Abstract
Background
Information on electrocardiogram (ECG) has not been quantified in obstructive coronary artery disease (ObCAD), despite the deep learning (DL) algorithm being proposed as an effective diagnostic tool for acute myocardial infarction (AMI). Therefore, this study adopted a DL algorithm to suggest the screening of ObCAD from ECG.
Methods
ECG voltage-time traces within a week from coronary angiography (CAG) were extracted for the patients who received CAG for suspected CAD in a single tertiary hospital from 2008 to 2020. After separating the AMI group, those were classified into ObCAD and non-ObCAD groups based on the CAG results. A DL-based model adopting ResNet was built to extract information from ECG data in the patients with ObCAD relative to those with non-ObCAD, and compared the performance with AMI. Moreover, subgroup analysis was conducted using ECG patterns of computer-assisted ECG interpretation.
Results
The DL model demonstrated modest performance in suggesting the probability of ObCAD but excellent performance in detecting AMI. The AUC of the ObCAD model adopting 1D ResNet was 0.693 and 0.923 in detecting AMI. The accuracy, sensitivity, specificity, and F1 score of the DL model for screening ObCAD were 0.638, 0.639, 0.636, and 0.634, respectively, while the figures were up to 0.885, 0.769, 0.921, and 0.758 for detecting AMI, respectively. Subgroup analysis showed that the difference between normal and abnormal/borderline ECG groups was not notable.
Conclusions
ECG-based DL model showed fair performance for assessing ObCAD and it may serve as an adjunct to the pre-test probability in patients with suspected ObCAD during the initial evaluation. With further refinement and evaluation, ECG coupled with the DL algorithm may provide potential front-line screening support in the resource-intensive diagnostic pathways.
Keywords: Obstructive coronary artery disease, Acute myocardial infarction, Deep learning, Convolutional neural network, Electrocardiogram
Introduction
Electrocardiogram (ECG) is a mainstay in the diagnosis of acute myocardial infarction (AMI) with biomarkers: a rise in troponin with at least one value > 99th percent upper reference limit [1–3]. In emergency departments, an AMI is classified into an ST-segment elevation myocardial infarction (STEMI), which requires emergent reperfusion treatment, and non-STEMI, which needs early intervention or conservative management, according to the ECG manifestation [4]. It also provides information, including the duration, extent, and location of the myocardial infarction, although initial ECG is often not diagnostic and serial ECG is required [5, 6].
On the other hand, the resting 12-lead ECG has not been critical for screening and diagnosing coronary artery disease (CAD) in patients with stable chest pain and suspected angina pectoris, but it remains an indispensable component of an initial evaluation [2, 3]. According to the JACC guidelines, the probability of obstructive CAD (ObCAD) should be considered when providing diagnostic tests to those with stable chest pain [2]. Basic tests (laboratory biochemical testing, a resting ECG, echocardiography, and possible ambulatory ECG monitoring) in patients with suspected CAD were used to determine who should be screened or may be deferred, after the pre-test probability was estimated using the age, sex, and symptoms, according to the ESC guidelines [3]. On the other hand, the probability of ObCAD could not be quantified after acquiring the resting ECG and it has been undetermined how much information from a resting ECG could contribute to the clinical decision to proceed with ObCAD diagnostic tests.
Recently, deep learning (DL) algorithms have demonstrated good to excellent performance in detecting AMI using ECG signals. A review study revealed the accuracy ranged from 80.6 to 99.9% for normal versus AMI detection in 11 DL-based models, and the other review study showed it from 83 to 99.9% in six DL models [7, 8]. Although previous studies showed the potential of DL approaches in detecting AMI and other cardiovascular diseases [7–10], few studies have used DL algorithms to utilize the information on ECG in patient screening of ObCAD [11, 12]. It may be due to differences in the pathophysiology and ECG changes between ObCAD and AMI although both belong to the CAD category. ObCAD is the progressive narrowing of coronary arteries, usually caused by atherosclerosis with no ECG characteristics or subtle, whereas AMI resulted from acute obstruction of coronary artery commonly by thrombosis, resulting in myocardial necrosis and more obvious ECG change. Therefore, in a previous study, the common DL model showed completely different discrimination (0.973 and 0.566 in AUC) between two subgroups separated by AMI and ischemia at diagnosis [13].
Therefore, a DL-based model was developed using ECG to suggest the need for further investigation for ObCAD in patients with chest pain and suspected ObCAD. Moreover, the performance of the model was evaluated to test the validity for screening ObCAD and compare it with that of AMI.
Materials and methods
Data sources and study population
This investigation was a retrospective observational study of consecutive patients who received coronary angiography (CAG) for suspected CAD in a single tertiary hospital. The patients were eligible if they were aged 18 years or older and underwent CAG due to suspected ObCAD from October 27, 2008, to August 21, 2020, at the Inha University Hospital, which was a university teaching hospital in Incheon, which had a population of 2,922,121 inhabitants in 2020, in South Korea. It has Regional Cardiocerebrovascular Centers (RCCVCs), established by the Ministry of Health and Welfare in the Incheon district.
Data generation
The digital, standard 10-second, 12-lead ECG was acquired in the supine position during the study period. ECG was acquired at a sampling rate of 500 Hz using a GE-Marquette ECG machine (Marquette, WI, USA), and the raw data on ECG were extracted from the MUSE data management system (GE Healthcare, USA).
The ECG was selected in a window of interest for each participant for analysis because most of the study participants had multiple ECG records over the study period. The index date and time were defined as the date and time when CAG started, and the window of interest was defined as the preceding seven days before the index date. The ECG within a week before CAG was selected for analysis. This window of interest was chosen under the assumption that the ECG within a week would have clues on the quantitative coronary angiography (QCA) stenosis in patients with ObCAD. Any patient who did not have an ECG in the window of interest was excluded. If patients had multiple ECGs in the preceding seven days, the most recent ECG, for which physicians decided whether to provide diagnostic CAG, was selected. Figure 1 illustrated the timeline and time window of the ECG and CAG data. Sensitivity analysis was conducted with the earliest ECG in the window period.
