Abstract
Objective
This study aimed to investigate the longitudinal circulating eosinophil (EOS) data impacted by the COVID-19 vaccine, the predictive role of circulating EOS in the disease severity, and its association with T cell immunity in patients with SARS-CoV-2 Omicron BA.2 variant infection in Shanghai, China.
Methods
We collected a cohort of 1,157 patients infected with SARS-CoV-2 Omicron/BA.2 variant in Shanghai, China. These patients were diagnosed or admitted between Feb 20, 2022, and May 10, 2022, and were classified as asymptomatic (n = 705), mild (n = 286) and severe (n = 166) groups. We compiled and analyzed data of patients’ clinical demographic characteristics, laboratory findings, and clinical outcomes.
Results
COVID-19 vaccine reduced the incidence of severe cases. Severe patients were shown to have declined peripheral blood EOS. Both the 2 doses and 3 doses of inactivated COVID-19 vaccines promoted the circulating EOS levels. In particular, the 3rd booster shot of inactivated COVID-19 vaccine was shown to have a sustained promoting effect on circulating EOS. Univariate analysis showed that there was a significant difference in age, underlying comorbidities, EOS, lymphocytes, CRP, CD4, and CD8 T cell counts between the mild and the severe patients. Multivariate logistic regression analysis and ROC curve analysis indicate that circulating EOS (AUC = 0.828, p = 0.025), the combination of EOS and CD4 T cell (AUC = 0.920, p = 0.017) can predict the risk of disease severity in patients with SARS-CoV-2 Omicron BA.2 variant infection.
Conclusions
COVID-19 vaccine promotes circulating EOS and reduces the risk of severe illness, and particularly the 3rd booster dose of COVID-19 vaccine sustainedly promotes EOS. Circulating EOS, along with T cell immunity, may have a predictive value for the disease severity in SARS-CoV-2 Omicron infected patients.
Keywords: COVID-19 vaccine, SARS-CoV-2, Omicron variant, Eosinophil (EOS), T cell immunity, Disease severity
Background
COVID-19 epidemic remains to be a matter of great concern internationally [1–6]. Since the World Health Organization (WHO) listed the COVID-19 Omicron mutant as a noteworthy mutant in November 2021 [7], SARS-CoV-2 (severe acute respiratory syndrome coronavirus 2) Omicron/BA.2 variant has quickly replaced the Delta variant and become the main epidemic strain. Considering the rapid transmission, the widespread SARS-CoV-2 Omicron variant infection has been a public health emergency of international concern [8–10]. As of May 10, 2022, more than 600,000 cases with SARS-CoV-2 Omicron BA.2. variant infection had been documented in Shanghai, China (http://sh.bendibao.com).
Eosinopenia has been linked to COVID-19 [11–13], however, the sample size in these studies was limited, and the detailed role of eosinophils (EOS) in SARS-CoV-2 Omicron variant infected patients remains unclear. A study has indicated that eosinophilia is associated with improved COVID − 19 outcomes in patients treated with inhaled corticosteroid [14]. A study has introduced a risk stratification score that includes eosinophils at < 5 per microliter to identify patients who are likely to be manifesting with COVID-19. However, the mechanism by which eosinophilia associated with COVID-19 remains unclear. Moreover, little is known about the role of inactivated COVID-19 vaccine on peripheral blood EOS. In this study, we investigated the severity predictive role of circulating EOS and its association with T cell immunity, in patients with SARS-CoV-2 Omicron BA.2 variant infection in Shanghai, China.
Compared with the original virus strain, Omicron variants have had remarkable shifts and evolution [15, 16]. Recent studies have indicated that SARS-COV-2 Omicron variants have shown immune escape to the existing COVID-19 vaccine [17, 18]. In this study, we found that inactivated COVID-19 vaccine could reduce the incidence of severe cases. We also evaluated the longitudinal EOS data impacted by the COVID-19 vaccine. Interestingly, we found inactivated COVID-19 vaccine sustainedly promoted circulating EOS. Thus, in addition to the specific immunity of the COVID-19 vaccine against SARS-CoV-2, we tried to clarify the potential role of EOS associated with COVID-19 vaccine-mediated antiviral response.
Patients and methods
Data sources
We conducted a multicenter, cross-sectional study. Data were collected from the laboratory-confirmed SARS-CoV-2 infected patients from the recent COVID-19 pandemic of 2022 in Shanghai, China. Patients involved in this study were diagnosed or admitted to Tongji Hospital and Shanghai Public Health Clinical Center in Shanghai from Feb 20, 2022, through May 10, 2020. Patients younger than 18 years old, and other patients who did not meet the criteria were excluded from this study. Inactivated COVID-19 vaccines were from Sinovac Life Sciences Co., Ltd. (China). This retrospective study was approved by the Ethics Committee of Tongji Hospital (No. K-KYSB-2020-189) and granted a waiver of informed consent from study participants.
A total of 1335 patients with confirmed SARS-CoV-2 Omicron BA.2 variant infection were considered in this study. Patients were excluded if they had an age below 18 years (n = 121), eosinophilia(n = 1), allergy history (n = 15), bronchial asthma (n = 4) or missed other relevant data (n = 35). Eventually, a total of 1157 patients were involved and divided into asymptomatic group (n = 705), mild group (n = 286), and severe groups (n = 166). The severe group includes the severe patients and critical severe patients, according to disease severity defined by the WHO guidance [19]. Severe patients with intensive care unit admission required high-flow nasal oxygen (HFNO), an intubation followed by mechanical ventilation. 69 out of 166 severe patients had a COVID-19-related death. The schematic diagram of this study was shown in Fig. 1.
Fig. 1.
Schematic of study design
EOS, Eosinophils; COVID-19, 2019 coronavirus disease
Data collection
Data of the medical history and laboratory findings were collected from electronic medical records. Laboratory tests include white blood cell (WBC) counts, counts of neutrophils, lymphocytes, monocytes, Eosinophils (EOS), and C-reactive protein (CRP), D-dimer、CD4、CD8、CD4/CD8、NLR(Neutrophil-to-Lymphocyte Ratio). Medical history include Vaccination history、hypertension、coronary artery disease、diabetes、COPD、cerebrovascular disease、chronic renal disease、malignant tumor、Rheumatic disease.
Definitions
The current round of COVID-19 epidemic in Shanghai has been confirmed as SARS-CoV-2 Omicron/BA.2 variant infection by the Shanghai Municipal Center for Disease Control and Prevention. The disease severity was defined according to the latest WHO guidance [19]. Severe patients were admitted to the intensive care unit. Decreased circulating EOS was defined as the counts of peripheral blood EOS under the lower limit of the normal range (< 0.02 × 109/L).
