Abstract
Open dumping of municipal solid waste is a common practice in developing countries including Ghana and it creates major problems in many municipalities and towns in the countries, and therefore, the dumpsites need to be reclaimed or decommissioned after years of dumping. However, it becomes challenging to infer from the results of studies from other part of the world for dumpsites in Ghana since they may have different waste characteristics. Therefore, this study sought to characterize the dumpsite waste with different age groups from urban city and small town to ascertain the impacts of aging of deposited waste on waste fractions, it also assessed the waste components at different depths within the same and different age groups in both small-town and urban dumpsites; for waste deposited more than 5 years (Zone A), 2–4 years (Zone B), and less than 6 months (Zone C) in Bono region, Ghana. Waste (100 kg) was taken at surface, 0.5 m, 1.0 m and 1.5 m and reduced to 50 kg using coning and quartering method; dried, segregated and analyzed. Plastics waste (24.5–28.1%) increased with age at urban, and increased (5.4–8.5%) with depth at small town dumpsite. Plastic waste was second to Decomposed organic matter (DOM) at both dumpsites. The metal (<1.0%) at all depths in all age groups for both sites. DOM fine particle sizes (FPS) decreased with depth, 26.8% (surface waste) and 14.4% (1.5 m depth), at both dumpsites. Statistically significant effects of age on plastics, metal, DOM-CPS, DOM-FPS (p < 0.05) at urban dumpsite. However, at small town dumpsite, effect of age was statistically significant on only DOM-CPS and DOM-FPS (p < 0.05). The pH, EC, and TDS for both dumpsites decreased with increasing age, and increased with depth. The study provides relevant scientific findings for stakeholders to develop policy framework for dumpsite decommissioning or reclamation.
Keywords: Characterization, Dumpsite, Age of deposition, Depth of excavation, Organic matter, Ghana
1. Introduction
Globally, the increased anthropogenic activities due to urbanization have led to an increase in the population coupled with high technological has subsequently contributed to the high volume of solid waste generated and discarded every year. The generation of municipal solid waste (MSW) has been growing rapidly since the year 2003. The generation rate of 2.9 billion people living in urban cities was averaged at 0.64 kg/p/d. Ten years later, the per capita waste generation increased to 1.2 kg/p/d for about 1.3 billion urban residents, and it has been estimated that by the year 2025, about 4.3 billion urban residents will have an average generation rate of about 1.42 kg/p/d for solid waste [1]. However, the waste characteristics varies according to the source activity [2,3].
According to Miezah et al. [4] the average waste generation rate from the regional capitals in Ghana had a daily total amount of 4270 tons of household waste generated from the regional capitals based on an estimated national population projection for 2014 calculated using the growth rates from the 2010 Population and Housing Census (Ghana Statistical Service, 2014b). Once generated, the waste may have its characteristics altered due to the management technique employed, which may result in waste with a great harmful potential to public health and to the environment [5]; and other factors such as economic, social, geographical, educational, cultural [6].
This study has shown that with the average generation rate of Sunyani Municipal, 0.49 kg/person/day and 2021 estimated population of 193,595, the daily solid waste generation of Sunyani Municipal is estimated to be 94.86 tones. All these waste components, together with commercial and institutional waste, are disposed of at the Sunyani Municipal dumpsite, with a greater percentage being biodegradable and undergoing decomposition, resulting in the breeding and spread of insect vectors and the production of leachate. But dumpsites and landfills are some anthropogenic activities that have destroyed the natural ecosystem and consequently affected environmental sustainability (Rana, 2015). Similarly, dumpsites in Nsoatre received the waste from various sources, with boreholes located very close to dumpsites. But the main source of drinking water in Nsoatre is groundwater, yet no research work has been carried out in small towns regarding household waste generation, waste components, groundwater quality, operations at dumpsite, and contaminants distribution at dumpsites in small towns.
However, proper municipal solid waste management remains a pressing challenge in developing countries due to inadequate policies [7,8], non-enforcement of existing policies, laws, and regulations [8]; poor waste management culture; inefficient collection and disposal systems; and improper technologies [9]. Burning of waste at dumpsites, use of landfills, and unsanitary open dumpsites are the major disposal options used by metropolitans and municipal assemblies in many developing countries [[10], [11], [12]] like Ghana.
A study carried out in Tamale, Ghana to assess the knowledge and attitudes of householders on the disposal of plastic waste using in-depth interviews and structured questionnaires showed that 87% of respondents showed a negative attitude and 46% had poor practices of plastic waste disposal, with no significant association between knowledge and attitudes and disposal practices [13].
Waste characterization is an essential aspect of proper waste management strategies. Most of the characterization studies done primarily consist of segregation and categorization of waste components, screening the waste based on size to obtain the coarse and fine particles [14]. Some studies have also separated waste and then categorized it as plastic, paper, textile, wood, metal, glass, and inert [14]. identified major concentrations of fine fraction, plastic and stones, i.e., 52.4%, 13.9% and 13.2%, respectively.
Again, a study conducted at Oti landfill in Kumasi, Ghana, for characterization of dumpsite waste and management of landfill revealed high plastic waste components by weight (38%), for 4 months waste deposition and increased to 58% for 4 years waste deposition. However, low quantity of textiles (11–14%), and about 2% of each metal, papers, and glasses by weight were observed for all the aged categories (4 months, 1 year, 2 years and 4 years) [15]. Organic components decreased with ageing of deposited waste.
Similarly, 14% plastic waste by weight was observed in a dumpsite waste characterization in a city in Nigeria and Oti landfill characterization in Kumasi, Ghana [15,16], and [14] in India; where Zone E (aged part) of the dumpsite contained very low plastic materials (4.8%), but Zone A (least aged part) of the dumpsite contained high percentage (47.6%) of plastics by weight; however, plastics do not easily biodegrade, except bio-plastics [17].
Low percentage by weight, wood (5%), metals (1.5–7.5%), and textile (<8.0%), observed when all particles (>80 mm, 80-40 mm, 40-20 mm, 20-4 mm), analyzed in India (Singh & Chandel, 2020a). However, different fractions showed low percentages of wood waste at Zone E (most aged portion of the dumpsite), in all the particles sizes; very low metals by weight, and low textiles (11–12%) at all the categories of age deposition at Kumasi landfill site Ghana [15].
Decomposed organic matter (DOM) is the organic portion of the waste that has been decomposed to produce coarse and fine particles mixed with soil and sand particles. Again, organic waste components were greater than 30% at all depths and zones in excavated waste in India [14], Kumasi, Ghana [15], and Nigeria [16].
The pH affects mineral nutrients, soil quality, and also microbial activities. Studies have shown that as the pH decreases, the solubility of metallic components in soil increases and they become more freely available in different ionic forms due to the rise in ions and vice versa [18]. The results obtained by Ref. [19], when soil samples collected from the down-site and dumpsite of Sunyani municipal dumpsite were just within alkaline medium with pH values of 7.19 and 7.41, respectively. These results are similar to the studies conducted in Addis Ababa (Ethiopia), Lagos (Nigeria), Maradi city (Nigeria), and Adama (Ethiopia), which revealed slightly basic pH (between 8.17 and 7.37) in the nearby solid waste dump sites as reported in literature. Similar analysis at the same dumpsite had mean electrical conductivity values for top-site (2179.3 μS/cm), dumpsite (3971 μS/cm), and down-site (6736.25 μS/cm), showed high EC value at dumpsite and down site [19].
