Abstract
Introduction
This study assessed the real-life effectiveness of a single-pill combination (SPC) of bisoprolol/perindopril for controlling blood pressure (BP) and symptoms of angina in patients with hypertension and a history of myocardial infarction (MI).
Methods
Eligible patients with arterial hypertension and a history of MI were aged 18–79 years and had initiated bisoprolol/perindopril SPC within 3 months of study enrollment as part of routine Russian clinical practice. The primary endpoint was mean change in systolic and diastolic BP (SBP/DBP) at week 12 compared with baseline (data collected retrospectively). Secondary endpoints were assessed at weeks 4 and 12 and included mean change in resting heart rate (HR), proportion of patients reaching target level of resting HR, antianginal effectiveness of the SPC, and proportion of patients reaching target BP levels.
Results
A total of 504 patients were enrolled, of whom 481 comprised the full analysis set (mean age 61.4 ± 8.9 years, 68% men). Mean baseline SBP/DBP and HR values were 148.9 ± 16.8/87.7 ± 11.0 mmHg and 77.4 ± 10.5 bpm, respectively. Mean durations of hypertension and CAD were 12.8 ± 8.4 and 6.1 ± 6.3 years, respectively, and time since MI was 3.8 ± 5.3 years. At week 12, SBP/DBP had decreased by 24.9/12.2 mmHg (P < 0.001 vs baseline). Target BP (< 140/90 mmHg) was achieved by 69.8% and 95.9% of patients at weeks 4 and 12, respectively, and target HR (55–60 bpm) by 17.3% and 34.5% at weeks 4 and 12 versus 3.1% at baseline (P < 0.001). Reductions in angina attacks, nitrate consumption, and improvements in HR were statistically significant. Treatment was well tolerated.
Conclusion
Treatment of symptomatic patients with CAD, hypertension, and a history of MI with a bisoprolol/perindopril SPC was associated with significant decreases in SBP/DBP and a high proportion of patients achieving BP treatment goals. This was accompanied by improvements in angina symptoms and reductions in HR in a broad patient population representative of those seen in everyday clinical practice.
Trial Registration
ClinicalTrials.gov Identifier NCT04656847.
Supplementary Information
The online version contains supplementary material available at 10.1007/s12325-023-02462-9.
Keywords: Angina, Arterial hypertension, Bisoprolol, Blood pressure, Coronary artery disease, Heart rate, Myocardial infarction, Perindopril, Single-pill combination
Key Summary Points
| Why carry out this study? | |
| Most patients require combination therapy with two antihypertensive agents to attain blood pressure targets. For patients with hypertension and stable coronary artery disease (CAD), the benefits of a single-pill combination (SPC) of a beta-blocker and angiotensin-converting enzyme (ACE) inhibitor in the form of bisoprolol/perindopril have been demonstrated. | |
| This 3-month observational study aimed to extend these findings to the high-risk population of patients with stable CAD and a history of myocardial infarction treated with a bisoprolol/perindopril SPC in routine clinical practice. | |
| What was learned from the study? | |
| The addition of bisoprolol/perindopril SPC to background antihypertensive and lipid-lowering therapy for 3 months was associated with significant decreases from baseline in systolic and diastolic blood pressure (− 24.9/− 12.2 mmHg) as well as heart rate (− 14.1 bpm) (P < 0.001), which were already observed at 1 month. | |
| These reductions allowed over two-thirds (69.8%) of patients to achieve target blood pressure (< 140/90 mmHg) at 1 month, and nearly all (95.9%) at 3 months. Reductions in angina attacks and short-acting nitrate consumption were also observed. | |
| Treatment effectiveness was combined with good tolerability, positioning the bisoprolol/perindopril SPC as a valuable treatment option in routine clinical practice for this population at high cardiovascular risk. |
Introduction
Worldwide trends in hypertension prevalence reported by the NCD Risk Factor Collaboration indicate that in 2019, the global number of people with hypertension was over one billion [1]. The same research reported that at a country level, there are major differences in hypertension prevalence, with some regions, including Eastern Europe, continuing to observe high rates. In addition, many countries in Eastern Europe had low blood pressure control rates despite a relatively high proportion of patients receiving treatment [1]. Among patients with coronary artery disease (CAD), the prevalence of hypertension ranges from 30% to 70% and is associated with a worse prognosis [2]. There is therefore an urgent need for new initiatives to improve management of hypertension and CAD and eventually reduce the burden of cardiovascular morbidity and mortality globally.
One such approach is with the use of single-pill combinations (SPC) of two first-line antihypertensive agents from different classes. This strategy is recognized to improve blood pressure control rates more rapidly and often with fewer adverse effects compared to doubling the dose of a single drug, and is associated with increased long-term adherence [3, 4]. SPCs are now endorsed worldwide by major societies producing guidelines for the management of arterial hypertension [5, 6]. The World Health Organization has recognized the use of SPCs as best clinical practice and added them to the 2019 Essential Medicines List [7].
As the majority of hypertension management is performed in routine clinical practice, data on the effectiveness and safety of an SPC outside the setting of a randomized clinical trial in a broad range of patients with hypertension and concomitant conditions is essential for physicians to make informed decisions about treatment. Among patients with CAD (whether patients are symptomatic or not), current guidelines recommend a beta-blocker to control exertional angina and prevent ischemic events, and an angiotensin-converting enzyme (ACE) inhibitor to reduce risk of cardiovascular events including mortality, stroke, myocardial infarction (MI), or onset of heart failure (HF) in patients with additional comorbidities such as hypertension or diabetes [8–16].
This combination is particularly recommended in patients with hypertension and CAD who have a history of MI [6]. In clinical practice, a high percentage of patients with CAD are treated with a beta-blocker and ACE inhibitor combination, and an SPC with representative agents from these classes became available in 2016 in the form of bisoprolol/perindopril. These agents were chosen on the basis of the collective large evidence base supporting their long-term efficacy and tolerability, and beneficial effects on cardiovascular outcomes [17]. Each component also has a long elimination half-life providing 24-h efficacy with once-daily administration [18, 19].
Recent real-world data have confirmed the antihypertensive and antianginal benefits of a bisoprolol/perindopril combination in patients with hypertension and stable CAD [20, 21]. The aim of the current observational study was to extend the previous observational data by evaluating the effectiveness of a beta-blocker-based SPC on blood pressure, heart rate, and anginal symptoms in a high-risk post-MI population with concomitant hypertension.
