Abstract
Menopausal hormone therapy (MHT) in women can reduce troublesome menopause symptoms and prevent cognitive decline. This cross-sectional study investigated the MHT-related effect on brain morphology and its association with sex hormones in menopausal women by using an optimized diffeomorphic anatomical registration through exponentiated Lie algebra (DARTEL)-based voxel-based morphometry (VBM) method. Twenty-one menopausal women without MHT (noMHT) and 20 menopausal women with MHT were included in this study. Magnetic resonance imaging data were processed using SPM 12 with DARTEL-based VBM whole brain analysis approach. A 2-sample t-test and analysis of covariance (ANCOVA) adjusting for age and total intracranial volume were used to compare GM volume between noMHT and MHT women. The association between MHT (treatment period, hormones levels) and brain volume variations were analyzed by Spearman correlation. MHT women showed significantly larger volumes of the superior/middle/inferior frontal gyri, hypothalamus, inferior temporal gyrus, parahippocampal gyrus, hippocampus, cerebellar cortex, postcentral gyrus, precuneus, angular gyrus, supplementary motor area, superior occipital gyrus, and precentral gyrus compared to the noMHT women. The volumes of the angular gyrus and hypothalamus in MHT women positively correlated with treatment period. On the other hand, the hypothalamic volume negatively correlated with FSH and LH levels, and the volumes of the inferior frontal gyrus, and angular gyrus negatively correlated with progesterone levels, respectively. MHT-treated women showed larger GM volume than noMHT women. The anatomical structures that showed greater volume in association with MHT included the deep brain areas, frontal, temporal, parietal, and occipital gyri.
Subject terms: Health care, Medical imaging, Magnetic resonance imaging
Introduction
Menopause is a natural biophysiological event associated with an age-related reduction in hormone secretion that results in follicular recession1,2. Menopausal symptoms and signs affect the central nervous system, genitourinary tract, and musculoskeletal system in approximately 80% of women, of which 20% are severely affected3,4. The physiological changes in the duration of menopause exert a wide variety of effects on brain morphology and development and cognitive function5,6. Post-menopausal women have frequently suffered cognitive dysfunction (memory loss and cognitive difficulties) and a higher risk of Alzheimer’s disease compared to men of the same age4,7. Therefore, investigating the hormonal effects on the brain in women provides a specific opportunity to examine menopause-related alterations.
Several studies have investigated the impact of sex hormones on cerebral structure during the menstrual cycle8–11 or oral contraceptive intake12–14. The gray matter (GM) volumes in the regions including of the amygdala, hippocampus, temporal gyrus and parietal gyrus fluctuated by sex hormones across the menstrual cycle8–11. Some studies reported that women taking oral contraception decreased the cortical thickness of localized regions including of the anterior cingulate cortex, insula, and orbitofrontal gyrus, and decreased GM volumes in the amygdala (left side) and parahippocampal gyrus (anterior part)12,13. Other studies reported that oral contraceptive women group increased GM volumes in the regions of the cerebellum, fusiform gyrus, parahippocampal gyrus, temporal gyrus and parietal gyrus during the follicular phase and luteal phase, compared to healthy control women13,14. Also, several studies examined the relationship between sex steroid hormones and GM volume. A study found larger volume of the supplementary motor area (MOs), inferior frontal gyrus (IFG), olfactory cortex, and superior temporal gyrus (STG) in premenopausal women compared to postmenopausal women6. The study demonstrated that serum estradiol level positively correlated with GM volumes of the MOs, IFG, and STG, and follicle-stimulating hormone (FSH) negatively correlated with GM volumes of the MOs, IFG, and STG6. A longitudinal study15 reported that cerebral hippocampal volumes changed before and after hormone intake. Three different estrogen-dose groups (placebo, daily 1 mg, and daily 2 mg) were administered to healthy postmenopausal women for 3 months, and the bilateral hippocampal volume dose-dependently increased following 3 months of treatment15. Taking all of these findings into the consideration, the localized brain regions can be helpful for assessing the hormone therapeutic effects in conjunction with levels of sex steroid hormones.
Menopausal hormone therapy (MHT) medication can help reduce troublesome menopausal symptoms such as cognitive changes, mood changes, sleep problems, and sexual problems16,17. Several studies reported that MHT can reduce the incidence of Alzheimer’s disease by more than 64% and prevent age-related cognitive decline, proving that it has been used in the past or for a sufficient period of time18,19. A recent nationwide case–control study suggested a small increase in the absolute risk of Alzheimer’s disease associated with long-term (> 10 years) exposure to systemic MHT20, but this finding requires more corroborative evidence worldwide. Although this evidence does not support the use of MHT singularly for the primary prevention of chronic diseases, such as cardiovascular disease, osteoporosis, and cognitive impairment3,21, symptomatic women who begin MHT in early menopause may gain protection from certain chronic conditions22,23. However, it is still unclear how to affect menopausal symptoms and to protect the brain of the menopausal woman from declining.
With the recent neuroimaging technique, Goto et al.24 unveiled the acceleration of volume reduction with aging and menopause in the hippocampus of menopausal women using voxel-based morphometry (VBM) and atlas-based analysis methods. Menopausal estrogen therapy (ET) improves the structural integrity of tissue, inducing neuronal growth and similar trophic effects. Several morphometric studies25–27 reported that post-menopausal women who received the ET showed enhanced cognitive function and brain volume. A previous VBM study28 showed that post-menopausal women receiving ET had larger cortical GM volumes than post-menopausal women without ET, especially in the hippocampus-amygdala complex and cerebral cortex. Lord et al.29 reported larger hippocampal volumes in patients who received ET using a volumetric measurement method. A similar study30 suggested that ET is related to the retention of GM volume in the frontal, parietal, and temporal cortices in post-menopausal women. A correlative study31 reported a positive association between ET use and GM density in the inferior parietal lobules and the precuneus. In recent years, a VBM technique using diffeomorphic anatomical registration through an exponentiated Lie algebra (DARTEL) algorithm has grown in popularity due to its more accurate intersubject alignment for brain segmentation and registration than earlier VBM techniques6,32. DARTEL-based VBM of the whole cerebral cortex and menopause-associated areas (e.g., the pituitary gland, hippocampus and amygdala formation) will provide more accurate and statistically powerful information on cerebral volume changes related specifically to the effects of MHT in menopausal women. There have been few DARTEL-based VBM studies assessing the association between brain volumes and sex hormone levels in menopausal women6. The DARTEL VBM study reported that the localized GM volumes of the SMA, IFG, and SFG were positively correlated with the serum estradiol levels within the pre-menopausal and menopausal women, and among the area volumes, the SMA volume was negatively correlated with the duration of time after natural menopause in menopausal women. Until now, there was no study focusing on the associations between specific hormone levels and/or the length of menopausal treatment period.