The major outcomes of the literature review in Europe, India, and China have shown that landfill waste composition varies from country to country and from location to location within the same country. Fine fractions account for almost 50% of total dumped waste [20] due biodegradation. However, little studies have been carried out on the composition of excavated waste from dumpsites in African countries including Ghana. Additionally, the extent to which the waste components have been distributed in the soil determines how the soil properties have been affected and its future usage considerations. However, the previous studies did not consider the distribution of waste components with respect to depth, and also focused on urban areas and industrial areas to the neglect of small towns and non-industrials areas where landfill wastes are not properly managed.
The hypothesis of this study was that dumpsite waste components (plastic waste, metal waste, DOM_CPS, and DOM_ FPS) depend on location, depth of excavation and age of deposited waste at the dumpsite. The research conducted previously showed so many valorization potentials of excavated waste. Different landfill sites have different valorizations potentials, and thus, it is essential to conduct a preliminary characterization study when developing any landfill decommission and reclamation project to have a comprehensive understanding of the site. According to Singh et al. [14] most of landfills in developing countries are typically dumpsites and may have different waste characteristics from those on the globe.
In Ghana, open dumping of municipal solid waste is a common practice and it creates major problems in many municipalities and towns in the country. The majority of the waste generated from various sources in urban and small towns ends up in these dumpsites. This could be a source of microbial and toxic chemical pollutants of the soils of the dumpsites and therefore, needs to be reclaimed or decommissioned after years of dumping. However, it becomes challenging to infer from the results of studies from other part of the world for dumpsites in Ghana since the dumpsites may have different waste characteristics.
This study, therefore, sought to characterize the dumpsite waste with different age groups from urban city and small town to ascertain the impacts of aging of deposited waste on waste fractions. It assessed the effects of age of deposited waste on the waste fractions and determined the associations between them. It also assessed the waste components at different depths within the same and different age groups. Finally, the study investigated the associations between the waste components and depths of excavation in both small-town and urban dumpsites. The study provides relevant scientific findings for stakeholders to quantify waste fractions, and develop policy guidelines for dumpsite decommissioning or propriate technology for dumpsite reclamation. The results can also be used to assess the processing, utilization and disposal of excavated waste when developing dumpsite mining project, and decommissioning. This study is very important because it provides information required for the proper design and development of dumpsites reclamation technology in Ghana and other countries with similar waste characteristics.
2. Materials and methods
2.1. Description of study areas
The study was conducted at the Sunyani municipal (urban) waste dumpsite and Nsoatre (small town) dumpsite (see Fig. 1). Sunyani municipal dumpsite is located in a valley between Adomako community and Sunyani Technical University GETFund Hostel, 404.12 m away from the dumpsite. The total surface area of the dumpsite was estimated to be 236,823 m2. Sunyani is the capital city of Sunyani Municipal Assembly and also the capital city of the Bono Region, and has population of 193,595 inhabitants [21]. It lies between latitudes 7.20°N and 7.05°N and longitudes 2.30°W and 2.10° W. Sunyani also lies within the middle belt of Ghana, between 229 m and 376 m above sea level (googleearth.com). The dumpsite lies between latitude 7.18°N and longitude 2.19°W, and between 281 m and 727 m above sea level. The dumpsite receives surface runoff during downpour due to its location; therefore, increases the rate of decomposition of organic waste and generates a lot of fine particles of waste, and leachates. All sources of waste are dumped at the site without segregation, yet many people are always at the site scavenging for valuable items, the decomposed waste have been used as manure without knowing the components and its associated hazards.
Fig. 1.
Map of Sunyani municipal and Sunyani West municipal.
However, Nsoatre (small town) is a town in Sunyani West municipality located along the Sunyani–Berekum highway, a distance of 25.0 km away from Sunyani. It lies between latitudes of 7.35° N and 7.19° N and longitudes of 2.31° W and 2.08° W; with an elevation of 304 m above sea level and population amounts to 26,909. Nsoatre dumpsite has an area of about 5000 m2, and it lies between latitude 7.24°N and longitude 2.27°W. The dumpsite lies on flatland with elevation between 333 m and 330 m above sea level [21]. Nsoatre dumpsite has been surrounded with residential buildings, with about 30 boreholes located between 100 and 1000 m away from the dumpsite. These boreholes are source of drinking water for most of the residents living near the dumpsite. Again, the dumpsite soil is used as soil conditioner for backyard farming, scavengers and children practicing open defecation at the dumpsite are always at the site, yet unaware of the contaminants’ levels and harmful effects of potential contaminants or components, since no attention has been given to small towns dumpsites in Ghana. These have necessitated the study at both urban city and small town.
2.2. Data collection
After preliminary assessment of the dumpsite, different points on dumpsite representing different ages of deposited waste were selected and zoned as Zone A, Zone B, and Zone C . Zone A contained waste that was deposited more than five years; Zone B contained waste deposited between two to four years; and Zone C contained fresh waste deposited less than six months. At each zone 100 kg samples were taken from surface (0 m) and 100 kg were taken by excavating in-situ dumpsite solid waste material at depth of 0.5 m, 1.0 m, and 1.5 m. This was the maximum depth we could access due to the nature of the waste and the type of equipment used for the excavation. The samples from the surface (0 m), 0.5 m, 1.0 m, and 1.5 m depths, in Zone A were coded as SMZA1, SMZA2, SMZA3 and SMZA4, respectively, in urban dumpsite. A similar procedure was used for sampling waste at Zone B and Zone C, in urban dumpsite with coding as SMZB1, SMZB2, SMZB3, SMZB4, for Zone B and SMZC1, SMZC2, SMZC3, and SMZC4 for Zone C. Similarly, 100 kg waste samples were sampling from surface, 0.5 m, 1.0 m and 15 m depths at Zone A, B and C of small-town dumpsite; and were coded as NZA1, NZA2, NZA3, NZA4, for Zone A; NZB1, NZB2, NZB3, NZB4, for Zone B; and NZC1, NZC2, NZC3, and NZC4; for Zone C respectively. The coning and quartering method was employed to reduce the sample to 50 kg (Table 1). A multimeter probe (Hanna pH/conductivity/TDS meter H1700601) was used to measure the pH, total dissolved solids (TDS), and electrical conductivity (EC) of excavated waste, as well as the surface temperature (Fig. 2(a), Fig. 2(b), Fig. 2(c)a–c) show sampling points, sampling of waste and measurement of in-situ parameters respectively, at urban dumpsite.
Table 1.
