Abstract
The purpose of this study was to examine nurses' perceptions of the smart mattress equipped with Internet of things, which are incorporated into patients' beds. In addition, their concerns and suggestions about smart mattress were explored. A total of 349 nurses in a tertiary hospital participated in a cross-sectional survey. Data were collected using questionnaires. Descriptive statistical analysis was used for survey data, whereas content analysis was used for qualitative data from open-ended questions. The participants' intention to accept the smart mattresses was 12.5 (SD, 1.73) on average, indicating a high level of acceptance. The participants expected the smart mattresses to decrease their physical work burden, improve work efficiency, and prevent pressure ulcers. However, they were concerned about an increase in other aspects of their workload and in patient safety problems due to false alarms, inaccuracies, and malfunctions of the device. Nurses suggested various features that can be integrated into smart mattress. It is critical to address nurses' perceptions, expectations, and concerns during the conceptual and developmental stage of new technology in order to improve the usability, acceptance, and adoption of smart mattresses and other new innovations in hospital settings.
KEY WORDS: Information technology, Patient care, Pressure ulcer prevention, Smart mattress, Workload
Medical beds are essential in providing care for patients. Most nursing practices, such as monitoring vital signs, are done while patients are on their beds. However, various patient safety accidents, such as falls and bedsores, can also occur because of patients staying in bed.1–3 In particular, patients who cannot or do not move in bed are at high risk of developing bedsores when they are not properly cared for after urination or defecation and/or when foreign substances or objects such as wrinkled sheets and intravenous lines compress the patients' skin.4,5 In addition, because the bed mattress is placed at a certain height above the floor, patients who are unable to remain stable on the bed, have a poor ability to adjust their legs, and/or suffer from lower limb weakness have a high risk of falling.6 Nurses provide various nursing services for patients while the patients are lying on the bed, including body weight measurement, body position change, bathing, fecal treatment, and moving patients to another bed. These activities require a great deal of physical exertion from nurses.
Recently, medical beds and mattresses have been upgraded with technological advances, such as sensors, Internet of Things (IoT), big data, artificial intelligence, and robotics.7–9 Precise sensors attached to mattresses can monitor patient conditions and accurately measure patients' biometric data, which the sensors can send to a web cloud server that maintains electronic medical records.7,10,11 In particular, remote patient monitoring without direct contact has become critical in order to reduce cross-infection between nurses and patients with highly communicable infectious diseases. In the advent of the coronavirus disease (COVID-19) pandemic, interest in mattresses equipped with smart features has continued to increase.12–14 Thus, improving the quality and features of medical beds has become important in enhancing the safety and well-being of both patients and nurses.15–19
Although nurses are one of the key stakeholders who ensure the safe use of medical equipment and devices, little is known about nurses' perceptions, concerns, and suggestions regarding a smart mattress for patient care. According to the technology acceptance model,20 an individual's behavioral intention in the use of technology is affected by perceived usefulness and ease of use. The model assumes that high level of behavioral intention leads to actual use. When a new technology such as smart mattress is introduced, it is important to investigate how nurses perceive smart mattresses in order to improve their usability and acceptance of new technologies in healthcare services. In addition, the smart features that can be incorporated to the mattresses may vary, depending on their working departments such as internal medicine ward, surgical ward, and ICU due to the needs and characteristics of patients. Because smart mattresses are expected to promote individualized care as IoT hub,7,10,11,21 it is necessary to explore which features may be in need among various working department in hospital.
Thus, the purposes of this study were to describe nurses' perceptions about the IoT-based smart mattress that included an automatic rotating function for repositioning, weight measurement feature, and a vital signs measurement function. The perceptions about the smart mattress were examined in terms of usefulness, ease of use, intention to accept, degree of assistance, necessity, and expected outcomes. In addition, nurses' concerns as well as suggestions for additional necessary features based on their working departments were explored.
METHODS
Study Design and Participants
This study used a survey with questionnaires and open-ended questions. The recruitment was done from a tertiary hospital in Gyeonggi Province, South Korea. The sample size was calculated using G*Power version 3.1 (Heinrich Heine University, Dusseldorf, Germany). A minimum of 305 participants was needed with a significance level of 5%, power of 95%, five variables, and a median effect size of 0.25.
Data were collected through an online survey administered in May 2021. Recruitment documents, including the survey uniform resource locator (URL), were posted on online community boards accessible only to nurses; e-mails were also sent to nurses in the hospital. In total, 349 nurses completed the survey.