For this study, we investigated the difference in GM between menopausal women with MHT and without MHT using a DARTEL-based VBM method and assessed the association between regional morphologic variation and MHT (including hormone levels and period of treatment).
Results
Demographic characteristics
This study compared MHT women with age-matched and body mass index (BMI)-matched menopausal women without MHT (noMHT group). Comparison of mean sex hormone levels and hormone therapeutic information in the two groups is shown in Table 1. In the MHT women group, the mean period of MHT was 6.2 ± 6.4 years (range, 0.5–21.1 years) on average. The estradiol level in MHT women was higher than that of the noMHT group (p < 0.001), while the levels of FSH (p = 0.029) and anti-müllerian hormone (AMH) (p = 0.047) were lower. These sex hormonal levels were significantly different between the two groups.
Table 1.
Patient characteristics and sex hormone levels in the menopausal hormone therapy (MHT) and noMHT groups.
| Hormone levels | noMHT (n = 21) | MHT (n = 20) | p-value* | Effect size |Cohen’s d| | Achieved power (input d, α = 0.05) | N need (each group) for 80% power |
|---|---|---|---|---|---|---|
| Age (year) | 56.6 ± 3.8 | 57.2 ± 4.2 | 0.728 | 0.147 | 0.074 | 728 |
| BMI (kg/m2) | 23.7 ± 2.9 | 22.8 ± 2.4 | 0.368 | 0.029 | 0.051 | 18,667 |
| Age of menopause (year) | 50.3 ± 4.8 | 50.7 ± 3.3 | 0.742 | – | – | – |
| MHT drug (drug name) (n) | – | Premina 10, Angeliq 6, Livial 2, Progynova 1, Duavive 1 | – | – | – | – |
| MHT period (year, range) (min.–max.) | – | – | – | – | – | – |
| Anti-müllerian hormonea [ng/mL] | 0.0105 ± 0.002 | 0.0100 ± 0.000 | 0.047 | 0.360 | 0.203 | 123 |
| Estradiolb [pg/mL] | 8.03 ± 1.83 | 28.02 ± 5.62 | < 0.001 | 1.074 | 0.918 | 15 |
| Testosteronec [ng/mL] | 0.13 ± 0.03 | 0.16 ± 0.03 | 0.779 | 0.211 | 0.101 | 354 |
| Progesteroned [ng/mL] | 0.59 ± 0.54 | 0.06 ± 0.01 | 0.051 | 0.355 | 0.198 | 126 |
| FSHe [mIU/L] | 67.20 ± 7.65 | 42.90 ± 3.90 | 0.029 | 0.859 | 0.765 | 23 |
| LHf [mIU/L] | 33.39 ± 3.49 | 31.37 ± 2.71 | 0.233 | 0.143 | 0.073 | 769 |
Sex hormone data presented mean ± SEM. BMI: body mass index. MHT stands for menopausal hormone therapy. follicle-stimulating hormone: FSH; and luteinizing hormone: LH.
Cohen’s d was calculated for standardized effect size for measuring the difference between two group means. Refer to effect sizes as small (d = 0.2), medium (d = 0.5), large (d = 0.8).
Reference ranges for sex steroid hormones in pre-menopausal and post-menopausal women.
*The difference between noMHT and MHT groups was analyzed by independent two sample t-test.
aHigh > 4.0 ng/mL; normal 1.5–4.0 ng/mL; low normal 1.0–1.5 ng/mL; low 0.5–1.0 ng/mL; very low < 0.5 ng/mL.
bPre-menopausal women, 11–526 pg/mL; post-menopausal women, less than 37 pg/mL.
c20–49 years old, 0.08–0.48 ng/mL; ≥ 50 years old, 0.03–0.41 ng/mL.
dPre-menopause, follicular: 0.06–0.89, ovulation: 0.12–12.00, luteal: 1.83–23.90; postmenopause, < 0.05–0.13 ng/mL.
ePre-menopausal women, 1.5–33.4 mIU/mL; post-menopausal women, 23–116.3 mIU/mL.
fPre-menopausal women, 0.5–73.6 mIU/mL; post-menopausal women, 15.9–54.0 mIU/mL.
Localized differences in brain volume in MHT
The total intracranial volumes (TIV) in the two groups are listed in Table 2. The GM volumes in noMHT and MHT women were 599.4 ± 46.8 mL and 587.2 ± 54.3 mL (p = 0.442), respectively, and the white matter (WM) volumes were 450.0 ± 56.6 mL and 443.7 ± 34.0 mL (p = 0.672), respectively. Cerebrospinal fluid (CSF) volumes of noMHT and MHT women were 473.1 ± 142.9 mL and 425.0 ± 157.3 mL, respectively (p = 0.311); and TIVs were 1522.7 ± 175.8 mL and 1456.0 ± 220.8 mL, respectively (p = 0.290). However, all tissue volumes and TIV were not significantly different.
Table 2.
Differential intracranial brain volumes in noMHT and MHT women.
| Tissues | Group | p-value‡ | ||
|---|---|---|---|---|
| NoMHT women (n = 21, A) | MHT women (n = 20, B) | Difference (A − B) | ||
| GMa (mL, CVb %) | 599.4 ± 46.8 (7.8) | 587.2 ± 54.3 (9.2) | 12.2 | 0.442 |
| WMa (mL) | 450.0 ± 56.6 (12.6) | 443.7 ± 34.0 (7.7) | 6.3 | 0.672 |
| CSFa (mL) | 473.1 ± 142.9 (30.2) | 425.0 ± 157.3 (37.0) | 48.1 | 0.311 |
| GMa + WMa (mL) | 1049.4 ± 93.2 (8.9) | 1030.9 ± 81.3 (9.2) | 18.5 | 0.502 |
| Total volume (mL) | 1522.7 ± 175.8 (11.5) | 1456.0 ± 220.8 (15.2) | 66.7 | 0.290 |
MHT menopausal hormone therapy, GM gray matter, WM white matter, CSF cerebrospinal fluid.
