Abstract
Purpose:
We are developing a calibration methodology for full field digital mammography (FFDM). Calibration compensates for the image acquisition technique influences on this pixel representation, ideally producing improved inter-image breast density estimates. This approach relies on establishing references with rigid breast tissue equivalent phantoms (BTEs) and requires an accurate estimate of the compressed breast thickness because the system readout is nominal. There is also an attenuation mismatch between adipose breast tissue and the adipose BTE that was noted in our previous work. It is referred to as the “attenuation-anomaly” and is addressed in this report. The objectives are to evaluate methods to correct for the compressed breast thickness and compensate for the attenuation-anomaly.
Methods:
Thickness correction surfaces were established with a deformable phantom (DP) using both image and physical measurements for three direct x-ray conversion FFDM units. The Cumulative Sum serial quality control procedure was established to ensure the thickness correction measurements were stable over time by imaging and calibrating DPs biweekly in lieu of physical measurements. The attenuation-anomaly was addressed by evaluating adipose image regions coupled with an optimization technique to adjust the adipose calibration data. We compared calibration consistency across matched left and right cranial caudal (CC) mammographic views (n = 199) with and without corrections using Bland-Altman plots. These plots were complemented by comparing the right and left breast calibrated average (μa) and population distribution mean (ma) with 95% confidence intervals and difference distribution variances with the F-test for uncorrected and corrected data.
Results:
Thickness correction surfaces were well approximated as tilted planes and are dependent upon compression force. A correction was developed for the attenuation-anomaly. All paddles (large and small paddles for all units) exhibited similar tilt as a function of force. Without correction, ma = 0.92 (−1.77, 3.62) was not significantly different from zero with many negative μa samples. The thickness correction produced a significant shift in the μa distribution in the positive direction with ma = 13.99 (11.17, 16.80) and reduced the difference distribution variance significantly (p < 0.0001). Applying both corrections in tandem gave ma = 22.83 (20.32, 25.34), representing another significant positive shift in comparison with the thickness correction in isolation. Thickness corrections were stable over approximately a two-year timeframe for all units.
Conclusion:
These correction techniques are valid approaches for addressing technical problems with calibration that relies on reference phantoms. The efficacy of the calibration methodology will require validation with clinical endpoints in future studies.
Keywords: calibration, mammography, breast density, thickness correction
1. Introduction
Breast density is a strong breast cancer risk factor, typically assessed from two-dimensional (2D) mammograms. Women with an extensive degree of breast density have a 2–6 fold higher risk of breast cancer compared to women with little density.1–4 Although there are several established methods to analyze mammograms for risk purposes,3, 5–8 to date there is not a recognized standard for breast density determination clinically.9 To address this situation, our ongoing breast density work includes developing calibrated metrics based on imaging reference phantoms. Calibration compensates for the x-ray image acquisition technique influences on the pixel representation, ideally producing inter-image normalization and improved breast density estimates. Our focus is specific to techniques that use breast tissue equivalent (BTE) phantoms to establish references. In theory, calibration should produce a more accurate breast density measurement. To date, the improved precision achieved using phantom based calibration with 2D mammography has been mixed, although promising, in their associations with breast cancer.5, 6, 8, 10–12
We are currently modifying a calibration methodology developed previously.13–15 In this prior work, we developed a phantom-based calibration approach using a specific indirect x-ray detection full field digital mammography (FFDM) unit.11, 13–15 This technique produced several calibrated breast density metrics that provided strong associations with breast cancer.10–12, 16 Two areas were identified that could be amenable for improvement. These included estimating the compressed breast thickness across the image field of view (FOV) 14, 17–21 and compensating for differences between the x-ray attenuation properties of adipose breast tissue and the respective adipose BTE phantom material,11 referred to as the attenuation-anomaly in this report. The compressed breast thickness readout (system height) provided by a given mammography unit only provides nominal accuracy and implies the compression paddle is parallel with the breast support surface, and cannot account for deviations in breast thickness due to paddle tilt and deflection. A method was devised to isolate these two effects as their influences on calibration accuracy may be similar and difficult to separate. We present a methodology in this report that both simplifies and builds upon our previous calibration work to develop a standardized breast density measure.14
2. Materials and Methods
2.1. Images, patient data, and processing
Images were acquired from three Hologic Selenia® FFDM units, referred to as H1, H2 and H3 (H units). These units were used for routine breast cancer screening at Moffitt Cancer Center, Tampa, FL, during the timeframe of data collection. These systems use direct x-ray conversion22 and are equipped with a Fully Automatic Self-adjusting Tilt compression paddle referred to as a FAST paddle™ (Hologic, Inc., Bedford, MA). This paddle, shown in Figure 1, is semi-rigid (i.e. tilts when under stress). In the screening environment, two types of FAST paddles are used differing in size. The choice of paddle is based on the x-ray technologist’s judgment, dependent upon the patient’s breast size. The FOV adjusts automatically when a given paddle is attached: 24cm × 29cm and 18cm × 24cm for the large and small FOVs, respectively. We refer to Figure 1 (see caption) to establish a coordinate system. Points on the breast support surface plane correspond to the image coordinates (x,y) in pixel units. The (x,y) coordinates range from (0,0) to (2559,3327) or (3327,4095) in the small and large FOVs, respectively. The detector has a 70μm pitch, and raw data is in monochrome 1 format with 14 bit per pixel dynamic range (i.e. adipose tissue is bright). Two units (H1 and H2) have Tungsten/Rhodium (W/Rh) and Tungsten/Silver (W/Ag) target/filter options. The third unit (H3) has Molybdenum/Molybdenum (Mo/Mo) and Molybdenum/Rhodium (Mo/Rh) options. Images for this study were acquired over the 25–34 kV range. We use raw images in the cranial caudal (CC) view as study images for calibration purposes to avoid pectoral muscle interference. Mammograms used in this study were from patients visiting the breast cancer screening facilities at the Moffitt Cancer Center, Tampa, FL. The dataset consists of screening mammograms from 199 women without a history of breast cancer collected under an approved IRB protocol. Mammograms were acquired from one of the three study units between July 2013 and January 2016. Image processing was performed in the IDL environment (Version 8.5, Exelis Visual Information Solutions, Inc., Jersey City, NJ) and regression analyses using SAS (V9.4, SAS Institute Inc., Cary, NC).
