shown by grip strength and rotarod data. This is supported by several studies as Elam is known to counter age-related muscle fatigue and reverse the mitochondrial deficits of ATP production in skeletal muscle [3]. Interestingly, our data only supports this for male mice, with no difference in physical performance between Elam and control-treated female mice; even though Elam has been shown in past studies to improve exercise tolerance in females as well as males [9, 21]. Since Elam treatment helped stabilize body weight and fat gain in females but not males, it would be expected that stabilization of fat would lead to a positive effect on muscle performance in females, but no such effect was observed. Instead, Elam treatment only had a positive effect on the grip strength of males fed the HF diet. Despite previous reports demonstrating increased muscle fatigue resistance in aged mice with Elam treatment, in this study there was no significant effect on fatigue or force production in electrically stimulated muscle [7]. An important difference is that in the present study Elam was administered by daily SC injections 5 days/week, while the previous work demonstrating improved fatigue resistance used continuous delivery for 8 weeks with a subcutaneous osmotic pump. The difference between the positive effects observed on complex whole-body function compared to skeletal muscle-specific assays supports an interpretation where reducing mitochondrial dysfunction throughout the body may cause subtle effects on multiple physiological systems (e.g. cardiovascular, neuromuscular) that contribute to better performance while the effects on an individual muscle or organ may not be as apparent. Diets high in fat and sugar are known to increase the risk for metabolic conditions such as obesity and insulin resistance. A high-fat diet can lead to an increase in body fat and adipose tissue [31, 32] This increase in body fat correlates with a loss of strength. Our data shows that aging mice fed a long-term diet high in saturated fat and sugar had increased body weight and body fat compared to mice fed regular chow. This could help explain the decreased muscle strength further supporting observations that obesity negatively effects muscle tissue and therefore overall strength. However, our study showed that the HF diet had no effect on how mice performed in the rotarod assay, though other studies have shown that high amounts of adipose tissue have a negative effect on mobility and agility [31].
Elam decreased the susceptibility to cognitive decline in females; however, no difference was seen in males. Elam has been shown in previous studies on male mice to cross the blood-brain barrier but only had a positive effect when a stressor was introduced [33]. In aging female mice, Elam prevented the cognitive impairment caused by short-term sleep disruption, but males were not tested [10]. Having a better understanding of the differences in how Elam effects the aging brain in male and female mice would help to develop studies on how to treat cognitive impairment and dementia in more focused sex-specific approaches.
The overall observations of this study have translational implications for considering additional studies using Elam in therapeutic or preventive approaches for aging and age-related diseases. Sex and organ specificity of Elam in the mouse may be different in humans under long-term treatment conditions, but there should be an awareness that these effects might occur in one form or another and so should be considered in any clinical study design. Gender differences observed in this study may be related to underlying differences in metabolic pathways targeted by Elam in female mice compared to male mice but additional studies are warranted to address this issue. Drugs in combination (cocktails) that target multiple processes of aging have now been shown to be more effective in slowing aging than any individual drug in the cocktail [34], so there is always the possibility of combining Elam with other anti-aging drugs to target a variety of aging pathways.
Financial support and sponsorship:
This study was supported by NIH grants: P01 AG01751 (Rabinovitch, PI); R01 AG057381 (Ladiges, PI).
Footnotes
Conflicts of interest: Warren Ladiges is a member of the Editorial Board of Aging Pathobiology and Therapeutics. The author declares that there are no conflicts.