Methods
Patients
Male and female patients with stable CAD aged 18–79 years with arterial hypertension and a history of MI were recruited. Exclusion criteria included stable angina class IV according to Canadian Cardiovascular Society (CCS) classification, chronic HF class III–IV according to the New York Heart Association (NYHA) classification, a history of MI within the past 3 months, cerebrovascular diseases (ischemic, hemorrhagic stroke, or transient ischemic attack) within the past 6 months prior to inclusion in the study, a history of revascularization procedure within 3 months prior to inclusion in the study, office blood pressure ≥ 180/110 mmHg on treatment, type 1 diabetes mellitus or decompensated type 2 diabetes mellitus, bradycardia with a heart rate of less than 60 beats per minute (bpm), any serious decompensated concomitant diseases requiring regular medical treatment, pregnancy or breast-feeding, and any contraindications to ACE inhibitors and/or beta-blockers.
Study Design
PRIDE was a 3-month, ambispective, observational, multicenter study conducted in Russia between March and October 2021 in ambulatory patients who were initiated with the bisoprolol/perindopril SPC by treating physicians as part of routine clinical practice, independently from the decision to include the patient in the study, and within a 3-month period preceding the patient’s enrollment. Background antihypertensive therapy was at the discretion of the investigator and could include calcium channel blockers and diuretics. Criteria for inclusion or exclusion of patients into the study and baseline data, including systolic and diastolic blood pressure (SBP/DBP) and heart rate (HR), were extracted retrospectively from the patients’ medical records using values proximal to SPC initiation (i.e., corresponding to the last values available in the records before SPC initiation). For other parameters, for which recording in the patients’ medical records is not mandatory, such as number of angina attacks and short-acting nitrate use, baseline data were obtained prospectively at the enrollment visit.
Patients were appointed to make three visits to the study site: an enrollment visit (approximately 2–4 weeks after initiating the SPC), and two follow-up visits scheduled for 4 weeks (± 1 to 2 weeks) and 12 weeks (± 1 to 2 weeks) after inclusion. Office blood pressure was measured on the right arm after 5 min of rest with the patient in a sitting position using the Korotkoff method. Three measurements were performed at 1–2 min intervals, after 5 min of rest. SBP, DBP, and HR values were taken as the mean of the last two readings. If there were differences between two consecutive measurements of SBP of 15 mmHg or more, repeated measurements were performed. During the study, patients were asked to keep a diary in which they reported the number of angina attacks, consumption of short-acting nitrates, and any adverse events. The same information was collected by each of the investigators at scheduled visits.
At the enrollment visit, all patients were receiving bisoprolol/perindopril SPC at one of the following doses: 2.5/2.5 mg (half tablet), 5.0/5.0 mg, 5.0/10.0 mg, or 10.0/10.0 mg. The dose could be changed during the study at the discretion of the investigator.
Efficacy Endpoints
The primary objective was to describe the antihypertensive effectiveness of a bisoprolol/perindopril SPC in patients with CAD, hypertension, and previous MI at week 12 of the observational period compared to baseline (retrospective data). The main secondary objectives (measured at weeks 4 and 12 of the observational period vs enrollment visit [prospectively collected data]) included anti-ischemic effectiveness of the SPC in terms of change in number of angina attacks per week, change in consumption of short-acting nitrates, change in number of angina equivalents suffered per week (e.g., shortness of breath, sweating, extreme fatigue, or pain at a site other than the chest), and change in limitation of daily activity. The proportion of patients reaching target levels of blood pressure and HR at weeks 4 and 12 of the observational period; mean change in resting HR from baseline at weeks 4 and 12 of the observational period; and the association between the resting HR and achievement of target levels of blood pressure at week 12 were also evaluated. Blood pressure goals were in line with the European Society of Cardiology (ESC)/European Society of Hypertension (ESH) recommendations, which state that the first objective of treatment should be to lower blood pressure to < 140/90 mmHg in all patients and, provided that the treatment is well tolerated, treated blood pressure values should be targeted to 130/80 mmHg or lower in most patients [6].
The study complied with the ethical principles derived from the Declaration of Helsinki. The study protocol was approved by the inter-academic ethics committee (IEC). All patients provided written informed consent.
Statistical Analysis
Data were analyzed using R statistical software. All study parameters were presented using descriptive statistics including mean, standard deviation, 95% confidence intervals, or as absolute number and relative frequency of occurrence of each possible value for qualitative or categorical variables. Spearman’s rank coefficient of correlation was used to measure the strength of relationship between resting HR and achievement of target blood pressure levels. Analyses were performed on the full analysis set (FAS) that comprised data from all patients included in the study who had at least one effectiveness assessment accomplished after enrollment. A value of two-sided P < 0.05 was considered statistically significant. Adverse events were assessed in all patients who received a dose of study drug.
Results
Patient Disposition and Baseline Characteristics
A total of 95 general practitioners and cardiologists recruited 504 patients. Inclusion criteria were not met by 23 patients and therefore 481 patients comprised the FAS.
Demographic and baseline clinical characteristics are shown in Table 1. The study population had a mean age of 61.4 ± 8.9 years (33–79 years) and were mostly male (n = 327, 68%); the majority were overweight (mean BMI 28.8 ± 4.0 kg/m2). A high proportion of patients presented at least one cardiovascular risk factor: 90.9% had dyslipidemia, 37.2% had a family history of premature cardiovascular disease, 33.1% were current smokers, and 24.1% had type 2 diabetes.
Table 1.
Baseline patient demographics and clinical characteristics
| Total population (n = 481) | |
|---|---|
| Age (mean ± SD, years) | 61.4 ± 8.9 |
| Gender, n (%) | |
| Men | 327 (68.0) |
| Women | 154 (32.0) |
| SBP (mean ± SD, mmHg) | 148.9 ± 16.8 |
| DBP (mean ± SD, mmHg) | 87.7 ± 11.0 |
| Heart rate (mean ± SD, bpm) | 77.4 ± 10.5 |
| Hypertension, n (%) | |
| Grade 1 | 132 (27.4) |
| Grade 2 | 209 (43.5) |
| Grade 3 | 140 (29.1) |
| Duration of hypertension (mean ± SD, years) | 12.8 ± 8.4 |
| Angina functional class, n (%) | |
| I | 135 (28.1) |
| II | 302 (62.8) |
| III | 44 (9.2) |
| Duration of coronary artery disease (mean ± SD, years) | 6.1 (6.3) |
| Dyslipidemia, n (%) | 437 (90.9) |
| Type 2 diabetes, n (%) | 116 (24.1) |
| Family history of early onset CVD, n (%) | 179 (37.2) |
| Current smoker, n (%) | 159 (33.1) |
| Coronary revascularization, n (%) | 299 (62.2) |
| History of stroke, n (%) | 30 (6.2) |
| Concomitant therapy, n (%) | |
| CCB | 189 (40.2) |
| Diuretic | 81 (16.8) |
| Trimetazidine | 139 (28.9) |
| Ivabradine | 20 (4.2) |
| Nicorandil | 19 (4.0) |
| Ranolazine | 9 (0.8) |
| Short-acting nitrate | 232 (48.7) |
| Long-acting nitrate | 11 (2.3) |
| Antithrombotic agent | 315 (65.5) |
| Antiplatelet therapy | 305 (63.4) |
| Anticoagulant | 10 (2.1) |
| Lipid-lowering agent | 464 (96.9) |
Concomitant medical conditions were prevalent: 62.2% had a history of coronary revascularization, 33.5% a history of peripheral arterial disease, and 6.2% a history of stroke.
