Abstract
Background
The development of biofuels, especially liquid hydrocarbon fuels, has been widely concerned due to the depletion of fossil resources. In order to obtain fuel precursors, the reaction of C–C bond formation is usually carried out with biomass derived ketones/aldehydes as reactants. Acetoin and 2,3-butanediol are two platform chemicals, which are co-existed in fermentation broth and traditionally separated by distillation, and then acetoin could be use as C4 building block to prepare hydrocarbon fuels. In order to mitigate the process complexity, direct aldol condensation reaction of acetoin in fermentation broth was studied in this work.
Results
A one-pot process of product separation and acetoin derivative synthesis was proposed based on salting-out extraction (SOE). Aldol condensation reaction of acetoin and 5-methyl furfural in different SOE systems was compared, and the results showed that the synthesis of C10 fuel precursors and separation of C10 products and 2,3-butanediol from fermentation broth were achieved in one-pot with ethanolammonium butyrate (EOAB) and K2HPO4 as SOE reagents and catalysts. The SOE and reaction conditions such as the concentrations of EOAB and K2HPO4, reaction temperature and time were optimized. When the system was composed of 6 wt% EOAB-44 wt% K2HPO4 and the mixture was stirred for 6 h at 200 rpm, 40 ℃, the yield of C10 products was 80.7%, and 95.5% 2,3-butanediol was distributed to the top EOAB-rich phase. The exploration of reaction mechanism showed that an imine intermediate was rapidly formed and the subsequent C10 product formation was the key step for aldol condensation reaction.
Conclusions
With EOAB and K2HPO4 as SOE reagents and catalysts, one-pot synthesis of fuel precursor from acetoin fermentation broth was achieved without prior purification. A yield of 80.7% for C10 products was obtained which was accumulated at the interface of two aqueous-phase, and 95.5% 2,3-BD was distributed to the top EOAB-rich phase. This work provides a new integration process of product separation and derivative synthesis from fermentation broth based on ionic liquid SOE.
Graphical Abstract
Supplementary Information
The online version contains supplementary material available at 10.1186/s13068-023-02344-w.
Keywords: Fuel precursor, Salting-out extraction, Hydroxylammonium ionic liquids, Aldol condensation, Acetoin
Background
Production of biofuels from renewable biomass is a sustainable and carbon-neutral way to replace fossil fuels gradually and reduce greenhouse gas emissions [1–3]. A variety of platform compounds (furan, furfural, and ketone) and biofuels such as oxygenated fuels (methanol, ethanol, and butanol) and hydrocarbon fuels (alkane, olefin, and arene) can be obtained from biomass via biotransformation or combination of chemical and biochemical conversion [4–6]. Generally, high-quality liquid fuels are saturated hydrocarbons with a large number of carbon atoms. However, the fermentation products such as ketones and alcohols are usually short-chain compounds. Therefore, the reactions such as aldol condensation reaction, alkylation reaction, Michael reaction, Guerbet reaction, and Diels–Alder reaction have been carried out to elongate the carbon chain [1]. Among them, much attention has been paid to the aldol condensation reaction of short-chain ketones and biomass derived carbon units [7]. For example, the precursors of liquid fuels were obtained from the reaction of furfural and ketone [8, 9].
Acetoin is one of promising sugar-derived platform chemicals [10], which can react with a variety of compounds to produce fuel precursors with long chain carbon [3]. In the natural metabolic pathways of microbes, acetoin is the precursor of 2,3-butanediol (2,3-BD), and both of them have been detected in fermentation broth while the concentration relied on the characteristics of the strain. 2,3-BD could be used as fuel [11], or converted to methyl ethyl ketone which could be used as a fuel additive and converted to C9/C14 fuel precursors by carbon chain extension [4, 12–14]. Therefore, both of them have to be recovered from fermentation broth.
In traditional way, pure compounds are used as raw materials to produce the derivative products [3, 4]. Thus, three main separation steps, including solid–liquid separation (centrifugation, membrane filtration, etc.), primary recovery, and final purification, are carried out to obtain pure product from the fermentation broth [15]. Acetoin and 2,3-BD are commonly separated during the distillation process due to their similar polarity but different boiling points[16]. However, a lot of energy is consumed in distillation [17]. In order to mitigate the process complexity and energy consumption, integration of product separation and derivative formation have been explored recently. For example, the coupling of butanol extraction from ABE fermentation broth with esterification process not only reduced product inhibition, but also improved butanol production [18, 19].
Salting-out extraction (SOE) is a convenient and low-cost way for the primary separation of bio-based chemicals from fermentation broths [20]. By salting-out extraction, acetoin and 2,3-BD were distributed to the top phase (solvent-rich), and most of the cells, proteins, by-products, and residual sugar could be removed. In recent years, ionic liquids (ILs) have been used as solvent in SOE, and part of ILs showed high efficiency in the separation of bio-based chemicals [21]. For example, hydroxylammonium ILs could form aqueous two-phase with K3PO4, and 92.7% of acetoin and 95.0% of 2,3-BD were recovered from the fermentation broth using the system of ethanolammonium butyrate (EOAB) and K3PO4 [22]. In addition, ionic liquids are efficient catalysts in some chemical reactions [23]. For example, ethanolammonium acetate (EOAA) could catalyze the aldol condensation reaction of acetoin and aldehydes derived from lignocellulose to obtain fuel precursors, and the yield of 87% was obtained from the reaction between acetoin and 5-methyl furfural (5-MF) [3].
Encouraged by the application of EOAB in the SOE and EOAA in the aldol condensation reaction [3, 22], the supernatant of fermentation broth was tried in the aldol condensation reaction of acetoin and 5-MF, and the integration of 2,3-BD separation and acetoin reaction based on EOAB and salt was explored in this work. A one-pot method of product separation and derivative synthesis was developed. After reaction, acetoin in fermentation broth was converted to C10 fuel precursors which were accumulated in the middle phase, and 2,3-BD was partitioned into the top EOAB-rich phase, thus the derivative formation and product separation were achieved in one-pot.
