Abstract
Background
Glutathione S-transferases (GSTs) are large and multifunctional proteases that play an important role in detoxification, protection against biotic and abiotic stresses, and secondary metabolite transportation which is essential for plant growth and development. However, there is limited research on the identification and function of NtGSTs.
Results
This study uses K326 and other six tobacco varieties (Hongda, HG, GDH11, Va116, VG, and GDH88) as materials to conduct comprehensive genome-wide identification and functional characterization of the GST gene in tobacco. A total of 59 NtGSTs were identified and classified into seven subfamilies via the whole-genome sequence analysis, with the Tau type serving as the major subfamily. The NtGSTs in the same branch of the evolutionary tree had similar exon/intron structure and motif constitution. There were more than 42 collinear blocks between tobacco and pepper, tomato, and potato, indicating high homology conservation between them. Twelve segmental duplicated gene pairs and one tandem duplication may have had a substantial impact on the evolution and expansion of the tobacco GST gene family. The RT-qPCR results showed that the expression patterns of NtGSTs varied significantly among tissues, varieties, and multiple abiotic stresses, suggesting that NtGST genes may widely respond to various abiotic stresses and hormones in tobacco, including NtGSTF4, NtGSTL1, NtGSTZ1, and NtGSTU40.
Conclusions
This study provides a comprehensive analysis of the NtGST gene family, including structures and functions. Many NtGSTs play a critical regulatory role in tobacco growth and development, and responses to abiotic stresses. These findings offer novel and valuable insights for understanding the biological function of NtGSTs and the reference materials for cultivating highly resistant varieties and enhancing the yield and quality of crops.
Supplementary Information
The online version contains supplementary material available at 10.1186/s12864-023-09450-x.
Keywords: Nicotiana tabacum L., GST family, Characterization, Expression pattern, Abiotic stress
Background
Plant secondary metabolites are a class of non-essential small-molecule organic compounds produced by secondary metabolic processes. Despite not being directly involved in the growth and development of plants, they are crucial for ecological adaptation [1]. Studies have shown that plant glutathione S-transferases (GSTs) are crucial for secondary metabolism and responding to various biotic and abiotic stresses [2, 3]. In both eukaryotes and prokaryotes, GSTs (EC2.5.1.18) are a superfamily of dimeric proteases with multiple biological functions [3, 4]. Up to 90 genes in plants encode GSTs, which is mainly distributed in the cytoplasm, with a few in the chloroplasts and the nucleus [5], and plays an important role in plant detoxification [6]. It catalyzes the covalent binding of reduced glutathione (GSH) with hydrophobic and electrophilic substrates to form conjugates that are isolated in vacuoles or transferred to the apoplast, thereby degrading both endogenous and exogenous harmful substances[2]. Simultaneously, in many plants, GSTs serve as a non-enzymatic catalytic carrier, allowing anthocyanins to combine with GSH and selectively transfer anthocyanins to vacuoles by ABC transporters [7–9].
Each subunit of glutathione transferase contains two N-terminal and C-terminal domains with different spatial structures [10]. The N-terminal consists of a β-sheet and an α-helix and is more conserved, whereas the latter consists of 4–7 α-helices, connected to the N-terminal domain by a short sequence of about ten amino acids [11]. The major differences in the structure and sequence of different GST genes are reflected in the N-terminal and C-terminal domains, which determine the substrate specificity [12]. In higher plants, based on the sequence characteristics of GST genes, they can be classified into eight typical subfamilies, including Tau (U), Phi (F), Lambda (L), Zeta (Z), Theta (T), elongation factor 1 gamma (EF1Bγ), dehydroascorbate reductase (DHAR), and tetrachlorohydroquinone dehalogenase (TCHQD) [13, 14]. However, in some species, GSTs can be classified into 14 categories, where the remaining six include metaxin, Ure2p, microsomal prostaglandin E synthase type 2 (PGES2), hemerythrin, iota, and glutamate hydroxyquinone reductases (GHR) [15, 16]. The discovery and characterization of GST gene families have become increasingly precise in recent years due to species genome sequencing. Additionally, there are significant differences in the number and classification of GST genes among different species. According to existing reports, there are 79 GSTs in rice [17], 55 GSTs in Arabidopsis [18], 40 in radish [19], 22 in Salix [20], 73 in Medicago [21], and 38 in apple [22].
The ability of plants to adapt to adversity can be improved by the GST genes. The function of the GST gene family has been isolated and identified in many species, including Arabidopsis [23], cotton [24], Chinese cabbage [25], etc. According to studies, GSTs enhance plant resistance to salt stress by elevating antioxidant enzyme activity, increasing chlorophyll content, reducing reactive oxygen species accumulation [26], and decreasing cell membrane damage [27]. Plant GST genes are crucial for maintaining the balance between cell turgor and reactive oxygen species [28], reducing oxidative damage caused by drought, and enhancing plant tolerance to drought stress [29, 30]. In response to low-temperature stress, GSTs can catalyze the reaction of GSH with membrane lipid peroxides, reducing the damage that low-temperature stress causes to the cell membrane structure [7, 31]. The GST genes also involving the pathogen resistance [32], and it has found that the interaction between TaGSTU6 and TaCBSX3 may positively enhance wheat resistance to powdery mildew [33]. Furthermore, GSTs are crucial in heavy metal stress [34, 35], herbicide detoxification [36], high temperature [37], light [38], and hormonal response [39].
Tobacco is a model plant for studying various biological phenomena and is an important leaf cash crop [40, 41]. For analyzing the expression pattern of the tobacco GST genes, many studies have focused on the cloning and validation of a single gene [42, 43]. However, there is no relevant report on the identification, characterization, and expression pattern analysis of the tobacco GST gene family. In this study, a comprehensive identification and analysis of the tobacco GST gene family have been conducted, including subfamily classification, gene naming, gene structure and motif, distribution on chromosomes, sequence comparison, phylogenetic tree, and the expression profile of NtGSTs under different stresses have been analyzed. This can provide evidence for analyzing the role of the NtGSTs and cultivating novel resistant tobacco varieties. At the same time, it is crucial to predict the function of the GST genes in other crops and improve the quality traits and stress resistance of crops.
Results
Identification and phylogenetic analysis of members of the NtGSTs gene family
In this study, 59 NtGSTs in seven subfamilies were identified in the genome of tobacco K326 and were named according to their location and order on chromosomes. Simultaneously, the physical and chemical properties and basic characteristics of these 59 genes were analyzed. Table S1 provides basic information on the length of the amino acid, isoelectric point (pI), protein molecular weight (Mw), and predicted subcellular location (Supplementary file 1). These NtGST proteins varied substantially in their amino acid composition, ranging from 61 to 512. Among them, NtGSTZ2 was the smallest protein, encoding 61 amino acids, and NtGSTL1 was the largest protein, encoding 512 amino acids. Mw varied significantly among different genes, with the mean Mw of 28264.41 KDa, the lowest Mw of 6909.98 KDa (NtGSTU39), and the highest Mw of 59313.6 KDa (NtGSTU1). The isoelectric point (pI) varied significantly among the same subfamilies, ranging from 4.63 (NtGSTL3) to 9.44 (NtGSTL2). Subcellular localization predictions found that there were 43 NtGST proteins located in the cytoplasm, with six NtGST located in the chloroplast, six in the nucleus, two (NtGSTL2 and NtGSTZ3) in the chloroplast thylakoid membrane, one (NtDHAR2) in the mitochondrion, and one (NtGSTZ4) in the organelle membrane.
To investigate the phylogenetic relationship of tobacco GST proteins, we constructed an evolutionary tree of 59 tobacco and 56 Arabidopsis GST proteins using the maximum likelihood method (Fig. 1). All identified NtGSTs were divided into seven subfamilies, including Tau subfamily (U), Zeta subfamily (Z), Lambda subfamily (L), Theta subfamily (T), Dehydroascorbate reductase subfamily (DHAR), Tetrachlorohydroquinone dehalogenase-like subfamily (TCHQD), and Phi subfamily (F). Among them, the Tau subfamily was the largest group, representing 67.8% of the number of all NtGST proteins (NtGSTU1–40). Moreover, five proteins (NtGSTF1–5) were classified as Phi subfamily, three proteins (NtGSTL1–3) as Lambda subfamily, four proteins (NtGSTZ1–4) as Zeta subfamily, two proteins (NtGSTT1–2) as Lambda subfamily, three proteins (NtDHAR1–3) as DHAR subfamily, and two proteins (NtTCHQD1–2) as TCHQD subfamily. The phylogenetic relationship showed that the tobacco NtGST proteins had high homology with Arabidopsis AtGST proteins, suggesting that the evolution of GST genes between the two species was conservative and may have the same biological functions.