Fig. 1.
Timeline and time window of the electrocardiogram and coronary angiography data
For the comparison of data distribution among the non-ObCAD, ObCAD, and AMI groups, 31 electrocardiographic patterns and eight quantitative ECG measurements were extracted from the ECG data and summarized for each group [14]. The eight ECG measurements included the QRS duration, QT, QTc, PR interval, ventricular rate, and the P-, Q- and T-wave axes. The ECG patterns were parsed and classified from the structured statements of computer-assisted ECG interpretation based on the standard key phrases in the MUSE data management system; the 31 patterns are listed in Table 1. An ECG was classified into two groups: normal and abnormal/borderline. The ECG was labeled as ‘normal’ if there was no abnormality in the interpretation and ‘abnormal’ or ‘borderline’ if the pattern included at least one diagnostic abnormality. Sex and age were also extracted from the electronic medical record and merged with CAG reports.
Table 1.
Characteristics of the study population and data distribution
| All participants | Nonobstructive coronary artery disease (stenosis < 50%) | Obstructive coronary artery disease (stenosis ≥ 50%) | Acute myocardial infarction | p-value | |
|---|---|---|---|---|---|
| N = 10,160 | N = 4,293 | N = 4,178 | N = 1,689 | ||
| Demographic characteristics | |||||
| Age (years) | 63.6 (12.7) | 60.9 (13.0) | 66.7 (11.4) | 62.2 (13.5) | < 0.001 | 
| Female (%) | 29.3% | 44.9% | 31.5% | 20.4% | < 0.001 | 
| Measurement of Electrocardiographic features | |||||
| QRS duration (ms) | 97.6 (18.6) | 95.9 (18.2) | 97.2 (18.4) | 98.6 (20.0) | < 0.001 | 
| QT (ms) | 406 (45) | 402 (43) | 405 (45) | 409 (50) | < 0.001 | 
| QTc (ms) | 446 (39) | 439 (38) | 442 (39) | 451 (39) | < 0.001 | 
| PR interval (ms) | 168 (28) | 165 (27) | 169 (28) | 168 (30) | < 0.001 | 
| Ventricular rate (bpm) | 75.1 (17.9) | 74.1 (17.2) | 74.1 (17.9) | 76.0 (19.6) | < 0.001 | 
| P axis (˚) | 52 (36–64) | 52 (35–64) | 52 (36–63) | 53 (37–66) | 0.009 | 
| R axis (˚) | 31 (2–58) | 35 (8–60) | 27 (-1-55) | 34 (-2-63) | < 0.001 | 
| T axis (˚) | 49 (25–76) | 44 (24–63) | 51 (26–79) | 65 (29–93) | < 0.001 | 
| Computer-assisted interpretation | |||||
| Normal | 15.8% | 31.7% | 20.6% | 5.6% | < 0.001 | 
| Left bundle branch block | 1.6% | 2.2% | 1.6% | 1.3% | 0.029 | 
| Incomplete left bundle branch block | 0.3% | 0.3% | 0.2% | 0.4% | 0.517 | 
| Right bundle branch block | 7.0% | 5.4% | 6.9% | 7.9% | < 0.001 | 
| Incomplete right bundle branch block | 2.0% | 1.3% | 1.9% | 2.5% | 0.003 | 
| Complete heart block | 0.2% | 0.2% | 0.1% | 0.4% | 0.046 | 
| Atrial fibrillation | 5.5% | 6.8% | 5.1% | 5.1% | 0.001 | 
| Atrial flutter | 0.3% | 0.5% | 0.4% | 0.2% | 0.390 | 
| Acute myocardial infarction | 23.5% | 2.4% | 4.6% | 43.5% | < 0.001 | 
| Left ventricular hypertrophy | 8.3% | 9.0% | 11.7% | 6.3% | < 0.001 | 
| Premature ventricular contractions | 4.5% | 3.7% | 3.9% | 5.2% | 0.021 | 
| Premature atrial contractions | 2.5% | 2.3% | 2.5% | 2.6% | 0.737 | 
| First-degree atrioventricular block | 6.0% | 4.5% | 6.3% | 6.6% | < 0.001 | 
| s-degree atrioventricular block | 0.3% | 0.1% | 0.1% | 0.5% | < 0.001 | 
| Fascicular block | 2.0% | 1.6% | 1.7% | 2.4% | 0.099 | 
| Sinus bradycardia | 15.5% | 15.4% | 17.1% | 14.8% | 0.031 | 
| Other bradycardia | 0.6% | 0.2% | 0.2% | 0.9% | < 0.001 | 
| Sinus tachycardia | 7.4% | 5.1% | 5.5% | 9.5% | < 0.001 | 
| Ventricular tachycardia | 0.2% | 0.0% | 0.2% | 0.2% | 0.038 | 
| Supraventricular tachycardia | 0.1% | 0.0% | 0.1% | 0.1% | 0.390 | 
| Prolonged QT | 8.2% | 7.7% | 7.2% | 8.9% | 0.084 | 
| Pacemaker | 0.5% | 0.5% | 0.5% | 0.5% | 0.995 | 
| Ischemia | 15.1% | 11.1% | 15.0% | 17.2% | < 0.001 | 
| Low QRS voltage | 2.9% | 1.5% | 2.1% | 4.0% | < 0.001 | 
| Intraventricular block | 2.2% | 0.6% | 0.9% | 3.6% | < 0.001 | 
| Prior infarct | 24.6% | 9.0% | 21.9% | 33.9% | < 0.001 | 
| Nonspecific T-wave abnormality | 5.6% | 8.2% | 8.0% | 3.0% | < 0.001 | 
| Nonspecific ST abnormality | 3.9% | 3.7% | 5.0% | 3.4% | 0.003 | 
| Left axis deviation | 7.5% | 5.2% | 6.7% | 9.0% | < 0.001 | 
| Right axis deviation | 0.5% | 0.3% | 0.2% | 0.7% | 0.012 | 
| Early repolarization | 1.3% | 2.0% | 1.0% | 1.1% | < 0.001 | 
Classification
The CAG reports were extracted from the electronic medical system. The dataset was divided into acute myocardial infarction and suspected angina pectoris to compare the performances between the DL models of ObCAD and AMI. After excluding the patients finally diagnosed with AMI, ObCAD was defined as the stenosis ≥ 50% luminal narrowing of any major vessel in QCA, and non-ObCAD as < 50%; it was defined to identify patients whose QCA showed significant stenosis more than 50% and those who could have benefited from further non-invasive diagnostic tests and CAG [15–17].