Materials and methods
Materials
Acetoin (95%, LOT: J1311040), 2,3-BD (98%, LOT: K1904182) and 5-MF (98%, LOT: C2020131) were purchased from Aladdin Reagent Co., Ltd. (China). Anhydrous K2HPO4 was purchased from MacLean Reagent Co., Ltd. (China). Ethanolamine (99%, LOT: 20210304) and butyric acid (99%, LOT: 20201028) were purchased from Sinopharm Chemical Reagent Co., Ltd (China), and the ionic liquid EOAB was synthesized by the acid–base neutralization method [24].
Preparation of fermentation broth
The fermentation broth was prepared by fed-batch fermentation with industrial glucose as a carbon source. Bacillus subtilis (CGMCC No. 23179), a mutant strain of B. subtilis DL01 which was isolated from sea sediment [25], was used for fermentation. The seed medium was composed of 40 g/L glucose, 1.5 g/L yeast extract, 6 g/L (NH4)2HPO4, 8 g/L KH2PO4, and 0.1 g/L MnSO4 (pH7.0), and the fermentation medium was composed of 140 g/L glucose, 7 g/L yeast extract, 12 g/L corn steep liquor powder, 6 g/L KH2PO4, and 0.13 g/L MnSO4. The fed-batch fermentation was carried out in a 5-L stirred bioreactor (BIOTEC-5JG-7000A, BXBIO, China) with working volume of 2 L. The preserved strain was grown for 12 h at 37 ℃, 200 rpm in the LB medium, and then transferred to the seed medium (2%, v/v) and cultured for 14 h at 37 ℃, 200 rpm. The obtained seed was inoculated (10%, v/v) into the fermentation medium. The fermentation was carried out for 80 h at 37 ℃ under the oxygen supply condition of 0.25 vvm, 350 rpm. Glucose and (NH4)2HPO4 (mass ratio = 10:1) was supplemented when residual glucose in fermentation broth was less than 20 g/L. During the fermentation process, the pH value was not adjusted by automatic addition of 5 mol/L NaOH unless the pH value was less than 5.7. The fermentation broth was centrifuged at 5000 rpm for 30 min. The supernatant was stored at – 20 ℃ for the following SOE and reaction experiments. The concentrations of components in the supernatant were as follows: acetoin 65 g/L, 2,3-BD 40 g/L, citric acid 10 g/L and lactic acid 5 g/L.
An aqueous solution containing 65 g/L acetoin and 40 g/L 2,3-BD was prepared for the following experiment, which was also used as the control to check the effect of the impurities in fermentation broth on aldol condensation reaction.
Effect of salt on the reaction of acetoin and 5-methyl furfural
The reaction was carried out for 18 h at 37 ℃ and 200 rpm in a shaking incubator. Aqueous solution of acetoin and 2,3-BD 10 mL, 0.04 mol salt, and 1.1 g EOAB were added into a 50-mL conical flask and vortexed for dissolution. Then, 5-MF was added to an equal mole of acetoin for reaction. After reaction, the system was divided into three phases, in which EOAB and 2,3-BD were enriched in the top phase, C10 fuel precursors was accumulated in the middle phase, and the salt was rich in the bottom phase. The top phase was taken out for acetoin and 2,3-BD determination, and then ethyl acetate was added to extract C10 product and residual 5-MF for GC analysis. The conversion of 5-MF (αMF), and the selectivity (SC10) and yield (YC10) of C10 products were defined as follows:
| 1 |
| 2 |
| 3 |
Salting-out extraction of acetoin and 2,3-butanediol
To obtain an appropriate SOE condition for the coupled aldol condensation reaction, the effect of different concentrations of K2HPO4 and EOAB on the separation of acetoin and 2,3-BD from fermentation broth was investigated. The fermentation broth and K2HPO4 were added into a 25-mL tube and vortexed until the salt dissolved, and then EOAB was added and vortexed for 1 min. The total weight of the system was 10 g, and the final concentration of K2HPO4 in the system was 35 wt%, 41 wt%, and 47 wt% while the final concentration of EOAB was 3 wt%, 6 wt%, and 8 wt%, respectively. The mixture stood at room temperature for 2 h. The concentrations of acetoin, 2,3-BD and EOAB in the top phase were analyzed. The partition coefficient (K) and recovery (Y) were defined as follows:
| 4 |
| 5 |
where Vt and V0 represented the volume of top phase and fermentation broth added, respectively; Cjt, Cjb and Cj0 represented the concentration of chemical j in the top phase, bottom phase, and fermentation broth, respectively.
Optimization of the reaction conditions of acetoin and 5-methyl furfural
The reaction was carried out in a magnetic stirring water bath. The temperature and stirring speed varied from 40 ℃ to 60 ℃, and 200 rpm to 600 rpm, respectively. The fermentation broth and K2HPO4 were added into a 50-mL conical flask and stirred for dissolution. Then, EOAB and 5-MF were added. The total weight of fermentation broth, K2HPO4 and EOAB was 20 g. The mole ratio of 5-MF to acetoin was 1:1.
Analytical methods
The concentrations of fuel precursors, 5-MF, acetoin, and 2,3-BD were analyzed by gas chromatograph (GC-2010, SHIMADZU, Japan) equipped with a capillary column and FID detector. The concentrations of acetoin and 2,3-BD were analyzed by a chiral capillary column BGB-174 (30 m × 0.25 mm × 0.25 μm), while 5-MF and fuel precursors were analyzed by a capillary column HP-5MS (30 m × 0.25 mm × 0.25 μm).
The concentrations of EOAB, organic acids, and residual glucose in the fermentation broth were analyzed by HPLC equipped with an Aminex HPX-87H column (300 × 7.8 mm) and a refractive index detector (Waters 2414), and 5 mmol/L sulfuric acid was used as mobile phase at a flow rate of 0.6 mL/min.