References
- 1.Liu SZ, Marcinek DJ. Skeletal muscle bioenergetics in aging and heart failure. Heart Fail Rev, 2017, 22(2): 167–178. [DOI] [PMC free article] [PubMed] [Google Scholar]
- 2.Tarantini S, Valcarcel-Ares NM, Yabluchanskiy A, Fulop GA, Hertelendy P, Gautam T, et al. Treatment with the mitochondrial-targeted antioxidant peptide SS-31 rescues neurovascular coupling responses and cerebrovascular endothelial function and improves cognition in aged mice. Aging Cell, 2018, 17(2). [DOI] [PMC free article] [PubMed] [Google Scholar]
- 3.Roshanravan B, Liu SZ, Ali AS, Shankland EG, Goss C, Amory JK, et al. In vivo mitochondrial ATP production is improved in older adult skeletal muscle after a single dose of elamipretide in a randomized trial. PLoS One, 2021, 16(7): e0253849. [DOI] [PMC free article] [PubMed] [Google Scholar]
- 4.Schriner SE, Linford NJ, Martin GM, Treuting P, Ogburn CE, Emond M, et al. Extension of murine life span by overexpression of catalase targeted to mitochondria. Science, 2005, 308(5730): 1909–1911. [DOI] [PubMed] [Google Scholar]
- 5.Treuting PM, Linford NJ, Knoblaugh SE, Emond MJ, Morton JF, Martin GM, et al. Reduction of age-associated pathology in old mice by overexpression of catalase in mitochondria. J Gerontol A Biol Sci Med Sci, 2008, 63(8): 813–822. [DOI] [PubMed] [Google Scholar]
- 6.Lee HY, Choi CS, Birkenfeld AL, Alves TC, Jornayvaz FR, Jurczak MJ, et al. Targeted expression of catalase to mitochondria prevents age-associated reductions in mitochondrial function and insulin resistance. Cell Metab, 2010, 12(6): 668–674. [DOI] [PMC free article] [PubMed] [Google Scholar]
- 7.Siegel MP, Kruse SE, Percival JM, Goh J, White CC, Hopkins HC, et al. Mitochondrial-targeted peptide rapidly improves mitochondrial energetics and skeletal muscle performance in aged mice. Aging Cell, 2013, 12(5): 763–771. [DOI] [PMC free article] [PubMed] [Google Scholar]
- 8.Szeto HH. First-in-class cardiolipin-protective compound as a therapeutic agent to restore mitochondrial bioenergetics. Br J Pharmacol, 2014, 171(8): 2029–2050. [DOI] [PMC free article] [PubMed] [Google Scholar]
- 9.Chiao YA, Zhang H, Sweetwyne M, Whitson J, Ting YS, Basisty N, et al. Late-life restoration of mitochondrial function reverses cardiac dysfunction in old mice. Elife, 2020, 9. [DOI] [PMC free article] [PubMed] [Google Scholar]
- 10.Wu J, Dou Y, & Ladiges WC. Adverse Neurological Effects of Short-Term Sleep Deprivation in Aging Mice Are Prevented by SS31 Peptide. Clocks Sleep, 2020, 2(3): 325–333. [DOI] [PMC free article] [PubMed] [Google Scholar]
- 11.Sierra F, Kohanski R. Geroscience and the trans-NIH Geroscience Interest Group, GSIG. Geroscience, 2017, 39(1): 1–5. [DOI] [PMC free article] [PubMed] [Google Scholar]
- 12.Neff F, Flores-Dominguez D, Ryan DP, Horsch M, Schröder S, Adler T, et al. Rapamycin extends murine lifespan but has limited effects on aging. J Clin Invest, 2013, 123(8): 3272–3291. [DOI] [PMC free article] [PubMed] [Google Scholar]
- 13.Ladiges W, Ikeno Y, Niedernhofer L, McIndoe RA, Ciol MA, Ritchey J, et al. The Geropathology Research Network: An Interdisciplinary Approach for Integrating Pathology Into Research on Aging. J Gerontol A Biol Sci Med Sci, 2016, 71(4): 431–434. [DOI] [PMC free article] [PubMed] [Google Scholar]
- 14.Karaa A, Haas R, Goldstein A, Vockley J, & Cohen BH. A randomized crossover trial of elamipretide in adults with primary mitochondrial myopathy. J Cachexia Sarcopenia Muscle, 2020, 11(4): 909–918. [DOI] [PMC free article] [PubMed] [Google Scholar]
- 15.Butler J, Khan MS, Anker SD, Fonarow GC, Kim RJ, Nodari S, et al. Effects of Elamipretide on Left Ventricular Function in Patients With Heart Failure With Reduced Ejection Fraction: The PROGRESS-HF Phase 2 Trial. J Card Fail, 2020, 26(5): 429–437. [DOI] [PubMed] [Google Scholar]
- 16.Reid Thompson W, Hornby B, Manuel R, Bradley E, Laux J, Carr J, et al. A phase 2/3 randomized clinical trial followed by an open-label extension to evaluate the effectiveness of elamipretide in Barth syndrome, a genetic disorder of mitochondrial cardiolipin metabolism. Genet Med, 2021, 23(3): 471–478. [DOI] [PMC free article] [PubMed] [Google Scholar]