Sampling locations and depths of excavation at urban dumpsite.
| Zone/Age of deposition of waste | Location/Sampling point (UD) | Location/Sampling point (STD) | Depth of excavation/m | Code (UD) | Code (STD) | Waste/kg |
|---|---|---|---|---|---|---|
| Zone A ( > 5 years) | N 07O 18.5011 W 02O 19.4781 Elevation 277 m |
N 07O 24.3311 W 02O 27.4541 Elevation 332 m |
SW (0) | SMZA1 | NZA1 | 50.0 |
| 0.5 | SMZA2 | NZA2 | 50.0 | |||
| 1.0 | SMZA3 | NZA3 | 50.0 | |||
| 1.5 | SMZA4 | NZA4 | 50.0 | |||
| Zone B (2–4 years) | N 07O 18.6481 W 02O 19.561 Elevation 727 m |
N 07O 24.3351 W 02O 27.4451 Elevation 333 m |
SW (0) | SMZB1 | NZB1 | 50.0 |
| 0.5 | SMZB2 | NZB2 | 50.0 | |||
| 1.0 | SMZB3 | NZB3 | 50.0 | |||
| 1.5 | SMZB4 | NZB4 | 50.0 | |||
| Zone C ( < 6 months) | N 07O 18.6991 W 02O 19.5921 Elevation 281 m |
N 07O 24.3391 W 02O 27.4611 Elevation 332 m |
SW (0) | SMZC1 | NZC1 | 50.0 |
| 0.5 | SMZC2 | NZC2 | 50.0 | |||
| 1.0 | SMZC3 | NZC3 | 50.0 | |||
| 1.5 | SNZC4 | NZC4 | 50.0 |
SW = surface waste, UD = urban dumpsite, STD = small town dumpsite.
Fig. 2(a).
Sampling points.
Fig. 2(b).
Sampling of waste.
Fig. 2(c).
Measurement of pH, EC, TDS and temperature at urban dumpsite.
2.3. Sorting and characterization
The excavated waste was dried in hot air at a temperature of 30 ± 5 °C for 14 days, to allow the waste to be dried at low temperatures [22]. The dried waste was manually segregated and categorized as follows: plastic, paper, metal, glass, textile, wood, ceramics, decomposed organic matter_ coarse particle size (DOM_CPS), decomposed organic matter fine particle size (DOM_FPS), and others [23] (Fig. 3). The others category indicates the material which could not be classified and mixed with stones and sand. The decomposed organic matter was manually sieved, and further sieved using a sieve analyzer to obtain both fine particle sizes (<0.4 mm) and coarse particles sizes (5–40 mm); at the Department Building of Technology of Sunyani Technical University. The proportion of each of the components of the waste was determined by weighing each component separately.
Fig. 3.
Segregation of waste at sorting center.
2.4. Statistical analysis
The mean percentages of waste components at different depths, and different zones were determined and subjected to ANOVA (Variance) at 95% confidence interval, Tukey's Honest Significant Difference (HSD) post hoc test were employed for multiple comparisons in the separation of treatment means, using R software version 4.1.3. Pearson correlation between some physiochemical parameters were analyzed to check their significant or impacts on valorization potentials of fine particles of waste.
3. Results and discussions
This segment presents the results and discussion of the study including the components of dumpsite waste in different aged zones and different depths in both urban and small-town dumpsites. Comparison was made based on different aged zones, and different depths in same and different age zones. Site by site comparison was presented. The aged zones were represented as follows: Waste deposited more than 5 years Zone (Zone A), waste deposited 2–4 years Zone (Zone B) and waste deposited less than 6 months (Zone C); and different depths as shown in Table 1 above.
3.1. Waste composition at urban dumpsite
Fig. 4 below shows the percentage mean composition of urban dumpsite waste at different depths when each of the excavated waste at various depths was dried, segregated, and weighed. The results revealed high mean plastics components at all the depths. The least mean for all the depths was (15.6%), and it was recorded at a depth of 0.5 m, whiles the highest mean was (32.9%) recorded at a depth of 1.0 m. The plastics waste was the second largest component. The reason could be attributed to polythene products being used for packaging, storing, conveying, and wrapping foodstuffs, water, cooked food, and other items in urban cities and communities in Ghana, which generates a lot of waste. Zone A recorded the highest mean value of 28.1%, with Zone B recording the lowest mean percentage of 12.1% (Fig. 5). The reconnaissance survey indicated that Sunyani Municipal Assembly occasional burnt the waste at the dumpsite to reduce volume. Zone B was the portion of the dumpsite that had experienced burning of waste, which contributed to the low plastic waste. However, Zone C had most of the disposed waste on site, resulting in high percentage mean. This is reaffirmed the results of [14]. Therefore, the high percentage of plastic waste could have a variety of detrimental effects on soil properties and groundwater quality as opined by [14].
Fig. 4.
Percentage mean of urban dumpsite waste components at different depths.
Fig. 5.
Percentage mean of urban dumpsite waste components at different zones.
Wood components were relatively lower compared to plastics and DOM. The surface waste contained the highest (4.6%) while the least mean (1.7%) was recorded at 1.5 m depth. This could be attributed to faster microbial action on decomposition of wood beneath 1.0 m in the waste due to the heat generated deep in the waste compared to surface waste where microbial action is slow. Wood was low in Zones A, and Zone B (<2%) in each zone in urban dumpsite, since majority of it had decomposed, but high value (6.6%) in Zone C of the same site. Zone C was where deposition of waste was less than 6 months, therefore pieces of wood disposed there had not biodegraded completely. This result is comparable to Ojuri et al. [16].
Metals were generally low with the mean values of 0.33%, 0,74%, 0.56%, and 1.4% at surface (0 m), 0.5 m, 1.0 m and 1.5 m depths respectively (Fig. 4). The low mean values were due to the daily activities of scavengers. The highest was recorded at the depth of 1.5 m indicating that metals do not decay easily with depth, even though temperature increased with depth. All the zones had low mean values of metals (0.66%, 2.58%, 0.31%), for Zone A, Zone B and Zone C respectively, which were all lower than [16]; suggesting that metals at Zones A and C had been removed by scavengers or decayed with aging, or waste dumped contained little metal scrabs, electrical gadgets and batteries. Notwithstanding, the low levels should be monitored, since scrab metals release heavy metals such mercury, cadmium, zinc, copper, iron, and others, therefore could cause harm to both soil properties, groundwater quality and public health through accumulation, percolation and infiltration of metals.
Decomposed organic matter coarse particle sizes (DOM_CPS), and decomposed organic matter fine particle sizes (DOM_FPS) formed the greater percentage of the waste fractions as shown in Fig. 3 below. The organic matter in the excavated waste had decomposed, and after sieving analysis it contained both coarse (20–40 mm sizes particles) and fine (<0.4 mm size particles). The mean DOM- CPS fractions at various depths showed maximum mean of 39.3% (surface waste) and the least mean (21.3%) at 1.0 m depth; indicating very high fractions of DOM-CPS. Similarly, the mean percentages of DOM-FPS ranged from the maximum of 26.8% (surface waste) to minimum of 14.4% (1.5 m depth) (Fig. 4). The DOM recorded at all age groups (Fig. 3) were high because decomposition had occurred at the various depths in all the aged groups. The dumpsite is located in a valley and it receives a lot of surface runoff, which increases the rate of decomposition of organic waste, leading to high mean values of DOM at urban dumpsite. The coarse particles were proportionally higher than fine particles at all the depths, indicating that decomposition was still underway when sampling was done. This result is comparable to a study by Ref. [14]. High DOM would convert nutrients into forms that plants can easily use. Cation exchange capacity (CEC) is enhanced during the decomposition of organic matter process thereby increasing the soil's ability to retain calcium, potassium, magnesium and ammonium. Again, organic molecules produced in DOM would hold and protect a number of micronutrients, such as zinc and iron, makes mineral forms of phosphorus more soluble and converts nitrogen into different forms easily available for plants and other organisms. High fraction of fine DOM implies many negative charges, and it is able to hold on to positively charged nutrients, such as calcium (Ca++), potassium (K+), and magnesium (Mg++). This keeps them from leaching deep into the lower soil.