Data Collection
The demographic characteristics of the participants included sex, age, and educational level. Their work-related characteristics were collected including their work department, work shifts (eg, 8-hour shifts, 12-hour shifts, day shift), and clinical experience. The participants were asked to answer the questions related to their specific nursing tasks (eg, the number of patient position changes, vital sign check, weight measurement).
The participants were also asked about their perceptions regarding the IoT-based smart mattresses, which included an automatic rotating function for repositioning, weight measurement feature, and a vital sign (respiratory rate, heart rate) measurement function. Based on Technology Acceptance Model, the 10-item instrument of perceived usefulness (four items), perceived ease of use (four items), and intention to accept a smart mattress (two items) was used.20 The instrument was a seven-point Likert scale consisting of 1 point (not at all) to 7 points (absolutely). It has been used extensively in previous studies, which have reported its reliability and validity.20,22,23 The items of the Korean version22 were modified for this study. The internal consistency and reliability of the Korean version were measured using Cronbach's α. The reliabilities in this study were 0.937 for perceived usefulness, 0.913 for perceived ease of use, and 0.890 for intention to use.
In addition, the degree of necessity as perceived by nurses was measured using a five-item Likert scale, which ranged from “none” to “strongly agree.” The degree of assistance in the nurses' physical and mental work burden was measured with a numerical scale of −10 to +10 points; 0 meant no changes, −10 means a full increase in the burden, and +10 means a full decrease in the burden. A five-item Likert scale ranging from “none” to “strongly agree” was also used to measure the expected functional performance outcomes of smart mattress. The content validity of the additional items was confirmed by six experts who were asked to rate each item based on relevance, clarity, and appropriateness on the seven-point scale. They included two nursing faculty members, two doctoral students with clinical experience, one nursing department manager, one head nurse, and one RN.
Then, the participants were asked open-ended questions to describe their concerns about the smart mattress. They were also asked to write about new or additional necessary features that could be added to the smart mattress based on their working departments. The qualitative data from the short answers allowed the participants to express their thoughts and suggestions freely.24
Data Analysis
The SPSS 26.0 software program (IBM Inc., Armonk, NY, USA) was used for data analysis of quantitative data. The descriptive statistics included frequency, percentage, mean, and SD. The participants' responses to open-ended questions were analyzed for themes. Three coders were involved with coding and descriptive content analysis. The first and second coders analyzed the participants' responses and created code summaries independently, which were then discussed and modified based on the input from the third coder. Review of the category data yielded themes and subthemes that described the concerns and suggestions for additional features. The codes were revised by grouping and collapsing them when commonalities were apparent. The classified themes were described in terms of frequency, by counting the number of comments. Detailed record keeping was made for an audit trail that provided the evidence and consistency in analysis processes.
Ethical Considerations
The study was approved by the appropriate institutional review board. Nurses voluntarily participated in the study. In the survey URL, before answering the questionnaire online, the participants were asked to respond to the consent question of whether they agreed to be involved in this research. The questionnaire did not include personal information that could identify the participants. The collected data were managed in an unidentifiable form for each participant, which were stored in two research computers that were double-locked.
RESULTS
Study Participants' Characteristics
The mean age of the participants was 30.9 (SD, 6.19) years, and 95.4% of them were women. Among a total of 349 participants, 79.7% had a bachelor's degree, 8.3% were studying for a master's degree, and 8.0% had a master's degree. Regarding each participant's working department, 88 (25.1%) worked at an internal medicine ward, 68 (19.5%) in a surgical ward, and 43 (12.3%) in an ICU. Other participants (n = 54 [15.5%]) worked in laboratory, anesthesiology unit, anesthesia recovery room, angiography room, and coordinator team. Their total clinical experience was 7.6 (SD, 6.18) years on average, whereas their clinical experience in their current workplace was 3.6 (SD, 3.65) years. The participants performed as many as 19.4 (SD, 23.60) patients' position changes per week on average. The mean number of vital sign measurement per day was 24.4 times. The mean number of weight measurements per day was 5.6 (SD, 7.30). Table 1 presents the general characteristics of participants.
Table 1.