‡The difference between noMHT and MHT women was analyzed with independent two sample t-test.
aThe volume was measured by using 'get_totals.m' function from segmented individual data on SPM12.
bThe percentage indicates the coefficient of variation ( CV = [SD/volume mean] × 100).
Figure 1 shows the significantly larger volumes of GM in the MHT group (cut-off t-value, 3.00; cluster size > 50) using DARTEL analysis, and the anatomical areas are summarized in Table 3. Using two-sample t-test (Fig. 1A), VBM indicated that MHT was associated with larger GM volumes in the MHT group, which included the middle frontal gyrus (MFG), hypothalamus (Hy), superior frontal gyrus (SFG), IFG, postcentral gyrus (PoG), and angular gyrus (AnG). With ANCOVA analysis adjusting for age and TIV (Fig. 1B), MHT-treated women showed larger GM volumes in the SFG/MFG/IFG, Hy, inferior temporal gyrus (ITG), parahippocampal gyrus (PHG), hippocampus (Hi), cerebellar cortex (Cb), PoG, precuneus (PCu), AnG, MOs, superior occipital gyrus (SOG), and pre-central gyrus (PrG), compared noMHT women. Figure 2 shows a bar graph in comparison of t-values using two different statistical analyses. The t-values by ANCOVA analysis were higher values than those using two sample t-test. However, there was no greater GM volume in the noMHT group.
Figure 1.
Brain areas with larger gray matter volumes in menopausal hormone therapy (MHT) women relative to noMHT women, which analyzed with independent two-sample t-test (A) and analysis of covariance (ANCOVA) (B) adjusting for age and total intracranial volume (TIV) (corrected p < 0.05; threshold t = 3.0, cluster size 50). The red color-coded pixels were scaled to the range (t-value 3.00–5.50) more than the cut-off threshold. L = left; R = right.
Table 3.
Larger GM volume areas in MHT group (p < 0.05; threshold t-value 3.0 and cluster size more than 50 pixels).
| Anatomical area | Abbr | t-value | Equivalent z-value | MNI coordinate | No. of voxels | ||
|---|---|---|---|---|---|---|---|
| x | y | z | |||||
| Two sample t-test | |||||||
| Middle frontal gyrus | MFG | 3.87 | 3.54 | − 23 | 34 | 27 | 2373 |
| Hypothalamus | Hy | 3.64 | 3.36 | − 5 | − 14 | − 9 | 3060 |
| Superior frontal gyrus | SFG | 3.35 | 3.12 | 11 | 42 | 23 | 2167 |
| Inferior frontal gyrus | IFG | 3.28 | 3.06 | − 40 | 24 | 21 | 1269 |
| Postcentral gyrus | PoG | 3.12 | 2.93 | 15 | − 41 | 54 | 147 |
| Angular gyrus | AnG | 3.04 | 2.86 | − 45 | − 54 | 25 | 613 |
| ANCOVA adjusting for age and TIV | |||||||
| Middle frontal gyrus | MFG | 5.53 | 4.66 | − 22 | 36 | 26 | 2966 |
| Hypothalamus | Hy | 4.89 | 4.24 | − 4 | − 14 | − 9 | 292 |
| Inferior temporal gyrus | ITG | 4.48 | 3.96 | 52 | − 28 | − 30 | 797 |
| Superior frontal gyrus | SFG | 4.11 | 3.69 | − 17 | 10 | 54 | 160 |
| Parahippocampal gyrus | PHG | 4.04 | 3.64 | − 8 | − 1 | − 21 | 81 |
| Inferior frontal gyrus | IFG | 3.66 | 3.35 | − 36 | 34 | 12 | 1179 |
| Hippocampus | Hi | 3.59 | 3.29 | 22 | 12 | − 30 | 75 |
| Cerebellar cortex | Cb | 3.49 | 3.21 | 25 | − 28 | − 31 | 441 |
| Postcentral gyrus | PoG | 3.49 | 3.21 | 20 | − 33 | 67 | 421 |
| Precuneus | PCu | 3.40 | 3.14 | − 17 | − 75 | 45 | 606 |
| Angular gyrus | AnG | 3.31 | 3.08 | − 46 | − 55 | 33 | 54 |
| Supplementary motor area | MOs | 3.04 | 2.86 | − 9 | 15 | 52 | 108 |
| Superior occipital gyrus | SOG | 3.02 | 2.83 | − 19 | − 75 | 43 | 108 |
| Precentral gyrus | PrG | 3.00 | 2.81 | 30 | − 24 | 54 | 130 |
MNI Montreal Neurological Institute, ANCOVA analysis of covariance, TIV total intracranial volume.
Moderate effect size of Cohen’s d (0.5) is threshold t-value 3.0.
t-value was calculated by two sample t-test and ANCOVA with adjusting covariates of age and TIV.
Figure 2.
Gray matter volume (maximum t-value) observed in menopausal hormone therapy (MHT) women relative to noMHT group: independent two-sample t-test and analysis of covariance (ANCOVA) adjusting for age and total intracranial volume (TIV) (p < 0.05). Angular gyrus: AnG; Cerebellar cortex: Cb; Hippocampus: Hi; Hypothalamus: Hy; Inferior frontal gyrus: IFG; Inferior temporal gyrus: ITG; Middle frontal gyrus: MFG; Parahippocampal gyrus: PHG; Postcentral gyrus: PoG; Precentral gyrus: PrG; Precuneus: PCu; Superior frontal gyrus: SFG; Superior occipital gyrus: SOG; Supplementary motor area: MOs.
