Abstract
Background
Knowledge of the normal size of the brain stem and certain related structures play an important role in diagnosis of aging and neurodegenerative conditions affecting the brain. There is no well-established normative data for development and age-related changes pertaining to the brain stem and related structures in the Indian context. The objective of this study was to assess various linear and angle measurements of the brain stem, cerebral peduncles, middle cerebellar peduncles, and proximal cervical cord for all ages in patients who have undergone MRI brain for unrelated pathologies.
Methods
A record-based retrospective cross-sectional and analytical study. T1WI axial and sagittal images were studied for the following variables: Cerebral peduncle transverse thickness, Interpeduncular angle, Middle cerebellar peduncle transverse thickness, Ventral midbrain anteroposterior thickness, Midbrain height, Mamillopontine distance (MPD), Pontomesencephalic angle (PMA), Pons anteroposterior thickness, Medulla anteroposterior thickness and Spinal cord anteroposterior diameter.
Results
Significant differences (p = 0.001) were observed in nearly all the variables among various age groups. Males demonstrated significantly higher mean values (at 5% level of significance) for a majority of the variables. Most of the variables measured, e.g. Cerebral peduncle, Middle cerebellar peduncle, Ventral midbrain thickness, Midbrain height, Pons, Medulla, and Spinal Cord diameter, showed a steady and sharp increase in values from infancy and reached maximum values during the third decade, followed by a variable degree of decline in values.
Conclusion
Magnetic Resonance Imaging (MRI) morphometry of brainstem and related structures is easily doable and is also reproducible. Present study lays down normative data for the brainstem and certain related structures for all ages, which can be referred to in day-to-day practice.
Keywords: Brain stem, Magnetic Resonance Imaging, Morphometry, Normal measurements
Introduction
Normal brain development, maturation, and the effects of aging are well documented in the literature. Since the advent of Magnetic Resonance Imaging (MRI), it has been possible to document the structural anatomy and morphology of the brain with great accuracy. The aging process, as well as a number of disease conditions, is known to be associated with a reduction in size or atrophy of various structures of the brain. Diagnosis of such disease conditions often benefits from measurements of the involved structures, which can be easily carried out in routinely performed MRI brain studies. There is a paucity of well-established nomograms1,2 for sizes of various parts of the brainstem, particularly in the Indian context. In the absence of knowledge of normal size parameters for age, radiologists often face a dilemma in deciding whether a particular part of the brain is normal in size or reduced/atrophic. In such a scenario, interpretation often becomes subjective and prone to errors. It may be particularly relevant for diagnosis of neurodegenerative conditions, which are known to be associated with atrophy of various structures of the brain especially brainstem, where measurements of affected structures play a critical role.3 Interpeduncular angle (IPA), Pontomesencephalic angle (PMA), as well as mamillopontine distance (MPD) have been found useful in diagnosing intracranial hypotension.4,5 MPD has also been found as a useful adjunct in the diagnosis of hydrocephalus.6 Despite widespread usage of clinical MRI for several decades, there is limited information available about normal measurements of brainstem and related structures, especially in the Indian context.7, 8, 9 The present study is aimed to evaluate and analyze, easily doable and reproducible, normal measurement parameters of brainstem and certain related structures across all ages among subjects undergoing MRI brain for various indications and also to establish normal values for different age groups.
Materials and methods
Study design: Record-based retrospective cross-sectional study.
Study population: All patients undergoing brain MRI.
Study period: Dec 2013 to Apr 2017.
Study setting: MRI Center in Dept of Radiodiagnosis and Imaging of a Medical College in India.
Exclusion criteria: The following were excluded from the study group:
-
a)
Incomplete/unsatisfactory clinical and or imaging data set.
-
b)
Clinical condition known to involve the brainstem and related structures under study.
-
c)
Involvement of the brainstem and related structures evident on MRI
Being a record-based retrospective study without any intervention and implication to the subjects whose MRI images were studied, patient consent was not obtained. Ethical clearance was obtained from the Institute Ethical Committee prior to start of the study.
Sample size calculation
Based on the previous study9 that evaluated only three variables (i.e. diameter of midbrain, pons, and medulla), the minimum sample size required for estimating a parameter with a confidence level of 99% with an absolute error margin of .05 was 128. However, since the present study evaluated a total of ten variables, on which there is no published literature, the sample size could not be estimated. The larger the number, the more accurate the results would be, and hence, a comfortable minimum number of 500 subjects, was taken for all the variables.
Study technique
Image datasets for patients of brain MRI (1.5 T MRI) (Magnetom, Symphony, Siemens) were retrieved from the archive and were loaded into the workstation (Syngo.via Siemens) for analysis. T1WI axial and T1WI sagittal images were studied to record measurements of various structures. As an institutional protocol, axial images were obtained in the plane parallel to the anterior commissure and posterior commissure line (AC-PC). The default slice thickness was 5 mm. Measurements were recorded by a senior faculty having more than 20 years of experience in cross-sectional imaging along with a final-year radiology resident. All measurements were carried out with electronic calipers available in the workstation on a millimeter scale. In case any particular measurement was not deemed feasible/appropriate because of the orientation/plane of the image acquisition, the measurement was omitted, while other measurements were taken into account. The following parameters/variables were noted in each case:
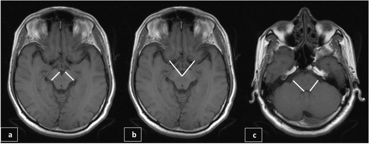
T1WI axial images (Fig. 1)
-
a)
Cerebral peduncle (CP) transverse thickness: Maximum thickness of cerebral peduncle perpendicular to its long axis was noted on both sides (Fig. 1a).
-
b)
Interpeduncular angle (IPA) formed between cerebral peduncles (Fig. 1b).
-
c)
Middle cerebellar peduncle (MCP) transverse thickness: Maximum thickness of each middle cerebellar peduncle perpendicular to its long axis was noted on both sides (Fig. 1c).
Fig. 1.
T1WI Axial images at the level of cerebral peduncles depicting the technique of measuring cerebral peduncle thickness (a) and interpeduncular angle (b) and at the level of middle cerebellar peduncles depicting the technique of measuring middle cerebellar peduncle thickness (c).
T1WI midsagittal image (Fig. 2)
-
a)
Ventral midbrain anteroposterior (VMAP) thickness: Maximum thickness of the ventral midbrain was measured from the anterior surface up to the anterior wall of the aqueduct perpendicular to its long axis (Fig. 2a).