Figure 1.

Breast Support Surface, Biopsy Practice Phantom and Coordinate System: This phantom was used to develop the compressed breast thickness correction. The cusp (left side) was avoided by keeping it outside of the detector field of view. The positive x and y coordinate directions are indicated, the z direction is orthogonal to the support surface plane, and the origin, (0,0,0), is located on the bottom left.
2.2. Calibration Approach
The calibration methodology for mammograms was described previously.14, 15, 23, 24 Briefly, calibration maps the image data into standardized units (SUs), which is a normalized effective attenuation representation, ranging from [0,100]. The attenuation-anomaly will induce negative SUs, whereas inaccurate compressed breast thicknesses can induce inaccurate calibration in both directions. The lower and upper SU range represents adipose and extremely dense tissue respectively. We used the mean calibrated pixel quantity (defined as μ) from a given mammogram (or phantom) as the measure of breast density in this report because of its established relationship with breast cancer.10 We define the logarithmic relative exposure as
| Eq. [1] |
where pv is arbitrary pixel value and mAs is the tube current-exposure time product for the related acquisition. For a given target/filter combination and kV, we generate calibration curves as a function of height (thickness) using BTE phantoms for adipose and glandular tissue referred to as Ra(t) and Rg(t) respectively, where t is measured in cm. These are acquired with a reference mAsr = 160. For the same acquisition technique (a given target/filter combination and kV), calibration at the pixel level is given by
| Eq. [2] |
where h is the estimated compressed breast thickness at the pixel location and LRE was calculated with Eq.[1] with the acquisition mAs. For all applications, calibration was performed at the pixel level. When considering regions of interest (ROI), results are provided as the average over the ROI or within the applicable FOV. The calibrated measure for a given mammogram is defined as the mean taken over the breast FOV referred to as μ.
Calibration methods used in the report incorporate improvements relative to earlier work. Previously, interpolation was required for the kV acquisition variable due to sparse sampling, which was eliminated in this current work due to improved sampling.23 A serial updating scheme is used to ensure the baseline BTE reference data collected in the past is current. This approach permits updating the baseline reference data serially when calibration accuracy slips beyond tolerance.24 This monitoring involves acquiring a minimal number of BTE phantom images biweekly for each unit.
2.3. Correction techniques
The correction development required several technical steps. An overview is provided in this section followed by a description of each step. A thickness correction is required for each paddle on each unit.17, 19 Each paddle was characterized under stress as a function of compression force. A deformable breast biopsy practice phantom (Stereotactic needle biopsy training phantom model 013, Computerized Imaging Reference Systems, Inc., Norfolk, VA), referenced as DP in this report, was used to offer pliable resistance to the compression paddle. In this report, we assume the paddle is a tilted plane, neglecting warp. To the degree that this phantom matches the mechanical properties of the actual breast or is applicable to a wide range of breast sizes will be assessed indirectly by the correction influences on the data. The thickness correction is based on assuming the paddle tilts in a specific manner when a given force is applied regardless of the origin of the associated equal reactionary force supplied by the breast. Under this assumption, two breasts with differing composition compressed with the same force will induce the same paddle tilt. These assumptions apply when the breast is centrally located within the FOV. Our design goal was to develop an approximate correction that can be monitored serially with imaging. A one component calibration system was developed for the homogenous filler of the DP to evaluate the thickness correction measurements, representing a simplification of a two-component calibration system developed previously to address this correction.14 The Cumulative Sum (Cusum) technique 25–28 was incorporated into this work to evaluate the seral stability of the thickness correction measurements by evaluating the accuracy of calibrated DP data. The adipose attenuation-anomaly was addressed with mammograms. To adjust the adipose calibration data, image regions that approximated 100% adipose tissue (low breast density regions) were evaluated with an optimization procedure. Right and left breast calibration agreement was used to evaluate the corrections.
The DP was used to develop the thickness corrections. Its placement on the breast support surface is shown in Figure 1 and its corresponding image in Figure 2 (left). If we approximate the projection of the DP as a semicircle, its radius is approximately 8–10 centimeters (cm) and the thickness varies in the central region from 4.5–5.5cm, estimated in the relaxed position. The DP has a cusp on the outer edge (transition line) that is approximately 1–2cm wide, which was excluded from the FOV. The DP was placed at the center of the breast support surface with the posterior edge of the paddle resting on its transition line (Figure 1). It was positioned by estimating the center of the detector to mirror the procedure when patients are positioned and imaged. This phantom has mass-type features suspended within a homogenous background comprised of a deformable but non-compressible material (Figure 2). Paddle tilt was measured as a function of force for all paddles and units. The DP was compressed and the distance between the compression paddle and breast support surface was measured for three points for each force listed in Table 1. The perpendicular distance between the point at (x, y) of the breast support surface and the compression paddle defined the compressed breast thickness, z, measured in cm. For each DP image acquisition, self-adhesive nipple markers were attached to the upper-side of the compression paddle to identify three reference points marking the thickness measurement locations. These markers cause under exposed regions in the image enabling their detection with little uncertainty, shown in Figure 2 (left). The placement of these markers varied about these locations. The compression paddle was lowered to make contact with the DP and an initial zero-force reading of the system height was recorded at the reference points. These systems did not provide a force reading different from zero until approximately 10lb is reached. Forces ranging from 10–35lb were applied sequentially. A digital caliper (Marathon Watch Company LTD, Richmond Hill, Ontario, Canada) was used to measure z for the first two reference points. A feeler gauge method14 was used to measure z for the third reference point because this position was not accessible with the caliper. For each force, two image acquisitions were taken for each paddle for measurement replication, resulting in a dataset of 28 images. Three datasets per unit were collected over a three month period to construct the correction surfaces. All DP images were acquired with a W/Rh combination at 26 kV on H1 and H2 and a Mo/Mo combination at 28 kV on H3. On all units, images were acquired with 160mAs.