ECG-based DL algorithm
1D ResNet was suggested as a useful architecture for classifying ECG [18–20]. The model was implemented using Keras (version 2.0) with Tensorflow (Google; Mountain View, CA, USA). The proposed architecture of the ECG DL model using ResNet (ECGNET) was illustrated in Fig. 2. The performance of the proposed model was compared with those of four other models adopting machine learning (ML) and DL algorithms (logistic regression [LR], random forest [RF], long short term memory [LSTM], and transformer).
Fig. 2.

Proposed architecture of the deep learning-based electrocardiogram model
Models comparison
A resting ECG consists of 12 vectors with 5,000 dimensions per sample, which is a very large input dimension compared to the number of training samples. Therefore, raw ECG signal is not suitable for use in traditional ML classifiers such as LR and RF. We used a fast Fourier transform (FFT) to extract the 10–100 Hz range from each lead in 10 Hz intervals to transform it into a dimensionality suitable for use with traditional ML classifiers. This was finally transformed into a vector with a total of 120 dimensions for the 12 leads. Then, ECG transformed by FFT was used as input for LR and RF. Using grid search, we set the hyperparameters of the RF model: number of estimators, minimum number of samples required to split, and minimum number of samples required to be at a leaf node to 100, 2, and 2, respectively. Bi-LSTM used L2 kernel regularizer, dropout 0.2, and ReLU activation function. In this study, we did not use the Transformer Encoder immediately before the Fully Connected (FC) Layer as in the study for ECG Arrhythmia Classification to identify the ECG pattern of ObCAD, but adopted the method of analyzing the time series with LSTM by determining and weighting the importance through self-attention to the extracted convolutional neural network (CNN) features. The ECG signal is compressed to a size of (256,64) through 1D CNN, and the same size (256,64) data is extracted through MultiHeadAttention. Finally, it was classified by sequentially passing the LSTM layer, FC layer, and sigmoid function.
The eight physical leads (lead I, II, and V1-6) were used in the 12-lead ECG because the four augmented leads (lead III, aVR, aVL, and aVF) were produced by a linear function of leads I and II. The horizontal long axis (10 s at 500 Hz) was denoted as the temporal axis to extract the morphological and temporal features, while the short axis (eight physical leads) represented the spatial axis to use layers from all the leads.
The ECG DL models were cross-validated using stratified 5-fold to estimate the average predictive performance. The validation set was randomly selected from the train set and the dataset was divided into train, validation, and test sets with an 3:1:1 ratio. The training dataset was used to train the DL model and optimize the hyperparameters with a validation dataset. The test dataset containing the remaining patients not used in the training or validation was used to evaluate the performance of the ECG-based DL algorithm. A diagnostic threshold was selected using the area under the curve (AUC) of the receiving operating characteristic (ROC) curve for the validation set. The threshold was then applied to the test dataset to calculate the precision, recall, accuracy, and F1 score.
The hyperparameters were compared among the following options: ResNet with the residual blocks (2, 4, and 8), kernel size (16, 32, and 64), batch size (4, 8, 16, 32, and 64), initial learning rate (0.1, 0.01, 0.001, and 0.0001), optimization algorithms (SGD, ADAM), and dropout rate (0, 0.3, and 0.8). The best hyperparameters achieving the highest F1-score in the validation set were 4, 16, 8, 0.001, and 0.3, respectively, for residual blocks, kernel size, batch size, initial learning rate, and dropout rate with optimization algorithms of the Adam optimizer.
Subgroup analysis was performed to get insight into whether the performance depended on the ECG diagnostic abnormalities in the interpretation which were provided by the GE-Marquette ECG machine.
Results
After excluding the CAG unmatched with ECG and duplicated reports, 14,080 CAG reports were included with matched 41,355 ECG data (Fig. 3). Among all CAG reports, 1,689 patients diagnosed with AMI were finally selected for the DL-based model in detecting AMI. After excluding the ECG records with less than 10 s and ECGs recorded before a time window, the latest 9,592 ECG records were selected for 9,592 CAGs. A single CAG per patient was selected, and the most recent ECG was sampled, while the previous ECGs were excluded; it was assumed that the cardiologist decided the provision of CAG depending on the last ECG. Among the 9,592 ECGs, 1,064 ECG was excluded due to the patients who underwent multiple CAGs and 57 ECG records were of poor quality and were removed from the corresponding number of subjects. Of the remaining 8,471 patients, 4,293 and 4,178 patients were classified in the non-ObCAD group and ObCAD group, respectively, based on the findings from CAG reports.
Fig. 3.
Flowchart of the data used in the study
Those in the ObCAD group were likely to be older than those in the non-ObCAD group (Table 1). Moreover, those with stenosis more than 50% were more likely to be male than those with stenosis less than 50%, but the majority of those enrolled were male in both groups. The traditional computer-assisted measurements and interpretations of ECG were suggested for each group in Table 1. The QRS duration and QT, QTc interval tended to be longer in the ObCAD group and AMI group than the non-ObCAD group. Traditional computer-assisted interpretation was ‘normal’ in 31.7% of the non-ObCAD group, while 20.6% in the ObCAD group. Moreover, it showed findings suggestive of AMI in 43.5% of patients finally diagnosed with AMI, while only in 2.4% of patients in the non-ObCAD group. On the other hand, traditional interpretation could not find the characteristics suggestive of ischemia as much as AMI, and the difference between the ObCAD and non-ObCAD group was not as definite as the difference between the AMI group and non-ObCAD group: 11.1% in the non-ObCAD group vs. 15.0% in the ObCAD group.