-
b)
Midbrain height (MH): Maximum height from the level of the pontomesencephalic junction up to the roof of the midbrain (Fig. 2b).
-
c)
Mamillopontine distance (MPD): Distance from the inferior surface of the mammillary body to the highest point of convexity of the superior surface of pons (Fig. 2b).
-
d)
Pontomesencephalic angle (PMA): Angle between the anterior surface of the midbrain and posterosuperior surface of pons at the pontomesencephalic junction (Fig. 2c).
-
e)
Pons anteroposterior (PAP) thickness: Maximum thickness of pons was measured from the anterior surface up to the roof of the fourth ventricle (Fig. 2a).
-
f)
Medulla anteroposterior (MedAP) thickness: Maximum thickness of medulla was measured at its midpoint (2a).
-
g)
Spinal cord anteroposterior (SCAP) diameter: Maximum thickness of spinal cord was measured at the level of midpoint of the posterior surface of the body of CV2 vertebra (2a).
Fig. 2.
T1WI sagittal images depicting measurements of thickness of midbrain, pons, medulla, and spinal cord (a), mamillopontine distance, midbrain height (b), pontomesencephalic angle (c).
Data collection
Demographic and clinical data were obtained from the records maintained in the MRI center. Measurements for each variable were obtained for consecutive patients from the archived image datasets and were recorded in an excel sheet. Any discrepancy/ambiguity was resolved by discussion among the investigators. Patients’ details, including clinical diagnosis as well as MRI findings, were noted for each patient.
Statistical analysis
The data on the ten variables being evaluated was subjected to the best fit model to ensure accuracy. Dataset pertaining to each variable was studied age group wise. The youngest group consisted of infants less than one year of age, followed by the decade-wise age group. The mean, standard deviation, and percentiles were calculated for each variable and also tabulated age group wise. Mean plots were made for each variable for ease of understanding of the age-related differences in measurements. An unpaired t-test for equality of means was carried out to find out if there was any significant difference in the variables with respect to gender. To test the differences in various age categories, ANOVA was used after testing for homogeneity assumption. Bonferroni test was used for posthoc comparisons. Correlation among all the variables with significance at .01 level and .05 level were also studied using correlation coefficient. The statistical software used was IBM SPSS Statistics for Windows version 23.0 (SPSS Inc., Chicago, Ill., USA) and EASY-FIT, a software system for data fitting in dynamical systems.
Results
The total count of the variables studied ranged from 503 to 1015. A total of 105 studies were excluded either because of suboptimal/incomplete studies or the presence of pre-existing pathology in the area of interest. Table 1 depicts the best fit distribution, mean SD, and percentile values pertaining to each variable. Gender-wise mean SD, as well as Std error of mean, pertaining to each variable is depicted in Table 2. Gender difference and its significance pertaining to all the variables are shown in Table 2. Differences for all variables among various age groups are shown in Table 3. Age group wise values with respect to each variable are shown in Table 4, Table 5, Table 6, Table 7, Table 8, Table 9, Table 10, Table 11, Table 12, Table 13. Mean of the variables at different age categories along with its 95% confidence interval have been depicted as error bar chart in Fig. 3, Fig. 4, Fig. 5.
Table 1.
Best fit distribution for brainstem variables along with percentile distribution.
| Variables | Best fit distribution | Mean∗∗ | Std Dev | Percentiles |
|||||
|---|---|---|---|---|---|---|---|---|---|
| 5% | 10% | 25% | 50% | 75% | 95% | ||||
| Cerebral Peduncle (CP) (Right) | Log logistic | 14.24 | 2.88 | 11.85 | 12.46 | 13.35 | 14.24 | 15.14 | 16.6 |
| Cerebral Peduncle (CP) (Left) | Beta | 14.56 | 1.53 | 11.85 | 12.53 | 13.6 | 14.68 | 15.65 | 16.87 |
| Interpeduncular angle (IPA) | Beta | 76.35 | 9.4 | 60.11 | 64.03 | 70.29 | 76.83 | 82.92 | 90.95 |
| Middle Cerebellar Peduncle (MCP) (Right) | Beta | 15.23 | 1.6 | 12.43 | 13.12 | 14.21 | 15.33 | 16.37 | 17.69 |
| Middle Cerebellar Peduncle (MCP) (Left) | Weibul (3P) | 15.19 | 1.66 | 12.15 | 12.97 | 14.2 | 15.38 | 16.38 | 17.57 |
| Midbrain anteroposterior (MAP) thickness | Log logistic (3P) | 11.17 | 1.49 | 9.38 | 9.83 | 10.5 | 11.17 | 11.84 | 12.97 |
| Midbrain Height (MH) | Beta | 13.58 | 1.58 | 10.81 | 11.5 | 12.58 | 13.69 | 14.7 | 15.98 |
| Mamillopontine distance (MPD) | Gamma | 8.38 | 1.56 | 5.98 | 6.45 | 7.28 | 8.28 | 9.38 | 11.11 |
| Pontomesencephalic angle (PMA) | Log logistic (3P) | 38.95 | 9.89 | 24.45 | 27.6 | 32.63 | 38.17 | 44.29 | 56 |
| Pons anteroposterior (PAP) thickness | Weibul (3P) | 21.06 | 1.85 | 17.64 | 18.61 | 20.02 | 21.32 | 22.38 | 23.61 |
| Medulla anteroposterior (MedAP) thickness | Weibul (3P) | 12.06 | 1.11 | 10.06 | 10.57 | 11.37 | 12.16 | 12.85 | 13.69 |
| Spinal cord anteroposterior (SCAP) diameter | Weibul | 7.26 | .74 | 5.9 | 6.27 | 6.83 | 7.35 | 7.96 | 8.32 |
∗∗ All distance measurements are in mm.
Table 2.
