Abstract
To explore the contributions of ω-3 fatty acid desaturases (FADs) to cold stress response in a special cryophyte, Chorispora bungeana, two plastidial ω-3 desaturase genes (CbFAD7, CbFAD8) were cloned and verified in an Arabidopsis fad7fad8 mutant, before being compared with the microsomal ω-3 desaturase gene (CbFAD3). Though these genes were expressed in all tested tissues of C. bungeana, CbFAD7 and CbFAD8 have the highest expression in leaves, while CbFAD3 was mostly expressed in suspension-cultured cells. Low temperatures resulted in significant increases in trienoic fatty acids (TAs), corresponding to the cooperation of CbFAD3 and CbFAD8 in cultured cells, and the coordination of CbFAD7 and CbFAD8 in leaves. Furthermore, the cold induction of CbFAD8 in the two systems were increased with decreasing temperature and independently contributed to TAs accumulation at subfreezing temperature. A series of experiments revealed that jasmonie acid and brassinosteroids participated in the cold-responsive expression of ω-3 CbFAD genes in both C. bungeana cells and leaves, while the phytohormone regulation in leaves was complex with the participation of abscisic acid and gibberellin. These results point to the hormone-regulated non-redundant contributions of ω-3 CbFADs to maintain appropriate level of TAs under low temperatures, which help C. bungeana survive in cold environments.
Subject terms: Molecular biology, Plant sciences
Introduction
Low temperature is one of the major environmental stresses influencing the distribution of plant species. To withstand this stress, plants have developed adaptive mechanisms, which are rather complex and include the regulation of cell components as well as metabolic changes1,2. Cell membranes, serving as the boundary and active interface between cells/organelles and their environment, are the major targets of low temperature acclimation1–3. Although the structural and functional integrity of cell membranes are usually affected by low temperatures, the membrane integrity can be maintained by fatty acid modification3,4. In fact, the content of TAs, represented mainly by C18:3, are improved to a certain extent in response to low temperatures, thus maintaining membrane fluidity and status5–7.
The synthesis of TAs is performed by ω-3 FADs through introducing a double bond into the ω-3 position of dienoic fatty acids1. It is known that ω-3 FADs are one kind of acyl-lipid desaturases, which could be classified into two types according to cellular localization: The plastid-type desaturase (FAD7 and FAD8) is localized in plastid membranes8,9, and the microsome-type desaturase (FAD3) is localized in the endoplasmic reticulum10. As one of the important factors for cold response11, the expression of ω-3 FAD genes have been widely researched in plants. The first finding from maize leaf showed an increase in ZmFAD8 mRNA accompanied by a decrease in ZmFAD7 mRNA under 5 °C exposure12. Later, relevant studies have been carried out in various plant species, such as birch13, Descurainia sophia14, purslanen15, soybean16, Arabidopsis17,18, safflower19, Gossypium raimondii20, Medicago truncatula21 and rice22. However, most of the studies focused on the common plants or crops undergoing chilling temperatures (2–16 °C), little attention has been paid to the cryophytes (typical cold-tolerant plants) surviving the extreme cold conditions. Therefore, it is unclear whether there are differences in the cold response of ω-3 FADs between cryophytes and the other plant species.
Besides that, though some phytohormones, for example abscisic acid (ABA), salicylic acid (SA), jasmonie acid (JA), brassinosteroids (BRs) and gibberellin (GA) were thought to be the signal molecules involved in plant cold response2,23–26, we still poorly understand whether these hormones participate in the cold response of ω-3 FAD genes. There was only one direct evidence confirmed that JA partially participated in the chilling-induced expression of ω-3 FAD genes in Arabidopsis17. Recently, a study from Arabidopsis leaf indicated that AtFAD7 protein levels decreased upon ABA treatment, while AtFAD8 protein levels increased upon cold or JA exposure27. Unfortunately, the new findings have not directly proved the influence of ABA and JA on the cold response of AtFAD7 and AtFAD8. So far, the phytohormones that transmit low temperature signals to ω-3 FAD genes and regulate their expression have not been identified. Considering that the critical role of hormonal and stress factors in polyunsaturated fatty acid metabolism have been clearly confirmed in rodents and humans28, similar studies on plants should attract enough attention. Perhaps the research on cryophytes will help us get more information.
Chorispora bungeana (C. bungeana) is a perennial cruciferous cryophyte, having a close genetic relationship with Arabidopsis29. It inhabits periglacial areas (about 3800–3900 m), where experience the bitter cold in winter and the freeze–thaw cycles in summer. To survive in the extreme environment, C. bungeana has adapted certain physiological and molecular mechanisms3,29–35 instead of special morphological characteristics36. Using cell suspension cultures, we found that the cold tolerance of C. bungeana was closely related to the accumulation of C18:3, however, the contribution of each ω-3 CbFAD on this progress is unknown3.
As a versatile experimental system, plant cell suspension cultures provide a possibility to analyze complex plant physiological processes in a more simplified system compared to the organism in toto37,38. Therefore, C. bungeana suspension-cultured cells are often used to study the physiological and molecular mechanisms of cold tolerance in our lab3,39–41. Meanwhile, the regenerated plants of C. bungeana are another useful experimental system can meet the research needs on tissue or organism level, in view of the low yield of wild C. bungeana and the sterility of cultivated C. bungeana29–31,35. Given that CbFAD3 (microsomal) and CbFAD7/CbFAD8 (plastidial) were mostly expressed in suspension-cultured cells and the leaves of regenerated plants, respectively, the experiments of this work were performed on the two materials to extend the analysis from cellular level to tissue level. The common phenomenon from the different analysis systems can be identified as the core adaptive mechanism in C. bungeana.
Results
cDNA isolation and sequence analysis of CbFAD7 and CbFAD8 from C. bungeana
After clone and verification, two full length cDNA of 1805 and 1563 bp were obtained and designated as CbFAD7 (KY069282) and CbFAD8 (KY069283), respectively. CbFAD7 contains an ORF encoding a predicted protein, CbFAD7 (439 aa, 50.2 kDa, pI = 7.89), having the highest identity (85%) to Brassica napus BnFAD7 (FJ985690). CbFAD8 contains an ORF encoding a predicted protein, CbFAD8 (397 aa, 45.6 kDa, pI = 8.92), having the highest identity (84%) to Arabidopsis AtFAD8 (NM120640).
Using the targetP prediction tool, two chloroplast targeting peptide of 50 and 60 aa were found in the N-terminal of the deduced CbFAD7 and CbFAD8 (Fig. 1a), respectively, predicting the subcellular localization of the proteins in chloroplasts. Amino acid alignment (Fig. 1a) showed that both of the deduced proteins contain three conserved histidine clusters (HDGCH, HXXXXXHRTHH and HHXXXXHVIHH) and four transmembrane domains (TMD), suggesting that they are chloroplast membrane-bound ω-3 FADs. The phylogenetic analysis (Fig. 1b) displayed that CbFAD7 (ARL62096) and CbFAD8 (ARL62097) were positioned in the group corresponding to plastidial ω-3 FADs, providing further evidence that CbFAD7 and CbFAD8 encode plastidial ω-3 FADs.
Figure 1.
Analysis of the deduced amino acid sequences of C. bungeana ω-3 FADs. (a) Sequence comparison of CbFAD3, CbFAD7 and CbFAD8. Identical and similar residues are shown on a background of black and gray, respectively. The sequences of the putative chloroplast transit peptides of CbFAD7 and CbFAD8 are arrowed. The three conserved histidine clusters are indicated by asterisks, and the four transmembrane domains (TMD) are underlined. (b) Phylogenetic tree analysis of CbFAD3, CbFAD7 and CbFAD8. The positions of ω-3 CbFADs are asterisked. The accession number of different ω-3 FADs included in this analysis: Arabidopsis thaliana AtFAD3 (NP180559), Brassica juncea BjFAD3 (ADJ58019), Brassica napus BnFAD3 (NP001302640), Brassica oleracea BoFAD3 (AGH20189), Chorispora bungeana CbFAD3 (KM591203), Chorispora bungeana CbFAD7 (KY069282), Chorispora bungeana CbFAD8 (KY069283), Descurainia sophia DsFAD3 (ABK91879), Glycine max GmFAD3 (NP001237507), Lycopersicon esculentum LeFAD3 (ABX24525), Linum usitatissimum LuFAD3 (AFJ53089), Nicotiana tabacum NtFAD3 (P48626), Sinapis alba SaFAD3 (AHA05997), Triticum aestivum TaFAD3 (BAA28358), Arabidopsis thaliana AtFAD7 (P46310), Brassica napus BnFAD7 (ACS26170), Descurainia sophia DsFAD7 (ABS86961), Nicotiana tabacum NtFAD7 (D79979), Solanum lycopersicum SlFAD7 (NP001234592), Oryza sativa OsFAD7 (BAE79783), Arabidopsis thaliana AtFAD8 (P48622), Brassica napus BnFAD8 (NP001302644), Brassica rapa BrFAD8 (AAW78909), Descurainia sophia DsFAD8 (ABK91881), Glycine max GmFAD8-1 (NP001238609), Oryza sativa OsFAD8 (BAE79784).