Fig. 1.
Unrooted phylogenetic tree representing the relationships among 59 NtGSTs in tobacco and 56 AtGSTs in Arabidopsis. The genes in tobacco are marked with a dot, while those in Arabidopsis are marked with a triangle. The different color blocks represent different subfamilies
Gene structure and motif composition of the NtGST proteins
A total of 10 conserved motifs were identified in the NtGSTs and named motif 1 to motif 10 to better understand tobacco NtGST proteins’ function. The findings suggested that those genes in the same branch of the phylogenetic tree contained similar motifs, suggesting that these genes might perform similar biological functions. Except for a few genes, the remaining NtGSTs contained conserved motif 3. Most genes also contained motif 2, suggesting that these motifs can be used as markers to recognize NtGSTs (Fig. 2A, 2B). Among the tobacco NtGST proteins, the Tau subfamily covers most motif types. The motifs annotation results showed that motifs 1, 3, and 5 were annotated as the GST-N domain, and motifs 2, 4, and 6 were annotated as the GST-C domain. After the conserved domain prediction and analysis of 59 tobacco NtGST proteins, all proteins were found to contain both GST-N and GST-C domains (Fig. 2C).
Fig. 2.
Phylogenetic, gene structure, and motif analyses of the NtGST genes. (A) The phylogenetic analysis of NtGST family genes in tobacco. (B) Amino acid motifs in the NtGST proteins (1–10) are represented by coloured boxes. Black lines indicate relative protein lengths. (C) Conserved domains of the NtGST genes. (D) Exons and introns are indicated by yellow rectangles, and black lines, respectively
The genomic sequences of tobacco NtGST proteins were examined to determine the number and structural information of their introns and exons. The findings revealed that all the NtGST proteins contained introns except for the NtGSTU2, and the numbers ranged from 1 to 12. About 57.6% of the NtGSTs contained only one intron (Fig. 2D, Table S1). Furthermore, the number and structure of introns/exons with similar evolutionary degrees were also similar. There were many introns and exons in the Zeta subfamily, Lambda subfamily, and DHAR subfamily, among which the Zeta subfamily had the largest number, with an average of 10 exons and nine introns, and NtGSTZ4 had 12 introns. In the Tau subfamily, most tobacco NtGST proteins, except for some genes, contained two exons and one intron. Furthermore, 32 NtGST proteins (54.2%) had untranslated region (UTR).
Distribution of chromosomes and duplication events analysis of the NtGST proteins
Based on the genomic information of tobacco K326, chromosome localization analysis of tobacco GST protein was performed to further understand its distribution on the chromosome. The findings suggested that 59 NtGST proteins were localized on 21 chromosomes, and the number of proteins on each chromosome was significantly different (Fig. 3A). Most of the NtGST proteins (13, 22.0%) were distributed on chromosome 2, followed by distribution on chromosome 24 (5 NtGST proteins). There were four NtGST proteins distributed on chromosomes 7, 10, 19, and 20, respectively, three NtGST proteins on chromosomes 1, 4, and 8, and two NtGST proteins on chromosomes 13, 15, 17, and 21. Moreover, one NtGST protein was distributed on chromosomes 3, 5, 9, 12, 14, 16, 22, and 23, respectively. However, no protein was distributed on chromosomes 6, 11, and 18. During the evolution of species, gene duplication or loss might lead to the absence of NtGST proteins on some chromosomes. Furthermore, it was found that the distribution of NtGST proteins on chromosomes was not directly associated with chromosome length, size, etc.
Fig. 3.
Distribution on chromosomes and duplication events analysis. A Schematic representations of the chromosomal distribution of the NtGSTs. The blue vertical bars represent the tobacco chromosomes, Chromosome number is indicated to the left of each chromosome (black), and gene number is indicated to the right of each chromosome (red). B Schematic representations of the interchromosomal relationships of the NtGSTs. The grey lines represent all colinear blocks in the tobacco genome, and red lines represent duplicated GST gene pairs
Segmental duplication often occurs during chromosome rearrangement, resulting in a large number of duplicated chromosome blocks in the genome. However, multiple members of adjacent homologous gene families amassed on one chromosome results in tandem duplication [44]. Tandem and segmental gene duplication can generate a large number of gene families and promote their amplification, which is critical for species genome evolution [45]. The duplication events of NtGST proteins at the genome-wide level were investigated to reveal the amplification mechanism of the tobacco GST gene family. The results revealed that twelve pairs of segmental duplicated genes and one pair of tandem duplication were unevenly distributed on 21 chromosomes and were connected by red curves (Fig. 3B; Supplementary file 2, Table S2), suggesting that the amplification of the tobacco GST gene family was associated with gene duplication events, and the segment duplication was the primary driving force for the generation of new members of the NtGST gene family.
Collinearity analysis of the NtGST proteins in tobacco
According to the evolutionary relationship and motif composition of GST proteins in different plants, one dicotyledonous plant (Arabidopsis thaliana), two monocotyledonous plants (Oryza sativa and Triticum aestivum), and three Solanaceae plants (Capsicum annuum, Lycopersicon esculentum, and Solanum tuberosum) were selected for collinearity analysis to investigate the collinearity relationship between GST gene members and NtGSTs in different species and their evolutionary origins. The findings revealed that 47 NtGSTs displayed a collinearity relationship across the six species, indicating that during the process of evolution, tobacco GSTs were highly conserved on the corresponding chromosomes. A total of 15, 4, 4, 42, 47, and 49 collinear blocks of NtGST genes were identified in Arabidopsis thaliana, Oryza sativa, Triticum aestivum, Capsicum annuum, Lycopersicon esculentum, and Solanum tuberosum, respectively (Supplementary file 3, Table S3). Based on these collinearity results, six collinear maps were drawn, representing homologous gene pairs in tobacco and other species connected by blue lines (Fig. 4). The results revealed that there were only a few collinear gene pairs between tobacco and monocotyledonous plants (Oryza sativa and Triticum aestivum), indicating that most GST genes were formed after the differentiation of dicotyledonous and monocotyledonous plants. However, there were more than 42 collinear blocks between tobacco and Capsicum annuum, Lycopersicon esculentum, and Solanum tuberosum, showing a high homology of the GST genes at the same family level.
Fig. 4.
Collinearity analysis of GST genes between Nicotiana tabacum (tobacco) and six other species. A, B, C, D, E, and F are collinearity comparisons with Arabidopsis thaliana (arabidopsis), Oryza sativa (rice), Triticum aestivum (wheat), Capsicum annuum (pepper), Lycopersicon esculentum (tomato), and Solanum tuberosum (potato), respectively. The gray lines in the background represent the collinearity block in the genome of tobacco and other plants, while the blue lines highlight the collinearity GST gene pairs
Prediction of cis-acting element analysis of tobacco NtGST proteins
The cis-acting elements include promoters, enhancers, regulatory sequences, and inducible elements, which primarily regulate target gene expression. The promoter sequence 2000 bp upstream of the transcription start site was selected and the cis-regulatory elements of 59 NtGST proteins were analyzed using the plant CARE website. The prediction revealed that these cis- acting elements primarily included hormone-related response elements such as auxin, abscisic acid (ABA), salicylic acid (SA), methyl jasmonate (MeJA), and gibberellin acid (GA), stress-related response elements such as light, dehydration, low-temp, and salt stresses, and wound-responsive elements (Fig. 5, Supplementary file 4, Table S4). Furthermore, these cis-acting elements were also found to contain elements related to the cell cycle, meristem expression, endosperm development, and circadian response. These findings indicated that NtGSTs could be crucial for response to hormones, stress conditions, plant growth and development, and wound induction.
Fig. 5.