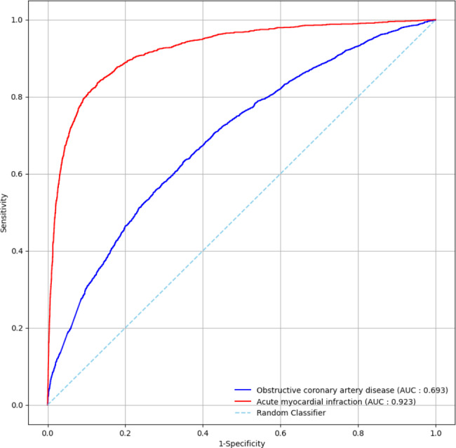
Table 2 lists the performances of the model for ObCAD and AMI. The AUC of the DL model in the test dataset was 0.693 for ObCAD, while it was 0.923 in detecting AMI. The accuracy, sensitivity, specificity, and F1 score of the proposed ECGNET model for screening ObCAD from ECGs were 0.638, 0.639, 0.636, and 0.634, respectively, in the test set. On the other hand, the figures were up to 0.885, 0.769, 0.921, and 0.758 for detecting AMI, respectively. By contrast, the performance was not notable between two subgroups classified by the traditional automated interpretation when the ObCAD dataset was divided into normal and abnormal/borderline ECG. The AUC was 0.716 and 0.728 for normal and abnormal/borderline ECG, respectively. When the model for ObCAD was built with the earliest ECG in the window period, the performance did not change significantly from that of the current model with the most recent ECG (data not shown).
Table 2.
Performance of the prediction models. Bold values denotes the best performance across the different algorithms for predicting ObCAD and AMI.
| AUC | Accuracy | Sensitivity | Specificity | Precision | F1-score | |
|---|---|---|---|---|---|---|
| Obstructive coronary artery disease | ||||||
| Logistic Regression | 0.528 | 0.522 | 0.499 | 0.545 | 0.516 | 0.506 | 
| Bi-LSTM | 0.515 | 0.515 | 0.490 | 0.539 | 0.508 | 0.498 | 
| Random Forest | 0.523 | 0.524 | 0.497 | 0.550 | 0.518 | 0.507 | 
| Transformer | 0.647 | 0.612 | 0.596 | 0.627 | 0.609 | 0.602 | 
| ECGNET | 0.693 | 0.638 | 0.639 | 0.636 | 0.632 | 0.634 | 
| Acute myocardial infarction | ||||||
| Logistic Regression | 0.620 | 0.599 | 0.598 | 0.600 | 0.310 | 0.408 | 
| LSTM | 0.692 | 0.690 | 0.604 | 0.715 | 0.398 | 0.475 | 
| Random Forest | 0.515 | 0.770 | 0.038 | 0.991 | 0.575 | 0.072 | 
| Transformer | 0.871 | 0.816 | 0.758 | 0.834 | 0.582 | 0.657 | 
| ECGNET | 0.923 | 0.885 | 0.769 | 0.921 | 0.749 | 0.758 | 
| Coronary artery disease subset by traditional computer-assisted ECG interpretation | ||||||
| Normal ECG | 0.716 | 0.646 | 0.729 | 0.592 | 0.564 | 0.645 | 
| Abnormal/borderline ECG | 0.728 | 0.679 | 0.728 | 0.622 | 0.689 | 0.675 | 
LSTM, long short term memory; ECGNET, ECG 1D ResNet model
Figure 4 presents the ROC curve of the model for ObCAD and AMI.
Fig. 4.

ROC curves for the developed model of obstructive coronary artery disease and acute myocardial infarction on the testing dataset
ROC: receiver operating characteristic, AUC: area under the curve
Discussion
A DL-based model adopting ResNet was constructed to extract information from ECG voltage-time traces in the patients with ObCAD relative to those with non-ObCAD. The model demonstrated fair performance in suggesting the probability of ObCAD, while it showed good to excellent performance in detecting AMI. Whereas the good performance similar to previous research for detecting AMI was achieved by the current study, the model for screening ObCAD which had been little attempted showed that it was more complex and daunting task compared to AMI. Interestingly, the performance did not depend on whether it has pre-defined ECG features by the traditional computerized interpretation; the performance did not deteriorate in the normal ECG groups where the defined profiles of the ECG abnormality were not found.
Previous studies reported that DL algorithms were effective in detecting AMI. They reported excellent performance using various DL algorithms. A previous study revealed an AUC of 0.997 and 0.877 in STEMI and NSTEMI [21], respectively, and another suggested an AUC of 0.951 and 0.901 in STEMI and AMI, respectively [22]. Moreover, a review study suggested that DL-based models on the diagnosis of AMI have an accuracy above 95% [8]. On the other hand, most of the studies included were based on a small sample from the same open-source database (PTB-XL database) and focused on the experimental application of new algorithms [8, 23]; some studies showed good performance when CNN was adopted, and others suggested that the performance may be enhanced when other algorithms were added or applied: multi-lead residual neural network, fusion of features, multi-lead attention, bidirectional gated recurrent unit, variational autoencoder, and CNN coupled with LSTM/BLSTM network [7, 8, 21–25]. Therefore, a recent study reported that residual controversies or gaps in evidence exist on the value of ECG to identify acute coronary syndrome and has been conducted on the issues of validation in patients without ST-elevation, the role of ECG in identifying culprit lesions, P-wave abnormalities, Q-wave regression, and ST-deviation and resolution [26].