Statistics
Each experiment was carried out in triplicate. The mean experimental values with standard deviations are given in the tables and figures.
Results and discussion
EOAB-based SOE of acetoin and 2,3-butanediol from fermentation broths
Our previous work showed that hydroxylammonium ionic liquids could form aqueous two-phase with tripotassium orthophosphate (K3PO4), while phase split was not observed with saturated aqueous solution of dipotassium hydrogenphosphate (K2HPO4), sodium carbonate (Na2CO3), ammonium sulfate ((NH4)2SO4), and sodium acetate (CH3COONa) at 25 ℃ due to the high hydrophilicity of ILs [22]. On the other hand, it has been found that acetoin and 2,3-BD took part in the phase split during SOE, and less amount of solvent for phase split was required under the existence of acetoin or 2,3-BD [20, 21, 26]. In addition, inorganic salts showed catalytic activity in many studies. For example, potassium carbonate (K2CO3) could catalyze aldol condensation reaction [27–30], while K3PO4, K2HPO4 and K2CO3 were effective catalysts for nucleophilic addition reaction [31, 32]. Considering that aldol condensation reaction was carried out via alkaline catalytic mechanism when EOAA was used as catalysts [3], five alkaline salts (K3PO4, K2HPO4, K2CO3, potassium pyrophosphate (K4P2O7), and potassium acetate (CH3COOK)) were selected for SOE and reaction, since alkaline salts could remove the α-H of the carbonyl group to form a carbon anion in nucleophilic addition reaction.
As shown in Table 1, EOAB could form aqueous two-phase with fermentation broth containing 4 mol/L K3PO4, K2HPO4, K2CO3, or K4P2O7, in which most of acetoin, 2,3-BD and EOAB were partitioned to the top phase. Since the products of C10 fuel precursors were insoluble in water, three phases were observed after reaction except CH3COOK. The products accumulated at the interphase between the two aqueous phases, in which the top phase was rich in EOAB and 2,3-BD while the bottom phase was rich in salt, thus the recovery of 2,3-BD from fermentation broth and synthesis of acetoin derivative were achieved in one-pot.
Table 1.
Results of the reaction between acetoin and 5-MF in different SOE systems
| System | Conversion of 5-MF (%) | C10 products | Phase split | ||||
|---|---|---|---|---|---|---|---|
| Selectivity (%) | Yield (%) | Mixture without 5-MF | After reaction* | ||||
| 1 | EOAB | – | 23.2 ± 0.3 | 98.9 ± 1.0 | 23.1 ± 0.5 | H | TLPb |
| 2 | – | K3PO4 | 84.3 ± 1.2 | 51.2 ± 0.1 | 42.8 ± 0.1 | AT | TLPa |
| 3 | EOAB | K3PO4 | 98.4 ± 0.3 | 9.0 ± 0.5 | 8.9 ± 0.6 | AT | TRP |
| 4 | – | K2CO3 | 73.7 ± 1.3 | 55.9 ± 0.1 | 41.3 ± 0.8 | AT | TLPa |
| 5 | EOAB | K2CO3 | 88.2 ± 0.1 | 7.3 ± 0.3 | 6.4 ± 0.3 | AT | TRP |
| 6 | – | K4P2O7 | 23.2 ± 2.1 | 94.6 ± 0.2 | 22.0 ± 2.0 | AT | TLPa |
| 7 | EOAB | K4P2O7 | 93.5 ± 0.3 | 48.6 ± 1.2 | 45.4 ± 0.4 | AT | TRP |
| 8 | – | K2HPO4 | 6.53 ± 0.0 | 93.2 ± 0.1 | 6.08 ± 0.01 | AT | TLPa |
| 9 | EOAB | K2HPO4 | 97.9 ± 0.1 | 67.1 ± 0.2 | 65.8 ± 0.1 | AT | TRP |
| 10 | – | CH3COOK | 7.56 ± 0.8 | 0 | 0 | H | H |
| 11 | EOAB | CH3COOK | 63.7 ± 2.4 | 81.1 ± 0.4 | 55.2 ± 1.6 | H | TLPb |
*The reaction system was composed of 10 mL aqueous solution of acetoin and 2,3-BD, 0.04 mol salt and/without 1.1 g EOAB, and carried out at 37 °C and 200 rpm for 18 h
H homogeneous, AT aqueous two-phase, TLPa two liquid phases where the top liquid phase was the C10 products, TLPb two liquid phases where the bottom liquid phase was the C10 products, TRP three phases, where the liquid of C10 products accumulated at the interface of two aqueous phases and the top phase was rich in EOAB and 2,3-BD
Aldol condensation reaction of acetoin and 5-methyl furfural in different SOE systems
As shown in Fig. 1, four C10 products were identified in the aldol condensation reaction of acetoin and 5-MF, in which compound IV was the main product and reported before [3]. All these C10 compounds could be converted to hydrocarbon fuel by hydrodeoxygenation, so the yield of C10 products was the sum of the four compounds (GC–MS and NMR are shown in Additional file 1).
Fig. 1.

Structures of the C10 products identified in the reaction of acetoin and 5-MF catalyzed by EOAB and alkaline salts
Different catalytic efficiency was observed in the reaction of acetoin and 5-MF when salt was existed. As shown in Table 1, the selectivity of C10 products (SC10) was about 99% when only 10% EOAB was used as catalyst, while the conversion of 5-MF (αMF) was only 23%. When only the salt K3PO4 or K2CO3 was used as catalysts, αMF was greater than 70% while SC10 was less than 60%, probably due to the steric effect of reactants. For example, in the reaction of formaldehyde and propionaldehyde catalyzed by K2CO3, a yield of 67.8% was obtained [33]. When K4P2O7 or K2HPO4 was used as catalyst, SC10 was greater than 90%, while αMF was less than 30%, resulting in a low yield of C10 products (YC10).