Statistical analysis
Statistical analysis was performed by SPSS (NY, USA). Data ware shown as medians with interquartile ranges (IQR) for continuous variables and numbers with percentages for categorical variables. The Mann-Whitney U test is used to compare continuous variables between the asymptomatic and the mild, or the mild and severe groups. The chi-square test or Fisher’s exact test was used to compare the categorical variables. Significant independent variables in univariate analysis were included in the regression model for multivariate logistic regression analysis. The receiver operating characteristic (ROC) curve was calculated from the logistic regression model. The area under the curve (AUC) was assessed to evaluate the strength of prediction. p<0.05 was considered to be statistically significant.
Results
Clinical characteristics of asymptomatic and mild patients with COVID-19 on admission
Clinical data of a total of 991 patients, including asymptomatic (n = 705), and mild (n = 286) patients were collected. Table 1 showed the clinical characteristics of the asymptomatic and mild patients infected with COVID-19. There was no significant difference in age, gender, and underlying comorbidities in patients between the two groups. There was a significant difference between the asymptomatic group and the mild symptom group in the number of people who received the second dose of the vaccine (34.18% vs. 42.65%, p = 0.013).
Table 1.
Clinical characteristics of asymptomatic,mild and severe patients with COVID-19 on admission
| Asymptomatic N = 705 |
Mild N = 286 |
Severe N = 166 |
P Value*Asymptomatic versus mild |
P Value*mild versus severe |
Overall N = 1157(% or IQR) |
|
|---|---|---|---|---|---|---|
| Clinical characteristics | ||||||
| Sex | 0.292 | 0.736 | ||||
| Male | 365(51.77%) | 159(55.59%) | 95(57.22%) | 619(53.50) | ||
| Female | 340(48.22%) | 127(44.40%) | 71(42.77%) | 538(46.49) | ||
| Age | 30(21.25, 46.00) | 33(24,46) | 62(44.50,72.50) | 0.783 | < 0.001 | |
| Disease onset time (day) | 1.00(1.00,1.00) | 1.00(1.00,1.00) | 1.50(1.00,6.00) | 0.753 | < 0.001 | |
| COVID-19 vaccine | ||||||
| 0-dose | 121(17.16%) | 43(15.03%) | 153(92.16%) | 0.451 | < 0.001 | 317(27.39) |
| 1-dose | 15(2.12%) | 7(2.44%) | 1(0.60%) | 0.813 | 0.194 | 23(1.98) |
| 2-doses | 241(34.18%) | 122(42.65%) | 6(3.61%) | 0.013 | < 0.001 | 369(31.89) |
| 3-doses | 328(46.52%) | 114(39.86%) | 6(3.61%) | 0.057 | < 0.001 | 448(38.72) |
| Time from last vaccine dose (day) | 83(49.00,161.00) | 130(56.00,175.00) | 86(55.00,153.5.00) | 0.06 | 0.06 | |
| Comorbidities | ||||||
| Hypertension | 64(9.07%) | 23(8.04%) | 87(52.40%) | 0.624 | < 0.001 | 174(15.03) |
| Coronary artery disease | 18(2.55%) | 14(4.89%) | 40(24.09%) | 0.073 | < 0.001 | 72(6.22) |
| Diabetes | 30(4.25%) | 10(3.49%) | 44(26.50%) | 0.602 | < 0.001 | 84(7.26) |
| COPD | 2(0.28%) | 3(1.04%) | 14(8.43%) | 0.148 | 0.012 | 19(1.64) |
| Cerebrovascular disease | 11(1.56%) | 3(1.04%) | 43(25.90%) | 0.58 | < 0.001 | 57(4.92) |
| Chronic renal disease | 7(0.99%) | 2(0.69%) | 14(8.43%) | 0.737 | < 0.001 | 23(1.98) |
| Malignant tumor | 9(1.27%) | 4(1.39%) | 19(11.44%) | 1 | 0.004 | 32(2.76) |
| Rheumatic disease | 4(0.56%) | 1(0.34%) | 2(1.20%) | 1 | 0.39 | 7(0.60) |
| Symptoms | ||||||
| Fever | 132(46.20%) | 48(28.91%) | 0.005 | 180(15.55) | ||
| Cough | 168(58.70%) | 62(37.34%) | 0.002 | 230(19.87) | ||
| Shortness of breath | 0 | 12(7.22%) | < 0.001 | 12(1.03) | ||
| Fatigue | 29(10.10%) | 12(7.22%) | 0.299 | 41(3.54) | ||
| Nausea or vomiting | 2(0.70%) | 6(3.61%) | 0.023 | 8(0.69) | ||
| Diarrhea | 3(1.00%) | 2(1.20%) | 0.882 | 5(0.43) | ||
| Sore throat | 91(31.80%) | 5(3.01%) | < 0.001 | 96(8.29) | ||
| Laboratory findings | ||||||
| WBC (10^9/L) | 4.80(3.92,6.31) | 4.68(4.06,6.85) | 6.71(4.72,9.60) | 0.582 | < 0.001 | 5.39 (4.23,7.59) |
| EOS (10^9/L) | 0.06(0.02,0.13) | 0.05(0.01,0.09) | 0.01(0.00,0.03) | 0.065 | < 0.001 | 0.04 (0.01,0.08) |
| Neutrophils (10^9/L) | 2.59(1.94, 3.66) | 2.87(1.97,4.31) | 4.74(3.03,7.76) | 0.873 | < 0.001 | 3.40 (2.31,5.24) |
| Lymphocytes (10^9/L) | 1.47(1.00,1.47) | 1.56(0.75,2.14) | 0.84(0.53,1.29) | 0.319 | < 0.001 | 1.29 (0.76,1.63) |
| Monocytes (10^9/L) | 0.51(0.39,0.66) | 0.55(0.39, 0.7) | 0.50(0.35,0.75) | 0.042 | 0.772 | 0.52 (0.38,0.70) |
| CRP (mg/L) | 1.96(0.40,3.92) | 2.68(0.90,3.25) | 30.85(6.21,76.53) | 0.782 | < 0.001 | 14.92(2.50,27.90) |
| D-Dimer(ug/ml) | 0.23(0.18, 0.34) | 0.49(0.30,0.71) | 1.42(0.93,2.84) | 0.096 | < 0.001 | 0.71 (0.47,1.30) |
| NLR | 1.82(1.18, 2.84) | 2.16(1.24, 3.65) | 5.23 (2.74,11.92) | 0.231 | < 0.001 | 3.07 (1.72,6.14) |
| CD4 (cell/ul) | 720.50(553.59, 943.25) | 292.52(178.60,482.76) | < 0.001 | 366.09(366.09,713.01) | ||
| CD8 (cell/ul) | 458.50(360.75, 609.00) | 156.00(87.88,342.32) | < 0.001 | 307.25(224.32,475.66) | ||
| CD4/CD8 | 720.50(553.59, 943.25) | 292.52(178.60,482.76) | 0.074 | 506.51(366.10,713.01) | ||