The mean duration of hypertension was 12.8 ± 8.4 years, while the mean time from CAD diagnosis was 6.1 ± 6.3 years and that from MI was 3.8 ± 5.3 years.
At baseline, the mean SBP/DBP and HR values were 148.9 ± 16.8/87.7 ± 11.0 mmHg and 77.4 ± 10.5 bpm, respectively. The majority of patients (73%) had ESC/ESH-defined grade 2 or 3 hypertension [6]. It is worth noting that 29.1% of patients at baseline had SBP/DBP values less than 140/90 mmHg. Angina pectoris CCS class I, II, and III was diagnosed in 28.1%, 62.8%, and 9.2% of patients, respectively; 63.2% of patients reported anginal symptoms with a mean of 4.2 ± 3.2 attacks per week and a mean short-acting nitrate consumption of 3.5 ± 3.5 per week.
The most frequently taken SPC dose was bisoprolol 5 mg/perindopril 10 mg (34.3%), followed by bisoprolol 5 mg/perindopril 5 mg (33.5%), and bisoprolol 10 mg/perindopril 10 mg (20.2%). The proportions of patients on the individual SPC doses at each study visit are shown in Table 2. The majority of patients made no change to their SPC dose at either the week 4 (89.0% remained on same SPC dose) or week 12 visit (98.4% remained on same dose).
Table 2.
Number of patients receiving doses of the bisoprolol/perindopril single pill combination at each study visit
| Bisoprolol/perindopril dose (mg) | Number (%) of patients | ||
|---|---|---|---|
| Enrollment | Week 4 | Week 12 | |
| 2.5 + 2.5 | 58 (12.1) | 41 (8.7) | 38 (8.8) |
| 5.0 + 5.0 | 161 (33.5) | 146 (30.9) | 136 (31.3) |
| 5.0 + 10.0 | 165 (34.3) | 172 (36.4) | 157 (36.2) |
| 10.0 + 10.0 | 97 (20.2) | 113 (23.9) | 103 (23.7) |
In addition to the bisoprolol/perindopril SPC, patients were receiving a range of cardiovascular drugs with the exception of other beta-blockers or renin–angiotensin–aldosterone system (RAAS) inhibitors (Table 1). During the study there was a significant decrease in the proportion of patients taking concomitant calcium channel blockers (from 40% at enrollment to 36% [P = 0.014 vs enrollment] and 35% [P = 0.001 vs enrollment] at weeks 4 and 12, respectively) and short-acting nitrates (from 49% at enrollment to 19% [P = 0.001 vs enrollment] and 8% [P = 0.001 vs enrollment] at weeks 4 and 12, respectively). The proportion of patients taking other antianginal drugs also significantly decreased from 40% at enrollment to 32% (P = 0.014 vs enrollment) and 31% (P = 0.001 vs enrollment) at weeks 4 and 12, respectively. Observed changes were mainly driven by reduction in use of long-acting nitrates, nicorandil, and ranolazine (from 6%, 10%, and 5% at enrollment to 4.8%, 5% and 3% at week 12, respectively).
Efficacy Results
Blood Pressure Lowering
Mean SBP decreased by 24.9 mmHg from 148.9 ± 16.8 mmHg at baseline to 124.6 ± 8.2 mmHg at week 12, and mean DBP by 12.2 mmHg from 87.7 ± 11.0 mmHg at baseline to 75.9 ± 5.9 at week 12, both P < 0.001 (Fig. 1). Statistically significant reductions compared with baseline were already observed at the week 4 visit with mean reductions in SBP and DBP of 17.3 and 8.4 mmHg, respectively (Fig. 1).
Fig. 1.
Change in mean blood pressure over the course of the study. Baseline values were obtained retrospectively from patients’ medical records. For both SBP and DBP, changes were statistically significant for the week 4 and week 12 visits compared with both the baseline and enrollment values (all P < 0.001). Changes were also significant between the week 4 and week 12 visits (P < 0.001). Me median
Proportion of Patients Achieving Target Blood Pressure Goals
The proportion of patients achieving a target blood pressure level of < 140/90 mmHg was 69.8% at week 4 and 95.9% at week 12 compared with 23.9% at baseline (both P < 0.001). For the stricter target level of ≤ 130/80 mmHg, the proportions were 26.4% and 51.0%, respectively at week 4 and week 12, compared with 10.6% at baseline (P < 0.001 for the week 12 value compared with baseline). The proportion of patients achieving both blood pressure targets was also statistically significant for the week 12 compared with week 4 visit (P < 0.001).
Antianginal Effectiveness
During the study, there was a reduction in the proportion of patients with anginal symptoms from 63.2% at baseline, to 33.0% at week 4 and to 10.6% at week 12.
The mean number of angina attacks per week decreased from 4.2 ± 3.2 at baseline to 2.8 ± 2.3 at week 4, and to 2.0 ± 1.5 at week 12 (Fig. 2). Mean consumption of short-acting nitrates per week decreased similarly from 3.5 ± 3.5 at baseline to 1.8 ± 2.1 at week 4, and to 1.0 ± 0.9 at week 12 (Fig. 2). For both angina attacks and short-acting nitrate consumption the reductions observed were statistically significant for each visit compared with baseline and for the week 12 compared with week 4 visit (all P < 0.001).
Fig. 2.
Change in number of angina attacks per week and frequency of short-acting nitrate use over the course of the study. For both variables, changes were statistically significant for the week 4 and week 12 visits compared with the enrollment visit (all P < 0.001). Changes were also significant between the week 4 and week 12 visits (P < 0.001). Me median
A reduction in anginal equivalents was also observed, with 32.2% of patients reporting them at baseline, compared with 15.3% at week 4, and 3.7% at week 12. The mean number of anginal equivalents suffered per week reduced from 3.4 ± 4.4 at baseline to 2.0 ± 1.5 at week 4 and 1.3 ± 0.6 at week 12 (P < 0.001). The reduction in anginal equivalents at week 12 compared with week 4 was also statistically significant (P = 0.003).
The improvement in anginal symptoms during the study was associated with fewer patients limiting their daily activity. Among the patients for whom this information was available at baseline (n = 152), the majority (131 [86.2%]) reported they limited their daily activity because of anginal symptoms or equivalents. After 4 weeks of treatment this had reduced to 62.3% (P < 0.001), and by week 12 only 35.3% of patients were limiting their daily activity (P = 0.003). The improvement in the proportion of patients limiting their daily activities was also significant between the week 12 and week 4 visit (P = 0.008).