Participants' Characteristics and Perceptions About Smart Mattress (N = 349)
| Variable | n (%) | M ± SD (Range) | |
|---|---|---|---|
| Age (y) | 30.88 ± 6.19 (22–52) | ||
| Sex | |||
| Male | 16 (4.6) | ||
| Female | 333 (95.4) | ||
| Education | |||
| Community college graduates | 11 (3.2) | ||
| Bachelor's degree | 278 (79.7) | ||
| Some graduate education | 60 (17.2) | ||
| Clinical experience (years) | 7.64 ± 6.18 (0.17–30.17) | ||
| Nurses' perceptions about smart mattress | |||
| Perceived usefulness | 23.76 ± 3.65 (0–28) | ||
| Perceived ease of use | 22.72 ± 4.16 (0–28) | ||
| Intention to accept | 12.47 ± 1.73 (0–14) | ||
| Perceived assistance in workload | |||
| No extent | 0 (0) | ||
| Low extent | 9 (2.6) | ||
| Neutral | 32 (9.2) | ||
| Moderate extent | 143 (41.0) | ||
| Greater extent | 165 (47.3) | ||
| Overalla | 5.54 ± 3.91 | ||
| Physicala | 6.78 ± 5.15 | ||
| Mentala | 3.77 ± 4.77 | ||
| Perceived necessity | |||
| Not at all | 0 (0) | ||
| Slightly | 10 (2.9) | ||
| Somewhat | 33 (9.5) | ||
| Moderately | 153 (43.8) | ||
| Very much | 153 (43.8) |
aAll ranged from −10 to +10; 0 means no changes, −10 means a full increase in the burden, and +10 means a full decrease in the burden (n = 346).
Perceptions About Smart Mattresses
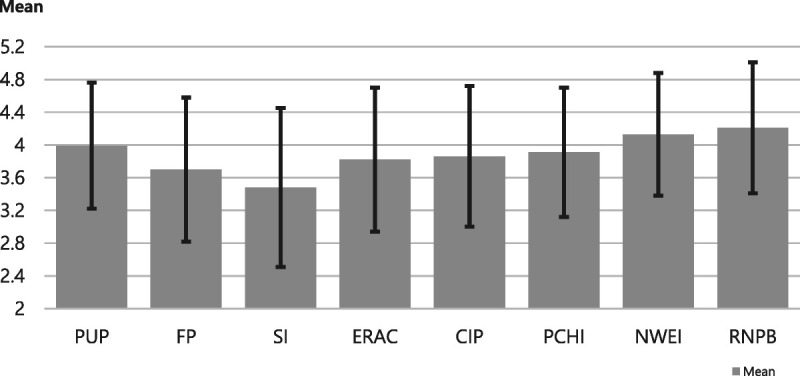
The mean score of perceived usefulness was 23.76 (SD, 3.65), whereas that of the perceived ease of use was 22.72 (SD, 4.16). Their intention to accept the smart mattresses was 12.5 (SD, 1.73) on average. Whereas 87.6% stated that its adaptation in healthcare is very much or moderately necessary, 88.3% of the participants perceived the smart mattress to be assistive in their workload from a moderate to great extent. The most expected functional performance outcomes of smart mattress were a decrease in nurses' physical burden, followed by increased work efficiency. In addition, they expected pressure ulcer prevention in patient care. The expected functional performance outcomes of smart mattress are detailed in Figure 1.
FIGURE 1.

Expected functional performance outcomes by the use of smart mattress (N = 349). Abbreviations: CIP, contactless infection prevention; ERAC, early response to apnea/cardiac arrest; FP, fall prevention; NWEI, nursing work efficiency improvement; PCHI, patient care and health improvement; PUP, pressure ulcer prevention; RNPB, reduction of nurses' physical burden; SI, sleep improvement.
Concerns and Desired Features
The results of the content analysis showed the participants' concerns regarding smart mattresses (Table 2). The words most frequently used were related to concerns about an increased workload due to frequent false alarms and increased inquiries from patients and families (27.1%), followed by concerns of accuracy (12.9%) and negligent accidents due to malfunction (12.6%).
Table 2.
Concerns About the Adoption of Smart Mattress
| Category | Example | n (%)a |
|---|---|---|
| Increased workload | Frequent false alarms Increasing inquiries from patients and families | 95 (27.1) |
| Inaccuracy | Measurement reliability issue Operational errors | 46 (13.1) |
| Accidents due to malfunction and inexperienced operation | Entrapment Extubation of medication route and high-risk equipment | 44 (12.5) |
| Patient safety issues | Skin damage Fall | 36 (10.3) |
| Cost | Repair costs Medical bill | 31 (8.8) |
| Compromised quality of nursing care | Overreliance on technology Work negligence | 30 (8.5) |
| Burden of technology adoption | Training of new nurses Learning burden | 18 (5.1) |
| Potential source of patient discomfort | Noise Sleep disturbance | 15 (4.3) |
| Doubt about usability and effectiveness | Lack of evidence in real clinical settings | 14 (4.0) |
| Dislikes of patient and family members | Unfamiliar device Difficulty of use Preference in direct care | 11 (3.1) |
| Limitations of product use | Difficulties in fine adjustment Low durability Weight limit | 7 (2.0) |
| Maintenance issue | Cleaning and sanitation of soiled mattress | 3 (0.9) |
| Privacy issue | Protection of patient privacy | 1 (0.3) |
aCounts of word occurrence N = 351.