The functionality of CbFAD7 and CbFAD8 were verified in Arabidopsis mutant
To verify the functionality of CbFAD7 and CbFAD8, the ORF of the two genes were expressed in double fad7fad8 mutants under the CaMV 35S promoter of pBI121 vector, respectively. The fatty acids of leaf lipids showed that though the C18:3 contents in the complemented mutants F7 and F8 were still lower than that in WT plants, they were markedly higher than that in fad7fad8 mutants (Fig. 2a). Being exposed to 15 °C, the germination rates of F7 and F8 seeds were significantly higher than that of fad7fad8 mutant seeds, and close to that of WT seeds (Fig. 2b). These data confirmed that CbFAD7 and CbFAD8 were functional plastical ω-3 FAD genes.
Figure 2.
Functionality of CbFAD7 and CbFAD8 were verified in Arabidopsis mutant. (a) Comparison of total leaf fatty acids between Arabidopsis lines under normal conditions. (b) Comparison of low-temperature germination between Arabidopsis lines. WT means wild type (Col-0); fad7fad8 means double fad7fad8 mutant; F7 means CbFAD7-complemented mutant; F8 means CbFAD8-complemented mutant. Each value represents the mean ± SE of five replicates.
The tissue-specific and cold-responsive expressions of ω-3 CbFAD genes in C. bungeana
The expression profiles of plastical and microsomal ω-3 CbFAD genes were analyzed in the suspension-cultured cells and the regenerated plants of C. bungeana (Fig. 3a). CbFAD7 and CbFAD8 have the highest expression in leaves and the lowest expression in roots, showing the characteristic of plastidial ω-3 FAD genes. CbFAD3 were mostly expressed in suspension-cultured cells, and lowly expressed in stems, exhibiting the feature of microsomal ω-3 FAD genes.
Figure 3.
Expression patterns of ω-3 CbFAD genes in C. bungeana. (a) Tissue-specific expressions of CbFAD3, CbFAD7 and CbFAD8. Data were presented as relative expression ratios being compared with the expression levels of corresponding genes in suspension-cultured cells, which were set at a value of 1. (b) Cold-responsive expressions of CbFAD3, CbFAD7 and CbFAD8 in suspension-cultured cells and the leaves from regenerated plants. Data were presented as relative expression ratios being compared with the expression levels of corresponding genes before treatment (0 h), which were set at a value of 1. Each value represents the mean ± SE of three replicates. The relative expressions of CbFAD3, CbFAD7 and CbFAD8 are indicated by square, circle and triangle, respectively.
Considering the highest expression of microsomal and plastidial ω-3 CbFAD genes, the cold-responsive expressions of them were detected in suspension-cultured cells and the leaves from regenerated plants (Fig. 3b). In suspension-cultured cells, the expression of CbFAD3 was increased at 4 (6.3-fold) and 0 °C (5.7-fold), while that of CbFAD8 was increased at 0 (13.1-fold) and − 4 °C (27.7-fold). The increases in CbFAD3 and CbFAD8 mRNA all peaked at being treated for 3 h, and were accompanied by a decrease in CbFAD7 mRNA at different low temperatures. In C. bungeana leaves, the increase in CbFAD7 mRNA was found at 4 (4.1-fold) and 0 °C (2.6-fold), and the induction of CbFAD8 expression also occurred at 0 (3.4-fold) and − 4 °C (6.7-fold), like that found in cultured cells. Moreover, the cold-induced expression of CbFAD7 and CbFAD8 peaked at being treated for 3 and 6 h, respectively, which were accompanied by a decrease in CbFAD3 mRNA at tested low temperatures. In summary, the expression of ω-3 CbFAD genes presented a non-redundant pattern in response to low temperatures.
The hormone- and inhibitor-responsive expressions of ω-3 CbFAD genes in C. bungeana
To be in line with the cold-responsive experiments, the hormone-responsive experiments on ω-3 CbFAD genes were also studied in suspension-cultured cells and the leaves from regenerated plants. Data (Figs. 3b and 4) showed that though each of the tested hormones could affect the expression of ω-3 CbFAD genes, only the changes caused by certain hormones were similar to those induced by low temperatures, considering change trend and peak time. In respect to cell ω-3 CbFAD genes, the similar changes were all brought by JA and BRs. However, as for leaf ω-3 CbFAD genes, the regulation were more complex: the corresponding down-regulation of CbFAD3 expression were caused by JA, BRs, ABA and GA3; the comparable increases in CbFAD7 and CbFAD8 mRNA were induced by BRs and GA3 (1.6- and 1.9-fold, peaked at 3 h) as well as JA and ABA (4.3- and 3.6-fold, peaked at 6 h), respectively. The Pearson correlations between the cold- and the hormone-responsive expressions of ω-3 CbFAD genes (Tables 1 and 2) indicated that JA and BRs may participate in the low-temperature-responsive expressions of these genes in both suspension-cultured cells and plant leaves, while ABA and GA3 may only take part in the low-temperature-induced regulation in leaves.
Figure 4.
Hormone-responsive expressions of ω-3 CbFAD genes in C. bungeana. (a) Expression patterns of CbFAD3, CbFAD7 and CbFAD8 in suspension-cultured cells. (b) Expression patterns of CbFAD3, CbFAD7 and CbFAD8 in the leaves from regenerated plants. Data were presented as relative expression ratios being compared with the expression levels of corresponding genes before treatment (0 h), which were set at a value of 1. Each value represents the mean ± SE of three replicates. The relative expressions of CbFAD3, CbFAD7 and CbFAD8 are indicated by square, circle and triangle, respectively.
Table 1.
Pearson correlation coefficients (two-tailed) between the cold-responsive and the hormone-regulated expressions of ω-3 CbFAD genes in C. bungeana cells.
| Gene name | Temperature (℃) | SA | BRs | JA | ABA | GA3 |
|---|---|---|---|---|---|---|
| CbFAD3 | 4 | − 0.26 | 0.99*** | 0.07 | 0.04 | − 0.55 |
| 0 | − 0.35 | 0.97*** | − 0.07 | − 0.16 | − 0.67 | |
| − 4 | − 0.94 | 0.35 | 0.51* | − 0.09 | 0.10 | |
| CbFAD7 | 4 | − 0.02 | 0.78** | 0.94** | 0.22 | − 0.65 |
| 0 | 0.23 | 0.91*** | 0.72** | − 0.14 | − 0.64 | |
| − 4 | − 0.61 | 0.48 | 0.82*** | − 0.23 | − 0.78 | |
| CbFAD8 | 4 | − 0.73 | 0.72** | 0.71** | − 0.75 | − 0.34 |
| 0 | − 0.16 | 0.99*** | 0.97*** | − 0.26 | − 0.60 | |
| − 4 | 0.02 | 0.91*** | 0.87*** | 0.00 | − 0.83 |
Three replications for each sample, n = 5 × 3. Significant positive correlation (R > 0.50, P < 0.05) is indicated in bold. *P < 0.05, **P < 0.01, ***P < 0.001.
Table 2.
Pearson correlation coefficients (two-tailed) between the cold-responsive and the hormone-regulated expressions of ω-3 CbFAD genes in C. bungeana leaves.
| Gene name | Temperature (℃) | BRs | JA | ABA | GA3 |
|---|---|---|---|---|---|
| CbFAD3 | 4 | 0.85*** | 0.60* | 0.90*** | 0.78** |
| 0 | 0.23 | 0.99*** | 0.86*** | 0.71** | |
| − 4 | 0.22 | 0.95*** | 0.91*** | 0.82*** | |
| CbFAD7 | 4 | 0.94*** | − 0.24 | 0.47 | 0.86*** |
| 0 | 0.93*** | − 0.29 | 0.49 | 0.95*** | |
| − 4 | 0.90*** | − 0.77 | 0.46 | 0.74** | |
| CbFAD8 | 4 | − 0.76 | 0.36 | 0.39 | 0.69* |
| 0 | − 0.21 | 0.97*** | 0.97*** | − 0.11 | |
| − 4 | − 0.08 | 0.98*** | 0.98*** | − 0.29 |
Three replications for each sample, n = 5 × 3. Significant positive correlation (R > 0.50, P < 0.05) is indicated in bold. *P < 0.05, **P < 0.01, ***P < 0.001.