| Outcome | ||||||
| HFNO | 0 | 0 | 40(24.10%) | 40(3.45) | ||
| Mechanical ventilation | 0 | 0 | 126(75.90%) | 126(10.89) | ||
| Death | 0 | 0 | 69(41.57%) | 69(5.96) |
Data are presented as median (IQR) or n (%). p values comparing the group of asymptomatic and mild patients are from χ² test or Mann-Whitney U test. EOS, Eosinophils. NLR, Neutrophil-to-Lymphocyte Ratio
For blood tests, EOS counts between the mild group and the asymptomatic group showed no significant difference (0.05 vs. 0.06, p = 0.065). There was no difference in the neutrophils counts (p = 0.873) and lymphocytes counts (p = 0.319), but Monocytes (p = 0.042) were found to be increased in the mild group compared with the asymptomatic group. (Table 1)
Clinical characteristics of mild and severe patients with COVID-19 on admission
There was no significant difference in gender (p = 0.292), but a significant difference in age between the mild and severe patients. The median age of the mild and severe patients was 35.0 years (IQR 25–48) vs. 62 years (IQR 44.5–72.5), with a significant difference (p < 0.001). Significant differences in the underlying comorbidity include hypertension (p < 0.001), Coronary artery disease (p < 0.001), Diabetes mellitus (p < 0.001), Chronic renal disease(p < 0.001), and Cerebrovascular disease (p < 0.001) were identified between the mild and severe group of patients. (Table 1)
The most common symptoms including fever (p = 0.005), cough (p = 0.002), nausea or vomiting (p = 0.023), sore throat (p < 0.001), and shortness of breath (p < 0.001) were found between the mild and severe groups of patients. The median interval from the onset of symptoms to hospital admission for the mild and severe patients were 1.08 and 4.418 days, with a significant difference between the two groups (p < 0.001). Out of the 166 severe patients, 40 severe patients required high-flow nasal oxygen (HFNO), 126 severe patients required intubation followed by mechanical ventilation, and 69 out of 166 severe patients died finally. (Table 1)
For blood parameters, there was a significant difference in the median counts of lymphocytes (1.55 vs. 0.84, p < 0.001), WBC (5.35 vs. 6.71, p < 0.001), EOS (0.065 vs. 0.01, p < 0.001), and the significant difference of neutrophils (2.84 vs. 4.74, p < 0.001) were also found between the mild and severe group. Declined median CD4 (720.5 vs. 292.52, p < 0.001) and CD8 T cell counts (458.5 vs. 156, p < 0.001), while increased CRP (0.4 vs. 30.85, p < 0.001) and D-dimer (0.25 vs. 1.42, p < 0.001) were identified in the mild and severe groups. (Table 1)
Effects of age and the underlying comorbidities on circulating EOS
Table 1 showed that age and the underlying comorbidities were associated with the disease severity. Therefore, we furthermore evaluated the potential effect of age and the underlying comorbidities on circulating EOS. Our results showed that age (p = 0.595) and underlying comorbidities including HBP (p = 0.314), CAD(p = 0.908), and Diabetes(p = 0.488) had no significant effects on circulating EOS in the severe patients (Fig. 2A). This result suggests that age and underlying comorbidities have no significant effects on circulating EOS, which indicates that EOS likely is a predictor of disease severity independent of age and the underlying comorbidities.
Fig. 2.
Effects of age and the underlying comorbidities on circulating EOS, and the correlation between circulating EOS and the CD4 or CD8 T cells
HBP, high blood pressure; CAD, Coronary artery disease; DM, Diabetes mellitus
Correlation between circulating EOS counts and the T cell immunity in the mild and severe patients
Our results showed that circulating EOS, lymphocytes, CD4, and CD8 T cells were significantly decreased, while CRP and NLR significantly increased in the severe patients, compared with the mild patients (Table 1). In order to evaluate the correlation between circulating EOS and T cell immunity, we divided patients into two groups, including the low EOS group (< 0.02 × 109/L) and the normal EOS group (≥ 0.02 × 109/L) according to circulating EOS when admitted to the hospital.
In the mild patients, the median cell counts of CD4 (595 vs. 739, p = 0.069), CD8 T cells (359 vs. 486, p = 0.182), and Lymphocytes (1.18 vs. 1.7, p < 0.001), along with the median CRP (1.99 vs. 0.4, p < 0.001) and NLR (2.57 vs. 1.97, p = 0.075), were identified between the low EOS group (< 0.02 × 109/L) and normal EOS Group (≥ 0.02 × 109/L) (Table 2). While, in the severe patients, the median cell counts of CD4 (272.23 vs. 353.49, p = 0.011), CD8 (140 vs. 219.75, p = 0.058), and Lymphocytes (0.7 vs. 0.99, p = 0.006), along with median CRP (41.49 vs. 24.72, p = 0.001) and NLR (7.79 vs. 3.85, p = 0.026), were demonstrated between the low EOS group (< 0.02 × 109/L) and normal EOS Group (≥ 0.02 × 109/L) (Table 3; Fig. 2B).
Table 2.
