Abstract
Original work showed the composition of the dyes and the antimicrobial/UV protective properties of a series of dyes obtained in our laboratories over the past twelve years in an easy way using microwave technology and their comparisons with conventional methods. The results we obtained clearly indicated that by using the microwave strategy, we were able to synthesize the new disperse dyes in minutes and with a much higher productivity when compared to the traditional methods, which took a much longer time, sometimes up to hours. We also introduced ultrasonic technology in dyeing polyester fabrics at 80 °C for an environmentally friendly approach, which was an alternative to traditional dyeing methods at 100 °C; we obtained a much higher color depth than traditional dyeing methods reaching 102.9%. We presented both the biological activity of the prepared new dyes and the fastness properties and clearly indicated that these dyes possess biological activity and high fastness properties.We presented through the results that when dyeing polyester fabrics with some selected disperse dyes, the color strength of polyester fabrics dyed at high temperatures was greater than the color strength of polyester fabrics dyed at low temperatures by 144%, 186%, 265% and 309%. Finally, we presented that a ZnO or TiO2 NPs post-dyeing treatment of polyester fabrics is promising strategy for producing polyester fabrics possess multifunction like self-cleaning property, high light fastness, antimicrobial and anti-ultraviolet properties.
Keywords: disperse dyes, polyester fabrics, microwave irradiation, ultraviolet protection factor
1. Introduction
Since time immemorial, colors have played a major role in human life, as they are deeply linked to their means of living, their traditions, their ideas, their customs and their concepts. Since the dawn of humanity, man has been fascinated by the diversity of colors; therefore, he has been fascinated by beauty of their many colors, which has had far-reaching effects in his religious, emotional and social life. Azo disperse dyes were the most widely used synthetic dyes of the past decade because of their ease of manufacture and wide application in cosmetics, textile dyeing and printing. It is worth noting that heterogeneous, bright-colored. Azo dyes are widely used for dyeing polyester [1,2,3,4,5,6,7,8,9,10,11,12]. Polyester is one of the polymers containing ester bonds obtained from the polycondensation reaction of diol and dicarboxylic acid (Figure 1) [4].
Figure 1.
Structure of Polyethylene terephthalate.
Polyester (PET) is the most hydrophobic fiber among ordinary fibers, and this fiber is less prone to wrinkling and has excellent washability and abrasion resistance. It is known that the polyester dyeing process is performed by water dyeing using dispersed dyes in the presence of high temperatures and pressures. It is known that azo dyes are widely used in textile dyeing in view of environmental pollution, so azo dyes harm the environment if their effluents are not treated. Among these treatments are modern techniques using ultrasound, infrared, microwaves, and ultraviolet rays to improve the fabric’s absorption capacity for dyes and reduce effluents load from dyeing processes [13,14,15,16,17,18,19,20,21,22,23,24]. Some recent reports [1,2] have used ultrasound energy to improve the dyeing of polyester fabrics when dyeing with disperse dyes by modifying the surface of the fabric. Additionally, some studies [3] confirmed that UV rays can be used to improve the color fastness properties without compromising the chemical properties of polyester fabric. One of the environmentally friendly advantages of using microwave energy is the rapid heating to high temperatures that allows for greater ease of reactions, because increasing the frequency of molecular vibrations during microwave irradiation speeds up these reactions as well as reduces the use of solvents [25,26,27,28,29,30,31,32,33,34,35,36,37,38,39,40,41,42,43,44,45,46,47,48,49,50,51,52,53,54,55,56,57,58,59,60,61,62,63,64,65,66]. Skin cancer and sensitive skin are primarily caused by prolonged exposure to ultraviolet radiation from sunlight. Therefore, the best choice is to locate well-designed clothing composed of ultraviolet-blocking materials. One of the qualities cloth should have is the ability to filter ultraviolet rays, either by containing an ultraviolet absorber or by being dyed, as dyed fabrics offer better sun protection than bleached materials. Therefore, it could be claimed that dyed cloths with darker colors may provide better protection from the Sun rays [1,4]. According to a literature survey, pyrazolopyrimidines, pyridones and enaminones are significant key intermediates in the production of new azo dyes, particularly disperse dyes with numerous biological applications. Because of their facile synthesis, low cost, and great efficacy against bacterial infections, they are now widely employed as antimicrobial agents [4]. In general, the kinds of substituted function present in the heterocyclic ring structure, as well as the form of the heterocyclic system, have a significant impact on the antibacterial activity of the entire molecule. The majority of the matching substituted analogues had stronger antibacterial inhibitory activities that were on par with or better than the reference drugs. A lot of researchers are now interested in creating smart fabrics for human wellbeing. The need to create materials that improve defense against microorganisms such as bacteria or fungi is expanding. Due to their propensity to retain moisture, fabrics can act as transporters and ideal environments for the growth of germs such as bacteria, especially when they come into contact with the human body. Therefore, it is essential to create textiles that are microbe-resistant. To produce smart fabrics, we had to improve the functional performance of polyester fabrics by using nanotechnology. To increase their anti-bacterial and UV-protective properties and to achieve this goal, nanoparticles were used, especially metal oxides and metal nanoparticles. The potential mechanism behind titanium dioxide NPs’ antibacterial action is their photocatalytic function, which results in the generation of extraordinarily active oxygen species, such as super oxide anions, hydrogen peroxide, singlet oxygen, and hydroxyl radicals, which kill bacteria. Due to the presence of the outer cell wall membrane in the G-ve bacteria, which acts as a barrier to the antibacterial action, the NPs-treated polyester fabric demonstrated greater antibacterial activity against G+ve bacteria in companion with G-ve bacteria. In this review article, we present the contributions of our laboratories over the past twelve years using modern technologies such as ultrasound or microwave technology to synthesize many new disperse dyes while demonstrating their biological activities. We will not only present the use of modern technologies such as ultrasound or microwave technology in dyeing polyester fabrics and compare them with traditional dyeing methods but also discuss the process of treating polyester fabrics dyed with ZnO or TiO2 NPs and whether it achieved a UV protection factor, as well as the ability of these polyester fabrics to improve the properties of self-cleaning, light fastness and, antimicrobial activities.
2. Materials
It is true that microwave and/or ultrasound technologies have many uses and unique advantages. However, we should also note that with a better understanding of the physical principles underlying the coupling mechanisms between microwave radiation or ultrasound energy and matter, we may be able to expand the applications of these technologies to cutting-edge scientific applications. In 2011, we formed a research team with the intention of synthesizing novel disperse dyes utilizing microwave heating by reacting hydrazine hydrate 4 with hydrazonocyanoacetate 3 [58]. By combining ethyl cyanoacetate 1 and diazoniun salt 2, hydrazone 3 was formed (Scheme 1) [58,59]. As a result, dye 5 was formed when hydrazone 3 and hydrazine hydrate 4 interacted in ethanol. We found that compound 5 quickly condensed with acetyl acetone 6 to produce the disperse dye 7 under microwave irradiation (c.f. Scheme 1, Figure 2). Compound 5 interacted with enaminones 8a-d through microwave irradiation to create the disperse dyes 9a–d (c.f. Scheme 1, Figure 3).
Scheme 1.
Preparation of pyrazolopyrimidines disperse dyes 7 and 9.
Figure 2.
ORTEP of dye 7.
Figure 3.
ORTEP of compound 9c.
In 2012, we were able to explain the one-pot synthesis of compound 7 with a better outcome using microwave irradiation, using hydrazone 3, hydrazine hydrate 4 and acetyl acetone 6. According to Scheme 1 [58], disperse dye 7 can exist in isomeric forms. We also reported in 2012 [58] that compounds 8a–d, hydrazone 3, and hydrazine hydrate 4 could be easily reacted as one-pot synthesis to synthesize compounds 9a–d (c.f. Scheme 1).
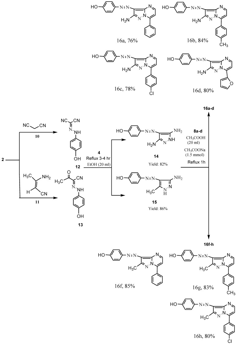
One of the sequences used in the synthesis of the disperse dye 16a–h was the coupling of malononitrile 10 with diazonium salt 2 to generate compound 12. (Scheme 2). An increase in the aryl proton signal resulted from irradiating the hydroxyl signal, according to the Nuclear Overhauser Effect (NOE) measurements [59].
Scheme 2.
Synthesis of compound 16, 19 and 20.