Analysis of differences in brainstem variables as per gender.
| Variables | Males |
Females |
Unpaired t-test for equality of means |
||||
|---|---|---|---|---|---|---|---|
| n, Mean (SD)∗∗ | n, Mean (SD)∗∗ | t | p value | Mean difference | 95% Confidence interval of the difference |
||
| Lower | Upper | ||||||
| Cerebral Peduncle (CP) (Right)∗ | 684, 14.32 (1.511) | 331, 13.94 (1.45) | 3.857 | .001 | .385 | .189 | .581 |
| Cerebral Peduncle (CP) (Left)∗ | 684, 14.75 (1.53) | 331, 14.21 (1.54) | 5.238 | .001 | .54 | .338 | .742 |
| Interpeduncular angle (IPA)∗ | 656, 75.74 (9.38) | 324, 77.44 (9.41) | −2.651 | .008 | −1.691 | −2.943 | −.439 |
| Middle Cerebellar Peduncle (MCP) (Right)∗ | 684, 15.33 (1.61) | 331, 14.97 91.67) | 3.293 | .001 | .359 | .145 | .573 |
| Middle Cerebellar Peduncle (MCP) (Left)∗ | 684, 15.37 (1.64) | 330, 14.95 (1.62) | 3.81 | .001 | .417 | .202 | .631 |
| Ventral midbrain anteroposterior (VMAP) thickness | 684, 11.15 (1.13) | 331, 11.10 (1.16) | .625 | .532 | .048 | −.102 | .198 |
| Midbrain height (MH)∗ | 471, 13.66 (1.54) | 244, 13.39 (1.67) | 2.134 | .033 | .267 | .021 | .512 |
| Mamillopontine distance (MPD)∗ | 320, 8.60 (1.59) | 183, 7.92 (1.46) | 4.699 | .001 | .673 | .392 | .955 |
| Pontomesencephalic angle (PMA) | 332, 38.65 (10.26) | 182, 39.27 (8.71) | −.691 | .49 | −.622 | −2.388 | 1.145 |
| Pons anteroposterior (PAP) thickness∗ | 684, 21.26 (1.81) | 329, 20.71 (1.96) | 4.402 | .001 | .551 | .305 | .796 |
| Medulla anteroposterior (MedAP) thickness | 683, 12.16 (1.12) | 331, 12.20 (6.09) | −.146 | .884 | −.035 | −.509 | .438 |
| Spinal cord anteroposterior (SCAP) diameter∗ | 330, 7.40 (.809) | 183, 7.13 (.81) | 3.714 | .001 | .277 | .131 | .424 |
∗ significant at .05 level of significance.
∗∗ All distance measurements are in mm.
Table 3.
Analysis of difference in the brainstem variables among various age groups.
| ANOVA | ||||||
|---|---|---|---|---|---|---|
| Sum of Squares | df | Mean square | F | p value. | ||
| Cerebral peduncle (CP) (Right)∗ | Between groups | 643.223 | 9 | 71.469 | 43.723 | .001 |
| Within groups | 1642.761 | 1006 | 1.635 | |||
| Total | 2285.984 | 1015 | ||||
| Cerebral peduncle (CP) (Left)∗ | Between groups | 667.444 | 9 | 74.160 | 41.450 | .001 |
| Within groups | 1798.079 | 1006 | 1.789 | |||
| Total | 2465.523 | 1015 | ||||
| Interpeduncular angle (IPA)∗ | Between groups | 7433.313 | 9 | 825.924 | 10.077 | .001 |
| Within groups | 79,505.678 | 971 | 81.965 | |||
| Total | 86,938.991 | 980 | ||||
| Middle cerebellar peduncle (MCP) (Right)∗ | Between groups | 733.013 | 9 | 81.446 | 41.242 | .001 |
| Within groups | 1984.707 | 1006 | 1.975 | |||
| Total | 2717.720 | 1015 | ||||
| Middle cerebellar peduncle (MCP) (Left)∗ | Between groups | 749.598 | 9 | 83.289 | 42.125 | .001 |
| Within groups | 1985.070 | 1005 | 1.977 | |||
| Total | 2734.668 | 1014 | ||||
| Ventral midbrain anteroposterior (VMAP) thickness∗ | Between groups | 334.193 | 9 | 37.133 | 37.683 | .001 |
| Within groups | 990.315 | 1006 | .985 | |||
| Total | 1324.508 | 1015 | ||||
| Midbrain height (MH) | Between groups | 461.342 | 9 | 51.260 | 26.929 | .001 |
| Within groups | 1341.981 | 706 | 1.904 | |||
| Total | 1803.323 | 715 | ||||
| Mamillopontine distance (MPD)∗ | Between groups | 51.956 | 9 | 5.773 | 2.374 | .012 |
| Within groups | 1198.760 | 494 | 2.432 | |||
| Total | 1250.716 | 503 | ||||
| Pontomesencephalic angle (PMA)∗ | Between groups | 2710.333 | 9 | 301.148 | 3.301 | .001 |
| Within groups | 45,978.671 | 505 | 91.228 | |||
| Total | 48,689.004 | 514 | ||||
| Pons anteroposterior (PAP) thickness∗ | Between groups | 1496.296 | 9 | 166.255 | 79.951 | .001 |
| Within groups | 2085.698 | 1004 | 2.079 | |||
| Total | 3581.994 | 1013 | ||||
| Medulla anteroposterior (MedAP) thickness∗ | Between groups | 475.555 | 9 | 52.839 | 4.194 | .001 |
| Within groups | 12,649.243 | 1005 | 12.599 | |||
| Total | 13,124.798 | 1014 | ||||
| Spinal cord anteroposterior (SCAP) diameter∗ | Between groups | 70.879 | 9 | 7.875 | 14.474 | .001 |
| Within groups | 273.682 | 504 | .544 | |||
| Total | 344.561 | 513 | ||||
∗ significant at .05 level of significance.
Table 4.