The synergistic effect of catalysis could be observed when both salt and EOAB were existed. The value of αMF was significantly increased, while SC10 was decreased, except CH3COOK where both αMF and SC10 were increased. The SC10 obtained from the systems of EOAB–K3PO4 and EOAB–K2CO3 decreased to less than 10%, and the main product became an imine intermediate, which was identified in the later experiment, thus the yield went down greatly. Among these systems, the combination of K2HPO4 and EOAB demonstrated high αMF and medium SC10, so the highest YC10 of 66% was obtained under present condition. The concentration of K2HPO4 in this reaction was near to saturation, so it was possible to improve SC10 by reducing the amount of K2HPO4 in the system.
Simultaneous aldol condensation and product separation in SOE system of EOAB and K2HPO4
The SOE of acetoin and 2,3-BD from fermentation broth was explored at different concentrations of EOAB and K2HPO4. As shown in Fig. 2, the partition coefficient and recovery of acetoin and 2,3-BD increased with the increasing concentration of EOAB and K2HPO4. Under the same condition, the partition coefficient and recovery of 2,3-BD were lower than that of acetoin, respectively, which was related to their structure and the extraction mechanism of EOAB [22]. The salt demonstrated a great influence on the distribution of acetoin and 2,3-BD when EOAB was at a low concentration of 3 ~ 8 wt%. When K2HPO4 concentration was greater than 41 wt%, the 2,3-BD recovery was higher than 90% while acetoin recovery was higher than 95%. Under the condition of 8 wt% EOAB-47 wt% K2HPO4, the highest partition coefficients of acetoin and 2,3-BD were obtained, which were 221.8 and 59.2, respectively.
Fig. 2.
Partition behavior of acetoin and 2,3-BD in EOAB–K2HPO4 system. A acetoin; B 2,3-BD
In this work, EOAB and K2HPO4 not only acted as extractant and salting-out reagent but also catalysts, so the effect of their concentrations on the aldol condensation reaction was also determined. Generally, the composition of fermentation broth is very complex, including organic acids, residual sugars and proteins, which might affect the catalytic efficiency. Therefore, pure chemicals were used in the derivatization of bio-based chemicals to prepare fuels while few studies were reported to use fermentation broth directly [3, 34, 35]. As shown in Table 2, there was no significant difference in SC10, while αMF from the fermentation broth was a little lower than that from the aqueous solution, thus a slightly decreased YC10 was obtained. This result indicated that it was feasible to use fermentation broth for aldol condensation reaction without prior purification.
Table 2.
Reaction of acetoin and 5-MF in EOAB–K2HPO4 system
| Solution | System | Conversion of 5-MF (%) | Products of C10 | ||
|---|---|---|---|---|---|
| EOAB (wt%) | K2HPO4 (wt%) | Selectivity (%) | Yield (%) | ||
| Aqueous solution | 6 | 41 | 98.3 ± 0.1 | 81.0 ± 0.7 | 79.6 ± 0.7 |
| Fermentation broth | 6 | 41 | 96.3 ± 0.2 | 78.6 ± 1.2 | 75.6 ± 1.0 |
| 6 | 44 | 98.0 ± 0.1 | 77.5 ± 1.4 | 76.0 ± 1.4 | |
| 3 | 47 | 82.0 ± 0.7 | 85.1 ± 1.1 | 69.8 ± 0.3 | |
| 6 | 47 | 98.8 ± 0.1 | 74.7 ± 0.1 | 73.8 ± 0.1 | |
| 8 | 47 | 99.4 ± 0.1 | 71.6 ± 1.2 | 71.2 ± 1.2 | |
| 10 | 47 | 99.6 ± 0.1 | 69.2 ± 0.4 | 68.9 ± 0.5 | |
The influences of the concentrations of EOAB and K2HPO4 on the aldol condensation reaction are shown in Table 2. At K2HPO4 concentration of 47 wt%, significant improvement of αMF was observed when EOAB concentration was increased from 3 wt% to 6 wt%, while SC10 decreased with increased EOAB concentration from 3 wt% to 10 wt%. Under the condition of 6 wt% EOAB, both αMF and SC10 changed little with the increasing concentration of K2HPO4. These results showed that high concentration of EOAB and K2HPO4 was not beneficial for the SC10 improvement, resulting in the increase of by-products.
Under the condition of 6 wt% EOAB, the highest YC10 of 76.0% was obtained in range of 41 ~ 44 wt% K2HPO4. However, 2,3-BD recovery at 44 wt% K2HPO4 was 95.5%, higher than that at 41 wt% K2HPO4. Therefore, the system 6 wt% EOAB–44 wt% K2HPO4 was finally selected for the integration of reaction and 2,3-BD separation from the fermentation broth.
Optimization of one-pot synthesis of fuel precursors
Generally, the aldol condensation reaction under alkaline condition is mild. For example, the reaction catalyzed by amino acids and other organic small molecules was performed at room temperature [36, 37], while the reaction of acetoin with furfural, 5-hydroxyl furfural, or 5-MF was carried out 50 ℃ [3]. Therefore, the effect of temperature on the reaction was explored, and samples were taken every 2 h to monitor the reaction progress. As shown in Fig. 3, αMF was improved with increase in temperature. The detection of residual 5-MF showed that at 60 ℃ αMF reached the highest of 97.7% in 4 h, while at 40 ℃ and 50 ℃ the highest αMF was obtained in 8 h. SC10 decreased linearly with time extension at 60 ℃. At 40 ℃ and 50 ℃, SC10 firstly increased and then decreased with time extension. The highest SC10 and YC10 were obtained at 40 ℃ after 6 h reaction.
Fig. 3.