In order to create the disperse dye 14, hydrazine hydrate 4 refluxed with compound 12 [60]. When compound 11 was combined with diazonium salt 2 in the presence of ethyl alcohol/sodium acetate, a high yield of hydrazone 13—85%, was produced. In order to help construct the structure of 13, NOE experiments were conducted. The results demonstrated that irradiating the NH signal at 12.1 ppm induced an amplification of the aryl proton resonances at 7.39 and 6.80 ppm (Scheme 2) [60].
Hydrazone 13 and hydrazine hydrate were combined to create the disperse dye 15 by refluxing the mixture for four hours while adding ethanol as a solvent. According to NOE difference measurements, irradiation of the NH signal at 11.94 ppm corresponding to compound 15 boosted the methyl proton signal at 2.36 ppm. Through refluxing for an hour in the presence of acetic acid and sodium acetate, dyes 14 or 15 easily condensed with the enaminones 8a–d to generate disperse dyes 16a–d or 16f–h (Scheme 2) [60].
It is well known that dye 22 was created by combining different types of diazonium chloride 21 with diketones 23 to create substituted arylazodiketones 24, which may then be condensed with cyanoacetamide derivatives 25 using either a traditional heating method or a microwave heating method [67,68,69,70,71]. (Scheme 3).
Scheme 3.
Synthesis of disperse dyes based on pyridones moieties 22a–i.
On the other hand, the first reaction method for the synthesis of these azo dyes utilized the interaction between diazonium chloride and pyridones. We described a three-component condensation of methyl propionylacetate 17 as -ketoesters, ethyl cyanoacetates 1 and ethyl amines 18 to generate pyridine 19 in 2014 [61] by utilizing microwave irradiation at 160 °C for 20 min. It is important to note that in 2013 [57], we created compound 19 by heating it traditionally for 6 h. Two tautomeric forms, 19 and 20, of this compound readily equilibrated in solution (Scheme 3).
Based on X-ray crystallographic structure determination, pyridine 19 could be combined with different diazonium salts 21 to create the disperse dyes 22a–i that exist in the hydrazone tautomeric form, as shown in Scheme 3. (Figure 4 and Figure 5).
Figure 4.
ORTEP of dye 22b.
Figure 5.
ORTEP of dye 22g.
In 2015 [72,73,74], we were able to produce novel disperse dyes that were safe for the environment. We accomplished this by reacting enaminones 8e and 8f with the phenyl diazonium salt 21a in an acidic medium to produce the disperse dyes 26a and 26b that were 3-oxo-2-(phenylhydrazono)-3-p-arylpropionaldehydes (Scheme 4).
Scheme 4.
Synthesis of compounds 26a,b and 28a–d.
Due to the significance of thiophene molecules and their potent biological activity, numerous researchers have investigated aminothiophene derivatives as azo-disperse dyes in dyeing synthetic fibers [75]. We are aware of no reports of the corresponding arylazothiopyridazines as prospective monochromatic disperse dyes, despite the numerous studies on the efficacy of these compounds in the production of dyes. In 2014, we synthesized some arylazothienopyridazines 28a–d using a straightforward and environmentally friendly conventional method by reacting 7-Amino-4-benzotriazol-1-yl-2-p-tolyl-2H-thieno[3,4-d]pyridazin-1-one 27 with various diazonium salts 21. This work continued the growing interest in the synthesis of arylazothienopyridazinones (Scheme 4) [75].
3. Dyeing
The disperse dyes 5, 7, 9a–d, 14, 15, and 16a–h were used to dye polyester fabrics with hues 2% using microwave heating at 130 °C, producing a range of color shades (Table 1).
Table 1.
K/S of polyester fabrics dyed with synthesized dyes 130 °C.
| Dye | Color Shade on Polyester | Color Strength (K/S) |
Ref. |
|---|---|---|---|
| 5 | Yellowish-orange | 2.12 | [58] |
| 7 | Pale orange | 3.79 | |
| 9a | Dark orange | 5.95 | |
| 9b | Dark orange | 5.81 | |
| 9c | Orange | 4.64 | |
| 9d | Orange | 4.73 | |
| 14 | Yellowish brown | 0.84 | [60] |
| 15 | Pale brown | 4.35 | |
| 16a | Yellow | 9.78 | |
| 16b | Yellow | 15.72 | |
| 16c | Yellow | 14.92 | |
| 16d | Yellowish brown | 21.08 | |
| 16f | Yellowish orange | 23.55 | |
| 16g | Orange | 20.93 | |
| 16h | Orange | 16.52 | |
| 22a | Yellow | 27.39 | [61] |
| 22b | Dark orange | 30.29 | |
| 22c | Orange | 30.28 | |
| 22d | Orange | 8.88 | |
| 22e | Yellow | 28.91 | |
| 22f | Dark Yellow | 28.09 | |
| 22g | Very dark yellow | 27.31 | |
| 22h | Deep greenish yellow | 19.38 | |
| 22i | Orange yellow | 12.63 | |
| 26a | Greenish-yellow | 17.59 | [72] |
| 26b | Yellowish-orange | 16.69 | |
| 28a | Reddish-orange | 10.05 | [75] |
| 28b | Red | 16.03 | |
| 28c | Pink | 7.84 | |
| 28d | Violet | 9.79 |
Color strength was assessed at the maximum wavelength λmax and given as K/S values. The Kubelka–Munk equation was used to perform K/S [1,21].
where R is the decimal fraction of the reflectance of the dyed fabric; R0 is the decimal fraction of the reflectance of the not dyed fabric; K is the absorption coefficient; and S is the scattering coefficient.
The dyes have a good affinity for polyester materials at the stated temperatures of 130 °C, as shown by the color strength values K/S listed in Table 1, giving it brilliant hues. In order to treat the dyeing baths, we decided to reuse the dye bath from the previous study and extend the dyeing time from 60 to 90 min without adding any new dye. It is difficult for the human eye to distinguish the dye’s color constancy after the dye bath was reused.
Additionally, it is evident from the results that the color strength K/S values for the initial dyeing process were 2.12, 3.79, 5.95, 5.81, 4.64 and 4.73, and the K/S values for the subsequent dyeing bath process were 1.67, 3.56, 5.47, 3.49, 3.54 and 3.95. After comparing the K/S values of the two methods, we discovered that the K/S for the second dyeing process had reuse rates of 78.77%, 93.93%, 91.93%, 60.06%, 6.29 and 83.5%. Table 1 makes it very evident that dye 16d yields far stronger colors than dyes 16a–c and 16h. Polyester fabrics were dyed using compounds 22a–i, 26a, 26b and 28a–d at a high pressure, high temperature and 2% shade.
The materials were colored in a variety of hues, from yellow to violet. Following that, the fastness properties of polyester fabrics were used to evaluate the dyeing features of such materials. According to the K/S estimations in Table 1, the 22a–i hues exhibited a significant attraction for polyester materials, and all color strengths were typically positive.
The International Commission on Illumination (CIE) established the CIELAB (Color space) psychometric coordinates in 1976, where L* stands for lightness and (C) for chroma. The information in Table 2 shows that almost all colored polyester fabrics conveyed a similar hue when the dye’s hue was expressed as (h) values. The positive estimates of b* showed that the dyed polyester materials’color hues shifted in a reddish direction [61].
Table 2.
Color strengths of the untreated polyester fabrics *.