Correlation between circulating EOS and the T cell immunity in the mild patients
| Mild patients | Low EOS (< 0.02 × 10^9/L) (n = 19) | Normal EOS (≥ 0.02 × 10^9/L) (n = 131) | P value |
|---|---|---|---|
| Sex | 0.466 | ||
| Male | 10 (52.63%) | 81 (61.83%) | |
| Female | 9 (47.37%) | 50 (38.17%) | |
| Age | 36(31,52) | 37(26,49) | 0.693 |
| WBC (10^9/L) | 5.15(3.90,5.89) | 5.9(4.45,6.95) | 0.002 |
| EOS (10^9/L) | 0.01(0.01,0.01) | 0.08(0.04,0.15) | < 0.001 |
| Neutrophils (10^9/L) | 3.34(2.48,4.07) | 3.25(2.51,4.475) | 0.129 |
| Lymphocytes (10^9/L) | 1.18(1.07,1.40) | 1.7(1.45,2.045) | < 0.001 |
| Monocytes (10^9/L) | 0.44(0.36,0.60) | 0.45(0.40,0.59) | 0.376 |
| CRP(mg/L) | 1.99(0.48,11.55) | 0.4(0.40,1.20) | < 0.001 |
| D-Dimer(ug/ml) | 0.14(0.14,0.14) | 0.25(0.165,0.360) | 0.805 |
| CD4 (cell/ul) | 595(468.00,830.00) | 739 (559.18,898.50) | 0.065 |
| CD8 (cell/ul) | 359(273.00,508.00) | 486(373.50,618.00) | 0.182 |
| CD4/CD8 | 1.72(1.27, 1.94) | 1.57(1.20, 2.11) | 0.871 |
| NLR | 2.57(1.72, 3.80) | 1.97(1.60, 2.54) | 0.075 |
Data are presented as median (IQR) or n (%). p values comparing the group of mild and severe patients are from χ² test or Mann-Whitney U test. EOS, Eosinophils. NLR, Neutrophil-to-Lymphocyte Ratio
Table 3.
Correlation between circulating EOS and the T cell immunity in the severe patients
| Severe patients | Low EOS (< 0.02 × 10^9/L) (n = 101) |
Normal EOS (≥ 0.02 × 10^9/L) (n = 65) | P value |
|---|---|---|---|
| Sex | 0.307 | ||
| Male | 61(60.40%) | 34 (52.31%) | |
| Female | 40 (39.60%) | 31(47.69%) | |
| Age | 78(78.00,92.50) | 81(74.00,90.00) | 0.195 |
| WBC (10^9/L) | 7.05(5.32,10.18) | 6.64(4.26,8.88) | 0.102 |
| EOS (10^9/L) | 0(0.00,0.00) | 0.04(0.02,0.08) | < 0.001 |
| Neutrophils (10^9/L) | 5.44(3.95, 8.54) | 4.48(2.40,7.12) | 0.026 |
| Lymphocytes (10^9/L) | 0.7(0.46,1.03) | 0.99(0.70,1.50) | 0.006 |
| Monocytes (10^9/L) | 0.465(0.31,0.77) | 0.5(0.38,0.71) | 0.825 |
| CRP(mg/L) | 41.96(10.89,96.27) | 24.72(3.97,63.33) | 0.001 |
| D-Dimer(ug/ml) | 1.42(0.96,3.55) | 1.41(0.79,2.74) | 0.365 |
| CD4 (cell/ul) | 272.23(138.23,407.49) | 353.49(220.85,487.25) | 0.011 |
| CD8 (cell/ul) | 140(81.02,291.47) | 219.75(103.57,368.08) | 0.058 |
| CD4/CD8 | 1.7(0.9,2.59) | 1.31(1.01,2.02) | 0.229 |
| NLR | 7.79(3.92, 15.45) | 3.85(2.34, 8.01) | 0.026 |
Data are presented as median (IQR) or n (%). p values comparing the group of mild and severe patients are from χ² test or Mann-Whitney U test. EOS, Eosinophils. NLR, Neutrophil-to-Lymphocyte Ratio
Effects of inactivated COVID-19 vaccine on circulating EOS
Next, we compared the effect of inactivated COVID-19 vaccine on circulating EOS and other factors associated with the activated inflammatory response such as CRP and NLR, according to the vaccination doses, and the time from the last anti-COVID-19 vaccine dose to the symptom onset. Because of the extremely low vaccination rate (13 out of 166 patients, 7.83%) in severe patients in this study, we only evaluated the effect of the inactivated COVID-19 vaccine on circulating EOS, both in the asymptomatic and the mild groups.
Our results showed that both 2 doses and 3 doses of the inactivated COVID-19 vaccine can promote circulating EOS in asymptomatic or mild patients. In particular, the 3rd booster shot of the COVID-19 vaccine demonstrated a more effective and sustained promoting effect on circulating EOS both in the asymptomatic (Fig. 3A) and mild patients (Fig. 3B). Interestingly, this promoting effect lasted more than five months later after the last anti-COVID-19 vaccine dose (It has not been evaluated for a longer time), both in the asymptomatic and the mild (Fig. 3E) groups. Furthermore, our results showed that both 2 doses and 3 doses of the COVID-19 vaccine could inhibit CRP levels in the asymptomatic and the mild groups. Inconsistent with circulating EOS, the 3rd booster shot of COVID-19 vaccine demonstrated a more significant inhibitory effect on CRP. (Fig. 3F)
Fig. 3.
Effects of the inactivated COVID-19 vaccine on circulating EOS.
The promoting effect of 2 doses or 3 doses of COVID-19 vaccine on circulating EOS in the asymptomatic (Fig. 3A, B and E); The effect of COVID-19 vaccines from different manufacturers (Fig. 3C and D); The role of COVID-19 vaccine on CRP levels (Fig. 3F).
Non-vaccine: Not vaccinated;
Days (0–90), Days (90–150), 150 days later: Time from the last anti-COVID-19 vaccine dose to the onset of symptoms
Moreover, we also compared the effect of COVID-19 vaccines on circulating EOS. Our results show the inactivated COVID-19 vaccine (Sinovac, China) is likely to have a significant promoting effect on EOS, both in the asymptomatic (Fig. 3C) and the mild (Fig. 3D) patients.
Predictive values of circulating EOS for disease severity
In this study, univariate analysis showed that there was a significant difference in age, underlying comorbidities, EOS, lymphocytes, CRP, CD4, and CD8 T cells between the mild and severe patients. Multi-factor logistic regression analysis was performed. Our results showed that EOS (OR 1.34, p = 0.006), CD8 T cell (OR 0.999, p = 0.024) and CD4 T cell (OR 0.995, p = 0.016) were independent risk factors for disease severity in patients with SARS-CoV-2 Omicron BA.2 variant infection. (Table 4)
Table 4.