Time courses of the aldol condensation reaction of acetoin and 5-MF at different temperatures and 600 rpm. A conversion of 5-MF; B selectivity of C10 products; C yield of C10 products. square, 40 ℃; star, 50 ℃; triangle 60 ℃
As shown in Fig. 4, the selectivity of four C10 products was influenced by temperature. With temperature increasing, the selectivity of product I, III and IV decreased while the selectivity of product II increased. Typically, the selectivity of product IV decreased 29.4% when temperature increased from 40 ℃ to 60 ℃. Thus, higher temperature made the C10 products react further and more by-products were generated.
Fig. 4.

Effect of temperature on the selectivity of four C10 products after 10 h reaction under 600 rpm
To avoid the deviation of results caused by uneven sampling and long sampling intervals, the points with high yield at different temperatures (Fig. 3C) were repeated, and the effect of agitation was also compared. As shown in Table 3, under the stirring speed of 600 rpm, YC10 at 40 ℃ and 45 ℃ was significantly higher than that at 50 ℃ and 60 ℃, and there was no significant difference between the YC10 at 40 ℃ and 45 ℃. Therefore, the influence of stirring speed on the reaction was explored under these two temperatures. Theoretically, high stirring speed could promote the mixing of substances in the system and facilitate the reaction because 5-MF is insoluble in water. In fact, there was no significant difference in αMF, SC10 and YC10 in the range of 200 rpm–600 rpm, indicating that the stirring speed of 200 rpm could provide sufficient mixing efficiency for the reaction. Therefore, the reaction condition of 40 ℃ and 200 rpm for 6 h was selected, and the yield of C10 products was 80.7%. Compared with the yield of 87% using pure acetoin and EOAA catalyst [3], the yield was a little lower in this work. However, the supernatant of fermentation broth was used directly for reaction without purification, the reaction temperature was 10 ℃ lower, and another product 2,3-BD was also separated. Therefore, the one-pot method is worth further study in the derivative synthesis from bio-based chemicals in fermentation broth.
Table 3.
Results of the reaction carried at different agitation, temperatures, and time
| T (°C) | t (h) | Stirring speed (rpm) | Conversion of 5-MF (%) | Products of C10 | |
|---|---|---|---|---|---|
| Selectivity (%) | Yield (%) | ||||
| 60 | 0.5 | 600 | 80.8 ± 0.1 | 69.0 ± 1.0 | 55.8 ± 0.9 |
| 1 | 87.8 ± 1.9 | 66.5 ± 1.7 | 58.4 ± 2.8 | ||
| 2 | 95.8 ± 0.5 | 63.9 ± 0.4 | 61.2 ± 0.6 | ||
| 50 | 3 | 600 | 91.2 ± 0.4 | 75.3 ± 0.6 | 68.6 ± 0.2 |
| 4 | 96.4 ± 0.2 | 79.2 ± 0.4 | 76.4 ± 0.2 | ||
| 5 | 97.1 ± 0.6 | 78.0 ± 0.7 | 75.8 ± 1.1 | ||
| 45 | 6 | 600 | 97.0 ± 0.1 | 82.0 ± 0.4 | 79.5 ± 0.5 |
| 400 | 96.8 ± 0.4 | 80.4 ± 1.9 | 77.8 ± 2.2 | ||
| 200 | 96.4 ± 0.3 | 80.7 ± 0 | 77.7 ± 0.3 | ||
| 40 | 6 | 600 | 95.3 ± 0.3 | 82.3 ± 1.0 | 78.4 ± 0.7 |
| 400 | 95.4 ± 0.3 | 84.2 ± 1.3 | 80.3 ± 1.5 | ||
| 200 | 94.3 ± 0.3 | 85.0 ± 1.1 | 80.7 ± 0.8 | ||
Mechanism of aldol condensation reaction
To explore the mechanism of co-catalysis of EOAB and K2HPO4, the time courses of 5-MF consumption and formation of products at 40 ℃ were monitored. As shown in Fig. 5A, 5-MF was rapidly consumed within 10 min and then the rate gradually slowed down. However, the total concentration of C10 products increased slowly, indicating a slow formation rate compared with 5-MF consumption. Similar phenomenon has been reported in the study of formaldehyde and propionaldehyde catalyzed by hydroxylammonium ionic liquid [38].
Fig. 5.
Time courses of the aldol condensation reaction of acetoin and 5-MF. Reaction conditions: 6 wt% EOAB-44 wt% K2HPO4; n(AC):n(5-MF) = 1:1; 40 ℃, 200 rpm. A 5-MF consumption and formation of C10 products; B formation of the intermediate and four C10 products
The time courses of the four products formation are shown in Fig. 5B. With the prolongation of the reaction time, the concentrations of the four products gradually increased, but the formation rates of the four products were significantly different. The product of I and the product of IV were detected in 2 min while II and III were detected at 5 min, and the concentration of product IV was the highest. In addition, an intermediate was detected, which was rapidly formed and reached its highest concentration within 2 min, and then gradually decreased with the elongation of reaction time. The intermediate was identified as an imine by GC–MS and 1H NMR (structure shown in Fig. 6).
Fig. 6.
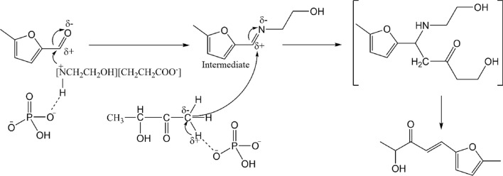
Tentative mechanism for the reaction of acetoin and 5-MF under the existence of EOAB and K2HPO4
When a catalyst containing amino group was used in the aldol condensation reaction, it was found that an intermediate of imine was firstly formed, and then converted to aldol condensation product. For example, in the aldol condensation of propionaldehyde and formaldehyde, imine intermediates were detected when diethylammonium acetate or proline was used as catalyst [38, 39]. The formation of imine was more efficient and milder than that of direct condensation [40], and the rate-determining step in the reaction was the formation of C–C bond [41]. Based on the above analysis, it could be concluded that 5-MF firstly formed an imine intermediate with EOAB in this work, and then combined with acetoin to generate C10 products. The reaction between the intermediate and acetoin was the rate-limiting step. A tentative mechanism is depicted in Fig. 6. The HPO4− anion could form a hydrogen-bonding net with EOAB and acetoin, respectively, which facilitate the dissociation of amine ion to react with 5-MF, and remove the α-H of the carbonyl group of acetoin to react with the intermediate. The accumulation of imine intermediate was also observed in the reaction catalyzed by EOAB and K3PO4/K2CO3. The main reason was that the alkaline environment in EOAB–K3PO4/K2CO3 system made the imine intermediate stable and unable to convert to C10 products.