Reductions in Resting Heart Rate
The resting HR decreased significantly (P < 0.001) from baseline to week 12 (by 14.1 ± 10.5 bpm, from 77.4 ± 10.5 bpm to 63.3 ± 5.0 bpm). The majority of this effect was already observed at the first follow-up visit (corresponding to 4 weeks [± 1 to 2 weeks] of prospective observation) decreasing by 10.5 ± 9.1 bpm, to 67.0 ± 7.4 (Fig. 3).
Fig. 3.

Change in resting heart rate over the course of the study. Baseline values were obtained retrospectively from patients’ medical records. Changes were statistically significant for the week 4 and week 12 visits compared with both the baseline and enrollment values (all P < 0.001). Changes were also significant between the week 4 and week 12 visits (P < 0.001). Me median
Consequently, the proportions of patients with target resting HR values (55–60 bpm) increased significantly from baseline (3.1%) to week 4 and from baseline to week 12 (17.3% and 34.5% respectively) (P < 0.001). The increase in patients achieving HR targets was also significant for the week 12 compared with week 4 visit (P < 0.001).
Correlation Between Changes in Resting Heart Rate and Achievement of Blood Pressure Targets
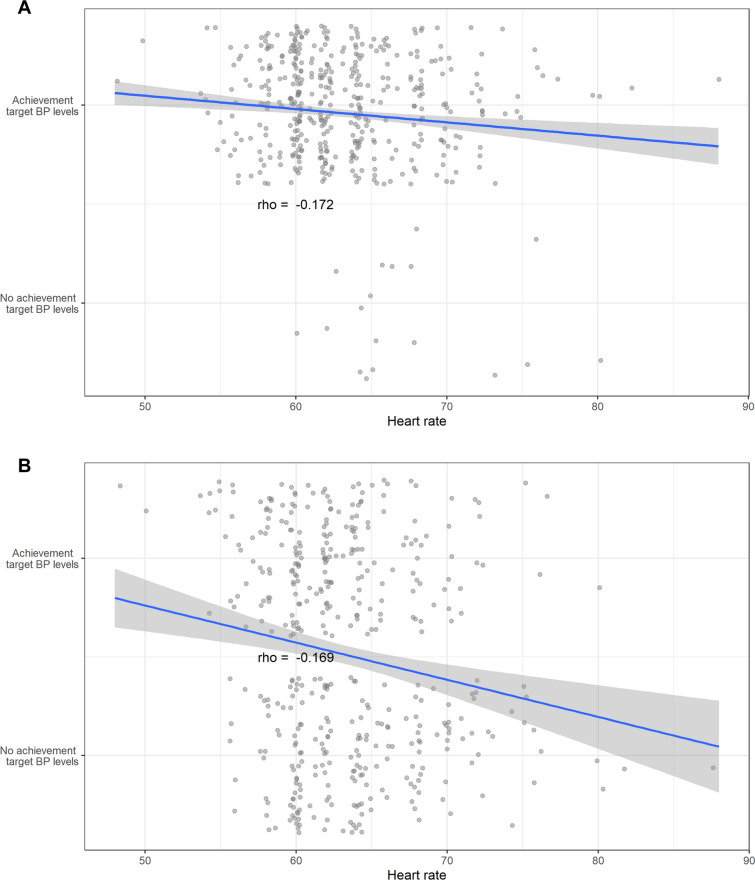
There were statistically significant but weak negative correlations between changes in resting HR and achievement of < 140/90 mmHg and ≤ 130/80 target blood pressure levels at week 12 of the observational period (rho = − 0.172 and − 0.169, respectively, P < 0.001), which indicates that, as resting HR decreases, achievement of target blood pressure increases (Fig. 4).
Fig. 4.
Correlation between changes in resting heart rate and achievement of blood pressure targets. There were statistically significant but weak negative correlations between changes in resting HR and A achievement of < 140/90 mmHg and B ≤ 130/80 target blood pressure levels at week 12 of the observational period (rho = − 0.172 and − 0.169, respectively, P < 0.001)
Safety
No adverse events or adverse drug reactions related to the bisoprolol/perindopril SPC were observed and no withdrawals for any adverse events were reported.
Discussion
The results of this observational study conducted in routine clinical practice have shown that in a high-risk population of patients with CAD, hypertension, and a previous history of MI, initiation of treatment with a bisoprolol/perindopril SPC was associated with statistically significant decreases in SBP, DBP, and HR after 12 weeks. During the observational period of the study when patients were receiving the SPC, there was a statistically significant reduction in use of concomitant antihypertensive and antianginal medications (calcium channel blockers, long- and short-acting nitrates, nicorandil, ranolazine). This occurred in parallel to the changes in blood pressure and HR, suggesting that the improvements in patient hemodynamics were linked to initiation of the SPC.
It is now well established that the majority of patients with hypertension will require more than one drug to achieve recommended levels of blood pressure control. Beta-blockers and ACE inhibitors are effective for the treatment of a broad range of patients with hypertension [17], and in patients with CAD, hypertension, and a history of MI they are recommended as a preferred treatment strategy by a number of international guidelines [8–16], including those of the ESC/ESH, based on evidence that they improve outcomes post MI [6, 22]. This is supported by data from a recent retrospective cohort study from a large Korean registry of over 50,000 patients who had undergone revascularization for MI and received a beta-blocker at hospital discharge [23]. Over a median follow-up of 3.5 years, patients who had received beta-blocker therapy for at least 1 year after their MI had a significantly reduced risk of all-cause death compared with those who received beta-blocker therapy for less than 1 year. A further registry study, this time using data from the UK Clinical Practice Research Datalink, compared the effects of bisoprolol, other beta-blockers, and drugs other than beta-blockers on the long-term risk of mortality and cardiovascular events in patients with angina [24]. Treatment of new-onset angina with bisoprolol was associated with significantly greater reductions in the risk of mortality as well as other cardiovascular outcomes compared with other treatments in a real-world primary care population.
The two classes have complementary mechanisms of blood pressure lowering, via actions on the sympathetic nervous system (SNS) and RAAS. In the current study, a mean blood pressure reduction of 24.9/12.2 mmHg was achieved at week 12 compared with baseline, and a reduction of 17.3/8.4 mmHg was already evident at week 4, suggesting that the majority of the effect was obtained early after initiating treatment. These reductions allowed the majority of patients (96%) to achieve blood pressure < 140/90 mmHg at week 12.
Data from a 2016 meta-analysis of 123 randomized controlled trials of antihypertensive therapy indicated that every 10 mmHg reduction in SBP was associated with a 17% reduction in the risk of CAD [25]. More recent data from the Blood Pressure Lowering Treatment Trialists’ Collaboration analysis of 48 randomized clinical trials revealed that a 5-mmHg reduction of SBP reduced the risk of major cardiovascular events by about 10% over a mean of 4 years follow-up [26].