Cerebral peduncle (CP) transverse thickness: Age group wise.
| Age Group in Yrs | Total count (1015) | Mean (mm) | SD | Percentiles |
||||||
|---|---|---|---|---|---|---|---|---|---|---|
| 5% | 10% | 25% | 50% | 75% | 90% | 95% | ||||
| <1 year | 24 | 10.27 | 1.65 | 7.00 | 7.90 | 9.38 | 10.00 | 11.50 | 13.05 | 13.05 |
| 1–10 | 91 | 12.85 | 1.2 | 10.50 | 11.40 | 12.00 | 13.00 | 13.50 | 14.10 | 15.00 |
| 11–20 | 85 | 14.43 | 1.24 | 12.50 | 13.00 | 14.00 | 14.50 | 15.50 | 16.20 | 17.00 |
| 21–30 | 184 | 14.95 | 1.26 | 13.00 | 13.50 | 14.00 | 15.00 | 16.00 | 16.50 | 16.88 |
| 31–40 | 196 | 14.72 | 1.26 | 12.50 | 13.00 | 14.00 | 15.00 | 15.50 | 16.15 | 16.58 |
| 41–50 | 140 | 14.65 | 1.05 | 12.50 | 13.00 | 14.00 | 14.50 | 15.50 | 16.00 | 16.00 |
| 51–60 | 120 | 14.7 | 1.27 | 12.53 | 13.00 | 14.00 | 14.50 | 15.50 | 16.50 | 17.00 |
| 61–70 | 112 | 14.18 | 1.17 | 12.00 | 12.65 | 13.50 | 14.00 | 15.00 | 15.50 | 16.00 |
| 71–80 | 50 | 14.35 | 1.25 | 12.28 | 13.00 | 13.50 | 14.50 | 15.00 | 15.50 | 16.73 |
| 81–90 | 13 | 13.53 | .85 | 12.00 | 12.20 | 13.00 | 13.50 | 14.25 | 14.80 | 14.80 |
Table 5.
Interpeduncular angle (IPA): Age group wise.
| Age Group in Yrs | Total count (980) | Mean (Degree) | SD | Percentiles |
||||||
|---|---|---|---|---|---|---|---|---|---|---|
| 5% | 10% | 25% | 50% | 75% | 90% | 95% | ||||
| <1 year | 20 | 81.19 | 10.502 | 57.00 | 66.80 | 73.00 | 82.00 | 87.75 | 94.30 | 94.30 |
| 1–10 | 89 | 80.17 | 9.311 | 64.00 | 66.00 | 75.00 | 81.00 | 86.00 | 91.60 | 96.30 |
| 11–20 | 77 | 73.93 | 8.121 | 61.30 | 64.00 | 69.00 | 73.00 | 80.00 | 84.00 | 85.70 |
| 21–30 | 177 | 72.97 | 9.416 | 56.20 | 60.00 | 67.00 | 73.00 | 80.00 | 85.00 | 87.90 |
| 31–40 | 189 | 74.92 | 8.566 | 60.40 | 63.00 | 69.50 | 75.00 | 81.00 | 86.00 | 88.00 |
| 41–50 | 135 | 75.60 | 9.246 | 59.00 | 63.00 | 69.00 | 76.00 | 83.00 | 87.00 | 89.20 |
| 51–60 | 118 | 78.60 | 8.400 | 63.75 | 67.50 | 72.75 | 78.50 | 84.00 | 87.50 | 91.00 |
| 61–70 | 112 | 78.97 | 8.528 | 64.00 | 69.60 | 75.50 | 79.00 | 83.50 | 89.00 | 90.00 |
| 71–80 | 50 | 77.63 | 12.230 | 63.00 | 67.50 | 73.00 | 77.50 | 84.25 | 90.30 | 94.30 |
| 81–90 | 13 | 86.75 | 7.175 | 74.00 | 74.90 | 81.00 | 87.50 | 92.75 | 96.70 | 96.70 |
Table 6.
Middle cerebellar peduncle (MCP): Age group wise.
| Age Group in Yrs | Total count (1015) | Mean (mm) | SD | Percentiles |
||||||
|---|---|---|---|---|---|---|---|---|---|---|
| 5% | 10% | 25% | 50% | 75% | 90% | 95% | ||||
| <1 year | 24 | 10.6667 | 1.65387 | 6.5000 | 7.8500 | 9.8750 | 11.0000 | 11.6250 | 12.6000 | 12.6000 |
| 1–10 | 91 | 13.5464 | 1.56804 | 10.9500 | 11.5000 | 12.5000 | 13.5000 | 14.5000 | 15.5000 | 16.0000 |
| 11–20 | 85 | 15.3941 | 1.37168 | 13.5000 | 14.0000 | 14.5000 | 15.5000 | 16.0000 | 17.5000 | 18.0000 |
| 21–30 | 184 | 15.6332 | 1.21013 | 14.0000 | 14.0000 | 15.0000 | 15.5000 | 16.5000 | 17.2500 | 17.8750 |
| 31–40 | 196 | 15.5434 | 1.25347 | 13.5000 | 14.0000 | 15.0000 | 15.5000 | 16.0000 | 17.0000 | 17.5000 |
| 41–50 | 140 | 15.5071 | 1.42307 | 13.5000 | 14.0000 | 14.5000 | 15.5000 | 16.5000 | 17.0000 | 17.5000 |
| 51–60 | 120 | 15.6250 | 1.21311 | 13.5250 | 14.0000 | 15.0000 | 15.5000 | 16.5000 | 17.0000 | 17.5000 |
| 61–70 | 112 | 15.3929 | 1.18251 | 13.5000 | 14.0000 | 14.5000 | 15.5000 | 16.0000 | 16.5000 | 17.5000 |
| 71–80 | 50 | 15.0600 | 1.16339 | 13.5000 | 14.0000 | 14.5000 | 15.0000 | 15.5000 | 16.0000 | 17.1750 |
| 81–90 | 13 | 14.6538 | .87,523 | 13.0000 | 13.2000 | 14.0000 | 14.5000 | 15.5000 | 15.8000 | 15.8000 |
Table 7.
Ventral midbrain anteroposterior (VMAP) thickness: Age group wise.
| Age Group in Yrs | Total count (1015) | Mean (mm) | SD | Percentiles |
||||||
|---|---|---|---|---|---|---|---|---|---|---|
| 5% | 10% | 25% | 50% | 75% | 90% | 95% | ||||
| <1 year | 24 | 8.39 | .698 | 7.00 | 7.90 | 8.00 | 8.00 | 9.00 | 9.10 | 9.10 |
| 1–10 | 91 | 10.28 | 1.188 | 8.00 | 9.00 | 10.00 | 10.00 | 11.00 | 12.00 | 12.00 |
| 11–20 | 85 | 11.65 | .909 | 10.00 | 10.00 | 11.00 | 12.00 | 12.00 | 13.00 | 13.00 |
| 21–30 | 184 | 11.66 | .928 | 10.00 | 10.00 | 11.00 | 12.00 | 12.00 | 13.00 | 13.00 |
| 31–40 | 196 | 11.40 | .969 | 10.00 | 10.00 | 11.00 | 11.00 | 12.00 | 13.00 | 13.00 |
| 41–50 | 140 | 11.29 | .971 | 10.00 | 10.00 | 11.00 | 11.00 | 12.00 | 12.00 | 13.00 |
| 51–60 | 120 | 11.03 | .987 | 10.00 | 10.00 | 10.00 | 11.00 | 12.00 | 12.00 | 12.95 |
| 61–70 | 112 | 10.87 | 1.151 | 9.00 | 10.00 | 10.00 | 11.00 | 11.00 | 12.00 | 13.00 |
| 71–80 | 50 | 10.62 | .805 | 9.00 | 10.00 | 10.00 | 11.00 | 11.00 | 12.00 | 12.00 |
| 81–90 | 13 | 10.08 | .954 | 9.00 | 9.00 | 9.00 | 10.00 | 11.00 | 11.60 | 11.60 |
Table 8.