Conclusions
The integration of the synthesis of C10 fuel precursors and the separation of C10 products and 2,3-BD from fermentation broth was established by using EOAB and K2HPO4 as catalysts and SOE reagents. When the system contained 6 wt% EOAB and 44 wt% K2HPO4 and mixed for 6 h at 40 ℃, 200 rpm, the conversion of 5-MF reached 94.3%, the selectivity of C10 products was 85.0% and the yield of C10 products was 80.7%. Meanwhile, 95.5% 2,3-BD in fermentation broth was distributed to the top EOAB-rich phase and the C10 products accumulated at the middle phase. During the aldol condensation reaction, an imine intermediate was formed firstly, and then followed the formation of C10 products which was the rate-limiting step.
Supplementary Information
Additional file 1 of one-pot synthesis of fuel precursor from acetoin fermentation broth using ionic liquid-based salting-out extraction system : Fig. S1 GC analysis of the aldol condensation reaction of acetoin and 5-MF. tR 6.653 min, 5-MF; tR 13.506 min, Product I; tR 15.562 min, Product II; tR 16.555 min, Product III; tR 17.846 min, Product IV; tR 14.687 min, imine intermediate. Fig. S2 GC–MS diagram of the four C10 products and intermediate. A Product Ipent-1-en-3-one); B product IIpentan-3-one); C product IIIpent-4-ene-2,3-dione); D product IVpent-1-en-3-one); E intermediatemethylene)amino)ethan-1-ol). Fig. S3 1H NMR spectra of product IV synthesized from 5-MF and AC. Fig. S4 1H NMR spectra of intermediate.
Acknowledgements
We thank Prof. Yuesheng Dong and Yaqin Sun for many stimulating discussion in GC–MS analysis.
Abbreviations
- SOE
Salting-out extraction
- EOAB
Ethanolammonium butyrate
- EOAA
Ethanolammonium acetate
- 2,3-BD
2,3-Butanediol
- 5-MF
5-Methyl furfural
- ILs
Ionic liquids
Authors’ contributions
HXZ: investigation, data curation, formal analysis, writing—original draft. YL: investigation. JZ: investigation. JYD: conceptualization, funding acquisition, writing—review and editing, supervision. ZLX: conceptualization, writing—review and editing, supervision. CSQ: supervision. All authors read and approved the final manuscript.
Funding
This work was supported by the National Natural Science Foundation of China (Grant No. 21978038) and Open Fund of Key Laboratory of Biotechnology and Bioresources Utilization (Dalian Minzu University), Ministry of Education (NO. KF2022010), China.
Availability of data and materials
All relevant data are included in the article and/or its Additional files 1. The data sets used and/or analyzed during the current study are available from the corresponding authors on reasonable request.
Declarations
Ethics approval and consent to participate
Not applicable.
Consent for publication
Not applicable.
Competing interests
The authors declare no competing financial interests.
Footnotes
Publisher's Note
Springer Nature remains neutral with regard to jurisdictional claims in published maps and institutional affiliations.
References
- 1.Li H, Riisager A, Saravanamurugan S, Pandey A, Sangwan RS, Yang S, Luque R. Carbon-increasing catalytic strategies for upgrading biomass into energy-intensive fuels and chemicals. ACS Catal. 2017;8:148–187. doi: 10.1021/acscatal.7b02577. [DOI] [Google Scholar]
- 2.Doménech P, Pogrebnyakov I, Nielsen AT, Riisager A. Catalytic production of long-chain hydrocarbons suitable for jet-fuel use from fermentation-derived oxygenates. Green Chem. 2022;24:3461–3474. doi: 10.1039/D2GC00619G. [DOI] [Google Scholar]
- 3.Zhu C, Shen T, Liu D, Wu J, Chen Y, Wang L, Guo K, Ying H, Ouyang P. Production of liquid hydrocarbon fuels with acetoin and platform molecules derived from lignocellulose. Green Chem. 2016;18:2165–2174. doi: 10.1039/C5GC02414E. [DOI] [Google Scholar]
- 4.Cui X, Zhao X, Liu D. A novel route for the flexible preparation of hydrocarbon jet fuels from biomass-based platform chemicals: a case of using furfural and 2,3-butanediol as feedstocks. Green Chem. 2018;20:2018–2026. doi: 10.1039/C8GC00292D. [DOI] [Google Scholar]
- 5.Xing R, Subrahmanyam AV, Olcay H, Qi W, Van Walsum GP, Pendse H, Huber GW. Production of jet and diesel fuel range alkanes from waste hemicellulose-derived aqueous solutions. Green Chem. 2010;12:1933–1946. doi: 10.1039/c0gc00263a. [DOI] [Google Scholar]
- 6.Alam MI, Gupta S, Bohre A, Ahmad E, Khan TS, Saha B, Haider MA. Development of 6-amyl-α-pyrone as a potential biomass-derived platform molecule. Green Chem. 2016;18:6431–6435. doi: 10.1039/C6GC02528E. [DOI] [Google Scholar]
- 7.Sutton AD, Waldie FD, Wu R, Schlaf M, Silks LA, 3rd, Gordon JC. The hydrodeoxygenation of bioderived furans into alkanes. Nat Chem. 2013;5:428–432. doi: 10.1038/nchem.1609. [DOI] [PubMed] [Google Scholar]