The cis-acting element analysis of 2000-bp sequences upstream of NtGST genes
Transcriptome expression profile of NtGST proteins in different materials and tissues
To further verify the function of tobacco GST protein, we selected 6 genes with relatively highest or lowest expression levels on different chromosomes and in different subfamilies from 59 NtGSTs, and analyzed their transcriptome expression profiles in different tissues (roots, stalks, leaves) and different materials (Hongda, HG, GDH11, Va116, VG, and GDH88). The results showed that the expression patterns of six NtGSTs in the same tissue were significantly different, indicating that NtGSTs served different physiological functions in tobacco (Figs. 6A, B, and C). In other words, except NtGSTL1, the other five genes were expressed in three tissues, with significant expression in roots, followed by stems, and finally in leaves. NtDHAR3 showed a high expression level in the root of GDH88. The expression pattern of NtGSTZ1 in tobacco plants revealed that the root had higher expression than the leaf, with the stem having the lowest expression. NtGSTF4, NtGSTT2, and NtGSTU40 had the highest expression levels in the three tissues, especially NtGSTU40, which had a certain tissue expression tendency to roots. At the same time, the expression pattern of the same gene in different materials was relatively consistent, indicating that these genes were highly conservative. Most NtGSTs were negatively correlated in the three tissues; for example, the expression level of NtDHAR3 was negatively correlated with NtGSTZ1, NtGSTF4, NtGSTT2, and NtGSTU40 (Fig. 6D). Furthermore, some genes were positively correlated in the three tissues, such as NtGSTU40, which showed a positive correlation with NtGSTZ1 and NtGSTT2.
Fig. 6.
Transcriptome expression profile of NtGST genes in different materials and tissues. The data is expressed in FPKM values using transcriptome sequencing. The abscissa represents the material name (Hongda, HG, GDH11, Va116, VG, and GDH88, respectively). The ordinate represents gene name (NtDHAR3, NtGSTF4, NtGSTL1, NtGSTT2, NtGSTU40, and NtGSTZ1, respectively). The (A), (B), and (C) are the expression profiles of six NtGST genes in the leaves, stalks, and roots, respectively. (D) Positive number: positively correlated; negative number: negatively correlated
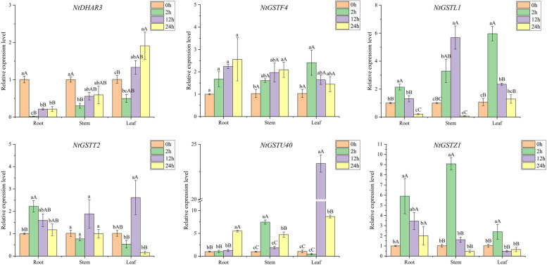
Expression pattern analysis of NtGST genes in response to temperature
Previous cis-acting element prediction results showed that NtGSTs had a certain response effect on temperature. To study the expression patterns of these genes in response to temperature stress, tobacco plants were treated with low (4 °C) and high temperatures (38 °C), and the expression level of six NtGSTs was measured using qRT-PCR. The results revealed that different NtGSTs expression patterns varied in high and low temperatures, as well as in roots, stalks, and leaves. Under low-temperature treatment, the expression pattern of NtGSTL1, NtGSTT2, and NtGSTZ1 was relatively consistent, whether in the root, stalks, or leaf and indicated stimulated expression in the early stress response stage. Moreover, the expression level was first increased and then decreased (Fig. 7). While NtGSTF4 expression was consistently induced in the root and stem, the expression level in the leaves was first increased and then decreased. NtGSTU40 was highly expressed in the leaves after 12 h of treatment, more than 20 times higher than in the control group. Also, at high-temperature treatment, different NtGSTs showed different response capacities (Fig. 8). In general, most genes, including NtDHAR3, NtGSTF4, NtGSTL1, and NtGSTZ1, responded significantly in the later stage of stress. However, the expression of NtDHAR3 was inhibited in the early stage. In all three tissues, NtGSTT2 and NtGSTU40 were first increased and then decreased, and these two genes were induced in the roots and leaves at 12 h after treatment. These findings indicated that NtGSTs have a certain response to temperature stress and could, under necessary conditions, enhance the plant’s defense against extreme temperature.
Fig. 7.
Gene expression pattern of six NtGST genes in response to low temperature (4 °C) in roots, stalks, and leaves. Error bars represent significant differences among the three replicates. Significant differences in the gene expression level at P < 0.05 and P < 0.01 were determined using Duncan’s new multiple-range tests. The lowercase alphabets represent a significant difference (P < 0.05), while the uppercase alphabets represent a highly significant difference (P < 0.01). Similarly hereinafter
Fig. 8.
Gene expression pattern of six NtGST genes in response to high temperature (38 °C) in roots, stalks, and leaves
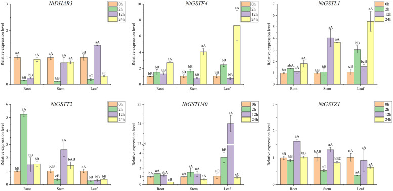
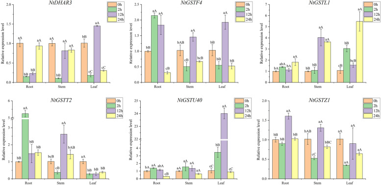
Expression pattern analysis of NtGST genes in response to salt and drought
Drought is the primary environmental stress factor that restricts plant growth and causes crop yield reduction. In arid and semi-arid areas, drought generally occurs simultaneously with soil salinization, significantly impacting plants [46]. To study the response of NtGSTs to drought and salt stress, the expression of six NtGSTs was measured, and the expression pattern was analyzed. The results revealed that each gene had significant differences in response to salt and drought in different tissues, and the time of stress response varied as well. Under salt stress, the expression patterns of NtGSTU40 and NtGSTZ1 were relatively similar, being highly induced in all three tissues at 24 h after the treatment, with the highest expression in the stalk, more than 100 times that in the control group, followed by leaves, and then the root (Fig. 9). However, with the delay in treatment time, the expression level of NtGSTU40 increased continuously, while NtGSTZ1 decreased first and then increased. NtGSTF4, NtGSTL1, and NtGSTT2 showed a trend of increasing first and then decreasing in leaves, with the highest expression at 12 h after the treatment. However, the expression level of NtDHAR3 was inhibited in the roots, stems, and leaves. Under drought stress, most genes responded in the early, and middle stages of stress in the three tissues, including NtGSTF4, NtGSTT2, NtGSTU40, and NtGSTZ1, whose expression levels were increased first and then decreased (Fig. 10). NtGSTU40 demonstrated a more than 20-fold increase in expression in leaves 12 h after treatment compared to the control group. However, NtDHAR3 showed a trend of first decreasing and then increasing, and the maximum expression was only 1.4 times that of the control, which showed inhibition in the three tissues. In general, NtGSTs have a certain response to salt and drought, and different genes have different response effects. These genes could enhance the defense ability of tobacco plants against salt and drought to some extent.
Fig. 9.
Gene expression pattern of six NtGST genes in response to salt in roots, stalks, and leaves
Fig. 10.
Gene expression pattern of six NtGST genes in response to drought in roots, stalks, and leaves
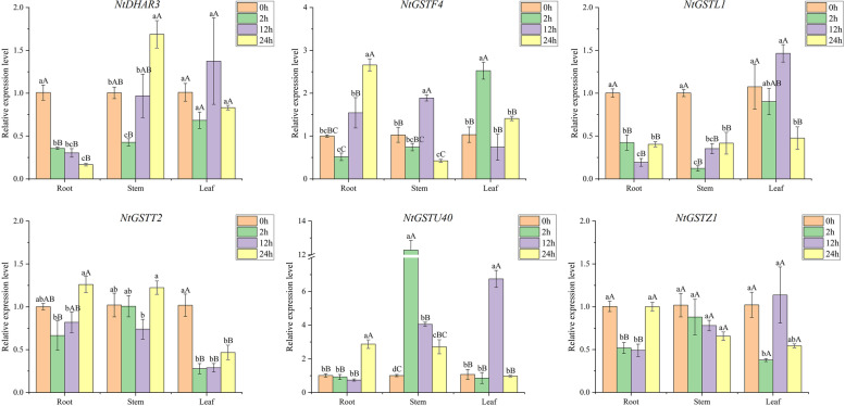
Expression pattern analysis of NtGST genes in response to hormones
Hormones can jointly participate and regulate plant growth and development and improve their adaptability to the environment. The promoter sequence of NtGSTs was found to contain many hormone-related response elements, such as auxin, abscisic acid, salicylic acid, and methyl jasmonate (Fig. 5). To investigate the expression pattern of NtGSTs after hormone treatment, tobacco seedlings were treated with indole-3-acetic acid (IAA) and salicylic acid. The results demonstrated that the expression of NtGSTs was induced by hormones and SA, with significant induction by SA. Most genes responded to hormone stress mainly at 2 h and 12 h after treatment. Under IAA treatment, the induced expression of NtGSTs included up-regulation and down-regulation, and the expression levels of different genes differed (Fig. 11). The maximum expression time of different genes in root, stem, and leaf tissues also differed; for example, NtGSTF4 was expressed after 24 h, 12 h, and 2 h of treatment, respectively. Under SA stress, NtDHAR3, NtGSTF4, NtGSTU40, and NtGSTZ1 expressions were significantly induced, and most of them showed a trend of first decreasing and then increasing (Fig. 12). NtGSTs often respond to hormones differently, which reflects their ability to regulate plant growth and development.