Figure 2.

Deformable Breast Biopsy Practice Phantom (DP) Image: The raw DP image is shown in the left CC orientation. The image on the left shows the three reference points used for the thickness measurements: three light circular regions outside of the phantom field of view (NW, NE and SW). The image on the right shows an example of the automated segmentation of the mass-like features. For illustration purposes, the associated for presentation images (i.e. the related images used for clinical purposes) are used in this graphic.
Table 1.
Correction Plane Parameters
| Force (lb) | Large Paddle | Small Paddle | ||||||
|---|---|---|---|---|---|---|---|---|
| a | b | c | d | a | b | c | d | |
| H1 | ||||||||
| 0 | 9.543 | −1.413 | 170.4 | −115.2 | 9.753 | −0.949 | 145.7 | −94.53 |
| 10 | 8.931 | −1.024 | 170.2 | −95.67 | 9.695 | −0.546 | 145.6 | −74.86 |
| 15 | 9.968 | −1.416 | 167.4 | −67.07 | 9.415 | −0.569 | 143.3 | −52.99 |
| 20 | 16.26 | −1.530 | 165.0 | 19.43 | 18.50 | −1.011 | 141.4 | 27.60 |
| 25 | 16.92 | −1.200 | 163.2 | 60.05 | 18.67 | −0.554 | 139.6 | 56.52 |
| 30 | 20.70 | −1.321 | 161.4 | 111.6 | 20.70 | −1.015 | 138.6 | 83.46 |
| 35 | 22.47 | −1.856 | 160.1 | 125.4 | 21.23 | −1.080 | 137.8 | 104.7 |
| H2 | ||||||||
| 0 | 9.319 | −0.526 | 172.1 | −82.11 | 10.13 | −0.399 | 164.2 | −76.26 |
| 10 | 10.49 | −0.499 | 171.7 | −69.01 | 11.28 | −1.030 | 163.5 | −82.09 |
| 15 | 9.945 | −0.927 | 169.6 | −42.35 | 11.05 | 0.006 | 161.6 | −31.59 |
| 20 | 15.37 | −0.075 | 167.8 | 35.60 | 17.08 | −0.491 | 159.8 | 30.33 |
| 25 | 14.07 | 0.904 | 166.4 | 69.56 | 18.63 | −0.503 | 158.2 | 55.49 |
| 30 | 20.32 | 0.220 | 165.0 | 112.5 | 22.51 | −0.381 | 156.9 | 110.70 |
| 35 | 21.30 | 0.364 | 163.9 | 143.5 | 23.48 | −0.167 | 156.0 | 130.90 |
| H3 | ||||||||
| 0 | 9.295 | −0.824 | 136.3 | −70.58 | 10.26 | −0.918 | 125.5 | −14.23 |
| 10 | 9.913 | −0.694 | 136.1 | −53.04 | 8.508 | 0.205 | 125.3 | 4.324 |
| 15 | 9.072 | 0.068 | 134.4 | 9.178 | 11.98 | −0.142 | 123.8 | 33.58 |
| 20 | 16.88 | −0.059 | 133.2 | 56.18 | 16.53 | −0.610 | 122.5 | 62.20 |
| 25 | 14.90 | −0.071 | 132.3 | 52.51 | 14.67 | −0.201 | 120.7 | 80.87 |
| 30 | 16.83 | −0.131 | 131.4 | 80.89 | 17.13 | 0.112 | 112.6 | 112.4 |
| 35 | 16.50 | 0.147 | 129.4 | 91.44 | 16.67 | −0.151 | 108.7 | 117.8 |
Correction plane parameters are provided for all units and paddles corresponding to the forces. These parameters were used to derive the relative correction surfaces.
The thickness correction was based on fitting the three measured reference points for a given force to a plane. The true thickness at a given force is expresses as
| Eq. [3] |
where Ts is the readout (thickness), and Tr(F,x,y) is the relative thickness correction for a given force referenced as F. We shifted the measured points for a given force to a relative measure expressed as
| Eq. [4] |
A given correction plane was fitted to the respective relative sample points expresses as
| Eq. [5] |
The corrected thickness can be estimated with Ts and the applied force expressed as
| Eq. [6] |
The Tr (F,x,y) surface was derived by solving the standard plane equation given by
| Eq. [7] |
In the above equation, x and y were scaled to cm. Once establishing the relative corrections, the absolute correction was applied to a given image by reading the Force and Ts from the image header file and applying Eq. [6]. The parameters in Eq. [7] were used to characterize and compare the correction planes. In this form, the vector normal to the correction plane can be expressed in component form as, N = (a, b, c) and is central to the analysis, where the angles α, β, and γ are the respective directional angles between N and the unit vectors along the x, y, and z coordinate directions. For intermediate forces not cited in Table 1, we used linear interpolation to generate the plane parameters.
Two methods were used to evaluate the thickness corrections. As an initial step to show consistency, we acquired serial DP images for monitoring changes in the paddle tilt and Ts. For each unit and paddle, 6 DP images were acquired biweekly for approximately two-years, corresponding to the forces shown in Table 1 except for the zero force. These images were not used for the correction surface construction. Because caliper measurements require considerable effort, we monitor the correction applicability serially by checking calibration accuracy using the DP. As long as the calibrated values of the DP are in agreement with the ideal value (i.e., 100SU), the paddle characterization as a function of force is considered correct (i.e. is in agreement with the initial measurements).