Multivariate logistic regression analysis in the mild and severe patients
| Influencing factors | OR | 95%CI | P value |
|---|---|---|---|
| age | 1.15 | 1.08–1.21 | < 0.001 |
| HBP | 1.68 | 0.38–7.38 | 0.491 |
| CAD | 1.06 | 0.16–6.99 | 0.945 |
| DM | 1.14 | 0.19–6.83 | 0.884 |
| COPD | 1.86 | 0.12–2.69 | 0.648 |
| Chronic renal disease | 1.15 | 0.19–6.85 | 0.798 |
| WBC (10^9/L) | 8.46 | 0.19–4.82 | 0.299 |
| EOS (10^9/L) | 1.34 | 1.24–1.42 | 0.006 |
| Neutrophils (10^9/L) | 0.11 | 0.00-7.21 | 0.308 |
| Lymphocytes (10^9/L) | 0.10 | 0.00-5.82 | 0.271 |
| CRP(mg/L) | 1.05 | 1.02–1.08 | 0.001 |
| CD4 (cell/ul) | 0.99 | 0.69–0.99 | 0.016 |
| CD8 (cell/ul) | 0.99 | 1.01–1.32 | 0.024 |
OR: odds ratio; CI: confidence interval
HBP, high blood pressure; CAD, Coronary artery disease; DM, Diabetes mellitus; COPD, Chronic Obstructive Pulmonary Disease. EOS, Eosinophils
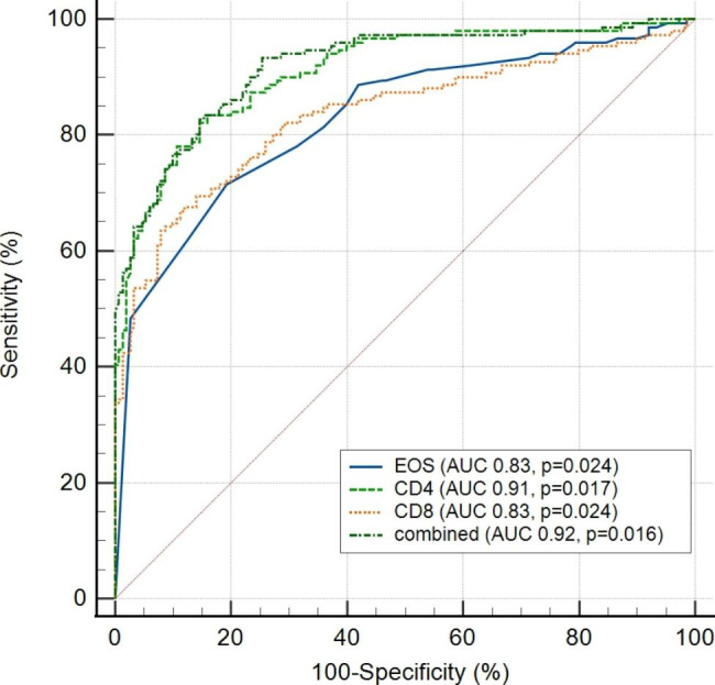
ROC curve analysis was conducted to calculate the area under the curve (AUC) of circulating EOS, CD4, and CD8 T cells between the mild and severe groups of patients. Our results showed the predictive value of EOS (AUC = 0.829, p = 0.0237), CD4 T cells (AUC = 0.910, p = 0.0167), or CD8 T cells (AUC = 0.834, p = 0240) for the disease severity. Moreover, the combination of the EOS and CD4 (AUC = 0.919, p = 0.0157) indicated a better predictive value for disease severity than each indicator (Fig. 4; Table 5).
Fig. 4.

ROC curve analysis of circulating EOS for the disease severity
EOS, Eosinophils;
ROC: Receiver Operating Characteristics;
Combined: combination of EOS and CD4 T cell
Table 5.
ROC curve analysis of EOS for disease severity
| Variable | AUC | 95% CI | P value |
|---|---|---|---|
| EOS | 0.83 | 0.78 to 0.87 | 0.0237 |
| CD4 | 0.91 | 0.87 to 0.93 | 0.0167 |
| CD8 | 0.83 | 0.78 to 0.87 | 0.0240 |
| Combined* | 0.92 | 0.882to 0.94 | 0.0157 |
*Combined: Combination of EOS and CD4.
EOS, Eosinophils. ROC, Receiver operating characteristics
Discussion
In addition to chest imaging findings, disease severity and laboratory findings should be taken into consideration for the determination of risk factors for COVID-19 patients. Studies of Epidemiological statistics have shown that “age over 65” was associated with higher risk of mortality [20, 21]. In this study, the mean age of the severe patients was 78.1 years old, which was significantly higher than that in the mild group (38.9 years old). This result indicated that old age still is a significant risk factor associated with the disease severity of the patients infected with SARS-CoV-2 Omicron/BA.2, which is consistent with previous studies on COVID-19 [22, 23]. Among the asymptomatic patients, 121 (17.16%) patients did not receive vaccine, 15 (2.12%) patients received one dose, 241 (34.18%) patients received two doses, and 328 (46.52%) patients received three doses of vaccine. No significant difference in age and the underlying comorbidities including HBP, CAD, DM, COPD, and Cerebrovascular disease of each group of patients was shown between the asymptomatic and the mild groups. While there was a significant difference in the underlying comorbidity between the mild and severe groups of patients. This result indicates that underlying comorbidities are significant risk factors for the disease severity prediction in these SARS-CoV-2 Omicron/BA.2 infected patients. The possible reason is that these underlying comorbidities may induce more serious inflammatory reactions [24, 25], resulting in severe and critical COVID-19, eventually contributing to death.
Our results showed that eosinopenia was common in the SARS-CoV-2 Omicron/BA.2 infected patients, which was consistent with previous studies on COVID-19 patients [26]. Our results showed that significantly decreased EOS was identified in the mild patients than in the asymptomatic patients. Notably, significantly decreased EOS was more common in severe patients. In this study, univariate analysis showed that the median circulating EOS was significantly different between the mild and severe groups (0.008 vs. 0.001, p < 0.001) (Table 1). Multi-factor logistic regression analysis was performed and the result showed that EOS (OR 0.00, 95% CI 0.00-0.012, p = 0.008) likely is an independent risk factor for the disease severity prediction (Table 4). ROC curves analysis showed that EOS (AUC = 0.828, p = 0.024), the combination of EOS, and CD4 (AUC = 0.92, p = 0.016) demonstrated the predictive value for disease severity prediction (Fig. 3; Table 5).
Our results suggested that the underlying comorbidities may contribute to the disease severity of COVID-19 patients. A study has suggested that age and underlying comorbidities such as diabetes may be associated with dismal outcomes [27]. These risk factors may contribute to declined EOS or impaired T cell immunity. Thus, we further evaluated the potential effect of age and the underlying comorbidities on circulating EOS. However, our results demonstrated that no significant differences in EOS associated with age (p = 0.5954), HBP (p = 0.3138), CAD (p = 0.9084), or DM (p = 0.4876) in severe patients. Thus, circulating EOS likely is a predictor of severe disease independent of age and the underlying comorbidities.