To further confirm the participation of these hormones, the corresponding inhibitors were used. As showed by Fig. 5, in suspension-cultured cells, the chilling-induced increase in CbFAD3 mRNA was totally inhibited by Pcz (a synthetic inhibitor of BRs), but the inhibition could be partly relieved by DIECA (a synthetic inhibitor of JA); the cold-inhibited expression of CbFAD7 was partially eliminated by Pcz (32.9%) or DIECA (65.8%), and was completely eliminated by the combination of them; conversely, the cold-induced expression of CbFAD8 was mostly inhibited by Pcz (78.9%) or DIECA (79.9%), and was entirely inhibited by the cooperation of them. In C. bungeana leaves, the decrease in CbFAD3 mRNA caused by low temperatures was absolutely eliminated by the synergism of Pcz, DIECA, Pac (a synthetic inhibitor of GA3) and Flu (a synthetic inhibitor of ABA), and the synergistic effect of Pcz and DIECA play a major role (79.0%); Although the chilling induction of CbFAD7 expression could be suppressed by Pcz (66.0%) or Pac (33.9%) to some extent, the complete suppression need the joint action of them; likewise, the cold induction of CbFAD8 expression was incompletely inhibited by DIECA (73.1%) or Flu (29.9%), but was thoroughly inhibited by the combined effect of them.
Figure 5.
Hormone inhibitors affected the cold-responsive expressions of ω-3 CbFAD genes in C. bungeana. (a) Expression levels of CbFAD3, CbFAD7 and CbFAD8 in suspension-cultured cells. The expressions of CbFAD3 and CbFAD8 were detected at being treated for 3 h, while that of CbFAD7 was detected at being treated for 6 h. (b) Expression levels of CbFAD3, CbFAD7 and CbFAD8 in the leaves from regenerated plants. The expressions of CbFAD3 and CbFAD7 were detected at being treated for 3 h, while that of CbFAD8 was detected at being treated for 6 h. Data were presented as relative expression ratios being compared with the expression levels of corresponding genes under normal conditions (Control), which were set at a value of 1. Each value represents the mean ± SE of three replicates.
Altogether, these results suggested that JA and BRs may result in the opposite changes in cell CbFAD3 expression, while the synergism of them may bring cell CbFAD7 inhibition and cell CbFAD8 induction, except the high level of BRs (Supplementary Fig. S2). In C. bungeana leaves, JA and BRs may lead to decrease in CbFAD3 mRNA with the help of ABA and GA3, and the combined effect of BRs and GA3 may active the chilling-responsive induction of CbFAD7 expression, while the joint action of JA and ABA may trigger the cold-responsive induction of CbFAD8 expression.
The level of related phytohormones in C. bungeana during low-temperature treatments
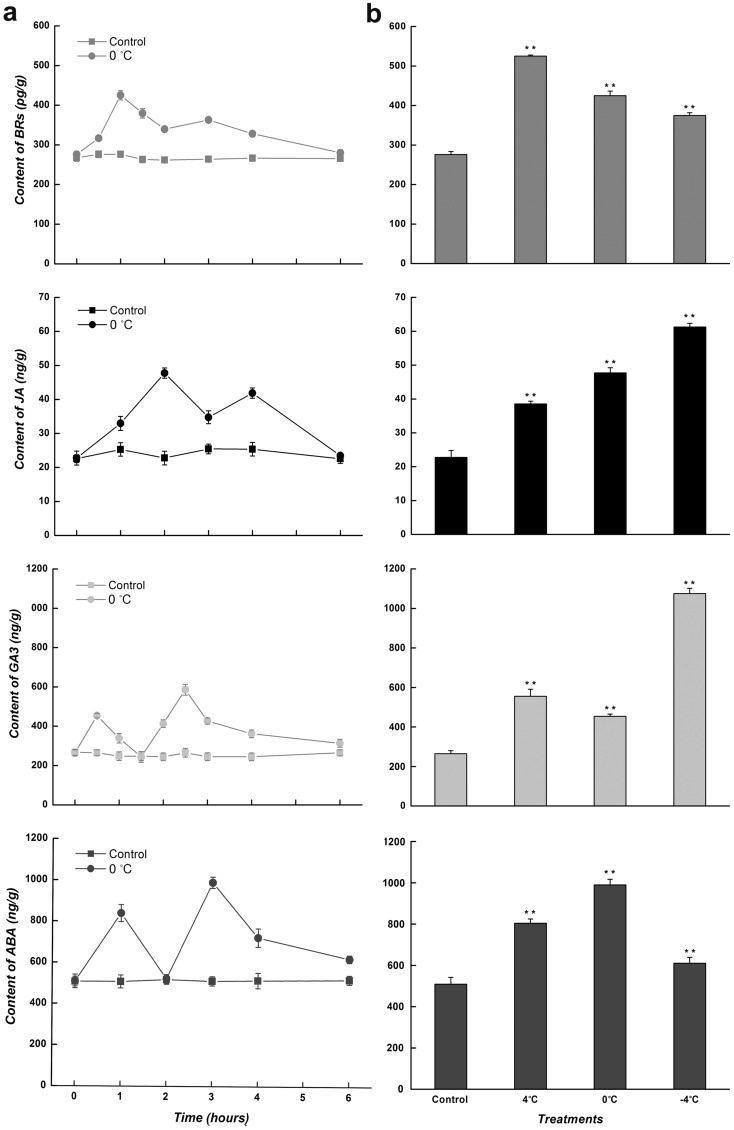
To provide more evidence to the hormone-regulated cold response, the level of related phytohormones were detected in suspension-cultured cells and the leaves from regenerated plants at different low temperatures. Being exposed to 0 °C, the level of tested pyhtohormones presented a rapid and two-peaks increase in both analysis systems, however, the peak time and the peak value of them were various (Figs. 6a and 7a). In cultured cells, the level of BRs peaked at being treated for 1 (1.7-fold) and 3 h (1.5-fold), while that of JA peaked at being treated for 1.5 (2.6-fold) and 3 h (2.4-fold). Though the accumulations of BRs and JA in leaves were similar to those in cultured cells, the peak time of JA (2 and 4 h) was a little later. The change trends of GA3 (1.8- and 2.4-fold) and ABA (1.6- and 2.0-fold) resembled each other, but the peak time of GA3 (0.5 and 2.5 h) was half an hour earlier than that of ABA. Overall, the phytohormone increases induced by low temperatures, notably the first peak, preceded the temperature-responsive expression changes in corresponding ω-3 CbFAD genes; furthermore, the level of synergistic hormones, such as JA and ABA, or BRs and GA3, reached the peak value at staggered times to avoid redundant effect.
Figure 6.
Pytohormone analysis in the suspension-cultured cells of C. bungeana at low temperatures. (a) Changes in the level of BRs and JA at 0 °C (b) Levels of BRs and JA at different low temperatures (4, 0 and − 4 °C). The data of BRs was detected at being treated for 1 h, and that of JA was detected at being treated for 1.5 h. The corresponding data at the same time point under normal conditions was taken as the control. Each value represents the mean ± SE of five replicates.
Figure 7.
Pytohormone analysis in the leaves from C. bungeana regenerated plants at low temperatures. (a) Changes in the level of BRs, JA, GA3 and ABA at 0 °C. (b) Levels of BRs, JA, GA3 and ABA at different low temperatures (4, 0 and − 4 °C). The data of BRs and ABA were detected at being treated for 1 h, and those of JA and GA3 were detected at being treated for 2 and 0.5 h, respectively. The corresponding data at the same time point under normal conditions was taken as the control. Each value represents the mean ± SE of five replicates.
Although the phytohormone increases could be induced by different low temperatures, the increments were varied with temperature (Figs. 6b and 7b). In suspension-cultured cells, the highest level of BRs and JA appeared at 4 (2.6-fold) and − 4 °C (3.1-fold), respectively. In C. bungeana leaves, the increased level of BRs was decreased with decreasing temperature, while that of JA was increased; meanwhile, the increase in the level of GA3 and ABA at 0 and − 4 °C presented an opposite trend. Together, the hormone increase were consistent with the dynamic expressions of corresponding ω-3 CbFAD genes at different low temperatures; moreover, the increased level of antagonistic hormones, for example GA3 and ABA, showed a reverse trend during temperature variation, which may be due to the trade-offs between plant growth and cold stress response.
The level of TAs in C. bungeana during low-temperature and hormone-inhibitor treatments
Considering that the temperature-responsive expression of ω-3 CbFAD genes may affect the accumulation of TAs, the content of C18:3 and C16:3 were tested in the total lipids of suspension-cultured cells and the leaves from regenerated plants at different low temperatures. In the absence of well-developed chloroplasts, no C16:3 was detected in the lipids from cultured cells. In both analysis systems (Fig. 8), the accumulation of C18:3 was obviously induced by tested low temperatures and reached the maximum at being treated for 12 h: the content of C18:3 in cell lipids increased from about 20.6% to 46.2–55.0% of total fatty acids, while that in leaf lipids increased from about 46.3% to 58.6–60.7% of total fatty acids. Similarly, the content of C16:3 in leaf lipids increased from about 2.8% to 4.3–5.2% of total fatty acids, and reached the maximum at being treated for 12 (4, 0 °C) or 24 h (− 4 °C). The results revealed that at low temperatures, the increases in TAs agreed with the expression changes in ω-3 CbFAD genes with a time lag.
Figure 8.