The addition of bisoprolol/perindopril SPC to the treatment plan also led to significant reductions in the number of both angina attacks and anginal equivalents, as well as use of short-acting nitrates. Chronic angina is the most common clinical manifestation of myocardial ischemia and both bisoprolol and perindopril have cardioprotective effects in the ischemic heart independent of blood pressure lowering. Bisoprolol has been shown to improve flow-mediated vasodilatation (a marker of endothelial function) [27], and to markedly reduce the number and duration of transient ischemic episodes, as well as the HR at which ischemic episodes occur [28]. This is achieved via actions that include decreasing myocardial oxygen demand and elevated resting HR [29]. The anti-ischemic effects of perindopril are thought to be a result of its numerous vasculo-protective properties. These include vasodilatory actions to increase coronary blood flow, preventing the inactivation of endothelium-derived nitric oxide by superoxide anions, and antiatherogenic properties via its effects on smooth muscle cell proliferation [30]. The inhibitory effects of ACE inhibitors on angiotensin II-induced thrombogenesis, sympathetic nerve activation, endothelin release, and plaque instability may also be involved [30, 31].
Recent data from the CLARIFY registry indicate that angina and ischemia predict worse cardiovascular outcomes [32]. Compared with patients without angina, persistence and occurrence of angina at 1 year were each associated with an increased risk of cardiovascular death or MI. These findings are supported by those from the REACH registry in which patients with stable angina had an increased risk for adverse cardiovascular outcomes, particularly heart failure, cardiovascular hospitalization, and coronary revascularization, compared with those without angina [33].
Evidence for the benefits of a beta-blocker/perindopril combination for reducing adverse cardiovascular outcomes in patients with CAD comes from several landmark trials including EUROPA [34, 35] and a retrospective pooled analysis of EUROPA, ADVANCE, and PROGRESS [36]. Among patients who were already on beta-blocker therapy, the addition of perindopril was associated with statistically significant reductions in the primary composite endpoints, which included cardiovascular mortality and non-fatal MI. Further evidence for the benefits of a beta-blocker/ACE inhibitor combination comes from the Spanish PRIAMHO-II Registry, which followed over 5000 patients who were discharged from hospital after suffering an acute MI and followed them for 1 year [37]. Among patients who received the combination, 1-year mortality was reduced to a significantly greater extent that with ACE inhibitors or beta-blockers alone [37].
PRIDE was a short-term observational study designed to assess the real-life effectiveness of a bisoprolol/perindopril SPC for the control of BP and symptoms of angina in patients with hypertension and a history of MI. As such it could not determine the effectiveness of the combination for secondary prevention of CVD. The majority of PRIDE participants were also taking a lipid-lowering therapy (97%) and around two-thirds were on antiplatelet therapy (63.4%), reflective of a polypill strategy. Such strategies are associated with reductions in CVD outcomes, as most recently illustrated by the results of the SECURE trial. In this randomized controlled trial, patients with an MI in the previous 6 months were randomized to an aspirin, ACE inhibitor, atorvastatin-containing SPC or usual care and followed for a median of 3 years [38]. The polypill regimen was associated with a significant reduction in major adverse cardiovascular events and higher medication adherence.
Frequent episodes of angina pain and discomfort are also a burden for the patient and associated with physical limitations and a reduced quality of life, irrespective of the degree of CAD [39, 40]. In the current study, 86% of patients were limiting their daily activity at baseline because of anginal symptoms or equivalents, but by the end of the study this had more than halved with just over a third (35%) continuing to limit activity.
Most episodes of ischemia are associated with a preceding period of increased HR. In an ambulatory monitoring study of 50 patients with stable CAD, 81% of ischemic episodes were preceded by an increase in HR of at least 5 bpm [41]. Furthermore, the likelihood of developing ischemia was directly proportional to both the magnitude and duration of the HR increase as well as the baseline HR. Similar findings have been reported in other studies [42, 43]. Elevated resting HR is also an independent predictor of cardiovascular morbidity and mortality [44], and as levels rise above 70 bpm, the more likely patients are to be in a higher angina functional class [45]. HR control is the first and most important step in order to achieve symptomatic control in patients with stable angina. HR reduction decreases oxygen consumption in the cardiomyocyte, maintaining its viability. In addition, HR reduction prolongs diastolic perfusion time and improves coronary flow reserve. When combined, these effects increase the ischemic threshold and reduce the likelihood of angina [46]. In the current study, mean resting HR was 77.4 bpm at baseline, well above current guideline targets of 55–60 bpm [9]. Statistically significant HR reductions were already achieved at week 4, and by week 12, HR had decreased to 63.3 bpm and the proportion of patients achieving the HR target of 55–60 bpm was 34.5% compared with only 3.1% at baseline. These results are an improvement over the results from the ATHENA study in which a resting HR of 55–60 bpm on beta-blocker-based therapy was achieved in only 15.5% of patients with stable angina and hypertension in routine clinical practice [47]. In addition, our study demonstrated a small but statistically significant negative correlation between changes in resting HR and achievement of target blood pressure levels at week 12, indicating that as resting HR decreases achievement of target blood pressure increases.
A number of studies have provided real-world evidence to support the benefits of combining bisoprolol with perindopril [21, 27, 48, 49]. The most recent data come from a post hoc analysis of three large Canadian observational studies [21]. The three studies all shared the same design, including the same inclusion and exclusion criteria, treatment duration (16 weeks), and primary outcome, which allowed the post hoc analysis to assess the effectiveness and safety of adding perindopril to bisoprolol-based therapy in patients with mild-to-moderate hypertension [21]. The combination was associated with statistically significant reductions in blood pressure compared with baseline, and achievement of blood pressure goals in at least three out of four patients at study end.
The PRIDE results complement the findings from the Canadian observational studies by providing data with a bisoprolol/perindopril SPC. The PRIDE design was similar to that of the STYLE study, also conducted in Russian clinical practice, with the exception that all patients had a history of previous MI, compared with only 26% in the STYLE study [20]. Both studies demonstrated statistically significant reductions in blood pressure from as early as 4 weeks after the initiation of the SPC, with continued improvements throughout the study. This was accompanied by reductions in HR and improvements in angina symptoms. In both studies, treatment was very well tolerated with no safety concerns raised during 12 weeks of the observation.
A recent review article describes the numerous concomitant medical conditions frequent in patients with hypertension for which beta-blockers are prescribed. It suggests that they should be regarded as first-line agents for hypertension in clinical practice, particularly if characterized by a long half-life, highly selective beta-1 blocking activity and no intrinsic agonist properties [50]. This study provides important real-world evidence obtained from observational data generated during routine clinical practice. Taken together the results confirm the benefits of combining bisoprolol with perindopril as an SPC in the full spectrum of patients with hypertension and CAD, both with and without a history of MI.