- 17.Dai DF, Santana LF, Vermulst M, Tomazela DM, Emond MJ, MacCoss MJ, et al. Overexpression of catalase targeted to mitochondria attenuates murine cardiac aging. Circulation, 2009, 119(21): 2789–2797. [DOI] [PMC free article] [PubMed] [Google Scholar]
- 18.Ge X, Cho A, Ciol MA, Pettan-Brewer C, Snyder J, Rabinovitch P, et al. Grip strength is potentially an early indicator of age-related decline in mice. Pathobiol Aging Age Relat Dis, 2016, 6: 32981. [DOI] [PMC free article] [PubMed] [Google Scholar]
- 19.Ge X, Ciol MA, Pettan-Brewer C, Goh J, Rabinovitch P, & Ladiges W. Self-motivated and stress-response performance assays in mice are age-dependent. Exp Gerontol, 2017, 91: 1–4. [DOI] [PMC free article] [PubMed] [Google Scholar]
- 20.Darvas M, Mukherjee K, Lee A, & Ladiges W. A Novel One-Day Learning Procedure for Mice. Curr Protoc Mouse Biol, 2020, 10(1): e68. [DOI] [PubMed] [Google Scholar]
- 21.Campbell MD, Duan J, Samuelson AT, Gaffrey MJ, Merrihew GE, Egertson JD, et al. Improving mitochondrial function with SS-31 reverses age-related redox stress and improves exercise tolerance in aged mice. Free Radic Biol Med, 2019, 134: 268–281. [DOI] [PMC free article] [PubMed] [Google Scholar]
- 22.Mottram PM, & Marwick TH. Assessment of diastolic function: what the general cardiologist needs to know. Heart, 2005, 91(5): 681–695. [DOI] [PMC free article] [PubMed] [Google Scholar]
- 23.Sabbah HN, Gupta RC, Kohli S, Wang M, Hachem S, & Zhang K. Chronic Therapy With Elamipretide (MTP-131), a Novel Mitochondria-Targeting Peptide, Improves Left Ventricular and Mitochondrial Function in Dogs With Advanced Heart Failure. Circ Heart Fail, 2016, 9(2): e002206. [DOI] [PMC free article] [PubMed] [Google Scholar]
- 24.Chatfield KC, Sparagna GC, Chau S, Phillips EK, Ambardekar AV, Aftab M, et al. Elamipretide Improves Mitochondrial Function in the Failing Human Heart. JACC Basic Transl Sci, 2019, 4(2): 147–157. [DOI] [PMC free article] [PubMed] [Google Scholar]
- 25.Birk AV, Liu S, Soong Y, Mills W, Singh P, Warren JD, et al. The mitochondrial-targeted compound SS-31 reenergizes ischemic mitochondria by interacting with cardiolipin. J Am Soc Nephrol, 2013, 24(8): 1250–1261. [DOI] [PMC free article] [PubMed] [Google Scholar]
- 26.Chavez JD, Tang X, Campbell MD, Reyes G, Kramer PA, Stuppard R, et al. Mitochondrial protein interaction landscape of SS-31. Proc Natl Acad Sci U S A, 2020, 117(26): 15363–15373. [DOI] [PMC free article] [PubMed] [Google Scholar]
- 27.Mitchell W, Ng EA, Tamucci JD, Boyd KJ, Sathappa M, Coscia A, et al. The mitochondria-targeted peptide SS-31 binds lipid bilayers and modulates surface electrostatics as a key component of its mechanism of action. J Biol Chem, 2020, 295(21): 7452–7469. [DOI] [PMC free article] [PubMed] [Google Scholar]
- 28.Zhang H, Alder NN, Wang W, Szeto H, Marcinek DJ, & Rabinovitch PS. Reduction of elevated proton leak rejuvenates mitochondria in the aged cardiomyocyte. Elife, 2020, 9. [DOI] [PMC free article] [PubMed] [Google Scholar]
- 29.Kienesberger PC, Pulinilkunnil T, Nagendran J, & Dyck JR. Myocardial triacylglycerol metabolism. J Mol Cell Cardiol, 2013, 55: 101–110. [DOI] [PubMed] [Google Scholar]
- 30.Steggall A, Mordi IR, & Lang CC. Targeting Metabolic Modulation and Mitochondrial Dysfunction in the Treatment of Heart Failure. Diseases, 2017, 5(2). [DOI] [PMC free article] [PubMed] [Google Scholar]
- 31.Addison O, Marcus RL, Lastayo PC, & Ryan AS. Intermuscular fat: a review of the consequences and causes. Int J Endocrinol, 2014, 2014: 309570. [DOI] [PMC free article] [PubMed] [Google Scholar]
- 32.Messa GAM, Piasecki M, Hurst J, Hill C, Tallis J, & Degens H. The impact of a high-fat diet in mice is dependent on duration and age, and differs between muscles. J Exp Biol, 2020, 223(Pt 6). [DOI] [PMC free article] [PubMed] [Google Scholar]
- 33.Zhao W, Xu Z, Cao J, Fu Q, Wu Y, Zhang X, et al. Elamipretide (SS-31) improves mitochondrial dysfunction, synaptic and memory impairment induced by lipopolysaccharide in mice. J Neuroinflammation, 2019, 16(1): 230. [DOI] [PMC free article] [PubMed] [Google Scholar]
- 34.Jiang Z, Wang J, Imai D, Snider T, Klug J, Mangalindan R, et al. Short term treatment with a cocktail of rapamycin, acarbose and phenylbutyrate delays aging phenotypes in mice. Sci Rep, 2022, 12(1): 7300. [DOI] [PMC free article] [PubMed] [Google Scholar]