| Dye No. |
K/S | λmax | L* | a* | b* | c | h | Ref. |
|---|---|---|---|---|---|---|---|---|
| High temperature dyeing at 130 °C | ||||||||
| 22h | 19.38 | 445 | 76.33 | 4.47 | 93.78 | 93.88 | 87.27 | [63] |
| 22i | 12.63 | 450 | 78.41 | −0.56 | 87.34 | 87.34 | 90.37 | |
| 26a | 17.59 | 410 | 77.22 | −20.37 | 53.94 | 57.66 | 110.69 | [72] |
| 26b | 16.69 | 405 | 67.58 | 9.29 | 61.34 | 62.04 | 81.39 | |
| Low temperature dyeing at 100 °C | ||||||||
| 22h | 4.74 | 445 | 80.06 | −4.58 | 68.35 | 68.51 | 93.83 | [63] |
| 22i | 3.46 | 450 | 80.35 | −5.20 | 61.82 | 62.04 | 94.80 | |
| 26a | 12.21 | 410 | 84.81 | −14.26 | 52.16 | 54.08 | 105.29 | [73] |
| 26b | 8.97 | 405 | 78.08 | −0.21 | 51.20 | 51.21 | 90.23 | |
| US dyeing at 80 °C | ||||||||
| 22h | 9.07 | 445 | 80.58 | −3.80 | 78.86 | 78.92 | 92.24 | [1] |
* Fabrics: bleached 100%polyester fabric (149 g/m2) were supplied by El-Mahalla El-Kobra Company. The fabrics were scoured in an aqueous solution with a liquor ratioof 1:50 containing 2 g/L nonionic detergent solution (Hostapal, Clariant) and 2 g/L Na2 CO3 at 50 °C for 30 min to remove impurities, then rinsed thoroughly in cold tap water and dried at room temperature.Fabric samples (2 g) were introduced into a flask containing a dye bath of 2% (owf) dye shade and Matexil DA-N (supplied by ICI Company, UK) as a dispersing agent (1 g/L) at 130 °C with a 1:20 liquor ratio; during dye bath preparation, the dye was mixed with a few drops of DMF and then mixed with the dispersing agent, and water was added to prepare a homogeneous dispersion of the dye. The pH was adjusted to 4.5 by using acetic acid. The dyeing process was carried out in a microwave oven (Discover [80-mL vessel], CEM) or in a laboratory dyeing machine (Atlas Linitest Plus) for an hour. At the end of the dyeing process, the dyed samples were removed, rinsed in warm water, and subjected to reduction clearing in a solution comprising 2 g l1 of sodium hydrosulphite and 2g/L of sodium hydroxide (caustic soda) for 10 min at 60 °C, with a liquor ratio of 1:40, and the reduction-cleared sample was rinsed thoroughly in water. After rinsing well in cold water and being neutralized with 1 g/L of acetic acid for 5 min at 40 °C, the dyed samples were removed, rinsed in tap water and allowed to dry in the open air. Conventional dyeing: Samples of 100% polyester texture were placed into a container containing 2% disperse dyes 1 or 2 shade, dispersing agent Matexil DA-N, carrier Tanavol EP 2007 at different conventional dyeing temperatures of 80 °C or 100 °C for 1 h. We continued the dyeing method as explained above. Ultrasonic dyeing: Samples of 100% polyester texture were placed into a container containing2% disperse dyes 1 or 2 shade, dispersing agent Matexil DA-N, carrier Tanavol EP 2007 at an 80 °C coloring temperature and a coloring time of 1 h utilizing sonic force level 500 W with wavelength132 kHz (thermostated CREST benchtop 575 HT ultrasonic). The dissolved dye in a few drops of DMF (dimethylformamide) was assorted with Matexil DA-N, then, water was added with liquor ratio 1:50 at pH of 4.5. After the dyeing process, the colored samples were subjected to a reduction clearing process for 15 min at 60 °C.
The total color difference ∆E was measured by using an UltraScan Pro (Hunter Lab, USA) 10° observer with D65 illuminant, d/2 viewing geometry and measurement area of 2 mm. The total color difference ∆E* between the sample and the standard was calculated using the following equation:
where ∆L*, ∆a* and ∆b* are the derivatives of corresponding parameters, respectively
The hues 22e–g were lighter and brighter than the 22b–d because electron-donating groups were included into the benzene ring, which decreased brightness, while electron withdrawing groups improved lightness and brightness.
Dye Uptake
The colorimetric parameter values obtained for the high temperature and low temperature colored polyesters are listed in Table 2, which demonstrates that the high temperature dyed fabrics were darker than the low temperature dyed fabrics. Color strength (K/S) showed the dye uptake. The K/S values for dyes 22h and 22i were 19.38, 12.63, and 4.74 and 3.46, respectively, for materials colored at high and low temperatures. These results show that the dye uptake of fabrics colored at high temperatures was greater than that of materials dyed at low temperatures by 309% and 265%, respectively.
Additionally, the K/S values for dyes 26a and 26b were 17.59, 16.69, and 12.21 and 8.97, respectively, for materials colored at high and low temperatures. These results show that the dye uptake of the materials dyed at high temperatures was more than that of low temperature dyeing by 144% and 186%, respectively. According to the results, high temperature dyeing is an environmentally safe technique since it can lessen the pollution load in colored dye effluents, which would otherwise have a negative impact on the environment.
Furthermore, as the rate of dye penetration into the filament increased, the pressure increased along with the dyed fabrics at high temperatures. The kinetic energy of the dye molecules may be increased by the temperature, and the temperature may also cause the polyester fibers to inflate, increasing the dyeing rate relative to low temperature dyeing.
According to Table 2′s findings, the K/S value for dyeing by ultrasound at 80 °C is 9.07, while for dyeing by the traditional method at 100 °C, it is 4.47. This means that the first approach using ultrasound is superior to the traditional method by 102.9% for the disperse dye 22h [1].
4. Fastness Properties
According to the tests of the American Association of Textile Chemists and Colorists [58], the fastness characteristics of the dyed samples were evaluated against perspiration, washing and light. The information in Table 3 demonstrates that the color fastness characteristics of polyester textiles dyed with dyes 5, 7, 9a–d, 14, 15, 16a–h, 22a–i, 26a–b and 28a–d were measured.
Table 3.
Fastness properties of the polyester dyed fabrics with 2% shades of disperse dyes.
| Dye No. |
Light Fastness |
Washing Fastness |
Perspiration Fastness | Ref. | ||||
|---|---|---|---|---|---|---|---|---|
| Alkaline | Acidic | |||||||
| SC | SW | SC | SW | SC | SW | |||
| 5 | 4 | 5 | 5 | 5 | 5 | 4 | 5 | [58] |
| 7 | 2 | 5 | 5 | 5 | 5 | 5 | 5 | |
| 9a | 2–3 | 5 | 5 | 5 | 5 | 5 | 5 | |
| 9b | 3 | 5 | 5 | 5 | 5 | 4 | 5 | |
| 9c | 2–3 | 4 | 4–5 | 5 | 5 | 4–5 | 4–5 | |
| 9d | 2–3 | 4–5 | 4–5 | 5 | 5 | 5 | 5 | |
| 14 | 3–4 | 5 | 5 | 5 | 5 | 4 | 5 | [60] |
| 15 | 5–6 | 5 | 5 | 5 | 5 | 5 | 5 | |
| 16a | 3–4 | 5 | 5 | 5 | 5 | 5 | 5 | |
| 16b | 3 | 5 | 5 | 5 | 5 | 5 | 5 | |
| 16c | 3 | 5 | 5 | 5 | 5 | 4 | 5 | |
| 16d | 3 | 4 | 4–5 | 5 | 5 | 5 | 5 | |
| 16f | 2–3 | 5 | 4–5 | 5 | 5 | 5 | 5 | |
| 16g | 3 | 5 | 4–5 | 5 | 5 | 5 | 5 | |
| 16h | 6 | 5 | 5 | 5 | 5 | 5 | 5 | |
| 22a | 4 | 5 | 5 | 5 | 5 | 5 | 5 | [61] |
| 22b | 2 | 5 | 5 | 5 | 5 | 5 | 5 | |
| 22c | 5 | 5 | 5 | 5 | 5 | 5 | 5 | |
| 22d | 2 | 5 | 5 | 5 | 5 | 5 | 5 | |
| 22e | 3–4 | 5 | 5 | 4–5 | 5 | 5 | 5 | |
| 22f | 3–4 | 5 | 5 | 3 | 5 | 3–4 | 5 | |
| 22g | 5 | 5 | 5 | 5 | 5 | 5 | 5 | |
| 22h | 4–5 | 5 | 5 | 5 | 5 | 5 | 5 | |
| 22i | 4 | 5 | 5 | 5 | 5 | 5 | 5 | |
| 26a | 3 | 4–5 | 4–5 | 5 | 5 | 5 | 5 | [72] |
| 26b | 3–4 | 4–5 | 4–5 | 5 | 5 | 5 | 5 | |
| 28a | 3–4 | 5 | 5 | 5 | 5 | 5 | 5 | [75] |
| 28b | 4 | 4–5 | 4 | 5 | 5 | 5 | 5 | |
| 28c | 3–4 | 5 | 5 | 5 | 5 | 5 | 5 | |
| 28d | 4 | 5 | 5 | 5 | 5 | 5 | 5 | |
SC = staining on cotton; SW = staining on wool.
The results for dyed polyester fabrics dyed with dyes 5, 7, and 9a–d are shown in Table 3, where the ratings for color fastness to light and washing were good and very good and the rating for color fastness to perspiration was excellent [60].
Data obtained by testing the color fastness characteristics of polyester fabrics colored with dyes 14, 15, and 16a–h are shown in Table 3. With the exception of dye 16d, all of the tested dyes had outstanding washing and perspiration fastness, according to the fastness values listed in Table 3.
The polyester colored materials’ light fastness showed moderate fastness. The type of substituents in the diazonium component had a considerable impact on the light fastness. As a result, this moiety’s fading rate should increase for electron-donating groups, whereas it should decrease for electron-withdrawing groups.