In contrast, the performance of the DL model for assessing stable ischemic heart disease has been rarely evaluated and only a few experiments have been attempted based on a small number of subjects. Recently, a systematic review suggested that it found two DL models for stable ischemic heart disease (IHD) in the review, which performed as well as six models for detecting AMI [7]. However, both studies on stable IHD used the same data from the PhysioNet database: seven CAD subjects from St. Petersburg Institute of Cardiology Technics 12-lead arrhythmia data [11, 12]. The analysis was based on only seven subjects diagnosed with CAD with hypertension. Moreover, among them, four patients had ECGs consistent with left ventricular hypertrophy (LVH), while the other five patients diagnosed with angina pectoris in the dataset were not included in their analysis [27]. Therefore, although the previous research suggested that the application of DL algorithms might be promising for detecting ObCAD, the performance might be over-estimated due to the distinct ECG characteristics of seven subjects with hypertension or LVH. Furthermore, the other studies also used relatively small sample sizes which limited generalization. They were conducted in the different settings: Gokhan Altan extracted the 21–24 h long-term ECGs of 60 subjects diagnosed with CAD from the Long-Term ST Database [28, 29] and Monappa Gundappa Poddar gathered ECG data of 64 male patients in the age group of 35–60 years who were previously healthy in India [30]. Therefore, a small sample size yielded less variation in the ECG data. The models should be evaluated on larger datasets with diversity to confirm the robustness in a real-world setting.
In this study, the performance of the DL model for screening ObCAD was modest compared to that of the model for diagnosing AMI. The ECG findings of AMI were more remarkable because AMI causes more irreversible tissue damage to the myocardium than ObCAD with stable chest pain. In contrast, the ECG perturbations tend to be subtle and have difficulty classifying ObCAD [8]. Although normal ECG does not exclude the possibility of angina pectoris, ECG could provide useful information on the screening of ObCAD [31, 32]. In the European Society of Cardiology guidelines, a resting ECG was first-line tested in patients with suspected CAD. The signs of myocardial ischemia were based mainly on the detection of repolarization abnormalities and indirectly on previous infarction or conduction abnormalities [3]. On the other hand, the findings varied significantly, depending on the duration, extent, and topography of ischemia and the presence of other underlying arrhythmias [33]. Furthermore, false-positive results were reported more commonly in the patients with LVH, electrolyte imbalance, use of digitalis, and intraventricular conduction abnormalities [33]. Therefore, it is more difficult to use ECG characteristics in an DL-based model to estimate the clinical probability of chronic CAD.
Current practice depends on the clinician’s interpretation on ECG when the patient with stable chest pain and suspected ObCAD is evaluated. Therefore, it is subjective according to the knowledge and experience of the clinician and requires time and effort in the field. It also could not be quantified and integrated into any quantitative estimation of risk stratification. In contrast, the DL-based ECG model could contribute to automated ECG interpretation and risk quantification. Furthermore, while ECG may be a poor predictor from the perspective of the human eye and computer-assisted ECG features provided by GE machine, ECG characteristics have been demonstrated to be related to the prediction of ObCAD [31, 32, 34–36]. Previous literature reported that the resting ECG could not properly predict ObCAD based on the cardiologist’s interpretation of the ST segment, T and Q wave: 51.5% of sensitivity and 66.1% of specificity [37]. Similarly, the ECG interpretation provided by GE showed lower sensitivity in this study; it found myocardial ischemia in only 15% of 4,178 patients with QCA stenosis, whereas 11% of the patients without QCA stenosis had ischemia in the interpretation (15.0% of sensitivity and 88.9% of specificity). However, other studies have suggested that multiple ECG variables in the transformed and multiadjusted models could be important predictors of ObCAD detection and mortality, and another recent studies suggested that heart rate variability and the Hilbert–Huang transformation of ECG may reveal the hidden information on the myocardial ischemia [32, 34, 35]. Therefore, if the DL-based ECG models are enhanced in sophisticated and innovative ways, they may help clinicians make better discrimination and decision for further diagnostic methods.
In this study, the proposed model adopting 1D ResNet was superior to other ML and DL models. It may be because LR and RF cannot reflect time series features when learning ECG signals. In particular, although RF improves generalization performance by preventing overfitting of decision trees through ensembles, we experimentally confirmed that it still tends to overfit in high-dimensional data [38]. To prevent this, we converted ECG signals to FFT, but the loss of frequency resolution and information and the loss of time series characteristics could not be completely solved [39]. Bi-LSTM considers time series characteristics, but its strength lies in learning long-term dependencies, making it less suitable for finding fine features with short-term periods [40]. Transformer Encoder’s Self-Attention was primarily used to learn global dependencies, which limited the 1D CNN’s ability to detect local patterns. In addition, the model complexity increases due to more parameters compared to the 1D CNN, which could lead to overfitting problems.
The main strength of this study was the inclusion of a contemporary population with suspected ObCAD and who received CAG. Therefore, there is little risk of misclassification because the classification was based on the CAG reports. Moreover, the number of the subjects was higher than those of previous experiments, which offers more variation in the ECG data and is close to the real world. Furthermore, the DL-based model could help more people receive an earlier diagnosis and treatment compared to traditional ECG interpretation and help to reduce unnecessary diagnostic tests in the current practice. Compared to traditional ECG interpretations, the DL-based model could lead to the earlier diagnosis of 58% more people with CAG and the earlier treatment of patients with stable chest pain and suspected ObCAD: 646 (15%) of the traditional interpretation vs. 3,050 (73%) of the DL model in 4,178 patients with QCA stenosis. Furthermore, 62% of the 4,293 patients with a low probability of ObCAD by the DL model could be excluded from unnecessary non-invasive diagnostic tests and CAG.