The desired additional features varied, depending on the participants' clinical work department (Table 3). The features that the participants stated for smart mattresses were detailed with examples in Supplemental Digital Content 1 (http://links.lww.com/CIN/A195). The participants from all of the departments hoped to have additional features (eg, smart television, automated over-bed tables, and a vibrating function), which would need to be attached and integrated into the smart mattresses. Those from all of the departments except the emergency department mentioned skin pressure–related features, such as back massage and air mattress functions. Those from all of the departments except the operating room (OR) indicated that they would like smart mattresses to have excretion-related features, including a stool emission sensor or the allowance of defecation in bed without the need for diapers. The additional features that assist bed-making and cleaning were cited by all of the participants but those in the outpatient department. Other desired features that were desired by many departments were related to telemonitoring, fall prevention, temperature and humidity control, alarm and alerts, body measurement, body position, moving and transferring, emergency readiness, and convenient use.
Table 3.
Desired Features of Smart Mattress by Clinical Department
| Additional Features | Internal Medicine | Surgical | ICUs | ER | COVID-19 Designated | Outpatient | OR | Others |
|---|---|---|---|---|---|---|---|---|
| Integration with other devices | √ | √ | √ | √ | √ | √ | √ | √ |
| Skin pressure related | √ | √ | √ | √ | √ | √ | √ | |
| Excretion related | √ | √ | √ | √ | √ | √ | √ | |
| Bed-making and cleaning | √ | √ | √ | √ | √ | √ | √ | |
| Telemonitoring | √ | √ | √ | √ | √ | √ | ||
| Fall related | √ | √ | √ | √ | √ | √ | ||
| Temperature and humidity control | √ | √ | √ | √ | √ | √ | ||
| Alarm/alerts | √ | √ | √ | √ | √ | |||
| Body measurement | √ | √ | √ | √ | ||||
| Body position change related | √ | √ | √ | √ | ||||
| Moving/transferring | √ | √ | √ | √ | ||||
| Emergency readiness | √ | √ | √ | |||||
| Convenient use related | √ | √ | √ | |||||
| Others | √ | √ | √ |
ER, emergency room; OR, operating room; COVID-19 designated, nationally designated coronavirus disease ward.
DISCUSSION
The findings show that a smart mattress is perceived as highly assistive and necessary. The participants were also positive regarding its usefulness, ease of use, and intention to accept if it was introduced in a healthcare environment. They perceived that smart mattresses would be helpful for a range of improvements in patient care, such as pressure ulcer prevention, contactless infection prevention, fall prevention, and sleep improvement. The reason for these perceptions was that the participants were recruited from a tertiary hospital that is known as one of the most innovative hospitals, equipped with the highest level of medical information technology in South Korea. Nurses in this hospital may have been exposed to advanced technologies, such as remote patient monitoring with alerts. The results are consistent with those in previous studies, in that people greatly exposed to technology generally have a positive attitude toward technology and highly evaluate the need for the introduction of a new device.21,22
We found that the benefit that the participants most expected was a decrease in physical burden if the smart mattress included an automatic rotating function for repositioning, weight measurement feature, and vital sign (respiratory rate, heart rate) measurement function. When there is a high frequency of patient transfers due to examinations, surgery, hospitalization, discharge, and other such reasons, patient lifting is a concern, as the task can lead to physical injuries for nurses.25,26 Previous studies have shown that providing physical assistance in relation to nurses' tasks can prevent these injuries and improve the quality of nursing care in the long run.27,28
Other studies have reported that the introduction of new devices or technologies can also increase the burden of other aspects of work,29–31 which can partly explain the concerns that the participants expressed in this study. Some participants pointed out that too many or excessive features can cause problems, which can result in a decrease in patient safety and increased workload. It was suggested to focus on essential functions that can be useful for most of the departments rather than covering all possible functions. The participants recognized that they will need to make a greater effort to learn in order to adopt a new smart mattress in their clinical practice. There were also concerns about alarms and alerts that frequently ring unnecessarily. Although emergency alarms are useful for monitoring abnormal symptoms of many patients assigned to nurses, alarm fatigue due to frequent alarms can occur.32 Unnecessary alarms result in an increased number of inquiries from patients and their caregivers.33,34 In order to reduce the fatigue brought about by false alarms while quickly responding to emergencies, it is suggested that the alarm setting needs to be precisely set at the appropriate numerical value and can be reset manually when necessary. In addition, the participants expressed reservations regarding inaccuracies of the information generated by smart mattresses and were concerned about the possibility of patient safety accidents due to device malfunction and such inaccuracies. Previous research identified that technical errors act as obstacles to adopting technology.35