Levels of TAs in C. bungeana under low-temperature and hormone-inhibition treatments. (a) Levels of C18:3 in the total lipids of suspension-cultured cells. (b) Levels of C18:3 and C16:3 in the total lipids of the leaves from regenerated plants. The data of inhibition treatments were detected at being treated for 12 h. The corresponding data at the same time point under normal conditions was taken as the control. Each value represents the mean ± SE of five replicates. The content of C18:3 in cell lipids and leave lipids as well as the content of C16:3 in leave lipids are indicated by square, circle and triangle, respectively.
To further confirm that the phytohormones affect the accumulation of TAs through gene regulation, the hormone-inhibitor treatments were performed at 0 °C (Fig. 8). In suspension-cultured cells, the cold-induced accumulation of C18:3 was completely inhibited by the synergism of DIECA and Pcz, but partially inhibited by either of them. In C. bungeana leaves, the cold-induced accumulation of C18:3 and C16:3 were both totally suppressed by the synergistic effect of DIECA, Pcz, Pac and Flu, but partly suppressed by either of them. These results were in accord with the inhibitor-responsive expression of ω-3 CbFAD genes, and verified that with or without the help of ABA and GA3 in distinct tissues, JA and BRs participated in maintaining appropriate level of TAs in C. bungeana through regulating ω-3 CbFAD genes in response to low temperatures.
Discussion
This work analyzed the behavior of plastidial and microsomal ω-3 FADs in C. bungeana at the level of gene expression and fatty acid content, to determine how low temperature affected the contribution of ω-3 FADs to the synthesis of TAs, especially C18:3. From the result, it can be seen that low temperatures resulted in significant transcriptional changes on each ω-3 CbFAD. Among these changes, the sharply increased CbFAD8 mRNA induced only by severe low temperatures (notably the subzero temperature) was observed both in the suspension-cultured cells and in the leaves from regenerated plants (Fig. 3b). Considering the difference between the two analysis systems, this common phenomenon shows the critical role of CbFAD8 in the synthesis of TAs under freezing and subfreezing temperatures, which is different with the way most plant species do. In most plant species12–15,17,18,20,42, the transcript level of FAD8 was increased in response to chilling temperatures ranging from 4 to 15 °C. FAD8 was originally identified as a cold-specific desaturase by phenotypic analysis of a fad3fad7 double mutant from Arabidopsis43 that was capable of producing TAs only at low temperatures (15 °C). Given that FAD8 plays an important role in the biosynthesis of plastid TAs44,45 required for the correct biogenesis and maintenance of chloroplasts46 as well as the recovery from photo inhibition at low temperatures47,48, the induction of FAD8 expression shows a common choice of plants, namely protecting chloroplasts, particularly photosynthesis. In C. bungeana, the induction of CbFAD8 occurred at or below 0 °C may be due to its original membrane lipid unsaturation of chloroplasts brought by FAD8 is higher than that in most other plants, which can help the chloroplasts to get through chilling temperatures. This may also explain why the cold resistance of C. bungeana is much higher than that of normal plants. Of course, it still needs further researches.
In response to chilling temperatures, the expression of CbFAD3 and CbFAD7 presented a tissue-specific profile (Fig. 3b). The CbFAD3 mRNA was increased in suspension-cultured cells and decreased in plant leaves, while the expression profile of CbFAD7 was just the opposite. Combined with previous studies, we found that even in the same tissue under similar temperature conditions, the low-temperature-induced expression of FAD3 and FAD7 were varied with plant species7,12–14,16,17,49–51, which means some observations are consistent with ours but the others are not. Although we don’t know why the contributions of microsomal and plastidial desaturases differ among plant species, it is not surprising that the contributions of CbFAD3 and CbFAD7 in C. bungeana were proportional to their transcript abundance in corresponding tissues (Fig. 3). Furthermore, this expression profile suggests that CbFAD3 would be more important in C. bungeana cultured cells while CbFAD7 might contribute to TAs production in C. bungeana leaves under chilling temperatures.
When the temperature was further decreased, the increase in CbFAD3 or CbFAD7 mRNA was reduced and even turned into a decrease at -4 °C, which formed a non-redundant complementation with the gradual increase in CbFAD8 mRNA (Fig. 3b). The coordination of CbFAD3 and CbFAD8 indicates the distinct TA needs of C. bungeana cells at different low temperatures, for FAD3 affecting total TA levels and FAD8 affecting plastid TA levels44,45. The cooperation of FAD7 and FAD8 was not only found in C. bungeana leaves, but also found in Arabidopsis leaves18 at different temperatures (8, 22 and 30 °C). Although both FAD7 and FAD8 affect the synthesis of TAs in chloroplastic lipids, the lipid specificity of them are not the same27: AtFAD7 prefers galactolipids, which are the major chloroplast lipids with higher TA content; AtFAD8 likes phosphatidylglycerol18, which has a specific role in the stability of photosynthetic complexes52. Hence, the trade-off between CbFAD7 and CbFAD8 in leaves reflects the strategy to maintain photosynthetic activity and stability during temperature variation. Nevertheless, the non-redundant expression of ω-3 CbFAD genes maintained appropriate level of TAs, especially C18:3, in response to low temperatures (Fig. 8a).
Through a series of verification, including exogenous hormone application (Fig. 4), correlation analysis (Tables 1 and 2), inhibitor treatments (Figs. 5 and 8) and phytohormone detection (Figs. 6 and 7), we found that the low-temperature-responsive expression of ω-3 CbFAD genes were regulated by certain phytohormones, notably JA and BRs. JA was mainly responsible for FAD8 induction under freezing/subfreezing temperatures, with the tissue-specific assistance of BRs or ABA; BRs was in charge of the induction of CbFAD3 or CbFAD7 expression at chilling temperatures, with or without the help of GA3 in distinct tissues. Moreover, both JA and BRs took part in the inhibition of corresponding ω-3 CbFAD expression in response to low temperatures, with or without the participation of ABA and GA3 according to tissue specificity. These data not only provide new insights into our previous findings17 that JA partially mediates the chilling-induced transcription of ω-3 FAD genes in Arabidopsis, but also agree with that JA may act as a core signal by interacting with other phytohormones to regulate the balance between plant growth and stress response53. As we know (Supplemetary Fig. S3), ABA may interact synergistically with JA signaling to regulate the expression of cold-responsive genes54–56; BRs acts in synergism or antagonism with JA, depending on BRs’ concentration in response to stress53; GA usually inhibits JA signaling, but in some cases, the synergistic effect of them is also exist53,54,56. In this study, the interactions between JA and the other tested hormones are in line with the reported findings. Notably, the joint action of JA and ABA regulated the cold-induced expression of leaf CbFAD8, and the combined effect of JA and BRs triggered the induction of CbFAD8 expression in cultured cells. Our previous study in Arabidopsis17, which confirmed the participation of JA in the chilling-induced expression of ω-3 FAD genes, also implied the existence of JA’s partner. Besides that, a recent study reported that in Arabidopsis leaves27, AtFAD8 protein levels were increased upon cold or JA exposure, but did not respond to ABA. All these data prove the fact that though the partner of JA signaling may vary with tissues and plant species, JA did regulate the low temperature induction of FAD8 expression in both C. bungeana (cryophyte) and Arabidopsis (modal plant), which may be common in most plant species.
In C. bungeana, BRs is another important pyhtohormone involved in the low-temperature regulation of ω-3 FAD genes. It is confirmed that BRs can improve frost tolerance by promoting GA biosynthesis and interplaying with GA at the signaling level57 (Supplemetary Fig. S3), which supports the observation that the low temperature response of CbFAD3 and CbFAD7 in C. bungeana leaves was mediated by the cooperation of BRs and GA3 (Fig. 5b). Recent studies also demonstrated that BRs may participate in drought or cold stress acclimation by three interconnected mechanisms, one of which is in communication with ABA signaling58 (Supplemetary Fig. S3). This may explain the synergistic effect of BRs and ABA on the down-regulation of leaf CbFAD3 expression during low temperature exposure (Fig. 5b). To date, there is no report about the participation of BRs in the expression of ω-3 FAD genes in response to low temperatures, so we cannot predict that BRs also regulates the low temperature induction of FAD3 or FAD7 expression in other plant species before further research.
It is worth noting that the interaction between different phytohormones demonstrates that each ω-3 CbFAD gene can respond to multiple hormones (Figs. 4, 5, 6, 7 and 8; Tables 1 and 2). A similar phenomenon was found in Arabidopsis, which showed the expression of AtFAD3 was regulated through the synergistic and antagonistic interactions of auxin, cytokinin and ABA during plant development59. These results reflect the existence of various promoter cis-elements combined with different transcription factors (TFs) from corresponding hormone signaling. A G-box-like motif required by JA-responsive expression was first found in the promoter of AtFAD7 from Arabidopsis roots60. After that, the SA- and ABA-responsive elements were found in the promoter of cabbage FAD861. Recently, the analysis on AmFAD7 and AmFAD8 in Ammopiptanthus mongolicus confirmed that both of the promoters contain the elements for the response to ABA, JA, GA and MeJA62. Moreover, the multiple ABA-responsive elements were found in the promoter of microalgae ω-3 FAD genes63. All the findings support the idea that ω-3 FAD genes can be directly regulated by more than one hormone.