This study had some limitations. This was a retrospective study based on subjects who were not all comers with chest pain but had received CAG. Therefore, the enrolled subjects were the selected patients considered high-risk by a physician, which may limit generalization. Second, these results need to be transformed into applications in the future, such as being implemented in a prospective study, to confirm the performance. Third, although the DL algorithm showed good performance in automatically detecting AMI, it still showed fair accuracy and sensitivity in screening for ObCAD. Therefore, the results of this study should be interpreted with caution in clinical practice, and the DL-based ECG model should be innovatively improved for practical use in the future. Fourth, the characteristics of symptoms, which were critical in clinical practice, could not be covered by a better ECG interpretation. Finally, it is important to explore further the ECG components that contribute to the classification. Recently, efforts have been made to develop new technologies that could make machine-learning models interpretable or explainable.
Conclusion
This study examined the possibility of adopting a DL algorithm to ECG for screening ObCAD and compared the performance of the ObCAD model with that of the AMI model. Although the model showed good to excellent performance in detecting AMI, it demonstrated only modest performance in suggesting the probability of ObCAD and required further enhancement. Nevertheless, information from ECG extracted by the DL algorithm may serve as an adjunct to an initial assessment by clinicians in addition to the pre-test probability. With further refinement and evaluation, ECG coupled with the DL algorithm may provide potential front-line screening support to assist clinicians in the resource-intensive diagnostic pathways.
Acknowledgements
None to declare.
Authors’ contributions
WKL, SHC, SDP, and JWB contributed to the conceptualization of this research, and HL and MSK planned the methodology. HL and WL, and THK conducted analysis under the supervision of SHC, SDP, and JWB. WKL wrote the main manuscript text, and all authors reviewed and approved it.
Funding
The current study was supported by the Bio & Medical Technology Development Program of the National Research Foundation (NRF) funded by the Korean government (MSIT) (2019M3E5D1A0206962012), the NRF funded by MIST (NRF-2022R1F1A1071574), (2022H1D8A3037396), INHA UNIVERSITY Research Grant, and Institute of Information & communications Technology Planning & Evaluation (IITP) funded by MSIT (RS-2022-00155915, Artificial Intelligence Convergence Innovation Human Resources Development (Inha University)). The funders had no role in study design, data collection, analysis, decision to publish, or manuscript preparation.
Data Availability
The Information security committee of Inha University Hospital will oversee any materials sharing processes. Requests for data should be addressed to the corresponding author.
Declarations
Ethics statement and consent to participate
This study is a retrospective observational study approved by the Institutional Review Board of Inha University Hospital (IRB number: 2020-08-009), and the IRB granted a waiver for the informed consent of individual participants. All procedures performed involving human participants were in accordance with the ethical standards of the institutional and/or national research committee and with the 1964 Helsinki declaration and its later amendments or comparable ethical standards.
Consent for publication
N/A.
Competing interests
The authors declare no competing interests.
Disclosures
The authors declare that the research was conducted in the absence of any commercial or financial relationships that could be construed as a potential conflict of interest.
Footnotes
Publisher’s Note
Springer Nature remains neutral with regard to jurisdictional claims in published maps and institutional affiliations.
These authors contributed equally to this work.
References
- 1.Reichlin T, Twerenbold R, Reiter M, Steuer S, Bassetti S, Balmelli C, Winkler K, Kurz S, Stelzig C, Freese M, et al. Introduction of high-sensitivity troponin assays: impact on myocardial infarction incidence and prognosis. Am J Med. 2012;125(12):1205–1213e1201. doi: 10.1016/j.amjmed.2012.07.015. [DOI] [PubMed] [Google Scholar]
 - 2.Gulati M, Levy PD, Mukherjee D, Amsterdam E, Bhatt DL, Birtcher KK, Blankstein R, Boyd J, Bullock-Palmer RP, Conejo T et al. 2021 AHA/ACC/ASE/CHEST/SAEM/SCCT/SCMR Guideline for the Evaluation and Diagnosis of Chest Pain. Journal of the American College of Cardiology 2021, 78(22):e187-e285. [DOI] [PubMed]
 - 3.Neumann FJ, Sechtem U, Banning AP, Bonaros N, Bueno H, Bugiardini R, Chieffo A, Crea F, Czerny M, Delgado V, et al. 2019 ESC Guidelines for the diagnosis and management of chronic coronary syndromes. Eur Heart J. 2020;41(3):407–77. doi: 10.1093/eurheartj/ehz425. [DOI] [PubMed] [Google Scholar]
 - 4.Thygesen K, Alpert JS, Jaffe AS, Chaitman BR, Bax JJ, Morrow DA, White HD. Executive Group on behalf of the joint european Society of Cardiology /American College of Cardiology /American Heart Association /World Heart Federation Task Force for the Universal Definition of Myocardial I: fourth universal definition of myocardial infarction (2018) J Am Coll Cardiol. 2018;72(18):2231–64. doi: 10.1016/j.jacc.2018.08.1038. [DOI] [PubMed] [Google Scholar]
 - 5.Wagner GS, Macfarlane P, Wellens H, Josephson M, Gorgels A, Mirvis DM, Pahlm O, Surawicz B, Kligfield P, Childers R, et al. AHA/ACCF/HRS recommendations for the standardization and interpretation of the electrocardiogram: part VI: acute ischemia/infarction: a scientific statement from the American Heart Association Electrocardiography and Arrhythmias Committee, Council on Clinical Cardiology; the American College of Cardiology Foundation; and the Heart Rhythm Society: endorsed by the International Society for Computerized Electrocardiology. Circulation. 2009;119(10):e262–270. doi: 10.1161/CIRCULATIONAHA.108.191098. [DOI] [PubMed] [Google Scholar]