Textiles observed at the dumpsite were discarded clothes. The mean textiles in the waste at various depths varied and it increased in the order of surface (0 m), 1.5 m, 1.0 m, and 0.5 m, as 3.4%, 5.4%, 5.8% and 6.2% respectively. However, the zones did not show any trend but the freshly deposited waste (Zone C) had more textiles by weight (7.5%) as against 4.0% for Zone B and 6.2% for Zone A. However, some of the biodegradable textiles in Zone B might have been decomposed to form compost. This reaffirmed the results of [14].
Moreover, glasses at all the depths were very low with the highest of 2.2% recorded at the surface waste and the minimum of 1.082% recorded at a depth of 1.0 m. The age of deposition of waste had no influence on the glasses waste by weight since all the Zones recorded between 1 and 2% glasses from urban dumpsite. But glasses waste is hazardous, and pose health risks on pickers or scavengers who work on dumpsite [24]; therefore, the assembly should enforce its law on informer recyclers to protect them from hazardous threats of metals and glasses.
3.2. Waste composition at small town dumpsite
Fig. 6 below shows the composition of dumpsite waste in small town, indicating the percentage mean of each of the waste fractions at different depths. The trend of the results was not different from that of urban dumpsite, with mean values increasing from surface (5.4%), 0.5 m (5.4%), 1.0 m (6.8%) to 1.5 m depth (8.5%). This implied that mean values slightly increased with depth. Surface waste was usually burnt during communal labour; therefore, surface waste usually contains less plastics than actually disposed. However, plastics not easily bio-degradable but enter deep beneath the waste as the waste keeps on pile at the dumpsite; this resulted in greater mean percentages at a depth of 1.0 m and 1.5 m. This is in agreement with the results of [14,15]. This can affect soil properties and subsequent velarization potential as soil conditioner due to slow rate of biodegradation and percolation of plastics in the soil. The plastic waste at Zone A and Zone C were very low (2.7% and 5.6%) respectively. Zone A (most aged portion), had little or no plastics at various depths leading to low average plastics waste by weight. Zone C also observed low mean (5.6%) plastics (see Fig. 7). This could be due to clean-up exercise which was frequently carried out at the dumpsite. However, Zone B recorded the greatest mean because waste deposited had minima anthropogenic activities, therefore contained all disposed plastics beneath 0.5 m and beyond as indicated in Fig. 5 below. However, burning of waste release some additives in plastics, which are potential carcinogens and endocrine disruptors, therefore human exposure to these additives through ingestion or dermal can increase their health hazards
Fig. 6.
Percentage mean of small-town dumpsite waste components at different depths.
Fig. 7.
Percentage mean of small-town dumpsite waste components at different zones.
Metals were very low at all depths and all ages of deposition at dumpsite, with least mean of 0.12% and the highest of 0.65% observed at 1.5 m and surface (0 m) respectively (Fig. 6). These metals formed parts of electrical gadgets and batteries that were disposed of at the dumpsite. All the zones recorded low percentages of metal waste (0.41%, 0.28% and 0.36%) for Zones A, Zone B and Zone C, respectively. Daily activities of scavengers removing valuable metallic materials from the waste resulted in low metals. This study reaffirmed the results obtained in Oti landfill Kumasi, Ghana [15]. Low metals found can release some heavy metals into the soil at dumpsite.
The results showed that decomposed organic matter formed the greater proportion of the waste excavated from different depths in all the three zones, with coarse particles observed as 53.7%, 52.2%, 44.1% and 70.4%, for surface (0 m), 0.5 m, 1.0 m, and 1.5 m depths, respectively. However, the fine particles had mean values relatively lower than the coarse particles with mean values estimated as 33.7%, 28.2%, 30.5% and 17.3%, for surface, 0.5 m, 1.0 m, and 1.5 m depths respectively (Fig. 4). Zone A (>5 years ago) had all the biodegradable components of the waste decomposed, leading to a high fraction of DOM, both coarse and fine particles. In Zone C, the DOM-CPS was high at all the depths compared to DOM-FPS. The deposited waste was still undergoing decomposition, leading to more coarse particles at Zone C (<6 months), and then formed more fine particles at Zone B and Zone A, where decomposition had already occurred. This is in agreement with [14,15].
Surprisingly, at depth of 1.0 m of Zone B at observed very huge quantity of pieces of wood by weight in the excavated waste. This resulted in abysmal mean percentage of wood (12.6%) at a depth of 1.0 m compared to average values (2.1%, 1.4% and 1.3%) in Fig. 4 below. The reason being that pieces of wood are used as fire wood in small towns and villages in Ghana and other developing countries, therefore hardily disposed at dumpsites. Zone A observed very small wood waste by weight, but Zone B and Zone C observed significant average wood (8.4% and 4.5%) respectively. All the wood at Zone A (most aged portion) of the dumpsite had decayed since wood waste decays with increasing age of deposition of waste. This study observed similar trend like the study in India [14].
The mean of all textiles by weight decreased as depth increased, and it decreased in the order of 3.0%, 2.4%, 1.5% and 1.2%; for surface (0), 0.5 m, 1.0 m, and 1.5 m depths respectively. In the case of zones, the mean values were 1.2%, 3.2% and 1.7%, for Zones A, B and C, respectively. The most aged part had low textiles by weight due to the decaying rate. The low textiles waste was due to the income level and life style of people. Small towns are dominated with low-income earners who hardily dispose of used clothes from both residents and fashion designers. All the zones had results comparable to literature [15].
3.3. Associations between waste components (plastic, metal, DOM-CPS and DOM- FPS) by weight, zone and depth in urban dumpsite
A one-way ANOVA was performed to compare the effects of three different zones on the amount of plastic waste by weight. The main effect of zones was statistically significant (p = 0.0017). Likewise, a two-way ANOVA compared the effects of depth and zone on the amount of plastic waste by weight showed no statistically significant interaction between the effects of depth and zones (p = 0.82). It implied that urban dumpsite, plastic waste components by weight was influenced by age (zone), but depth of excavated had no influence. Thus, plastic waste was significantly available at all depths in a particular zone.
However, when one-way ANOVA was performed to compare the effects of the three different zones on metal waste by weight, The results revealed that the main effect of zones is statistically significant (p = 0.045); therefore, Tukey's HSD post hoc test for multiple comparisons was also carried out and showed a statistically significant difference in average metal waste between Zones B and C (adj. p < 0.05). The average metal waste in Zone B is significantly higher than that in Zone C. There was no statistically significant difference between metal waste in Zones A and C (p > 0.05). Similarly, a two-way ANOVA to compare the effects of depth and zone on the amount of waste metal indicated no statistically significant interaction between the effects of depth and zones (p = 0.23). Thus, the main effect of zones was statistically significant (p < 0.05), but the main effect of depth was not statistically significant (p > 0.05).