For calibration purposes, the filler within the DP was treated as a one-component system and a calibration curve was established.23 The background component of the DP was designated with 100SU. The calibration curve, RDP(t), was constructed by acquiring images over varying thicknesses for each force with 160mAs and generating the respective LRE sample points using Eq. [1]. Linear interpolation was used to generate intermediate calibration points not acquired with imaging. For this one component system, calibration at the pixel level is expressed as
| Eq. [8] |
where h is the compressed DP thickness at the pixel location. The 100 ± 4SU range was used to evaluate the mean calibrated value of these regions (entire interior background excluding excluded regions shown in Figure 2). The initial calibration curve was developed by manually segmenting the DP background regions (eliminating the anomalies). Thereafter, the background regions in the biweekly images were isolated from the simulated anomalies with an automated algorithm. This algorithm used calibration data to determine the appropriate thresholds noting that the intensities of the suspended anomalies deviate considerably from the background filler material. All segmented images were visually assessed before using them for analytical purposes. The algorithm did not experience failures over the course of this study (see Figure 2). The DP background was calibrated with and without the thickness correction at the pixel level.
The accuracy of the characterized compression paddle for each unit was monitored serially with the Cusum technique described in our previous work24, 29 adapted to DP images. Briefly, the Cusum argument is expressed as
| Eq. [9] |
for n > 0 and U0 = 0, where m0 and mn are the LREs for the DP taken at time = 0 and at serial time points referenced as n measured in days. The standard sequential Cusum is expressed as
| Eq. [10] |
In practice, we use the decision interval (DI) from of the Cusum to monitor and detect sustained drift beyond our pre-determined tolerance. Upward drift is monitored with this DI form
| Eq. [11] |
and downward by this form
| Eq. [12] |
where k is the chart constant with . We used an empirically defined tolerance described previously23, 24 of ±4SU for two consecutive serial points, which applies to reference phantom images. We note, k was adjusted for given acquisition (i.e., kV, target/filter combination, thickness) to detect the same tolerance ±4SU.24 When the deviation at any time point is less than the tolerance, the DI terms return zero, indicating in control behavior. When the calibration accuracy drifts beyond the established tolerance for a given unit, the paddle is re-characterized. The Cusum is then reset and the monitoring is re-established.
For the second thickness correction evaluation, we investigated the similarity between left and right calibrated CC mammograms under the premise that the correction should improve the agreement in μ. This included analyzing the entire sample and splitting it into two subgroups. One subgroup included women who had different acquisition techniques between left and right views defined by meeting at least one of these criteria: different kV, different target-filter, compressed breast thickness system readout differences of at least 5mm, or differing compression paddles. The other subgroup included women that had the same acquisition technique for left and right views defined by not meeting the above criteria. Right and left breast calibration agreement was characterized with Bland-Altman plots.30 In this approach, the right and left breast difference in μ, defined as μd, was plotted against the right and left breast average of the respective μ defined as μa. To complement these plots, the mean and standard deviations of the relevant non-corrected and corrected distributions were characterized with 95% confidence intervals. These quantities include: the mean and standard deviation of the μa distribution defined as ma and σa respectively; and the mean and standard deviation of the μd distribution defined as md and σd, respectively. The variances of the μd distributions were evaluated before and after the corrections and were compared with an F-test.
2.4. Attenuation-anomaly
The x-ray attenuation of the 100% adipose BTE material used for establishing calibration references is greater than that of actual adipose breast tissue.11 To detect the presence of this anomaly, calibrated mammograms were analyzed in restricted regions where the compressed breast thickness uncertainty was minimal. For a given mammogram and force, this region was defined within a strip (35 pixels in width) between the reference points near the posterior edge of the compression. This strip was searched automatically with a 35×35 pixel window. A calibrated value (average taken over all pixels within the window) well below zero is an indication the anomaly exists when the compressed thickness is known, noting that a calibrated value near zero indicates 100% adipose tissue. When present, the respective 35×35 pixel ROI was marked for this analysis. Ten mammograms for each target/filter combination were used for this analysis. These mammograms were not used in the evaluation studies. In this analysis, we neglect influences due to varying kV for a given target/filter. This idealization assumes the correction factor can be approximated as a constant for fixed target/filter. This is based on these approximations: (1) the attenuation coefficient for adipose tissue varies slowly with respect to a change in kV for fixed target/filter in comparison to a change in target/filter for fixed kV, (2) the magnitude of the correction factor is much less than the attenuation for adipose tissue over the entire range of acquisition settings, and (3) the variation in kV is mainly captured by the adipose uncorrected calibration data. We note, we used a similar approximation previously when developing calibration methods for another FFDM technology.11 For reference, the effective x-ray attenuation coefficients for these Selenia units were presented in our related work.23 The correction factor was used to modify the respective adipose calibration curve expressed as
| Eq. [13] |
where Δ is the respective correction factor and the superscript indicates the corrected curve. Differential evolution optimization 31 was used to estimate the correction factors for each target/filter combination using Eq. [13]. Calibration was performed using the corrected adipose expression in Eq. [2]. The correction factor that minimized the absolute difference between the calibrated value and the ideal value (zero) for all ROIs was used as the respective correction for a given target/filter combination. To evaluate this correction, it was applied in tandem with the thickness correction using Bland-Altman plots and the related analyses discussed above.
3. Results
3.1. Compression paddle Characterization
To a close approximation, all paddles showed common behavior with tilt along the same direction. This is noted by the plane coefficients shown in Table 1, where the coefficient for y (i.e. b) is much smaller than the other coefficients (i.e. a or c) for all paddles and forces. The validity of this approximation is noted by considering the angle, N = (a, b, c), made with the unit vectors along the y and z coordinate directions. As shown in Table 2, β changed little as a function of force and was approximately 90 degrees. This indicated N, to a good approximation, is constrained to the xz plane because the front and back edges of all paddles were parallel to the breast support surface for all forces. In contrast, γ (the angle that measures the tilt from the z axis is in the xz plane) changed slowly as a function of force (approximately within 3 to 9 degrees). All paddles showed a similar trend in that the deflection angle increased upward from the horizontal plane; the deflection angle is approximately α = 90- γ in the xz plane as force increase. All paddles had similar values in γ per force when considering the associated uncertainty, provided parenthetically in Table 2. The differences in the paddles are noted by the constant d. As d approaches zero, the difference between zr and Ts approached zero at x = 0 and y = 0, noting that the zr intercept is given by d/c.