Correlation between localized brain volume and MHT
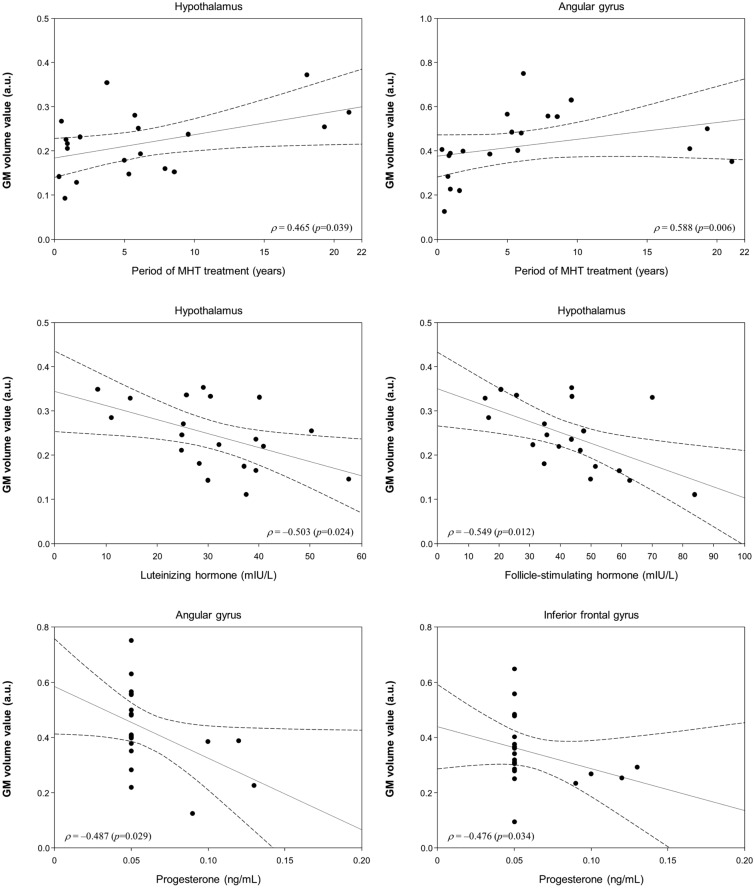
Figure 3 shows the correlation between cerebral volumes and MHT treatment. MHT women showed positive correlations between the treatment period and the volumes of the AnG (Spearman’s rho, ρ = 0.588; p = 0.006), and the treatment period and the volumes of the Hy (ρ = 0.465; p = 0.039), respectively. Meanwhile, MHT women showed negative correlations between FSH levels and the volumes of the Hy (ρ = − 0.549; p = 0.012), luteinizing hormone (LH) levels and the volumes of the Hy (ρ = − 0.503; p = 0.024), and the progesterone (PG) levels and the volumes of the IFG (ρ = − 0.476; p = 0.034) and the PG levels and the volumes of the AnG (ρ = − 0.487; p = 0.029).
Figure 3.
The period of MHT treatment in women was positively correlated with mean gray matter (GM) volume value in the hypothalamus and angular gyrus. Follicle-stimulating hormone (FSH), luteinizing hormone (LH) and progesterone (PG) levels in MHT women were negatively correlated with GM volume value in the hypothalamus, angular gyrus, and inferior frontal gyrus. Note that the y-axis scales (GM volume value) are different each other. Dotted lines show 95% confidence interval (CI). a.u. = arbitrary unit.
Discussion
This study showed that MHT menopausal women have greater cortical GM volumes than noMHT women within the same age range (mean, 57 years), which was positively correlated with MHT treatment. With DARTEL-based VBM, the volumes of subcortical structures in MHT women differed from those in noMHT women. In particular, localized GM volumes, including the SFG/MFG/IFG, Hy, ITG, PHG, Hi, Cb, PoG, PCu, AnG, MOs, SOG and PrG were larger in MHT women than those in noMHT women. Furthermore, MHT women showed positive correlations between treatment period and volumes in the AnG and Hy. The GM volume values of the Hy were negatively correlated with the levels of FSH and LH (menstrual cycle-related hormones associated with gonadal function). The GM volume values of the IFG and AnG were negatively correlated with PG levels in MHT women. However, using conventional volume measurement, there were no significant differences between the two groups in total intracranial volume.
Regarding the effect of hormone therapy, previous studies25–27 reported that estrogen increased the neutral effect or affected structural integrity in brain tissue, especially in the prefrontal, temporal, and parietal lobes. In the study, estradiol levels in pre-menopausal women were significantly higher than in post-menopausal women, while FSH was significantly lower. Estrogen production decreases with age during the transition to menopause; a higher level of estradiol positively affects cognitive function, neuroprotection, and associated brain functions33. ET may influence clinical outcomes through vascular changes or effects on regional brain volume, including neuronal architecture and synaptic density26. A morphological study6 evaluating the effect of menopause-related hormone in post-menopausal women reported that the reduced volumes observed in the superior temporal gyrus, IFG, olfactory cortex, and MOs are closely associated with menopause-related structural change. In our study, the mean period of MHT is approximately 6 years. The serum estradiol level in MHT women, such as pre-menopausal women, was higher than that of noMHT women, while the FSH level was lower. These hormonal changes in MTH women were similar to previous studies25–27, demonstrating level values before and after hormone therapy. Compared to noMHT women, the increments in local GM volume observed in MHT women could be associated with protection or suppression of cell loss or/and cell shrinkage related to MHT treatment.