 - 6.Amier RP, Smulders MW, van der Flier WM, Bekkers S, Zweerink A, Allaart CP, Demirkiran A, Roos ST, Teunissen PFA, Appelman Y, et al. Long-term prognostic implications of previous silent myocardial infarction in patients presenting with Acute myocardial infarction. JACC Cardiovasc Imaging. 2018;11(12):1773–81. doi: 10.1016/j.jcmg.2018.02.009. [DOI] [PubMed] [Google Scholar]
 - 7.Al Hinai G, Jammoul S, Vajihi Z, Afilalo J. Deep learning analysis of resting electrocardiograms for the detection of myocardial dysfunction, hypertrophy, and ischaemia: a systematic review. Eur Heart J - Digit Health. 2021;2(3):416–23. doi: 10.1093/ehjdh/ztab048. [DOI] [PMC free article] [PubMed] [Google Scholar]
 - 8.Lih OS, Jahmunah V, San TR, Ciaccio EJ, Yamakawa T, Tanabe M, Kobayashi M, Faust O, Acharya UR. Comprehensive electrocardiographic diagnosis based on deep learning. Artif Intell Med. 2020;103(September 2019):101789–9. doi: 10.1016/j.artmed.2019.101789. [DOI] [PubMed] [Google Scholar]
 - 9.Fernández-Ruiz I. Artificial intelligence to improve the diagnosis of cardiovascular diseases. Nat Reviews Cardiol. 2019;16(3):133–3. doi: 10.1038/s41569-019-0158-5. [DOI] [PubMed] [Google Scholar]
 - 10.Jahmunah V, Oh SL, Wei JKE, Ciaccio EJ, Chua K, San TR, Acharya UR. Computer-aided diagnosis of congestive heart failure using ECG signals – A review. Physica Med. 2019;62(May):95–104. doi: 10.1016/j.ejmp.2019.05.004. [DOI] [PubMed] [Google Scholar]
 - 11.Tan JH, Hagiwara Y, Pang W, Lim I, Oh SL, Adam M, Tan RS, Chen M, Acharya UR. Application of stacked convolutional and long short-term memory network for accurate identification of CAD ECG signals. Comput Biol Med. 2018;94(December 2017):19–26. doi: 10.1016/j.compbiomed.2017.12.023. [DOI] [PubMed] [Google Scholar]
 - 12.Acharya UR, Fujita H, Lih OS, Adam M, Tan JH, Chua CK. Automated detection of coronary artery disease using different durations of ECG segments with convolutional neural network. Knowl Based Syst. 2017;132:62–71. [Google Scholar]
 - 13.Huang PS, Tseng YH, Tsai CF, Chen JJ, Yang SC, Chiu FC, Chen ZW, Hwang JJ, Chuang EY, Wang YC et al. An Artificial Intelligence-Enabled ECG algorithm for the prediction and localization of angiography-proven coronary artery disease. Biomedicines 2022, 10(2). [DOI] [PMC free article] [PubMed]
 - 14.Raghunath S, Ulloa Cerna AE, Jing L, vanMaanen DP, Stough J, Hartzel DN, Leader JB, Kirchner HL, Stumpe MC, Hafez A, et al. Prediction of mortality from 12-lead electrocardiogram voltage data using a deep neural network. Nat Med. 2020;26(6):886–91. doi: 10.1038/s41591-020-0870-z. [DOI] [PubMed] [Google Scholar]
 - 15.Zhou LY, Yin WJ, Wang JL, Hu C, Liu K, Wen J, Peng LP, Zuo XC. A novel laboratory-based model to predict the presence of obstructive coronary artery disease comparison to coronary artery disease consortium 1/2 score, duke clinical score and diamond-forrester score in china. Int Heart J. 2020;61(3):437–46. doi: 10.1536/ihj.19-532. [DOI] [PubMed] [Google Scholar]
 - 16.Heo J, Yoo J, Lee H, Lee IH, Kim J-s, Kim YD, Nam HS, Nam HS, Hospital YS. Neurology Publish ahead of print prediction of Hidden Coronary Artery Disease using machine learning in patients. With Acute Ischemic Stroke; 2022. [DOI] [PubMed]
 - 17.Tveit SH, Myhre PL, Hanssen TA, Forsdahl SH, Iqbal A, Omland T, Schirmer H. Cardiac troponin I and T for ruling out coronary artery disease in suspected chronic coronary syndrome. Sci Rep. 2022;12(1):1–9. doi: 10.1038/s41598-022-04850-7. [DOI] [PMC free article] [PubMed] [Google Scholar]
 - 18.Hsieh CH, Li YS, Hwang BJ, Hsiao CH. Detection of Atrial Fibrillation using 1D convolutional neural network. Sens (Basel) 2020, 20(7). [DOI] [PMC free article] [PubMed]
 - 19.Wu M, Lu Y, Yang W, Wong SY. A study on Arrhythmia via ECG Signal classification using the convolutional neural network. Front Comput Neurosci. 2020;14:564015. doi: 10.3389/fncom.2020.564015. [DOI] [PMC free article] [PubMed] [Google Scholar]
 - 20.Ribeiro AH, Ribeiro MH, Paixão GMM, Oliveira DM, Gomes PR, Canazart JA, Ferreira MPS, Andersson CR, Macfarlane PW, Wagner M, et al. Automatic diagnosis of the 12-lead ECG using a deep neural network. Nat Commun. 2020;11(1):1–9. doi: 10.1038/s41467-020-15432-4. [DOI] [PMC free article] [PubMed] [Google Scholar]
 - 21.Liu WC, Lin CS, Tsai CS, Tsao TP, Cheng CC, Liou JT, Lin WS, Cheng SM, Lou YS, Lee CC, et al. A deep learning algorithm for detecting acute myocardial infarction. EuroIntervention. 2021;17(9):765–73. doi: 10.4244/EIJ-D-20-01155. [DOI] [PMC free article] [PubMed] [Google Scholar]
 - 22.Cho Y, Kwon J, Kim KH, Medina-Inojosa JR, Jeon KH, Cho S, Lee SY, Park J, Oh BH. Artificial intelligence algorithm for detecting myocardial infarction using six-lead electrocardiography. Sci Rep. 2020;10(1):1–10. doi: 10.1038/s41598-020-77599-6. [DOI] [PMC free article] [PubMed] [Google Scholar]
 - 23.Fu L, Lu B, Nie B, Peng Z, Liu H, Pi X. Hybrid network with attention mechanism for detection and location of myocardial infarction based on 12-lead electrocardiogram signals. Sens (Switzerland) 2020, 20(4). [DOI] [PMC free article] [PubMed]
 - 24.Chen X, Guo W, Zhao L, Huang W, Wang L, Sun A, Li L, Mo F. Acute myocardial infarction detection using deep learning-enabled Electrocardiograms. Front Cardiovasc Med. 2021;8(August):1–7. doi: 10.3389/fcvm.2021.654515. [DOI] [PMC free article] [PubMed] [Google Scholar]
 - 25.Tadesse GA, Javed H, Weldemariam K, Liu Y, Liu J, Chen J, Zhu T. DeepMI: deep multi-lead ECG fusion for identifying myocardial infarction and its occurrence-time. Artif Intell Med. 2021;121:1–10. doi: 10.1016/j.artmed.2021.102192. [DOI] [PubMed] [Google Scholar]
 - 26.Gragnano F, Spedicato V, Frigoli E, Gargiulo G, Di Maio D, Fimiani F, Fioretti V, Annoiato C, Cimmino M, Esposito F, et al. ECG analysis in patients with acute coronary syndrome undergoing invasive management: rationale and design of the electrocardiography sub-study of the MATRIX trial. J Electrocardiol. 2019;57:44–54. doi: 10.1016/j.jelectrocard.2019.08.045. [DOI] [PubMed] [Google Scholar]
 - 27.Yakushenko E. St Petersburg INCART 12-lead Arrhythmia Database. In. 2008: PhysioNet; 2008.