Midbrain height (MH): Age group wise.
| Age Group in Yrs | Total Count (715) | Mean (mm) | SD | Percentiles |
||||||
|---|---|---|---|---|---|---|---|---|---|---|
| 5% | 10% | 25% | 50% | 75% | 90% | 95% | ||||
| <1 year | 11 | 11.00 | 1.581 | 8.00 | 8.00 | 10.00 | 11.00 | 12.00 | 12.00 | 12.00 |
| 1–10 | 69 | 13.41 | 1.573 | 11.00 | 11.00 | 13.00 | 14.00 | 14.00 | 15.80 | 16.00 |
| 11–20 | 69 | 14.54 | 1.378 | 12.00 | 13.00 | 14.00 | 14.00 | 16.00 | 16.00 | 17.00 |
| 21–30 | 124 | 14.52 | 1.346 | 12.00 | 13.00 | 14.00 | 15.00 | 16.00 | 16.00 | 16.00 |
| 31–40 | 134 | 13.80 | 1.439 | 11.75 | 12.00 | 13.00 | 14.00 | 15.00 | 16.00 | 16.00 |
| 41–50 | 94 | 13.48 | 1.381 | 11.00 | 12.00 | 13.00 | 14.00 | 14.00 | 15.00 | 16.00 |
| 51–60 | 90 | 13.30 | 1.203 | 12.00 | 12.00 | 12.00 | 13.00 | 14.00 | 15.00 | 15.00 |
| 61–70 | 82 | 12.63 | 1.262 | 10.15 | 11.00 | 12.00 | 13.00 | 14.00 | 14.00 | 15.00 |
| 71–80 | 33 | 12.15 | 1.349 | 9.70 | 10.00 | 11.00 | 12.00 | 13.00 | 14.00 | 14.30 |
| 81–90 | 9 | 10.78 | 1.856 | 8.00 | 8.00 | 9.00 | 11.00 | 12.50 | 12.50 | 12.50 |
Table 9.
Mamillopontine distance (MPD): Age group wise.
| Age Group in Yrs | Total count (503) | Mean (mm) | SD | Percentiles |
||||||
|---|---|---|---|---|---|---|---|---|---|---|
| 5% | 10% | 25% | 50% | 75% | 90% | 95% | ||||
| <1 year | 6 | 7.33 | 1.966 | 5.00 | 5.00 | 5.75 | 7.00 | 9.25 | 9.25 | 9.25 |
| 1–10 | 51 | 8.39 | 1.950 | 6.00 | 6.00 | 7.00 | 8.00 | 9.00 | 10.00 | 12.80 |
| 11–20 | 62 | 8.69 | 1.326 | 7.00 | 7.00 | 8.00 | 8.00 | 10.00 | 10.00 | 11.00 |
| 21–30 | 81 | 8.67 | 1.718 | 6.00 | 7.00 | 8.00 | 8.00 | 10.00 | 10.00 | 11.00 |
| 31–40 | 91 | 8.12 | 1.520 | 6.00 | 6.00 | 7.00 | 8.00 | 9.00 | 10.00 | 11.00 |
| 41–50 | 54 | 7.76 | 1.440 | 6.00 | 6.00 | 7.00 | 8.00 | 9.00 | 10.00 | 10.00 |
| 51–60 | 65 | 8.29 | 1.508 | 6.00 | 6.00 | 7.00 | 8.00 | 9.00 | 10.00 | 11.00 |
| 61–70 | 62 | 8.39 | 1.395 | 6.00 | 6.30 | 8.00 | 8.00 | 9.00 | 10.00 | 11.00 |
| 71–80 | 23 | 8.61 | 1.406 | 6.20 | 7.00 | 8.00 | 8.00 | 10.00 | 11.00 | 11.00 |
| 81–90 | 8 | 9.13 | 1.727 | 7.00 | 7.00 | 8.00 | 8.50 | 10.75 | 10.75 | 10.75 |
Table 10.
Pontomesencephalic angle (PMA): Age group wise.
| Age Group in Yrs | Total count (514) | Mean (Degree) | SD | Percentiles |
||||||
|---|---|---|---|---|---|---|---|---|---|---|
| 5% | 10% | 25% | 50% | 75% | 90% | 95% | ||||
| <1 year | 6 | 38.33 | 11.656 | 29.00 | 29.00 | 30.50 | 34.00 | 46.50 | 46.50 | 46.50 |
| 1–10 | 51 | 40.16 | 12.869 | 21.60 | 22.20 | 33.00 | 39.00 | 46.00 | 53.80 | 61.80 |
| 11–20 | 63 | 38.43 | 9.010 | 22.40 | 26.00 | 32.00 | 37.00 | 45.00 | 50.00 | 53.60 |
| 21–30 | 83 | 37.12 | 7.431 | 24.25 | 26.00 | 33.00 | 37.00 | 42.75 | 46.00 | 48.00 |
| 31–40 | 91 | 37.15 | 9.295 | 22.00 | 25.00 | 30.00 | 37.00 | 44.00 | 48.80 | 52.20 |
| 41–50 | 55 | 38.71 | 7.448 | 25.80 | 27.00 | 34.00 | 38.00 | 44.00 | 49.00 | 51.00 |
| 51–60 | 68 | 38.96 | 9.467 | 24.90 | 27.00 | 32.00 | 38.00 | 47.00 | 51.00 | 54.10 |
| 61–70 | 63 | 42.05 | 9.598 | 27.00 | 28.90 | 35.75 | 42.50 | 48.00 | 55.00 | 59.85 |
| 71–80 | 25 | 37.32 | 8.370 | 24.00 | 24.60 | 30.00 | 38.00 | 43.00 | 49.80 | 52.40 |
| 81–90 | 9 | 51.33 | 20.390 | 31.00 | 31.00 | 38.00 | 45.00 | 56.50 | 56.50 | 56.50 |
Table 11.