Menopausal women with MHT showed larger GM volumes in key brain regions including of the SFG/MFG/IFG, Hy, ITG, PHG, Hi, Cb, PoG, PCu, AnG, MOs, SOG and PrG compared to noMHT women. ET as a MHT can modulate cell proliferation, differentiation, and survival in brain tissues34; moreover, estrogen treatment significantly increased the density of neurotransmitter serotonin-binding sites in the anterior frontal, cingulate, and olfactory cortex35. Estrogen receptors were ubiquitously localized in the frontal cortex; therefore, the SFG/MFG/IFG, and MOs may be capable of neuroprotection by MHT treatment. Additionally, MHT menopausal women showed larger GM volumes, including the PoG, PCu, and AnG in somatosensory cortices and the PrG and MOs in closely adjacent primary and secondary motor areas. There are differences in the somatosensory cortex by hormone therapy36,37. Khan et al.37 reported that estradiol enhanced rapid increases in dendritic spines in the somatosensory cortex, an area that contributed to working memory, as well as the prefrontal cortex. A previous study38 suggested that hormone therapy and estrogen exposure positively affect the motor system, thus counteracting aging-related reorganization. Thus, these volume changes might help improve the execution of the voluntary movement-related function and the receiving and processing of sensory information from throughout the body by MHT treatment. Moreover, hormone replacement therapy (HRT) was positively associated with better performance on tasks of verbal memory39. A positron emission tomography (PET) study showed evidence that ET (either with or without progestagen addition) modulates longitudinal changes in blood flow of the brain areas involved in cognitive function40. HRT group performing on tasks of verbal and visual memory demonstrated differences in the activation of regions subserving memory (especially the frontal lobe) compared to non-HRT control group41. Also, greater activation of the temporal gyrus, Hi and insula regions, and the PHG and IFG, was observed during verbal and visual memory tasks, respectively, in long-term HRT users (> 2 years) compared to non-HRT users40. Therefore, cerebral volume changes by MHT are closely associated with the alteration of brain blood flow and brain function.
Interestingly, MHT women showed greater hypothalamic volumes. The Hy, which is located in the center of the brain between the pituitary gland and the thalamus42, plays an important role in the production of hormones such as FSH, LH, dopamine, vasopressin, and gonadotropin-releasing hormone (GnRH); and helps to stimulate many important processes while maintaining the stable state of the body (homeostasis), such as body temperature, emotions, sleep cycles, sexual drive, blood pressure, and heart rate43. Especially in feedback mechanism for ovarian hormone production44, the secretion of female sex hormones starts with the secretion of a GnRH in the Hy of the brain. GnRH stimulates the pituitary to release two gonadotropins, FSH and LH. Released FSH and LH promote ovulation and stimulate secretion of the sex steroids estradiol (the most common estrogen, E2) and PG. Positive and negative feedback by E2 and PG acts on FSH and LH production as follows: high levels of E2 and PG stimulate FSH and LH secretion, and the low levels of E2 and PG cause negative feedback to suppress FSH and LH secretion. In present study, MHT-treated women had lower levels of FSH and LH than noMHT women (as Table 1), and their hypothalamic volume is negatively correlated with FSH and LH levels, as shown in Fig. 3. In old reproductive-age women as noMHT menopausal women, the patterns of hormone secretion with decreased ovarian function show significant alterations of hypothalamic-pituitary feedback mechanisms by menopause43. The study showed relative hypothalamic-pituitary insensitivity to estrogen in aging menopausal women manifested by positive and negative feedback mechanisms (from FSH and LH levels). In this study, both groups enrolled are age-matched and BMI-matched. Hypothalamic hormonal changes (lower FSH/LH and higher estradiol levels like premenopausal women) reflected the improvement in hypothalamic pituitary sensitivity by MHT treatment; therefore, these findings may support the idea that MHT treatment improves menopausal symptoms that disrupt life quality in menopausal women.
This study included several limitations. First, this study used DARTEL-based VBM method to analyze the GM difference between MHT and noMHT groups. The DARTEL method can be replaced by ‘Geodesic Shooting,’ which is supposedly more mathematically correct45. Further study will perform to clarify the difference between DARTEL and Geodesic Shooting methods for assessing GM difference associated with MHT. Second, sex hormones, aging, and metabolic status are important factors in brain volume changes in post-menopausal women that may interact. To overcome aging and metabolic status-related morphometric changes, we directly compared age-matched and BMI-matched post-menopausal women as the MHT and noMHT groups. Our study focused on GM volume in response to MHT; more studies are needed to evaluate changes in WM volume to understand the effect of MHT, particularly with the addition of diffusion tensor imaging, which might help assess MHT-related morphometric alterations. The information of other tissues such as WM, and CSF could be available for understanding MHT-related differences. Further study will perform to clarify WM and CSF difference by MHT. Third, MHT treatment plays a protective role in cognitive decline; however, we did not measure cognitive function using assessment tools, such as the Mini-Mental State Examination or other intelligence tests. Despite such limitations, we showed MHT-related morphometric differences in specific areas of the brain, suggesting a neuroprotective effect of hormone therapy in the cerebral cortex.
In conclusion, MHT-treated women might be larger GM volumes compared to menopausal women without MHT. The anatomical structures that showed greater volume in association with MHT included the deep brain areas (Hy, PHG, Hi), cerebellar cortex, frontal (SFG/MFG/IFG, MOs, PrG), inferior temporal, parietal (PoG, PCu, AnG), and superior occipital gyri. This study found a correlation between the levels of sex hormones and localized brain volumes following MHT. These findings would help us understand the interaction between brain volumes and levels of sex hormones following menopause and MHT.
Materials and methods
Study population
The study protocol was approved as a prospective research (2020–09-011–004) by the institutional review board of Wonkwang University Hospital according to clinical practice guidelines and all subjects gave written informed consent. A total of 41 individuals, 20 menopausal women with MHT (MHT group; mean age 57.2 ± 4.2 years) and age-matched 21 menopausal women without MHT (noMHT group; mean age: 56.6 ± 3.8 years), were enrolled in the Department of Obstetrics and Gynecology from January 2021 to December 2021. Both groups did not have a history of neurological and psychiatric disease. All participants were prescreened by physical and neurological examinations and interviewed by an obstetrician gynecologist. This study was conducted following the Helsinki Declaration and Good Clinical Practice guidelines.
All noMHT women were chosen according to the following criteria. First, a menopause diagnosis based on the stages of reproductive aging workshop + 10 and the regularity of menstrual bleeding. Second, FSH levels > 30 mIU/L. Third, more than 1 year since the last menstrual period. Fourth, no history of hysterectomy/bilateral oophorectomy or psychiatric/neurological illnesses. Fifth, no history of hormone and steroid treatment or oral contraception for 1 month before the study.
Measurement of serum sex hormone levels
All participants underwent blood tests to compare circulating sex hormone levels between both groups. All MHT menopausal women had received oral administration for MHT of only estrogen or combination hormone replacement treatment as Premina, Angeliq, Livial, Progynova, and Duavive. The measured sex hormones were AMH, estradiol, testosterone (TS), FSH, LH, and progesterone (PG) (Table 1).