Studies have indicated that immune injury is a risk factor associated with disease severity in COVID-19 patients [28–30]. Immune function injury is directly or indirectly associated with SARS-CoV-2 infection. However, the inflammatory factor is possibly due to the direct effect of the virus or the indirect effect of immune dysfunction. Our study showed that severe patients exhibited impaired T cell immunity and more activated inflammatory response, as demonstrated by the significantly decreased CD4 and CD8 T cell counts, while increased CRP levels or NLR ratio in the severe patients than that in mild patients. Therefore, we further evaluated the correlation between circulating EOS and CD4 or CD8 T cells both in mild and severe patients.
We divided COVID-19 severe patients into two groups based on the circulating EOS counts when admitted to the hospital, including the low EOS group (< 0.02 × 109/L) and the normal EOS group (≥ 0.02 × 109/L). Our results showed that patients with low EOS exhibited impaired T cell immune function and activated inflammatory response, as demonstrated by the significantly decreased circulating CD4, and CD8 T cells, while increased CRP level or NLR ratio, compared with the normal EOS group, both in the mild and severe patients (Fig. 2). Therefore, eosinophilia, along with low CD4, CD8 T cells, and activated inflammatory response, are likely to be significant prognostic factors for the disease severity.
We are still unable to conclude whether the decreased EOS or absence of EOS is due to SARS-CoV-2 infection. Therefore, the association between EOS and other immune factors should be characterized in future studies that involve larger cohorts of COVID-19 patients with different illness severities to determine whether they could be well used to predict disease outcomes.
We compared the effects of inactivated COVID-19 vaccine on circulating EOS. Our results showed both 2 doses and 3 doses of COVID-19 vaccine could promote circulating EOS. In particular, the 3rd booster shot of COVID-19 vaccine demonstrated a more effective and sustained promoting effect on EOS, while inhibiting the CRP level, both in the asymptomatic and mild patients (Fig. 3). Moreover, the longitudinal EOS data showed that the promoting effect of COVID-19 vaccine could last five months later after the last vaccination (It has not been evaluated for a longer time).
In this study, the vaccination rate was only 7.83% (13 out 166 severe cases) in severe patients. Studies have shown that the COVID-19 vaccine especially the 3-doses vaccine had protective effects against the SARS-CoV-2 variant, reducing the occurrence of disease severity and death [31–33]. Consistently, 3-doses of COVID-19 vaccine demonstrated a more effective and sustained promoting effect on circulating EOS, along with the attenuated inflammatory response (CRP).
SARS-COV-2 Omicron variants have emerged immune-escape to the existing COVID-19 vaccine [17, 34, 35]. Thus, besides the specific immune response of COVID-19 vaccine against SARS-COV-2, whether circulating EOS involved in the anti-COVID-19 immunity? Or is circulating EOS just a predictive marker for the responsiveness to COVID-19 vaccine or disease severity? Such issues still need to be clarified in the future.
Our study has some limitations. The symptoms of some patients were not well documented, and some patients had inadequate laboratory results due to variations in the structure of the electronic databases.
Conclusions
Our results suggest that decreased EOS, along with impaired T cell immunity, as evidenced by the eosinopenia may be an independent risk factor for the prediction of poor clinical outcomes in patients with SARS-CoV-2 Omicron/BA.2 variant infection. Both 2-doses and 3-doses of the COVID-19 vaccine can promote EOS. In particular, the 3rd booster shot of inactivated COVID-19 vaccine demonstrates a sustained promoting effect on circulating EOS. However, whether and how EOS participates in the antiviral effects of the COVID-19 vaccine remains to be elucidated.
Acknowledgements
The authors thank all the patients who participated in this study.
Abbreviations
- EOS
Eosinophils
- COVID-19
2019 coronavirus disease
- SARS-CoV-2
Severe acute respiratory syndrome coronavirus 2
- HBP
High blood pressure
- CAD
Coronary artery disease
- DM
Diabetes mellitus
- COPD
Chronic Obstructive Pulmonary Disease
- HFNV
High-flow nasal oxygen
- IMV
Invasive mechanical ventilation
- ICU
intensive care unit
- CRP
C-Reactive Protein
- IQR
Interquartile range
- NLR
Neutrophil-to-Lymphocyte Ratio
- ROC
Receiver operating characteristics
- WBC
White blood cell
- WHO
World Health Organization
Author Contribution
Z. Zhu, J. Cai, Q Tang, T Deng, K Xu, B Wu, and X Zhang collected and analyzed the data. Y Mo edited the article. Z. Zhu and H Tang interpreted the data. Z. Zhang and Z. Zhu designed the study and wrote the paper.
Funding
This work was supported by the “Scientific and technological innovation action plan” of Shanghai Science and Technology Commission of China (Grant Number: 20Y11901600; 20Z11900905; 20Z11901104), and the National Natural Science Foundation of China (No. 82272621, 81672939 and 81372513),
Data Availability
The datasets used and analyzed during the current study available from the corresponding author on reasonable request.
Declarations
Ethics approval and consent to participate
The study was approved by the Ethics Committee of Tongji Hospital of Tongji University (No. K-KYSB-2020-189) in accordance with the principles of the Declaration of Helsinki. Informed consent was signed by the participants or their authorized family members.
Consent for publication
Not applicable.
Competing interests
The authors declare no competing interests.
Footnotes
Publisher’s Note
Springer Nature remains neutral with regard to jurisdictional claims in published maps and institutional affiliations.
Zhuxian Zhu, Jixu Cai, Qiang Tang, Yin-yuan Mo, Tiantian Deng and Xiaoyu Zhang contributed equally to this work.
Contributor Information
Haicheng Tang, Email: thc822@163.com.
Ziqiang Zhang, Email: zzq1419@126.com.