The findings of this study indicate that the participants in all of the departments wanted features that facilitate the users' experiences. For example, there are some desired features that were particularly important for the caring of bedridden patients. Nurses working at both ICUs and the nationally designated COVID-19 wards wished for additional features related to body position change, skin pressure, excretion, and bed-making and cleaning. Patients in ICUs have various equipment and tubes attached to them, such as the E-tube, C-line, Foley catheter, and A-line, and nurses need to always be cautious about the possibility of the removal of equipment while performing nursing activities, such as position change.36 In addition, because patients in ICUs are unable to get out of bed on their own, patient excretion, including urination and defecation, needs to be taken care of while they are in bed. Temperature and humidity control is also important in the event of the use of continuous renal replacement therapy and extracorporeal membrane oxygenation, which could reduce the patients' body temperature.37 However, it is extremely difficult for patients to wear clothes other than the patient gown; thus, warmers are often used. However, warmers make a lot of noise, and there is a risk of patient burns; this leads to a high demand for the warming feature in smart mattresses. Although hypothermic therapy is often performed to provide proper cooling for patients' post–cardiopulmonary resuscitation or patients who have a fever, the equipment for hypothermic therapy is not only quite expensive and burdensome but is also difficult to operate. These may be reasons why nurses in ICUs need the cooling feature. However, the participants in both the ICU and the nationally designated COVID-19 wards did not ask features related to alarms or alerts, emergency readiness, and falls. It was speculated that this is because sufficient alarms, 24-hour patient monitoring, and other emergency readiness systems have already been established in the ICU. However, alerts and alarms were frequently desired by nurses in many other departments. It was also believed that the demand of the fall-related feature was not high in ICUs because patients are bedridden and cannot get out of bed.
The desired features reflected the characteristics of emergency rooms, where numerous patients are admitted, transferred, and discharged within a short amount of time. Because of frequent admissions and discharges, the participants from the emergency department wanted features related to frequent bed preparation, and patient transfer, and the high risk of falling due to frequent patient movements. However, according to a previous study, because of the relatively short duration of hospital stay, nurses from this department seem to have a low demand for other features, such as the skin pressure–related feature.38 Interestingly, the participants in the outpatient clinic wished for all of the aforementioned desired features except one related to body position change. It was speculated that they responded based on not only their current work experience but also previous ones, as most of them had worked in various departments prior to their move to the outpatient clinic. The participants who worked in the OR wanted various features except for those related to body position change and convenient use. This could be because of the characteristics of the OR, where patients maintain the same posture39 without clothes for a prescribed amount of time. It was also speculated that nurses in the OR wished for most of the desired features because of the aseptic requirement in ORs, which poses a difficulty in the frequent assessment of patients' condition.
Therefore, a variety of potential developments of smart mattresses can be expected in the future. The nurses who worked in the internal medicine wards responded on all categories of the additionally desired features except for that of body position change. It was considered that they did not consider any additional body position change–related features because they were asked to suggest additional features for a smart mattress that already includes an automatic rotating function for repositioning, weight measurement feature, and vital sign (respiratory rate, heart rate) measurement function. Because patients of the internal medicine department often have multiple diseases, it was speculated that the nurses stationed here had a lot of suggestions regarding the features added to smart mattresses.40 However, the findings suggest that the specific features that were desired may vary greatly according not only to the specialty but also to unique characteristics of a care environment. Therefore, it is critical to examine the needs and preferences of not only nurses but also patients in various clinical settings when a new technology or device is considered.
LIMITATIONS
This study has limitations because it was conducted in a hospital that had a high level of technology introduction. The participants' previous experience in technology may have influenced their responses in the survey. Because the study was conducted in only one hospital, the generalizability of the findings is limited. Further research is necessary in various institutions and settings. In this study, the participants completed the questionnaires based on the description of a smart mattress, which was in the development stage. It is necessary to examine any changes in nurses' perceptions on the actual product that is available. Moreover, it would be important to examine the effects of smart mattresses on both patient outcomes and nursing workload through clinical trials. The respondents might not express all their concerns and suggestions because of time constraints or a short-answer format. When nurses from a particular department did not mention any suggestion for an additional feature of smart mattresses, it did not necessarily indicate that the department to which the respondents belonged to did not have the need for that feature.