Fig. 11.
Gene expression pattern of six NtGST genes in response to IAA in roots, stalks and leaves
Fig. 12.
Gene expression pattern of six NtGST genes in response to SA in roots, stalks and leaves
Discussion
Plant GSTs are a large, ancient and multifunctional gene family. In addition to being crucial for secondary metabolism and multi-drug detoxification, it is critical in responding to biotic and abiotic stresses [19, 47, 48]. The GST family genes have been identified and studied in various plants due to their special and abundant functions, and the number of GST identified in different plants varies greatly. However, the tobacco GST genes research is mostly focused on verifying the role of a single gene because its genetic transformation is easy. Therefore, we conducted systematic studies on the tobacco GST gene family.
Based on tobacco genome sequence and RNA seq data, 59 NtGSTs were found. Comparing the number of GST genes in different plants, the evolution of NtGSTs can be analyzed. Fifty-five AtGST genes were identified in Arabidopsis thaliana [18], 79 OsGSTs in Oryza sativa [49], 90 SlGSTs in Lycopersicon esculentum [48], 85 CaGSTs in Capsicum annuum [37], 90 StGSTs in Solanum tuberosum [50], and 346 TaGSTs in Triticum aestivum [51]. The genome size of these plant species (Nicotiana tabacum, Arabidopsis thaliana, Oryza sativa, Lycopersicon esculentum, Capsicum annuum, Solanum tuberosum, and Triticum aestivum) was 4.5 Gb [52], 117 Mb [52], 466 Mb [53], 900 Mb [54], 3.5-Gb [55], 1.67 Gb [56], and 16 Gb [57], respectively. We speculated that there may be a relationship between the size of the species genome and the number of GST genes. For instance, Arabidopsis has the smallest genome and the fewest GST, whereas wheat has the largest genome and the most GST genes. In Arabidopsis, the GST genes were classified into seven subfamilies. However, compared with the plants belonging to the Solanaceae (potato, ten subfamilies; tomato, ten subfamilies; pepper, ten subfamilies), none of the genes belonged to the subfamilies of EF1Bɣ1, GHR, MGST, and others. This may be due to the loss of the NtGSTs in the evolutionary process or differentiation into other subfamily members. A total of 40 NtGSTs in tobacco come from Tau (U) subfamily, and Tau subfamily members are the most common in other plants, with the largest number, indicating that NtGSTs conforms to the distribution characteristics of GST gene subfamilies in plants.
The 59 NtGSTs were distributed on twenty-one chromosomes, and no NtGST was found on the other three chromosomes, suggesting an important role of of gene family expansion. During species evolution, gene duplication events can result in the expansion of a gene family, including tandem duplication, segmental duplication, transposition events, and genome-wide duplication [45, 56]. In most polyploid plants, segmental duplication occurs frequently [37]. In this study, twelve pairs of segmental duplicated genes and one pair of tandem duplication were found to be unevenly distributed on 21 chromosomes in the NtGST family. The findings indicated that these gene replication events were crucial in the evolution of the tobacco GST gene family, with the segment duplication event playing a leading role. We hypothesized that this might be because tobacco is allotetraploid, and the results of gene replication events are consistent with those in pepper and wheat [37, 58]. The NtGSTs were primarily distributed in the U-type and F-type subfamilies. Hence it can also be speculated that the expansion of the GST family of tobacco is mainly due to the duplication events of these two families, which is also consistent with that of cotton [24]. Genes with replication events are often accompanied by the loss or addition of functions, the latter may be the result of the two genes showing different functions in the duplicated gene pair, and gene expression patterns often reflect their biological functions [54].
In this study, ten motifs in 59 NtGSTs were found, and genes in the same branch of the evolutionary tree contained similar motif constitutions, indicating that they may perform similar functions in plants. According to gene function studies, GST family members can participate in various biotic and abiotic stresses, including mechanical damage, heavy metals, drought, temperature, and phytohormones [18, 37]. Cis-acting elements are crucial in regulating plant adaptation to stress, growth, and development by participating in the expression of target genes [59]. Through the analysis of upstream cis-acting elements, it was found that the members of the tobacco GST gene family contain various environmental stress response elements, including hormones, stress, MYB binding site, circadian rhythm, and injury induction. This result was consistent with the promoter analysis results of gene families such as SlGSTs and AtGSTs, indicating that these response elements directly determine the transcriptional expression level and response-ability of GST family genes under stress[48].
Analysis of gene expression patterns can reveal crucial information about the physiological function of genes. Most of the tobacco GST gene family members were found to be expressed normally in different cultivars, and only individual genes, such as NtGSTU40 in the stack of Va116 and NtDHAR3 in the root of GDH88, displayed specific expression. Simultaneously, we found that the expression of NtGSTs have tissue specificity. Tobacco roots had a higher expression level than stalks, followed by leaves. These results were consistent with those of soybeans [60] and peppers [37], indicating that NtGSTs are crucial in the growth and development of tobacco. This may be because the root is the key organ for the absorption and transportation of water and mineral nutrients in plants and also the most important organ for recognizing and feeling injuries, which can quickly respond to stress [61, 62]. Moreover, this result also reflects the possible functions of the GST gene family.
Several studies have shown that GSTs play multiple functions in many aspects of growth and development in plants. Yang et al. demonstrated that the JrGSTU1 gene in walnut (Juglans regia L.) could enhance the GST activity to regulate the expression of other stress- related genes and thus reduce the levels of reactive oxygen species [7]. To evaluate the potential biological function of the NtGST genes and their ability to respond to stress, we examined the expression patterns of six NtGSTs in response to six stresses. The results showed that the expression patterns of different genes varied under different stresses, which were consistent with previous studies[24, 50]. For example, NtGSTF4 expression was up-regulated in the roots, stems, and leaves under cold stress, while NtGSTL1 and NtGSTZ1 were first increased and then decreased. Furthermore, the response times of the same gene to low and high temperatures differed. For example, NtGSTZ1 responded to low temperature at 2 h after treatment, while its maximum response to high temperature was at 12 h after treatment. Interestingly, NtGSTU40 exhibited the maximum expression level in the leaves under low- or high-temperature stresses, and the highest stress response occurred at 12 h after treatment. These results indicated that the NtGSTs might be involved in a complex cross-regulatory network in plants.
Salt and drought, the two primary abiotic stresses, have serious impacts on plant growth and crop yield [46]. Under salt stress, many genes showed strong stress responses, including NtGSTF4, NtGSTT2, NtGSTL1, NtGSTU40, and NtGSTZ14, exhibiting an overall upward trend. Previous studies have shown that the heterologous expression of the lambda subfamily, VvGSTF13 or JrGSTT1, in tobacco enhanced the tolerance to salinity and drought stresses[63–65]. This finding was consistent with our results. Although Moons et al. [66] claimed that genes in the DHAR subfamily were significantly up-regulated under drought stress, NtDHAR3 showed a down-regulated expression pattern under salt and drought stresses, indicating that the expression pattern of GST family genes would also vary by species. Under the treatment of hormones (IAA and SA), NtGSTU40 was significantly expressed, which was consistent with the expression of TaGSTU62 and OsGSTU4 in rice [67]. Therefore, we hypothesized that the NtGSTs might function similarly to other plant GST genes.
In this study, a comprehensive and systematic identification and analysis of the NtGSTs was conducted to provide a reference for studying the GST gene function in plants. The potential role of NtGSTs in plant resistance to stress was verified using RT-qPCR analysis. However, the mechanism of action of NtGSTs in response to stress requires further investigation for better application to the cultivation of highly resistant cultivars and thus improve crop yield and quality.