The results (Table 3) show that the inclusion of a methyl group in dyes 16b and 16g produced a reduction in light fastness to 3; our idea is consistent with these findings. The chlorine atom in the dyes 16c and 16h, on the other hand, was linked to an increase in light fastness to 4 and 6, respectively [61].
Data acquired by assessing the color fastness characteristics of polyester fabrics dyed with dyes 22a–i are displayed in Table 3 as fastness data. The grades for fastness are listed in Table 3, which demonstrates very good levels of fastness for perspiration and outstanding levels of fastness for washing. The polyester colored fabrics’ moderate fastness is shown by their light fastness.
The type of substituents in the diazonium component has a considerable impact on the light fastness. The addition of electron-withdrawing (bromine, chorine or nitro) substituents increase the dye 22e, 22f and 22g’s light fastness to (3–4), (3–4) and (5), respectively. In terms of the following factors, the results generally indicated that the dyed fabric might have good fastness: (i) Effective dye molecule diffusion throughout fabric fibers. (ii) The dye molecule’s size was regarded as being fairly large. (iii) The solubility and detergency of fabric dyeing were unaffected by any solubilizing groups [61].
5. In Vitro Cytotoxicity Screening
One of the most important markers for biological evaluation in in vitro investigations is cytotoxicity. Different cytotoxicity mechanisms exist for compounds in vitro, such as the suppression of protein synthesis or irreversible binding to receptors [64]. The synthetic disperse dyes 22h and 22i were tested for their preliminary anticancer activity against four human cell lines, including HepG-2 cells (for the treatment of hepatocellular carcinoma), MCF-7 cells (for the treatment of breast cancer), HCT-116 cells (for the treatment of colon cancer) and A-549 cells (for the treatment of lung carcinoma). The IC50 values, the concentration needed to prevent 50% of the development of the culture when the cells were exposed to the tested disperse dyes for 48 h, were calculated using various concentrations of the two disperse dyes. Disperse dye 22h displayed significant activity, as shown by Table 4 and Figure 6, Figure 7, Figure 8 and Figure 9, with IC50 values of 23.4, 62.2, 28 and 53.6 g/mL in HePG-2, MCF-7, HCT-116 and A-549 cells, respectively. In contrast, dispersion dye 22i showed negligible activity in HePG-2, MCF-7, HCT-116 and A-549 cells with IC50 values of 196, 482, 242 and 456 g/mL, respectively.
Table 4.
Antitumor and antioxidant activities of disperse dyes 22h and 22i.
| Dye No. |
Antioxidant Activity (IC50) |
Cytotoxic Activity (IC50) | Ref. | |||
|---|---|---|---|---|---|---|
| MCF-7 | HepG-2 | A-549 | HCT-116 | |||
| 22h | 64.5 | 62.2 ± 4.1 | 23.4 ± 1.2 | 53.6 ± 5.8 | 28 ± 1.9 | [64] |
| 22i | 191.6 | 482 ± 8.9 | 196 ± 3.2 | 456 ± 7.3 | 242 ±3.6 | |
| Ascorbic acid | 14.2 | |||||
| Imatinib | 24.6 | 9.7 | ||||
| Cisplatin | 18.4 ± 0.9 | 19.3 ± 0.8 | ||||
Figure 6.
Antitumor (HepG-2) activities of disperse dyes 22h and 22i.
Figure 7.
Antitumor (MCF-7) activities of disperse dyes 22h and 22i.
Figure 8.
Antitumor (HCT-116) activities of disperse dyes 22h and 22i.
Figure 9.
Antitumor (A-549) activities of disperse dyes 22h and 22i.
6. Antioxidant Activity (DPPH Radical Scavenging Activity)
In vitro testing of the two dispersion dyes’ antioxidant properties used their capacity to scavenge DPPH free radicals. The IC50 value of the dyes—the dose needed to suppress the production of DPPH radicals by 50%, was used to describe their antioxidant activity. Data from Table 4 show that disperse dye 22h had a moderate antioxidant activity and outperformed ascorbic acid as the standard, which had an IC50 of 14.2, while disperse dye 22i had a poor antioxidant activity with an IC50 of 191.6. (Figure 10).
Figure 10.
Antioxidant activities of disperse dyes 22h and 22i.
7. Antimicrobial Activities of Dyes 3, 5, 7, 9a–d, 22a–i and 26a,b
The agar well diffusion method was used to investigate the antibacterial effects of the produced dyes 3, 5, 7 and 9a–d against various bacteria and yeast. The information in Table 5 reveals encouragingly effective antibacterial activity. While the other disperse dyes exhibited moderate to poor antibacterial properties, disperse dyes 3 and 5 had strong antibacterial activity against Gram-positive bacteria.
Table 5.
Inhibition zones of dyes 3, 5, 7, 9a-d, 22a–i and 26a,b.
| Dye No. |
Inhibition Zone Diameter (Nearest mm) | ||
|---|---|---|---|
| G− Bacteria | G+ Bacteria | Yeast | |
| E. coli | B. subtilus | C. albicans | |
| 3 | NI | 11(0.1) | 8(0.3) |
| 5 | NI | 11(0.2) | 1(0.2) |
| 7 | NI | 4(0.2) | 4(0.1) |
| 9a | NI | 7(0.2) | 1(0.1) |
| 9b | NI | 2(0) | 2(0.1) |
| 9c | NI | 2(0) | 3(0.2) |
| 9d | NI | 2(0) | 3(0.2) |
| 22a | 14 (1) | 12.2 (0.5) | 14 (0.3) |
| 22b | 10.8 (1.5) | 9 (0.3) | 12 (1) |
| 22c | 12.1 (0.7) | 10.8 (0.5) | 19.1 (1.3) |
| 22d | 15 (0.5) | 14.6 (0.5) | 10.1 (0.5) |
| 22e | 10 (0.6) | 9 (0.2) | 12.7 (0.6) |
| 22f | 10 (0.4) | NI | 20.4 (0.7) |
| 22g | 11 (0.6) | 9.7 (0.5) | 16.2 (1) |
| 22h | 8 | NI | NI |
| 22i | NI | NI | 8 |
| 26a | 9 | NC | NI |
| 26b | 10 | NC | 20 |
(NI): No inhibition, (NC): Not checked.
All of the substances tested inhibited the development of Candidia albicans after six days of incubation. Additionally, the agar well diffusion method was used to test the dispersion dyes 22a–i and 26a,b for their antibacterial properties against a range of bacteria and yeast.
In addition, Figure 11 shows that Candida albicans re-grew in the formed zone surrounding the wells containing compound 3. This may reflect the cytostatic effect of the chemicals rather than their cytolytic effects. Note that the plate color changed with the increase in the incubation time indicates a complete diffusion of the chemical used in the agar as the incubation period increased.
Figure 11.
Candida albicans treated with 10mg ml−1 of compound 3 after one day (A), three days (B) and six days (C) of incubation. It is worth noting that Figure 10 shows the cytolyticeffects of dyes number 5, 7 and 9a on Candida albican where after one, three and six days of incubation, the inhibition zone did not change (Figure 12).
While, the cytostatic effect of the same dyes is clear on the plates inoculated with Bacillus subtilus. The growth of B. subtilus resumed in the inhibited area after six days of incubation, which may indicate that as the concentration/toxicity of dyes number 5, 7 and 9a reduce due to possible evaporation of these dyes or diffusion in the media, the effect of these dyes on B. subtilus decrease, and the organisms start growing again (Figure 13).
Figure 13.
Bacillus subtilus treated with 10mg ml−1 of dyes 5, 7, and 11a after one day (A) (1, 2, 3), three days(B) (4, 5, 6) and six days (C) (7, 8, 9) of incubation.
Based on data for the inhibition zone diameter for the dispersion dyes 22a–g, Table 5 shows that all of the tested dyes demonstrated strong positive antibacterial activities against the studied pathogens. For all of the examined bacteria, disperse dye 22a had a cytolytic effect, with no growth being seen in the inhibition zone.