The levels of AMH, estradiol, FSH, LH, PG and TS were measured with chemiluminoimmunoassay (CLIA) on the UniCel DxI 800 (Beckman Coulter Inc., Fullerton, CA) and electrochemiluminescence immunoassay (ECLIA) on the Cobas e801 automatic analyzer (Roche Diagnostics GmbH, Mannheim, Germany). The following test kits were used: AMH Assay kit (AccuBind® ELISA & AccuLite® CLIA, USA), Estradiol II assay (Roche, Mannheim, Germany), Elecsys FSH (Roche, Mannheim, Germany), and Elecsys LH (Roche, Mannheim, Germany), Elecsys Progesterone III assay (Roche, Mannheim, Germany) and The Access Testosterone assay (Beckman Coulter Inc., Fullerton, CA). All sex hormone levels were expressed as mean (SEM).
Magnetic resonance imaging (MRI)
MRI examinations were obtained using a 3 T MRI scanner (Ingenia Elition; Philips Healthcare, Best, The Netherlands) with a 32-channel adult head coil. Brain images were acquired using the 3-dimensional T1-weighted turbo field echo (3D T1W-TFE), and the scan parameters were as follows: TR/TE, 8.1/4.6 ms; FOV, 256 × 256 × 180 mm3; flip angle, 8°; slices, 180; voxel size, 1 × 1 × 1 mm3; acquisition time, 4 min 32 s.
The structural image analysis procedure of VBM for data post-processing
The T1-weighted MRI data were post-processed using the statistical parametric mapping program (SPM 12; Wellcome Department of Imaging Neuroscience Group, University College London, London, United Kingdom) with DARTEL analysis.
VBM was used to evaluate differences in the localized volume of GM among the compared groups. The brain MR images were processed using an optimized protocol described in previous studies32,46. Before data processing, the brain images of the 41 women were aligned with an anterior–posterior commissure line. MR images were processed with nonuniformity correction to remove smoothly varying modulations of image intensity. The MRI data were segmented into GM, WM, and cerebrospinal fluid (CSF) using tissue probability maps from the SPM 12 templates (“gray.nii”, “white.nii”, and “csf.nii”, respectively). The images were normalized to the International Consortium for Brain Mapping template for East Asian brains and multiplied by the nonlinear components derived from the normalization matrix for modulation of GM volume. A mean template for GM was created using individual GM images. All the images were normalized to the Montreal Neurological Institute (MNI) template and were subsequently separated into GM images. All images were then smoothed with a 6-mm full width at the half-maximum isotropic Gaussian kernel to minimize cortical variation. TIV was measured by calculating the volumes of GM, WM, and CSF in each woman using conventional volume measurement. We used the general linear model and a two-sample test to examine voxel-wise GM differences between noMHT and MHT women in SPM.
Effect size for neuroimaging data is simply calculated as a Cohen’s d value47. For our given sample size (n = 41), the value d can be converted to a t-value (Cohen’s d = t/[n]1/2). The threshold t-value 3.0 is moderate effect size of Cohen’s d (0.5). A 2-sample t-test (p < 0.05, corrected family-wise error) and analysis of covariance (ANCOVA) adjusting for age and TIV were used to compare whole GM volume between noMHT and MHT women. The cluster size included more than 50 contiguous voxels. A correlation map was evaluated the regression between the levels of sexual hormones and mean GM volume in each brain area. Each brain area’s mask was applied to the evaluation of the mean GM volume value.
Statistical analysis
All statistical analyzes were performed using the statistical package for the social sciences (SPSS ver.20; Chicago, Illinois, USA) and the SPM 12 program. Differences in sex hormone levels between the noMHT and MHT groups were analyzed using an independent two-sample t-test. The correlation between MHT (treatment period; levels of sex hormones) and brain volume variations were analyzed by simple regression in SPM and Spearman’s correlation in SPSS.
Acknowledgements
This study was supported by the grants of the NRF (2020R1I1A1A01073871) and KHIDI, funded by the Ministry of Health &Welfare (HI18C1216).
Author contributions
All authors contributed to this work. Study design: T.-H.K., B.R.K. Performed the experiments: T.-H.K., B.R.K., Y.R.K., C.-W.J. Analyzed the data: T.-H.K., Y.R.K., Y.H.L. Interpreted the data: T.-H.K., B.R.K., Y.R.K., C.-W.J., Y.H.L. Wrote the paper: T.-H.K., C.-W.J. Critically reviewing manuscript: T.-H.K.
Data availability
The datasets used and/or analyzed during the current study available from the corresponding author on reasonable request.
Competing interests
The authors declare no competing interests.
Footnotes
Publisher's note
Springer Nature remains neutral with regard to jurisdictional claims in published maps and institutional affiliations.