As another necessary factor for the hormone regulation, TFs have been studied at recent years. On the one hand, some TFs related to ω-3 FAD expression were verified: for example, the expression of FAD3 was up-regulated by bZIP67 in Arabidopsis seeds64, but down-regulated by MaMYB4 in banana fruits65 or by HD in soybean66; WIPK was involved in wound-responsive expression of AtFAD7 gene in transgenic tobaccos67. On the other hand, it is confirmed in Arabidopsis that some TFs (such as WRKYs, MYCs, bHLHs and ICEs) occurred at the downstream of cold-induced JA signaling54,56, while some others (for example bZIPs) belong to the cold-responsive BR and/or ABA signaling pathways57,68. Additionally, a recent study in a mutant of Pyrus bretschneideri Rehd found that MYB1R1 and MYC2 regulate ω-3 FADs involved in ABA-mediated suberization69.
Though all the relevant information are not quite complete, if we piece them together, it is not difficult to speculate that through the common or distinct TFs combined with corresponding promoter elements, JA and BRs as well as ABA and GA3 achieve the synergistic or antagonistic regulation on ω-3 CbFAD genes, which result in the non-redundant cooperation on maintaining appropriate level of TAs and then help C. bungeana survive in cold environments. These results may provide valuable information to agricultural production, for example, multi-hormone application may help crops overcome the influence of low temperatures in the future.
Methods
Plant material and experiment treatments
The suspension-cultured cells and the regenerated plants of C. bungeana were prepared as described by Shi et al.3 and Fu et al.30, respectively. Photomixotrophic cultured cells were initiated from wild C. bungeana leaves, while regenerated plants were originated from C. bungeana cotyledons. Though both of them were propagated under 25 °C with 12 h illuminations (1000 and 4000LX, respectively), the former were germinated in liquid modified MS medium (0.2 mg/L of 2,4-dichlorophenoxyacetic acid, 1-naphthaleneacetic acid, 6-benzylaminopurine and kinetin, respectively), and the latter were grown on gel modified MS medium (0.4 mg/L of gibberellin, 0.6 mg/L of kinetin and 3% glucose instead of sucrose). Regenerated plants having 3–5 cm long roots were used for experiments. Arabidopsis seeds of Col-0 (WT), fad7fad8 mutant (N8036, NASC, UK), and complemented fad7fad8 mutants (F7 and F8) were cultivated as our previous procedure17.
For cold treatments, C. bungeana cell suspensions and regenerated plants were exposed to 4, 0 or − 4 °C for 24 h, respectively. For low-temperature germination, Arabidopsis seeds planted on MS medium were exposed to 15 °C for 4 weeks. For exogenous hormone treatments, the cell suspensions and regenerated plants were moved to 1/2 MS medium with 100 µM JA, 0.5 µM BRs, 100 µM SA, 100 µM ABA, or 100 µM GA3 for 24 h, respectively. For phytohormone inhibitions, the cell suspensions and regenerated plants were moved to 1/2 MS medium with 10 µM sodium diethyldithiocarbamate trihydrate (DIECA), 10 µM propiconazole (Pcz), 10 µM fluricbne (Flu), or 10 µM paclobutrazol (Pac) for 24 h, respectively. To ensure the hormone/inhibitor application on leaves, the over ground part of each plant was sprayed with corresponding solution after moving, and the excess liquid was blotted by cotton balls. The C. bungeana cells and leaves were collected at different time spots according to the experimental design in each treatment, while the leaves of different Arabidopsis lines were collected from 5 weeks old plants under normal growth conditions. All the collected samples were stored at − 80 °C until use.
RNA isolation and cDNA synthesis
Total RNAs of C. bungeana were isolated from suspension-cultured cells or the different tissues of regenerated plants (0.1 g each) according to the standard procedure of Plant RNA Kit (Omega, USA). After being treated with RQ1RNase-free DNase (Promega, USA), the purity and integrity of total RNAs were assessed by UV spectrophotometry and agarose gel electrophoresis. Then, the qualified total RNAs were employed in reverse transcription reaction by using PrimeScript™ Reverse Transcriptase (Takara, Japan) and Oligo(dT)15 primer (Takara, Japan) following the manufacturer’s instruction. Reverse-transcribed cDNA samples were stored at -20 °C until further use.
Cloning and bioinformatics analysis of CbFAD7 and CbFAD8
A 732-bp fragment of CbFAD7 and a 982-bp fragment of CbFAD8 were cloned from C. bungeana by using degenerate primers (P1 and P2 for CbFAD7; P3 and P4 for CbFAD8; Supplementary Table S1) designed basing on the conserved domain database from tobacco, Brassica napus and Arabidopsis. Amplification of 5’ and 3’ ends of CbFAD7 and CbFAD8 were accomplished using specific primers (P5-P8 for CbFAD7; P9-P12 for CbFAD8; Supplementary Table S1) and SMARTer™ RACE cDNA Amplification Kit (Clontech, Japan). Full-length cDNA of CbFAD7 and CbFAD8 were gotten by using specific primers (P13 and P14 for CbFAD7; P15 and P16 for CbFAD8; Supplementary Table S1). PCR products were cloned into the pMD-18T vector (Takara, Japan) and sequenced by GENEWIZ Inc. (Suzhou, China). Then these sequences were analyzed by DNAman 5.2.9, MEGA 6.06 and ClustalX 1.83 software. The prediction of transmembrane domain and transit peptide were analyzed by the online server program TMHMM (http://www.cbs.dtu.dk/services/TMHMM/) and TargetP (http://www.cbs.dtu.dk/services/TargetP/), respectively.
Complementation of CbFAD7 and CbFAD8 in Arabidopsis mutant
The coding region of CbFAD7 amplified using specific primers (P17and P18; Supplementary Table S1), were cloned within the XbaI-SacI site of the binary vector pBI121 to replace the GUS gene and construct the recombinant plasmid, pBI121-CbFAD7, under the control of CaMV 35S promoter. In the same way, the recombinant plasmid pBI121-CbFAD8 was constructed with the coding region of CbFAD8 amplified using specific primers (P19 and P20; Supplementary Table S1). Then, the two recombinant plasmids and the Arabidopsis seeds of fad7fad8 mutant were sent to Shanghai Weidi Biotechnology Co., Ltd (Shanghai, China) to get the complemented mutants, F7 and F8. The transgenic Arabidopsis plants were generated through the floral dip by Agrobacterium-mediated transformation. Positive transgenic lines of F7 and F8 exhibiting 3:1 segregation ratio were identified by PCR using specific primers (P17 and P18 for CbFAD7; P19 and P20 for CbFAD8; Supplementary Table S1 and Fig. S1). The homozygous lines were obtained by backcrossing or self-pollination, and the expression level of CbFAD7 and CbFAD8 were verified by qRT-PCR using specific primers (P23 and P24 for CbFAD7; P25 and P26 for CbFAD8; Supplementary Table S1 and Fig. S1), respectively. IPT2 (AT2G27760) was taken as the house keeping gene70 using primers P29 and P30 (Supplementary Table S1). Three independent homozygous T3 transgenic lines of F7 and F8 showing higher expression levels were used in the experiments, respectively.
Quantitative real-time PCR
According to genomic data analysis (data not shown), each FAD3, FAD7 and FAD8 gene has one single copy in the Chorispora genome. The SYBR Green I (Takara, Japan) assay and the Real-Time PCR System (Mx3000P, Agilent Stratagene, USA) were used for detecting the expression of CbFAD3, CbFAD7 and CbFAD8 in C. bungeana. The housekeeping gene, CbACT (AY825362), was used as a control for the stable expression32–34,71. The amplification specificity of the primers (P21 and P22 for CbFAD3; P23 and P24 for CbFAD7; P25 and P26 for CbFAD8; P27 and P28 for CbACT; Supplementary Table S1) were checked by gel electrophoresis before real-time PCR. The amplification condition was as follow: 95 °C for 30 s, and 40 cycles of 95 °C for 5 s and 58 °C for 34 s. This was followed by 15 s at 95 °C, 60 s at 60 °C and 15 s at 95 °C (determination of melting curve). PCR data were obtained from three independent biological samples for each experiment. The relative gene expression (F) was normalized against the housekeeping gene according to the formula: , which was regarded as a high accuracy and reproducibility mathematical model72.
Extraction and analysis of total fatty acids
C. bungeana cell suspensions and leaves as well as Arabidopsis leaves (2 g each) were grinded with liquid N2, respectively. The lipids and the total fatty acids of each sample were prepared and analyzed as our previous reports3,17. The fatty acid methyl esters of each sample were analyzed by GC–MS (6890N-5975C, Agilent, USA) fitted with a capillary column (Agilent DB-FFAP, 30 m × 0.25 mm × 0.5 µm) according to our previous procedure70. Fatty acid data were obtained from five independent biological samples for each experiment.