Strengths and Limitations
In this real-world study, participants were not randomized or otherwise pre-assigned to a treatment arm, and the choice and dose of treatment was at the discretion of the treating physicians. Consequently, the results do not permit any causal inferences to be made about treatment effectiveness. Additional limitations were that the SPC was initiated on background treatment with antihypertensive drugs and the study did not assess when such treatments were started or how changes in the doses of these medications during the study could have influenced observed results. The number of angina attacks and frequency of short-acting nitrate use were assessed on the basis of patient self-reported data and may have been associated with a risk of recall bias. The inclusion and exclusion criteria as well as the baseline data were (for the most part) retrospectively evaluated using recorded clinical data from medical records. The exception was variables that are not routinely recorded in the patients’ medical record such as angina frequency and short-acting nitrate use, which were obtained at the enrollment visit. This single-group study design may have some limitations from a comparative effectiveness standpoint and should therefore be interpreted with caution. Finally, the patients enrolled in this study could be described as having mature, long-standing CAD, with most of the dangerous coronary lesions already revascularized or having caused MI. This population represents a large proportion of patients observed in clinical practice, and also characterizes populations evaluated in large registry studies such as CLARIFY [32].
Conclusion
Data collected in routine Russian clinical practice indicate that an SPC of bisoprolol/perindopril is a suitable treatment for patients with CAD, hypertension, and a history of MI. Treatment was associated with statistically significant and clinically meaningful reductions from baseline in SBP, DBP, and HR, which were already apparent at week 4. The reductions allowed the majority of patients to achieve a target blood pressure and were accompanied by improvements in angina symptoms and short-acting nitrate use. The treatment was very well tolerated in a population at very high cardiovascular risk.
Supplementary Information
Below is the link to the electronic supplementary material.
Acknowledgements
Funding
This study was sponsored by Servier, Russia. The Rapid Service Fee and Open Access Fee were funded by Servier, France.
Medical Writing and Editorial Assistance
Editorial assistance was provided by Jenny Grice, Le Prioldy, France and funded by Servier.
Author Contributions
All authors designed the study and interpreted the data. Zhanna Kobalava had full access to all study data and takes responsibility for the integrity of the data and accuracy of the data analysis. All authors reviewed and approved the final version.
Disclosures
Zhanna Kobalava has nothing to disclose. Boris Kvasnikov and Yuriy Burtsev are employees of Servier, Russia.
Compliance with Ethics Guidelines
The study was performed in accordance with good clinical practice and the ethical principles derived from the Declaration of Helsinki. The study protocol was approved by the inter-academics ethic committee (IEC). Signed informed consent was provided by all participants of this study, which was obtained before any research procedures were carried out.
Data Availability
Data are available from the corresponding author upon reasonable request.
References
- 1.Nguyen TN, Chow CK. Global and national high blood pressure burden and control. Lancet. 2021;398(10304):932–933. doi: 10.1016/S0140-6736(21)01688-3. [DOI] [PubMed] [Google Scholar]
- 2.Zang J, Liang J, Zhuang X, Zhang S, Liao X, Wu G. Intensive blood pressure treatment in coronary artery disease: implications from the Systolic Blood Pressure Intervention Trial (SPRINT) J Hum Hypertens. 2022;36(1):86–94. doi: 10.1038/s41371-021-00494-8. [DOI] [PMC free article] [PubMed] [Google Scholar]
- 3.Wald DS, Law M, Morris JK, et al. Combination therapy versus monotherapy in reducing blood pressure: meta-analysis on 11,000 participants from 42 trials. Am J Med. 2009;122:290–300. doi: 10.1016/j.amjmed.2008.09.038. [DOI] [PubMed] [Google Scholar]
- 4.Corrao G, Parodi A, Nicotra F, et al. Better compliance to antihypertensive medications reduces cardiovascular risk. J Hypertens. 2011;29:610–618. doi: 10.1097/HJH.0b013e328342ca97. [DOI] [PubMed] [Google Scholar]
- 5.Unger T, Borghi C, Charchar F, et al. 2020 International Society of Hypertension global hypertension practice guidelines. J Hypertens. 2020;38(6):982–1004. doi: 10.1097/HJH.0000000000002453. [DOI] [PubMed] [Google Scholar]
- 6.Williams B, Mancia G, Spiering W, et al. 2018 ESC/ESH Guidelines for the management of arterial hypertension. Eur Heart J. 2018;39(33):3021–3104. doi: 10.1093/eurheartj/ehy339. [DOI] [PubMed] [Google Scholar]
- 7.World Health Organization. The selection and use of essential medicines 2019. https://www.who.int/publications/i/item/WHO-MVP-EMP-IAU-2019.05. Accessed 3 Feb 2023.
- 8.Cosentino F, Grant PJ, Aboyans V, et al. 2019 ESC Guidelines on diabetes, pre-diabetes, and cardiovascular diseases developed in collaboration with the EASD. Eur Heart J. 2020;41(2):255–323. doi: 10.1093/eurheartj/ehz486. [DOI] [PubMed] [Google Scholar]
- 9.Knuuti J, Wijns W, Saraste A, et al. 2019 ESC Guidelines for the diagnosis and management of chronic coronary syndromes: the Task Force for the diagnosis and management of chronic coronary syndromes of the European Society of Cardiology (ESC) Eur Heart J. 2020;41(3):407–407. doi: 10.1093/eurheartj/ehz425. [DOI] [PubMed] [Google Scholar]
- 10.Ibanez B, James S, Agewall S, et al. 2017 ESC Guidelines for the management of acute myocardial infarction in patients presenting with ST-segment elevation: The Task Force for the management of acute myocardial infarction in patients presenting with ST-segment elevation of the European Society of Cardiology (ESC) Eur Heart J. 2018;39(2):119–177. doi: 10.1093/eurheartj/ehx393. [DOI] [PubMed] [Google Scholar]