References
- 1.Paciuc J. Hormone therapy in menopause. Adv. Exp. Med. Biol. 2020;1242:89–120. doi: 10.1007/978-3-030-38474-6_6. [DOI] [PubMed] [Google Scholar]
- 2.Takahashi TA, Johnson KM. Menopause. Med. Clin. N. Am. 2015;99:521–534. doi: 10.1016/j.mcna.2015.01.006. [DOI] [PubMed] [Google Scholar]
- 3.Baber RJ, Panay N, Fenton A. 2016 IMS Recommendations on women's midlife health and menopause hormone therapy. Climacteric. 2016;19:109–150. doi: 10.3109/13697137.2015.1129166. [DOI] [PubMed] [Google Scholar]
- 4.Palacios S, Stevenson JC, Schaudig K, Lukasiewicz M, Graziottin A. Hormone therapy for first-line management of menopausal symptoms: Practical recommendations. Womens Health. 2019;15:1745506519864009. doi: 10.1177/1745506519864009. [DOI] [PMC free article] [PubMed] [Google Scholar]
- 5.Kim TH, Kang HK, Park K, Jeong GW. Localized brain metabolite changes during visual sexual stimulation in postmenopausal women: A pilot study using functional magnetic resonance spectroscopy. Menopause. 2014;21:59–66. doi: 10.1097/GME.0b013e318291f816. [DOI] [PubMed] [Google Scholar]
- 6.Kim GW, Park K, Jeong GW. Effects of sex hormones and age on brain volume in post-menopausal women. J. Sex. Med. 2018;15:662–670. doi: 10.1016/j.jsxm.2018.03.006. [DOI] [PubMed] [Google Scholar]
- 7.Rahman A, et al. Sex and gender driven modifiers of Alzheimer's: The role for estrogenic control across age, race, medical, and lifestyle risks. Front. Aging Neurosci. 2019;11:315. doi: 10.3389/fnagi.2019.00315. [DOI] [PMC free article] [PubMed] [Google Scholar]
- 8.Hagemann G, et al. Changes in brain size during the menstrual cycle. PLoS ONE. 2011;6:e14655. doi: 10.1371/journal.pone.0014655. [DOI] [PMC free article] [PubMed] [Google Scholar]
- 9.Ossewaarde L, et al. Menstrual cycle-related changes in amygdala morphology are associated with changes in stress sensitivity. Hum. Brain Mapp. 2013;34:1187–1193. doi: 10.1002/hbm.21502. [DOI] [PMC free article] [PubMed] [Google Scholar]
- 10.Lisofsky N, et al. Hippocampal volume and functional connectivity changes during the female menstrual cycle. Neuroimage. 2015;118:154–162. doi: 10.1016/j.neuroimage.2015.06.012. [DOI] [PubMed] [Google Scholar]
- 11.Protopopescu X, et al. Hippocampal structural changes across the menstrual cycle. Hippocampus. 2008;18:985–988. doi: 10.1002/hipo.20468. [DOI] [PubMed] [Google Scholar]
- 12.Petersen N, Touroutoglou A, Andreano JM, Cahill L. Oral contraceptive pill use is associated with localized decreases in cortical thickness. Hum. Brain Mapp. 2015;36:2644–2654. doi: 10.1002/hbm.22797. [DOI] [PMC free article] [PubMed] [Google Scholar]
- 13.De Bondt T, et al. Regional gray matter volume differences and sex-hormone correlations as a function of menstrual cycle phase and hormonal contraceptives use. Brain Res. 2013;1530:22–31. doi: 10.1016/j.brainres.2013.07.034. [DOI] [PubMed] [Google Scholar]
- 14.Pletzer B, Kronbichler M, Kerschbaum H. Differential effects of androgenic and anti-androgenic progestins on fusiform and frontal gray matter volume and face recognition performance. Brain Res. 2015;1596:108–115. doi: 10.1016/j.brainres.2014.11.025. [DOI] [PubMed] [Google Scholar]
- 15.Albert K, et al. Estrogen enhances hippocampal gray-matter volume in young and older postmenopausal women: A prospective dose-response study. Neurobiol. Aging. 2017;56:1–6. doi: 10.1016/j.neurobiolaging.2017.03.033. [DOI] [PMC free article] [PubMed] [Google Scholar]
- 16.Menopause Advisory Panel The 2022 hormone therapy position statement of The North American Menopause Society. Menopause. 2022;29:767–794. doi: 10.1097/GME.0000000000002028. [DOI] [PubMed] [Google Scholar]
- 17.Hickey M, Elliott J, Davison SL. Hormone replacement therapy. BMJ. 2012;344:e763. doi: 10.1136/bmj.e763. [DOI] [PubMed] [Google Scholar]
- 18.Song YJ, et al. The effect of estrogen replacement therapy on Alzheimer's disease and Parkinson's disease in postmenopausal women: A meta-analysis. Front. Neurosci. 2020;14:157. doi: 10.3389/fnins.2020.00157. [DOI] [PMC free article] [PubMed] [Google Scholar]
- 19.Ibrahim AW, Sodipo OA, Mshelia IA, Machina BK. Hormone replacement therapy and Alzheimer's disease in older women: A systematic review of literature. J. Neurosci. Behav. Health. 2018;10:1–8. doi: 10.5897/JNBH2017.0148. [DOI] [Google Scholar]
- 20.Savolainen-Peltonen H, et al. Use of postmenopausal hormone therapy and risk of Alzheimer's disease in Finland: Nationwide case-control study. BMJ. 2019;364:l665. doi: 10.1136/bmj.l665. [DOI] [PMC free article] [PubMed] [Google Scholar]
- 21.Gambacciani M, et al. Menopause and hormone replacement therapy: The 2017 Recommendations of the Italian Menopause Society. Minerva Ginecol. 2018;70:27–34. doi: 10.23736/S0026-4784.17.04151-X. [DOI] [PubMed] [Google Scholar]
- 22.Nudy M, Chinchilli VM, Foy AJ. A systematic review and meta-regression analysis to examine the 'timing hypothesis' of hormone replacement therapy on mortality, coronary heart disease, and stroke. IJC Heart Vasc. 2019;22:123–131. doi: 10.1016/j.ijcha.2019.01.001. [DOI] [PMC free article] [PubMed] [Google Scholar]
- 23.Gambacciani M, Cagnacci A, Lello S. Hormone replacement therapy and prevention of chronic conditions. Climacteric. 2019;22:303–306. doi: 10.1080/13697137.2018.1551347. [DOI] [PubMed] [Google Scholar]
- 24.Goto M, et al. 3 Tesla MRI detects accelerated hippocampal volume reduction in postmenopausal women. J. Magn. Reson. Imaging. 2011;33:48–53. doi: 10.1002/jmri.22328. [DOI] [PubMed] [Google Scholar]