CONCLUSIONS
With the emergence of the Fourth Industrial Revolution, significant changes are continuing in the healthcare environment. The developments of smart mattresses with various functions and features can be expected in the future, catering to nursing tasks that are specific to each work department in hospitals. The findings of this study show that participant nurses perceived a smart mattress as highly assistive and necessary. They were positive about its usefulness, ease of use, and their intention to accept it if it is introduced in the healthcare environment. Smart mattresses are expected to improve different aspects of patient care, such as pressure ulcer prevention, and alleviate nurses' physical burden. However, there are concerns regarding an increase in the burden of other aspects of work, such as alarm fatigue and patient safety issues, because of malfunction and inaccuracies. In the midst of a flood of technologies, nurses need to continuously deliberate about ways to improve patient health outcomes and should have the ability to evaluate healthcare devices.
Supplementary Material
Acknowledgment
The authors thank Jaeyoung Im, MD, PhD; Hyun-jung Kim, RN; Sunhee Shin, RN; and Namhee Lee RN, for their advice.
Footnotes
The authors have disclosed that they have no significant relationships with, or financial interest in, any commercial companies pertaining to this article.
The study was approved by the Institutional Review Board of Seoul National University (no. 2102/001-010).
This work was supported by the Korean Government's Medical Device Development Fund grant (project no. 202012B11-03).
Credit Author Statement: The authors have made a direct contribution to the work reported in the manuscript in conception and design of the study, data collection, analysis, and interpretation of the data; and writing the manuscript. S.H.T.: conceptualization, methodology, supervision, validation, writing – original draft preparation, reviewing and editing. H.C.: methodology, investigation, data curation, visualization, writing – original draft preparation, reviewing and editing. D.L.: data curation, visualization, writing – original draft preparation, reviewing and editing. Y.A.S.: funding, conceptualization, methodology, writing – original draft preparation. J.P,: methodology, investigation, writing – original draft preparation.
Supplemental digital content is available for this article. Direct URL citations appear in the printed text and are provided in the HTML and PDF versions of this article on the journal’s Web site (www.cinjournal.com).
Contributor Information
Sunghee H. Tak, Email: sunghee.hong.tak@gmail.com.
Dayeon Lee, Email: dayeon422@snu.ac.kr.
Young Ae Song, Email: yysong@snubh.org.
Jiyeon Park, Email: R3034@snubh.org.
References
- 1.Dall'Ora C Griffiths P Hope J, et al. How long do nursing staff take to measure and record patients' vital signs observations in hospital? A time-and-motion study. International Journal of Nursing Studies. 2021;118: 103921. 10.1016/j.ijnurstu.2021.103921. [DOI] [PMC free article] [PubMed] [Google Scholar]
- 2.Hong Y-S. Smart care beds for elderly patients with impaired mobility. Wireless Communications and Mobile Computing. 2018;2018: 1–12. 10.1155/2018/1780904. [DOI] [Google Scholar]
- 3.Ibrahim A, Chaccour K, Hassani AHE, Andres E. Bed-fall detection and prediction: a generic classification and review of bed-fall related systems. IEEE Sensors Journal. 2021;21(5): 5678–5686. 10.1109/JSEN.2020.3037711. [DOI] [Google Scholar]
- 4.Gao C, Yu C, Lin X, Wang H, Sheng Y. Incidence of and risk factors for medical adhesive-related skin injuries among patients: a cross-sectional study. Journal of Wound, Ostomy, and Continence Nursing. 2020;47(6): 576–581. 10.1097/WON.0000000000000714. [DOI] [PubMed] [Google Scholar]
- 5.Premkumar S, Girithar TA, Niranjan Kumar P, Saimothish R, Ashok Malani V, Jacob R. 5-Position 4-actuator automated bed to prevent bed sores. Journal of Physics Conference Series. 2021;1831(1): 012024. 10.1088/1742-6596/1831/1/012024. [DOI] [Google Scholar]
- 6.Porto JM Cangussu-Oliveira LM Freire Júnior RC, et al. Relationship between lower limb muscle strength and future falls among community-dwelling older adults with no history of falls: a prospective 1-year study. Journal of Applied Gerontology. 2021;40(3): 339–346. 10.1177/0733464820932778. [DOI] [PubMed] [Google Scholar]
- 7.Firouzi F Farahani B Daneshmand M, et al. Harnessing the power of smart and connected health to tackle COVID-19: IoT, AI, robotics, and Blockchain for a better world. IEEE Internet of Things Journal. 2021;8(16): 12826–12846. 10.1109/JIOT.2021.3073904. [DOI] [PMC free article] [PubMed] [Google Scholar]
- 8.Ghersi I, Mariño M, Miralles MT. Smart medical beds in patient-care environments of the twenty-first century: a state-of-art survey. BMC Medical Informatics and Decision Making. 2018;18(1): 63. 10.1186/s12911-018-0643-5. [DOI] [PMC free article] [PubMed] [Google Scholar]