Pons anteroposterior (PAP) thickness: Age group wise.
| Age Group in Yrs | Total count (1013) | Mean (mm) | SD | Percentiles |
||||||
|---|---|---|---|---|---|---|---|---|---|---|
| 5% | 10% | 25% | 50% | 75% | 90% | 95% | ||||
| <1 year | 24 | 15.33 | 1.910 | 12.00 | 12.00 | 14.00 | 15.50 | 17.00 | 18.00 | 18.00 |
| 1–10 | 91 | 18.40 | 1.656 | 15.90 | 16.00 | 17.00 | 18.00 | 20.00 | 20.00 | 21.00 |
| 11–20 | 84 | 20.73 | 1.532 | 18.25 | 19.00 | 20.00 | 21.00 | 22.00 | 23.00 | 23.00 |
| 21–30 | 184 | 21.50 | 1.355 | 19.00 | 20.00 | 21.00 | 22.00 | 22.00 | 23.00 | 24.00 |
| 31–40 | 195 | 21.57 | 1.400 | 19.00 | 20.00 | 21.00 | 22.00 | 23.00 | 23.00 | 24.00 |
| 41–50 | 140 | 21.62 | 1.416 | 19.00 | 20.00 | 21.00 | 22.00 | 23.00 | 23.00 | 24.00 |
| 51–60 | 120 | 21.73 | 1.454 | 20.00 | 20.00 | 21.00 | 22.00 | 23.00 | 24.00 | 24.00 |
| 61–70 | 112 | 21.46 | 1.420 | 19.00 | 20.00 | 21.00 | 21.00 | 22.00 | 23.00 | 24.00 |
| 71–80 | 50 | 21.50 | 1.266 | 19.55 | 20.00 | 21.00 | 22.00 | 22.00 | 23.00 | 24.00 |
| 81–90 | 13 | 21.08 | 1.188 | 19.00 | 19.40 | 20.50 | 21.00 | 21.50 | 23.20 | 23.20 |
Table 12.
Medulla anteroposterior (MedAP) thickness: Age group wise.
| Age Group in Yrs | Total count (1014) | Mean (mm) | SD | Percentiles |
||||||
|---|---|---|---|---|---|---|---|---|---|---|
| 5% | 10% | 25% | 50% | 75% | 90% | 95% | ||||
| <1 year | 24 | 9.33 | .82 | 8.00 | 8.00 | 8.75 | 9.50 | 10.00 | 10.00 | 10.00 |
| 1–10 | 91 | 10.84 | 1.12 | 9.00 | 9.00 | 10.00 | 11.00 | 12.00 | 12.00 | 12.40 |
| 11–20 | 85 | 12.10 | 1.03 | 10.15 | 11.00 | 11.00 | 12.00 | 13.00 | 13.70 | 14.00 |
| 21–30 | 184 | 12.35 | .96 | 11.00 | 11.00 | 12.00 | 12.00 | 13.00 | 14.00 | 14.00 |
| 31–40 | 195 | 13.62 | 11.42 | 11.00 | 11.20 | 12.00 | 12.00 | 13.00 | 14.00 | 14.00 |
| 41–50 | 140 | 12.31 | .97 | 10.00 | 11.00 | 12.00 | 12.00 | 13.00 | 13.00 | 14.00 |
| 51–60 | 120 | 12.25 | 1.00 | 10.40 | 11.00 | 12.00 | 12.00 | 13.00 | 14.00 | 14.00 |
| 61–70 | 112 | 12.13 | .92 | 11.00 | 11.00 | 12.00 | 12.00 | 13.00 | 13.00 | 13.80 |
| 71–80 | 50 | 12.16 | .89 | 11.00 | 11.00 | 12.00 | 12.00 | 13.00 | 13.00 | 14.40 |
| 81–90 | 13 | 12.33 | 1.12 | 11.00 | 11.00 | 11.50 | 12.00 | 13.50 | 13.50 | 13.50 |
Table 13.
Spinal cord anterior-posterior diameter: Age group wise.
| Age Group in Yrs | Total count (513) | Mean (mm) | SD | Percentiles |
||||||
|---|---|---|---|---|---|---|---|---|---|---|
| 5% | 10% | 25% | 50% | 75% | 90% | 95% | ||||
| <1 year | 6 | 5.83 | .75 | 5.00 | 5.00 | 5.00 | 6.00 | 6.25 | 6.25 | 6.25 |
| 1–10 | 50 | 6.41 | .61 | 5.60 | 6.00 | 6.00 | 6.00 | 7.00 | 7.00 | 7.00 |
| 11–20 | 63 | 7.19 | .76 | 6.00 | 6.00 | 7.00 | 7.00 | 8.00 | 8.00 | 8.00 |
| 21–30 | 84 | 7.56 | .77 | 6.00 | 7.00 | 7.00 | 8.00 | 8.00 | 8.50 | 9.00 |
| 31–40 | 91 | 7.46 | .73 | 6.00 | 6.20 | 7.00 | 8.00 | 8.00 | 8.00 | 8.40 |
| 41–50 | 55 | 7.58 | .68 | 6.00 | 7.00 | 7.00 | 8.00 | 8.00 | 8.00 | 9.00 |
| 51–60 | 67 | 7.49 | .73 | 6.00 | 6.80 | 7.00 | 8.00 | 8.00 | 8.00 | 8.60 |
| 61–70 | 63 | 7.38 | .79 | 6.00 | 6.00 | 7.00 | 7.00 | 8.00 | 8.00 | 8.00 |
| 71–80 | 25 | 7.04 | .79 | 6.00 | 6.00 | 6.50 | 7.00 | 7.50 | 8.00 | 8.70 |
| 81–90 | 9 | 7.22 | .83 | 6.00 | 6.00 | 7.00 | 7.00 | 7.50 | 7.50 | 7.50 |
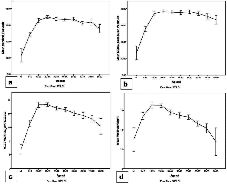
Fig. 3.