8. UV Protective Properties of Untreatedand Treated Polyester Fabrics with ZnO or TiO2 Nanoparticles NPs
The UV protection factor (UPF) was calculated to obtain ultraviolet-protective qualities. UPF is a characteristic that endows materials such as polyester textiles with ultraviolet protection properties. Table 6 shows UV blocking data for polyester fabrics treated with ZnO or TiO2 nanoparticles. According to the UPF data in Table 6, treated polyester fabrics with ZnO nanoparticles had UPF values of 173.25 for disperse dye 26a and 190.59 for disperse dye 26b, respectively. This shows that treated polyester fabrics with dye 26a have UPF values that are significantly higher than treated polyester fabrics with dye 26b.Table 6 further demonstrates that treated polyester fabrics have higher UPF values than untreated polyester fabrics, with respective values of 141.88 for dye 26a and 122.37 for dye 26b. Additionally, the UPF data in Table 6 shows that treated polyester fabrics with TiO2 nanoparticles have UPF values of 283.60 for disperse dye 22h and 34.9 for disperse dye 22i, respectively. This shows that treated polyester fabrics with dye 22h have much higher UPF values than treated polyester fabrics with dye 22i. Table 6 further demonstrates that treated polyester fabrics have higher UPF values than untreated polyester fabrics, with values of 236.2 for dye 22h and 25.5 for dye 22i, respectively.
Table 6.
UPF of treated polyester fabrics with ZnO or TiO2 NPs *.
| Dye No. |
ZnO Treatment |
UPF | Dye No. |
TiO2 Treatment |
UPF |
|---|---|---|---|---|---|
| Blank | 19.42 | Blank | 8.2 | ||
| 26a | Untreated | 141.88 | 22h | Untreated | 236.2 |
| Treated | 173.25 | Treated | 283.60 | ||
| 26b | Untreated | 122.37 | 22i | Untreated | 25.5 |
| Treated | 190.59 | Treated | 34.9 |
* Treatment of polyester fabrics by ZnO or TiO2 NPs: The dyed polyester fabrics were treated with ZnO or TiO2 nanoparticles via the exhaustion method. The fabrics were treated with five different percentages of TiO2 nanoparticles (0.5–2.5% weight of fabric for ZnO or 1–5% weight of fabric for TiO2) at 80 °C for 20 min, the liquorratio of the exhaustion bath was 1:30.The polyester fabrics were squeezed to remove the excess dispersion and dried in an oven at 70 °C for 15 min. under atmospheric pressure (dry heat).The treated polyester fabrics were cured at 140 °C for 10 min. Finally treated fabrics were washed at 60 °C for 20 min. in an aqueous solution with a liquor ratio of 1:30 containing 3 g/L nonionic detergent solution (Hostapal, Clariant), then left for drying. The drying step was carried out on a horizontal flat surface. Titanium(IV) oxide TiO2 NPs: Nano powder, 21 nm primary particle size (Tem), ≥99.5% trace metals basis, Lot # MKBV3126V was purchased as 718467-100Gfrom ALDRICH Chemistry.
9. Self-Cleaning of Untreatedand Treated Polyester Fabrics with ZnO or TiO2 NPs
One of the benefits of polyester fabrics coated with nanoparticles is the conversion of absorbed light into self-cleaning substances to remove stains. To gain the self-cleaning properties of nano ZnO or TiO2 particles, the photodegradation of methyl red and methylene blue adsorbed on nano ZnO or TiO2 treated polyester fabrics was explored (Table 7).
Table 7.
Effect of Light fastness and Stains * on ZnO or TiO2 NPs treated polyester fabrics.
| Dye No. | ZnO% Treatment | Methyl Red Stain ∆E* | Light Fastness |
Dye No. | TiO2% Treatment |
Methylene Blue Stain | Light Fastness |
|---|---|---|---|---|---|---|---|
| Untreated | 67.23 | 3–4 | Untreated | No removal | 5–6 | ||
| 26a | 0.5 | 60.20 | 3 | 22h | 1 | 80% | 5–6 |
| 1.0 | 59.41 | 3 | 2 | 80% | 6 | ||
| 1.5 | 60.88 | 3 | 3 | 75% | 6 | ||
| 2.0 | 55.44 | 3 | 4 | 80% | 6 | ||
| 2.5 | 60.36 | 3 | 5 | 60% | 6 | ||
| Untreated | 50.02 | 4 | 22i | Untreated | 10% | 5 | |
| 26b | 0.5 | 54.42 | 5 | 1 | 80% | 5 | |
| 1.0 | 55.32 | 5 | 2 | 75% | 5 | ||
| 1.5 | 54.37 | 4 | 3 | 80% | 5 | ||
| 2.0 | 53.73 | 4–5 | 4 | 70% | 5 | ||
| 2.5 | 60.18 | 4–5 | 5 | 65% | 5–6 |
* Photo-stimulated color removal on polyester: 60 µL methyl red or methylene blue was marked on both post-treated ZnO or TiO2 nanoparticles (0.5–2.5% w.o.ffor ZnO and 1–5% w.o.f for TiO2)-treated polyester and the untreated fabrics. The polyester fabrics were illuminated through exposure to an ultraviolet lamp for 24 h for ZnO and 12 h forTiO2.
After 24 and 12 h of UV exposure, Table 7 displays the results of methyl red and methylene blue stains on polyester fabrics treated with ZnO or TiO2 NPs. For polyester fabrics treated with ZnO or TiO2 NPs, a partial discoloration of methyl red and methylene blue stains brought on by ultraviolet radiation was seen. When polyester fabric is treated with ZnO or TiO2 NPs, thin layers of ZnO or TiO2 nanoparticles develop, increasing the fabric’s hydrophobic qualities. A hydrophobic surface stops dirt from adhering, keeping the polyester surface clean at all times. The results showed that the highest rates of photodegradation on the surface were 60–70% for methyl red stains treated with ZnO NPs after 24 h and 60–80% after 12 h for methylene blue stains treated with TiO2 NPs (Table 7).
10. Light Fastness of Untreated and Treated Polyester Fabrics with ZnO or TiO2 NPs
The light fastness property of all colored polyester fabric samples that were treated with ZnO or TiO2 NPs of disperse dyes 26a, 26b, 22h, and 22i were measured, and the results were more significant. Table 7 shows that, with the exception of dye 26a, using ZnO or TiO2 NPs more effectively resulted in treated polyester fabrics having stronger light fastness than the untreated samples (Table 7).
11. Antimicrobial Activity of Untreated and Treated Polyester Fabrics with ZnO or TiO2 NPs
The untreated and treated polyester fabrics are tested against the pathogenic fungi Aspergillus flavus and Penicillium chrysogenum, as well as the Gram-positive bacteria Bacillus subtilis and the Gram-negative bacteria Klebsiella pneumoniae. Table 8 revealed that untreated polyester fabrics with ZnO or TiO2 NPs did not exhibit antibacterial activity against all of the microorganisms [64,73].
Table 8.
Inhibition zone diameters of the dyed polyester fabrics of disperse dyes 26a and 26b against Gram-positive, Gram-negative bacteria and yeast.
| Dye No. | ZnO% Treatment |
Inhibition Zone Diameter (Nearest mm) | Dye No. |
TiO2% Treatment |
Inhibition Zone Diameter (Nearest mm) Fungi |
||
|---|---|---|---|---|---|---|---|
| G+ Bacteria Bacillus subtilis |
G− Bacteria Klebsiella pneumoniae |
Aspergillus flavus | Penicillium chrysogenum | ||||
| 26a | Untreated | NI | NI | 22h | Untreated | NI | NI |
| Treated | 11 | NI | Treated | 21 | 19 | ||
| 26b | Untreated | NI | NI | 22i | Untreated | NI | NI |
| Treated | 8 | 10 | Treated | NI | NI | ||
(NI): No inhibition.
While only Bacillus subtilis was the target of the antibacterial activity of nano ZnO treated polyester fabrics of dispersion dye 26a, nano ZnO treated polyester fabrics of disperse dye 26b were effective against both Bacillus subtilis and Klebsiella pneumoniae. ZnO NPs had antibacterial activity against bacteria, and its mechanism involved either ZnO nanoparticles or TiO2 nanoparticles influencing bacterial membranes to inhibit bacterial growth. Alternatively, nano ZnO may enable the generation of peroxide, which may offer antibacterial properties [65,73].
According to the antifungal screening results given in Table 8, the two harmful fungi Aspergillus flavus and Penicillium chrysogenum were not resistant to the treated polyester dyed fabrics with TiO2 NPs of dispersion dye 22i. Aspergillus flavus and Penicillium chrysogenum were resistant to Aspergillus flavus and the treated polyester colored fabrics with TiO2 NPs of dispersion dye 22h.