- 9.Ajami S, Khaleghi L. A review on equipped hospital beds with wireless sensor networks for reducing bedsores. Journal of Research in Medical Sciences: The Official Journal of Isfahan University of Medical Sciences. 2015;20(10): 1007–1015. 10.4103/1735-1995.172797. [DOI] [PMC free article] [PubMed] [Google Scholar]
- 10.Schaefer MS, Eikermann M. Contact-free respiratory monitoring using bed wheel sensors: a valid respiratory monitoring technique with significant potential impact on public health. Journal of Applied Physiology. 2019;126(5): 1430–1431. 10.1152/japplphysiol.00198.2019. [DOI] [PubMed] [Google Scholar]
- 11.Schellenberger S, Shi K, Michler F, Lurz F, Weigel R, Koelpin A. Continuous in-bed monitoring of vital signs using a multi radar setup for freely moving patients. Sensors. 2020;20(20): 5827. 10.3390/s20205827. [DOI] [PMC free article] [PubMed] [Google Scholar]
- 12.He W, Zhang ZJ, Li W. Information technology solutions, challenges, and suggestions for tackling the COVID-19 pandemic. International Journal of Information Management. 2021;57: 102287. 10.1016/j.ijinfomgt.2020.102287. [DOI] [PMC free article] [PubMed] [Google Scholar]
- 13.Kenneth O, Olajide A, Rania D. Exploring the potentials of telemedicine and other noncontact electronic health technologies in controling the spread of the novel coronavirus disease (COVID-19). International Journal in IT & Engineering. 2020;8(4): 1–13. [Google Scholar]
- 14.Taylor W Abbasi QH Dashtipour K, et al. A review of the state of the art in non-contact sensing for COVID-19. Sensors. 2020;20(19): 5665. 10.3390/s20195665. [DOI] [PMC free article] [PubMed] [Google Scholar]
- 15.Archibald MM, Barnard A. Futurism in nursing: technology, robotics and the fundamentals of care. Journal of Clinical Nursing. 2018;27(11–12): 2473–2480. 10.1111/jocn.14081. [DOI] [PubMed] [Google Scholar]
- 16.Costello FJ, Kim MG, Kim C, Lee KC. Exploring a fuzzy rule inferred ConvLS™ for discovering and adjusting the optimal posture of patients with a smart medical bed. International Journal of Environmental Research and Public Health. 2021;18(12). 10.3390/ijerph18126341. [DOI] [PMC free article] [PubMed] [Google Scholar]
- 17.Elsokah MM, Zerek AR. Next generation of medical care bed with Internet of things solutions. Presented at the 19th International Conference on Sciences and Techniques of Automatic Control and Computer Engineering (STA); March 24–26, 2019; Sousse, Tunisia.
- 18.Sivanantham A. Measurement of heartbeat, respiration and movements detection using smart bed. 2015 IEEE Recent Advances in Intelligent Computational Systems (RAICS); December 10–12, 2015; Thiruvananthapuram, India.
- 19.Weiner C, Kalichman L, Ribak J, Alperovitch-Najenson D. Repositioning a passive patient in bed: choosing an ergonomically advantageous assistive device. Applied Ergonomics. 2017;60: 22–29. 10.1016/j.apergo.2016.10.007. [DOI] [PubMed] [Google Scholar]
- 20.Davis FD. Perceived usefulness, perceived ease of use, and user acceptance of information technology. MIS Quarterly. 1989;13(3): 319–340. 10.2307/249008. [DOI] [Google Scholar]
- 21.Konttila J Siira H Kyngäs H, et al. Healthcare professionals' competence in digitalisation: a systematic review. Journal of Clinical Nursing. 2019;28(5–6): 745–761. 10.1111/jocn.14710. [DOI] [PubMed] [Google Scholar]
- 22.Lee JM. Role of perceived enjoyment and perceived usefulness in intention to use e-learning: differences of use experience degree and age. Role of perceived enjoyment and perceived usefulness in intention to use e-learning: differences of use experience degree and age. Korean Journal of Business Administration. 2012;25(1): 211–225. [Google Scholar]
- 23.Venkatesh V, Davis FD. A theoretical extension of the technology acceptance model: four longitudinal field studies. Management Science. 2000;46(2): 186–204. 10.1287/mnsc.46.2.186.11926. [DOI] [Google Scholar]
- 24.Zohrabi M. Mixed method research: instruments, validity, reliability and reporting findings. Theory and Practice in Language Studies. 2013;3(2): 254–262. 10.4304/tpls.3.2.254-262. [DOI] [Google Scholar]
- 25.Burdorf A, Koppelaar E, Evanoff B. Assessment of the impact of lifting device use on low back pain and musculoskeletal injury claims among nurses. Occupational and Environmental Medicine. 2013;70(7): 491–497. 10.1136/oemed-2012-101210. [DOI] [PubMed] [Google Scholar]
- 26.Gold JE Punnett L Gore RJ, ProCare Research Team . Predictors of low back pain in nursing home workers after implementation of a safe resident handling programme. Occupational and Environmental Medicine. 2017;74(6): 389–395. 10.1136/oemed-2016-103930. [DOI] [PMC free article] [PubMed] [Google Scholar]
- 27.Ding J Lim Y Solano M, et al. Giving patients a lift—the robotic nursing assistant (RoNA). Presented at the 2014 IEEE International Conference on Technologies for Practical Robot Applications (TePRA); April 14–15, 2014; Massachusetts.