Table 2.
Correction Plane Directional Angles
| Force (lb) | H1 | H2 | H3 | ||||||||||||
|---|---|---|---|---|---|---|---|---|---|---|---|---|---|---|---|
| Large Paddle | Small Paddle | Large Paddle | Small Paddle | Large Paddle | Small Paddle | ||||||||||
| γ | β | γ | β | γ | β | γ | β | γ | β | γ | β | ||||
| 0 | 3.2(0.2) | 90.5 | 8.8(0.2) | 90.4 | 3.1(0.2) | 90.2 | 3.5(0.3) | 90.1 | 3.9(0.1) | 90.4 | 4.7(0.3) | 90.4 | |||
| 10 | 3.0(0.1) | 90.3 | 3.8(0.2) | 90.2 | 3.5(0.1) | 90.2 | 4.0(0.1) | 90.4 | 4.2(0.1) | 90.3 | 3.9(0.6) | 89.9 | |||
| 15 | 3.4(0.7) | 90.5 | 3.8(0.5) | 90.2 | 3.4(0.4) | 90.3 | 4.0(0.4) | 90.0 | 3.9(0.8) | 90.0 | 5.5(0.8) | 90.1 | |||
| 20 | 5.7(0.5) | 90.5 | 7.4(0.5) | 90.4 | 5.2(0.2) | 90.0 | 6.1(0.1) | 90.2 | 7.2(0.1) | 90.0 | 7.7(0.2) | 90.3 | |||
| 25 | 5.9(0.8) | 90.4 | 7.6(0.6) | 90.2 | 4.8(0.4) | 89.7 | 6.7(0.4) | 90.2 | 6.4(0.4) | 90.0 | 6.9(0.6) | 90.1 | |||
| 30 | 7.3(0.6) | 90.5 | 8.5(0.3) | 90.4 | 7.0(0.2) | 89.9 | 8.2(0.2) | 90.1 | 8.2(0.2) | 90.1 | 8.6(0.5) | 89.9 | |||
| 35 | 8.0(0.5) | 90.7 | 8.8(0.2) | 90.4 | 7.4(0.4) | 89.9 | 8.5(0.1) | 90.1 | 8.6(0.1) | 89.9 | 8.7(0.5) | 90.1 | |||
This shows the relevant directional angles (degrees) as a function of compression force for the normal vector N for all paddles. To a good approximation, α = 90- γ because N is constrained to the xz plane. The estimated uncertainty in γ is provided parenthetically
Serial DP images were calibrated as the first step of the thickness correction evaluation. The related calibration curve is shown in Figure 3. We used H2 with force = 35lb to exemplify the findings by comparing the calibration with and without the correction illustrated in Figure 4. This shows that the correction produced a calibration accuracy within the ±4SU tolerance from the ideal value = 100SU for the DP, whereas many of the uncorrected points are outside of this tolerance. The corresponding DI Cusum serial monitoring returned zero for Eqs. [11] and [12] over the relevant timeframe for all units and forces indicating the corrections were stable over this interval (plots not shown).
Figure 3.

Deformable Breast Biopsy Practice Phantom (DP) Calibration Curve: This shows the logarithmic relative response (LRE) calibration curve for the DP phantom as a function of compressed thickness measured in cm. The points were generated using repeated measurements of the sampled forces. The fine spacing is a consequence of interpolation.
Figure 4.

Serial Calibration accuracy: The deformable breast biopsy practice phantom was imaged serially and calibrated without the thickness correction (diamonds) and with the thickness correction (stars). This example is from H2 with force = 35lb. The central dashed line represents the ideal standardized unit (SU) =100, whereas the upper and lower dashed lines mark the ± 4SU tolerance.
3.2. Attenuation-anomaly
The attenuation-anomaly findings are discussed first because they were used in the combined correction evaluation with calibrated mammograms. A correction was estimated for the Mo/Mo, Mo/Rh, W/Rh and W/Ag beams. Without correction, averaging of the ROIs for each respective beam gave: −12.9, −13.3, −13.9, and −9.50. For each beam, the respective estimated effective x-ray attenuation coefficient (cm−1) correction, Δ, was 0.024, 0.020, 0.024, and 0.016. The corrected calibrated ROI averages were −0.83, −1.1, −0.79, and 0.53, respectively. These were within ±4SU from idealized value (zero) for adipose tissue.