References
- 1.Phan LT, Nguyen TV, Luong QC, Nguyen TV, Nguyen HT, Le HQ, Nguyen TT, Cao TM, Pham QD. Importation and human-to-human transmission of a Novel Coronavirus in Vietnam. N Engl J Med. 2020;382(9):872–4. doi: 10.1056/NEJMc2001272. [DOI] [PMC free article] [PubMed] [Google Scholar]
- 2.Chen N, Zhou M, Dong X, Qu J, Gong F, Han Y, Qiu Y, Wang J, Liu Y, Wei Y, et al. Epidemiological and clinical characteristics of 99 cases of 2019 novel coronavirus pneumonia in Wuhan, China: a descriptive study. Lancet. 2020;395(10223):507–13. doi: 10.1016/S0140-6736(20)30211-7. [DOI] [PMC free article] [PubMed] [Google Scholar]
- 3.Martin CA, Pan D, Melbourne C, Teece L, Aujayeb A, Baggaley RF, Bryant L, Carr S, Gregary B, Gupta A, et al. Risk factors associated with SARS-CoV-2 infection in a multiethnic cohort of United Kingdom healthcare workers (UK-REACH): a cross-sectional analysis. PLoS Med. 2022;19(5):e1004015. doi: 10.1371/journal.pmed.1004015. [DOI] [PMC free article] [PubMed] [Google Scholar]
- 4.Yamada D, Ohde S, Imai R, Ikejima K, Matsusako M, Kurihara Y. Visual classification of three computed tomography lung patterns to predict prognosis of COVID-19: a retrospective study. BMC Pulm Med. 2022;22(1):1. doi: 10.1186/s12890-021-01813-y. [DOI] [PMC free article] [PubMed] [Google Scholar]
- 5.Jian Wu YW, Cai Z, Lin Z, Huang H, Wang D, Yu J, Jiang B, Zhao X, Zhai G, Lin S, Li L. Hongcui Cao: Effects of Different Therapeutic Schedules on Patients with COVID-19: A Prospective Case–Control Study in China. Advanced Gut & Microbiome Research 2022, 2022:10.
- 6.Giamarellos-Bourboulis EJ, Netea MG, Rovina N, Akinosoglou K, Antoniadou A, Antonakos N, Damoraki G, Gkavogianni T, Adami ME, Katsaounou P, et al. Complex Immune Dysregulation in COVID-19 patients with severe respiratory failure. Cell Host Microbe. 2020;27(6):992–1000e1003. doi: 10.1016/j.chom.2020.04.009. [DOI] [PMC free article] [PubMed] [Google Scholar]
- 7.Team CC-R. SARS-CoV-2 B.1.1.529 (omicron) variant - United States, December 1–8, 2021. MMWR Morb Mortal Wkly Rep. 2021;70(50):1731–4. doi: 10.15585/mmwr.mm7050e1. [DOI] [PMC free article] [PubMed] [Google Scholar]
- 8.Elliott P, Eales O, Steyn N, Tang D, Bodinier B, Wang H, Elliott J, Whitaker M, Atchison C, Diggle PJ et al. Twin peaks: the Omicron SARS-CoV-2 BA.1 and BA.2 epidemics in England. Science 2022:eabq4411. [DOI] [PMC free article] [PubMed]
- 9.Rubin EJ, Baden LR, Morrissey S. Audio interview: understanding the Omicron variant of SARS-CoV-2. N Engl J Med. 2022;386(8):e27. doi: 10.1056/NEJMe2202699. [DOI] [PubMed] [Google Scholar]
- 10.Uraki R, Kiso M, Iida S, Imai M, Takashita E, Kuroda M, Halfmann PJ, Loeber S, Maemura T, Yamayoshi S, et al. Characterization and antiviral susceptibility of SARS-CoV-2 Omicron BA.2. Nature. 2022;607(7917):119–27. doi: 10.1038/s41586-022-04856-1. [DOI] [PMC free article] [PubMed] [Google Scholar]
- 11.Xie G, Ding F, Han L, Yin D, Lu H, Zhang M. The role of peripheral blood eosinophil counts in COVID-19 patients. Allergy. 2021;76(2):471–82. doi: 10.1111/all.14465. [DOI] [PMC free article] [PubMed] [Google Scholar]
- 12.Eijmael M, Janssens N, le Cessie S, van Dooren Y, Koster T, Karim F. Coronavirus disease 2019 and peripheral blood eosinophil counts: a retrospective study. Infection. 2021;49(6):1325–9. doi: 10.1007/s15010-021-01710-w. [DOI] [PMC free article] [PubMed] [Google Scholar]
- 13.Valverde-Monge M, Canas JA, Barroso B, Betancor D, Ortega-Martin L, Gomez-Lopez A, Rodriguez-Nieto MJ, Mahillo-Fernandez I, Sastre J. Del Pozo V: Eosinophils and Chronic Respiratory Diseases in hospitalized COVID-19 patients. Front Immunol. 2021;12:668074. doi: 10.3389/fimmu.2021.668074. [DOI] [PMC free article] [PubMed] [Google Scholar]
- 14.Zein JG, Strauss R, Attaway AH, Hu B, Milinovich A, Jawhari N, Chamat SS, Ortega VE. Eosinophilia is Associated with Improved COVID-19 Outcomes in inhaled corticosteroid-treated patients. J Allergy Clin Immunol Pract. 2022;10(3):742–750e714. doi: 10.1016/j.jaip.2021.12.034. [DOI] [PMC free article] [PubMed] [Google Scholar]
- 15.Chang MR, Ke H, Coherd CD, Wang Y, Mashima K, Kastrunes GM, Huang CY, Marasco WA. Analysis of a SARS-CoV-2 convalescent cohort identified a common strategy for escape of vaccine-induced anti-RBD antibodies by Beta and omicron variants. EBioMedicine. 2022;80:104025. doi: 10.1016/j.ebiom.2022.104025. [DOI] [PMC free article] [PubMed] [Google Scholar]
- 16.Kontopodis E, Pierros V, Stravopodis DJ, Tsangaris GT. Prediction of SARS-CoV-2 omicron variant immunogenicity, Immune escape and pathogenicity, through the analysis of spike protein-specific core unique peptides. Vaccines (Basel) 2022, 10(3). [DOI] [PMC free article] [PubMed]
- 17.Ai J, Wang X, He X, Zhao X, Zhang Y, Jiang Y, Li M, Cui Y, Chen Y, Qiao R, et al. Antibody evasion of SARS-CoV-2 Omicron BA.1, BA.1.1, BA.2, and BA.3 sub-lineages. Cell Host Microbe. 2022;30(8):1077–1083e1074. doi: 10.1016/j.chom.2022.05.001. [DOI] [PMC free article] [PubMed] [Google Scholar]
- 18.Evans JP, Zeng C, Qu P, Faraone J, Zheng YM, Carlin C, Bednash JS, Zhou T, Lozanski G, Mallampalli R, et al. Neutralization of SARS-CoV-2 Omicron sub-lineages BA.1, BA.1.1, and BA.2. Cell Host Microbe. 2022;30(8):1093–1102e1093. doi: 10.1016/j.chom.2022.04.014. [DOI] [PMC free article] [PubMed] [Google Scholar]