Error bar charts showing mean values (95% CI) across all ages for cerebral peduncle (a), middle cerebellar peduncle (b), midbrain thickness (c) and midbrain height (d).
Fig. 4.
Error bar charts showing mean values (95% CI) across all ages for mamillopontine distance (a), pons AP (b), Medulla AP (c), and spinal cord AP (d).
Fig. 5.
Error bar diagram showing mean values (95% CI) across all ages for interpeduncular angle and pontomesencephalic angle.
Findings and observations
Overall, the data followed a compact distribution pattern without much dispersion except pontomesencephalic angle, where the SD is relatively high. Males demonstrated significantly higher mean values (at 5% level of significance) for CP thickness, IPA, MCP thickness, MH, MPD, PAP and SCAP. While deviations of the majority of the variables are comparable in both the sexes, MedAP was found to be highly variable and also slightly higher in females as compared to the males (Table 2), although not significant statistically. Significant differences (p = 0.001) were observed in nearly all the variables among various age groups (Table 3). Also, the majority of the variables demonstrated significant correlation among them (Table 14). The error bar charts (Fig. 3, Fig. 4) depicted that maximum variability (dispersion) in values occurred in extremes of ages. This can be explained by the relatively lesser number of patients in those groups. Also, it is evident from Fig. 3, Fig. 4 that most of the variables measured, e.g. CP thickness, MCP thickness, VMAP thickness, MH, PAP, MedAP thickness and SCAP showed a steady and sharp increase in values from infancy and reached maximum values during the third decade. The CP showed a slow but steady decline in values from the third decade onwards. The MCP and SCAP values were more or less constant till the fifth decade, after which there was a slow and steady decline in values. VMAP thickness showed a steady decline from its maximum values in the third decade onward. The decline in value was even steeper for MH from the third decade onwards. It is interesting to note that PAP values remained nearly constant from the third to the seventh decade. MedAP also showed a similar trend. However, MedAP showed a remarkably high variation in the third decade. The MPD showed a very interesting trend of gradual decline in values from the third decade till the fifth decade and then a gradual increase in values till the ninth decade. IPA showed a gradual decline till the third decade and thereafter showed a steady increase till the seventh decade. PMA showed a gradual decline from the first decade onward and a slow rise from the fifth decade onward. Both IPA and PMA showed maximum variability among all the variables.
Table 14.
Correlation among all the variables.
| CP | IPA | MCP | MAP | MH | MPD | PMA | PAP | Med AP | SCAP | ||
|---|---|---|---|---|---|---|---|---|---|---|---|
| Cerebral peduncle thickness (CP) | Pearson correlation | 1 | –.017 | .645∗∗ | .578∗∗ | .386∗∗ | –.107∗ | –.160∗∗ | .656∗∗ | .175∗∗ | .450∗∗ |
| Sig. (2-tailed) | .587 | .000 | .000 | .000 | .016 | .000 | .000 | .000 | .000 | ||
| N | 1015 | 980 | 1015 | 1015 | 715 | 503 | 514 | 1013 | 1014 | 513 | |
| Interpeduncular angle (IPA) | Pearson correlation | –.017 | 1 | –.240∗∗ | –.291∗∗ | –.333∗∗ | .080 | .169∗∗ | –.278∗∗ | –.067∗ | –.189∗∗ |
| Sig. (2-tailed) | .587 | .000 | .000 | .000 | .077 | .000 | .000 | .035 | .000 | ||
| N | 980 | 980 | 980 | 980 | 695 | 496 | 506 | 978 | 979 | 505 | |
| Middle cerebellar peduncle thickness (MCP) | Pearson correlation | .645∗∗ | –.240∗∗ | 1 | .550∗∗ | .344∗∗ | –.147∗∗ | –.038 | .745∗∗ | .200∗∗ | .461∗∗ |
| Sig. (2-tailed) | .000 | .000 | .000 | .000 | .001 | .390 | .000 | .000 | .000 | ||
| N | 1015 | 980 | 1015 | 1015 | 715 | 503 | 514 | 1013 | 1014 | 513 | |
| Midbrain antero-posterior (MAP) | Pearson correlation | .578∗∗ | –.291∗∗ | .550∗∗ | 1 | .526∗∗ | –.081 | –.158∗∗ | .550∗∗ | .177∗∗ | .312∗∗ |
| Sig. (2-tailed) | .000 | .000 | .000 | .000 | .071 | .000 | .000 | .000 | .000 | ||
| N | 1015 | 980 | 1015 | 1015 | 715 | 503 | 514 | 1013 | 1014 | 513 | |
| Midbrain height (MH) | Pearson correlation | .386∗∗ | –.333∗∗ | .344∗∗ | .526∗∗ | 1 | .045 | –.270∗∗ | .266∗∗ | .111∗∗ | .172∗∗ |
| Sig. (2-tailed) | .000 | .000 | .000 | .000 | .312 | .000 | .000 | .003 | .000 | ||
| N | 715 | 695 | 715 | 715 | 715 | 503 | 514 | 713 | 714 | 513 | |
| Mamillopontine distance (MPD) | Pearson correlation | –.107∗ | .080 | –.147∗∗ | –.081 | .045 | 1 | .142∗∗ | –.180∗∗ | –.050 | –.075 |
| Sig. (2-tailed) | .016 | .077 | .001 | .071 | .312 | .001 | .000 | .265 | .092 | ||
| N | 503 | 496 | 503 | 503 | 503 | 503 | 502 | 501 | 503 | 502 | |
| Pontomesencephalic angle (PMA) | Pearson correlation | –.160∗∗ | .169∗∗ | –.038 | –.158∗∗ | –.270∗∗ | .142∗∗ | 1 | –.092∗ | –.028 | –.052 |
| Sig. (2-tailed) | .000 | .000 | .390 | .000 | .000 | .001 | .037 | .522 | .243 | ||
| N | 514 | 506 | 514 | 514 | 514 | 502 | 514 | 512 | 514 | 512 | |
| Pons anteroposterior thickness (PAP) | Pearson correlation | .656∗∗ | –.278∗∗ | .745∗∗ | .550∗∗ | .266∗∗ | –.180∗∗ | –.092∗ | 1 | .227∗∗ | .440∗∗ |
| Sig. (2-tailed) | .000 | .000 | .000 | .000 | .000 | .000 | .037 | .000 | .000 | ||
| N | 1013 | 978 | 1013 | 1013 | 713 | 501 | 512 | 1013 | 1012 | 511 | |
| Medulla anteroposterior (Med AP) | Pearson correlation | .175∗∗ | –.067∗ | .200∗∗ | .177∗∗ | .111∗∗ | –.050 | –.028 | .227∗∗ | 1 | .081 |
| Sig. (2-tailed) | .000 | .035 | .000 | .000 | .003 | .265 | .522 | .000 | .066 | ||
| N | 1014 | 979 | 1014 | 1014 | 714 | 503 | 514 | 1012 | 1014 | 513 | |
| Spinal cord antero-posterior (SCAP) | Pearson correlation | .450∗∗ | –.189∗∗ | .461∗∗ | .312∗∗ | .172∗∗ | –.075 | –.052 | .440∗∗ | .081 | 1 |
| Sig. (2-tailed) | .000 | .000 | .000 | .000 | .000 | .092 | .243 | .000 | .066 | ||
| N | 513 | 505 | 513 | 513 | 513 | 502 | 512 | 511 | 513 | 513 | |
∗∗. Correlation is significant at the .01 level (2-tailed).