12. Conclusions
Our original work highlighted that the synthesis of new disperse dyes, with the help of microwaves, could be carried out in the presence of small quantities or sometimes in the absence of any amounts of organic solvents, which are harmful to the environment, in a short time that did not exceed minutes and gave great yields compared to the synthesis of those dyes using traditional methods. It is known that cytotoxicity is one of the most important markers of biological evaluation in laboratory tests, so we presented two examples of new disperse dyes as one of the examples of in vitro cytotoxicity examination.We showed that these dyes possess anticancer activities against some common cancers such as lung, breast, liver and colon cancer. The added value of these new disperse dyes was also discussed and presented by showing the biological activity and clarifying that these dyes have a great biological activity against Gram-positive and Gram-negative bacteria, as well as various fungi and yeasts. It is worth noting here that polyester fabrics dyed with these dyes had biological activity, which makes these fabrics able to be used in many medical activities. We presented and discussed the use of ultrasound energy to dye polyester fabrics, as it gave a high color strength compared to traditional dyeing methods. In this review, we also discussed the methods of treating polyester fabrics with nano-zinc oxide or nano-titanium dioxide and presented the advantages of this strategy in endowing the dyed polyester fabrics with multiple functions, such as self-cleaning property, maximizing light fastness property and maximizing antimicrobial activities.
Figure 12.
Candida albican treated with 10mg ml−1 of dyes 5, 7, and 9a after one day (A) (1, 2, 3), three days(B) (4, 5, 6) and six days (C) (7, 8, 9) of incubation.
Author Contributions
Writing—review and editing, A.M.A.-E. and M.A.E.-A. All authors have read and agreed to the published version of the manuscript.
Institutional Review Board Statement
Not applicable.
Informed Consent Statement
Not applicable.
Data Availability Statement
Not applicable.
Conflicts of Interest
The authors declare no conflict of interest.
Funding Statement
This research received no external funding.
Footnotes
Publisher’s Note: MDPI stays neutral with regard to jurisdictional claims in published maps and institutional affiliations.
References
- 1.Al-Etaibi A.M., El-Apasery M.A. Ultrasonic Dyeing of Polyester Fabric with Azo Disperse Dyes Clubbed with Pyridonones and Its UV Protection Performance. Chemistry. 2021;3:889–895. doi: 10.3390/chemistry3030065. [DOI] [Google Scholar]
- 2.Rehman F., Adeel S., Saif M.J., Khosa M.K., Anjum M.N., Kamran M., Zuber M., Asif M. Ultrasonic Assisted Improvement in Dyeing Behaviour of Polyester Fabric Using Disperse Red343. Pol. J. Environ. Stud. 2020;29:261–265. doi: 10.15244/pjoes/75957. [DOI] [Google Scholar]
- 3.Adeel S., Shahid S., Khan S.G., Rehman F., Muneer M., Zube M., Akhtar H. Eco-Friendly Disperse Dyeing of Ultraviolet-Treated Polyester Fabric Using DisperseYellow211. Pol. J. Environ. Stud. 2018;27:1935–1939. doi: 10.15244/pjoes/76033. [DOI] [Google Scholar]
- 4.Al-Etaibi A.M., El-Apasery M.A. Microwave-Assisted Synthesis of Azo Disperse Dyes for Dyeing Polyester Fabrics: Our Contributions over the Past Decade. Polymers. 2022;14:1703. doi: 10.3390/polym14091703. [DOI] [PMC free article] [PubMed] [Google Scholar]
- 5.Ghaffar A., Adeel S., Habib N., Jalal F., Ul-Haq A., Munir B., Ahmad A., Jahangeer M., Jamil Q. Effects of Microwave Radiation on Cotton Dyeing with Reactive Blue 21 Dye. Pol. J. Environ. Stud. 2019;28:1687–1691. doi: 10.15244/pjoes/84774. [DOI] [Google Scholar]
- 6.Gedye R., Smith F., Westaway K., Ali H., Baldisera L., Laberge L., Rousell J. The Use of Microwave Ovens for Rapid Organic Synthesis. Tetrahedron Lett. 1986;27:279–282. doi: 10.1016/S0040-4039(00)83996-9. [DOI] [Google Scholar]
- 7.Stefanidis G.D., Muñoz A.N., Sturm G.S.J., Stankiewicz A. A Helicopter View of Microwave Application to Chemical Processes: Reactions, Separations, and Equipment Concepts. Rev. Chem. Eng. 2014;30:233–259. doi: 10.1515/revce-2013-0033. [DOI] [Google Scholar]
- 8.Bassyouni F.A., Abu-Bakr S.M., Abdel Rehim A. Evolution of microwave irradiation and its application in green chemistry and biosciences. Res. Chem. Intermed. 2012;38:283–322. doi: 10.1007/s11164-011-0348-1. [DOI] [Google Scholar]
- 9.Rana K.K., Rana S. Microwave Reactors: A Brief Review on Its Fundamental Aspects and Applications. Open Access Libr. J. 2014;1:686. doi: 10.4236/oalib.1100686. [DOI] [Google Scholar]
- 10.Yoon S., Kim H., Oh N., Kim S., Kumar S., Koh J. Synthesis and application of high-washability 4-amino-4′-fluorosulfonylazobenzene disperse dyes to cellulose diacetate for high color fastness. Fibers Polym. 2021;22:3075–3081. doi: 10.1007/s12221-021-0839-7. [DOI] [Google Scholar]
- 11.Yoon S., Choi B., Rahman M.M., Kumar S., Kabir S.M.M., Koh J. Dyeing of polyester with 4-arylazo-5-pyrazolone dyes containing fluoro sulfonyl group and application of environment-friendly after treatment for their high color fastness. Materials. 2019;12:4209. doi: 10.3390/ma12244209. [DOI] [PMC free article] [PubMed] [Google Scholar]
- 12.Chandrasekaran S., Ramanathan S., Basak T. Microwave food processing—A review. Food Res. Int. 2013;52:243–261. doi: 10.1016/j.foodres.2013.02.033. [DOI] [Google Scholar]
- 13.Crane C.A., Pantoya M.L., Weeks B.L. Spatial observation and quantification of microwave heating in materials. Rev. Sci. Instrum. 2013;84:084705. doi: 10.1063/1.4818139. [DOI] [PubMed] [Google Scholar]
- 14.Rosa R., Veronesi P., Leonelli C. A review on combustion synthesis intensification by means of microwave energy. Chem. Eng. Process. Process Intensif. 2013;71:2–18. doi: 10.1016/j.cep.2013.02.007. [DOI] [Google Scholar]
- 15.Sun J., Wang W., Yue Q. Review on Microwave-Matter Interaction Fundamentals and Efficient Microwave-Associated Heating Strategies. Materials. 2016;9:231. doi: 10.3390/ma9040231. [DOI] [PMC free article] [PubMed] [Google Scholar]
- 16.Orlik K., Lorgouilloux Y., Marchet P., Thuault A., Jean F., Rguiti M., Courtois C. Influence of microwave sintering on electrical properties of BCTZ lead free piezoelectric ceramics. J. Eur. Ceram. Soc. 2020;40:1212–1216. [Google Scholar]
- 17.Ramesh S., Zulkifli N., Tan C., Wong Y., Tarlochan F., Teng W., Sopyan I., Bang L., Sarhan A.A.D. Comparison between microwave and conventional sintering on the properties and microstructural evolution of tetragonal zirconia. Ceram. Int. 2018;44:8922–8927. doi: 10.1016/j.ceramint.2018.02.086. [DOI] [Google Scholar]
- 18.Chen Y., Fan B., Yang B., Ma W., Liu G., Li H. Microwave sintering and fracture behavior of zirconia ceramics. Ceram. Int. 2019;45:17675–17680. doi: 10.1016/j.ceramint.2019.05.334. [DOI] [Google Scholar]
- 19.Huang K., Zheng J., Yuan W., Wang X., Song Q., Li Y., Crittenden J.C., Wang L., Wang J. Microwave-assisted chemical recovery of glass fiber and epoxy resin from non-metallic components in waste printed circuit boards. Waste Manag. 2021;124:8–16. doi: 10.1016/j.wasman.2021.01.010. [DOI] [PubMed] [Google Scholar]