- 19.Lamontagne F, Agoritsas T, Siemieniuk R, Rochwerg B, Bartoszko J, Askie L, Macdonald H, Amin W, Bausch FJ, Burhan E, et al. A living WHO guideline on drugs to prevent covid-19. BMJ. 2021;372:n526. doi: 10.1136/bmj.n526. [DOI] [PubMed] [Google Scholar]
- 20.Parohan M, Yaghoubi S, Seraji A, Javanbakht MH, Sarraf P, Djalali M. Risk factors for mortality in patients with coronavirus disease 2019 (COVID-19) infection: a systematic review and meta-analysis of observational studies. Aging Male. 2020;23(5):1416–24. doi: 10.1080/13685538.2020.1774748. [DOI] [PubMed] [Google Scholar]
- 21.Saxena S, Hashmi AZ. COVID-19 in older adults. Cleve Clin J Med 2021. [DOI] [PubMed]
- 22.Chen R, Liang W, Jiang M, Guan W, Zhan C, Wang T, Tang C, Sang L, Liu J, Ni Z, et al. Risk factors of fatal outcome in hospitalized subjects with Coronavirus Disease 2019 from a nationwide analysis in China. Chest. 2020;158(1):97–105. doi: 10.1016/j.chest.2020.04.010. [DOI] [PMC free article] [PubMed] [Google Scholar]
- 23.Smits RAL, Trompet S, van der Linden CMJ, van der Bol JM, Jansen SWM, Polinder-Bos HA, Willems HC, Barten DG, Blomaard LC, de Boer MGJ et al. Characteristics and outcomes of older patients hospitalised for COVID-19 in the first and second wave of the pandemic in the Netherlands: the COVID-OLD study. Age Ageing 2022, 51(3). [DOI] [PMC free article] [PubMed]
- 24.Silberberg E, Filep JG, Ariel A. Weathering the storm: harnessing the resolution of inflammation to Limit COVID-19 pathogenesis. Front Immunol. 2022;13:863449. doi: 10.3389/fimmu.2022.863449. [DOI] [PMC free article] [PubMed] [Google Scholar]
- 25.Hajiasgharzadeh K, Jafarlou M, Mansoori B, Dastmalchi N, Baradaran B, Khabbazi A. Inflammatory reflex disruption in COVID-19. Clin Exp Neuroimmunol 2022. [DOI] [PMC free article] [PubMed]
- 26.Wang D, Hu B, Hu C, Zhu F, Liu X, Zhang J, Wang B, Xiang H, Cheng Z, Xiong Y, et al. Clinical characteristics of 138 hospitalized patients with 2019 Novel Coronavirus-Infected pneumonia in Wuhan, China. JAMA. 2020;323(11):1061–9. doi: 10.1001/jama.2020.1585. [DOI] [PMC free article] [PubMed] [Google Scholar]
- 27.Qin L, Jing X, Qiu Z, Cao W, Jiao Y, Routy JP, Li T. Aging of immune system: Immune signature from peripheral blood lymphocyte subsets in 1068 healthy adults. Aging. 2016;8(5):848–59. doi: 10.18632/aging.100894. [DOI] [PMC free article] [PubMed] [Google Scholar]
- 28.Chen J, Liu X, Zhang X, Lin Y, Liu D, Xun J, Wang Z, Gu L, Li Q, Yin D, et al. Decline in neutralising antibody responses, but sustained T-cell immunity, in COVID-19 patients at 7 months post-infection. Clin Transl Immunology. 2021;10(7):e1319. doi: 10.1002/cti2.1319. [DOI] [PMC free article] [PubMed] [Google Scholar]
- 29.Fu W, Liu Y, Liu L, Hu H, Cheng X, Liu P, Song Z, Zha L, Bai S, Xu T et al. An open-label, randomized trial of the combination of IFN-kappa plus TFF2 with standard care in the treatment of patients with moderate COVID-19. EClinicalMedicine 2020, 27:100547. [DOI] [PMC free article] [PubMed]
- 30.Mao B, Liu Y, Chai YH, Jin XY, Lu HW, Yang JW, Gao XW, Song XL, Bao H, Wang A, et al. Assessing risk factors for SARS-CoV-2 infection in patients presenting with symptoms in Shanghai, China: a multicentre, observational cohort study. Lancet Digit Health. 2020;2(6):e323–30. doi: 10.1016/S2589-7500(20)30109-6. [DOI] [PMC free article] [PubMed] [Google Scholar]
- 31.Chen Y, Chen L, Yin S, Tao Y, Zhu L, Tong X, Mao M, Li M, Wan Y, Ni J et al. The third dose of CoronVac vaccination induces broad and potent adaptive immune responses that recognize SARS-CoV-2 Delta and Omicron variants. Emerg Microbes Infect 2022:1–44. [DOI] [PMC free article] [PubMed]
- 32.Saharia KK, Husson JS, Niederhaus SV, Iraguha T, Avila SV, Yoo YJ, Hardy NM, Fan X, Omili D, Crane A, et al. Humoral immunity against SARS-CoV-2 variants including omicron in solid organ transplant recipients after three doses of a COVID-19 mRNA vaccine. Clin Transl Immunology. 2022;11(5):e1391. doi: 10.1002/cti2.1391. [DOI] [PMC free article] [PubMed] [Google Scholar]
- 33.Russo AG, Murtas R, Tunesi S, Decarli A, Bergamaschi W. Boosters and time from the last anti-COVID-19 vaccine dose: lead public health choices by real-time epidemiological assessment. Epidemiol Prev. 2022;46(1–2):34–46. doi: 10.19191/EP22.1.A001.001. [DOI] [PubMed] [Google Scholar]
- 34.McLean G, Kamil J, Lee B, Moore P, Schulz TF, Muik A, Sahin U, Tureci O, Pather S. The impact of evolving SARS-CoV-2 mutations and variants on COVID-19 vaccines. mBio. 2022;13(2):e0297921. doi: 10.1128/mbio.02979-21. [DOI] [PMC free article] [PubMed] [Google Scholar]
- 35.Naranbhai V, Nathan A, Kaseke C, Berrios C, Khatri A, Choi S, Getz MA, Tano-Menka R, Ofoman O, Gayton A, et al. T cell reactivity to the SARS-CoV-2 Omicron variant is preserved in most but not all individuals. Cell. 2022;185(6):1041–1051e1046. doi: 10.1016/j.cell.2022.01.029. [DOI] [PMC free article] [PubMed] [Google Scholar]
Associated Data
This section collects any data citations, data availability statements, or supplementary materials included in this article.
Data Availability Statement
The datasets used and analyzed during the current study available from the corresponding author on reasonable request.