When the DOM-CPS results were subjected to a one-way ANOVA to compare the effects of three different zones on the amount of DOM_CPS waste by weight; and a two-way ANOVA to compare the effects of depth and zones on the amount of DOM_CPS waste by weight, the results showed statistically significant interaction between the zones (p = 0.001), with DOM_CPS in Zone B statistically higher than that in Zone A and Zone C. But the two-way ANOVA showed statistically no significant effect of depth (p = 0.6). The main effect of zones was statistically significant (p < 0.05), but the main effect of depth was statistically not significant (p > 0.05). The reason is that decay of substances depends on half-life of that substance. Majority of organic matter from domestic waste easily decomposed to form DOM with aging, but Zone B was statistically higher than Zone A due to the amount of biodegradable organic waste deposited at Zone B. Again, similar observations were made for DOM-FPS, when similar tests compared the effects of three different zones on the amount of DOM_FPS waste by weight and showed a statistically significant difference between the three zones (p = 0.016). Therefore, Tukey's HSD post hoc test for multiple comparisons also showed statistically significant difference between average DOM_FPS waste at Zones A and B (adj. p < 0.05) and between Zones B and C (adj. p < 0.05). The average DOM_FPS waste in Zone B is significantly higher than in Zone A and Zone C. But there was no statistically significant difference in the average DOM_FPS waste between Zones A and C (adj. p > 0.05). This signifies that dumped waste at aged zone has higher valorization.
3.4. Associations between waste components (plastic, metal DOM-CPS and DOM-FPS) by weight, zone and depth in small town
When similar statistical analysis was performed to compare the effects of three different zones on the amount of plastic waste by weight, the results revealed that the main effect of zones is statistically not significant (p = 0.52). Again, when the two independent variables (zones and depths) were compared, to assess the effects of depth and zone on the amount of plastic waste by weight. The results suggested no statistically significant interaction between the effects of depth and zones (p = 0.44). The small town is a community where regular cleaning is done at dumpsites to burn the plastics. Therefore, only the waste beneath (0.5 m, 1.0 m, and 1.5 m depths) were still found to contain greater quantity of plastics. Because plastics do not biodegrade easily, all waste beneath 0.5 m deep and beyond contained plastic components (light and low-density polyethylene, polystyrene, and others).
Similarly, the amount of metal waste from three different zones showed statistically no significant effect (p = 0.5). Also, there was no statistically significant interaction between the effects of depth and zones (p = 0.23). The main effect of zones was statistically not significant (p > 0.05), and the main effect of depth was also not statistically significant (p > 0.05). This could be attributed to the activities of the scavengers who usually sort out for metallic materials and the few metals remaining after scavenging decay with time and hence form part of fine particles. This could give rise to high concentrations of heavy metals in the fine particles of the excavated waste analyzed.
Again, a one-way ANOVA was performed to compare the effect of three different zones on the amount of DOM_CPS waste by weight. There were statistically significant interactions (p = 0.0000042) between zones and amount of DOM_CPS. Therefore, Tukey's HSD post hoc test for multiple comparisons was also carried and the results showed a statistically significant difference in average DOM_CPS waste between Zones A and C (adj. p < 0.050) and between Zones B and C (adj. p < 0.05). The average DOM_CPS waste in Zone C was significantly higher than that in Zones A and B. However, there was no statistically significant difference in the average DOM_CPS waste between Zones B and A (adj. p > 0.05). Again, a two-way ANOVA performed on the effect of depth and zone on the amount of waste DOM_CPS by weight revealed a statistically significant interaction between depth and zone (p = 0.97); indicating that only zones influenced the amount of DOM_CPS statistically since the organic waste had high rate of decomposition with increasing age of deposition.
Similarly, the effect of three different zones on the amount of DOM_FPS waste by weight was statistically significant (p = 0.016). Therefore, multiple comparison also showed a statistically significant difference in average DOM_FPS waste between Zones A and C (adj. p < 0.05). The average DOM_FPS waste in Zone C is significantly higher than in Zone A. There was no statistically significant difference in the average DOM_FPS waste between Zones B and A (adj. p > 0.05) or between Zones B and C (adj. p > 0.05). Another one-way ANOVA was performed to compare the effect of the four different depths on the amount of DOM_FPS waste by weight and revealed statistically not significant for a particular Zone (p = 0.87).
3.5. Effect of area (urban and small town) on plastics, metals, and decomposed organic matter waste
The Welch two-sample t-test, used for testing means of all zones in urban and small-town dumpsites showed the difference in mean of plastics by study area. Small town dumpsite observed mean of 115.34 and urban dumpsite was 376.84. This suggested a positive, statistically significant, and large difference (261.51) at 95% CI, with (p < 0.05), indicating that the average amount of plastic waste in urban dumpsite is significantly higher than in the small-town dumpsite. This is in agreement with findings from Ref. [4]. However, when similar t-tests were carried out for testing the difference in means of metal waste and decomposed organic matter at small town and urban, they showed positive effects but were statistically not significant and large, with metal waste having a difference in mean of 81.73, 95% CI (p > 0.05). Additionally, mean difference of 1225.60, at 95% CI with (p > 0.05), and a mean difference of 1100.07, at 95% CI, with (p > 0.05), for DOM_CPS and DOM_FPS, respectively. High mean values of DOM for the two areas suggest that organic waste is largely produced in both urban cities and small towns in Ghana. This could be due to the type of foodstuffs available in Ghana, which produces a lot of organic waste. This signifies that both urban and small-town dumpsites have valorization potentials for dumpsite mining for DOM, which can be used as construction materials or as manure for large scale farming after carrying out further research to assess contaminants levels in DOM.
3.6. Physiochemical parameters of dumpsite waste
3.6.1. pH of dumpsite waste
The mean pH at urban dumpsite ranged from the least at Zone C surface (6.23) to the highest at Zone A, 1.5 m (8.97), as indicted in Fig. 8 pH values increased with age of deposition of waste. With the exception of Zone C surface and 0.5 m which recorded pH less than 7 (Fig. 8), all the pH values were slightly higher than 7, indicating alkaline waste at the dumpsite. Alkaline waste increases solubility and mobility of metals and the availability of micronutrients and macronutrients. The pH of each of the three zones increased slightly with depth (Fig. 8). This could be attributed to the physical, chemical, and biological reactions and processes that occurred deep in the dumpsite where decomposition of the waste had reached the methanogenic phase. However, Zone C experienced low pH values (acidic medium) (Fig. 8), since fresh waste deposited was still in the degradation phase [25]. The majority of all the pH values were outside the optimum range of (6.6–7.5) for plant growth and nutrient uptake. Therefore, the residents who use this dumpsite waste as a soil conditioner for the growth of vegetables in their backyards are at risk of food chain contamination of the vegetables.
Fig. 8.
pH of urban dumpsite waste at different zones and depths.
However, different trend was observed from the results of small-town waste, where pH values decreased with age of deposition of waste (Fig. 9), but increased with depth for each age category. All the pH values were within the alkaline region, and higher than those recorded at urban dumpsite (Fig. 9). The values were above the optimum range (6.5–7.5) for plant growth and nutrient uptake, and therefore not suitable as indicated in the paragraph above. Statistical analysis conducted showed statistically significant difference in the sampling zones at both urban and small-town dumpsites with (p = 0.00078) and (p = 0001), respectively. This indicates that age of deposition of waste interacted with pH values. A post hoc test confirmed the statistically significant difference between Zone A-C and Zone B–C with (adj p < 0.05), but not Zone A-B. Similar analysis carried out on depths of excavation revealed no statistically-significant difference between pH values at different depths (p = 0.273) and (p = 0.717) for urban and small town respectively.
Fig. 9.
pH of small-town dumpsite waste at different zones and depths.