Extraction and analysis of phytohormones
C. bungeana suspension-cultured cells and leaves (0.5 g each) were sent to Genepioneer Biotechnologies (Nanjing, China) to detect the concentration of JA, BRs, ABA and GA3, respectively. Phytohormones were extracted through grinding and organic solvent extraction, and then analyzed using Plant JA ELISA Kit (Sinobestbio, China), Plant BRs ELISA Kit (Sinobestbio, China), Plant ABA ELISA Kit (Sinobestbio, China) and Plant GA3 ELISA Kit (Sinobestbio, China), respectively. During the double-antibody sandwich ELISA, the absorbance (OD value) was detected by microplate reader (Infinite F50, Tecan, SWIT), and the concentration was calculated through standard curve method. Phytohormone data were from five biological replicates for each experiment.
Statistical analysis
Statistical analysis was performed using the method of one-way ANOVA, followed by Duncan’s multiple range test at the P < 0.05 or P < 0.01 levels.
Ethical approval
All procedures of this study, including the experimental research and field studies on C. bungeana and Arabidopsis as well as the collection of plant material, were conducted in accordance with the relevant institutional, national, and international guidelines and legislation. The wild C. bungeana plants were collected from an ice free cirque besides the Glacier No. 1 in Tianshan mountains (Xinjiang province, China), which is not a restricted area for researchers.
Supplementary Information
Acknowledgements
The authors would like to thank Dr. Tingting Fan (Hefei University of Technology) for technological help and Dr. Binquan Chu (Zhejiang University) for fatty acid analysis. This research has been funded by National Natural Science Foundation of China (31200278).
Author contributions
Y.S. and L.A. conceived and designed research; Y.S. conducted experiments; S.Y. and Z.Z. contributed to material preparation; Y.S. analyzed data and wrote the manuscript; L.A. provided suggestions and revised the manuscript. All authors reviewed the manuscript.
Data availability
The DNA and protein sequences generated during and/or analysed during the current study are available in the NCBI Genbank repository (https://www.ncbi.nlm.nih.gov/nuccore/orhttps://www.ncbi.nlm.nih.gov/protein/; CbFAD7: KY069282; CbFAD8: KY069283; AtFAD3: NP180559; BjFAD3: ADJ58019; BnFAD3: NP001302640; BoFAD3: AGH20189; CbFAD3: KM591203; CbFAD7: KY069282; CbFAD8: KY069283; DsFAD3: ABK91879; GmFAD3: NP001237507; LeFAD3: ABX24525; LuFAD3: AFJ53089; NtFAD3: P48626; SaFAD3: AHA05997; TaFAD3: BAA28358; AtFAD7: P46310; BnFAD7: ACS26170; DsFAD7: ABS86961; NtFAD7 D79979; SlFAD7 NP001234592; OsFAD7: BAE79783; AtFAD8: P48622; BnFAD8: NP001302644; BrFAD8: AAW78909; DsFAD8: ABK91881; GmFAD8-1: NP001238609; OsFAD8: BAE79784). The other datasets generated during and/or analysed during the current study are available from the corresponding author on reasonable request.
Competing interests
The authors declare no competing interests.
Footnotes
Publisher's note
Springer Nature remains neutral with regard to jurisdictional claims in published maps and institutional affiliations.
Supplementary Information
The online version contains supplementary material available at 10.1038/s41598-023-29910-4.
References
- 1.Iba K. Acclimative response to temperature stress in higher plants: Approaches of gene engineering for temperature tolerance. Annu. Rev. Plant Biol. 2002;53:225–245. doi: 10.1146/annurev.arplant.53.100201.160729. [DOI] [PubMed] [Google Scholar]
- 2.Khan TA, Fariduddin Q, Yusuf M. Low-temperature stress: Is phytohormones application a remedy? Environ. Sci. Pollut. Res. Int. 2017;24:21574–21590. doi: 10.1007/s11356-017-9948-7. [DOI] [PubMed] [Google Scholar]
- 3.Shi Y, An L, Zhang M, Huang C, Zhang H, Xu S. Regulation of the plasma membrane during exposure to low temperatures in suspension-cultured cells from a cryophyte (Chorispora bungeana) Protoplasma. 2008;232:173–181. doi: 10.1007/s00709-008-0291-1. [DOI] [PubMed] [Google Scholar]
- 4.Mikami K, Murata N. Membrane fluidity and the perception of environmental signals in cyanobacteria and plants. Prog. Lipid Res. 2003;42:527–543. doi: 10.1016/S0163-7827(03)00036-5. [DOI] [PubMed] [Google Scholar]
- 5.Matsuda O, Watanabe C, Iba K. Hormonal regulation of tissue-specific ectopic expression of an Arabidopsis endoplasmic reticulum-type omega-3 fatty acid desaturase (FAD3) gene. Planta. 2001;213:833–840. doi: 10.1007/s004250100575. [DOI] [PubMed] [Google Scholar]
- 6.Upchurch RG. Fatty acid unsaturation, mobilization, and regulation in the response of plants to stress. Biotechnol. Lett. 2008;30:967–977. doi: 10.1007/s10529-008-9639-z. [DOI] [PubMed] [Google Scholar]
- 7.Karabudak T, Bor M, Özdemir F, Türkan İ. Glycine betaine protects tomato (Solanum lycopersicum) plants at low temperature by inducing fatty acid desaturase7 and lipoxygenase gene expression. Mol. Biol. Rep. 2014;41:1401–1410. doi: 10.1007/s11033-013-2984-6. [DOI] [PubMed] [Google Scholar]
- 8.Iba K, et al. gene encoding a chloroplast omega-3 fatty acid desaturase complements alterations in fatty acid desaturation and chloroplast copy number of the fad7 mutant of Arabidopsis thaliana. J. Biol. Chem. 1993;268:24099–24105. doi: 10.1016/S0021-9258(20)80498-0. [DOI] [PubMed] [Google Scholar]
- 9.Gibson S, Arondel V, Iba K, Somerville C. Cloning of a temperature-regulated gene encoding a chloroplast omega-3 desaturase from Arabidopsis thaliana. Plant Physiol. 1994;106:1615–1621. doi: 10.1104/pp.106.4.1615. [DOI] [PMC free article] [PubMed] [Google Scholar]
- 10.Arondel V, Lemieux B, Hwang I, Gibson S, Goodman HM, Somerville CR. Map-based cloning of a gene controlling omega-3 fatty acid desaturation in Arabidopsis. Science. 1991;258:1353–1355. doi: 10.1126/science.1455229. [DOI] [PubMed] [Google Scholar]
- 11.Iba K, Kodama H. Omega-3 fatty acid desaturase genes and genetically engineered enhancement of cold tolerance in higher plants. Tanpakushitsu Kakusan Koso. 1994;39:2803–2813. [PubMed] [Google Scholar]
- 12.Berberich T, Harada M, Sugawara K, Kodama H, Iba K, Kusano T. Two maize genes encoding omega-3 fatty acid desaturase and their differential expression to temperature. Plant Mol. Biol. 1998;36:297–306. doi: 10.1023/A:1005993408270. [DOI] [PubMed] [Google Scholar]
- 13.Martz F, Kiviniemi S, Palva TE, Sutinen ML. Contribution of omega-3 fatty acid desaturase and 3-ketoacyl-ACP synthase II (KASII) genes in the modulation of glycerolipid fatty acid composition during cold acclimation in birch leaves. J. Exp. Bot. 2006;57:897–909. doi: 10.1093/jxb/erj075. [DOI] [PubMed] [Google Scholar]
- 14.Tang S, Guan R, Zhang H, Huang J. Cloning and expression analysis of three cDNAs encoding omega-3 fatty acid desaturases from Descurainiasophia. Biotechnol. Lett. 2007;29:1417–1424. doi: 10.1007/s10529-007-9391-9. [DOI] [PubMed] [Google Scholar]
- 15.Teixeira MC, Carvalho IS, Brodelius M. Omega-3 fatty acid desaturase genes isolated from purslane (Portulaca oleracea L.): Expression in different tissues and response to cold and wound stress. J. Agric. Food Chem. 2010;58:1870–1877. doi: 10.1021/jf902684v. [DOI] [PubMed] [Google Scholar]
- 16.Román Á, et al. Contribution of the different omega-3 fatty acid desaturase genes to the cold response in soybean. J. Exp. Bot. 2012;63:4973–4982. doi: 10.1093/jxb/ers174. [DOI] [PMC free article] [PubMed] [Google Scholar]