- 20.Serdar G., Demir E., Bayrak S., Sökmen M. New Approaches for Effective Microwave Assisted Extraction of Caffeine and Catechins from Green Tea. Int. J. Second. Metab. 2016;3:3–13. doi: 10.21448/ijsm.240697. [DOI] [Google Scholar]
- 21.Bacsa B., Desai B., Dibó G., Kappe C.O. Rapid solid-phase peptide synthesis using thermal and controlled microwave irradiation. J. Pept. Sci. 2006;12:633–638. doi: 10.1002/psc.771. [DOI] [PubMed] [Google Scholar]
- 22.Murray J.K., Gellman S.H. Application of microwave irradiation to the synthesis of 14-helical b-peptides. Org. Lett. 2005;7:1517–1520. doi: 10.1021/ol0501727. [DOI] [PubMed] [Google Scholar]
- 23.Olivos H.J., Alluri P.G., Reddy M.M., Salony D., Kodadek T. Microwave assisted solid-phase synthesis of peptoids. Org. Lett. 2002;4:4057–4059. doi: 10.1021/ol0267578. [DOI] [PubMed] [Google Scholar]
- 24.Collins J.M., Collins M.J. Novel method for enhanced solid-phase peptide synthesis using microwave energy. Biopolymers. 2003;71:361. [Google Scholar]
- 25.Mallalcpour S.E., Hajipour A.R., Zamanlou M.R. Synthesis of optically active poly(amide-imide)s derived from N,N′-(4,4′-carbonyldiphthaloyl)-bis-L-leucine diacid chloride and aromatic diamines by microwave radiation. J. Polym. Sci. Part A Polym. Chem. 2001;39:177–186. doi: 10.1002/1099-0518(20010101)39:1<177::AID-POLA200>3.0.CO;2-L. [DOI] [Google Scholar]
- 26.Mallakpour S.E., Hajipour A.R., Faghihi K., Foroughifar N., Bagheri J. Novel Optically Active Poly(amideimide)s with Tetrahydropyrimidinone and Tetrahydro-2-Thioxopynmidine Moieties by Microwave-Assisted Polycondensation. J. Appl. Polym. Sci. 2001;80:2416–2421. doi: 10.1002/app.1348. [DOI] [Google Scholar]
- 27.Mallakpour S.E., Hajipour A.R., Habibi S. Facile synthesis of new optically active poly(amide-imide)s derived from N,N′-(pyromellitoy1)-bis-l-leucine diacid chloride and aromatic diamines under microwave irradiation. Eur. Polym. J. 2001;37:2435–2442. doi: 10.1016/S0014-3057(01)00151-3. [DOI] [Google Scholar]
- 28.Lu J., Jiang Q., Zhu X., Wang F. Microwave radiation copolymerization of dibutyltin maleate and allyl thiourea. J. Appl. Polym. Sci. 2001;79:312–318. [Google Scholar]
- 29.Kappe C.O., Dallinger R.D. The impact of microwave synthesis on drug discovery. Nat. Rev. Drug Discov. 2006;5:51–64. doi: 10.1038/nrd1926. [DOI] [PubMed] [Google Scholar]
- 30.Kappe C.O., Stadler A., Dallinger D., Strohmeier G., Perez R., Zbruyev O.I., Stiasni N., Walla P., Gorobets N., Yousefi B., et al. Adventures in microwave-assisted organic synthesis: Contributions from the Kappe laboratory 2000–2005. Nato Sci. Ser. Ii-Math. 2008;246:225–251. [Google Scholar]
- 31.Yin C. Microwave-assisted pyrolysis of biomass for liquid biofuels production. Bioresour. Technol. 2012;120:273–284. doi: 10.1016/j.biortech.2012.06.016. [DOI] [PubMed] [Google Scholar]
- 32.Bridgwater A.V. Review of fast pyrolysis of biomass and product upgrading. Biomass Bioenergy. 2012;38:68–94. doi: 10.1016/j.biombioe.2011.01.048. [DOI] [Google Scholar]
- 33.Wei R., Wang P., Zhang G., Wang N., Zheng T. Microwave-responsive catalysts for wastewater treatment: A review. Chem. Eng. J. 2020;382:122781. doi: 10.1016/j.cej.2019.122781. [DOI] [Google Scholar]
- 34.Remya N., Lin J.-G. Current status of microwave application in wastewater treatment—A review. Chem. Eng. J. 2011;166:797–813. doi: 10.1016/j.cej.2010.11.100. [DOI] [Google Scholar]
- 35.Mudhoo A., Sharma S.K., Sharma S.K. Microwave Irradiation Technology in Waste Sludge and Wastewater Treatment Research. Crit. Rev. Environ. Sci. Technol. 2011;41:999–1066. doi: 10.1080/10643380903392767. [DOI] [Google Scholar]
- 36.Vialkova E., Obukhova M., Belova L. Microwave Irradiation in Technologies of Wastewater and Wastewater Sludge Treatment: A Review. Water. 2021;13:1784. doi: 10.3390/w13131784. [DOI] [Google Scholar]
- 37.Dominguez A., Menendez J.A., Inguanzo M., Pis J.J. Investigations into the characteristics of oils produced from microwave pyrolysis of sewage sludge. Fuel Process. Technol. 2005;86:1007–1020. doi: 10.1016/j.fuproc.2004.11.009. [DOI] [Google Scholar]
- 38.Dominguez A., Menendez J.A., Inguanzo M., Pís J.J. Production of bio-fuels by high temperature pyrolysis of sewage sludge using conventional and microwave heating. Bioresour. Technol. 2006;97:1185–1193. doi: 10.1016/j.biortech.2005.05.011. [DOI] [PubMed] [Google Scholar]
- 39.El-Apasery M.A. Synthesis of some azo disperse dyes by the use of focused microwave heating. Pol. J. Appl. Chem. 2006;50:75–81. [Google Scholar]
- 40.El-Apasery M.A. Solvent-free one-pot synthesis of some azo disperse dyes under microwave irradiation: Dyeing of polyester fabrics. J. Appl. Polym. Sci. 2008;109:695–699. doi: 10.1002/app.28129. [DOI] [Google Scholar]
- 41.Al-Zaydi K.M., Borik R.M., Elnagdi M.H. Studies with arylhydrazonopyridinones: Synthesis of new arylhydrazono thieno[3,4-c]pyridinones as novel D2T2 dye class; classical verse green methodologies. Ultrason. Sonochem. 2009;16:660–668. doi: 10.1016/j.ultsonch.2008.11.004. [DOI] [PubMed] [Google Scholar]
- 42.Devi A.S., Kaping S., Vishwakarma J.N. A facile environment-friendly one-pot two-step regioselective synthetic strategy for 3,7-diarylpyrazolo[1,5-a]pyrimidines related to zaleplon and 3,6-diarylpyrazolo[1,5-a]pyrimidine-7-amines assisted by KHSO4 in aqueous media. Mol. Divers. 2015;19:759–771. doi: 10.1007/s11030-015-9606-2. [DOI] [PubMed] [Google Scholar]
- 43.El-Bayouki M., Abdel Hameed K., Asyouni W.M., Mohamed Y.A., Aly M.M., Abbas S.Y. Novel 4(3H)-quinazolinones containing biologically active thiazole, pyridinone and chromene of expected antitumor and antifungal activities. Eur. J. Chem. 2011;2:455–462. doi: 10.5155/eurjchem.2.4.455-462.171. [DOI] [Google Scholar]
- 44.Okada Y., Hihara T., Morita Z. Analysis of the photofading of phenylazo-aniline and phenylazo-pyridone disperse dyes on poly(ethylene terephthalate) substrate using the semiempirical molecular orbital PM5 method. Dye. Pigment. 2008;79:111–125. doi: 10.1016/j.dyepig.2008.01.013. [DOI] [Google Scholar]
- 45.Okada Y., Hihara T., Morita Z. Photofading of phenylazo-aniline, -pyridone and -quinolone disperse dyes on a nylon 6 substrate. Color. Technol. 2009;125:86–98. doi: 10.1111/j.1478-4408.2009.00179.x. [DOI] [Google Scholar]
- 46.Darwish E., Mahmoud F.F., Altalbawy F.M.A. Synthesis and Antimicrobial Evaluation of Some New Pyrazole, Fused Pyrazolo [1,5-a]-pyrimidine and Pyrazolo[1,5-d]pyrimido[4,5-d][1,2,3]triazine Derivatives. Asian J. Chem. 2012;24:2997–3002. [Google Scholar]
- 47.Okada Y., Hihara T., Morita Z. Analysis of the catalytic fading of pyridone-azo disperse dyes on polyester using the semi-empirical, molecular orbital PM5 method. Dye. Pigment. 2008;78:179–198. doi: 10.1016/j.dyepig.2007.12.001. [DOI] [Google Scholar]
- 48.Jang H.K., Doh S.J., Lee J.J. Eco-friendly dyeing of poly(trimethylene terephthalate) with temporarily solubilized azo disperse dyes based on pyridone derivatives. Fibers Polym. 2009;10:315–319. doi: 10.1007/s12221-009-0315-2. [DOI] [Google Scholar]