Conclusions
In summary, a comprehensive characterization and analysis of the NtGSTs at the genome level were performed in this study. A total of 59 NtGSTs were identified and categorized into seven subfamilies, and information on physicochemical properties and subcellular localization for these genes was provided. The NtGSTs in the same branch of the evolutionary tree have similar exon/intron structures and motif constitutions. And the 59 NtGSTs were unevenly distributed on 21 chromosomes. The analysis of their collinearity with the GST gene in other plants provided an important reference for studying the evolutionary characteristics of NtGSTs. Furthermore, twelve pairs of segmental duplicated genes and one pair of tandem duplication were unevenly distributed on 21 chromosomes, suggesting that gene duplication events are crucial in the evolution and expansion of the tobacco GST gene family. The expression of NtGSTs in different tissues and varieties and the response to multiple stresses and hormone treatment indicated that NtGSTs play a critical regulatory role in tobacco growth and development. These results provide novel and valuable insights for studying the biological function of NtGSTs.
Materials and methods
Plant materials: planting, treating and sampling
In this experiment, seven tobacco varieties, including K326, Hongda, HG, GDH11, Va116, VG, and GDH88, were selected to determine the function of NtGSTs. The K326 was used for different stress treatments, and the remaining six varieties were used to analyze the expression pattern of NtGSTs in different tissues and stages. All materials were provided by Key Laboratory for Tobacco Quality Research Guizhou Province and cultivated in the plant culture laboratory. The collection of plant material, experimental research, and field studies on plants were complied with relevant institutional, national, and international guidelines and legislation. Using floating dish breeding, sowing and seedling raising were performed under environmental conditions, including 75% relative humidity, 16 h/28 °C during the day, and 8 h/20 °C at night. On the 75th day of transplantation, three consistently growing plants in each replicate were sampled from three tissues (roots, stalks, and leaves), and three biological replicates were set.
Based on the chromosome location information of 59 NtGSTs, combined with the results of their transcriptome analysis in roots, stems and leaves, we focused on exploring the potential biological functions under abiotic stress of six genes with relatively highest or lowest expression levels in different subfamilies located on different chromosomes. When the tobacco plants grew to the sixth real leaf, the same growing plants were selected and treated with high temperature (38 °C), low temperature (4 °C), salt (5% NaCl), drought (15% PEG6000), and hormone (100 µmol/L IAA and SA). Three biological replicates were set for each treatment, and samples were taken at 0 h, 2 h, 12 h, and 24 h after treatment. The collected samples were immediately frozen in liquid nitrogen and stored in a hypothermia refrigerator at -80 °C for real-time fluorescence quantitative PCR (RT-qPCR) experiments.
Identification of the GST genes of Tobacco
The genome sequence was obtained from the tobacco genome project website (https://solgenomics.net/organism/Nicotiana_tabacum/genome), and the hidden Markov model (HMM) profile of the GST domains (PF00043 and PF02798) was obtained from the Pfam protein family database (http://pfam.sanger.ac.uk/). The NtGSTs were searched in the tobacco genome database using the HMMER3.0 software with the default parameters (the cutoff value of 0.01). Meanwhile, using the sequence information in PF00043 and PF02798 files as templates, BLASTP software was used to compare the entire tobacco genome and screen out proteins containing these two sequence information. The results of BLASTP and HMMER 3.0 were integrated and analyzed. Pfam and SMART programs were used to detect candidate genes that may contain GST domains obtained from the BLASTP and HMMER 3.0 analysis results. Each potential gene was then manually examined to ensure predicted conserved sequences in the N and C terminal regions of the GST domain. A total of 59 NtGSTs were identified from the tobacco genome via testing and screening. The molecular weight (MW) and isoelectric points (pl) of the NtGST family members were predicted and analyzed using the online analysis software ExPASy (http:/www.expasy.org/tools/), and BUSCA (http://busca.biocomp.unibo.it/) was used for subcellular localization prediction.
Phylogenetic analysis and gene structure
A multiple sequence alignment of the obtained GST protein sequences and the previously reported Arabidopsis thaliana sequences was performed using the ClustalW default parameters. Subsequently, the amino acid sequence of the deduced GST domain was adjusted using GeneDoc software. To determine the exon–intron structure of the NtGSTs, the predicted coding sequence was compared with the corresponding full-length sequence using Gene Structure Display Server (GSDS: http://gsds.cbi.pku.edu.cn) [68]. The online software MEME (http://meme-suite.org/tools/meme) was used for the conserved domain analysis with the number of motifs set to 10 and the motif width range set to 50–100 amino acids [69].
Chromosomal mapping, gene replication, and syntenic analysis with other plant species
Based on the tobacco annotation data obtained from the Solanaceae database, the data of starting position of the GST genes on the chromosome was obtained. The gene homologous duplication events were then obtained according to the alignment between the pairwise genes. Finally, the chromosomal mapping and alignment results were visually analyzed using online bioinformatics tools. A multiple collinear scanning tool, MCScanX, was used to analyze the gene duplication events [70]. The GST collinear analysis atlas was constructed using the Dual Systeny Plotter software, and the GST collinear relationship of tobacco with Arabidopsis thaliana, Oryza sativa, Triticum aestivum, Capsicum annuum, Lycopersicon esculentum, and Solanum tuberosum was determined, respectively.
The cis-acting element analysis
A total of 2000 bp gene sequences upstream of the NtGSTs were obtained from the Solanaceae database. These sequences with cis-acting elements were analyzed using the PlantCare online software and visualized using the bioinformatics software.
Transcriptome sequencing analysis
The Hongda, HG, GDH11, Va116, VG, and GDH88 were used for transcriptome sequencing analysis. The transcriptome data used in this study is derived from the previous experimental data of our research group. The samples were root, stalks and leaf tissues, and the sampling stage was one week after topping. The sequencing of biological samples was entrusted to Shanghai Majorbio Company. Data analysis was conducted using the method of Mo et al. [71]. The original data has been uploaded to the NCBI public database. The names of the repository/repositories and accession number(s) can be found below: https://www.ncbi.nlm.nih.gov/geo/query/acc.cgi?acc = GSE233199.
Expression of the NtGST genes according to real-time fluorescence quantitative PCR
Six genes were randomly selected for RT-qPCR experiments to determine the expression levels of NtGST genes under different abiotic stresses. The experiments were performed using the SYBR Premix Ex Taq kit (Takara) and the Applied Biosystems 7500 Real-Time PCR system (Life Technologies Corporation, Beverly, MA, USA). Primer Premier 6 was used to design the gene primers. The gene names and corresponding primers used for the qPCR test are listed in Supplementary file 5. The 2−ΔΔCT method was used to determine the relative expression level of each gene [72].
Statistical analysis
Duncan’s new multiple range test was conducted to analyze the variation in the gene expression levels (P < 0.05 and P < 0.01) using the SPSS (version 16.0) software. Origin 2018 (95_64) and Adobe Illustrator CS6 were used for figure drawing.
Supplementary Information
Additional file 1: Table S1. List of the 59 NtGST genes identified in this study.
Additional file 2: Table S2. List of the tandem repeat gene pairs of NtGSTs in tobacco.
Additional file 3. The lists of Nicotiana tabacum and other species GST synteny gene pairs.
Additional file 4: Table S4. Analysis of cis-acting elements in promoters of GST gene family members.
Additional file 5: Table S5. Primer sequences of six selected genes used in real-time qPCR analysis.
Acknowledgements
We are very grateful to the editor and reviewers for critically evaluating the manuscript and providing constructive comments for its improvement.
Abbreviations
- BUSCA
Bologna unified subcellular component annotator
- GSDS
Gene structure display server
- GSH
Glutathione
- GST
Glutathione S-transferases
- HMM
Hidden markov model
- HMMER
Biosequence analysis using profile hidden markov models
- IAA
Indole-3-acetic acid
- MEGA
Molecular evolutionary genetics analysis
- MEME
Multiple expectation maximizations for motif elicitation
- Mw
Protein molecular weight
- MYB
V-myb avian myeloblastosis viral oncogene homolog
- PEG
Polyethylene glycol
- pI
Isoelectric point
- RT-qPCR
Real-time quantitative PCR
- SA
Salicylic acid
- SMART
Simple modular architecture research tool
- SPSS
Statistical product and service solutions
- UTR
Untranslated region
Authors’ contributions
LRX and MZJ planned and designed the research and analyzed data. MZJ wrote the original manuscript. PTXN identified the GST family genes and visualized their structures. PTXN and LJJ performed the evolutionary analysis of GST genes and several different species, performed GST genes chromosome distribution, gene duplication and synchronous analysis. MZJ and DLL carried out stress experiments to obtain treated plant materials. LBS and LAB determined the expression of genes by RT-qPCR. HY and PK analyzed the data of gene expression level. LRX and MZJ reviewed and edited the manuscript. All authors reviewed the manuscript.