- 17.Shi Y, An L, Li X, Huang C, Chen G. The octadecanoid signaling pathway participates in the chilling-induced transcription of ω-3 fatty acid desaturases in Arabidopsis. Plant Physiol. Biochem. 2011;49:208–215. doi: 10.1016/j.plaphy.2010.11.013. [DOI] [PubMed] [Google Scholar]
- 18.Román Á, et al. Non-redundant contribution of the plastidial FAD8 ω-3 desaturase to glycerolipid unsaturation at different temperatures in Arabidopsis. Mol. Plant. 2015;8:15599–15611. doi: 10.1016/j.molp.2015.06.004. [DOI] [PubMed] [Google Scholar]
- 19.Guan LL, et al. Devolopmental and growth temperature regulation of omega-3 fatty acid desaturase genes in safflower (Carthamus tinctorius L.) Genet. Mol. Res. 2014;13:6623–6637. doi: 10.4238/2014.August.28.7. [DOI] [PubMed] [Google Scholar]
- 20.Liu W, Li W, He Q, Daud MK, Chen J, Zhu S. Characterization of 19 genes encoding membrane-bound fatty acid desaturases and their expression profiles in Gossypium raimondii under low temperature. PLoS ONE. 2015;10:e0123281. doi: 10.1371/journal.pone.0123281. [DOI] [PMC free article] [PubMed] [Google Scholar]
- 21.Zhang Z, et al. Genome-wide identification and expression analysis of the fatty acid desaturase genes in Medicago truncatula. Biochem. Biophys. Res. Commun. 2018;499:361–367. doi: 10.1016/j.bbrc.2018.03.165. [DOI] [PubMed] [Google Scholar]
- 22.Zhiguo E, et al. Genome-wide analysis of fatty acid desaturase genes in rice (Oryza sativa L.) Sci. Rep. 2019;9:19445. doi: 10.1038/s41598-019-55648-z. [DOI] [PMC free article] [PubMed] [Google Scholar]
- 23.Shi Y, Ding Y, Yang S. Cold signal transduction and its interplay with phytohormones during cold acclimation. Plant Cell Physiol. 2015;56:7–15. doi: 10.1093/pcp/pcu115. [DOI] [PubMed] [Google Scholar]
- 24.Verma V, Ravindran P, Kumar PP. Plant hormone-mediated regulation of stress responses. BMC Plant Biol. 2016;16:86. doi: 10.1186/s12870-016-0771-y. [DOI] [PMC free article] [PubMed] [Google Scholar]
- 25.Eremina M, Rozhon W, Poppenberger B. Hormonal control of cold stress responses in plants. Cell Mol. Life Sci. 2016;73:797–810. doi: 10.1007/s00018-015-2089-6. [DOI] [PMC free article] [PubMed] [Google Scholar]
- 26.Ku YS, Sintaha M, Cheung MY, Lam HM. Plant hormone signaling crosstalks between biotic and abiotic stress responses. Int. J. Mol. Sci. 2018;19:3206. doi: 10.3390/ijms19103206. [DOI] [PMC free article] [PubMed] [Google Scholar]
- 27.Soria-García A, et al. Tissue distribution and specific contribution of Arabidopsis FAD7 and FAD8 plastid desaturases to the JA- and ABA-Mediated cold stress or defense responses. Plant Cell Physiol. 2019;60:1025–1040. doi: 10.1093/pcp/pcz017. [DOI] [PubMed] [Google Scholar]
- 28.Videla LA, Hernandez-Rodas MC, Metherel AH, Valenzuela R. Influence of the nutritional status and oxidative stress in the desaturation and elongation of n-3 and n-6 polyunsaturated fatty acids: Impact on non-alcoholic fatty liver disease. PLEFA. 2022;181:102441. doi: 10.1016/j.plefa.2022.102441. [DOI] [PubMed] [Google Scholar]
- 29.Zhao Z, Tan L, Dang C, Zhang H, Wu Q, An L. Deep-sequencing transcriptome analysis of chilling tolerance mechanisms of a subnival alpine plant, Chorispora bungeana. BMC Plant Biol. 2012;12:222. doi: 10.1186/1471-2229-12-222. [DOI] [PMC free article] [PubMed] [Google Scholar]
- 30.Fu X, et al. Association of the cold-hardiness of Chorispora bungeana with the distribution and accumulation of calcium in the cells and tissues. Environ. Exp. Bot. 2006;55:282–293. doi: 10.1016/j.envexpbot.2004.11.009. [DOI] [Google Scholar]
- 31.Zhang T, et al. Molecular cloning and characterization of a novel MAP kinase gene in Chorispora bungeana. Plant Physiol. Biochem. 2006;44:78–84. doi: 10.1016/j.plaphy.2006.01.001. [DOI] [PubMed] [Google Scholar]
- 32.Di C, et al. Molecular cloning, functional analysis and localization of a novel gene encoding polygalacturonase-inhibiting protein in Chorispora bungeana. Planta. 2009;231:169–178. doi: 10.1007/s00425-009-1039-7. [DOI] [PubMed] [Google Scholar]
- 33.Wu J, Qu T, Chen S, Zhao Z, An L. Molecular cloning and characterization of a gamma-glutamylcysteine synthetase gene from Chorispora bungeana. Protoplasma. 2009;235:27–36. doi: 10.1007/s00709-008-0026-3. [DOI] [PubMed] [Google Scholar]
- 34.Zhang L, Si J, Zeng F, An L. Molecular cloning and characterization of a ferritin gene up-regulated by cold stress in Chorispora bungeana. Biol. Trace Elem. Res. 2009;128:269–283. doi: 10.1007/s12011-008-8275-8. [DOI] [PubMed] [Google Scholar]
- 35.Yue X, et al. A cryophyte transcription factor, CbABF1, confers freezing, and drought tolerance in tobacco. Front. Plant Sci. 2019;10:699. doi: 10.3389/fpls.2019.00699. [DOI] [PMC free article] [PubMed] [Google Scholar]
- 36.Ayitu R, Tan D, Li Z, Yao F. The relationship between the structures of vegetative organs in Chorispora bungeana and its environment. J. Xinjiang Agric. Univ. 1998;21:273–277. [Google Scholar]
- 37.Sello S, Moscatiello R, Rocca NL, Baldan B, Navazio L. A rapid and efficient method to obtain photosynthetic cell suspension cultures of Arabidopsis thaliana. Front. Plant Sci. 2017;8:1444. doi: 10.3389/fpls.2017.01444. [DOI] [PMC free article] [PubMed] [Google Scholar]
- 38.Cortese E, Carraretto L, Baldan B, Navazio L. Arabidopsis photosynthetic and heterotrophic cell suspension cultures. Methods Mol. Biol. 2021;2200:167–185. doi: 10.1007/978-1-0716-0880-7_8. [DOI] [PubMed] [Google Scholar]
- 39.Guo F, et al. Relation of several antioxidant enzymes to rapid freezing resistance in suspension cultured cells from alpine Chorispora bungeana. Cryobiology. 2006;52:241–250. doi: 10.1016/j.cryobiol.2005.12.001. [DOI] [PubMed] [Google Scholar]
- 40.Liu Y, Jiang H, Zhao Z, An L. Nitric oxide synthase like activity-dependent nitric oxide production protects against chilling-induced oxidative damage in Chorispora bungeana suspension cultured cells. Plant Physiol. Biochem. 2010;48:936–944. doi: 10.1016/j.plaphy.2010.09.001. [DOI] [PubMed] [Google Scholar]
- 41.Liu Y, Jiang H, Zhao Z, An L. Abscisic acid is involved in brassinosteroids-induced chilling tolerance in the suspension cultured cells from Chorispora bungeana. J. Plant Physiol. 2011;168:853–862. doi: 10.1016/j.jplph.2010.09.020. [DOI] [PubMed] [Google Scholar]
- 42.Wang J, et al. Characterization of a rice (Oryza sativa L.) gene encoding a temperature-dependent chloroplast omega-3 fatty acid desaturase. Biochem. Biophys. Res. Commun. 2006;340:1209–1216. doi: 10.1016/j.bbrc.2005.12.126. [DOI] [PubMed] [Google Scholar]
- 43.McConn M, Hugly S, Browse J, Somerville C. A mutation at the fad8 locus of Arabidopsis identifies a second chloroplast [omega]-3 desaturase. Plant Physiol. 1994;106:1609–1614. doi: 10.1104/pp.106.4.1609. [DOI] [PMC free article] [PubMed] [Google Scholar]
- 44.Zhang M, et al. Modulated fatty acid desaturation via overexpression of two distinct omega-3 desaturases differentially alters tolerance to various abiotic stresses in transgenic tobacco cells and plants. Plant J. 2005;44:361–371. doi: 10.1111/j.1365-313X.2005.02536.x. [DOI] [PubMed] [Google Scholar]
- 45.Penfield S. Temperature perception and signal transduction in plants. New Phytol. 2008;179:615–628. doi: 10.1111/j.1469-8137.2008.02478.x. [DOI] [PubMed] [Google Scholar]
- 46.Routaboul JM, Fischer SF, Browse J. Trienoic fatty acids are required to maintain chloroplast function at low temperatures. Plant Physiol. 2000;124:1697–1705. doi: 10.1104/pp.124.4.1697. [DOI] [PMC free article] [PubMed] [Google Scholar]