- 11.Collet JP, Thiele H, Barbato E, et al. 2020 ESC Guidelines for the management of acute coronary syndromes in patients presenting without persistent ST-segment elevation. Eur Heart J. 2021;42(14):1289–1367. doi: 10.1093/eurheartj/ehaa575. [DOI] [PubMed] [Google Scholar]
- 12.McDonagh TA, Metra M, Adamo M, et al. 2021 ESC Guidelines for the diagnosis and treatment of acute and chronic heart failure. Eur Heart J. 2021;42(36):3599–3726. doi: 10.1093/eurheartj/ehab368. [DOI] [PubMed] [Google Scholar]
- 13.Rosendorff C, Lackland DT, Allison M, et al. Treatment of hypertension in patients with coronary artery disease: a scientific statement from the American Heart Association, American College of Cardiology, and American Society of Hypertension. Hypertension. 2015;65(6):1372–1407. doi: 10.1161/HYP.0000000000000018. [DOI] [PubMed] [Google Scholar]
- 14.O'Gara PT, Kushner FG, Ascheim DD, et al. 2013 ACCF/AHA guideline for the management of ST-elevation myocardial infarction: a report of the American College of Cardiology Foundation/American Heart Association Task Force on Practice Guidelines. Circulation. 2013;127(4):e362–e425. doi: 10.1161/CIR.0b013e3182742cf6. [DOI] [PubMed] [Google Scholar]
- 15.Amsterdam EA, Wenger NK, Brindis RG, et al. 2014 AHA/ACC guideline for the management of patients with non-ST-elevation acute coronary syndromes: a report of the American College of Cardiology/American Heart Association Task Force on Practice Guidelines. Circulation. 2014;130(25):e344–e426. doi: 10.1161/CIR.0000000000000134. [DOI] [PubMed] [Google Scholar]
- 16.Heidenreich PA, Bozkurt B, Aguilar D, et al. 2022 AHA/ACC/HFSA Guideline for the Management of Heart Failure: a report of the American College of Cardiology/American Heart Association Joint Committee on Clinical Practice Guidelines. Circulation. 2022;145(18):e895–e1032. doi: 10.1161/CIR.0000000000001063. [DOI] [PubMed] [Google Scholar]
- 17.Strauss MH, Hall AS, Narkiewicz K. The combination of beta-blockers and ACE inhibitors across the spectrum of cardiovascular diseases. Cardiovasc Drugs Ther. 2021 doi: 10.1007/s10557-021-07248-1. [DOI] [PMC free article] [PubMed] [Google Scholar]
- 18.Leopold G. Balanced pharmacokinetics and metabolism of bisoprolol. J Cardiovasc Pharmacol. 1986;8(Suppl 11):S16–20. doi: 10.1097/00005344-198511001-00003. [DOI] [PubMed] [Google Scholar]
- 19.Vincent M, Redmond G, Portevin B. Stereoselective synthesis of a new perhydroindole derivative of chiral iminodiacid, a potent inhibitor of angiotensin converting enzyme. Tetrahedron Lett. 1982;23:1677. doi: 10.1016/S0040-4039(00)87188-9. [DOI] [Google Scholar]
- 20.Boytsov SA, Burtsev YP, Khomitskaya YV. Effectiveness and tolerability of the single-pill combination of bisoprolol and perindopril in patients with arterial hypertension and stable coronary artery disease in daily clinical practice: the STYLE study. Adv Ther. 2021;38(6):3299–3313. doi: 10.1007/s12325-021-01754-2. [DOI] [PMC free article] [PubMed] [Google Scholar]
- 21.Abeel M, Gupta A, Constance C. Concomitant treatment of hypertensive patients with bisoprolol and perindopril in routine clinical practice: a post hoc analysis of the CONFIDENCE II, PROTECT I, and PROTECT III observational studies. Adv Ther. 2022;39(1):391–404. doi: 10.1007/s12325-021-01958-6. [DOI] [PMC free article] [PubMed] [Google Scholar]
- 22.Law MR, Morris JK, Wald NJ. Use of blood pressure lowering drugs in the prevention of cardiovascular disease: meta-analysis of 147 randomised trials in the context of expectations from prospective epidemiological studies. BMJ. 2009;338:b1665. doi: 10.1136/bmj.b1665. [DOI] [PMC free article] [PubMed] [Google Scholar]
- 23.Kim J, Kang D, Park H, et al. Long-term β-blocker therapy and clinical outcomes after acute myocardial infarction in patients without heart failure: nationwide cohort study. Eur Heart J. 2020;41(37):3521–3529. doi: 10.1093/eurheartj/ehaa376. [DOI] [PubMed] [Google Scholar]
- 24.Sabidó M, Thilo H, Guido G. Long-term effectiveness of bisoprolol in patients with angina: a real-world evidence study. Pharmacol Res. 2019;139:106–112. doi: 10.1016/j.phrs.2018.10.031. [DOI] [PubMed] [Google Scholar]
- 25.Ettehad D, Emdin CA, Kiran A, et al. Blood pressure lowering for prevention of cardiovascular disease and death: a systematic review and meta-analysis. Lancet. 2016;387(10022):957–967. doi: 10.1016/S0140-6736(15)01225-8. [DOI] [PubMed] [Google Scholar]
- 26.The Blood Pressure Lowering Treatment Trialists' Collaboration Pharmacological blood pressure lowering for primary and secondary prevention of cardiovascular disease across different levels of blood pressure: an individual participant-level data meta-analysis. Lancet. 2021;397(10285):1625–1636. doi: 10.1016/S0140-6736(21)00590-0. [DOI] [PMC free article] [PubMed] [Google Scholar]
- 27.Lin ZP, Dong M, Liu J. Bisoprolol improved endothelial function and myocardium survival of hypertension with stable angina: a randomized double-blinded trial. Eur Rev Med Pharmacol Sci. 2013;17:794–801. [PubMed] [Google Scholar]
- 28.Yang T, Jiang Y, Hao Y, et al. Comparison of bisoprolol to a metoprolol CR/ZOK tablet for control of heart rate and blood pressure in mild-to-moderate hypertensive patients: the CREATIVE study. Hypertens Res. 2017;40(1):79–86. doi: 10.1038/hr.2016.101. [DOI] [PubMed] [Google Scholar]
- 29.von Arnim T. Medical treatment to reduce total ischemic burden: total ischemic burden bisoprolol study (TIBBS), a multicenter trial comparing bisoprolol and nifedipine. The TIBBS Investigators. J Am Coll Cardiol. 1995;25(1):231–238. doi: 10.1016/0735-1097(94)00345-Q. [DOI] [PubMed] [Google Scholar]
- 30.Morishita T, Tsutsui M, Shimokawa H, et al. Long-term treatment with perindopril ameliorates dobutamine-induced myocardial ischemia in patients with coronary artery disease. Jpn J Pharmacol. 2002;88(1):100–107. doi: 10.1254/jjp.88.100. [DOI] [PubMed] [Google Scholar]
- 31.Lévy BI, Mourad JJ. Renin angiotensin blockers and cardiac protection: from basis to clinical trials. Am J Hypertens. 2022;35(4):293–302. doi: 10.1093/ajh/hpab108. [DOI] [PubMed] [Google Scholar]
- 32.Mesnier J, Ducrocq G, Danchin N, et al. International observational analysis of evolution and outcomes of chronic stable angina: the multinational CLARIFY study. Circulation. 2021;144:512–523. doi: 10.1161/CIRCULATIONAHA.121.054567. [DOI] [PMC free article] [PubMed] [Google Scholar]