Funding
This research was supported by the National Natural Science Foundation of China (No. 32060510), the Talent Cultivation Project for High-Level Renovation Plan of Guizhou Province [No. (2016)5663], and Key Projects from the Guizhou Provincial Science and Technology Department [No. (2019)1405].
Availability of data and materials
The whole Nicotiana tabacum genome sequence information was obtained from the solgenomics website (https://solgenomics.net/organism/Nicotiana_tabacum/genome) and the website is open to all researchers. The tobacco materials (K326, Hongda, HG, GDH11, Va116, VG, and GDH88) used in this study were supplied by Prof. Renxiang Liu of Guizhou University. The datasets supporting the conclusions of this article are included in the article and its Supplementary files.
Declarations
Ethics approval and consent to participate
Not applicable.
Consent for publication
Not applicable.
Competing interests
The authors declare that they have no competing interests.
Footnotes
Publisher’s Note
Springer Nature remains neutral with regard to jurisdictional claims in published maps and institutional affiliations.
References
- 1.Khare S, Singh NB, Singh A, Hussain I, Niharika K, Yadav V, et al. Plant secondary metabolites synthesis and their regulations under biotic and abiotic constraints. J Plant Biol. 2020;63:203–216. doi: 10.1007/s12374-020-09245-7. [DOI] [Google Scholar]
- 2.Ashrafian H, Bogle RG. Structure, catalytic mechanism, and evolution of the glutathione transferases. J Intensive Care Soc. 2004;5:108–111. doi: 10.1177/175114370400500315. [DOI] [Google Scholar]
- 3.Dixon DP, Skipsey M, Edwards R. Roles for glutathione transferases in plant secondary metabolism. Phytochemistry. 2010;71:338–350. doi: 10.1016/j.phytochem.2009.12.012. [DOI] [PubMed] [Google Scholar]
- 4.Sandermann H. Plant metabolism of xenobiotics. Trends Biochem Sci. 1992;17:82–84. doi: 10.1016/0968-0004(92)90507-6. [DOI] [PubMed] [Google Scholar]
- 5.Chi Y, Cheng Y, Vanitha J, Kumar N, Ramamoorthy R, Ramachandran S, et al. Expansion mechanisms and functional divergence of the glutathione S-transferase family in sorghum and other higher plants. Genome Biol. 2011;18:1–16. doi: 10.1093/dnares/dsq031. [DOI] [PMC free article] [PubMed] [Google Scholar]
- 6.Dixon DP, Lapthorn A, Edwards R. Plant glutathione transferases. Genome Biol. 2002;3:1–10. 10.1186/gb-2002-3-3-reviews3004. [DOI] [PMC free article] [PubMed]
- 7.Yang G, Xu Z, Peng S, Sun Y, Jia C, Zhai M. In planta characterization of a tau class glutathione S-transferase gene from Juglans regia (JrGSTTau1) involved in chilling tolerance. Plant Cell Rep. 2016;35:681–692. doi: 10.1007/s00299-015-1912-8. [DOI] [PubMed] [Google Scholar]
- 8.Marrs KA, Alfenito MR, Lloyd AM, Walbot V. A glutathione S-transferase involved in vacuolar transfer encoded by the maize gene Bronze-2. Nature. 1995;375:397–400. doi: 10.1038/375397a0. [DOI] [PubMed] [Google Scholar]
- 9.Zhao J, Dixon RA. The “ins” and “outs” of flavonoid transport. Trends Plant Sci. 2010;15:72–80. doi: 10.1016/j.tplants.2009.11.006. [DOI] [PubMed] [Google Scholar]
- 10.Dixon DP, Cole DJ, Edwards R. Dimerisation of maize glutathione transferases in recombinant bacteria. Plant Mol Biol. 1999;40:997–1008. doi: 10.1023/A:1006257305725. [DOI] [PubMed] [Google Scholar]
- 11.Puglisi I, Lo Cicero L, Lo Piero AR. The glutathione S-transferase gene superfamily: an in silico approach to study the post translational regulation. Biodegradation. 2013;24:471–485. doi: 10.1007/s10532-012-9604-3. [DOI] [PubMed] [Google Scholar]
- 12.Isoforms I, Sommer A, Bo P. Characterization of recombinant corn glutathione S-transferase isoforms I, II, III, and IV. Pestic Biochem Physiol. 1999;138:127–138. [Google Scholar]
- 13.Edwards R, Dixon DP. Plant glutathione transferases. Methods Enzymol. 2005;401:169–186. doi: 10.1016/S0076-6879(05)01011-6. [DOI] [PubMed] [Google Scholar]
- 14.Mohsenzadeh S, Esmaeili M, Moosavi F, Shahrtash M, Saffari B, Mohabatkar H. Plant glutathione S-transferase classification, structure and evolution. African J Biotechnol. 2011;10:8160–8165. doi: 10.5897/AJB11.1024. [DOI] [Google Scholar]
- 15.Kayum MA, Nath UK, Park JI, Biswas MK, Choi EK, Song JY, et al. Genome-wide identification, characterization, and expression profiling of glutathione S-transferase (GST) family in pumpkin reveals likely role in cold-stress tolerance. Genes (Basel) 2018;9:1–21. doi: 10.3390/genes9020084. [DOI] [PMC free article] [PubMed] [Google Scholar]
- 16.Nianiou-Obeidat I, Madesis P, Kissoudis C, Voulgari G, Chronopoulou E, Tsaftaris A, et al. Plant glutathione transferase-mediated stress tolerance: functions and biotechnological applications. Plant Cell Rep. 2017;36:791–805. doi: 10.1007/s00299-017-2139-7. [DOI] [PubMed] [Google Scholar]
- 17.Jain M, Ghanashyam C, Bhattacharjee A. Comprehensive expression analysis suggests overlapping and specific roles of rice glutathione S-transferase genes during development and stress responses. BMC Genomics. 2010;11:1–17. doi: 10.1186/1471-2164-11-73. [DOI] [PMC free article] [PubMed] [Google Scholar]
- 18.Sappl PG, Carroll AJ, Clifton R, Lister R, Whelan J, Harvey Millar A, et al. The Arabidopsis glutathione transferase gene family displays complex stress regulation and co-silencing multiple genes results in altered metabolic sensitivity to oxidative stress. Plant J. 2009;58:53–68. doi: 10.1111/j.1365-313X.2008.03761.x. [DOI] [PubMed] [Google Scholar]
- 19.Lai B, You Y, Zhang L, Wang Q, Chen F, Luo G, et al. Identification and functional characterization of RsGST1, an anthocyanin-related glutathione S-transferase gene in radish. J Plant Physiol. 2021;263:153468. doi: 10.1016/j.jplph.2021.153468. [DOI] [PubMed] [Google Scholar]
- 20.Zhuge XL, Xu H, Xiu ZJ, Yang HL. Biochemical functions of glutathione S-transferase family of salix babylonica. Front Plant Sci. 2020;11:364. doi: 10.3389/fpls.2020.00364. [DOI] [PMC free article] [PubMed] [Google Scholar]
- 21.Han XM, Yang ZL, Liu YJ, Yang HL, Zeng QY. Genome-wide profiling of expression and biochemical functions of the Medicago glutathione S-transferase gene family. Plant Physiol Biochem. 2018;126:126–133. doi: 10.1016/j.plaphy.2018.03.004. [DOI] [PubMed] [Google Scholar]
- 22.Zhao YW, Wang CK, Huang XY, Hu DG. Genome-wide analysis of the glutathione s-transferase (Gst) genes and functional identification of mdgstu12 reveals the involvement in the regulation of anthocyanin accumulation in apple. Genes (Basel) 2021;12:1733. doi: 10.3390/genes12111733. [DOI] [PMC free article] [PubMed] [Google Scholar]
- 23.Xu J, Tian YS, Xing XJ, Peng RH, Zhu B, Gao JJ, et al. Over-expression of AtGSTU19 provides tolerance to salt, drought and methyl viologen stresses in Arabidopsis. Physiol Plant. 2016;156:164–175. doi: 10.1111/ppl.12347. [DOI] [PubMed] [Google Scholar]
- 24.Dong Y, Li C, Zhang Y, He Q, Daud MK, Chen J, et al. Glutathione s-transferase gene family in Gossypium raimondii and G. arboreum: Comparative genomic study and their expression under salt stress. Front Plant Sci. 2016;7:139. doi: 10.3389/fpls.2016.00139. [DOI] [PMC free article] [PubMed] [Google Scholar]
- 25.Kao CW, Bakshi M, Sherameti I, Dong S, Reichelt M, Oelmüller R, et al. A Chinese cabbage (Brassica campetris subsp. Chinensis) τ-type glutathione-S-transferase stimulates Arabidopsis development and primes against abiotic and biotic stress. Plant Mol Biol. 2016;92:643–59. doi: 10.1007/s11103-016-0531-2. [DOI] [PubMed] [Google Scholar]