- 28.Ribeiro T, Serranheira F, Loureiro H. Work related musculoskeletal disorders in primary health care nurses. Applied Nursing Research. 2017;33: 72–77. 10.1016/j.apnr.2016.09.003. [DOI] [PubMed] [Google Scholar]
- 29.Abugabah A, Nizamuddin N, Abuqabbeh A. A review of challenges and barriers implementing RFID technology in the healthcare sector. Procedia Computer Science. 2020;170: 1003–1010. 10.1016/j.procs.2020.03.094. [DOI] [Google Scholar]
- 30.Lluch M. Healthcare professionals' organisational barriers to health information technologies—a literature review. International Journal of Medical Informatics. 2011;80(12): 849–862. 10.1016/j.ijmedinf.2011.09.005. [DOI] [PubMed] [Google Scholar]
- 31.Christodoulakis C, Asgarian A, Easterbrook S. Barriers to adoption of information technology in healthcare. Presented at the Proceedings of the 27th Annual International Conference on Computer Science and Software Engineering; November 6–8, 2017; Markham, Ontario, Canada.
- 32.Paine CW Goel VV Ely E, et al. Systematic review of physiologic monitor alarm characteristics and pragmatic interventions to reduce alarm frequency. Journal of Hospital Medicine. 2016;11(2): 136–144. 10.1002/jhm.2520. [DOI] [PMC free article] [PubMed] [Google Scholar]
- 33.Cvach M. Monitor alarm fatigue: an integrative review. Biomedical Instrumentation & Technology. 2012;46(4): 268–277. 10.2345/0899-8205-46.4.268. [DOI] [PubMed] [Google Scholar]
- 34.Ko Y-K, Park B-H. The relationship of the nursing work environment and nursing outcome among it's nurses and content analysis of nurses' workload. Korean Journal of Hospital Management. 2014;19(1): 54–67. [Google Scholar]
- 35.Marakhimov A, Joo J. Consumer adaptation and infusion of wearable devices for healthcare. Computers in Human Behavior. 2017;76: 135–148. 10.1016/j.chb.2017.07.016. [DOI] [Google Scholar]
- 36.Galazzi A Adamini I Consonni D, et al. Accidental removal of devices in intensive care unit: an eight-year observational study. Intensive & Critical Care Nursing. 2019;54: 34–38. 10.1016/j.iccn.2019.06.002. [DOI] [PubMed] [Google Scholar]
- 37.Bell M, Ronco C, Hansson F, Broman M. Hypothermia during CRRT, a comparative analysis. Acta Anaesthesiologica Scandinavica. 2020;64(8): 1162–1166. 10.1111/aas.13616. [DOI] [PubMed] [Google Scholar]
- 38.Considine J, Mitchell B, Stergiou HE. Frequency and nature of reported incidents during emergency department care. Emergency Medicine Journal. 2011;28(5): 416–421. 10.1136/emj.2010.093054. [DOI] [PubMed] [Google Scholar]
- 39.Khong BPC, Goh BC, Phang LY, David T. Operating room nurses' self-reported knowledge and attitude on perioperative pressure injury. International Wound Journal. 2020;17(2): 455–465. 10.1111/iwj.13295. [DOI] [PMC free article] [PubMed] [Google Scholar]
- 40.Bandini F Guidi S Blaszczyk S, et al. Complexity in internal medicine wards: a novel screening method and implications for management. Journal of Evaluation in Clinical Practice. 2018;24(1): 285–292. 10.1111/jep.12875. [DOI] [PubMed] [Google Scholar]