3.6.2. Electrical conductivity of dumpsite waste
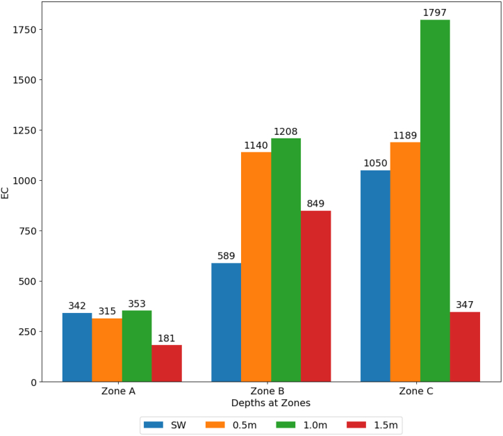
From Fig. 10, the electrical conductivity values of most of the sampling points in all the zones and different depths at urban dumpsite (2619 μS/cm, 3307 μS/cm, 3460 μS/cm, 4661 μS/cm, 3602 μS/cm, 4161 μS/cm, 5050 μS/cm, 5164 μS/cm, 8811 μS/cm, 7920 μS/cm) were far greater than the WHO value (1400 μS/cm), with the exception Zone C surface waste (1390 μS/cm) and 0.5 m depth (1401 μS/cm), which were slightly above the WHO guideline value. This indicates high solubility and mobility of ions and nutrients in the dumpsite waste. The high mean EC values indicate the presence of soluble salts, which could be associated with the disposal of metallic scraps and electrical and electronic waste at the dumpsite with subsequent ionization releases cations and anions [26]. The EC values were higher than those obtained at the same dumpsite [19]. Again, the EC values from small town increased in the order of Zone A < Zone B < Zone C, indicating that EC decreased with age of deposition of waste (Fig. 11). Similarly, for each of the age zones EC values increased with depth of excavation, except Zone C (wastes <6 months) where the least EC (694 μS/cm) was recorded at a depth of 1.5 m. This could be attributed to the fact that within six months of waste deposition the waste materials were still under ionization process; therefore, low ions concentration percolated and distributed leading to low EC values. However, the small town observed very low EC values for most aged part (Zone A), but higher values comparable to WHO/FAO recommended values at Zone B and Zone C. The statistical analysis conducted on EC values at different zones showed statistically significant difference in the sampling zones at both urban and small-town dumpsites with (p = 0.0033) and (p = 000), respectively. A post hoc test confirmed the statistically significant difference between Zone A-C and Zone B–C with (adj p < 0.05), but no statistically significant difference between Zone A-B. However, depths of excavation showed no statistically-significant difference between EC values at different depths (p = 0.172) and (p = 0.488) for urban and small town respectively.
Fig. 10.
Electrical conductivity of urban dumpsite waste at different zones and depths.
Fig. 11.
Electrical conductivity of small-town dumpsite waste at different zones and depths.
3.6.3. Total dissolved solids (TDS)
The results from the urban dumpsite (Fig. 12) showed high concentrations of TDS values for all the three zones at all the four different depths (surface, 0.5 m, 1.0 m, and 1.5 m). The TDS mean concentrations in Zone A, B and C increased with depth, range from the least at surface (650 mg/L) to the highest (1655 mg/L) at1.5 m depth with few exceptions in Zone B. Similarly, low TDS values in the aged zone (Zone A), and high values in the fresh zone (Zone C). The high TDS in Zone C at urban dumpsite can be attributed to surface runoff, which contains various pollutants; since the dumpsite is located in a valley with elevation Zone B and Zone C 727 m and 281 m respectively; allowing most of the runoff from upstream to be discharged into the site. However, TDS concentrations at small town dumpsite for Zones A, B, and C were very low (172 mg/L, 843 mg/L, and 533.5 mg/L, respectively) compared to the TDS values of similar zones and depths at urban dumpsite (Fig. 13). The small-town dumpsite is located on level ground with elevations of 332 m, 333 m, and 331 m for Zones A, B and C respectively and therefore does not admit surface runoff. The TDS values at different zones showed statistically significant difference between the three zones at urban dumpsite (p = 0.003), and small-town dumpsite (p = 0.0347). A post hoc test confirmed the statistically significant difference between Zone A-C and Zone B–C with (adj p < 0.05), for urban and small dumpsites but no statistically significant difference between Zone A-B. However, depths of excavation showed statistically no significant difference for TDS values at different depths (p = 0.488) and (p = 0.325) for urban and small town respectively.
Fig. 12.
Total dissolved solids of urban dumpsite waste at different zones and depths.
Fig. 13.
Total dissolved solids of small-town dumpsite waste at different zones and depths.
3.6.4. Moisture content
All the moisture content values at urban dumpsite ranged from 12.7 to 16.7%, with the least value recorded at Zone A (1.5 m depth) while the highest was observed at Zone C (0.5 m depth). Zone A was the dried part of the dumpsite with on fresh waste resulting in low moisture content. The values at Zone A decreased from 14.2% at surface to 12.7% at 1.5 m depth; while Zone B experienced slight increased form 14.2% (surface) to 15.7% (1.5 m depth), as shown in Fig. 14 below. Zone C (<6 months waste), leading to high moisture content at all the depths. Similarly, at small town dumpsite, Zone A observed low moisture content values (8.1–6.8%), with the values decreasing with increasing depth as shown in Fig. 15 below. However, Zones B and C observed high values, since both zones were wet during excavation, hence, the high moisture content values at all depths in zones B and C. Statistical analysis showed statistically significant difference between the zones (p = 0.00295) and (p = 0.003) for urban and small-town dumpsites respectively; but there was statistically no significant difference between depths in one particular zone. (p > 0.05). A post hoc test confirmed statistically significant difference between Zone A-C and Zone B–C with (adj p < 0.05), for urban and small-town dumpsites but statistically no significant difference between Zone A-B (p = 0.778) and (p = 0.784) for urban and small town respectively.
Fig. 14.
Moisture content of urban dumpsite waste at different zones and depths.
Fig. 15.
Moisture content of small-town dumpsite waste at different zones and depths.
3.6.5. Temperature
Temperature at small town dumpsite did not show any significant difference. All the temperature values recorded were between 30 and 31 °C at small town (Fig. 17). This could be attributed to the fact that the temperatures were taken immediately after the excavation of the waste in the morning between 07 h and 11 h of GMT. However, the mean temperature from urban dumpsite increased in order of 30.17 °C < 32.35 °C < 32.83 °C, for Zone A, Zone B and Zone C respectively Fig. 16). The higher mean temperatures at urban dumpsite could be attributed to the heat generated inside the huge volume of waste piled at the dumpsite. Temperature showed no statistically significant difference with respect to the zones and depths (p > 0.05) for both urban and small town.
Fig. 17.
Temperature of small-town dumpsite waste at different zones and depths.
Fig. 16.
Temperature of urban dumpsite waste at different zones and depths.