- 26.Chan C, Lam HM. A putative lambda class glutathione S-transferase enhances plant survival under salinity stress. Plant Cell Physiol. 2014;55:570–579. doi: 10.1093/pcp/pct201. [DOI] [PubMed] [Google Scholar]
- 27.Jia B, Sun M, Sun X, Li R, Wang Z, Wu J, et al. Overexpression of GsGSTU13 and SCMRP in Medicago sativa confers increased salt-alkaline tolerance and methionine content. Physiol Plant. 2016;156:176–189. doi: 10.1111/ppl.12350. [DOI] [PubMed] [Google Scholar]
- 28.Xu J, Xing XJ, Tian YS, Peng RH, Xue Y, Zhao W, et al. Transgenic Arabidopsis plants expressing tomato glutathione S-transferase showed enhanced resistance to salt and drought stress. PLoS ONE. 2015;10:1–16. doi: 10.1371/journal.pone.0136960. [DOI] [PMC free article] [PubMed] [Google Scholar]
- 29.Wang Z, Huang S, Jia C, Liu J, Zhang J, Xu B, et al. Molecular cloning and expression of five glutathione S-transferase (GST) genes from Banana (Musa acuminata L. AAA group, cv. Cavendish) Plant Cell Rep. 2013;32:1373–80. doi: 10.1007/s00299-013-1449-7. [DOI] [PubMed] [Google Scholar]
- 30.Liu D, Liu Y, Rao J, Wang G, Li H, Ge F, et al. Overexpression of the glutathione S-transferase gene from Pyrus pyrifolia fruit improves tolerance to abiotic stress in transgenic tobacco plants. Mol Biol. 2013;47:515–523. doi: 10.1134/S0026893313040109. [DOI] [PubMed] [Google Scholar]
- 31.Yadav SK. Cold stress tolerance mechanisms in plants. Sustain Agric. 2009;2:605–620. [Google Scholar]
- 32.Pennington HG, Gheorghe DM, Damerum A, Pliego C, Spanu PD, Cramer R, et al. Interactions between the powdery mildew effector BEC1054 and barley proteins identify candidate host targets. J Proteome Res. 2016;15:826–839. doi: 10.1021/acs.jproteome.5b00732. [DOI] [PubMed] [Google Scholar]
- 33.Wang Q, Guo J, Jin P, Guo M, Guo J, Cheng P, et al. Glutathione S-transferase interactions enhance wheat resistance to powdery mildew but not wheat stripe rust. Plant Physiol. 2022;190:1418–1439. doi: 10.1093/plphys/kiac326. [DOI] [PMC free article] [PubMed] [Google Scholar]
- 34.Kumar S, Asif MH, Chakrabarty D, Tripathi RD, Dubey RS, Trivedi PK. Expression of a rice Lambda class of glutathione S-transferase, OsGSTL2, in Arabidopsis provides tolerance to heavy metal and other abiotic stresses. J Hazard Mater. 2013;248–249:228–237. doi: 10.1016/j.jhazmat.2013.01.004. [DOI] [PubMed] [Google Scholar]
- 35.Bernard F, Dumez S, Brulle F, Lemière S, Platel A, Nesslany F, et al. Antioxidant defense gene analysis in Brassica oleracea and Trifolium repens exposed to Cd and/or Pb. Environ Sci Pollut Res. 2016;23:3136–3151. doi: 10.1007/s11356-015-5636-7. [DOI] [PubMed] [Google Scholar]
- 36.Chronopoulou E, Madesis P, Asimakopoulou B, Platis D, Tsaftaris A, Labrou NE. Catalytic and structural diversity of the fluazifop-inducible glutathione transferases from Phaseolus vulgaris. Planta. 2012;235:1253–1269. doi: 10.1007/s00425-011-1572-z. [DOI] [PubMed] [Google Scholar]
- 37.Islam S, Sajib SD, Jui ZS, Arabia S, Islam T, Ghosh A. Genome-wide identification of glutathione S-transferase gene family in pepper, its classification, and expression profiling under different anatomical and environmental conditions. Sci Rep. 2019;9:1–15. doi: 10.1038/s41598-019-45320-x. [DOI] [PMC free article] [PubMed] [Google Scholar]
- 38.Jiang HW, Liu MJ, Chen IC, Huang CH, Chao LY, Hsieh HL. A glutathione s-transferase regulated by light and hormones participates in the modulation of arabidopsis seedling development. Plant Physiol. 2010;154:1646–1658. doi: 10.1104/pp.110.159152. [DOI] [PMC free article] [PubMed] [Google Scholar]
- 39.Yamaguchi-Shinozaki K, Shinozaki K. Organization of cis-acting regulatory elements in osmotic- and cold-stress-responsive promoters. Trends Plant Sci. 2005;10:88–94. doi: 10.1016/j.tplants.2004.12.012. [DOI] [PubMed] [Google Scholar]
- 40.Schaeffer S, Koepke T, Dhingra A. Tobacco: A Model Plant for Understanding the Mechanism of Abiotic Stress Tolerance. Improv Crop Resist to Abiotic Stress. 2012;2:1169–1201. doi: 10.1002/9783527632930.ch46. [DOI] [Google Scholar]
- 41.Zhou J, Li XQ, Huang Y, et al. Comprehensive Evaluation of Tobacco-growing Soil Fertility in Karst Mountain Area—Take Xixiu District of Anshun As an Example. J Mt Agric Biol. 2021;40:29-35.
- 42.Lo Cicero L, Madesis P, Tsaftaris A, Lo Piero AR. Tobacco plants over-expressing the sweet orange tau glutathione transferases (CsGSTUs) acquire tolerance to the diphenyl ether herbicide fluorodifen and to salt and drought stresses. Phytochemistry. 2015;116:69–77. doi: 10.1016/j.phytochem.2015.03.004. [DOI] [PubMed] [Google Scholar]
- 43.Kim YJ, Lee OR, Lee S, Kim KT, Yang DC. Isolation and characterization of a theta glutathione S-transferase gene from Panax ginseng meyer. J Ginseng Res. 2012;36:449–460. doi: 10.5142/jgr.2012.36.4.449. [DOI] [PMC free article] [PubMed] [Google Scholar]
- 44.Pu T, Mo Z, Su L, Yang J, Wan K, Wang L, et al. Genome-wide identification and expression analysis of the ftsH protein family and its response to abiotic stress in Nicotiana tabacum L. BMC Genomics. 2022;23:1–15. doi: 10.1186/s12864-022-08719-x. [DOI] [PMC free article] [PubMed] [Google Scholar]
- 45.Sun W, Ma Z, Liu M. Cytochrome P450 family: Genome-wide identification provides insights into the rutin synthesis pathway in Tartary buckwheat and the improvement of agricultural product quality. Int J Biol Macromol. 2020;164:4032–4045. doi: 10.1016/j.ijbiomac.2020.09.008. [DOI] [PubMed] [Google Scholar]
- 46.Wani SH, Kumar V, Shriram V, Sah SK. Phytohormones and their metabolic engineering for abiotic stress tolerance in crop plants. Crop J. 2016;4:162–176. doi: 10.1016/j.cj.2016.01.010. [DOI] [Google Scholar]
- 47.Vijayakumar H, Thamilarasan SK, Shanmugam A, Natarajan S, Jung HJ, Park JI, et al. Glutathione transferases superfamily: cold-inducible expression of distinct GST genes in Brassica oleracea. Int J Mol Sci. 2016;17:1211. doi: 10.3390/ijms17081211. [DOI] [PMC free article] [PubMed] [Google Scholar]
- 48.Islam S, Rahman IA, Islam T, Ghosh A. Genome-wide identification and expression analysis of glutathione S-transferase gene family in tomato: gaining an insight to their physiological and stress-specific roles. PLoS ONE. 2017;12:1–28. doi: 10.1371/journal.pone.0187504. [DOI] [PMC free article] [PubMed] [Google Scholar]
- 49.Soranzo N, Sari Gorla M, Mizzi L, De Toma G, Frova C. Organisation and structural evolution of the rice glutathione S-transferase gene family. Mol Genet Genomics. 2004;271:511–521. doi: 10.1007/s00438-004-1006-8. [DOI] [PubMed] [Google Scholar]
- 50.Islam MS, Choudhury M, Majlish ANK, Islam T, Ghosh A. Comprehensive genome-wide analysis of Glutathione S-transferase gene family in potato (Solanum tuberosum L.) and their expression profiling in various anatomical tissues and perturbation conditions. Gene. 2018;639:149–62. doi: 10.1016/j.gene.2017.10.007. [DOI] [PubMed] [Google Scholar]
- 51.Hao Y, Xu S, Lyu Z, Wang H, Kong L, Sun S. Comparative analysis of the glutathione S-Transferase gene family of four triticeae species and transcriptome analysis of gst genes in common wheat responding to salt stress. Int J Genomics. 2021;2021:6289174. doi: 10.1155/2021/6289174. [DOI] [PMC free article] [PubMed] [Google Scholar]
- 52.Battey JND, Sierro N, Ivanov N V. Characterizing the Genome of Nicotiana tabacum. 2020.