∗. Correlation is significant at the .05 level (2-tailed).
Discussion
Knowledge of normal measurements of various parts of the brainstem and related structures is essential in diagnosing various disease processes affecting the brainstem, particularly neurodegenerative conditions. There is a paucity of information about normal measurements of the brain stem and related structures, particularly in the Indian context.7, 8, 9 In the absence of well-established normative data, it often becomes a subjective assessment based on the experience of the observer, which makes the overall diagnostic evaluation prone to inaccuracies. The present study lays down a normal range of measurements of the brain stem and related structures across all ages measured in routinely obtained brain MRI sequences (T1WI Sagittal, T1WI Axial) in a very simple and reproducible manner. Knowledge of such normative data, as given in Table 4, Table 5, Table 6, Table 7, Table 8, Table 9, Table 10, Table 11, Table 12, Table 13 can be of immense value when confronted with a diagnostic dilemma arising out of size criteria for the studied variables during day-to-day practice.
The present study demonstrated a similar trend of growth and age-related reduction in the size of various brain stem structures, as observed by Elhussein et al.9 However, the present study offers a distinct advantage over other previous studies in the form of very robust sample size, more number of clinically relevant variables of the brainstem and related structures and more elaborate data analysis and age groups ranging from infancy to ninth decade. Although most of the size parameters studied showed an initial increase corresponding to normal growth till the third decade, followed by a gradual decline in values, PAP and MedAP remained nearly constant through the third to seventh decade. The exact reason for this finding cannot be ascertained at this time. Future studies on this subject may be able to throw more light. As mentioned earlier, both IPA and PMA showed maximum variability amongst all the variables. Therefore, at this stage, caution needs to be exercised before interpreting the values of both IPA, as well as PMA until further studies are available.
Although various authors4, 5, 6 have studied utility intracranial angles and MPD in a few disease conditions like intracranial hypotension and hydrocephalus, to the best of our knowledge, normal IPA, MPA, MPD, MH and SCAP thickness have not been studied very widely, especially in the Indian context. The present study lays down the normative data for all these variables, which may prove very useful in day-to-day practice.
Conclusion
MRI morphometry of brainstem and related structures is easily doable during routine T1WI of the brain and is also reproducible. The present study lays down normative data for brainstem and certain related structures for all ages, which can be referred in day to day practice.
Disclosure of competing interest
All authors have none to declare.
References
- 1.Polat S.Ö., Öksüzler F.Y., Öksüzler M., Yücel A.H. The morphometric measurement of the brain stem in Turkish healthy subjects according to age and sex. Folia Morphol (Wars.) 2020;79(1):36–45. doi: 10.5603/FM.a2019.0085. [DOI] [PubMed] [Google Scholar]
- 2.Koehler P.R., Haughton V.M., Daniels D.L., et al. MR measurement of normal and pathologic brainstem diameters. AJNR Am J Neuroradiol. 1985;6(3):425–427. [PMC free article] [PubMed] [Google Scholar]
- 3.Chelban V., Bocchetta M., Hassanein S., Haridy N.A., Houlden H., Rohrer J.D. An update on advances in magnetic resonance imaging of multiple system atrophy. J Neurol. 2019;266(4):1036–1045. doi: 10.1007/s00415-018-9121-3. [DOI] [PMC free article] [PubMed] [Google Scholar]
- 4.Shah L.M., McLean L.A., Heilbrun M.E., Salzman K.L. Intracranial hypotension: improved MRI detection with diagnostic intracranial angles. Am J Roentogenol. 2013;200:400–407. doi: 10.2214/AJR.12.8611. [DOI] [PubMed] [Google Scholar]
- 5.Wang D.J., Pandey S.K., Lee D.H., Sharma M. The interpeduncular angle: a practical and objective marker for the detection and diagnosis of intracranial hypotension on brain MRI. Am J Neuroradiol. 2019;40(8):1299–1303. doi: 10.3174/ajnr.A6120. [DOI] [PMC free article] [PubMed] [Google Scholar]
- 6.Kariev G.M., Asadullaev U.M., Duschanov T.A., Rasulov S.O., Mamadaliev D.M.V., Khodjimetov D.N. The importance of measuring mamillopontine distance as a diagnostic criterion of hydrocephalus degrees. Asian J Neurosurg. 2019;14(1):166–171. doi: 10.4103/ajns.AJNS_79_18. [DOI] [PMC free article] [PubMed] [Google Scholar]
- 7.Raininko R., Autti T., Vanhanen S.L., Ylikoski A., Erkinjuntti T., Santavuori P. The normal brain stem from infancy to old age. A morphometric MRI study. Neuroradiology. 1994 l;36(5):364–368. doi: 10.1007/BF00612119. [DOI] [PubMed] [Google Scholar]
- 8.Murshed K.A., Ziylan T., Seker M., Cicekcibasi A.E., Acikgozoglu S. Morphometric assessment of brain stem and cerebellar vermis with midsagittal MRI: the gender differences and effects of age. Neuroanatomy. 2003;2:35–38. [Google Scholar]
- 9.Elhussein N., Alkhathami A.H.A., Ayad C.E. Norms for brain stem: a morphometric MRI based study. IOSR J Dent Med Sci. 2017;16(6):74–79. [Google Scholar]