3.7. Pearson correlation of some physicochemical parameters at dumpsites
From both Fig. 18, Fig. 19, TDS and EC have very strong correlations with correlation coefficient at urban dumpsite (r = 1.0), and small-town dumpsite (r = 0.98), indicating that the only ions responsible for electrical conductivity were total dissolved solids in the waste. In spite of that, pH correlated negatively with all the other parameters at urban dumpsite, but correlated positively with all the other parameters at small town dumpsite; with correlation coefficients (r = 0.83, 0.79,0.51, and 0.97), for EC, TDS, temp., moisture content respectively. This was not surprising, since the location of urban dumpsite in a valley increased contaminants (TDS, EC moisture content) levels without corresponding increase in pH. Moisture content was positively correlated with EC and TDS values. A strong positive correlation was observed between moisture content and EC, and TDS at small town (r = 0.8) and (r = 0.74) for EC and TDS respectively. However, moderately positive correlation was observed between moisture content and EC, and TDS at urban dumpsite with r = 0.56 for both EC and TDS.
Fig. 18.
Pearson correlation of some physicochemical parameters at urban dumpsite.
Fig. 19.
Pearson correlation of some physicochemical parameters at small town dumpsite.
4. Conclusion
The study was designed to characterize the dumpsite waste with different age groups from urban city and small town to ascertain the impacts of aging of deposited waste on waste fractions. It assessed the effects of age of deposited waste on the waste fractions and the associations between them. It also assessed the waste components at different depths within the same and different age groups. Finally, the study investigated the associations between the waste components and depths of excavation in both small-town and urban dumpsites.
The plastics waste (24.5–28.1%) were the second largest waste components and increased with depth, but were least found at surface of Zone A and Zone B. These areas had experienced burning of waste just before excavation.
The surface (0 m) waste contained the highest wood while the least percentage was recorded at 1.5 m at both sites in Zone C. Wood was low in Zones A, and Zone B. Pieces of wood are used as fire wood in small towns and villages in Ghana and other developing countries, therefore are hardily disposed at dumpsites.
The metal (<1.0%) at all depths and in all zones for both urban and small town due to activities of scavengers and disintegration of soft metals with aging.
Textiles decreased as depth increased at small town dumpsite but varied with no trend as depth increased in urban. The low textiles were due to income level and life style of people. Small towns are dominated with low-income earners who hardily dispose of used clothes.
High fractions of DOM-CPS at all depths at urban dumpsite. The mean DOM- CPS fractions at various depths showed maximum at surface and the minimum at 1.0 m. Similarly, DOM-FPS decreased with increasing depth with surface waste recording (26.8%) and 1.5 m depth (14.4%). The DOM-CPS observed higher mean than DOM-FPS at Zones in small town dumpsite.
Statistical analysis revealed statistically significant effect of age of deposition of waste on plastics (p = 0.0017) for urban dumpsite, but not statistically significant for small town (p = 0.52). However, effect of zones on metal was statistically significant (p < 0.045) at urban dumpsite but not statistically significant at small town. The main effect of depth on metal waste was not statistically significant for both dumpsites. Decaying of substances depends on half-life of that substance therefore some metals take longer to decay were found deep in the waste. The effects of depth and zones on amount of DOM_CPS, showed statistically significant interaction (p < 0.05) between the zones and DOM_CPS. DOM-CPS in Zone B statistically higher than that in Zone A and Zone C at urban. But no statistically significant difference between DOM_CPS at different depths at urban.
Again, DOM-FPS, showed statistically significant difference between the three zones (p = 0.016) at urban site. Similarly, there were statistically significant interactions (p = 0.001) between zones DOM_CPS; but there was no significant interaction between depths and DOM_CPS at both dumpsites. The average DOM_CPS waste in Zone C was significantly higher than that in Zones A and B. However, there was no statistically significant difference in the average DOM_CPS waste between Zones B and A.
All the pH values at both study areas were slightly higher than 7, indicating alkaline waste at the dumpsites. This could increase solubility and mobility of metals and the availability of micronutrients and macronutrients. Majority were outside the optimum range of (6.6–7.5) for plant growth and nutrient uptake. Again, pH decreased with age and increased with depth at small towns.
All EC values greater than WHO value (1400 μS/cm), with the exception of surface waste at Zone C (1390 μS/cm) and 0.5 m depth at Zone C (1401 μS/cm. EC increased with depth at each zone and decreased with age of deposition of waste. The high values indicated the presence of soluble salts, which could be associated with the disposal of metallic scraps and electrical and electronic waste. Statistically, EC showed significant difference in the zones at urban and small-town dumpsites with (p = 0.0033) and (p = 0001), respectively. However, depths of excavation showed no statistically-significant difference between EC values at different depths (p = 0.172) and (p = 0.488) for urban and small town respectively.
The TDS in Zone A increased with depth, range from the least at surface to the highest at1.5 m. However, TDS concentrations at urban dumpsite decreased with age and were higher than those from small town. The TDS values at different zones showed statistically significant difference at urban dumpsite (p = 0.003), and small-town dumpsite (p = 0.0347). But no statistically significant difference between depths.
All the temperature recorded were between 30 and 31 °C. Temperature showed no statistically significant difference with respect to the zones and depths (p > 0.05) for both urban and rural dumpsites.
However, all the moisture content values at urban dumpsite were higher than those at small town dumpsite. This is due to the location of urban dumpsite. Statistical analysis showed statistically significant difference between the zones (p = 0.00295) and (p = 0.003) for urban and small-town dumpsite respectively; but there was statistically no significant difference between depths in any zone. (p > 0.05).
The study recommends that further studies should be carried out to assess the soil nutrients such as nitrogen, phosphorus, and potassium; and geotechnical analysis of the DOM and exploit any valorization potential or benefits of using DOM as compost, or construction materials.
The heavy metals and other physiochemical properties of waste (DOM) should be determined. The soil quality and groundwater quality of the groundwater sources around the dumpsites should be assessed.
Author contribution statement
Daniel Gyabaah; Esi Awuah: Conceived and designed the experiments; Performed the experiments; Analyzed and interpreted the data; Contributed reagents, materials, analysis tools or data; Wrote the paper.
Prince Antwi-Agyei: Conceived and designed the experiments; Performed the experiments; Analyzed and interpreted the data; Wrote the paper.
Richard Amankwah Kuffour: Conceived and designed the experiments; Analyzed and interpreted the data.
Data availability statement
Data will be made available on request.
Additional information
No additional information is available for this paper.
Declaration of competing interest
The authors declare that they have no known competing financial interests or personal relationships that could have appeared to influence the work reported in this paper.
Acknowledgment
The authors thank the Regional Centre for Energy and Environmental Sustainability (RCEES), University of Energy and Natural Resources (UENR), Sunyani, Ghana for the support during the study.
Contributor Information
Daniel Gyabaah, Email: daniel.gyabaah.stu@uenr.edu.gh.
Esi Awuah, Email: esiawuahrt@gmail.com.
Prince Antwi-Agyei, Email: prince.antwi-agyei@uenr.edu.gh.
Richard Amankwah Kuffour, Email: rakuffour@gmail.com.