- 53.Yu J, Wang J, Lin W, Li S, Li H, Zhou J, et al. The genomes of oryza sativa: a history of duplications. PLoS Biol. 2005;3:0266–281. doi: 10.1371/journal.pbio.0030038. [DOI] [PMC free article] [PubMed] [Google Scholar]
- 54.Sato S, Tabata S, Hirakawa H, Asamizu E, Shirasawa K, Isobe S, et al. The tomato genome sequence provides insights into fleshy fruit evolution. Nature. 2012;485:635–641. doi: 10.1038/nature11119. [DOI] [PMC free article] [PubMed] [Google Scholar]
- 55.Hulse-Kemp AM, Maheshwari S, Stoffel K, Hill TA, Jaffe D, Williams SR, et al. Reference quality assembly of the 3.5-Gb genome of Capsicum annuum from a single linked-read library. Hortic Res. 2018;5:1–13. doi: 10.1038/s41438-017-0011-0. [DOI] [PMC free article] [PubMed] [Google Scholar]
- 56.Flagel LE, Jonathan FW. Gene duplication and evolutionary novelty in plants. New Phytol. 2009;183:557–64. doi: 10.1111/j.1469-8137.2009.02923.x. [DOI] [PubMed] [Google Scholar]
- 57.Walkowiak S, Gao L, Monat C, Haberer G, Kassa MT, Brinton J, et al. Multiple wheat genomes reveal global variation in modern breeding. Nature. 2020;588:277–283. doi: 10.1038/s41586-020-2961-x. [DOI] [PMC free article] [PubMed] [Google Scholar]
- 58.Wang R, Ma J, Zhang Q, Wu C, Zhao H, Wu Y, et al. Genome-wide identification and expression profiling of glutathione transferase gene family under multiple stresses and hormone treatments in wheat (Triticum aestivum L.) BMC Gen. 2019;20:1–15. doi: 10.1186/s12864-019-6374-x. [DOI] [PMC free article] [PubMed] [Google Scholar]
- 59.Narusaka Y, Nakashima K, Shinwari ZK, Sakuma Y, Furihata T, Abe H, et al. Interaction between two cis-acting elements, ABRE and DRE, in ABA-dependent expression of Arabidopsis rd29A gene in response to dehydration and high-salinity stresses. Plant J. 2003;34:137–148. doi: 10.1046/j.1365-313X.2003.01708.x. [DOI] [PubMed] [Google Scholar]
- 60.Jia B, Wang Y, Zhang D, Li W, Cui H, Jin J, et al. Genome-wide identification, characterization and expression analysis of soybean chyr gene family. Int J Mol Sci. 2021;22:1–14. doi: 10.3390/ijms222212192. [DOI] [PMC free article] [PubMed] [Google Scholar]
- 61.Guo Y, Halfter U, Ishitani M, Zhu JK. Molecular characterization of functional domains in the protein kinase SOS2 that is required for plant salt tolerance. Plant Cell. 2001;13:1383–1399. doi: 10.1105/TPC.010021. [DOI] [PMC free article] [PubMed] [Google Scholar]
- 62.Zhu JK. Abiotic stress signaling and responses in plants. Cell. 2016;167:313–324. doi: 10.1016/j.cell.2016.08.029. [DOI] [PMC free article] [PubMed] [Google Scholar]
- 63.Chi Y, Cheng Y, Vanitha J, Kumar N, Ramamoorthy R, Ramachandran S, et al. Expansion mechanisms and functional divergence of the glutathione S-transferase family in sorghum and other higher plants. DNA Res. 2011;18:1–16. doi: 10.1093/dnares/dsq031. [DOI] [PMC free article] [PubMed] [Google Scholar]
- 64.Xu J, Zheng AQ, Xing XJ, Chen L, Fu XY, Peng RH, et al. Glutathione S transferase gene ( VvGSTF13) Show enhanced tolerance to abiotic stress. Biochem. 2018;83:755–765. doi: 10.1134/S0006297918060135. [DOI] [PubMed] [Google Scholar]
- 65.Kumar S, Asif MH, Chakrabarty D, Tripathi RD, Dubey RS, Trivedi PK. Differential expression of rice lambda class gst gene family members during plant growth, development, and in response to stress conditions. Plant Mol Biol Report. 2013;31:569–580. doi: 10.1007/s11105-012-0524-5. [DOI] [Google Scholar]
- 66.Moons A. Regulatory and functional interactions of plant growth regulators and plant glutathione S-transferases (GSTs) Vitam Horm. 2005;72:155–202. doi: 10.1016/S0083-6729(05)72005-7. [DOI] [PubMed] [Google Scholar]
- 67.Moons A. Osgstu3 and osgtu4, encoding tau class glutathione S-transferases, are heavy metal- and hypoxic stress-induced and differentially salt stress-responsive in rice roots. FEBS Lett. 2003;553:427–432. doi: 10.1016/S0014-5793(03)01077-9. [DOI] [PubMed] [Google Scholar]
- 68.Guo AY, Zhu QH, Chen X, Luo JC. GSDS: a gene structure display server. Yi Chuan. 2007;29:1023–1026. doi: 10.1360/yc-007-1023. [DOI] [PubMed] [Google Scholar]
- 69.Bailey TL, Boden M, Buske FA, Frith M, Grant CE, Clementi L, et al. MEME suite: tools for motif discovery and searching. Nucleic Acids Res. 2009;37(SUPPL. 2):1–7. doi: 10.1093/nar/gkp335. [DOI] [PMC free article] [PubMed] [Google Scholar]
- 70.Chen C, Chen H, Zhang Y, Thomas HR, Frank MH, He Y, et al. TBtools: an integrative toolkit developed for interactive analyses of big biological data. Mol Plant. 2020;13:1194–1202. doi: 10.1016/j.molp.2020.06.009. [DOI] [PubMed] [Google Scholar]
- 71.Mo Z, Luo W, Pi K, Duan L, Wang P, Ke Y, et al. Comparative transcriptome analysis between inbred lines and hybrids provides molecular insights into K+ content heterosis of tobacco (Nicotiana tabacum L.) Front Plant Sci. 2022;13:1–14. doi: 10.3389/fpls.2022.940787. [DOI] [PMC free article] [PubMed] [Google Scholar]
- 72.Livak KJ, Schmittgen TD. Analysis of relative gene expression data using real-time quantitative PCR and the 2-ΔΔCT method. Methods. 2001;25:402–408. doi: 10.1006/meth.2001.1262. [DOI] [PubMed] [Google Scholar]
Associated Data
This section collects any data citations, data availability statements, or supplementary materials included in this article.
Supplementary Materials
Additional file 1: Table S1. List of the 59 NtGST genes identified in this study.
Additional file 2: Table S2. List of the tandem repeat gene pairs of NtGSTs in tobacco.
Additional file 3. The lists of Nicotiana tabacum and other species GST synteny gene pairs.
Additional file 4: Table S4. Analysis of cis-acting elements in promoters of GST gene family members.
Additional file 5: Table S5. Primer sequences of six selected genes used in real-time qPCR analysis.
Data Availability Statement
The whole Nicotiana tabacum genome sequence information was obtained from the solgenomics website (https://solgenomics.net/organism/Nicotiana_tabacum/genome) and the website is open to all researchers. The tobacco materials (K326, Hongda, HG, GDH11, Va116, VG, and GDH88) used in this study were supplied by Prof. Renxiang Liu of Guizhou University. The datasets supporting the conclusions of this article are included in the article and its Supplementary files.