 - 28.Altan G, Allahverdi N, Kutlu Y. Diagnosis of coronary artery Disease using deep belief networks. Eur J Eng Nat Sci. 2017;2(1):29–36. [Google Scholar]
 - 29.Jager F, Taddei A, Moody GB, Emdin M, Antolic G, Dorn R, Smrdel A, Marchesi C, Mark RG. Long-term ST database: a reference for the development and evaluation of automated ischaemia detectors and for the study of the dynamics of myocardial ischaemia. Med Biol Eng Comput. 2003;41(2):172–82. doi: 10.1007/BF02344885. [DOI] [PubMed] [Google Scholar]
 - 30.Poddar MG, Kumar V, Sharma YP. Automated diagnosis of coronary artery diseased patients by heart rate variability analysis using linear and non-linear methods Automated diagnosis of coronary artery diseased patients by heart rate variability analysis using linear and non-linear methods. J Med Eng Technol 2015, 1902. [DOI] [PubMed]
 - 31.Kaolawanich Y, Thongsongsang R, Songsangjinda T, Boonyasirinant T. Clinical values of resting electrocardiography in patients with known or suspected chronic coronary artery disease: a stress perfusion cardiac MRI study. BMC Cardiovasc Disord. 2021;21(1):621. doi: 10.1186/s12872-021-02440-5. [DOI] [PMC free article] [PubMed] [Google Scholar]
 - 32.Rautaharju PM, Kooperberg C, Larson JC, LaCroix A. Electrocardiographic abnormalities that predict coronary heart disease events and mortality in postmenopausal women: the Women’s Health Initiative. Circulation. 2006;113(4):473–80. doi: 10.1161/CIRCULATIONAHA.104.496091. [DOI] [PubMed] [Google Scholar]
 - 33.Ginghina C, Ungureanu C, Vladaia A, Popescu BA, Ruxandra J. The electrocardiographic profile of patients with angina pectoris. J Med Life. 2009;2(1):80–91. [PMC free article] [PubMed] [Google Scholar]
 - 34.Wang CL, Wei CC, Tsai CT, Lee YH, Liu LY, Chen KY, Lin YJ, Lin PL. Early detection of myocardial ischemia in resting ECG: analysis by HHT. Biomed Eng Online. 2023;22(1):23. doi: 10.1186/s12938-023-01089-9. [DOI] [PMC free article] [PubMed] [Google Scholar]
 - 35.Goldenberg I, Goldkorn R, Shlomo N, Einhorn M, Levitan J, Kuperstein R, Klempfner R, Johnson B. Heart Rate Variability for Risk Assessment of myocardial ischemia in patients without known coronary artery disease: the HRV-DETECT (Heart Rate Variability for the detection of myocardial ischemia) study. J Am Heart Assoc. 2019;8(24):e014540. doi: 10.1161/JAHA.119.014540. [DOI] [PMC free article] [PubMed] [Google Scholar]
 - 36.Leasure M, Jain U, Butchy A, Otten J, Covalesky VA, McCormick D, Mintz GS. Deep Learning Algorithm predicts angiographic coronary artery disease in stable patients using only a standard 12-Lead Electrocardiogram. Can J Cardiol. 2021;37(11):1715–24. doi: 10.1016/j.cjca.2021.08.005. [DOI] [PubMed] [Google Scholar]
 - 37.Mahmoodzadeh S, Moazenzadeh M, Rashidinejad H, Sheikhvatan M. Diagnostic performance of electrocardiography in the assessment of significant coronary artery disease and its anatomical size in comparison with coronary angiography. J Res Med Sci. 2011;16(6):750–5. [PMC free article] [PubMed] [Google Scholar]
 - 38.Breiman L. Random forests. Mach Learn. 2001;45:5–32. [Google Scholar]
 - 39.Bracewell RN, Bracewell RN. The Fourier transform and its applications (Vol. 31999). McGraw-Hill New York; 1986.
 - 40.Huang Z, Xu W, Yu K. Bidirectional LSTM-CRF Models for sequence tagging. arXiv preprint. 2015. arXiv:1508.01991.
 
Associated Data
This section collects any data citations, data availability statements, or supplementary materials included in this article.
Data Availability Statement
The Information security committee of Inha University Hospital will oversee any materials sharing processes. Requests for data should be addressed to the corresponding author.