- 25.Boyle CP, et al. Estrogen, brain structure, and cognition in postmenopausal women. Hum. Brain Mapp. 2021;42:24–35. doi: 10.1002/hbm.25200. [DOI] [PMC free article] [PubMed] [Google Scholar]
- 26.Resnick SM, et al. Postmenopausal hormone therapy and regional brain volumes: The WHIMS-MRI Study. Neurology. 2009;72:135–142. doi: 10.1212/01.wnl.0000339037.76336.cf. [DOI] [PMC free article] [PubMed] [Google Scholar]
- 27.Russell JK, Jones CK, Newhouse PA. The role of estrogen in brain and cognitive aging. Neurotherapeutics. 2019;16:649–665. doi: 10.1007/s13311-019-00766-9. [DOI] [PMC free article] [PubMed] [Google Scholar]
- 28.Boccardi M, et al. Effects of hormone therapy on brain morphology of healthy postmenopausal women: A Voxel-based morphometry study. Menopause. 2006;13:584–591. doi: 10.1097/01.gme.0000196811.88505.10. [DOI] [PubMed] [Google Scholar]
- 29.Lord C, Buss C, Lupien SJ, Pruessner JC. Hippocampal volumes are larger in postmenopausal women using estrogen therapy compared to past users, never users and men: A possible window of opportunity effect. Neurobiol. Aging. 2008;29:95–101. doi: 10.1016/j.neurobiolaging.2006.09.001. [DOI] [PubMed] [Google Scholar]
- 30.Erickson KI, et al. Selective sparing of brain tissue in postmenopausal women receiving hormone replacement therapy. Neurobiol. Aging. 2005;26:1205–1213. doi: 10.1016/j.neurobiolaging.2004.11.009. [DOI] [PubMed] [Google Scholar]
- 31.Lord C, Engert V, Lupien SJ, Pruessner JC. Effect of sex and estrogen therapy on the aging brain: A voxel-based morphometry study. Menopause. 2010;17:846–851. doi: 10.1097/gme.0b013e3181e06b83. [DOI] [PubMed] [Google Scholar]
- 32.Kim TH, Kim SK, Jeong GW. Cerebral gray matter volume variation in female-to-male transsexuals: A voxel-based morphometric study. NeuroReport. 2015;26:1119–1125. doi: 10.1097/WNR.0000000000000481. [DOI] [PubMed] [Google Scholar]
- 33.Mott NN, Pak TR. Estrogen signaling and the aging brain: Context-dependent considerations for postmenopausal hormone therapy. ISRN Endocrinol. 2013;2013:814690. doi: 10.1155/2013/814690. [DOI] [PMC free article] [PubMed] [Google Scholar]
- 34.Bustamante-Barrientos FA, et al. The impact of estrogen and estrogen-like molecules in neurogenesis and neurodegeneration: Beneficial or harmful? Front. Cell. Neurosci. 2021;15:636176. doi: 10.3389/fncel.2021.636176. [DOI] [PMC free article] [PubMed] [Google Scholar]
- 35.Fink G, Sumner BE, Rosie R, Grace O, Quinn JP. Estrogen control of central neurotransmission: Effect on mood, mental state, and memory. Cell. Mol. Neurobiol. 1996;16:325–344. doi: 10.1007/BF02088099. [DOI] [PMC free article] [PubMed] [Google Scholar]
- 36.Comasco E, Frokjaer VG, Sundström-Poromaa I. Functional and molecular neuroimaging of menopause and hormone replacement therapy. Front. Neurosci. 2014;8:388. doi: 10.3389/fnins.2014.00388. [DOI] [PMC free article] [PubMed] [Google Scholar]
- 37.Khan MM, Dhandapani KM, Zhang QG, Brann DW. Estrogen regulation of spine density and excitatory synapses in rat prefrontal and somatosensory cerebral cortex. Steroids. 2013;78:614–623. doi: 10.1016/j.steroids.2012.12.005. [DOI] [PMC free article] [PubMed] [Google Scholar]
- 38.Bayer U, Hausmann M. Hormone therapy in postmenopausal women affects hemispheric asymmetries in fine motor coordination. Horm. Behav. 2010;58:450–456. doi: 10.1016/j.yhbeh.2010.05.008. [DOI] [PubMed] [Google Scholar]
- 39.Maki PM, et al. Perimenopausal use of hormone therapy is associated with enhanced memory and hippocampal function later in life. Brain Res. 2011;1379:232–243. doi: 10.1016/j.brainres.2010.11.030. [DOI] [PMC free article] [PubMed] [Google Scholar]
- 40.Maki PM, Resnick SM. Longitudinal effects of estrogen replacement therapy on PET cerebral blood flow and cognition. Neurobiol. Aging. 2000;21:373–383. doi: 10.1016/S0197-4580(00)00123-8. [DOI] [PubMed] [Google Scholar]
- 41.Resnick SM, Maki PM, Golski S, Kraut MA, Zonderman AB. Effects of estrogen replacement therapy on PET cerebral blood flow and neuropsychological performance. Horm. Behav. 1998;34:171–182. doi: 10.1006/hbeh.1998.1476. [DOI] [PubMed] [Google Scholar]
- 42.Neufang S, et al. Sex differences and the impact of steroid hormones on the developing human brain. Cereb. Cortex. 2009;19:464–473. doi: 10.1093/cercor/bhn100. [DOI] [PubMed] [Google Scholar]
- 43.Weiss G, Skurnick JH, Goldsmith LT, Santoro NF, Park SJ. Menopause and hypothalamic-pituitary sensitivity to estrogen. JAMA. 2004;292:2991–2996. doi: 10.1001/jama.292.24.2991. [DOI] [PubMed] [Google Scholar]
- 44.Heffner LJ, Schust DJ. The Reproductive System at a Glance. 4. Wiley-Blackwell; 2014. [Google Scholar]
- 45.Ashburner J, Friston KJ. Diffeomorphic registration using geodesic shooting and Gauss-Newton optimisation. Neuroimage. 2011;55:954–967. doi: 10.1016/j.neuroimage.2010.12.049. [DOI] [PMC free article] [PubMed] [Google Scholar]
- 46.Good CD, et al. A voxel-based morphometric study of ageing in 465 normal adult human brains. Neuroimage. 2001;14:21–36. doi: 10.1006/nimg.2001.0786. [DOI] [PubMed] [Google Scholar]
- 47.Reddan MC, Lindquist MA, Wager TD. Effect size estimation in neuroimaging. JAMA Psychiat. 2017;74:207–208. doi: 10.1001/jamapsychiatry.2016.3356. [DOI] [PubMed] [Google Scholar]
Associated Data
This section collects any data citations, data availability statements, or supplementary materials included in this article.
Data Availability Statement
The datasets used and/or analyzed during the current study available from the corresponding author on reasonable request.