- 47.Vijayan P, Browse J. Photoinhibition in mutants of Arabidopsis deficient in thylakoid unsaturation. Plant Physiol. 2002;129:876–885. doi: 10.1104/pp.004341. [DOI] [PMC free article] [PubMed] [Google Scholar]
- 48.Tovuu A, et al. Rice mutants deficient in ω-3 fatty acid desaturase (FAD8) fail to acclimate to cold temperatures. Plant Physiol. Biochem. 2016;109:525–535. doi: 10.1016/j.plaphy.2016.11.001. [DOI] [PubMed] [Google Scholar]
- 49.Zhang YM, Wang CC, Hu HH, Yang L. Cloning and expression of three fatty acid desaturase genes from cold-sensitive lima bean (Phaseolus lunatus L.) Biotechnol. Lett. 2011;33:395–401. doi: 10.1007/s10529-010-0432-4. [DOI] [PubMed] [Google Scholar]
- 50.Ma Q, You E, Wang J, Wang Y, Ding Z. Isolation and expression of CsFAD7 and CsFAD8, two genes encoding ω-3 fatty acid desaturase from Camellia sinensis. Acta Physiol. Plant. 2014;36:2345–2352. doi: 10.1007/s11738-014-1607-8. [DOI] [Google Scholar]
- 51.Yurchenko OP, et al. Genome-wide analysis of the omega-3 fatty acid desaturase gene family in Gossypium. BMC Plant Biol. 2014;14:312. doi: 10.1186/s12870-014-0312-5. [DOI] [PMC free article] [PubMed] [Google Scholar]
- 52.Wada H, Murata N. The essential role of phosphatidylglycerol in photosynthesis. Photosynth. Res. 2007;92:205–215. doi: 10.1007/s11120-007-9203-z. [DOI] [PubMed] [Google Scholar]
- 53.Yang J, et al. The crosstalks between jasmonic acid and other plant hormone signaling highlight the involvement of jasmonic acid as a core component in plant response to biotic and abiotic stresses. Front. Plant. Sci. 2019;10:1349. doi: 10.3389/fpls.2019.01349. [DOI] [PMC free article] [PubMed] [Google Scholar]
- 54.Hu Y, Jiang Y, Han X, Wang H, Pan J, Yu D. Jasmonate regulates leaf senescence and tolerance to cold stress: Crosstalk with other phytohormones. J. Exp. Bot. 2017;68:1361–1369. doi: 10.1093/jxb/erx004. [DOI] [PubMed] [Google Scholar]
- 55.Kim JA, et al. Transcriptome analysis of ABA/JA-dual responsive genes in rice shoot and root. Curr. Genom. 2018;19:4–11. doi: 10.2174/1389202918666170228134205. [DOI] [PMC free article] [PubMed] [Google Scholar]
- 56.Wang J, Song L, Gong X, Xu J, Li M. Functions of jasmonic acid in plant regulation and response to abiotic stress. Int. J. Mol. Sci. 2020;21:1446. doi: 10.3390/ijms21041446. [DOI] [PMC free article] [PubMed] [Google Scholar]
- 57.Ramirez VE, Poppenberger B. Modes of brassinosteroid activity in cold stress tolerance. Front. Plant Sci. 2020;11:583666. doi: 10.3389/fpls.2020.583666. [DOI] [PMC free article] [PubMed] [Google Scholar]
- 58.Bulgakov VP, Avramenko TV. Linking brassinosteroid and ABA signaling in the context of stress acclimation. Int. J. Mol. Sci. 2020;21:5108. doi: 10.3390/ijms21145108. [DOI] [PMC free article] [PubMed] [Google Scholar]
- 59.Matsuda O, Sakamoto H, Hashimoto T, Iba K. A temperature-sensitive mechanism that regulates post-translational stability of a plastidial omega-3 fatty acid desaturase (FAD8) in Arabidopsis leaf tissues. J. Biol. Chem. 2005;280:3597–3604. doi: 10.1074/jbc.M407226200. [DOI] [PubMed] [Google Scholar]
- 60.Nishiuchi T, Kodama H, Yanagisawa S, Iba K. Wound-induced expression of the FAD7 gene is mediated by different regulatory domains of its promoter in leaves/stems and roots. Plant Physiol. 1999;121:1239–1246. doi: 10.1104/pp.121.4.1239. [DOI] [PMC free article] [PubMed] [Google Scholar]
- 61.Liu C, Pan S, Xue H, Liu F. Analysis on FAD8 gene expression regulations in transcriptional level on Chinese cabbage. Exp. Tech. Manag. 2014;31:67–72. [Google Scholar]
- 62.Xue, M. Analyses of leaf membrane lipid composition and chloroplast FAD gene function in Ammopiptanthus mongolicus under different stress conditions. Inner Mongolia Agri. Univ. (2019).
- 63.Norlina R, Norashikin MN, Loh SH, Aziz A, Cha TS. Exogenous abscisic acid supplementation at early stationary growth phase triggers changes in the regulation of fatty acid biosynthesis in Chlorella vulgaris UMT-M1. Appl. Biochem. Biotechnol. 2020;191:1653–1669. doi: 10.1007/s12010-020-03312-y. [DOI] [PubMed] [Google Scholar]
- 64.Mendes A, et al. bZIP67 regulates the omega-3 fatty acid content of Arabidopsis seed oil by activating fatty acid desaturase3. Plant Cell. 2013;25:3104–3116. doi: 10.1105/tpc.113.116343. [DOI] [PMC free article] [PubMed] [Google Scholar]
- 65.Song C, et al. MaMYB4 recruits histone deacetylase MaHDA2 and modulates the expression of ω-3 fatty acid desaturase genes during cold stress response in banana fruit. Plant Cell Physiol. 2019;60:2410–2422. doi: 10.1093/pcp/pcz142. [DOI] [PubMed] [Google Scholar]
- 66.Jo H, et al. Identification of a potential gene for elevating ω-3 concentration and its efficiency for improving the ω-6/ω-3 ratio in soybean. J. Agric. Food Chem. 2021;69:3836–3847. doi: 10.1021/acs.jafc.0c05830. [DOI] [PubMed] [Google Scholar]
- 67.Kodama H, Nishiuchi T, Seo S, Ohashi Y, Iba K. Possible involvement of protein phosphorylation in the wound-responsive expression of Arabidopsis plastid omega-3 fatty acid desaturase gene. Plant Sci. 2000;155:153–160. doi: 10.1016/S0168-9452(00)00210-7. [DOI] [PubMed] [Google Scholar]
- 68.Banerjee A, Roychoudhury A. Abscisic-acid-dependent basic leucine zipper (bZIP) transcription factors in plant abiotic stress. Protoplasma. 2017;254:3–16. doi: 10.1007/s00709-015-0920-4. [DOI] [PubMed] [Google Scholar]
- 69.Wang Q, et al. MYB1R1 and MYC2 regulate ω-3 fatty acid desaturase involved in ABA-mediated suberization in the russet skin of a mutant of 'Dangshansuli' (Pyrus bretschneideri Rehd.) Front. Plant Sci. 2022;13:910938. doi: 10.3389/fpls.2022.910938. [DOI] [PMC free article] [PubMed] [Google Scholar]
- 70.Cheng CY, Krishnakumar V, Chan AP, Thibaud-Nissen F, Schobel S, Town CD. Araport11: A complete reannotation of the Arabidopsis thaliana reference genome. Plant J. 2017;89:789–804. doi: 10.1111/tpj.13415. [DOI] [PubMed] [Google Scholar]
- 71.Shi Y, Yue X, An L. Integrated regulation triggered by a cryophyte ω-3 desaturase gene confers multiple-stress tolerance in tobacco. J. Exp. Bot. 2018;69:2131–2148. doi: 10.1093/jxb/ery050. [DOI] [PMC free article] [PubMed] [Google Scholar]
- 72.Pfaffl MW. A new mathematical model for relative quantification in real-time RT-PCR. Nucleic Acids Res. 2001;29:e45. doi: 10.1093/nar/29.9.e45. [DOI] [PMC free article] [PubMed] [Google Scholar]
Associated Data
This section collects any data citations, data availability statements, or supplementary materials included in this article.
Supplementary Materials
Data Availability Statement
The DNA and protein sequences generated during and/or analysed during the current study are available in the NCBI Genbank repository (https://www.ncbi.nlm.nih.gov/nuccore/orhttps://www.ncbi.nlm.nih.gov/protein/; CbFAD7: KY069282; CbFAD8: KY069283; AtFAD3: NP180559; BjFAD3: ADJ58019; BnFAD3: NP001302640; BoFAD3: AGH20189; CbFAD3: KM591203; CbFAD7: KY069282; CbFAD8: KY069283; DsFAD3: ABK91879; GmFAD3: NP001237507; LeFAD3: ABX24525; LuFAD3: AFJ53089; NtFAD3: P48626; SaFAD3: AHA05997; TaFAD3: BAA28358; AtFAD7: P46310; BnFAD7: ACS26170; DsFAD7: ABS86961; NtFAD7 D79979; SlFAD7 NP001234592; OsFAD7: BAE79783; AtFAD8: P48622; BnFAD8: NP001302644; BrFAD8: AAW78909; DsFAD8: ABK91881; GmFAD8-1: NP001238609; OsFAD8: BAE79784). The other datasets generated during and/or analysed during the current study are available from the corresponding author on reasonable request.