- 49.Gadre J.N., Periaswamy R.M.S., Mulay M., Vaze C.S. Synthesis of pyridone based azo disperse dyes. Indian J. Heterocycl. Chem. 2006;16:43–46. [Google Scholar]
- 50.Tsai P.C., Wang I.J. Synthesis and solvatochromic properties of some disazo dyes derived from pyrazolo[1,5-a]pyrimidine derivatives. Dye. Pigment. 2005;64:259–264. doi: 10.1016/j.dyepig.2004.05.013. [DOI] [Google Scholar]
- 51.Tsai P.C., Wang I.J. A facile synthesis of some new pyrazolo[1,5-a]pyrimidine heterocyclic disazo dyes and an evaluation of their solvatochromic behaviour. Dye. Pigment. 2007;74:578–584. doi: 10.1016/j.dyepig.2006.03.022. [DOI] [Google Scholar]
- 52.Balalaie S., Kowsari1 E., Hashtroudi M.S. An Efficient Method for the Synthesis of 3-Cyano-6-hydroxy-2(1H)-pyridinones under Microwave Irradiation and Solvent-free Conditions. Mon. Chem. 2003;134:453–456. doi: 10.1007/s00706-002-0551-2. [DOI] [Google Scholar]
- 53.El-Adasy A.A.A.M., Kamel M.M., Saleh M.O., Hussein A.M., El-Apasery M.A. Disperse Dyes Based on Pyrazolopyrimidinones I: Their Dyeing Applications and Antimicrobial Activities. Int. J. ChemTech Res. 2016;9:31–38. [Google Scholar]
- 54.Brittany H. Microwave Synthesis: Chemistry at the Speed of Light. CEM Publishing; Matthews, NC, USA: 2002. pp. 11–27. [Google Scholar]
- 55.Díaz-Ortiz Á., Prieto P., De la Hoz A. A Critical Overview on the Effect of Microwave Irradiation in Organic Synthesis. Chem. Rec. 2019;19:85. doi: 10.1002/tcr.201800059. [DOI] [PubMed] [Google Scholar]
- 56.El-Apasery M.A., Hussein A.M., El-Adasy A.A.M., Saleh M.O., Kamel M.M. Microwave Assisted Synthesis of Some Azo Disperse Dyes with Antibacterial Activities. Part 1. Egypt. J. Chem. 2019;62:1253–1259. [Google Scholar]
- 57.Al-Etaibi A., El-Apasery M.A., Al-Awadi N. The effect of dispersing agent on the dyeing of polyester fabrics with disperse dyes derived from 1,4-diethyl-2,6-dioxo-1,2,5,6-tetrahydropyridine-3-carbonitrile. Eur. J. Chem. 2013;4:240–244. doi: 10.5155/eurjchem.4.3.240-244.834. [DOI] [Google Scholar]
- 58.Al-Etaibi A., Al-Awadi N.A., El-Apasery M.A., Ibrahim M.R. Synthesis of some novel pyrazolo [1, 5-a] pyrimidine derivatives and their application as disperse dyes. Molecules. 2011;16:5182–5193. doi: 10.3390/molecules16065182. [DOI] [PMC free article] [PubMed] [Google Scholar]
- 59.Al-Etaibi A., El-Apasery M.A., Ibrahim M.R., Al-Awadi N.A. A facile synthesis of new monoazo disperse dyes derived from 4-hydroxyphenylazopyrazole-5-amines: Evaluation of microwave assisted dyeing behavior. Molecules. 2012;17:13891–13909. doi: 10.3390/molecules171213891. [DOI] [PMC free article] [PubMed] [Google Scholar]
- 60.Al-Etaibi A., El-Apasery M.A., Mahmoud H.M., Al-Awadi N.A. One-pot synthesis of disperse dyes under microwave irradiation: Dyebath reuse in dyeing of polyester fabrics. Molecules. 2012;17:4266–4280. doi: 10.3390/molecules17044266. [DOI] [PMC free article] [PubMed] [Google Scholar]
- 61.Al-Etaibi A., El-Apasery M.A., Mahmoud H., Al-Awadi N. Synthesis, characterization and antimicrobial activity, and applications of new azo pyridone disperse dyes on polyester fabric. Eur. J. Chem. 2014;5:321–327. [Google Scholar]
- 62.Al-Etaibi A.M. Synthesis and Antimicrobial Activity of some Disperse Dyes derived from Pyridones. Int. J. ChemTech Res. 2019;12:129–133. doi: 10.20902/IJCTR.2019.120515. [DOI] [Google Scholar]
- 63.Al-Etaibi A.M., El-Apasery M.A. Dyeing Performance of Disperse Dyes on Polyester Fabrics Using Eco-Friendly Carrier and Their Antioxidant and Anticancer Activities. Int. J. Environ. Res. Public Health. 2019;16:4603. doi: 10.3390/ijerph16234603. [DOI] [PMC free article] [PubMed] [Google Scholar]
- 64.Al-Etaibi A.M., El-Apasery M.A. Nano TiO2 Imparting Multifunctional Performance on Dyed Polyester Fabrics with some Disperse Dyes Using High Temperature Dyeing as an Environmentally Benign Method. Int. J. Environ. Res. Public Health. 2020;17:1377. doi: 10.3390/ijerph17041377. [DOI] [PMC free article] [PubMed] [Google Scholar]
- 65.Mashaly H.M., Abdelghaffar R.A., Kamel M.M., Youssef B.M. Dyeing of polyester fabric using nano disperse dyes and improving their light fastness using ZnOnano powder. Ind. J. Sci. Technol. 2012;7:960–967. doi: 10.17485/ijst/2014/v7i7.11. [DOI] [Google Scholar]
- 66.Al-Etaibi A.M., El-Apasery M.A. A comprehensive review on the synthesis and versatile applications of biologically active pyridone-based disperse dyes. Int. J. Environ. Res. Public Health. 2020;17:4714. doi: 10.3390/ijerph17134714. [DOI] [PMC free article] [PubMed] [Google Scholar]
- 67.Dostanić J., Valentić N.V., Ušćumlić G., Mijin D. Synthesis of 5-(substituted phenylazo)-6-hydroxy-4-methyl-3–cyano-2-pyridones from ethyl 3-oxo-2-(substituted phenylazo)butanoates. J. Serb. Chem. Soc. 2011;76:499–504. doi: 10.2298/JSC100618044D. [DOI] [Google Scholar]
- 68.Mijin D.Ž., Baghbanzadeh M., Reidlinger C., Kappe C.O. The microwave-assisted synthesis of 5-arylazo-4,6-disubstituted-3-cyano-2-pyridone dyes. Dyes Pigm. 2010;85:73–78. doi: 10.1016/j.dyepig.2009.10.006. [DOI] [Google Scholar]
- 69.Gaffer H.E., Shkra S., Abbas D., Allam E.A. Synthesis and antimicrobial activity of some new sulphonamide disperse dyes and their applications to polyester fibres. J. Appl. Polym. Res. 2013;9:4051–4058. [Google Scholar]
- 70.Ahmed K.A., Elhennawy H.M., Elkashouti M.A. Microwave Assists the Synthesis of Pyridone azo Dyes and their Application in Polyester Printing. Res. J. Chem. Sci. 2012;2:14–19. [Google Scholar]
- 71.Mijin D., Ušćumlić G., Perišić-Janjić N., Trkulja I., Radetić M., Jovančić P. Synthesis, properties and color assessment of some new 5-(3-and 4-substituted phenylazo)-4, 6-dimethyl-3-cyano-2-pyridones. J. Serb. Chem. Soc. 2006;71:435–444. doi: 10.2298/JSC0605435M. [DOI] [Google Scholar]
- 72.Al-Etaibi A.M., El-Apasery M.A., Kamel M.M. Dyeing of polyester with disperse dyes: Part 1. Antimicrobial activity and dyeing performance of some disperse dyes. Int. J. Curr. Microbiol. Appl. Sci. 2015;4:923–928. [Google Scholar]
- 73.Al-Etaibi A.M., El-Apasery M.A. Dyeing of polyester with disperse dyes: Part 3. Characterization of ZnO nanoparticles treated polyester fabrics for antibacterial, self-cleaning and UV protective. Int. J. ChemTech Res. 2016;9:162–169. [Google Scholar]
- 74.Al-Etaibi A.M., Alnassar H.S., El-Apasery M.A. Dyeing of polyester with disperse dyes: Part 2. Synthesis and dyeing characteristics of some azo disperse dyes for polyester fabrics. Molecules. 2016;21:855. doi: 10.3390/molecules21070855. [DOI] [PMC free article] [PubMed] [Google Scholar]
- 75.Al-Etaibi A.M., Kamel M.M., El-Apasery M.A. Synthesis and applications of new aminothienopyridazines disperse dyes on polyester fabric. Int. J. Curr. Microbiol. Appl. Sci. 2014;3:826–832. [Google Scholar]
Associated Data
This section collects any data citations, data availability statements, or supplementary materials included in this article.
Data Availability Statement
Not applicable.

