3.3. Correction evaluation
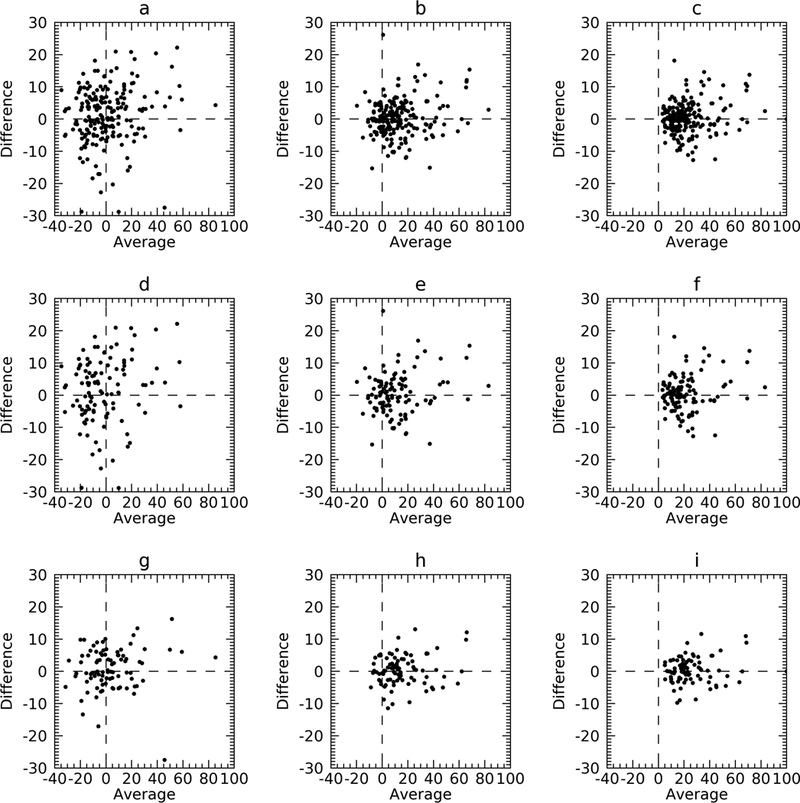
Bland-Altman plots are shown in Figure 5. The top row shows plots for the entire dataset, which are discussed first. The impact of thickness correction is noted by comparing the uncorrected data (a) with the corrected data (b) in Figure 5. The associated descriptive metrics are provided in Table 3. The uncorrected data was clustered around μa = 0, where approximately 57% of the samples were negative. The mean of the non-corrected data (ma) was not significantly different from zero, whereas the thickness corrected mean (ma = 13.99) was significantly greater than zero, while noting that approximately 23% of μa samples remained negative. The μd distribution mean (md) was not significantly different from zero in either the non-corrected or thickness corrected data indicating a lack of right-left breast bias in μ. The linear correlation between right and left μ increased from R = 0.90 to 0.96 (see Table 3) due to the correction. The F-test results, provided in Table 4, showed that the μd distribution variance was reduced significantly (p < 0.0001), noted by comparing the respective σd in Table 3. When applying both corrections in tandem (c), the μa distribution mean shifted significantly in the positive direction with ma = 22.8 relative to applying the thickness correction in isolation, noting one sample had negative μa. When applying both corrections in tandem, the σd was not significantly influenced relative to applying the thickness correction in isolation (5.81 vs 5.32) and R was unchanged. The middle and bottom rows of Figure 5 show the findings from the subgroups with different and the same acquisition techniques, respectively. These subgroups exhibited similar behavior noting ma was not significantly different from zero prior to applying the corrections; 61% and 50% of the samples in (d) and (g) respectively were negative. After applying the thickness correction approximately 26% percent of the samples shown in (e) and 16% shown in (i) remained negative. In general, the corrections had a similar influence on both subgroups where ma experienced significant shifts to the right after each correction with md not significantly different from zero. The thickness correction reduced the variance in the μd distribution in both subgroups significantly (Table 4). When applying both corrections in tandem, one the sample remained negative in the different-acquisition subgroup while no samples were negative in the same-acquisition group.
Figure 5.

Bland-Altman Plots. The left and right breast difference (μd) is plotted on the vertical axes and the left and right breast average (μa) on the horizontal axes. Plots are shown for the non-corrected (left), thickness corrected (middle), and combined thickness and attenuation-anomaly corrected (right) data. Plots in the top row include the entire dataset (a-c). The middle row shows the plots for the subgroup with different acquisition techniques (d-f), and the bottom row shows the plots for the subgroup with the same acquisition techniques (h-i).
Table 3.
Descriptive Metrics
| Internal Evaluation | No correction | Thickness correction | Both corrections | |
|---|---|---|---|---|
| Full dataset (n = 199) | R | 0.90 (0.88, 0.93) | 0.96 (0.88, 0.93) | 0.96 (0.95, 0.97) |
| μd | 1.21 (−0.01, 2.43) | 0.43 (−0.38, 1.24) | 0.38 (−0.36, 1.12) | |
| σd | 8.79 (8.00, 9.75) | 5.81 (5.29, 6.45) | 5.32 (4.85, 5.90) | |
| μm | 0.92 (−1.77, 3.62) | 13.99 (11.17, 16.80) | 22.83 (20.32, 25.34) | |
| σm | 19.41 (17.68, 21.53) | 20.25 (18.44, 22.46) | 18.08 (16.46, 20.02) | |
| Different acquisition technique (n = 111) | R | 0.87 (0.83, 0.90) | 0.94 (0.92, 0.95) | 0.93 (0.91, 0.95) |
| μd | 1.58 (−0.33, 3.48) | 0.44 (−0.79, 1.66) | 0.35 (−0.78, 1.49) | |
| σd | 10.24 (9.05, 11.80) | 6.58 (5.82, 7.58) | 6.10 (5.39, 7.02) | |
| μm | −1.37 (−4.92, 2.19) | 11.41 (8.04, 2.19) | 20.52 (17.52, 23.52) | |
| σm | 19.10 (16.88, 22.01) | 18.14 (16.03, 20.90) | 16.12 (14.24, 18.57) | |
| Same acquisition technique (n = 88) | R | 0.95 (0.93, 0.96) | 0.98 (0.97, 0.98) | 0.98 (0.97, 0.98) |
| μd | 0.74 (−0.62, 2.11) | 0.42 (−0.57, 1.40) | 0.41 (−0.46, 1.28) | |
| σd | 6.54 (5.70, 7.68) | 4.70 (4.09, 5.52) | 4.18 (3.64, 4.91) | |
| μm | 3.81 (−0.27, 7.89) | 17.24 (12.57, 21.90) | 25.74 (21.57, 29.92) | |
| σm | 19.53 (17.01, 22.93) | 22.31 (19.43, 26.20) | 19.99 (17.41, 23.47) | |
This table gives descriptive metrics for the non-corrected, thickness corrected, and combined thickness and attenuation-anomaly corrected data. These include the right and left breast linear correlation coefficient (R), the right and left breast difference (μd) distribution mean (md) and standard deviation (σd),, right and left breast average distribution mean (ma) and standard deviation (σa). Each quantity is provided with 95% confidence intervals
Table 4.
Variation Comparisons
| F-Test comparing μd distributions p-value | Full dataset (n = 199) | Different acquisition technique (n = 111) | Same acquisition technique (n = 88) |
|---|---|---|---|
| no correction vs thickness correction | <0.0001 | <0.0001 | 0.0023 |
| no correction vs both corrections | <0.0001 | <0.0001 | <0.0001 |
The variance from the right and left breast calibrated difference distributions were compared within each group. This table gives the p-values from the F-test. The non-corrected data was used as the reference.