- 8.West RM, Liu ZY, Peter M, Gärtner CA, Dumesic JA. Carbon–carbon bond formation for biomass-derived furfurals and ketones by aldol condensation in a biphasic system. J Mol Catal A Chem. 2008;296:18–27. doi: 10.1016/j.molcata.2008.09.001. [DOI] [Google Scholar]
- 9.Shen T, Zhu C, Tang C, Cao Z, Wang L, Guo K, Ying H. Production of liquid hydrocarbon fuels with 3-pentanone and platform molecules derived from lignocellulose. RSC Adv. 2016;6:62974–62980. doi: 10.1039/C6RA14789E. [DOI] [Google Scholar]
- 10.Xiao Z, Lu JR. Strategies for enhancing fermentative production of acetoin: a review. Biotechnol Adv. 2014;32:492–503. doi: 10.1016/j.biotechadv.2014.01.002. [DOI] [PubMed] [Google Scholar]
- 11.Ji XJ, Huang H, Ouyang PK. Microbial 2,3-butanediol production: a state-of-the-art review. Biotechnol Adv. 2011;29:351–364. doi: 10.1016/j.biotechadv.2011.01.007. [DOI] [PubMed] [Google Scholar]
- 12.Syu MJ. Biological production of 2,3-butanediol. Appl Microbiol Biotechnol. 2001;55:10–18. doi: 10.1007/s002530000486. [DOI] [PubMed] [Google Scholar]
- 13.Hazeena SH, Sindhu R, Pandey A, Binod P. Lignocellulosic bio-refinery approach for microbial 2,3-butanediol production. Bioresour Technol. 2020;302:122873. doi: 10.1016/j.biortech.2020.122873. [DOI] [PubMed] [Google Scholar]
- 14.Affandy M, Zhu C, Swita M, Hofstad B, Cronin D, Elander R, Lebarbier DV. Production and catalytic upgrading of 2,3-butanediol fermentation broth into sustainable aviation fuel blendstock and fuel properties measurement. Fuel. 2023;333:126328. doi: 10.1016/j.fuel.2022.126328. [DOI] [Google Scholar]
- 15.Xiu Z, Zeng A. Present state and perspective of downstream processing of biologically produced 1,3-propanediol and 2,3-butanediol. Appl Microbiol Biotechnol. 2008;78:917–926. doi: 10.1007/s00253-008-1387-4. [DOI] [PubMed] [Google Scholar]
- 16.Dai J, Guan W, Ma L, Xiu Z. Salting-out extraction of acetoin from fermentation broth using ethyl acetate and K2HPO4. Sep Purif Technol. 2017;184:275–279. doi: 10.1016/j.seppur.2017.05.012. [DOI] [Google Scholar]
- 17.Xie S, Li Z, Zhu G, Song W, Yi C. Cleaner production and downstream processing of bio-based 2,3-butanediol: a review. J Clean Prod. 2022;343:131033. doi: 10.1016/j.jclepro.2022.131033. [DOI] [Google Scholar]
- 18.Chen C, Cai D, Chen H, Cai J, Sun G, Qin P, Chen B, Zhen Y, Tan T. Simultaneous acetone-butanol-ethanol fermentation, gas stripping, and full-cell-catalyzed esterification for effective production of butyl oleate. Bioprocess Biosyst Eng. 2018;41:1329–1336. doi: 10.1007/s00449-018-1960-x. [DOI] [PubMed] [Google Scholar]
- 19.Van Den Berg C, Heeres AS, Van Der Wielen LA, Straathof AJ. Simultaneous Clostridial fermentation, lipase-catalyzed esterification, and ester extraction to enrich diesel with butyl butyrate. Biotechnol Bioeng. 2013;110:137–142. doi: 10.1002/bit.24618. [DOI] [PubMed] [Google Scholar]
- 20.Dai J-Y, Sun Y-Q, Xiu Z-L. Separation of bio-based chemicals from fermentation broths by salting-out extraction. Eng Life Sci. 2014;14:108–117. doi: 10.1002/elsc.201200210. [DOI] [Google Scholar]
- 21.Dai J, Sun Y, Xiu Z. Ionic liquid-based salting-out extraction of bio-chemicals. Chinese J Chem Eng. 2021;30:185–193. doi: 10.1016/j.cjche.2020.11.004. [DOI] [Google Scholar]
- 22.Li Y, Dai J-Y, Xiu Z-L. Salting-out extraction of acetoin from fermentation broths using hydroxylammonium ionic liquids as extractants. Sep Purif Technol. 2020;240:116584. doi: 10.1016/j.seppur.2020.116584. [DOI] [Google Scholar]
- 23.Olivier-Bourbigou H, Magna L, Morvan D. Ionic liquids and catalysis: Recent progress from knowledge to applications. Appl Catal A: Gen. 2010;373:1–56. doi: 10.1016/j.apcata.2009.10.008. [DOI] [Google Scholar]
- 24.An YM, Zhuang J, Li Y, Dai JY, Xiu ZL. Pretreatment of Jerusalem artichoke stalk using hydroxylammonium ionic liquids and their influences on 2,3-butanediol fermentation by Bacillus subtilis. Bioresour Technol. 2022;354:127219. doi: 10.1016/j.biortech.2022.127219. [DOI] [PubMed] [Google Scholar]
- 25.Dai JY, Cheng L, He QF, Xiu ZL. High acetoin production by a newly isolated marine Bacillus subtilis strain with low requirement of oxygen supply. Process Biochem. 2015;50:1730–1734. doi: 10.1016/j.procbio.2015.07.010. [DOI] [Google Scholar]
- 26.Li Z, Teng H, Xiu Z. Aqueous two-phase extraction of 2,3-butanediol from fermentation broths using an ethanol/ammonium sulfate system. Process Biochem. 2010;45:731–737. doi: 10.1016/j.procbio.2010.01.011. [DOI] [Google Scholar]