- 33.Eisen A, Bhatt DL, Steg PG, et al. Angina and future cardiovascular events in stable patients with coronary artery disease: insights from the Reduction of Atherothrombosis for Continued Health (REACH) Registry. J Am Heart Assoc. 2016;5(10):e004080. doi: 10.1161/JAHA.116.004080. [DOI] [PMC free article] [PubMed] [Google Scholar]
- 34.Fox KM, EURopean trial on reduction of cardiac events with Perindopril in stable coronary Artery disease Investigators Efficacy of perindopril in reduction of cardiovascular events among patients with stable coronary artery disease: randomised, double-blind, placebo-controlled, multicentre trial (the EUROPA study) Lancet. 2003;362(9386):782–788. doi: 10.1016/S0140-6736(03)14286-9. [DOI] [PubMed] [Google Scholar]
- 35.Bertrand ME, Ferrari R, Remme WJ, Simoons ML, Fox KM. Perindopril and β-blocker for the prevention of cardiac events and mortality in stable coronary artery disease patients: a EUropean trial on Reduction Of cardiac events with Perindopril in stable coronary Artery disease (EUROPA) subanalysis. Am Heart J. 2015;170(6):1092–1098. doi: 10.1016/j.ahj.2015.08.018. [DOI] [PubMed] [Google Scholar]
- 36.Brugts JJ, Bertrand M, Remme W, et al. The treatment effect of an ACE-inhibitor based regimen with perindopril in relation to beta-blocker use in 29,463 patients with vascular disease: a combined analysis of individual data of ADVANCE, EUROPA and PROGRESS trials. Cardiovasc Drugs Ther. 2017;31(4):391–400. doi: 10.1007/s10557-017-6747-9. [DOI] [PMC free article] [PubMed] [Google Scholar]
- 37.Arós F, Loma-Osorio A, Vila J, et al. Efecto de la asociación de bloqueadores beta e inhibidores de la enzima de conversión en la supervivencia al año tras un infarto agudo de miocardio. Resultados del registro PRIAMHO II [Effect of combined beta-blocker and angiotensin-converting enzyme inhibitor treatment on 1-year survival after acute myocardial infarction: findings of the PRIAMHO-II registry]. Rev Esp Cardiol. 2006;59(4):313–320. [PubMed]
- 38.Castellano JM, Pocock SJ, Bhatt DL, et al. Popylill strategy in secondary cardiovascular prevention. N Engl J Med. 2022;387:967–977. doi: 10.1056/NEJMoa2208275. [DOI] [PubMed] [Google Scholar]
- 39.Beltrame JF, Weekes AJ, Morgan C, Tavella R, Spertus JA. The prevalence of weekly angina among patients with chronic stable angina in primary care practices: The Coronary Artery Disease in General Practice (CADENCE) Study. Arch Intern Med. 2009;169(16):1491–1499. doi: 10.1001/archinternmed.2009.295. [DOI] [PubMed] [Google Scholar]
- 40.Jespersen L, Abildstrøm SZ, Hvelplund A, Prescott E. Persistent angina: highly prevalent and associated with long-term anxiety, depression, low physical functioning, and quality of life in stable angina pectoris. Clin Res Cardiol. 2013;102(8):571–581. doi: 10.1007/s00392-013-0568-z. [DOI] [PubMed] [Google Scholar]
- 41.Andrews TC, Fenton T, Toyosaki N, et al. Subsets of ambulatory myocardial ischemia based on heart rate activity. Circadian distribution and response to anti-ischemic medication. The Angina and Silent Ischemia Study Group (ASIS) Circulation. 1993;88(1):92–100. doi: 10.1161/01.CIR.88.1.92. [DOI] [PubMed] [Google Scholar]
- 42.Pratt CM, McMahon RP, Goldstein S, et al. Comparison of subgroups assigned to medical regimens used to suppress cardiac ischemia (the Asymptomatic Cardiac Ischemia Pilot [ACIP] Study) Am J Cardiol. 1996;77(15):1302–1309. doi: 10.1016/S0002-9149(96)00196-8. [DOI] [PubMed] [Google Scholar]
- 43.Kop WJ, Verdino RJ, Gottdiener JS, O'Leary ST, Bairey Merz CN, Krantz DS. Changes in heart rate and heart rate variability before ambulatory ischemic events. J Am Coll Cardiol. 2001;38(3):742–749. doi: 10.1016/S0735-1097(01)01451-6. [DOI] [PubMed] [Google Scholar]
- 44.Julius S, Palatini P, Kjeldsen SE, et al. Usefulness of heart rate to predict cardiac events in treated patients with high-risk systemic hypertension. Am J Cardiol. 2012;109:685–692. doi: 10.1016/j.amjcard.2011.10.025. [DOI] [PubMed] [Google Scholar]
- 45.Steg PG, Greenlaw N, Tardif JC, et al. Women and men with stable coronary artery disease have similar clinical outcomes: insights from the international prospective CLARIFY registry. Eur Heart J. 2012;33(22):2831–2840. doi: 10.1093/eurheartj/ehs289. [DOI] [PMC free article] [PubMed] [Google Scholar]
- 46.Ferrari R, Fox K. Heart rate reduction in coronary artery disease and heart failure. Nat Rev Cardiol. 2016;13(8):493–501. doi: 10.1038/nrcardio.2016.84. [DOI] [PubMed] [Google Scholar]
- 47.Kobalava Z, Khomitskaya Y, Kiyakbaev G, ATHENA trial investigators AchievemenT of target resting HEart rate on beta-blockers in patients with stable angiNA and hypertension (ATHENA) in routine clinical practice in Russia. Curr Med Res Opin. 2014;30(5):805–811. doi: 10.1185/03007995.2013.874993. [DOI] [PubMed] [Google Scholar]
- 48.Ogilvie R, Sanjiv A, Roy P, De Souza S. Perindopril for control of blood pressure in patients with hypertension and other cardiovascular risk factors. An open-label, observational, multicentre, general practice-based study. Clin Drug Invest. 2008;28(11):673–686. doi: 10.2165/00044011-200828110-00001. [DOI] [PubMed] [Google Scholar]
- 49.Tsoukas G, Anand S, Yang K, CONFIDENCE Investigators Dose-dependent antihypertensive efficacy and tolerability of perindopril in a large, observational, 12-week, general practice-based study. Am J Cardiovasc Drugs. 2011;11(1):45–55. doi: 10.2165/11587000-000000000-00000. [DOI] [PubMed] [Google Scholar]
- 50.Esler M, Kjeldsen SE, Pathak A, Grassi G, Kreutz R, Mancia G. Diverse pharmacological properties, trial results, comorbidity prescribing and neural pathophysiology suggest European hypertension guideline downgrading of beta-blockers is not justified. Blood Press. 2022;31(1):210–224. doi: 10.1080/08037051.2022.2110858. [DOI] [PubMed] [Google Scholar]
Associated Data
This section collects any data citations, data availability statements, or supplementary materials included in this article.
Supplementary Materials
Data Availability Statement
Data are available from the corresponding author upon reasonable request.