4. Discussion
We investigated two technical challenges noted previously when developing a phantom based calibration method for FFDM. A compressed breast thickness correction methodology built on earlier work was presented in this report. The adipose attenuation-anomaly correction was also evaluated. Our findings, both past and present, indicate that a calibration approach that relies on references derived from BTE phantom imaging requires a compressed breast thickness correction tailored to the specific unit and paddle. The thickness correction merits are noted by μa distribution shift in the positive direction, the elimination of negative μ, and that the variance reduction of the μd distribution. Our findings also indicate the attenuation-anomaly correction was required as noted by the corresponding μa distribution shift in the positive direction, in agreement with our previous work. 11 The two corrections applied in tandem eliminated negative μ substantially. In total, this evidence indicates that the DP is suitable for characterizing the compression paddle tilt and offset for H units as demonstrated with the large and small paddle findings. Our approach includes an initial paddle evaluation with physical measurements followed by serial monitoring using calibration accuracy as the quality endpoint. The serial monitoring is based acquiring DP images biweekly for each unit and paddle. The present report provides an internal validation of the corrections using calibration accuracy as the endpoint.
Our thickness correction approach is similar to that of several studies in that direct measurements of the perpendicular distance between the breast support surface and the compression paddle surface at multiple (x, y) locations were used to establish the correction as a function of compression force.17–19 Photogrammetry techniques have also been studied using both phantoms and mammograms.17, 18 Image processing techniques based on tissue characteristics and grey-level distributions20, 21 have also been investigated. One main difference with our methodology is that we continually monitor the thickness correction measurements serially using calibration accuracy as the endpoint.
There are several qualifications with our study and findings worth noting. The absolute truth for the LCC-RCC breast density measurement similarity is unknown leaving the relative agreement as the standard. The DP volume (or size) is fixed, whereas breast volumes vary considerably. Our thickness correction did not take breast volume into consideration explicitly. Implicitly, breast volume was partially accounted for by the paddle selection. We have also made the assumption that the resistance of the DP matches the resistance offered by actual breast. Our findings indicate these are reasonable approximations. The findings are relevant to the specific type of calibrated measurement used in this analysis (the mean). As noted, we have developed other calibrated metrics. We only considered CC views. Both the correction and calibration methods apply to mediolateral oblique and mediolateral views but would require additional processing to detect the pectoral muscle region so it could be removed from the calibration measurement calculation.
5. Conclusion
This work provided insight into the technical nuances of developing a general calibration system intended to apply across FFDM technologies using references derived from phantom imaging. The validation of the calibration methodology and the corrections will require further evaluation using defined experimental endpoints such as breast cancer status or comparisons with other breast density measures. Further testing, for example, would include evaluating whether it is possible to merge calibrated data from different technologies within the context of a case-control study without introducing bias relative to the type of units used to acquire the mammograms, which is in process. We also note that mammography is shifting to digital breast tomosynthesis (DBT). DBT volumetric data may be difficult to calibrate with these methods due to the reconstruction processing. However, calibration applications are still relevant for DBT. The 2D projection images used for the DBT volume reconstruction can be calibrated in theory. Additionally, the combo-mode acquisition is also used for screening and includes standard 2D FFDM images, which can be calibrated.
Acknowledgements
This work was supported by the National Institutes of Health grants R01CA166269 and U01CA200464. The author’s thank Dr. Beibei Lu for her assistance with the phantom imaging.
Footnotes
Disclosure of Conflicts of Interest
The authors have nothing to disclose.
References
- 1.Boyd NF, Martin LJ, Yaffe MJ, Minkin S, “Mammographic density and breast cancer risk: current understanding and future prospects,” Breast Cancer Res 13, 223 (2011). [DOI] [PMC free article] [PubMed] [Google Scholar]
- 2.McCormack VA, dos Santos Silva I, “Breast density and parenchymal patterns as markers of breast cancer risk: a meta-analysis,” Cancer Epidemiol Biomarkers Prev 15, 1159–1169 (2006). [DOI] [PubMed] [Google Scholar]
- 3.Huo CW, Chew GL, Britt KL, Ingman WV, Henderson MA, Hopper JL, Thompson EW, “Mammographic density-a review on the current understanding of its association with breast cancer,” Breast Cancer Res Treat 144, 479–502 (2014). [DOI] [PubMed] [Google Scholar]
- 4.Pettersson A, Graff RE, Ursin G, Santos Silva ID, McCormack V, Baglietto L, Vachon C, Bakker MF, Giles GG, Chia KS, Czene K, Eriksson L, Hall P, Hartman M, Warren RM, Hislop G, Chiarelli AM, Hopper JL, Krishnan K, Li J, Li Q, Pagano I, Rosner BA, Wong CS, Scott C, Stone J, Maskarinec G, Boyd NF, van Gils CH, Tamimi RM, “Mammographic density phenotypes and risk of breast cancer: a meta-analysis,” J Natl Cancer Inst 106 2014). [DOI] [PMC free article] [PubMed] [Google Scholar]