- 27.Sarrafi Y, Sadatshahabi M, Alimohammadi K, Tajbakhsh M. A green and rapid approach for the stereoselective vinylation of phenol, thiol and amine derivatives in water. Green Chem. 2011;13:2851–2858. doi: 10.1039/c1gc15625j. [DOI] [Google Scholar]
- 28.Cao YQ, Dai Z, Zhang R, Chen BH. Aldol condensations catalyzed by PEG400 and anhydrous K2CO3 without solvent. Synth Commun. 2006;35:1045–1049. doi: 10.1081/SCC-200054198. [DOI] [Google Scholar]
- 29.Floreková L, Flašík R, Stankovičová H, Gáplovský A. Efficient synthesis of 3-methyl-2H-chromen-2-one: classic versus microwave conditions. Synth Commun. 2011;41:1514–1519. doi: 10.1080/00397911.2010.487174. [DOI] [Google Scholar]
- 30.Vrbková E, Vyskočilová E, Červený L. Potassium modified alumina as a catalyst for the aldol condensation of benzaldehyde with linear C3–C8 aldehydes. React Kinet Mech Cat. 2017;121:307–316. doi: 10.1007/s11144-017-1150-x. [DOI] [Google Scholar]
- 31.Xuan M, Lu C, Lin B-L. C-S coupling with nitro group as leaving group via simple inorganic salt catalysis. Chinese Chem Lett. 2020;31:84–90. doi: 10.1016/j.cclet.2019.07.012. [DOI] [Google Scholar]
- 32.Kwon MS, Kim N, Seo SH, Park IS, Cheedrala RK, Park J. Recyclable palladium catalyst for highly selective alpha alkylation of ketones with alcohols. Angew Chem Int Ed Engl. 2005;44:6913–6915. doi: 10.1002/anie.200502422. [DOI] [PubMed] [Google Scholar]
- 33.Cai J, Chen J, Sun M, Ji M. Preparation of 2,2-dimethylolpropanoic acid. Chem Ind Eng Prog. 2006;25:1198–1200. [Google Scholar]
- 34.Xie S, Fu C, Song W, Zhang Y, Yi C. Highly efficient synthesis and separation of fuel precursors from the concentrated ABE fermentation broth in a biphasic catalytic process. Fuel. 2019;242:41–49. doi: 10.1016/j.fuel.2019.01.015. [DOI] [Google Scholar]
- 35.Xie S, Li Z, Zhu G, Yi C. One-pot reaction-separation process to produce jet fuel. Energ Convers Man: X. 2022;13:100155. [Google Scholar]
- 36.Wang J-F, Lei M, Li Q, Ge Z-M, Wang X, Li R-T. A novel and efficient direct aldol condensation from ketones and aromatic aldehydes catalyzed by proline–TEA through a new pathway. Tetrahedron. 2009;65:4826–4833. doi: 10.1016/j.tet.2009.04.052. [DOI] [Google Scholar]
- 37.Moteki SA, Maruyama H, Nakayama K, Li HB, Petrova G, Maeda S, Morokuma K, Maruoka K. Positive effect of water in asymmetric direct aldol reactions with primary amine arganocatalyst: experimental and computational studies. Chem Asian J. 2015;10:2112–2116. doi: 10.1002/asia.201500078. [DOI] [PubMed] [Google Scholar]
- 38.Fan L, Xu B, Li J, Yan R, Diao Y, Li C. Kinetic studies on both synthesis of methacrolein catalyzed by an ionic liquid and catalyst deactivation. Ind Eng Chem Res. 2021;60:5411–5420. doi: 10.1021/acs.iecr.0c05536. [DOI] [Google Scholar]
- 39.Yu J, Jensen AD, Wang L, Li C, Zhang S. Catalytic synthesis of methacrolein via the condensation of formaldehyde and propionaldehyde with l-proline. Green Chem. 2020;22:4222–4230. doi: 10.1039/D0GC00726A. [DOI] [Google Scholar]
- 40.Li YC, Yan RY, Wang L, Liu L, Liu D, Zhang H, Diao YY, Li ZX, Zhang SJ. Synthesis of methacrolein by condensation of propionaldehyde with formaldehyde. Adv Mater Res. 2011;396–398:1094–1097. doi: 10.4028/www.scientific.net/AMR.396-398.1094. [DOI] [Google Scholar]
- 41.Bahmanyar S, Houk KN. The origin of stereoselectivity in proline-catalyzed intramolecular aldol reactions. J Am Chem Soc. 2001;123:12911–12912. doi: 10.1021/ja011714s. [DOI] [PubMed] [Google Scholar]
Associated Data
This section collects any data citations, data availability statements, or supplementary materials included in this article.
Supplementary Materials
Additional file 1 of one-pot synthesis of fuel precursor from acetoin fermentation broth using ionic liquid-based salting-out extraction system : Fig. S1 GC analysis of the aldol condensation reaction of acetoin and 5-MF. tR 6.653 min, 5-MF; tR 13.506 min, Product I; tR 15.562 min, Product II; tR 16.555 min, Product III; tR 17.846 min, Product IV; tR 14.687 min, imine intermediate. Fig. S2 GC–MS diagram of the four C10 products and intermediate. A Product Ipent-1-en-3-one); B product IIpentan-3-one); C product IIIpent-4-ene-2,3-dione); D product IVpent-1-en-3-one); E intermediatemethylene)amino)ethan-1-ol). Fig. S3 1H NMR spectra of product IV synthesized from 5-MF and AC. Fig. S4 1H NMR spectra of intermediate.
Data Availability Statement
All relevant data are included in the article and/or its Additional files 1. The data sets used and/or analyzed during the current study are available from the corresponding authors on reasonable request.