References
- 1.Saja A.M.A., Zimar A.M.Z., Junaideen S.M. Municipal solid waste management practices and challenges in the southeastern coastal cities of Sri Lanka. Sustainability. 2021;13(8) doi: 10.3390/su13084556. Apr. [DOI] [Google Scholar]
- 2.Ziraba A.K., Haregu T.N., Mberu B. A review and framework for understanding the potential impact of poor solid waste management on health in developing countries. Arch. Publ. Health. 2016;74(1) doi: 10.1186/s13690-016-0166-4. BioMed Central Ltd., Dec. 26. [DOI] [PMC free article] [PubMed] [Google Scholar]
- 3.Doaemo W., et al. Assessment of municipal solid waste management system in Lae City, Papua New Guinea in the context of sustainable development. Environ. Dev. Sustain. 2021;23(12):18509–18539. doi: 10.1007/s10668-021-01465-2. Dec. [DOI] [PMC free article] [PubMed] [Google Scholar]
- 4.Miezah K., Obiri-Danso K., Kádár Z., Fei-Baffoe B., Mensah M.Y. Municipal solid waste characterization and quantification as a measure towards effective waste management in Ghana. Waste Manag. Dec. 2015;46:15–27. doi: 10.1016/j.wasman.2015.09.009. [DOI] [PubMed] [Google Scholar]
- 5.Ferronato N., Torretta V. Waste mismanagement in developing countries: a review of global issues. Int. J. Environ. Res. Publ. Health. 2019;16(6) doi: 10.3390/ijerph16061060. MDPI AG, Mar. 02. [DOI] [PMC free article] [PubMed] [Google Scholar]
- 6.Saseanu A.S., Gogonea R.M., Ghita S.I., Zaharia R.Ş. The impact of education and residential environment on long-term waste management behavior in the context of sustainability. Sustainability. 2019;11(14) doi: 10.3390/su11143775. [DOI] [Google Scholar]
- 7.Kumar A., Pali H.S., Kumar M. Application of pyrolysis and hydrothermal liquefaction process to convert bio-fuel from biomass. J. Phys. Conf. Dec. 2021;2062(1) doi: 10.1088/1742-6596/2062/1/012029. [DOI] [Google Scholar]
- 8.Sagbara G., Zabbey N., Sam K., Nwipie G.N. Heavy metal concentration in soil and maize (Zea mays L.) in partially reclaimed refuse dumpsite ‘borrow-pit’ in Port Harcourt, Nigeria. Environ. Technol. Innov. May 2020;18 doi: 10.1016/j.eti.2020.100745. [DOI] [Google Scholar]
- 9.Chapman-Wardy C., Asiedu L., Doku-Amponsah K., Mettle F.O. Modeling the amount of waste generated by households in the greater accra region using artificial neural networks. J. Environ. Public Health. 2021;2021 doi: 10.1155/2021/8622105. [DOI] [PMC free article] [PubMed] [Google Scholar]
- 10.Kumar A., Samadder S.R. A review on technological options of waste to energy for effective management of municipal solid waste. Waste Manag. 2017;69:407–422. doi: 10.1016/j.wasman.2017.08.046. Elsevier Ltd. Nov. 01. [DOI] [PubMed] [Google Scholar]
- 11.Ikebude C. Feasibility study on solid waste management in port harcourt metropolis: causes, effect and possible solutions. Nigerian J. Technol. Dec. 2016;36(1):276–281. doi: 10.4314/njt.v36i1.33. [DOI] [Google Scholar]
- 12.Binafeigha T.R., Enwin A. The state of solid waste management in port Harcourt city, Nigeria. Am. J. Civ. Eng. Architect. 2017;5(4):160–166. doi: 10.12691/ajcea-5-4-4. [DOI] [Google Scholar]
- 13.Kombiok E., Naa Jaaga J. Disposal of plastic waste in Ghana: the knowledge, attitude and practices of households in the tamale metropolis. Int. J. Environ. Stud. 2022 doi: 10.1080/00207233.2022.2050568. [DOI] [Google Scholar]
- 14.Singh A., Chandel M.K. Effect of ageing on waste characteristics excavated from an Indian dumpsite and its potential valorisation. Process Saf. Environ. Protect. Feb. 2020;134:24–35. doi: 10.1016/j.psep.2019.11.025. [DOI] [Google Scholar]
- 15.Owusu-Nimo F., Oduro-Kwarteng S., Essandoh H., Wayo F., Shamudeen M. 2019. Characteristics and Management of Landfill Solid Waste in Kumasi. Ghana. [DOI] [Google Scholar]
- 16.Ojuri O.O., Ayodele F.O., Oluwatuyi O.E. Risk assessment and rehabilitation potential of a millennium city dumpsite in Sub-Saharan Africa. Waste Manag. Jun. 2018;76:621–628. doi: 10.1016/j.wasman.2018.03.002. [DOI] [PubMed] [Google Scholar]
- 17.Tokiwa Y., Calabia B.P., Ugwu C.U., Aiba S. Biodegradability of plastics. Int. J. Mol. Sci. 2009;10(9):3722–3742, Sep. doi: 10.3390/ijms10093722. [DOI] [PMC free article] [PubMed] [Google Scholar]
- 18.Gloria Maphuhla N., Bayo Lewu F., Oyehan Oyedeji O. Accumulation of heavy metal concentration and physicochemical parameters in soil from Alice Landll site in Eastern Cape. S. Afr. 2021 doi: 10.21203/rs.3.rs-621824/v1. [DOI] [Google Scholar]
- 19.Agbeshie A.A., Adjei R., Anokye J., Banunle A. Municipal waste dumpsite: impact on soil properties and heavy metal concentrations, Sunyani, Ghana. Sci. Afr. 2020;8 doi: 10.1016/j.sciaf.2020.e00390. Jul. [DOI] [Google Scholar]
- 20.Mönkäre T.J., Palmroth M.R.T., Rintala J.A. Characterization of fine fraction mined from two Finnish landfills. Waste Manag. Jan. 2016;47:34–39. doi: 10.1016/j.wasman.2015.02.034. [DOI] [PubMed] [Google Scholar]
- 21.G. Statistical Service Accra . 2015. Ghana Demographic and Health Survey 2014.www.DHSprogram.com [Online]. Available: [Google Scholar]
- 22.Quaghebeur M., et al. Characterization of landfilled materials: screening of the enhanced landfill mining potential. J. Clean. Prod. Sep. 2013;55:72–83. doi: 10.1016/j.jclepro.2012.06.012. [DOI] [Google Scholar]
- 23.Singh A., Chandel M.K. Effect of ageing on waste characteristics excavated from an Indian dumpsite and its potential valorisation. Process Saf. Environ. Protect. Feb. 2020;134:24–35. doi: 10.1016/j.psep.2019.11.025. [DOI] [Google Scholar]
- 24.Gutberlet J., Uddin S.M.N. Household waste and health risks affecting waste pickers and the environment in low- and middle-income countries. Int. J. Occup. Environ. Health. Oct. 2017;23(4):299–310. doi: 10.1080/10773525.2018.1484996. [DOI] [PMC free article] [PubMed] [Google Scholar]
- 25.Burlakovs J., et al. Paradigms on landfill mining: from dump site scavenging to ecosystem services revitalization. Resour. Conserv. Recycl. 2017;123:73–84. doi: 10.1016/j.resconrec.2016.07.007. [DOI] [Google Scholar]
- 26.Akintola O.O., Adeyemi G.O., Bodede A.I., Adekoya O., Babatunde K.O. Hydrochemical assessment of groundwater around lapite dumpsite for irrigation water quality in Ibadan, Southwestern Nigeria. J. Bioresour. Manag. May 2021;8(2):98–108. doi: 10.35691/JBM.1202.0184. [DOI] [Google Scholar]
Associated Data
This section collects any data citations, data availability statements, or supplementary materials included in this article.
Data Availability Statement
Data will be made available on request.





