- 5.Boyd N, Martin L, Gunasekara A, Melnichouk O, Maudsley G, Peressotti C, Yaffe M, Minkin S, “Mammographic density and breast cancer risk: evaluation of a novel method of measuring breast tissue volumes,” Cancer Epidemiol Biomarkers Prev 18, 1754–1762 (2009). [DOI] [PubMed] [Google Scholar]
- 6.Ding J, Warren R, Warsi I, Day N, Thompson D, Brady M, Tromans C, Highnam R, Easton D, “Evaluating the effectiveness of using standard mammogram form to predict breast cancer risk: case-control study,” Cancer Epidemiol Biomarkers Prev 17, 1074–1081 (2008). [DOI] [PubMed] [Google Scholar]
- 7.Gastounioti A, Conant EF, Kontos D, “Beyond breast density: a review on the advancing role of parenchymal texture analysis in breast cancer risk assessment,” Breast Cancer Research 18, 91 (2016). [DOI] [PMC free article] [PubMed] [Google Scholar]
- 8.Shepherd JA, Kerlikowske K, Ma L, Duewer F, Fan B, Wang J, Malkov S, Vittinghoff E, Cummings SR, “Volume of mammographic density and risk of breast cancer,” Cancer Epidemiol Biomarkers Prev 20, 1473–1482 (2011). [DOI] [PMC free article] [PubMed] [Google Scholar]
- 9.Melnikow J, Fenton JJ, Whitlock EP, Miglioretti DL, Weyrich MS, Thompson JH, Shah K, “Supplemental Screening for Breast Cancer in Women With Dense Breasts: A Systematic Review for the US Preventive Services Task ForceSupplemental Breast Cancer Screening in Women With Dense Breasts,” Ann Intern Med 164, 268–278 (2016). [DOI] [PMC free article] [PubMed] [Google Scholar]
- 10.Heine JJ, Cao K, Rollison DE, “Calibrated measures for breast density estimation,” Acad Radiol 18, 547–555 (2011). [DOI] [PMC free article] [PubMed] [Google Scholar]
- 11.Heine JJ, Cao K, Rollison DE, Tiffenberg G, Thomas JA, “A Quantitative Description of the Percentage of Breast Density Measurement Using Full-field Digital Mammography,” Acad Radiol 18, 556–564 (2011). [DOI] [PMC free article] [PubMed] [Google Scholar]
- 12.Heine JJ, Fowler EEE, Flowers CI, “A comparison of calibrated and non-calibrated breast density measurements with full field digital mammography “ Acad Radiol 18, 1430–1436 (2011). [DOI] [PMC free article] [PubMed] [Google Scholar]
- 13.Heine JJ, Behera M, “Effective x-ray attenuation measurements with full field digital mammography,” Med Phys 33, 4350–4366 (2006). [DOI] [PubMed] [Google Scholar]
- 14.Heine JJ, Cao K, Thomas JA, “Effective radiation attenuation calibration for breast density: compression thickness influences and correction “ BioMedical Engineering OnLine 9, 73 (2010). [DOI] [PMC free article] [PubMed] [Google Scholar]
- 15.Heine JJ, Thomas JA, “Effective x-ray attenuation coefficient measurements from two full field digital mammography systems for data calibration applications,” Biomedical engineering online 7, 13 (2008). [DOI] [PMC free article] [PubMed] [Google Scholar]
- 16.Fowler EE, Sellers TA, Lu B, Heine JJ, “Breast Imaging Reporting and Data System (BI-RADS) breast composition descriptors: automated measurement development for full field digital mammography,” Med Phys 40, 113502 (2013). [DOI] [PMC free article] [PubMed] [Google Scholar]
- 17.Mawdsley GE, Tyson AH, Peressotti CL, Jong RA, Yaffe MJ, “Accurate estimation of compressed breast thickness in mammography,” Medical physics 36, 577–586 (2009). [DOI] [PubMed] [Google Scholar]
- 18.Tyson AH, Mawdsley GE, Yaffe MJ, “Measurement of compressed breast thickness by optical stereoscopic photogrammetry,” Medical physics 36, 569–576 (2009). [DOI] [PubMed] [Google Scholar]
- 19.Hauge IH, Hogg P, Szczepura K, Connolly P, McGill G, Mercer C, “The readout thickness versus the measured thickness for a range of screen film mammography and full-field digital mammography units,” Med Phys 39, 263–271 (2012). [DOI] [PubMed] [Google Scholar]
- 20.Kallenberg MG, Karssemeijer N, “Compression paddle tilt correction in full-field digital mammograms,” Phys Med Biol 57, 703–715 (2012). [DOI] [PubMed] [Google Scholar]
- 21.Kallenberg MGJ, van Gils CH, Lokate M, den Heeten GJ, Karssemeijer N, “Effect of compression paddle tilt correction on volumetric breast density estimation,” Physics in medicine and biology 57, 5155–5168 (2012). [DOI] [PubMed] [Google Scholar]
- 22.Mahesh M, “AAPM/RSNA physics tutorial for residents: digital mammography: an overview,” Radiographics 24, 1747–1760 (2004). [DOI] [PubMed] [Google Scholar]
- 23.Fowler EE, Lu B, Heine JJ, “A comparison of calibration data from full field digital mammography units for breast density measurements,” Biomedical engineering online 12, 114 (2013). [DOI] [PMC free article] [PubMed] [Google Scholar]
- 24.Lu B, Smallwood AM, Sellers TA, Drukteinis JS, Heine JJ, Fowler EE, “Calibrated breast density methods for full field digital mammography: a system for serial quality control and inter-system generalization,” Med Phys 42, 623–636 (2015). [DOI] [PMC free article] [PubMed] [Google Scholar]
- 25.Hawkins DM, Olwell DH, Cumulative Sum Charts and Charting for Quality Improvement. (Springer-verlag; New York, 1997). [Google Scholar]
- 26.Page ES, “Continuous inspection schemes,” Biometrika 41, 100–115 (1954). [Google Scholar]
- 27.Page ES, “Cumulative sum schemes using gauging,” Technometrics, 97–109 (1962). [Google Scholar]
- 28.Page ES, “Controlling the standard deviation by Cusums and warning lines,” Technometrics 5, 307–315 (1963). [Google Scholar]
- 29.Heine JJ, Cao K, Beam C, “Cumulative Sum Quality Control for Calibrated Breast Density Measurements “ Medical Physics 36 5380–5390 (2009). [DOI] [PMC free article] [PubMed] [Google Scholar]
- 30.Bland JM, Altman DG, “Statistical methods for assessing agreement between two methods of clinical measurement,” Lancet 1, 307–310 (1986). [PubMed] [Google Scholar]
- 31.Price KV, Storn RM, Lampinen JA, Differential evolution : a practical approach to global optimization. (Springer, Berlin; New York, 2005). [Google Scholar]
